高等数学积分公式大全
- 格式:doc
- 大小:816.06 KB
- 文档页数:12
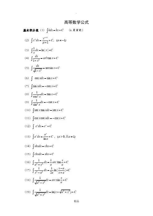
高等数学公式基本积分表(1)kdx kx C =+⎰ (k 是常数)(2)1,1x x dx C μμμ+=++⎰ (1)u ≠- (3)1ln ||dx x C x =+⎰(4)2tan 1dxarl x C x =++⎰ (5)arcsin x C =+(6)cos sin xdx x C =+⎰ (7)sin cos xdx x C =-+⎰(8)21tan cos dx x C x =+⎰(9)21cot sin dx x C x =-+⎰(10)sec tan sec x xdx x C =+⎰ (11)csc cot csc x xdx x C =-+⎰ (12)x x e dx e C =+⎰(13)ln xxa a dx C a=+⎰,(0,1)a a >≠且 (14)shxdx chx C =+⎰ (15)chxdx shx C =+⎰(16)2211tan xdx arc C a x a a =++⎰ (17)2211ln ||2x adx C x a a x a -=+-+⎰ (18)sinxarc C a=+(19)ln(x C=++(20)ln |x C =++(21)tan ln |cos |xdx x C =-+⎰ (22)cot ln |sin |xdx x C =+⎰ (23)sec ln |sec tan |xdx x x C =++⎰ (24)csc ln |csc cot |xdx x x C =-+⎰注:1、从导数基本公式可得前15个积分公式,(16)-(24)式后几节证。
2、以上公式把x 换成u 仍成立,u 是以x 为自变量的函数。
3、复习三角函数公式:2222sin cos 1,tan 1sec ,sin 22sin cos ,x x x x x x x +=+==21cos 2cos 2xx +=, 21cos 2sin 2xx -=。
注:由[()]'()[()]()f x x dx f x d x ϕϕϕϕ=⎰⎰,此步为凑微分过程,所以第一类换元法也叫凑微分法。
高等数学积分公式大全高等数学是一门非常重要的学科,在很多领域都有应用。
其中,积分学是高等数学中的一个重要章节。
积分可以理解为求解曲线图形下面的面积,不同类型的积分公式有着不同的概念和应用,下面,就为大家整理了一份高等数学积分公式大全,让大家对这个知识点有一个更全面的认识。
1. 常数积分公式$$\int kdx=kx+C$$2. 幂函数积分公式$$\int x^ndx=\frac{x^{n+1}}{n+1}+C$$3. 指数函数积分公式$$\int e^xdx=e^x+C$$4. 对数函数积分公式$$\int \frac{1}{x}dx=\ln|x|+C$$5. 三角函数积分公式$$\int \sin xdx=-\cos x+C$$$$\int \cos xdx=\sin x+C$$6. 反三角函数积分公式$$\int \frac{1}{\sqrt{1-x^2}}dx=\arcsin x+C$$$$\int \frac{1}{1+x^2}dx=\arctan x+C$$$$\int \frac{1}{\sqrt{x^2-1}}dx=\ln|x+\sqrt{x^2-1}|+C$$7. 换元法积分公式$$\int f(u)du=\int f(u(x))\frac{du}{dx}dx$$8. 分部积分公式$$\int u(x)v'(x)dx=u(x)v(x)-\int v(x)u'(x)dx$$9. 定积分公式$$\int_a^bf(x)dx=F(b)-F(a)$$10. 积分中值定理$$\int_a^bf(x)dx=f(c)(b-a)$$这便是几种高等数学积分公式的介绍,这些公式是数学中不可或缺的知识点,掌握这些公式不仅有助于学生学好数学,还对应用数学的工作有相当多的帮助。
除了这些基本的积分公式之外,高等数学还涉及到一些比较复杂的积分公式,如多重积分、线性代数积分、微积分方程等等。
1. 多重积分公式多重积分是指对多元函数的积分,通常被用于几何问题、概率论问题和物理学问题中。
高等数学积分公式大全在高等数学中,积分是求解不定积分、定积分和定积分的一种重要方法。
积分公式是指一些常见函数的积分表达式,熟悉和掌握这些公式可以加快求解积分的速度。
下面是一些常见的高等数学积分公式:一、不定积分公式:1. ∫kdx = kx + C (常数函数的积分)2. ∫x^n dx = (x^(n+1))/(n+1) + C (幂函数的积分)其中n不等于-1,C为常数。
3. ∫1/x dx = ln,x, + C (自然对数函数的积分)4. ∫e^x dx = e^x + C (指数函数的积分)5. ∫sinxdx = -cosx + C (正弦函数的积分)6. ∫cosxdx = sinx + C (余弦函数的积分)7. ∫sec^2xdx = tanx + C (正割函数的积分)8. ∫csc^2xdx = -cotx + C (余割函数的积分)9. ∫secxtanxdx = secx + C (正割函数与正切函数的积分)10. ∫cscxcotxdx = -cscx + C (余割函数与余切函数的积分)二、定积分公式:1. ∫[a,b]kdx = k(b-a) (常数函数的定积分)2. ∫[a,b]xdx = (b^2 - a^2)/2 (幂函数的定积分)3. ∫[a,b]1/x dx = ln,b/a,(自然对数函数的定积分)三、定积分计算方法与公式:1.分部积分法∫u(x)v'(x)dx = u(x)v(x) - ∫v(x)u'(x)dx2.代换法(换元积分法)∫f(g(x))*g'(x)dx = ∫f(g(x))d(g(x))3.增广方法当函数的导数是其本身的倍数,例如dy/dx = ky时,可以使用增广方法进行求解,具体公式为∫d(y)e^(-kx) = e^(-kx)y4.牛顿-莱布尼茨公式若F(x)为f(x)的一个原函数,则∫[a,b]f(x)dx = F(b) - F(a)5.分式积分对于形如∫(P(x)/Q(x))dx的分式积分,其中P(x)和Q(x)是多项式函数,可以使用部分分式法进行分解,然后再分别求积分。
