(完整版)高等数学积分公式大全
- 格式:doc
- 大小:816.07 KB
- 文档页数:12
高等数学积分公式大全高等数学是一门非常重要的学科,在很多领域都有应用。
其中,积分学是高等数学中的一个重要章节。
积分可以理解为求解曲线图形下面的面积,不同类型的积分公式有着不同的概念和应用,下面,就为大家整理了一份高等数学积分公式大全,让大家对这个知识点有一个更全面的认识。
1. 常数积分公式$$\int kdx=kx+C$$2. 幂函数积分公式$$\int x^ndx=\frac{x^{n+1}}{n+1}+C$$3. 指数函数积分公式$$\int e^xdx=e^x+C$$4. 对数函数积分公式$$\int \frac{1}{x}dx=\ln|x|+C$$5. 三角函数积分公式$$\int \sin xdx=-\cos x+C$$$$\int \cos xdx=\sin x+C$$6. 反三角函数积分公式$$\int \frac{1}{\sqrt{1-x^2}}dx=\arcsin x+C$$$$\int \frac{1}{1+x^2}dx=\arctan x+C$$$$\int \frac{1}{\sqrt{x^2-1}}dx=\ln|x+\sqrt{x^2-1}|+C$$7. 换元法积分公式$$\int f(u)du=\int f(u(x))\frac{du}{dx}dx$$8. 分部积分公式$$\int u(x)v'(x)dx=u(x)v(x)-\int v(x)u'(x)dx$$9. 定积分公式$$\int_a^bf(x)dx=F(b)-F(a)$$10. 积分中值定理$$\int_a^bf(x)dx=f(c)(b-a)$$这便是几种高等数学积分公式的介绍,这些公式是数学中不可或缺的知识点,掌握这些公式不仅有助于学生学好数学,还对应用数学的工作有相当多的帮助。
除了这些基本的积分公式之外,高等数学还涉及到一些比较复杂的积分公式,如多重积分、线性代数积分、微积分方程等等。
1. 多重积分公式多重积分是指对多元函数的积分,通常被用于几何问题、概率论问题和物理学问题中。
高等数学完整版计算公式一、0101101lim 0n n n m m x m a n m b a x a x a n m b x b x b n m−−→∞⎧=⎪⎪+++⎪=<⎨+++⎪∞>⎪⎪⎩(系数不为0的情况)二、重要公式(1)0sin lim 1x xx→= (2)()10lim 1x x x e →+= (3))1n a o >=(4)lim 1n →∞= (5)lim arctan 2x x π→∞=(6)lim tan 2x arc x π→−∞=−(7)lim arccot 0x x →∞= (8)lim arc cot x x π→−∞= (9)lim 0xx e →−∞=(10)lim x x e →+∞=∞ (11)0lim 1xx x +→=三、下列常用等价无穷小关系(0x→)sin x x ∼ tan x x ∼ arcsin x x ∼ arctan x x ∼ 211cos 2x x −∼()ln 1x x +∼ 1x e x −∼ 1ln x a x a −∼ ()11x x ∂+−∂∼四、导数的四则运算法则()u v u v ′′′±=± ()uv u v uv ′′′=+ 2u u v uv v v ′′′−⎛⎞=⎜⎟⎝⎠五、基本导数公式⑴()0c ′= ⑵1x xμμμ−= ⑶()sin cos x x ′=⑷()cos sin x x ′=− ⑸()2tan sec x x ′= ⑹()2cot csc x x ′=− ⑺()sec sec tan x x x ′=⋅ ⑻()csc csc cot x x x ′=−⋅ ⑼()xxee′= ⑽()ln xxaaa ′= ⑾()1ln x x′=⑿()1log ln xax a ′=⒀()arcsin x ′= ⒁()arccos x ′=⒂()21arctan 1x x ′=+ ⒃()21arccot 1x x′=−+⒄()1x ′=⒅′=六、高阶导数的运算法则 (1)()()()()()()()n n n u x v x u x v x ±=±⎡⎤⎣⎦ (2)()()()()n n cu x cu x =⎡⎤⎣⎦(3)()()()()n n nu ax b a uax b +=+⎡⎤⎣⎦(4)()()()()()()()0nn n k k k n k u x v x c u x v x −=⋅=⎡⎤⎣⎦∑七、基本初等函数的n 阶导数公式 (1)()()!n nxn = (2)()()n ax b n ax b e a e ++=⋅ (3)()()ln n x x n a a a =(4)()()sin sin 2n n ax b a ax b n π⎛⎞+=++⋅⎡⎤⎜⎟⎣⎦⎝⎠(5) ()()cos cos 2n n ax b a ax b n π⎛⎞+=++⋅⎡⎤⎜⎟⎣⎦⎝⎠(6)()()()11!1n n nn a n ax b ax b +⋅⎛⎞=−⎜⎟+⎝⎠+ (7) ()()()()()11!ln 1n n n na n axb ax b −⋅−+=−⎡⎤⎣⎦+八、微分公式与微分运算法则 ⑴()0d c = ⑵()1d xxdx μμμ−= ⑶()sin cos d x xdx =⑷()cos sin d x xdx =− ⑸()2tan sec d x xdx = ⑹()2cot csc d x xdx =− ⑺()sec sec tan d x x xdx =⋅ ⑻()csc csc cot d x x xdx =−⋅ ⑼()xxd ee dx = ⑽()ln xxd a aadx = ⑾()1ln d x dx x=⑿()1log ln xad dx x a= ⒀()arcsin d x dx = ⒁()arccos d x =⒂()21arctan 1d x dx x =+ ⒃()21arc cot 1d x dx x =−+九、微分运算法则⑴()d u v du dv ±=± ⑵()d cu cdu =⑶()d uv vdu udv =+ ⑷2u vdu udvd v v −⎛⎞=⎜⎟⎝⎠十、基本积分公式⑴kdx kx c =+∫ ⑵11x x dx c μμμ+=++∫ ⑶ln dxx c x=+∫ ⑷ln xxa a dx c a=+∫ ⑸x x e dx e c =+∫ ⑹cos sin xdx x c =+∫ ⑺sin cos xdx x c =−+∫ ⑻221sec tan cos dx xdx x c x ==+∫∫⑼221csc cot sin xdx x c x ==−+∫∫⑽21arctan 1dx x c x =++∫ ⑾arcsin x c =+十一、下列常用凑微分公式十二、补充下面几个积分公式tan ln cos xdx x c =−+∫ cot ln sin xdx x c =+∫ sec ln sec tan xdx x x c =++∫ csc ln csc cot xdx x x c =−+∫2211arctan xdx c a x a a=++∫ 2211ln 2x adx c x a a x a−=+−+∫c ln c =+十三、分部积分法公式⑴形如n ax x e dx ∫,令n u x =,axdv e dx = 形如sin n x xdx ∫令nu x =,sin dv xdx = 形如cos n x xdx ∫令nu x =,cos dv xdx = ⑵形如arctan n x xdx ∫,令arctan u x =,ndv x dx = 形如ln n x xdx ∫,令ln u x =,ndv x dx =⑶形如sin axe xdx ∫,cos ax e xdx ∫令,sin ,cos axu e x x =均可。
2.基本积分公式表(1)∫0d x=C(2)=ln|x|+C(3)(m≠-1,x>0)(4)(a>0,a≠1)(5)(6)∫cos x d x=sin x+C(7)∫sin x d x=-cos x+C(8)∫sec2x d x=tan x+C(9)∫csc2x d x=-cot x+C(10)∫sec x tan x d x=sec x+C(11)∫csc x cot x d x=-csc x+C(12)=arcsin x+C(13)=arctan x+C注.(1)不是在m=-1的特例.(2)=ln|x|+C,ln后面真数x要加绝对值,原因是(ln|x|)' =1/x.事实上,对x>0,(ln|x|)' =1/x;若x<0,则(ln|x|)' =(ln(-x))' =.(3)要特别注意与的区别:前者是幂函数的积分,后者是指数函数的积分.下面我们要学习不定积分的计算方法,首先是四则运算.3.不定积分的四则运算根据微分运算公式d(f(x)±g(x))=d f(x)±d g(x)d(kf(x))=k d f(x)我们得不定积分的线性运算公式(1)∫[f(x)±g(x)]d x=∫f(x)d x±∫g(x)d x(2)∫kf(x)d x=k∫f(x)d x,k是非零常数.