(完整版)高数积分公式大全
- 格式:doc
- 大小:827.02 KB
- 文档页数:12
⾼数积分公式⼤全常⽤积分公式(⼀)含有ax b +的积分(0a ≠) 1.d x ax b +?=1ln ax b C a ++2.()d ax b x µ+?=11()(1)ax b C a µµ++++(1µ≠-)3.d x x ax b +?=21(ln )ax b b ax b C a +-++4.2d x x ax b +?=22311()2()ln 2ax b b ax b b ax b C a ?? +-++++5.d ()xx ax b +?=1ln ax b C b x +-+6.2d ()xx ax b +?=21ln a ax b C bx b x +-++ 7.2d ()x x ax b +?=21(ln )b ax b C a ax b++++ 8.22d ()x x ax b +?=231(2ln )b ax b b ax b C a ax b+-+-++ 9.2x ax b +?=211ln ()ax b C b ax b b x +-++的积分10.x C +11.x ?=22(3215ax b C a -12.x x ?=22232(15128105a x abx b C a-+13.x=22(23ax b Ca -14.2x ?=2223.?(0)(0)C b C b ?+><16.2a b - 17.d x x ?=b ?18.x ?=2a x -+ (三)含有22x a ±的积分 19.22d x x a +?=1arctan x C a a+ 20.22d ()n x x a +?=2221222123d 2(1)()2(1)()n n x n x n a x a n a x a ---+-+-+? 21.22d xx a -?=1ln 2x a C a x a -++22.2d x ax b +?=(0)(0)C b C b ?+>+<23.2d x x ax b +?=21ln 2ax b C a++24.22d x x ax b +?=2d x b xa a ax b-+?25.2d ()x x ax b +?=221ln 2x C b ax b++26.22d ()x x ax b +?=21d a x bx b ax b --+?27.32d ()x x ax b +?=2222 1ln 22ax b a C b x bx+-+ 28.22d ()x ax b +?=221d 2()2x x b ax b b ax b +++?(五)含有2ax bx c ++(0)a >的积分29.2d x ax bx c ++?=22(4)C b ac Cb ac +<+>30.2d x x ax bx c ++?=221d ln 22b x ax bx c a a ax bx c ++-++?(0)a >的积分 31.=1arshxC a +=ln(x C ++ 32.C +33.x ?C34.x=C +35.2x2ln(2a x C +36.2x =ln(x C +++37.1ln aC a x -+38.C +39.x 2ln(2a x C ++40.x =2243(25ln(88 x x a a x C ++42.xx ?=422(2ln(88x a x a x C +++43.x ?a C +44.x ?=ln(x C +++(0)a >的积分45.=1arch x xC x a+=ln x C ++ 46.C +C48.x =C+49.2x 2ln 2a x C +++50.2x =ln x C +++51.1arccos aC a x+52.2C a x +53.x 2ln 2a x C -++54.x =2243(25ln 88 x x a a x C -++55.x ?C56.xx ?=422(2ln 88x a x a x C -+57.x ?arccos a a C x -+58.x ?=ln x C +++(0)a >的积分 59.=arcsinxC a + 60.C +61.x ?=C+62.x C +63.2x =2arcsin 2a x C a + 64.2x arcsinxC a-+65.1C a +66.2C a x -+67.x 2arcsin 2a x C a+68.x =2243(52arcsin 88x x a x a C a -+69.x ?=C70.xx ?=422(2arcsin 88x a x x a C a-+71.x ?ln a a C x ++72.x ?=arcsin xC a-+(0)a >的积分73.2ax b C +++22ax b C + +++75.x ?2ax b C -+++76.=C +77.x 2C +78.x ?=C ++79.x ?=((x b b a C --+80.x ?=((x b b a C -+-81.=C ()a b <82.x 2()arcsin 4b a C -+ ()a b < (⼗⼀)含有三⾓函数的积分 83.sin d x x ?=cos x C-+84.cos d x x ?=sin x C + 85.tan d x x ?=ln cos x C -+ 86.cot d x x ?=ln sin x C + 87.sec d x x ?=ln tan()42xC π++=ln sec tan x x C ++ 88.csc d x x ?=ln tan2sec d x x ?=tan x C + 90.2csc d x x ?=cot x C -+ 91.sec tan d x x x ?=sec x C + 92.csc cot d x x x ?=csc x C -+93.2sin d x x ?=1sin 224x x C -+ 94.2cos d x x ?=1sin 224x x C ++95.sin d nx x ?=1211sin cos sin d n n n x x x x n n----+? 96.cos d n x x ?=1211cos sin cos d n n n x x x x n n---+? 97.d sin n x x ?=121cos 2d 1sin 1sin n n x n xn x n x----?+--? 98.d cos n x x ?=121sin 2d 1cos 1cos n n x n xn x n x---?+--? 99.cos sin d m nx x x ?=11211cos sin cos sin d m n m n m x x x x x m n m n -+--+++? =112 11cos sin cos sin d m n m n n x x x x x m n m n+----+++? 100.sin cos d ax bx x ?=11cos()cos()2()2()a b x a b x Ca b a b -+--++-101.sin sin d ax bx x ?=11sin()sin()2()2()a b x a b x C a b a b -++-++-102.cos cos d ax bx x ?=a b x a b x C a b a b ++-++-103.d sin xa b x +?tanxa b C ++22()a b >104.d sin x a b x +?C+22()a b <105.d cos xa b x +?)2x C +22()a b >106.d cos x a b x +?C +22()a b <107.2222d cos sin x a x b x +?=1arctan(tan )b x C ab a + 108.2222d cos sin xa xb x -?=1tan ln 2tan b x a C ab b x a ++-109.sin d x ax x ?=211111.cos d x ax x ?=211cos sin ax x ax C a a ++112.2cos d x ax x ?=223122sin cos sin x ax x ax ax C a a a +-+(⼗⼆)含有反三⾓函数的积分(其中0a >)113.arcsin d x x a ?=arcsin x x Ca+114.arcsin d xx x a ?=22()arcsin 24x a x C a -+115.2arcsin d x x x a=3221arcsin (239x x x a C a ++116.arccos d xx a ?=arccosxx C a-+117.arccos d xx x a ?=22()arccos 24x a x C a --118.2arccos d x x x a=3221arccos (239x x x a C a -+119.arctan1()arctan 22x a a x x C a +-+121.2arctan d xx x a=33222arctan ln()366x x a a x a x C a -+ ++ (⼗三)含有指数函数的积分122.d xa x ?=1ln xa C a + 123.e d axx ?=1e ax C a +124.e d ax x x ?=21(1)e axax C a-+125.e d n axx x ?=11e e d n ax n ax n x x x a a--?126.d xxa x ?=21ln (ln )x xx a a C a a -+ 127.d nxx a x ?=11d ln ln n x n x nx a x a x a a --? 128.e sin d ax bx x ?=2 21e (sin cos )axa bxb bx C a b -++ 129.e cos d axbx x ?=2+++130.e sin d ax nbx x ?=12221e sin (sin cos )ax n bx a bx nb bx a b n--+ 22222(1)e sin d ax n n n b bx x a b n--++? 