高等数学偏导数第一节题库
- 格式:doc
- 大小:1.25 MB
- 文档页数:28
高等数学基础教材课后答案详解一、函数与极限1. 第一章函数与极限的概念在高等数学教材中,第一章讲述了函数与极限的概念及性质。
函数是数学中的基本概念,它描述了变量之间的关系。
而极限则关注函数在某一点处的变化趋势。
在考察函数与极限时,我们需要掌握函数的定义域、值域以及各种基本函数的性质。
同时,极限的概念也需要熟悉,特别是极限的存在性和唯一性。
2. 第一节函数的极限函数的极限是分析函数行为的重要工具。
在计算函数极限时,可以利用极限的基本运算法则,通过代数运算、函数性质和极限的定义进行求解。
需要注意的是,有些极限需要通过泰勒级数展开或者利用夹逼定理进行求解。
3. 第二节极限的性质与极限存在准则极限的性质包括保号性、四则运算性质以及复合函数的极限性质等。
这些性质是进行极限计算的基本工具。
极限存在准则包括单调有界准则、夹逼准则和柯西收敛准则等,它们在判断极限存在性时非常有用。
4. 第三节无穷小与无穷大无穷小与无穷大是描述极限性质的重要概念。
通过无穷小的定义和性质,我们可以更好地理解函数的极限行为。
无穷大则是对于无穷远处函数值的描述,它在研究函数的渐近线时非常有用。
二、微分学1. 第二章导数与微分导数是函数变化率的一种度量,它描述了函数在给定点附近的局部变化情况。
在微分学中,我们首先需要熟悉导数的定义和基本性质,然后可以利用导数进行函数的求导运算。
求导的常见方法包括基本函数的求导法则、常用公式以及高阶导数的计算。
2. 第一节导数的定义和几何意义导数的定义是基于函数的局部线性逼近,它可以解释为切线斜率的极限。
几何意义上,导数描述了函数图像上的切线斜率,具有重要的几何意义。
3. 第二节导数的计算方法导数的计算方法是微分学的核心内容之一。
通过利用导数的定义,可以求解各种类型函数的导数。
在计算导数时,常用的方法包括基本函数的求导法则、乘法法则、链式法则,以及隐函数求导等。
4. 第三节微分的概念和性质微分是导数概念的延伸,它由导数和自变量的微小增量构成。
高数大一偏导数知识点归纳一、导数的定义和计算方法在高等数学中,偏导数是一个非常重要的概念。
它描述了一个函数在某一点上的变化率,即函数沿特定方向的斜率。
下面将对偏导数的定义和计算方法进行总结。
1.1 导数的定义偏导数的定义是:对于具有多个自变量的函数,当其中的一个自变量发生微小变化时,其他自变量保持不变,函数值相应地发生变化。
偏导数用来表示函数在这一自变量上的变化率。
1.2 偏导数的计算方法偏导数的计算方法与普通的导数计算方法类似,只需将其他自变量看作常数。
对于一个具有两个自变量的函数f(x, y),其偏导数可以表示为∂f/∂x和∂f/∂y。
具体计算时,可以使用以下方法来计算偏导数:- 对于一个单变量函数,求导即可得到偏导数。
- 对于一个多变量函数,可以将其他自变量看作常数,并对每个自变量求导。
二、偏导数的性质和应用2.1 偏导数的性质偏导数具有以下性质:- 线性性质:偏导数满足线性运算法则,即和、差的偏导数等于偏导数之和、差的和。
- 交换性:对于函数f(x, y),其关于x和y的偏导数可以互相交换次序。
- 高阶偏导数:偏导数可以进行多次求导,得到高阶偏导数。
2.2 偏导数的应用- 偏导数可以用于求函数的最大值、最小值等极值问题。
- 在物理学、工程学等领域中,偏导数可以表示变量之间的相互关系和影响。
- 偏导数还可以用于微分方程的求解和函数的泰勒展开等数学问题。
三、常见的偏导数公式3.1 二阶偏导数二阶偏导数是指对一个函数的偏导数再次求导。
在计算二阶偏导数时,需要注意求导的次序,常见的二阶偏导数公式有:- 混合偏导数:对于函数f(x, y),其混合偏导数可以通过先对一个自变量求偏导数,再对另一个自变量求一次偏导数得到。
- 拉普拉斯算子:表示对函数f(x, y)的二阶混合偏导数之和。
3.2 高阶偏导数在实际问题中,有时需要对一个函数进行多次求导,得到高阶偏导数。
高阶偏导数的计算需要依次对各个变量求导,按照求导的顺序,可以得到各个阶数的偏导数。
高考高等数学复习重点偏导数应用要说这高考里的高等数学,偏导数的应用那可真是个让人又爱又恨的家伙!对于很多同学来说,它就像是一座隐藏着宝藏但又布满荆棘的神秘岛屿。
咱们先来说说偏导数在几何中的应用。
想象一下,你正在设计一个超级酷炫的立体雕塑,你得知道不同方向上的变化率才能把它的形状雕琢得完美无缺。