现在可利用这两个公式与基本积分公式来计算简单不定积分.例2.5.4求∫(x3+3x++5sin x-4cos x)d x解.原式=∫x3d x+∫3x d x+7∫d x+5∫sin x d x-4∫cos x d x=+7ln|x|-5cos x-4sin x+C .注.此例中化为五个积分,应出现五个任意常数,它们的任意性使其可合并成一个任意常数C,因此在最后写出C即可.例2.5.5求∫(1+)3d x解.原式=∫(1+3+3x+)d x=∫d x+3∫d x+3∫x d x+∫d x=x+3+C=x+2x++C .注.∫d x与∫1d x是相同的,其中1可省略.例2.5.6求解.原式===-x+arctan x+C .注.被积函数是分子次数不低于分母次数的分式,称为有理假分式.先将其分出一个整式x2-1,余下的分式为有理真分式,其分子次数低于分母的次数.例2.5.7求.解.原式==∫csc2x d x-∫sec2x d x=-cot x-tan x+C .注.利用三角函数公式将被积函数化简成简单函数以便使用基本积分公式.例2.5.8求.解.原式==+C .为了得到进一步的不定积分计算方法,我们先用微分的链锁法则导出不定积分的重要计算方法−−换元法.思考题.被积函数是有理假分式时,积分之前应先分出一个整式,再加上一个有理真分式,一般情形怎样实施这一步骤?4.第一换元法(凑微分法)我们先看一个例子:例2.5.9求.解.因(1+x2)' =2x,与被积函数的分子只差常数倍数2,如果将分子补成2x,即可将原式变形:原式=(令u=1+x2)=(代回u=1+x2).注.此例解法的关键是凑了微分d(1+x2).一般地在F'(u)=f(u),u=ϕ(x)可导,且ϕ' (x)连续的条件下,我们有第一换元公式(凑微分):u=ϕ (x) 积分代回u=ϕ (x)∫f[ϕ(x)]ϕ' (x)d x=∫f[ϕ(x)]dϕ(x)=∫f(u)d u=F(u)+C=F[ϕ(x)]+C其中函数ϕ(x)是可导的,且F(u)是f(u)的一个原函数.从上述公式可看出凑微分法的步骤:凑微分————→换元————→积分————→再换元ϕ' (x)d x=dϕ(x) u=ϕ(x) 得F(u)+C得F[ϕ(x)]+C注.凑微分法的过程实质上是复合函数求导的链锁法则的逆过程.事实上,在F'(u)=f(u)的前提下,上述公式右端经求导即得:[F[ϕ(x)]+C]' =F '[ϕ(x)]ϕ' (x)=f[ϕ(x)]ϕ' (x)这就验证了公式的正确性.例2.5.10求∫(ax+b)m d x.(m≠-1,a≠0)解.原式=(凑微分d(ax+b))=(换元u=ax+b)=(积分)=. (代回u=ax+b)例2.5.11求.解.原式=(凑微分d(-x3)=-3x2d x)===(换元u=-x3).注.你熟练掌握凑微分法之后,中间换元u=ϕ(x)可省略不写,显得计算过程更简练,但要做到心中有数.例2.5.12求∫tan x d x.解.原式==-ln|cos x|+C .同理可得∫cot x d x=ln|sin x|+C .例2.5.13求(a>0).解.原式==.例2.5.14求(a>0).解.原式==.例2.5.15求.解.原式====.例2.5.16∫sec x d x.解.原式=(换元u=sin x)===(代回u=sin x)===ln|sec x+tan x|+C .公式:∫sec x d x=ln|sec x+tan x|+C .例.2.5.17求∫csc x d x .解.原式===ln|csc x-cot x|+C .公式:∫csc x d x=ln|csc x-cot x|+C .凑微分法是不定积分换元法的第一种形式,其另一种形式是下面的第二换元法.5.第二换元法不定积分第一换元法的公式中核心部分是∫f[ϕ(x)]ϕ'(x)d x=∫f(u)d u我们从公式的左边演算到右边,即换元:u=ϕ(x).与此相反,如果我们从公式的右边演算到左边,那么就是换元的另一种形式,称为第二换元法.即若f(u),u=ϕ(x),ϕ'(x)均连续,u=ϕ(x)的反函数x=ϕ-1(u)存在且可导,F(x)是f[ϕ(x)]ϕ'(x)的一个原函数,则有∫f(u)d u=∫f[ϕ(x)]ϕ'(x)d x=F(x)+C=F[ϕ-1(u)]+C .第二换元法常用于被积函数含有根式的情况.例2.5.18求解.令(此处ϕ(t)=t2).于是原式===(代回t= -1(x)=) 注.你能看到,换元=t的目的在于将被积函数中的无理式转换成有理式,然后积分.