131.e cos d ax nbx x ?=12221e cos (cos sin )ax n bx a bx nb bx a b n-++ 22222(1)e cos d axn n n b bx x a b n--++? (⼗四)含有对数函数的积分 132.ln d x x ?=ln x x x C -+133.d ln xx x ?=ln ln x C +134.ln d nx x x ?=111(ln )11n x x C n n +-+++135.(ln )d nx x ?=1(ln )(ln )d n nx x n x x --?111(ln )(ln )d 11m n m n nx x x x x m m +--++? (⼗五)含有双曲函数的积分 137.sh d x x ?=ch x C + 138.ch d x x ?=sh x C + 139.th d x x ?=lnch x C +140.2sh d x x ?=1sh224x x C -++ 141.2ch d x x ?=1sh224x x C ++(⼗六)定积分 142.cos d nx x π-π?=sin d nx x π-π=0143.cos sin d mx nx x π-π=0144.cos cos d mx nx x π-π=0,,m nm n≠??π=? 145.sin sin d mx nx x π-π?=0,,m nm n ≠??π=?146.sin sin d mx nx x π=0cos cos d mx nx x πm n m n ≠??π=??147. n I =20sin d nx x π=20cos d n x x πn I =21n n I n-- 1342253n n n I n n --=??- (n 为⼤于1的正奇数),1I =1 13312422n n n I n n --π=??-(n 为正偶数),0I =2π(注:专业⽂档是经验性极强的领域,⽆法思考和涵盖全⾯,素材和资料部分来⾃⽹络,供参考。
高等数学常用积分表高等数学常用的积分表是大家在学习高等数学的过程中经常使用的工具。
下面将为大家介绍一些常见的积分表和一些常用的积分公式,以供大家参考。
1. 幂函数及其积分(1) 幂函数求积分的基本公式:∫ x^n dx = (x^(n+1)) / (n+1) + C (n≠-1)其中,C为常数。
(2) 常见的幂函数积分:∫ x dx = (x^2) / 2 + C∫ x^n dx = (x^(n+1)) / (n+1) + C (n≠-1)∫ (1/x) dx = ln|x| + C∫ e^x dx = e^x + C∫ a^x dx = (a^x) / ln(a) + C (a>0, a≠1)∫ sinx dx = -cosx + C∫ cosx dx = sinx + C∫ sec^2x dx = tanx + C∫ csc^2x dx = -cotx + C∫ secx * tanx dx = secx + C∫ cscx * cotx dx = -cscx + C2. 三角函数及其积分(1) 基本三角函数和其逆函数的积分公式:∫ sinx dx = -cosx + C∫ cosx dx = sinx + C∫ sec^2x dx = tanx + C∫ csc^2x dx = -cotx + C∫ secx * tanx dx = secx + C∫ cscx * cotx dx = -cscx + C∫ dx / (1+x^2) = arctanx + C∫ dx / sqrt(1-x^2) = arcsinx + C∫ dx / (x sqrt(x^2-1)) = arcsecx + C (2) 积分中的三角函数恒等式:∫ sin^2x dx = (x/2) - (sin2x/4) + C∫ cos^2x dx = (x/2) + (sin2x/4) + C ∫ sin^3x dx = -(cos^3x)/3 + cosx + C ∫ cos^3x dx = (sin^3x)/3 + sinx + C 3. 指数函数及其积分(1) 指数函数的积分公式:∫ e^x dx = e^x + C∫ a^x dx = (a^x) / ln(a) + C (a>0, a≠1) (2) 指数函数的变换公式:∫ e^(ax) dx = (e^(ax)) / a + C4. 对数函数及其积分(1) 对数函数的积分公式:∫ ln(x) dx = xln(x) - x + C5. 三角函数与指数函数的积分(1) 涉及三角函数与指数函数积分的公式:∫ sin(ax) * cos(bx) dx = (sin((a-b)x))/(2(a-b)) +(sin((a+b)x))/(2(a+b)) + C∫ sin(ax) * e^(bx) dx = (a e^(bx) sin(ax) - b e^(bx) cos(ax)) /(a^2+b^2) + C∫ cos(ax) * e^(bx) dx = (b e^(bx) sin(ax) + a e^(bx) cos(ax)) /(a^2+b^2) + C以上是高等数学常用的积分表的一些内容,希望能够对大家学习高等数学中的积分有所帮助。
高数公式汇总经管学生会内部资料导数公式:(tgx) sec x(ctgx) csc x(secx) secx tgx(cscx) cscx ctgx(a x) a x l na(log a x) 1xl na基本积分表:tgxdxctgxdxsecxdxcscxdxdx~ 2a xdx~ 2x adx~ 2a xdx2a x 高等数学公式In cosx CIn sinx CIn secx tgx C In cscx ctgx C 1 x-arctg — Ca a1 x a —— C 2a x a1 a x —— C 2a a xarcs in仝C aI n2sin xdx cos x2 2 a 'x2 2 a 'a2x2dxdxdxo三角函数的有理式积分:2usin x 2, c osx1 u22u2,1 u(arcsin x)(arccos x)(arctgx)(arcctgx)dx2~ cosxdx~~~2-sin xxdxx 2—x22 ax 2—x22 ax 21 a2 xn2otg i,111 x211 x2sec2 xdx tgx C2csc xdx ctgx Csecx tgxdx secx Ccscx ctgxdx cscx Cxa x dx — CIn ashxdx chx Cchxdx shx C2 2----------- In( x 、x a ) C2 2 v 7 x aI n2 a —In( x22 a .一In x22a . x arcs in C2x2 a2) C、x2 a2dx2du1 u2高数公式汇总 经管学生会内部资料两个重要极限:sin x ’lim 1x 0 xlim(1 -)x e 2.718281828459045…xarchx In (x x 21)三角函数公式:•诱导公式:-和差角公式:sin( )sin COS COS sin COS ( )COSCOS sin sintg()汽tg1 tg tgCtg()CtgCtg 1Ctg Ctg-和差化积公式:sin sin 2 si nCOS 2 2sinsin2 COSsin22COS COS 2 COSCOS --2 2COS COS2 si nsin2 2一些初等函数: xe e x2xxe e2shx x e x echx x e x ex 21)arthx llnl 双曲正弦:shx双曲余弦:chx双曲正切:thx高数公式汇总经管学生会内部资料sin 2 2sin cos cos2 2cos 2 1ctg2ctg 212ctgtg2 2tg 21 tg•倍角公式: 1 2si n 2-半角公式: 2cos 2sinsin3 3sin 4sin 3 cos3 4cos 3costg33tg tg 31 3tg 2tg 2sin — 2 1 cos 1 cos sin sin 1 cos-余弦定理:-正弦定理:a b sin A sinB c si nC2Rc 2 a 2 b 2 2ab cosC•反三角函数性质: arcs inx arccosx 2 arctgx arcctgx高阶导数公式 ------ 莱布尼兹( Leibniz )公式:2! k ! 中值定理与导数应用:拉格朗日中值定理: f(b) f(a) f ( )(b a) 柯西中值定理:丄型 f (a) f () F(b) F(a) F () n (n) k (n k) (k)(uv) C n u v k 0(n) (n 1) n(n 1) (n 2) n(n 1) (n k 1) (n k) (k)u v nu v u vu v当F(x) x 时,柯西中值定理就是 拉格朗日中值定理 曲率:uv(n)高数公式汇总 经管学生会内部资料弧微分公式:ds .1 y 2dx,其中y tg平均曲率:K .:从M 点到M 点,切线斜率的倾角变 化量;s : MM 弧长。
高数积分公式大全高等数学中的积分是数学分析的重要内容之一,它是求函数面积、定积分、不定积分等的方法,被广泛应用于科学和工程领域。
下面是高等数学中常用的积分公式大全,供大家参考和学习。