比如说,偏导数能帮我们求出曲面在某一点处的切平面方程。
这就好比你要给这个雕塑找一个最合适的底座,让它稳稳地站立在那里,展现出最迷人的姿态。
还记得我之前教过的一个学生小明,那可真是个聪明但又有点粗心的孩子。
有一次做练习题,遇到一个求曲面在某点处切平面方程的题目。
他一开始信心满满,觉得自己肯定能拿下。
可算着算着,就把偏导数的符号给弄混了,结果整个答案都错得离谱。
我看着他那懊恼的样子,又好气又好笑。
我就跟他说:“小明啊,这偏导数就像是你手里的工具,你得把它们认清楚,用对地方,不然可就修不出你想要的雕塑啦!”打那以后,小明每次做这类题目都会格外小心,成绩也有了明显的提高。
再来说说偏导数在优化问题中的应用。
这就像是你要在一堆琳琅满目的商品中,找到那个性价比最高的宝贝。
比如说,工厂要生产一种产品,怎么安排生产才能让成本最低、利润最大?这时候偏导数就派上用场啦。
通过求偏导数为零的点,就能找到可能的极值点。
还有偏导数在物理中的应用,比如热传导问题。
这就好比你要搞清楚一杯热水是怎么慢慢变凉的,温度在不同位置、不同时间的变化规律是怎样的。
同学们,复习偏导数的应用可不能马虎。
要多做练习题,熟悉各种题型。
遇到不会的问题,别着急,多想想,多问问老师和同学。
相信只要你们用心,偏导数这个“小怪兽”一定能被你们打败!就像小明一样,从错误中吸取教训,最终在高考的战场上取得胜利!总之,偏导数的应用在高考高等数学中至关重要。
大家一定要把基础打牢,熟练掌握各种方法和技巧,这样才能在考场上应对自如,取得好成绩!加油吧,同学们!。
【090101】【计算题】【较易0.3】【多元函数的概念】【多元函数的定义域】【试题内容】设z y x yx y =++arctan 122,求该函数的定义域。
【试题答案及评分标准】x ≠0为该函数的定义域。
10分【090102】【计算题】【较易0.3】【多元函数的概念】【多元函数的定义域】 【试题内容】求函数的定义域。
【试题答案及评分标准】10分【090103】【计算题】【较易0.3】【多元函数的概念】【多元函数的定义域】 【试题内容】设,其中x ≠0,假如当 x =1时,z y =+12,试确定f x ()及z 。
【试题答案及评分标准】x =1时,z f y y ==+()12,所以f x x ()=+125分 z x y x x xx y =+⎛⎝ ⎫⎭⎪=+122210分【090104】【计算题】【较易0.3】【多元函数的概念】【多元函数的定义域】 【试题内容】设z x y f x y =++-(),已知y =0时, z x =2,求f x ()和z 。
【试题答案及评分标准】y =0时,z x =2,得x f x x +=()2 所以f x x x ()=-25分 所以z x y x y x y x y y =++---=-+()()()22210分【090105】【计算题】【中等0.5】【多元函数的概念】【多元函数的定义域】 【试题内容】设z y f x =+-()1,其中x y ≥≥00,,假如y =1时z x =,试确定函数f x ()和z 。
【试题答案及评分标准】y =1时,z f x x =+-=11() 所以f x x ()-=-113分令x t x t -==+112,()所以f t t t t f x x x ()(),()=+-=+=+11222227分所以()z y x x y x x y =+-+-=+-≥≥()(),1211002 10分【090106】【计算题】【较易0.3】【多元函数的极限】【极限的计算】 【试题内容】求极限 。
【试题答案及评分标准】 x 0 为该函数的定义域。
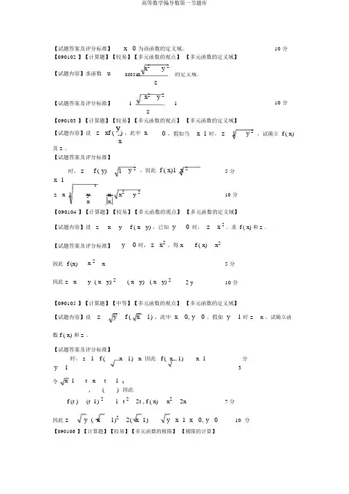
10 分【090102 】【计算题】【较易】【多元函数的观点】 【多元函数的定义域】【试题内容】求函数 ux 2y 2arcsin的定义域。
zx 2 y 2 10 分【试题答案及评分标准】 11z【090103 】【计算题】【较易】【多元函数的观点】 【多元函数的定义域】【试题内容】设 z xf ( y) ,此中 x 0 ,假如当 x 1 时, z 1y 2 ,试确立 f ( x)x及 z 。
【试题答案及评分标准】时, zf ( y)1 y2 ,因此 f ( x)1 x 25 分x 12z x 1y x x 2 y 210 分xx【 090104 】【计算题】【较易】【多元函数的观点】 【多元函数的定义域】【试题内容】设 zx yf ( x y) ,已知 y0 时, z x 2 ,求 f ( x) 和 z 。