第二换元法除处理形似上例这种根式以外,还常处理含有根式,,(a>0)的被积函数的积分.例2.5.19求. (a>0)解.令x=a sec t,则d x=a sec t tan t d t,于是原式==∫sec t d t=ln|sec t+tan t|+C1 .到此需将t代回原积分变量x,用到反函数t=arcsec,但这种做法较繁.下面介绍一种直观的便于实施的图解法:作直角三角形,其一锐角为t及三边a,x,满足:sec t=由此,原式=ln|sec t+tan t|+C1==.注.C1是任意常数,-ln a是常数,由此C=C1-ln a仍是任意常数.(a>0)例2.5.20求.解.令x=a tan t,则d x=a sec2t d t,于是原式==∫sec t d t=ln|sec t+tan t|+C1 .图解换元得原式=ln|sec t+tan t|+C1=.公式:.例2.5.21求(a>0).解.令x=a sin t,则d x=a cos t d t,于是原式===+C.图解换元得:原式=+C=+C .除了换元法积分外,还有一个重要的积分公式,即分部积分公式.思考题.在第二换元法公式中,请你注意加了一个条件“u=ϕ(x)的反函数x=ϕ1-(u)存在且可导”,你能否作出解释,为什么要加此条件?6.分部积分公式我们从微分公式d(uv)=v d u+u d v两边积分,即∫d(uv)=∫v d u+∫u d v由此导出不定积分的分部积分公式∫u d v=uv -∫v d u下面通过例子说明公式的用法.例2.5.22求∫x2ln x d x解.∫x2ln x d x=(将微分dln x算出)==.例2.5.23求∫x2sin x d x.解.原式=∫x2d(-cos x) (凑微分)=-x2cos x-∫(-cos x)d(x2) (用分部积分公式)=-x2cos x+∫2x cos x d x=-x2cos x+2∫x dsin x(第二次凑微分)=-x2cos x+2[x sin x-∫sin x d x] (第二次用分部积分公式)=-x2cos x+2x sin x+2cos x+C .例2.5.24求∫e x sin x d x.解.∫e x sin x d x=∫sin x d e x (凑微分)=e x sin x-∫e x dsin x(用分部积分公式)=e x sin x-∫e x cos x d x(算出微分)=e x sin x-∫cos x d e x(第二次凑微分)=e x sin x-[e x cos x-∫e x dcos x] (第二次用分部积分公式)=e x(sin x-cos x)-∫e x sin x d x(第二次算出微分)由此得:2∫e x sin x d x=e x(sin x-cos x)+2C因此∫e x sin x d x=(sin x-cos x)+C .注.(1)此例中在第二次凑微分时,必须与第一次凑的微分形式相同.否则若将∫e x cos x d x凑成∫e x dsin x,那将产生恶性循环,你可试试.(2)积分常数C可写在积分号∫一旦消失之后.例2.5.25求∫arctan x d x解.此题被积函数可看作x0arctan x,x0d x=d x,即适合分部积分公式中u=arctan x,v=x.故原式=x arctan x - ∫x d(arctan x) (用分部积分公式)=x arctan x - d x(算出微分)=x arctan x - (凑微分)=x arctan x - ln(1+x2)+C .小结.(1)分部积分公式常用于被积函数是两种不同类型初等函数之积的情形,例如x3arctan x,x3ln x 幂函数与反正切或对数函数x2sin x,x2cos x幂函数与正弦,余弦x2e x幂函数与指数函数e x sin x,e x cos x 指数函数与正弦,余弦等等.(2)在用分部积分公式计算不定积分时,将哪类函数凑成微分d v,一般应选择容易凑的那个.例如arctan x d,ln x d我们已学习了不定积分的几种常用方法,除了熟练运用这些方法外,在许多数学手册中往往列举了几百个不定积分公式,它们不是基本的,不需要熟记,但可以作为备查之用,称为积分表.思考题.你仔细观察分部积分公式,掌握其中使用的规律,特别是第一步凑微分时如何选择微分.7.积分表的使用除了基本积分公式之外,在许多数学手册中往往列举了几百个补充的积分公式,构成了积分表.下面列出本节已得到的基本积分公式.