一、基本积分公式:1. 常数函数积分公式:∫c dx = cx + C(其中c为常数,C为积分常数)2. 幂函数积分公式:∫x^n dx = (1/(n+1)) * x^(n+1) + C(其中n不等于-1,C 为积分常数)3. 指数函数积分公式:∫e^x dx = e^x + C4. 三角函数积分公式:∫sin(x) dx = -cos(x) + C∫cos(x) dx = sin(x) + C5. 乘方函数积分公式:∫(a^x) dx = (1/log(a)) * (a^x) + C(其中a为正数且不等于1,C为积分常数)6. 对数函数积分公式:∫(1/x) dx = ln|x| + C二、常用积分公式:1. 三角函数的复合积分:∫sin(ax) dx = - (1/a) * cos(ax) + C∫cos(ax) dx = (1/a) * sin(ax) + C2. 反三角函数的积分:∫1/(√(1-x^2)) dx = arcsin(x) + C∫1/(1+x^2) dx = arctan(x) + C3. 指数函数的积分:∫e^(ax) dx = (1/a) * e^(ax) + C4. 对数函数的积分:∫(1/x) dx = ln|x| + C5. 分式函数的积分:∫(1/(x-a)) dx = ln|x-a| + C(其中a不等于0)∫(1/(x^2+a^2)) dx = (1/a) * arctan(x/a) + C(其中a不等于0)6. 三角函数的积分:∫sin^n(x) cos^m(x) dx7. 部分分式的积分:∫(p(x)/q(x)) dx8. 具体函数的特殊积分:∫e^x sin(x) dx∫e^x cos(x) dx∫(sin(x))^n (cos(x))^m dx(其中n和m为正整数)三、数列求和公式:1. 等差数列求和公式:S_n = (n/2)(a_1 + a_n)(其中S_n为前n项和,a_1为首项,a_n为末项)2. 等比数列求和公式:S_n = (a_1(1-q^n))/(1-q)(其中S_n为前n项和,a_1为首项,q为公比)以上是高等数学中一些常见的积分公式,通过掌握和灵活运用这些公式,可以帮助我们更好地解决数学中的问题。
常 用 积 分 公 式(一)含有ax b +的积分(0a ≠) 1.d x ax b +⎰=1ln ax b C a++ 2.()d ax b x μ+⎰=11()(1)ax b C a μμ++++(1μ≠-)3.d x x ax b +⎰=21(ln )ax b b ax b C a+-++ 4.2d x x ax b +⎰=22311()2()ln 2ax b b ax b b ax b C a ⎡⎤+-++++⎢⎥⎣⎦5.d ()xx ax b +⎰=1lnax b C b x +-+ 6.2d ()xx ax b +⎰=21ln a ax b C bx b x +-++ 7.2d ()x x ax b +⎰=21(ln )b ax b C a ax b++++ 8.22d ()x x ax b +⎰=231(2ln )b ax b b ax b C a ax b+-+-++ 9.2d ()xx ax b +⎰=211ln ()ax b C b ax b b x +-++的积分10.x C +11.x ⎰=22(3215ax b C a -+12.x x ⎰=22232(15128105a x abx b C a-++13.x=22(23ax b C a -14.2x=22232(34815a x abx b C a -++15.=(0)(0)C b C b ⎧+><16.2a b - 17.x=b +18.x=2a x -+ (三)含有22x a ±的积分 19.22d x x a +⎰=1arctan x C a a+ 20.22d ()n x x a +⎰=2221222123d 2(1)()2(1)()n n x n xn a x a n a x a ---+-+-+⎰21.22d xx a -⎰=1ln 2x a C a x a-++ (四)含有2(0)ax b a +>的积分22.2d x ax b +⎰=(0)(0)C b C b ⎧+>+<23.2d x x ax b +⎰=21ln 2ax b C a++ 24.22d x x ax b +⎰=2d x b x a a ax b -+⎰25.2d ()x x ax b +⎰=221ln 2x C b ax b++ 26.22d ()x x ax b +⎰=21d a xbx b ax b--+⎰27.32d ()x x ax b +⎰=22221ln 22ax b a C b x bx +-+28.22d ()x ax b +⎰=221d 2()2x xb ax b b ax b+++⎰ (五)含有2ax bx c ++(0)a >的积分29.2d x ax bx c ++⎰=22(4)(4)C b ac Cb ac +<+>30.2d x x ax bx c ++⎰=221d ln 22b x ax bx c a a ax bx c++-++⎰(0)a >的积分 31.=1arsh xC a+=ln(x C + 32.C +33.xC34.x=C +35.2x2ln(2a x C ++ 36.2x=ln(x C +++37.1ln aC a x -+ 38.C + 39.x2ln(2a x C ++40.x =2243(25ln(88x x a a x C ++++41.x ⎰C42.x x ⎰=422(2ln(88x a x a x C +++43.d x x ⎰ln a a C x ++44.2d x x ⎰=ln(x C x-+++(0)a >的积分45.=1arch x xC x a+=ln x C ++ 46.C +47.x C +48.x =C +49.2x 2ln 2a x C ++50.2x =ln x C +++51.1arccosaC ax+52.C +53.x 2ln 2a x C ++54.x =2243(25ln 88x x a a x C -++55.x ⎰C56.x x ⎰=422(2ln 88x a x a x C -++57.d x x⎰arccos a a C x +58.2d x x ⎰=ln x C x-+++(0)a >的积分 59.=arcsin xC a+ 60.C +61.x =C62.x C +63.2x =2arcsin 2a x C a + 64.2x arcsinxC a-+65.1ln a C a x +66.C +67.x 2arcsin 2a x C a+68.x =2243(52arcsin 88x x a x a C a-+69.x ⎰=C +70.x x ⎰=422(2arcsin 88x a x x a C a-+71.x a C ++72.x =arcsin xC a-+(0)a >的积分73.2ax b C +++74.x75.x 76.=C +77.x 2C ++78.x =C +79.x =((x b b a C --++80.x =((x b b a C --81.C ()a b <82.x 2()4b a C -++ (十一)含有三角函数的积分83.sin d x x ⎰=cos x C -+ 84.cos d x x ⎰=sin x C + 85.tan d x x ⎰=ln cos x C -+ 86.cot d x x ⎰=ln sin x C +87.sec d x x ⎰=ln tan()42x C π++=ln sec tan x x C ++ 88.csc d x x ⎰=ln tan2xC +=ln csc cot x x C -+ 89.2sec d x x ⎰=tan x C + 90.2csc d x x ⎰=cot x C -+ 91.sec tan d x x x ⎰=sec x C + 92.csc cot d x x x ⎰=csc x C -+93.2sin d x x ⎰=1sin 224x x C -+94.2cos d x x ⎰=1sin 224x x C ++95.sin d n x x ⎰=1211sin cos sin d n n n x x x x n n----+⎰ 96.cos d n x x ⎰=1211cos sin cos d n n n x x x x n n ---+⎰97.d sin n x x ⎰=121cos 2d 1sin 1sin n n x n xn x n x ----⋅+--⎰ 98.d cos n x x ⎰=121sin 2d 1cos 1cos n n x n xn x n x---⋅+--⎰ 99.cos sin d m n x x x ⎰=11211cos sin cos sin d m n m nm x x x x x m n m n -+--+++⎰=11211cos sin cos sin d m n m n n x x x x x m n m n+----+++⎰ 100.sin cos d ax bx x ⎰=11cos()cos()2()2()a b x a b x C a b a b -+--++-101.sin sin d ax bx x ⎰=11sin()sin()2()2()a b x a b x C a b a b -++-++-102.cos cos d ax bx x ⎰=11sin()sin()2()2()a b x a b x C a b a b ++-++-103.d sin xa b x +⎰tanxa b C ++22()a b >104.d sin x a b x +⎰C +22()a b <105.d cos xa b x+⎰)2x C +22()a b >106.d cos x a b x +⎰C +22()a b <107.2222d cos sin x a x b x +⎰=1arctan(tan )bx C ab a+ 108.2222d cos sin xa xb x-⎰=1tan ln 2tan b x a C ab b x a ++- 109.sin d x ax x ⎰=211sin cos ax x ax C a a -+ 110.2sin d x ax x ⎰=223122cos sin cos x ax x ax ax C a a a -+++111.cos d x ax x ⎰=211cos sin ax x ax C a a ++112.2cos d x ax x ⎰=223122sin cos sin x ax x ax