【试题答案及评分标准】 y0 时, z x 2 ,得 xf ( x)x 2因此 f (x) x 2 x5 分 因此 z xy ( x y) 2( x y) ( x y) 22 y10 分【090105 】【计算题】【中等】【多元函数的观点】 【多元函数的定义域】 【试题内容】设 z y f ( x 1) ,此中 x 0, y 0 ,假如 y 1时 z x ,试确立函数 f ( x) 和 z 。
【试题答案及评分标准】y 时, z 1 f (x 1) x 因此 f ( x 1)x 13分1令x 1 t x (t 1 2, ) 因此f (t )(t 1) 21 t2 2t , f ( x)x 22x7 分因此 z y ( x1)2 2( x 1)y x 1 x 0, y 010 分【090106 】【计算题】【较易】【多元函数的极限】 【极限的计算】【试题内容】求极限limy sin 2 x。
x 0xy 11y【试题答案及评分标准】解: limy sin 2 xx 0 xy 11yy sin 2x ( xy 11)6 分limxyx 0y 0= 410 分【090107 】【计算题】【较易】【多元函数的极限】 【极限的计算】1x 2y 1 ) 【试题内容】求极限。
高等数学偏导数高等数学偏导数是一门非常重要的数学课程,尤其是现在大学里的重要学科。
学习偏导数能够帮助人们理解许多复杂的数学问题,从而让学习变得更加容易。
因此,学习偏导数可以说是一门必修课程。
偏导数是指函数沿着某一方向上的变化率,也可以用来度量函数在某一点上急剧变化的程度。
在偏导数的研究中,人们将函数的变化率分为一阶、二阶、三阶和多阶偏导数,并且研究它们的属性以及它们如何影响和描述函数的变化。
一阶偏导数描述的是函数在某一点的斜率,当偏导数大于零时,函数在这一点处是增函数,如果偏导数小于零,那么函数在这一点处是减函数,而当偏导数等于零时,函数在这一点处变化最慢。
二阶偏导数是指函数在某一点的二阶导数,也就是函数在某一点的曲率,当二阶偏导数大于零时,函数在这一点处处于凸函数,而当二阶偏导数小于零时,函数在这一点处处于凹函数,而当二阶偏导数等于零时,函数在这一点处的曲率为零,也就是函数在这一点处变得更加平缓。
多阶偏导数能够描述函数随着变量变化的趋势,比如函数在某一方向上的变化率是怎样的。
多阶偏导数可以反映函数曲线的形态,而且可以用来研究函数的局部极值点和去极值点,从而找出函数的最大值、最小值和拐点。
除了上述偏导数的概念和用途,偏导数还可以用来分析函数在某一方向上的变化情况,从而帮助人们更好地了解函数的变化规律。
另外,偏导数还可以帮助人们解决多元函数的极值问题,从而帮助人们分析不同函数的关系。
总之,学习偏导数是一件非常重要的事情。
学习偏导数不仅可以提升学生的数学水平,而且还可以帮助学生理解更复杂的数学问题,在学习和研究其他数学课程时会有很大的帮助。
因此,只有通过努力学习偏导数,学生才能发展出良好的数学能力,更好地把握未来的发展机遇。
第一章 极限与连续一、填空 1、设11()01x f x x ⎧≤⎪=⎨>⎪⎩ ,则[]()___________.f f x = 2、假设数列{}n x 收敛,则数列{}n x 肯定 。
3、假设0lim ()x x f x A →=,而0lim ()x x g x →不存在,则0lim(()())x x f x g x →+ 。
4、当0→x 时,1132-+ax 与1cos -x 为等价无穷小,则_______=a 5、设函数()f x 在点0x x =处连续,则()f x 在点0x x =处是否连续。
6、设21))((,sin )(x x f x x f -==ϕ,则)(x ϕ的定义域为_________7、如果⎪⎩⎪⎨⎧=≠-+=0,00,12sin )(2x x xe x xf ax 在),(+∞-∞内连续,则__=a8、 曲线22x e x y -=的渐近方程为__________________二、选择9、如果)(),(x g x f 都在0x 点处间断,那么〔 〕〔A 〕)()(x g x f +在0x 点处间断 〔B 〕)()(x g x f -在0x 点处间断 〔C 〕)()(x g x f +在0x 点处连续 〔D 〕)()(x g x f +在0x 点处可能连续。