(1)∫0d x=C(2)=ln|x|+C(3)(m≠-1,x>0)(4)(a>0,a≠1)(5)(6)∫cos x d x=sin x+C(7)∫sin x d x=- cos x+C(8)∫sec2x d x=tan x+C(9)∫csc2x d x=- cot x+C(10)∫sec x tan x d x=sec x+C(11)∫csc x cot x d x=-csc x+C(12)=arcsin x+C(13)=arctan x+C(14)∫tan x d x=-ln|cos x|+C(15)∫cot x d x=ln|sin x|+C(16)=(a>0)(17)=(a>0)(18)(a>0)(19)=(a>0)(20)∫sec x d x=ln|sec x+tan x|+C(21)∫csc x d x=ln|csc x-cot x|+C利用积分表中的公式,可使积分计算大大简化.积分表的使用方法比较简单,现举一例说明之.例2.5.26求解.从积分表中查得公式则将a=3,b=-1,c=4代入上式并添上积分常数C即得解答:=.。
高数积分公式大全高等数学中的积分是数学分析的重要内容之一,它是求函数面积、定积分、不定积分等的方法,被广泛应用于科学和工程领域。
下面是高等数学中常用的积分公式大全,供大家参考和学习。
一、基本积分公式:1. 常数函数积分公式:∫c dx = cx + C(其中c为常数,C为积分常数)2. 幂函数积分公式:∫x^n dx = (1/(n+1)) * x^(n+1) + C(其中n不等于-1,C 为积分常数)3. 指数函数积分公式:∫e^x dx = e^x + C4. 三角函数积分公式:∫sin(x) dx = -cos(x) + C∫cos(x) dx = sin(x) + C5. 乘方函数积分公式:∫(a^x) dx = (1/log(a)) * (a^x) + C(其中a为正数且不等于1,C为积分常数)6. 对数函数积分公式:∫(1/x) dx = ln|x| + C二、常用积分公式:1. 三角函数的复合积分:∫sin(ax) dx = - (1/a) * cos(ax) + C∫cos(ax) dx = (1/a) * sin(ax) + C2. 反三角函数的积分:∫1/(√(1-x^2)) dx = arcsin(x) + C∫1/(1+x^2) dx = arctan(x) + C3. 指数函数的积分:∫e^(ax) dx = (1/a) * e^(ax) + C4. 对数函数的积分:∫(1/x) dx = ln|x| + C5. 分式函数的积分:∫(1/(x-a)) dx = ln|x-a| + C(其中a不等于0)∫(1/(x^2+a^2)) dx = (1/a) * arctan(x/a) + C(其中a不等于0)6. 三角函数的积分:∫sin^n(x) cos^m(x) dx7. 部分分式的积分:∫(p(x)/q(x)) dx8. 具体函数的特殊积分:∫e^x sin(x) dx∫e^x cos(x) dx∫(sin(x))^n (cos(x))^m dx(其中n和m为正整数)三、数列求和公式:1. 等差数列求和公式:S_n = (n/2)(a_1 + a_n)(其中S_n为前n项和,a_1为首项,a_n为末项)2. 等比数列求和公式:S_n = (a_1(1-q^n))/(1-q)(其中S_n为前n项和,a_1为首项,q为公比)以上是高等数学中一些常见的积分公式,通过掌握和灵活运用这些公式,可以帮助我们更好地解决数学中的问题。
求积分公式大全高等数学在高等数学中,积分是微积分中的重要概念之一,用于求解函数的面积、体积、曲线的长度以及求解微分方程等问题。
常见的积分公式包括原函数的求法、基本积分公式、常用函数的积分公式等。
下面将介绍一些常用的积分公式。
1. 原函数的求法原函数是指对于给定函数f(x),找到一个函数F(x),使得F'(x)=f(x)。
常见的函数对应的原函数公式包括:- 常数函数的原函数:∫kdx = kx + C,其中k是常数,C是常数项。
- 幂函数的原函数:∫x^ndx = 1/(n+1)x^(n+1) + C,其中n不等于-1。
- 正弦函数的原函数:∫sinxdx = -cosx + C。
- 余弦函数的原函数:∫cosxdx = sinx + C。
- 指数函数的原函数:∫e^xdx = e^x + C。
2. 基本积分公式基本积分公式是指对于一些常见函数的积分形式,可以直接根据公式进行求解。
常见的基本积分公式包括:- 幂函数积分公式:∫x^n dx = 1/(n+1)x^(n+1) + C,其中n不等于-1。