ax C a a a+-+(十二)含有反三角函数的积分(其中0a >) 113.arcsin d xx a ⎰=arcsin x x C a+114.arcsin d xx x a ⎰=22()arcsin 24x a x C a -+115.2arcsin d xx x a⎰=3221arcsin (239x x x a C a +++116.arccos d x x a ⎰=arccos x x C a117.arccos d xx x a ⎰=22()arccos 24x a x C a --+118.2arccos d xx x a⎰=3221arccos (239x x x a C a -++119.arctan d xx a ⎰=22arctan ln()2x a x a x C a -++ 120.arctan d x x x a ⎰=221()arctan 22x a a x x C a +-+121.2arctan d xx x a⎰=33222arctan ln()366x x a a x a x C a -+++(十三)含有指数函数的积分122.d x a x ⎰=1ln xa C a + 123.e d ax x ⎰=1e ax C a +124.e d ax x x ⎰=21(1)e ax ax C a -+125.e d n ax x x ⎰=11e e d n ax n ax nx x x a a--⎰126.d x xa x ⎰=21ln (ln )x xx a a C a a -+ 127.d n x x a x ⎰=11d ln ln n x n xn x a x a x a a --⎰ 128.e sin d ax bx x ⎰=221e (sin cos )ax a bx b bx C a b -++129.e cos d ax bx x ⎰=221e (sin cos )ax b bx a bx C a b+++130.e sin d ax n bx x ⎰=12221e sin (sin cos )ax n bx a bx nb bx a b n--+131.e cos d ax n bx x ⎰=12221e cos (cos sin )ax n bx a bx nb bx a b n-++(十四)含有对数函数的积分 132.ln d x x ⎰=ln x x x C -+133.d ln xx x⎰=ln ln x C + 134.ln d n x x x ⎰=111(ln )11n x x C n n +-+++135.(ln )d n x x ⎰=1(ln )(ln )d n n x x n x x --⎰ 136.(ln )d m n x x x ⎰=111(ln )(ln )d 11m n m n nx x x x x m m +--++⎰ (十五)含有双曲函数的积分 137.sh d x x ⎰=ch x C + 138.ch d x x ⎰=sh x C + 139.th d x x ⎰=lnch x C + 140.2sh d x x ⎰=1sh224xx C -++ 141.2ch d x x ⎰=1sh224x x C ++ (十六)定积分142.cos d nx x π-π⎰=sin d nx x π-π⎰=0 143.cos sin d mx nx x π-π⎰=0144.cos cos d mx nx x π-π⎰=0,,m nm n ≠⎧⎨π=⎩145.sin sin d mx nx x π-π⎰=0,,m nm n≠⎧⎨π=⎩146.0sin sin d mx nx x π⎰=0cos cos d mx nx x π⎰=0,,2m n m n ≠⎧⎪⎨π=⎪⎩147. n I =20sin d nx x π⎰=20cos d n x x π⎰n I =21n n I n-- 1342253n n n I n n --=⋅⋅⋅⋅-L (n 为大于1的正奇数),1I =1 13312422n n n I n n --π=⋅⋅⋅⋅⋅-L (n 为正偶数),0I =2π。
求积分公式大全高等数学在高等数学中,积分是微积分中的重要概念之一,用于求解函数的面积、体积、曲线的长度以及求解微分方程等问题。
常见的积分公式包括原函数的求法、基本积分公式、常用函数的积分公式等。
下面将介绍一些常用的积分公式。
1. 原函数的求法原函数是指对于给定函数f(x),找到一个函数F(x),使得F'(x)=f(x)。
常见的函数对应的原函数公式包括:- 常数函数的原函数:∫kdx = kx + C,其中k是常数,C是常数项。
- 幂函数的原函数:∫x^ndx = 1/(n+1)x^(n+1) + C,其中n不等于-1。
- 正弦函数的原函数:∫sinxdx = -cosx + C。
- 余弦函数的原函数:∫cosxdx = sinx + C。
- 指数函数的原函数:∫e^xdx = e^x + C。
2. 基本积分公式基本积分公式是指对于一些常见函数的积分形式,可以直接根据公式进行求解。
常见的基本积分公式包括:- 幂函数积分公式:∫x^n dx = 1/(n+1)x^(n+1) + C,其中n不等于-1。
- 三角函数积分公式:- ∫sinxdx = -cosx + C。
- ∫cosxdx = sinx + C。
- ∫sec^2xdx = tanx + C。
- ∫csc^2xdx = -cotx + C。
- 指数函数积分公式:∫e^xdx = e^x + C。
- 对数函数积分公式:∫1/xdx = ln|x| + C。
3. 常用函数的积分公式除了基本积分公式外,还有一些常用函数的积分公式:- 三角函数的复合函数积分公式:- ∫sin(ax)dx = -1/as * cos(ax) + C。
- ∫cos(ax)dx = 1/as * sin(ax) + C。
- ∫sec^2(ax)dx = 1/as * tan(ax) + C。
- ∫csc^2(ax)dx = -1/as * cot(ax) + C。
微积分公式D x sin x=cos x cos x = -sin x tan x = sec 2 x cot x = -csc 2 x sec x = sec x tan x csc x = -csc x cot x⎰ sin x dx = -cos x + C ⎰ cos x dx = sin x + C ⎰ tan x dx = ln |sec x | + C ⎰ cot x dx = ln |sin x | + C⎰ sec x dx = ln |sec x + tan x | + C ⎰ csc x dx = ln |csc x – cot x | + C sin -1(-x) = -sin -1 x cos -1(-x) = π - cos -1 x tan -1(-x) = -tan -1 x cot -1(-x) = π - cot -1 x sec -1(-x) = π - sec -1 x csc -1(-x) = - csc -1 xD x sin -1 (a x )= 221xa -±cos -1 (a x)=tan -1 (a x )=22x a a +±cot -1 (ax )=sec -1 (a x )=22a x x a-±csc -1 (x/a)= ⎰ sin -1 x dx = x sin -1 x+21x -+C ⎰ cos -1 x dx = x cos -1 x-21x -+C ⎰ tan -1 x dx = x tan -1 x-½ln (1+x 2)+C ⎰ cot -1 x dx = x cot -1 x+½ln (1+x 2)+C ⎰ sec -1 x dx = x sec -1 x- ln |x+12-x |+C⎰ csc -1 x dx = x csc -1 x+ ln |x+12-x |+Csinh -1 (a x)= ln (x+22x a +) x ∈Rcosh -1 (a x)=ln (x+22a x -) x ≧1tanh -1 (a x )=a 21ln (xa xa -+) |x| <1coth -1 (a x )=a 21ln (a x a x -+) |x| >1 sech -1(a x )=ln(x 1-+221xx -)0≦x ≦1 csch -1(a x )=ln(x 1+221xx +) |x| >0 D x sinh x = cosh xcosh x = sinh xtanh x = sech 2 x coth x = -csch 2 x sech x = -sech x tanh x csch x = -csch x coth x ⎰ sinh x dx = cosh x + C ⎰ cosh x dx = sinh x + C⎰ tanh x dx = ln | cosh x |+ C ⎰ coth x dx = ln | sinh x | + C ⎰ sech x dx = -2tan -1 (e -x ) + C ⎰ csch x dx = 2 ln |xxee 211---+| + Cd uv = u d v + v d u⎰ d uv = uv = ⎰ u d v + ⎰ v d u →⎰ u d v = uv - ⎰ v d u cos 2θ-sin 2θ=cos2θ cos 2θ+ sin 2θ=1 cosh 2θ-sinh 2θ=1cosh 2θ+sinh 2θ=cosh2θD x sinh -1(a x )= 221xa + cosh -1(ax)=221ax - tanh -1(a x )= 22x a a -±coth -1(ax )=sech -1(a x )= 22x a x a --csch -1(x/a)=22xa x a +-⎰ sinh -1 x dx = x sinh -1 x-21x ++ C⎰ cosh -1 x dx = x cosh -1 x-12-x + C ⎰ tanh -1 x dx = x