高数积分公式大全高等数学中的积分是数学分析的重要内容之一,它是求函数面积、定积分、不定积分等的方法,被广泛应用于科学和工程领域。
下面是高等数学中常用的积分公式大全,供大家参考和学习。
一、基本积分公式:1. 常数函数积分公式:∫c dx = cx + C(其中c为常数,C为积分常数)2. 幂函数积分公式:∫x^n dx = (1/(n+1)) * x^(n+1) + C(其中n不等于-1,C 为积分常数)3. 指数函数积分公式:∫e^x dx = e^x + C4. 三角函数积分公式:∫sin(x) dx = -cos(x) + C∫cos(x) dx = sin(x) + C5. 乘方函数积分公式:∫(a^x) dx = (1/log(a)) * (a^x) + C(其中a为正数且不等于1,C为积分常数)6. 对数函数积分公式:∫(1/x) dx = ln|x| + C二、常用积分公式:1. 三角函数的复合积分:∫sin(ax) dx = - (1/a) * cos(ax) + C∫cos(ax) dx = (1/a) * sin(ax) + C2. 反三角函数的积分:∫1/(√(1-x^2)) dx = arcsin(x) + C∫1/(1+x^2) dx = arctan(x) + C3. 指数函数的积分:∫e^(ax) dx = (1/a) * e^(ax) + C4. 对数函数的积分:∫(1/x) dx = ln|x| + C5. 分式函数的积分:∫(1/(x-a)) dx = ln|x-a| + C(其中a不等于0)∫(1/(x^2+a^2)) dx = (1/a) * arctan(x/a) + C(其中a不等于0)6. 三角函数的积分:∫sin^n(x) cos^m(x) dx7. 部分分式的积分:∫(p(x)/q(x)) dx8. 具体函数的特殊积分:∫e^x sin(x) dx∫e^x cos(x) dx∫(sin(x))^n (cos(x))^m dx(其中n和m为正整数)三、数列求和公式:1. 等差数列求和公式:S_n = (n/2)(a_1 + a_n)(其中S_n为前n项和,a_1为首项,a_n为末项)2. 等比数列求和公式:S_n = (a_1(1-q^n))/(1-q)(其中S_n为前n项和,a_1为首项,q为公比)以上是高等数学中一些常见的积分公式,通过掌握和灵活运用这些公式,可以帮助我们更好地解决数学中的问题。
高数积分公式大全高等数学中的积分公式是解决多种数学问题的重要工具。
积分是微积分的核心概念之一,是对函数进行求和的过程。
下面将介绍一些常见的积分公式。
一、基本积分公式1. 幂函数积分:$\intx^ndx=\frac{1}{n+1}x^{n+1}+C$,其中$n$为常数,$C$为常数项。
2. 正弦函数积分:$\int \sin x dx=-\cos x+C$。
3. 余弦函数积分:$\int \cos x dx=\sin x+C$。
4. 指数函数积分:$\int e^x dx=e^x+C$。
5. 对数函数积分:$\int \frac{1}{x}dx=\ln |x|+C$。
6. 反正切函数积分:$\int\frac{1}{1+x^2}dx=\arctan x+C$。
7. 反正弦函数积分:$\int \frac{1}{\sqrt{1-x^2}}dx=\arcsin x+C$。
8. 反余弦函数积分:$\int \frac{1}{\sqrt{1-x^2}}dx=\arccos x+C$。
二、常用积分公式1. 分部积分法:$\int u dv=uv-\int v du$,其中$u$和$v$是可导函数。
2. 三角函数积分:- $\int \sin^2 x dx=\frac{1}{2}(x-\sin x \cos x)+C$。
- $\int \cos^2 x dx=\frac{1}{2}(x+\sin x \cos x)+C$。
- $\int \sin^3 x dx=-\frac{1}{3}\cos^3 x+C$。
- $\int \cos^3 x dx=\frac{1}{3}\sin^3 x+C$。
3. 积化和差公式:$\int \sin(a+b)x dx=-\frac{\cos(a+b)x}{a+b}+C$。
$\int \cos(a+b)x dx=\frac{\sin(a+b)x}{a+b}+C$。
4. 积化导法:$\intf(ax+b)dx=\frac{1}{a}F(ax+b)+C$,其中$F$为$f$的一个原函数。
高等数学积分公式大全总结在微积分学中,积分是导数的逆运算,用于求解函数的不定积分和定积分。
积分在数学、物理、工程等领域有着广泛的应用。
本文将总结常见的高等数学积分公式,供读者参考。
不定积分公式一、基本积分公式$$\\int k \\, dx = kx + C$$$$\\int x^n \\, dx = \\frac{1}{n+1}x^{n+1} + C \\quad (n \ eq -1)$$$$\\int e^x \\, dx = e^x + C$$$$\\int \\sin x \\, dx = -\\cos x + C$$$$\\int \\cos x \\, dx = \\sin x + C$$$$\\int \\sec^2 x \\, dx = \\tan x + C$$$$\\int \\csc^2 x \\, dx = -\\cot x + C$$二、常见函数积分公式$$\\int \\frac{1}{x} \\, dx = \\ln |x| + C$$$$\\int \\frac{1}{a^2+x^2} \\, dx = \\frac{1}{a}\\arctan \\left(\\frac{x}{a}\\right) + C$$$$\\int \\frac{1}{\\sqrt{a^2-x^2}} \\, dx = \\arcsin\\left(\\frac{x}{a}\\right) + C$$$$\\int \\frac{1}{x\\ln x} \\, dx = \\ln |\\ln x| + C$$$$\\int \\frac{1}{x\\sqrt{1-x^2}} \\, dx = \\arcsin x + C$$定积分公式一、基本定积分公式$$\\int_a^b k \\, dx = k(b-a)$$$$\\int_a^b x^n \\, dx = \\frac{1}{n+1}(b^{n+1}-a^{n+1}) \\quad (n \ eq -1)$$$$\\int_a^b e^x \\, dx = e^b - e^a$$$$\\int_a^b \\sin x \\, dx = \\cos a - \\cos b$$$$\\int_a^b \\cos x \\, dx = \\sin b - \\sin a$$$$\\int_a^b \\sec^2 x \\, dx = \\tan b - \\tan a$$$$\\int_a^b \\csc^2 x \\, dx = \\cot a - \\cot b$$二、常见函数定积分公式$$\\int_a^b \\frac{1}{x} \\, dx = \\ln\\left|\\frac{b}{a}\\right|$$$$\\int_a^b \\frac{1}{a^2+x^2} \\, dx =\\frac{1}{a}(\\arctan \\frac{b}{a} - \\arctan \\frac{a}{a})$$ $$\\int_a^b \\frac{1}{\\sqrt{a^2-x^2}} \\, dx = \\arcsin \\frac{b}{a} - \\arcsin \\frac{a}{a}$$$$\\int_a^b \\frac{1}{x\\ln x} \\, dx = \\ln\\left|\\frac{\\ln b}{\\ln a}\\right|$$$$\\int_a^b \\frac{1}{x\\sqrt{1-x^2}} \\, dx = \\arcsin b - \\arcsin a$$结语以上是高等数学中常见的积分公式,这些公式是学习微积分和解决实际问题的重要工具。
高等数学微积分公式大全一、基本导数公式⑴()0c '=⑵1x x μμμ-=⑶()sin cos x x '=⑷()cos sin x x '=-⑸()2tan sec x x'=⑹()2cot csc x x '=-⑺()sec sec tan x x x '=⋅⑻()csc csc cot x x x'=-⋅⑼()x x e e '=⑽()ln x x a a a '=⑾()1ln x x'=⑿()1log ln x a x a '=⒀()21arcsin 1x x '=-⒁()21arccos 1x x '=--⒂()21arctan 1x x '=+⒃()21arccot 1x x '=-+⒄()1x '=⒅()12x x'=二、导数的四则运算法则三、高阶导数的运算法则(1)()()()()()()()n nn u x v x u x v x ±=±⎡⎤⎣⎦(2)()()()()n n cu x cu x =⎡⎤⎣⎦(3)()()()()n n nu ax b a u ax b +=+⎡⎤⎣⎦(4)()()()()()()()nn n k k k n k u x v x c u x v x -=⋅=⎡⎤⎣⎦∑四、基本初等函数的n 阶导数公式(1)()()!n n x n =(2)()()n ax b n ax be a e ++=⋅(3)()()ln n x x n a a a=(4)()()sin sin 2n nax b a ax b n π⎛⎫+=++⋅⎡⎤ ⎪⎣⎦⎝⎭(5)()()cos cos 2n nax b a ax b n π⎛⎫+=++⋅⎡⎤ ⎪⎣⎦⎝⎭(6)()()()11!1n n nn a n ax b ax b +⋅⎛⎫=- ⎪+⎝⎭+(7)()()()()()11!ln 1n n n na n axb ax b -⋅-+=-⎡⎤⎣⎦+五、微分公式与微分运算法则⑴()0d c =⑵()1d x x dx μμμ-=⑶()sin cos d x xdx =⑷()cos sin d x xdx =-⑸()2tan sec d x xdx=⑹()2cot csc d x xdx =-⑺()sec sec tan d x x xdx=⋅⑻()csc csc cot d x x xdx=-⋅⑼()x x d e e dx =⑽()ln x x d a a adx =⑾()1ln d x dx x=⑿()1log ln x a d dx x a =⒀()21arcsin 1d x dx x=-⒁()21arccos 1d x dxx=--⒂()21arctan 1d x dx x=+⒃()21arccot 1d x dx x=-+六、微分运算法则⑴()d u v du dv ±=±⑵()d cu cdu=⑶()d uv vdu udv =+⑷2u vdu udv d v v-⎛⎫= ⎪⎝⎭七、基本积分公式⑴kdx kx c=+⎰⑵11x x dx cμμμ+=++⎰⑶ln dxx c x=+⎰⑷ln xxa a dx c a=+⎰⑸x x e dx e c =+⎰⑹cos sin xdx x c =+⎰⑺sin cos xdx x c =-+⎰⑻221sec tan cos dx xdx x c x==+⎰⎰⑼221csc cot sin xdx x c x ==-+⎰⎰⑽21arctan 1dx x c x=++⎰⑾21arcsin 1dx x cx=+-⎰八、补充积分公式九、下列常用凑微分公式积分型换元公式十、分部积分法公式⑴形如n ax x e dx ⎰,令n u x =,ax dv e dx =形如sin n x xdx ⎰令n u x =,sin dv xdx =形如cos n x xdx ⎰令n u x =,cos dv xdx =⑵形如arctan n x xdx ⎰,令arctan u x =,n dv x dx =形如ln n x xdx ⎰,令ln u x =,n dv x dx=⑶形如sin ax e xdx ⎰,cos ax e xdx ⎰令,sin ,cos ax u e x x =均可。