10、设数列n x 与n y 满足lim 0n n n x y →∞=,则以下断言正确的选项是〔 〕〔A 〕假设n x 发散,则n y 必发散。
〔B 〕假设n x 无界,则n y 必有界 〔C 〕假设n x 有界,则n y 必为无穷小〔D 〕假设1nx 为无穷小,则n y 必为无穷小。
11、已知0()lim0x f x x→=,且(0)1f =,那么〔 〕〔A 〕()f x 在0x =处不连续。
〔B 〕()f x 在0x =处连续。
〔C 〕0lim ()x f x →不存在。
〔D 〕0lim ()1x f x →=12、设2()43x xf x x x+=- ,则0lim ()x f x →为〔 〕〔A 〕12 (B)13 (C) 14 (D)不存在13、设2(1)sin ()(1)x xf x x x-=-,那么0x =是函数的〔 〕〔A 〕无穷间断点。
2024年考研高等数学一偏微分方程概念与方法历年真题一、简介偏微分方程是数学中的重要分支,广泛应用于自然科学和工程技术领域。
作为考研高等数学的一部分,偏微分方程是必考的内容之一。
本文将对2024年考研高等数学一偏微分方程概念与方法历年真题进行分析和讨论。
二、问题一【2023年考研高等数学一真题】设u(x, t)为一个具有连续偏导数的二元函数,满足偏微分方程:∂u/∂t + ∂u/∂x = 0其中x为实数,t为正实数。
已知初始条件为u(x, 0) = sin(x),求解u(x, t)。
解答:根据题目中的偏微分方程和初始条件,可以使用分离变量法对该问题进行求解。
假设u(x, t)的解为u(x, t) = X(x)T(t),其中X(x)为只与x 相关的函数,T(t)为只与t相关的函数。
代入偏微分方程,得到:X'(x)T(t) + X(x)T'(t) + X(x)T(t) = 0整理后,得到两个关于X(x)和T(t)的方程:X'(x)/X(x) = -T'(t)/T(t) = λ对于X(x)的方程,得到X'(x)/X(x) = λ,即X'(x) - λX(x) = 0。
求解该常微分方程得到X(x) = C1e^(λx),其中C1为常数。
由于要满足题目中给出的初始条件u(x, 0) = sin(x),可以得到X(x) = sin(x)。
对于T(t)的方程,得到T'(t)/T(t) = -λ。
求解该常微分方程得到T(t) = C2e^(-λt),其中C2为常数。
将X(x)和T(t)代入u(x, t) = X(x)T(t),得到:u(x, t) = (C1sin(x))(C2e^(-λt))由于X(x)和T(t)的函数形式已经确定,我们只需要确定C1、C2和λ的值即可。
根据初始条件u(x, 0) = sin(x),可以得到C1 = 1。
由于t为正实数,所以C2e^(-λt)不能为0。
【090101】【计算题】【较易0.3】【多元函数的概念】【多元函数的定义域】【试题内容】设z yxy x y =++arctan122,求该函数的定义域。
【试题答案及评分标准】x ≠0为该函数的定义域。
10分【090102】【计算题】【较易0.3】【多元函数的概念】【多元函数的定义域】【试题内容】求函数u x y z =+⎛⎝⎫⎭⎪⎪arcsin 22的定义域。
【试题答案及评分标准】-≤+≤1122x y z10分【090103】【计算题】【较易0.3】【多元函数的概念】【多元函数的定义域】【试题内容】设z xf yx=(),其中x ≠0,如果当 x =1时,z y =+12,试确定f x ()及z 。
【试题答案及评分标准】x =1时,z f y y ==+()12,所以f x x ()=+125分z x y x x xx y =+⎛⎝ ⎫⎭⎪=+1222 10分【090104】【计算题】【较易0.3】【多元函数的概念】【多元函数的定义域】【试题内容】设z x y f x y =++-(),已知y =0时, z x =2,求f x ()和z 。
【试题答案及评分标准】y =0时,z x =2,得x f x x +=()2 所以f x x x ()=-2 5分所以z x y x y x y x y y =++---=-+()()()222 10分【090105】【计算题】【中等0.5】【多元函数的概念】【多元函数的定义域】【试题内容】设z y f x =+-()1,其中x y ≥≥00,,如果y =1时z x =,试确定函数f x ()和z 。