tanh -1 x+ ½ ln | 1-x 2|+ C⎰ coth -1 x dx = x coth -1 x- ½ ln | 1-x 2|+ C⎰ sech -1 x dx = x sech -1 x- sin -1 x + C⎰ csch -1 x dx = x csch -1 x+ sinh -1 x + Csin 3θ=3sin θ-4sin 3θ cos3θ=4cos 3θ-3cos θ →sin 3θ= ¼ (3sin θ-sin3θ) →cos 3θ=¼(3cos θ+cos3θ)sin x = j e e jxjx 2-- cos x = 2jx jx e e -+sinh x = 2x x e e -- cosh x = 2xx e e -+正弦定理:αsin a = βsin b =γsin c=2R余弦定理: a 2=b 2+c 2-2bc cos α b 2=a 2+c 2-2ac cos β c 2=a 2+b 2-2ab cos γa b cαβγ Rsin (α±β)=sin α cos β ± cos α sin β cos (α±β)=cos α cos β sin α sin β 2 sin α cos β = sin (α+β) + sin (α-β) 2 cos α sin β = sin (α+β) - sin (α-β) 2 cos α cos β = cos (α-β) + cos (α+β) 2 sin α sin β = cos (α-β) - cos (α+β)sin α + sin β = 2 sin ½(α+β) cos ½(α-β)sin α - sin β = 2 cos ½(α+β) sin ½(α-β)cos α + cos β = 2 cos ½(α+β) cos ½(α-β) cos α - cos β = -2 sin ½(α+β) sin ½(α-β)tan (α±β)=βαβαtan tan tan tan ±, cot (α±β)=βαβαcot cot cot cot ±e x=1+x+!22x +!33x +…+!n x n+ …sin x = x-!33x +!55x -!77x +…+)!12()1(12+-+n x n n + …cos x = 1-!22x +!44x -!66x +…+)!2()1(2n x nn -+ …ln (1+x) = x-22x +33x -44x +…+)!1()1(1+-+n x n n + …tan -1x = x-33x +55x -77x +…+)12()1(12+-+n x n n + …(1+x)r=1+r x+!2)1(-r r x 2+!3)2)(1(--r r r x 3+… -1<x<1 ∑=ni 11= n∑=ni i 1= ½n (n +1)∑=ni i 12=61n (n +1)(2n +1) ∑=ni i13= [½n (n +1)]2Γ(x) = ⎰∞t x-1e -t d t = 2⎰∞t 2x-12t e -d t =⎰∞)1(ln tx-1 d t β(m , n ) =⎰10x m -1(1-x)n -1 d x =2⎰20sin π2m -1x cos 2n -1x d x =⎰∞+-+01)1(nm m x x d x 希腊字母 (Greek Alphabets)大写小写读音 大写 小写读音 大写 小写读音 Α α alpha Ι ι iota Ρ ρrhoΒ β beta Κ κ kappa Σ σ, ς sigmaΓ γ gamma Λ λ lambda Τ τtau Δ δ delta Μ μ mu Υ υ upsilonΕ ε epsilon Ν ν nu Φ φphi Ζ ζ zeta Ξ ξ xi Χ χkhi Η η eta Ο ο omicron Ψ ψpsi ΘθthetaΠπpiΩω omega倒数关系: sin θcsc θ=1; tan θcot θ=1; cos θsec θ=1 商数关系: tan θ=θθcos sin ; cot θ= θθsin cos 平方关系: cos 2θ+ sin 2θ=1; tan 2θ+ 1= sec 2θ; 1+ cot 2θ= csc 2θ順位低順位高; ⎰ 顺位高d 顺位低 ;0*∞ =∞1 *∞ = ∞∞ = 0*01 = 0000 = )(0-∞e ; 0∞ = ∞⋅0e ; ∞1 = ∞⋅0e顺位一: 对数; 反三角(反双曲) 顺位二: 多项函数; 幂函数 顺位三: 指数; 三角(双曲)算术平均数(Arithmetic mean) nX X X X n+++= (21)中位数(Median) 取排序后中间的那位数字 众数(Mode)次数出现最多的数值几何平均数(Geometric mean) n n X X X G ⋅⋅⋅= (21)调和平均数(Harmonic mean))1...11(1121nx x x n H +++=平均差(Average Deviatoin)nX Xni||1-∑变异数(Variance)nX Xni21)(-∑ or1)(21--∑n X Xni标准差(Standard Deviation)nX Xni21)(-∑ or1)(21--∑n X Xni分配 机率函数f (x )期望值E(x )变异数V(x )动差母函数m (t )Discrete Uniform n1 21(n +1) 121(n 2+1) tnt t e e e n --1)1(1Continuous Uniform a b -1 21(a +b ) 121(b -a )2 ta b e e atbt )(--Bernoulli p x q 1-x (x =0, 1)p pq q +pe t Binomial ⎪⎪⎭⎫ ⎝⎛x n p x q n -x npnpq(q+ pe t )nNegative Binomial ⎪⎪⎭⎫ ⎝⎛-+x x k 1p k q x pkq 2p kq k t kqe p )1(-Multinomialf (x 1, x 2, …, x m -1)= m xm x x m p p p x x x n ...!!...!!212121np inp i (1-p i )三项 (p 1e t 1+ p 2e t 2+ p 3)nGeometric pq x-1p1 2p q ttqe pe -1 Hypergeometric⎪⎪⎭⎫ ⎝⎛⎪⎪⎭⎫⎝⎛--⎪⎪⎭⎫ ⎝⎛n N x n k N x k n ⎪⎭⎫ ⎝⎛N k ⎪⎭⎫ ⎝⎛--1N n N n ⎪⎭⎫ ⎝⎛N kPoissone xλλ- λ λ)1(--t e eλNormal 2)(21 21σμπσ--x eμ σ222 21 t t eσμ+Beta 11)1(),(1---βαβαx x Bβαα+2))(1(βαβααβ+++Gammax e x λαλαλ--Γ1)()( λα 2λα αλλ-⎪⎭⎫ ⎝⎛-t Exponentxeλλ-λ121λ t-λλ Chi-Squared χ2 =f (χ2)=212222)(221χχ--⎪⎭⎫⎝⎛Γen n nE(χ2)=nV(χ2)=2n2)21(n t --Weibullαβα--x e1⎪⎭⎫⎝⎛+Γ+111λαβλ⎥⎦⎤⎢⎣⎡⎪⎭⎫ ⎝⎛+Γ-⎪⎭⎫ ⎝⎛+Γ111222λλαλ1 000 000 000 000 000 000 000 000 1024 yotta Y1 000 000 000 000 000 000 000 1021 zetta Z 1 000 000 000 000 000 000 1018 exa E 1 000 000 000 000 000 1015 peta P 1 000 000 000 000 1012 tera T 兆 1 000 000 000 109 giga G 十亿 1 000 000 106 mega M 百万 1 000 103 kilo K 千 100 102 hecto H 百 10 101 deca D 十0.1 10-1 deci d 分,十分之一 0.01 10-2 centi c 厘(或写作「厘」),百分之一 0.001 10-3 milli m 毫,千分之一0.000 001 10-6 micro ? 微,百万分之一 0.000 000 001 10-9 nano n 奈,十亿分之一 0.000 000 000 001 10-12 pico p 皮,兆分之一0.000 000 000 000 001 10-15 femto f 飞(或作「费」),千兆分之一 0.000 000 000 000 000 001 10-18 atto a 阿 0.000 000 000 000 000 000 001 10-21 zepto z 0.000 000 000 000 000 000 000 001 10-24 yocto y。
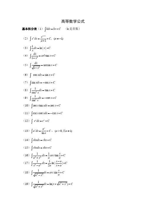
高等数学公式基本积分表(1)kdx kx C =+⎰ (k 是常数)(2)1,1x x dx C μμμ+=++⎰ (1)u ≠- (3)1ln ||dx x C x =+⎰(4)2tan 1dxarl x C x =++⎰ (5)arcsin x C =+(6)cos sin xdx x C =+⎰ (7)sin cos xdx x C =-+⎰(8)21tan cos dx x C x =+⎰(9)21cot sin dx x C x =-+⎰(10)sec tan sec x xdx x C =+⎰ (11)csc cot csc x xdx x C =-+⎰ (12)x x e dx e C =+⎰(13)ln xxa a dx C a=+⎰,(0,1)a a >≠且 (14)shxdx chx C =+⎰ (15)chxdx shx C =+⎰(16)2211tan xdx arc C a x a a =++⎰ (17)2211ln ||2x adx C x a a x a -=+-+⎰ (18)sinxarc C a=+(19)ln(x C =++(20)ln |x C =++(21)tan ln |cos |xdx x C =-+⎰ (22)cot ln |sin |xdx x C =+⎰ (23)sec ln |sec tan |xdx x x C =++⎰ (24)csc ln |csc cot |xdx x x C =-+⎰注:1、从导数基本公式可得前15个积分公式,(16)-(24)式后几节证。