高数积分公式大全高数积分公式大全在高等数学中,积分是一个重要的概念和工具。
积分公式是进行积分运算时的基本工具,掌握这些公式对于解题和推导都至关重要。
下面是一些常见的高数积分公式大全,希望对学习者有所帮助。
一、基本积分公式1. ∫xn dx = (1/n+1) xn+1 + C (n≠-1)2. ∫(1/x) dx = ln|x| + C3. ∫e^x dx = e^x + C4. ∫a^x dx = (1/ln(a)) a^x + C (a>0, a≠1)5. ∫sin(x) dx = -cos(x) + C6) ∫cos(x) dx = sin(x) + C7. ∫sec^2(x) dx = tan(x) + C8. ∫csc^2(x) dx = -cot(x) + C9. ∫sec(x)tan(x) dx = sec(x) + C10. ∫csc(x)cot(x) dx = -csc(x) + C11. ∫sec(x) dx = ln|sec(x) + tan(x)| + C12. ∫csc(x) dx = ln|csc(x) - cot(x)| + C13. ∫tan(x) dx = -ln|cos(x)| + C14. ∫cot(x) dx = ln|sin(x)| + C15. ∫cot^2(x) dx = -cot(x) - x + C二、一些特殊函数的积分公式1. ∫e^ax sin(bx) dx = (1/(a^2 + b^2))e^ax (a sin(bx)- b cos(bx)) + C2. ∫e^ax cos(bx) dx = (1/(a^2 + b^2))e^ax (a cos(bx) + b sin(bx)) + C3. ∫si n^2(x) dx = (1/2)(x - sin(x)cos(x)) + C4. ∫cos^2(x) dx = (1/2)(x + sin(x)cos(x)) + C5. ∫sin^3(x) dx = -(1/3)cos^3(x) + (1/3)cos(x) + C6. ∫cos^3(x) dx = (1/3)sin^3(x) + (1/3)sin(x) + C三、三角替换公式1. ∫√(a^2 - x^2) dx = (1/2)(x√(a^2 - x^2) +a^2arcsin(x/a)) + C2. ∫√(x^2 + a^2) dx = (1/2)(x√(x^2 + a^2) + a^2ln|x + √(x^2 + a^2)|) + C3. ∫√(x^2 - a^2) dx = (1/2)(x√(x^2 - a^2) - a^2ln|x + √(x^2 - a^2)|) + C四、分部积分公式1. ∫u dv = uv - ∫v du,其中u和v是可微的函数。
高等数学微积分公式大全一、基本导数公式⑴()0c '= ⑵1x x μμμ-= ⑶()sin cos x x '= ⑷()cos sin x x '=- ⑸()2tan sec x x '= ⑹()2cot csc x x '=-⑺()sec sec tan x x x '=⋅ ⑻()csc csc cot x x x '=-⋅ ⑼()xxe e '= ⑽()ln xxa aa '= ⑾()1ln x x'=⑿()1log ln xax a'= ⒀()arcsin x '= ⒁()arccos x '=⒂()21arctan 1x x '=+ ⒃()21arc cot 1x x '=-+⒄()1x '=⒅'=二、导数的四则运算法则()u v u v '''±=± ()uv u v uv '''=+ 2u u v uv v v '''-⎛⎫= ⎪⎝⎭三、高阶导数的运算法则 (1)()()()()()()()n n n u x v x u x v x ±=±⎡⎤⎣⎦ (2)()()()()n n cu x cu x =⎡⎤⎣⎦(3)()()()()n n nu ax b a uax b +=+⎡⎤⎣⎦(4)()()()()()()()0nn n k k k n k u x v x c u x v x -=⋅=⎡⎤⎣⎦∑四、基本初等函数的n 阶导数公式 (1)()()!n nxn = (2)()()n ax b n ax b e a e ++=⋅ (3)()()ln n x x n a a a =(4)()()sin sin 2n n ax b a ax b n π⎛⎫+=++⋅⎡⎤ ⎪⎣⎦⎝⎭ (5) ()()cos cos 2n nax b a ax b n π⎛⎫+=++⋅⎡⎤ ⎪⎣⎦⎝⎭ (6)()()()11!1n n nn a n ax b ax b +⋅⎛⎫=- ⎪+⎝⎭+ (7) ()()()()()11!ln 1n n n na n axb ax b -⋅-+=-⎡⎤⎣⎦+五、微分公式与微分运算法则⑴()0d c = ⑵()1d x x dx μμμ-= ⑶()sin cos d x xdx =⑷()cos sin d x xdx =- ⑸()2tan sec d x xdx = ⑹()2cot csc d x xdx =-⑺()sec sec tan d x x xdx =⋅ ⑻()csc csc cot d x x xdx =-⋅⑼()x x d e e dx = ⑽()ln x xd a a adx = ⑾()1ln d x dx x=⑿()1logln xad dx x a =⒀()arcsin d x = ⒁()arccos d x =⒂()21arctan 1d x dx x =+ ⒃()21arc cot 1d x dx x=-+ 六、微分运算法则⑴()d u v du dv ±=± ⑵()d cu cdu = ⑶()d uv vdu udv =+ ⑷2u vdu udvd v v -⎛⎫= ⎪⎝⎭七、基本积分公式⑴kdx kx c =+⎰ ⑵11x x dx c μμμ+=++⎰ ⑶ln dx x c x =+⎰⑷ln xxa a dx c a=+⎰ ⑸x x e dx e c =+⎰ ⑹cos sin xdx x c =+⎰ ⑺sin cos xdx x c =-+⎰ ⑻221sec tan