【试题答案及评分标准】y =1时,z f x x =+-=11() 所以f x x ()-=-113分令x t x t -==+112,()所以f t t t t f x x x ()(),()=+-=+=+11222227分所以()z y x x y x x y =+-+-=+-≥≥()(),1211002 10分【090106】【计算题】【较易0.3】【多元函数的极限】【极限的计算】 【试题内容】求极限lim sin x y y xxy →→+-0211。
【试题答案及评分标准】 解:lim sin x y y xxy →→+-0211=⋅++→→lim sin ()x y y x xy xy00211 6分= 4 10分【090107】【计算题】【较易0.3】【多元函数的极限】【极限的计算】【试题内容】求极限lim sin()x y x y x y xy →→-+0023211。
【试题答案及评分标准】 解:原式=lim ()sin()x y x y x y x y xy →→-++0232211 4分=-++⋅→→limsin()x y x y xy xy 002111 8分=-1210分【090108】【计算题】【较易0.3】【多元函数的极限】【极限的计算】【试题内容】求极限lim x y x xye xy→→-+0416 。
【试题答案及评分标准】解:lim x y xxye xy→→-+0416=++-→→lim ()x y x xye xy xy00416 8分=-8 10分【090109】【计算题】【中等0.5】【多元函数的极限】【极限的计算】【试题内容】求极限lim()sin x y x y x→→+021 。
【试题答案及评分标准】解:由于lim()x y x y →→+=020 sin11x≤ 8分所以原式=0 10分【090110】【计算题】【中等0.5】【多元函数的极限】【极限的计算】【试题内容】求极限lim x y y yx x xy y →→+-+00322232 。
【试题答案及评分标准】解:323232222222y yx x xy y y y x x xy y +-+=⋅+-+() 又32312622222222y x x xy yy x x y +-+≤++=()() 6分lim x y y →→=00 8分故原式=0 10分【090111】【计算题】【中等0.5】【多元函数的极限】【极限的计算】【试题内容】求极限lim ()cos()x y x y x y x y →→+-+002222221 。
【试题答案及评分标准】解:原式=lim ()()lim x y x y x y x y x y x y x y →→→→++=+002222222002222122 4分当(,)(,)x y →00时,x 2为无穷小量,22222y x y+≤,有界 8分则原式=0 10分【090112】【计算题】【中等0.5】【多元函数的极限】【极限的计算】 【试题内容】求极限lim()x y x y x y →→+02222。
【试题答案及评分标准】 解:[]()()x y x y x y xyx y x y 222222222222+=+++又lim lim ln limx xx xx x x e ex x →+-===→+→+01110021 5分0022222222≤+≤=→x y x y x y xy ,(当x y →→00,时) 所以lim x y x y x y →→+=0022220 8分()lim x y x yx y→→+==0220221110分【090113】【计算题】【较易0.3】【多元函数的极限】【多元函数的间断点】【试题内容】函数f x y x y (,)ln()=+-221连续区域是。
【试题答案及评分标准】答:x y 221+>。
10分【090114】【计算题】【较易0.3】【多元函数的连续性】【多元函数的间断点】【试题内容】试求函数f x y z x y z (,,)ln =++-11222的间断点。
【试题答案及评分标准】解:因为在区域x y z 2221++>及x y z 2221++<连续,故间断点为x y z 2221++=。
10分【090115】【计算题】【较易0.3】【多元函数的连续性】【多元函数的间断点】【试题内容】试求函数f x y xy(,)sin=1的不连续点。
【试题答案及评分标准】 解:由于f x y xy (,)sin =⎛⎝⎫⎭⎪1是初等函数,所以除xy =0的点以外处处连续。