2、以上公式把x 换成u 仍成立,u 是以x 为自变量的函数。
3、复习三角函数公式:2222sin cos 1,tan 1sec ,sin 22sin cos ,x x x x x x x +=+==21cos 2cos 2xx +=, 21cos 2sin 2xx -=。
注:由[()]'()[()]()f x x dx f x d x ϕϕϕϕ=⎰⎰,此步为凑微分过程,所以第一类换元法也叫凑微分法。
高数积分公式大全24个数学中积分公式是学习数学的基石,是求解问题的重要工具。
下面总结了数学高级积分中的24个公式:1. 加法法则:∫u(x)+v(x)dx=∫u(x)dx+∫v(x)dx2. 乘法法则:∫c(x)u(x)dx=c∫u(x)dx3. 幂函数:∫xαdx=xα+1/(α+1)+C4. 指数函数:∫exdx=ex+C5. 根号函数:∫√axdx=2/3√ax3/2+C6. 三角函数:∫sinxdx=−cosx+c7. 反三角函数:∫arcsinxdx=xarcsinx−sinx+C8. 双曲函数:∫sinx/cdx=−ln|cscx+cotx|+C9. 二次函数:∫ax2+bx+cdx=1/3ax3+1/2bx2+cxdx+C10. 指标函数:∫axdx=axlnax−x+C11. 阶乘函数:∫x(n)(dx)=x(n+1)/(n+1)+C12. 拉格朗日积分:∫xn/aeaxdx=xn+1/(an+1)+C13. 对数函数:∫lnxdx=xlnx−x+C14. 锐曲线积分:∫1/(1+a2x2)dx=arctan(ax)+C15. 椭圆积分:∫(dx/a2−dy/b2)dx=b2ln|x/a|+C16. 余切函数:∫cotxdx=ln|sinx|+C17. 正弦函数:∫cosxdx=sinx+C18. 逆正弦函数:∫arccosxdx=xarccosx−sinx+C19. 双曲函数:∫sec2x dx=tanx+C20. 余弦函数:∫−sin(2x)dx=−1/2cos2x+C21. 逆余弦函数:∫arccos(2x)dx=1/2x arccos(2x)+1/2sin(2x)+C22. 零余弦函数:∫acos2x2dx=xacos2x2+1/2sinx+C23. 正切函数:∫tanxdx=ln|secx|+C24. 逆正切函数:∫arctanxdx=xarctanx−1/2ln|x2+1|+C以上就是积分公式的24种,有了这些公式,可以有效地解决复杂的问题。
高等数学微积分公式大全一、基本导数公式⑴()0c '= ⑵1x x μμμ-= ⑶()s i n c o s x x '= ⑷()cos sin x x '=- ⑸()2t a n s e c x x '=⑹()2c o t c s c x x '=-⑺()sec sec tan x x x '=⋅ ⑻()c s c c s c c o tx x x '=-⋅ ⑼()x x e e '= ⑽()ln x x a a a '= ⑾()1ln x x'=⑿()1log ln x a x a'=⒀()a r c s i n x '=⒁()a r c c o s x '=-⒂()21arctan 1x x'=+ ⒃()21a r c c ot 1x x'=-+⒄()1x '=⒅(1'=二、导数的四则运算法则()u v u v '''±=± ()u v uv u v '''=+ 2u u v uv v v '''-⎛⎫= ⎪⎝⎭三、高阶导数的运算法则(1)()()()()()()()n n n u x v x u x v x ±=±⎡⎤⎣⎦(2)()()()()n n cu x cux =⎡⎤⎣⎦(3)()()()()n n nu ax b a uax b +=+⎡⎤⎣⎦(4)()()()()()()()0nn n k kk nk u x v x cux v x -=⋅=⎡⎤⎣⎦∑四、基本初等函数的n 阶导数公式(1)()()!n n x n = (2)()()n ax bnax bea e++=⋅ (3)()()ln n x x na a a =(4)()()sin sin 2n n ax b a ax b n π⎛⎫+=++⋅⎡⎤ ⎪⎣⎦⎝⎭ (5) ()()cos cos 2n nax b a ax b n π⎛⎫+=++⋅⎡⎤ ⎪⎣⎦⎝⎭ (6)()()()11!1n nnn a n ax b ax b +⋅⎛⎫=- ⎪+⎝⎭+ (7) ()()()()()11!ln 1nn n na n axb ax b -⋅-+=-⎡⎤⎣⎦+五、微分公式与微分运算法则 ⑴()0d c = ⑵()1dx xd xμμμ-= ⑶()s i n c o s d x x d x= ⑷()cos sin d x xdx =- ⑸()2t a n s e c d x x d x =⑹()2c o t c s cd x x d x=- ⑺()sec sec tan d x x xdx =⋅ ⑻()c s c c s c c o t d x xx d x=-⋅ ⑼()x x d e e dx = ⑽()ln x x d a a adx = ⑾()1ln d x dx x =⑿()1logln x a d dx x a=⒀()1arcsin d x =⒁()1a r c c o s d x d x=-⒂()21arctan 1d x dx x=+ ⒃()21a r c c o t 1d x d xx=-+ 六、微分运算法则⑴()d u v du dv ±=± ⑵()d cu cdu = ⑶()d uv vdu udv =+ ⑷2u vdu udvd v v -⎛⎫= ⎪⎝⎭七、基本积分公式⑴kdx kx c =+⎰ ⑵11xx d x cμμμ+=++⎰ ⑶ln dx x c x=+⎰⑷ln xxaa dx c a=+⎰ ⑸x xe dx e c =+⎰ ⑹c o s s i n x d x xc=+⎰ ⑺sin cos xdx x c =-+⎰ ⑻221s e c t a n c o s d x x d xx c x ==+⎰⎰ ⑼221csc cot sin xdx x c x==-+⎰⎰ ⑽21a r c t a n 1d x x c x=++⎰⑾arcsin x c =+⎰八、补充积分公式tan lncos xdx x c =-+⎰c o t l n s i n xd x x c=+⎰ sec ln sec tan xdx x x c =++⎰c s c l n c s cc o t xd x x x c=-+⎰ 2211arctanx dx c axaa=++⎰2211ln2x a dx c x a ax a-=+-+⎰arcsinx c a=+⎰ln dx x c =++⎰九、下列常用凑微分公式十、分部积分法公式⑴形如n ax x e dx ⎰,令n u x =,ax dv e dx = 形如sin n x xdx ⎰令n u x =,sin dv xdx =形如cos n x xdx ⎰令n u x =,cos dv xdx = ⑵形如arctan n x xdx ⎰,令arctan u x =,n dv x dx =形如ln n x xdx ⎰,令ln u x =,ndv x dx =⑶形如sin ax e xdx ⎰,cos ax e xdx ⎰令,sin ,cos axu e x x =均可。
微積分公式sin x dx = -cos x + C cos x dx = sin x + C tan x dx = ln |sec x | + C cot x dx = ln |sin x | + Csec x dx = ln |sec x + tan x | + C csc x dx = ln |csc x – cot x | + C sin -1(-x) = -sin -1 xcos -1(-x) = - cos -1 x tan -1(-x) = -tan -1 x cot -1(-x) = - cot -1 x sec -1(-x) = - sec -1 x csc -1(-x) = - csc -1 xsin -1 x dx = x sin -1 x+21x -+C cos -1 x dx = x cos -1 x-21x -+C tan -1 x dx = x tan -1 x-½ln (1+x 2)+C cot -1 x dx = x cot -1 x+½ln (1+x 2)+C sec -1 x dx = x sec -1 x- ln |x+12-x |+Ccsc -1 x dx = x csc -1 x+ ln |x+12-x |+Csinh x dx = cosh x + C cosh x dx = sinh x + C tanh x dx = ln | cosh x |+ C coth x dx = ln | sinh x | + C sech x dx = -2tan -1 (e -x ) + C csch x dx = 2 ln |xx ee 211---+| + Cd uv = u d v + v d ud uv = uv = u d v + v d u→ u d v = uv - v d u cos 2θ-sin 2θ=cos2θ cos 2θ+ sin 2θ=1 cosh 2θ-sinh 2θ=1cosh 2θ+sinh 2θ=cosh2θsinh -1 x dx = x sinh -1 x-21x ++ Ccosh -1 x dx = x cosh -1 x-12-x + C tanh -1 x dx = x tanh -1 x+ ½ ln | 1-x 2|+ Ccoth -1 x dx = x coth -1 x- ½ ln | 1-x 2|+ C sech -1 x dx = x sech -1 x- sin -1 x + C csch -1 x dx = x csch -1 x+ sinh -1 x + Ca bcαβγ R希腊字母 (Greek Alphabets)倒数关系: sin θcsc θ=1; tan θcot θ=1; cos θsec θ=1 商数关系: tan θ=θθcos sin ; cot θ= θθsin cos 平方关系: cos 2θ+ sin 2θ=1; tan 2θ+ 1= sec 2θ; 1+ cot 2θ= csc 2θ順位低順位高; 顺位高d 顺位低 ;0*=∞1 * =∞∞ = 0*01 = 00 00 = )(0-∞e ; 0∞ = ∞⋅0e ; ∞1 = ∞⋅0e1 000 000 000 000 000 000 000 000 10 yotta Y1 000 000 000 000 000 000 000 1021 zetta Z1 000 000 000 000 000 000 1018 exa E1 000 000 000 000 000 1015 peta P1 000 000 000 000 1012 tera T 兆1 000 000 000 109 giga G 十亿1 000 000 106 mega M 百万1 000 103 kilo K 千100 102 hecto H 百10 101 deca D 十0.1 10-1 deci d 分,十分之一0.01 10-2 centi c 厘(或写作「厘」),百分之一0.001 10-3 milli m 毫,千分之一0.000 001 10-6 micro ? 微,百万分之一0.000 000 001 10-9 nano n 奈,十亿分之一0.000 000 000 001 10-12 pico p 皮,兆分之一0.000 000 000 000 001 10-15 femto f 飞(或作「费」),千兆分之一0.000 000 000 000 000 001 10-18 atto a 阿0.000 000 000 000 000 000 001 10-21 zepto z0.000 000 000 000 000 000 000 001 10-24 yocto y重点在三方面:一、函数与反函数的关系:(Function and Inverse Function)以前我们学过的相反运算有:加<------->减;乘<------->除;平方<----->开方;指数<----->对数;三角<----->反三角。
高等数学积分导数公式高等数学中的积分和导数是两个重要的概念,它们在微积分中起着至关重要的作用。
积分和导数的公式是我们研究和解决各种数学问题的基础工具。
本文将介绍一些高等数学中常用的积分和导数公式,帮助读者更好地理解和掌握微积分的核心概念和方法。
一、基本积分公式1.常数函数积分公式:∫kdx=kx+C,其中k为常数,C为常数项。
2.幂函数积分公式:∫x^ndx=1/(n+1)x^(n+1)+C,其中n不等于-13.指数函数积分公式:∫e^xdx=e^x+C。
4.三角函数积分公式:(1)∫sinxdx=-cosx+C。
(2)∫cosxdx=sinx+C。
(3)∫sec^2xdx=tanx+C。
(4)∫csc^2xdx=-cotx+C。
(5)∫secxdxtanxdx=secx+C。
二、基本导数公式1.常数函数导数公式:d/dx(k)=0,其中k为常数。
2.幂函数导数公式:d/dx(x^n)=nx^(n-1),其中n是任意实数。
3.指数函数导数公式:d/dx(e^x)=e^x。
4.对数函数导数公式:d/dx(lnx)=1/x。
5.三角函数导数公式:(1)d/dx(sinx)=cosx。
(2)d/dx(cosx)=-sinx。
(3)d/dx(tanx)=sec^2x。
(4)d/dx(cotx)=-csc^2x。
(5)d/dx(secx)=secxtanx。
(6)d/dx(cscx)=-cscxcotx。
三、基本积分和导数公式的应用1.利用基本积分公式计算确定积分的值。
例如,∫(2x+3)dx=x^2+3x+C。
2.利用基本导数公式计算函数在特定点的导数。
例如,求函数f(x)=3x^2-8x+5在x=2的导数,可使用f'(2)=6(2)-8=43.应用积分和导数来求解各种数学问题。
例如,利用导数和积分来计算曲线的切线和曲线下面积,求解极值点等。
四、基本积分和导数公式的拓展1.利用线性公式,可以把求和的情况化为求一个个积分,例如∫(f(x)+g(x))dx=∫f(x)dx+∫g(x)dx。
微積分公式希腊字母 (Greek Alphabets)倒数关系: sin θcsc θ=1; tan θcot θ=1; cos θsec θ=1 商数关系: tan θ=θθcos sin ; cot θ= θθsin cos平方关系: cos 2θ+ sin 2θ=1; tan 2θ+ 1= sec 2θ; 1+ cot 2θ= csc 2θ順位低順位高; ⎰ 顺位高d 顺位低 ;1 000 000 000 000 000 000 000 000 10 yotta Y1 000 000 000 000 000 000 000 1021 zetta Z1 000 000 000 000 000 000 1018 exa E1 000 000 000 000 000 1015 peta P1 000 000 000 000 1012 tera T 兆1 000 000 000 109 giga G 十亿1 000 000 106 mega M 百万1 000 103 kilo K 千100 102 hecto H 百10 101 deca D 十0.1 10-1 deci d 分,十分之一0.01 10-2 centi c 厘(或写作「厘」),百分之一0.001 10-3 milli m 毫,千分之一0.000 001 10-6 micro ? 微,百万分之一0.000 000 001 10-9 nano n 奈,十亿分之一0.000 000 000 001 10-12 pico p 皮,兆分之一0.000 000 000 000 001 10-15 femto f 飞(或作「费」),千兆分之一0.000 000 000 000 000 001 10-18 atto a 阿0.000 000 000 000 000 000 001 10-21 zepto z0.000 000 000 000 000 000 000 001 10-24 yocto y重点在三方面:一、函数与反函数的关系:(Function and Inverse Function)以前我们学过的相反运算有:加<------->减;乘<------->除;平方<----->开方;指数<----->对数;三角<----->反三角。
常 用 积 分 公 式(一)含有ax b +的积分(0a ≠) 1.d x ax b +⎰=1ln ax b C a ++2.()d ax b x μ+⎰=11()(1)ax b C a μμ++++(1μ≠-)3.d x x ax b +⎰=21(ln )ax b b ax b C a +-++4.2d x x ax b +⎰=22311()2()ln 2ax b b ax b b ax b C a ⎡⎤+-++++⎢⎥⎣⎦5.d ()xx ax b +⎰=1ln ax b C b x +-+6.2d ()xx ax b +⎰=21ln a ax b C bx b x +-++ 7.2d ()x x ax b +⎰=21(ln )b ax b C a ax b++++ 8.22d ()x x ax b +⎰=231(2ln )b ax b b ax b C a ax b+-+-++ 9.2d ()xx ax b +⎰=211ln ()ax b C b ax b b x +-++的积分10.x C +11.x ⎰=22(3215ax b C a -12.x x ⎰=22232(15128105a x abx b C a-+13.x⎰=22(23ax b C a -14.2x ⎰=22232(34815a x abx b C a -+ 15.⎰(0)(0)C b C b ⎧+><16.⎰2a b - 17.d x x ⎰=b ⎰18.2d x x ⎰=2a + (三)含有22x a ±的积分 19.22d x x a +⎰=1arctan xC a a+ 20.22d ()n x x a +⎰=2221222123d 2(1)()2(1)()n n x n xn a x a n a x a ---+-+-+⎰ 21.22d xx a -⎰=1ln 2x a C a x a -++(四)含有2(0)ax b a +>的积分22.2d x ax b +⎰=(0)(0)C b C b ⎧+>+<23.2d x x ax b +⎰=21ln 2ax b C a ++24.22d x x ax b +⎰=2d x b xa a axb -+⎰25.2d ()x x ax b +⎰=221ln 2x C b ax b++26.22d ()x x ax b +⎰=21d a xbx b ax b --+⎰27.32d ()x x ax b +⎰=22221ln 22ax b a C b x bx+-+ 28.22d ()x ax b +⎰=221d 2()2x xb ax b b ax b +++⎰(五)含有2ax bx c ++(0)a >的积分29.2d x ax bx c ++⎰=22(4)(4)C b ac Cb ac +<+>30.2d x x ax bx c ++⎰=221d ln 22b x ax bx c a a ax bx c++-++⎰(0)a >的积分 31.