cos dx xdx x c x ==+⎰⎰⑼221csc cot sin xdx x c x ==-+⎰⎰⑽21arctan 1dx x c x =++⎰ ⑾arcsin x c =+八、补充积分公式tan ln cos xdx x c =-+⎰ cot ln sin xdx x c =+⎰ sec ln sec tan xdx x x c =++⎰ csc ln csc cot xdx x x c =-+⎰2211arctan x dx c a x a a=++⎰ 2211ln 2x adx c x a a x a-=+-+⎰arcsin xc a =+ln x c =+十、分部积分法公式⑴形如n ax x e dx ⎰,令nu x =,ax dv e dx =形如sin n x xdx ⎰令nu x =,sin dv xdx =形如cos n x xdx ⎰令nu x =,cos dv xdx =⑵形如arctan n x xdx ⎰,令arctan u x =,ndv x dx =形如ln n x xdx ⎰,令ln u x =,ndv x dx =⑶形如sin ax e xdx ⎰,cos ax e xdx ⎰令,sin ,cos axu e x x =均可。
高数积分公式大全24个数学中积分公式是学习数学的基石,是求解问题的重要工具。
下面总结了数学高级积分中的24个公式:1. 加法法则:∫u(x)+v(x)dx=∫u(x)dx+∫v(x)dx2. 乘法法则:∫c(x)u(x)dx=c∫u(x)dx3. 幂函数:∫xαdx=xα+1/(α+1)+C4. 指数函数:∫exdx=ex+C5. 根号函数:∫√axdx=2/3√ax3/2+C6. 三角函数:∫sinxdx=−cosx+c7. 反三角函数:∫arcsinxdx=xarcsinx−sinx+C8. 双曲函数:∫sinx/cdx=−ln|cscx+cotx|+C9. 二次函数:∫ax2+bx+cdx=1/3ax3+1/2bx2+cxdx+C10. 指标函数:∫axdx=axlnax−x+C11. 阶乘函数:∫x(n)(dx)=x(n+1)/(n+1)+C12. 拉格朗日积分:∫xn/aeaxdx=xn+1/(an+1)+C13. 对数函数:∫lnxdx=xlnx−x+C14. 锐曲线积分:∫1/(1+a2x2)dx=arctan(ax)+C15. 椭圆积分:∫(dx/a2−dy/b2)dx=b2ln|x/a|+C16. 余切函数:∫cotxdx=ln|sinx|+C17. 正弦函数:∫cosxdx=sinx+C18. 逆正弦函数:∫arccosxdx=xarccosx−sinx+C19. 双曲函数:∫sec2x dx=tanx+C20. 余弦函数:∫−sin(2x)dx=−1/2cos2x+C21. 逆余弦函数:∫arccos(2x)dx=1/2x arccos(2x)+1/2sin(2x)+C22. 零余弦函数:∫acos2x2dx=xacos2x2+1/2sinx+C23. 正切函数:∫tanxdx=ln|secx|+C24. 逆正切函数:∫arctanxdx=xarctanx−1/2ln|x2+1|+C以上就是积分公式的24种,有了这些公式,可以有效地解决复杂的问题。
高等数学微积分公式大全一、基本导数公式⑴()0c '= ⑵1x x μμμ-= ⑶()sin cos x x '= ⑷()cos sin x x '=- ⑸()2tan sec x x '= ⑹()2cot csc x x '=-⑺()sec sec tan x x x '=⋅ ⑻()csc csc cot x x x '=-⋅ ⑼()xx e e '= ⑽()ln x x a a a '= ⑾()1ln x x'=⑿()1log ln xax a'= ⒀()arcsin x '=⒁()arccos x '= ⒂()21arctan 1x x '=+ ⒃()21arc cot 1x x'=-+ ⒄()1x '=⒅'=二、导数的四则运算法则()u v u v '''±=± ()uv u v uv '''=+ 2u u v uv v v '''-⎛⎫= ⎪⎝⎭三、高阶导数的运算法则 (1)()()()()()()()n n n u x v x u x v x ±=±⎡⎤⎣⎦ (2)()()()()n n cu x cu x =⎡⎤⎣⎦(3)()()()()n n nu ax b a uax b +=+⎡⎤⎣⎦(4)()()()()()()()0nn n k k k n k u x v x c u x v x -=⋅=⎡⎤⎣⎦∑四、基本初等函数的n 阶导数公式 (1)()()!n nxn = (2)()()n ax b n ax b e a e ++=⋅ (3)()()ln n x x n a a a =(4)()()sin sin 2n nax b a ax b n π⎛⎫+=++⋅⎡⎤ ⎪⎣⎦⎝⎭ (5) ()()cos cos 2n nax b a ax b n π⎛⎫+=++⋅⎡⎤ ⎪⎣⎦⎝⎭(6)()()()11!1n n nn a n ax b ax b +⋅⎛⎫=- ⎪+⎝⎭+ (7) ()()()()()11!ln 1n n n na n axb ax b -⋅-+=-⎡⎤⎣⎦+五、微分公式与微分运算法则⑴()0d c = ⑵()1d x x dx μμμ-= ⑶()sin cos d x xdx =⑷()cos sin d x xdx =- ⑸()2tan sec d x xdx = ⑹()2cot csc d x xdx =-⑺()sec sec tan d x x xdx =⋅ ⑻()csc csc cot d x x xdx =-⋅⑼()x x d e e dx = ⑽()ln x xd a a adx = ⑾()1ln d x dx x=⑿()1log ln xad dx x a= ⒀()arcsin d x = ⒁()arccos d x =⒂()21arctan 1d x dx x =+ ⒃()21arc cot 1d x dx x =-+六、微分运算法则 ⑴()d u v du dv ±=± ⑵()d cu cdu =⑶()d uv vdu udv =+⑷2u vdu udvd v v -⎛⎫=⎪⎝⎭七、基本积分公式 ⑴kdx kx c =+⎰⑵11x x dx c μμμ+=++⎰⑶ln dxx c x=+⎰⑷ln xxa a dx c a=+⎰ ⑸x xe dx e c =+⎰⑹cos sin xdx x c =+⎰ ⑺sin cos xdx x c =-+⎰⑻221sec tan cos dx xdx x c x ==+⎰⎰ ⑼221csc cot sin xdx x c x ==-+⎰⎰⑽21arctan 1dx x c x =++⎰⑾arcsin x c =+八、补充积分公式1、tan ln cos xdx x c =-+⎰2、cot ln sin xdx x c =+⎰3、sec ln sec tan xdx x x c =++⎰4、csc ln csc cot xdx x x c =-+⎰5、2211arctan x dx c a x a a =++⎰ 6、2211ln 2x adx c x a a x a-=+-+⎰7、arcsin x c a =+ 8、ln x c =+九、下列常用凑微分公式(积分型————————————换元型)⑴形如n ax x e dx ⎰,令nu x =,ax dv e dx =形如sin n x xdx ⎰令nu x =,sin dv xdx =形如cos n x xdx ⎰令nu x =,cos dv xdx =⑵形如arctan n x xdx ⎰,令arctan u x =,ndv x dx =形如ln n x xdx ⎰,令ln u x =,ndv x dx =⑶形如sin ax e xdx ⎰,cos axe xdx ⎰令,sin ,cos ax u e x x =均可。
高等数学积分公式大全在高等数学中,积分是一个非常重要的概念,它在许多领域都有着广泛的应用,如物理学、工程学、经济学等。
积分公式则是解决积分问题的有力工具。
下面,我们就来详细介绍一下高等数学中的积分公式。
一、不定积分的基本公式1、常数的积分:∫k dx = kx + C (k 为常数,C 为积分常数)2、幂函数的积分:∫x^n dx =(1/(n + 1))x^(n + 1) + C (n ≠ -1)3、指数函数的积分:∫e^x dx = e^x + C∫a^x dx =(1 / lna)a^x + C (a > 0,a ≠ 1)4、对数函数的积分:∫lnx dx = xlnx x + C∫log_a x dx =(1 / lna)x(log_a x 1) + C (a > 0,a ≠ 1)二、三角函数的积分公式1、∫sinx dx = cosx + C2、∫cosx dx = sinx + C3、∫tanx dx = ln|cosx| + C4、∫cotx dx = ln|sinx| + C5、∫secx dx= ln|secx + tanx| + C6、∫cscx dx = ln|cscx + cotx| + C三、反三角函数的积分公式1、∫arcsinx dx = xarcsinx +√(1 x^2) + C2、∫arccosx dx =xarccosx √(1 x^2) + C3、∫arctanx dx = xarctanx (1 / 2)ln(1 + x^2) + C4、∫arccotx dx = xarccotx +(1 / 2)ln(1 + x^2) + C四、有理函数的积分有理函数是指两个多项式的商。
对于形如P(x) /Q(x) 的有理函数,其中 P(x) 和 Q(x) 都是多项式,可以通过多项式的除法将其化为一个多项式和一个真分式之和。
真分式可以通过部分分式分解的方法化为较简单的分式,然后再进行积分。
高等数学公式基本积分表(1)kdx kx C =+⎰ (k 是常数)(2)1,1x x dx C μμμ+=++⎰ (1)u ≠- (3)1ln ||dx x C x =+⎰(4)2tan 1dxarl x C x =++⎰ (5)arcsin x C =+⎰(6)cos sin xdx x C =+⎰ (7)sin cos xdx x C =-+⎰(8)21tan cos dx x C x =+⎰(9)21cot sin dx x C x =-+⎰(10)sec tan sec x xdx x C =+⎰ (11)csc cot csc x xdx x C =-+⎰ (12)x x e dx e C =+⎰(13)ln xxa a dx C a=+⎰,(0,1)a a >≠且 (14)shxdx chx C =+⎰ (15)chxdx shx C =+⎰(16)2211tan xdx arc C a x a a =++⎰ (17)2211ln ||2x adx C x a a x a -=+-+⎰ (18)sinxarc C a=+(19)ln(x C =++(20)ln |x C =++(21)tan ln |cos |xdx x C =-+⎰ (22)cot ln |sin |xdx x C =+⎰ (23)sec ln |sec tan |xdx x x C =++⎰ (24)csc ln |csc cot |xdx x x C =-+⎰注:1、从导数基本公式可得前15个积分公式,(16)-(24)式后几节证。
2、以上公式把x 换成u 仍成立,u 是以x 为自变量的函数。
3、复习三角函数公式:2222sin cos 1,tan 1sec ,sin 22sin cos ,x x x x x x x +=+==21cos 2cos 2xx +=, 21cos 2sin 2xx -=。
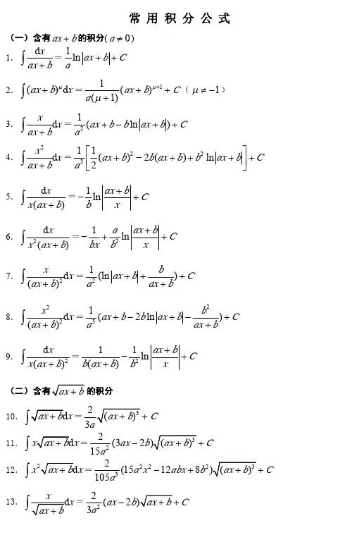