5分在xy =0(即x 轴和y 轴)上点f x y (,)没定义,因而不连续。
10分【090116】【计算题】【中等0.5】【多元函数的连续性】【多元函数的间断点】【试题内容】试求函数f x y xyx y(,)sin sin =+22ππ的间断点。
【试题答案及评分标准】解:显然当(,)(,),x y m n m n Z =∈时,f x y (,)没定义,故不连续。
5分 又f x y xyx y(,)sin sin =+22ππ是初等函数,所以除点(,)m n (其中m n Z ,∈)以外处处连续。
10分【090117】【计算题】【较易0.3】【多元函数的连续性】【多元函数的间断点】【试题内容】求函数f x y x yy y (,)sin=≠=⎧⎨⎪⎩⎪100的间断点。
【试题答案及评分标准】解:只需讨论x 轴上的点(y =0)对于(0,0)点,由于lim (,)(,)x y f x y f →→==0000f x y (,)在(0,0)点连续 5分对x 轴上的其余点,(,)a 0,()a ≠0lim sinx a y x y→→01不存在,故在(,)a 0,()a ≠0不连续。
10分【090118】【计算题】【较易0.3】【多元函数的连续性】【多元函数的连续性】【试题内容】讨论函数f x y x y x y(,)=-+2222的连续性。
【试题答案及评分标准】解:由于f x y x y x y(,)=-+2222是初等函数,所以除(0,0)点以外处处连续。
6分但在(0,0)点,f x y (,)没定义,则在(0,0)点不连续。
10分 【090119】【计算题】【较易0.3】【多元函数的连续性】【多元函数的连续性】【试题内容】讨论函数f x y y yx y x(,)sin()=++222的连续性。
【试题答案及评分标准】解:由于sin()y yx y x222++是初等函数。
4分所以它在除抛物线y x =-2以外的点处都连续,但在抛物线y x =-2上的所有点都不连续。
10分【090120】【计算题】【较易0.3】【多元函数的连续性】【多元函数的连续性】【试题内容】讨论函数z x yxy=+-arctan1的连续性。
【试题答案及评分标准】解:由于arctanx yxy+-1是初等函数,所以除xy =1以外的点都连续,但在xy =1上的点处不连续。
10分【090121】【计算题】【中等0.5】【多元函数的连续性】【多元函数的连续性】【试题内容】讨论函数f x y x y x y x y x y (,)=++≠+=⎧⎨⎪⎩⎪22222222000的连续性。
【试题答案及评分标准】解:由于x y x y2222+是初等函数,所以除点(0,0)外处处连续。
4分 又0222222222≤+=+≤x y x y x x yy y 则lim (,)(,)x y f x y f →→==0000故f x y (,)处处连续。
10分【090122】【计算题】【较易0.3】【多元函数的连续性】【多元函数的连续性】【试题内容】讨论函数f x y x y x y x y x y (,)(,)(,)(,)(,)=++≠=⎧⎨⎪⎩⎪332200000在点(0,0)处的连续性。
【试题答案及评分标准】 解:由于0033223223223232≤++≤+++≤+=+→x y x y x x y y x y x x y yx y (当x y →→00,时) 6分所以lim (,)x y x y x y f →→++==003322000 8分故f x y (,)在(0,0)点连续。
10分【090123】【计算题】【中等0.5】【多元函数的连续性】【多元函数的连续性】【试题内容】讨论函数f x y xy x y x y x y x y (,)()(,)(,)(,)(,)=++≠=⎧⎨⎪⎩⎪2200000在点(0,0)处的连续性。
【试题答案及评分标准】解:由于xy x y x y y x x y x y x yx y ()++≤+++≤+→222222220(当x y →→00,时) 8分所以lim (,)(,)x y f x y f →→==0000 故f x y (,)在(0,0)处连续。
10分【090124】【计算题】【中等0.5】【多元函数的连续性】【多元函数的连续性】【试题内容】讨论函数f x y xy x y x y x y (,)=++≠+=⎧⎨⎪⎩⎪2222222000在点(0,0)处的连续性。