⎰=1arshxC a+=ln(x C ++ 32.C +33.x ⎰C34.x=C +35.2x 2ln(2a x C +36.2x =ln(x C +++37.⎰1ln aC a x -+38.⎰C +39.x 2ln(2a x C ++40.x =2243(25ln(88x x a a x C ++41.x ⎰C +42.xx ⎰=422(2ln(88x a x a x C +++43.x ⎰a C +44.x ⎰=ln(x C +++(0)a >的积分45.⎰=1arch x xC x a+=ln x C + 46.C +47.x ⎰C48.x =C +49.2x 2ln 2a x C +++50.2x =ln x C +++51.⎰1arccos aC a x+52.⎰2C a x +53.x 2ln 2a x C -++54.x =2243(25ln 88x x a a x C -++55.x ⎰C56.xx ⎰=422(2ln 88x a x a x C -+57.x ⎰arccos a a C x -+58.x ⎰=ln x C +++(0)a >的积分 59.⎰=arcsinxC a+ 60.C +61.x ⎰=C +62.x C +63.2x =2arcsin 2a x C a + 64.2x arcsinxC a-+65.⎰1C a +66.⎰2C a x -+67.x 2arcsin 2a x C a+68.x =2243(52arcsin 88x x a x a C a-+69.x ⎰=C70.xx ⎰=422(2arcsin 88x a x x a C a-+71.x ⎰ln a a C x ++72.x ⎰=arcsin xC a-+(0)a >的积分73.⎰2ax b C +++74.x22ax b C ++++75.x ⎰2ax b C -+++76.⎰=C +77.x 2C +78.x ⎰=C ++79.x ⎰=((x b b a C --+80.x ⎰=((x b b a C -+-81.⎰=C ()a b <82.x 2()arcsin 4b a C -+ ()a b < (十一)含有三角函数的积分 83.sin d x x ⎰=cos x C -+84.cos d x x ⎰=sin x C + 85.tan d x x ⎰=ln cos x C -+ 86.cot d x x ⎰=ln sin x C + 87.sec d x x ⎰=ln tan()42xC π++=ln sec tan x x C ++ 88.csc d x x ⎰=ln tan2xC +=ln csc cot x x C -+ 89.2sec d x x ⎰=tan x C + 90.2csc d x x ⎰=cot x C -+ 91.sec tan d x x x ⎰=sec x C + 92.csc cot d x x x ⎰=csc x C -+93.2sin d x x ⎰=1sin 224x x C -+ 94.2cos d x x ⎰=1sin 224x x C ++95.sin d n x x ⎰=1211sin cos sin d n n n x x x x n n----+⎰ 96.cos d n x x ⎰=1211cos sin cos d n n n x x x x n n---+⎰ 97.d sin n x x ⎰=121cos 2d 1sin 1sin n n x n xn x n x ----⋅+--⎰ 98.d cos n x x ⎰=121sin 2d 1cos 1cos n n x n xn x n x---⋅+--⎰ 99.cos sin d m n x x x ⎰=11211cos sin cos sin d m n m nm x x x x x m n m n-+--+++⎰ =11211cos sin cos sin d m n m n n x x x x x m n m n+----+++⎰ 100.sin cos d ax bx x ⎰=11cos()cos()2()2()a b x a b x C a b a b -+--++-101.sin sin d ax bx x ⎰=11sin()sin()2()2()a b x a b x C a b a b -++-++-102.cos cos d ax bx x ⎰=11sin()sin()2()2()a b x a b x C a b a b ++-++-103.d sin xa b x +⎰tanxa b C ++22()a b >104.d sin x a b x +⎰C+22()a b <105.d cos xa b x +⎰)2x C +22()a b >106.d cos x a b x +⎰C +22()a b <107.2222d cos sin x a x b x +⎰=1arctan(tan )bx C ab a + 108.2222d cos sin xa xb x -⎰=1tan ln 2tan b x a C ab b x a ++-109.sin d x ax x ⎰=211sin cos ax x ax C a a -+ 110.2sin d x ax x ⎰=223122cos sin cos x ax x ax ax C a a a -+++111.cos d x ax x ⎰=211cos sin ax x ax C a a ++112.2cos d x ax x ⎰=223122sin cos sin x ax x ax ax C a a a+-+(十二)含有反三角函数的积分(其中0a >)113.arcsin d x x a ⎰=arcsin x x C a++114.arcsin d xx x a ⎰=22()arcsin 24x a x C a -+115.2arcsin d x x x a⎰=3221arcsin (239x x x a C a ++116.arccos d xx a ⎰=arccosxx C a117.arccos d xx x a ⎰=22()arccos 24x a x C a -118.2arccos d x x x a⎰=3221arccos (239x x x a C a -+119.arctand x x a ⎰=22arctan ln()2x a x a x C a -++ 120.arctan d x x x a ⎰=221()arctan 22x a a x x C a +-+121.2arctan d xx x a⎰=33222arctan ln()366x x a a x a x C a -+++ (十三)含有指数函数的积分122.d xa x ⎰=1ln xa C a + 123.e d axx ⎰=1e ax C a +124.e d ax x x ⎰=21(1)e axax C a-+125.e d n axx x ⎰=11e e d n ax n ax n x x x a a--⎰126.d xxa x ⎰=21ln (ln )x x x a a C a a -+ 127.d nxx a x ⎰=11d ln ln n x n xn x a x a x a a --⎰ 128.e sin d axbx x ⎰=221e (sin cos )ax a bx b bx C a b -++ 129.e cos d ax bx x ⎰=221e (sin cos )axb bx a bx C a b+++130.e sin d ax n bx x ⎰=12221e sin (sin cos )ax n bx a bx nb bx a b n--+ 22222(1)e sin d ax n n n b bx x a b n --++⎰131.e cos d ax n bx x ⎰=12221e cos (cos sin )ax n bx a bx nb bx a b n-++ 22222(1)e cos d ax n n n b bx x a b n--++⎰ (十四)含有对数函数的积分132.ln d x x ⎰=ln x x x C -+ 133.d ln x x x ⎰=ln ln x C +134.ln d n x x x ⎰=111(ln )11n x x C n n +-+++ 135.(ln )d n x x ⎰=1(ln )(ln )d n n x x n x x --⎰ 136.(ln )d m n x x x ⎰=111(ln )(ln )d 11m n m n n x x x x x m m +--++⎰ (十五)含有双曲函数的积分 137.sh d x x ⎰=ch x C +138.ch d x x ⎰=sh x C +139.th d x x ⎰=lnch x C + 140.2sh d x x ⎰=1sh224x x C -++ 141.2ch d x x ⎰=1sh224x x C ++ (十六)定积分142.cos d nx x π-π⎰=sin d nx x π-π⎰=0 143.cos sin d mx nx x π-π⎰=0144.cos cos d mx nx x π-π⎰=0,,m n m n ≠⎧⎨π=⎩145.sin sin d mx nx x π-π⎰=0,,m n m n ≠⎧⎨π=⎩ 146.0sin sin d mx nx x π⎰=0cos cos d mx nx x π⎰=0,,2m n m n ≠⎧⎪⎨π=⎪⎩ 147. n I =20sin d n x x π⎰=20cos d n x x π⎰ n I =21n n I n-- 1342253n n n I n n --=⋅⋅⋅⋅- (n 为大于1的正奇数),1I =1 13312422n n n I n n --π=⋅⋅⋅⋅⋅-(n 为正偶数),0I =2π。