常 用 积 分 公 式(一)含有ax b +的积分(0a ≠) 1.d x ax b +⎰=1ln ax b C a ++2.()d ax b x μ+⎰=11()(1)ax b C a μμ++++(1μ≠-)3.d x x ax b +⎰=21(ln )ax b b ax b C a +-++4.2d x x ax b +⎰=22311()2()ln 2ax b b ax b b ax b C a ⎡⎤+-++++⎢⎥⎣⎦5.d ()xx ax b +⎰=1ln ax b C b x +-+6.2d ()xx ax b +⎰=21ln a ax b C bx b x +-++ 7.2d ()x x ax b +⎰=21(ln )b ax b C a ax b++++ 8.22d ()x x ax b +⎰=231(2ln )b ax b b ax b C a ax b+-+-++ 9.2d ()xx ax b +⎰=211ln ()ax b C b ax b b x +-++的积分10.x C +11.x ⎰=22(3215ax b C a -12.x x ⎰=22232(15128105a x abx b C a-+13.x⎰=22(23ax b C a -14.2x ⎰=22232(34815a x abx b C a -+ 15.⎰(0)(0)C b C b ⎧+><16.⎰2a b - 17.d x x ⎰=b ⎰18.2d x x ⎰=2a + (三)含有22x a ±的积分 19.22d x x a +⎰=1arctan xC a a+ 20.22d ()n x x a +⎰=2221222123d 2(1)()2(1)()n n x n xn a x a n a x a ---+-+-+⎰ 21.22d xx a -⎰=1ln 2x a C a x a -++(四)含有2(0)ax b a +>的积分22.2d x ax b +⎰=(0)(0)C b C b ⎧+>+<23.2d x x ax b +⎰=21ln 2ax b C a ++24.22d x x ax b +⎰=2d x b xa a axb -+⎰25.2d ()x x ax b +⎰=221ln 2x C b ax b++26.22d ()x x ax b +⎰=21d a xbx b ax b --+⎰27.32d ()x x ax b +⎰=22221ln 22ax b a C b x bx+-+ 28.22d ()x ax b +⎰=221d 2()2x xb ax b b ax b +++⎰(五)含有2ax bx c ++(0)a >的积分29.2d x ax bx c ++⎰=22(4)(4)C b ac Cb ac +<+>30.2d x x ax bx c ++⎰=221d ln 22b x ax bx c a a ax bx c++-++⎰(0)a >的积分 31.⎰=1arshxC a+=ln(x C ++ 32.C +33.x ⎰C34.x=C +35.2x 2ln(2a x C +36.2x =ln(x C +++37.⎰1ln aC a x -+38.⎰C +39.x 2ln(2a x C ++40.x =2243(25ln(88x x a a x C ++41.x ⎰C +42.xx ⎰=422(2ln(88x a x a x C +++43.x ⎰a C +44.x ⎰=ln(x C +++(0)a >的积分45.⎰=1arch x xC x a+=ln x C + 46.C +47.x ⎰C48.x =C +49.2x 2ln 2a x C +++50.2x =ln x C +++51.⎰1arccos aC a x+52.⎰2C a x +53.x 2ln 2a x C -++54.x =2243(25ln 88x x a a x C -++55.x ⎰C56.xx ⎰=422(2ln 88x a x a x C -+57.x ⎰arccos a a C x -+58.x ⎰=ln x C +++(0)a >的积分 59.⎰=arcsinxC a+ 60.C +61.x ⎰=C +62.x C +63.2x =2arcsin 2a x C a + 64.2x arcsinxC a-+65.⎰1C a +66.⎰2C a x -+67.x 2arcsin 2a x C a+68.x =2243(52arcsin 88x x a x a C a-+69.x ⎰=C70.xx ⎰=422(2arcsin 88x a x x a C a-+71.x ⎰ln a a C x ++72.x ⎰=arcsin xC a-+(0)a >的积分73.⎰2ax b C +++74.x22ax b C ++++75.x ⎰2ax b C -+++76.⎰=C +77.x 2C +78.x ⎰=C ++79.x ⎰=((x b b a C --+80.x ⎰=((x b b a C -+-81.⎰=C ()a b <82.x 2()arcsin 4b a C -+ ()a b < (十一)含有三角函数的积分 83.sin d x x ⎰=cos x C -+84.cos d x x ⎰=sin x C + 85.tan d x x ⎰=ln cos x C -+ 86.cot d x x ⎰=ln sin x C + 87.sec d x x ⎰=ln tan()42xC π++=ln sec tan x x C ++ 88.csc d x x ⎰=ln tan2xC +=ln csc cot x x C -+ 89.2sec d x x ⎰=tan x C + 90.2csc d x x ⎰=cot x C -+ 91.sec tan d x x x ⎰=sec x C + 92.csc cot d x x x ⎰=csc x C -+93.2sin d x x ⎰=1sin 224x x C -+ 94.2cos d x x ⎰=1sin 224x x C ++95.sin d n x x ⎰=1211sin cos sin d n n n x x x x n n----+⎰ 96.cos d n x x ⎰=1211cos sin cos d n n n x x x x n n---+⎰ 97.d sin n x x ⎰=121cos 2d 1sin 1sin n n x n xn x n x ----⋅+--⎰ 98.d cos n x x ⎰=121sin 2d 1cos 1cos n n x n xn x n x---⋅+--⎰ 99.cos sin d m n x x x ⎰=11211cos sin cos sin d m n m nm x x x x x m n m n-+--+++⎰ =11211cos sin cos sin d m n m n n x x x x x m n m n+----+++⎰ 100.sin cos d ax bx x ⎰=11cos()cos()2()2()a b x a b x C a b a b -+--++-101.sin sin d ax bx x ⎰=11sin()sin()2()2()a b x a b x C a b a b -++-++-102.cos cos d ax bx x ⎰=11sin()sin()2()2()a b x a b x C a b a b ++-++-103.d sin xa b x +⎰tanxa b C ++22()a b >104.d sin x a b x +⎰C+22()a b <105.d cos xa b x +⎰)2x C +22()a b >106.d cos x a b x +⎰C +22()a b <107.2222d cos sin x a x b x +⎰=1arctan(tan )bx C ab a + 108.2222d cos sin xa xb x -⎰=1tan ln 2tan b x a C ab b x a ++-109.sin d x ax x ⎰=211sin cos ax x ax C a a -+ 110.2sin d x ax x ⎰=223122cos sin cos x ax x ax ax C a a a -+++111.cos d x ax x ⎰=211cos sin ax x ax C a a ++112.2cos d x ax x ⎰=223122sin cos sin x ax x ax ax C a a a+-+(十二)含有反三角函数的积分(其中0a >)113.arcsin d x x a ⎰=arcsin x x C a++114.arcsin d xx x a ⎰=22()arcsin 24x a x C a -+115.2arcsin d x x x a⎰=3221arcsin (239x x x a C a ++116.arccos d xx a ⎰=arccosxx C a117.arccos d xx x a ⎰=22()arccos 24x a x C a -118.2arccos d x x x a⎰=3221arccos (239x x x a C a -+119.arctand x x a ⎰=22arctan ln()2x a x a x C a -++ 120.arctan d x x x a ⎰=221()arctan 22x a a x x C a +-+121.2arctan d xx x a⎰=33222arctan ln()366x x a a x a x C a -+++ (十三)含有指数函数的积分122.d xa x ⎰=1ln xa C a + 123.e d axx ⎰=1e ax C a +124.e d ax x x ⎰=21(1)e axax C a-+125.e d n axx x ⎰=11e e d n ax n ax n x x x a a--⎰126.d xxa x ⎰=21ln (ln )x x x a a C a a -+ 127.d nxx a x ⎰=11d ln ln n x n xn x a x a x a a --⎰ 128.e sin d axbx x ⎰=221e (sin cos )ax a bx b bx C a b -++ 129.e cos d ax bx x ⎰=221e (sin cos )axb bx a bx C a b+++130.e sin d ax n bx x ⎰=12221e sin (sin cos )ax n bx a bx nb bx a b n--+ 22222(1)e sin d ax n n n b bx x a b n --++⎰131.e cos d ax n bx x ⎰=12221e cos (cos sin )ax n bx a bx nb bx a b n-++ 22222(1)e cos d ax n n n b bx x a b n--++⎰ (十四)含有对数函数的积分132.ln d x x ⎰=ln x x x C -+ 133.d ln x x x ⎰=ln ln x C +134.ln d n x x x ⎰=111(ln )11n x x C n n +-+++ 135.(ln )d n x x ⎰=1(ln )(ln )d n n x x n x x --⎰ 136.(ln )d m n x x x ⎰=111(ln )(ln )d 11m n m n n x x x x x m m +--++⎰ (十五)含有双曲函数的积分 137.sh d x x ⎰=ch x C +138.ch d x x ⎰=sh x C +139.th d x x ⎰=lnch x C + 140.2sh d x x ⎰=1sh224x x C -++ 141.2ch d x x ⎰=1sh224x x C ++ (十六)定积分142.cos d nx x π-π⎰=sin d nx x π-π⎰=0 143.cos sin d mx nx x π-π⎰=0144.cos cos d mx nx x π-π⎰=0,,m n m n ≠⎧⎨π=⎩145.sin sin d mx nx x π-π⎰=0,,m n m n ≠⎧⎨π=⎩ 146.0sin sin d mx nx x π⎰=0cos cos d mx nx x π⎰=0,,2m n m n ≠⎧⎪⎨π=⎪⎩ 147. n I =20sin d n x x π⎰=20cos d n x x π⎰ n I =21n n I n-- 1342253n n n I n n --=⋅⋅⋅⋅- (n 为大于1的正奇数),1I =1 13312422n n n I n n --π=⋅⋅⋅⋅⋅-(n 为正偶数),0I =2π。