- 三角函数积分公式:- ∫sinxdx = -cosx + C。
- ∫cosxdx = sinx + C。
- ∫sec^2xdx = tanx + C。
- ∫csc^2xdx = -cotx + C。
- 指数函数积分公式:∫e^xdx = e^x + C。
- 对数函数积分公式:∫1/xdx = ln|x| + C。
3. 常用函数的积分公式除了基本积分公式外,还有一些常用函数的积分公式:- 三角函数的复合函数积分公式:- ∫sin(ax)dx = -1/as * cos(ax) + C。
- ∫cos(ax)dx = 1/as * sin(ax) + C。
- ∫sec^2(ax)dx = 1/as * tan(ax) + C。
- ∫csc^2(ax)dx = -1/as * cot(ax) + C。
常用积分公式以下是常用的积分公式:1.基本积分公式:∫x^n dx = (1/(n+1)) x^(n+1) + C (其中n不等于-1)∫1/x dx = ln,x, + C∫e^x dx = e^x + C∫a^x dx = (a^x)/(ln(a)) + C∫sin(x) dx = -cos(x) + C∫cos(x) dx = sin(x) + C∫sec^2(x) dx = tan(x) + C∫csc^2(x) dx = -cot(x) + C∫1/(1+x^2) dx = arctan(x) + C∫1/(sqrt(1-x^2)) dx = arcsin(x) + C2.三角函数积分公式:∫sin^n(x) dx = (-1/(n-1)) * (sin^(n-1)(x)) * cos(x) + (n-2)/(n-1) * ∫sin^(n-2)(x) dx (其中n>1)∫cos^n(x) dx = (1/(n-1)) * (cos^(n-1)(x)) * sin(x) + (n-2)/(n-1) * ∫cos^(n-2)(x) dx (其中n>1)3.指数函数积分公式:∫e^ax dx = (1/a) * e^ax + C4.对数函数积分公式:∫ln(x) dx = x * ln(x) - x + C5.分部积分法:∫u dv = u*v - ∫v du6.替换变量法:∫f(g(x)) * g'(x) dx = ∫f(u) du (其中u=g(x))7.特殊积分公式:∫sinh(x) dx = cosh(x) + C∫cosh(x) dx = sinh(x) + C∫tanh(x) dx = ln,cosh(x), + C∫coth(x) dx = ln,sinh(x), + C∫sech(x) dx = arctan(e^x) + C∫csch(x) dx = ln,tanh(x/2), + C8.常见函数的积分:∫e^x sin(x) dx = (1/2) * (e^x * sin(x) - e^x * cos(x)) + C ∫e^x cos(x) dx = (1/2) * (e^x * sin(x) + e^x * cos(x)) + C ∫sin(x) cos(x) dx = -(1/2) * cos^2(x) + C∫1/(x^2 + a^2) dx = (1/a) * arctan(x/a) + C∫1/(a^2 - x^2) dx = (1/2a) * ln,((a+x)/(a-x)), + C ∫1/√(a^2 - x^2) dx = arcsin(x/a) + C9.高阶公式:∫ln^2(x) dx = x * ln^2(x) - 2x * ln(x) + 2x + C∫x * ln(x) dx = (1/2) x^2 * ln(x) - (1/4) x^2 + C∫ln,sin(x), dx = x * ln,sin(x), - x + C∫ln,cos(x), dx = x * ln,cos(x), - x + C。
高等数学公式基本积分表1kdxkxC k是常数211xxdxC 1u 31lndxxCx42tan1dxarlxCx 52arcsin1dxxCx 6cossinxdxxC 7sincosxdxxC 821tancosdxxCx921cotsindxxCx 10sectansecxxdxxC 11csccotcscxxdxxC 12xxedxeC 13lnxxaadxCa01aa 且14shxdxchxC 15chxdxshxC 162211tanxdxarcCaxaa 172211ln2xadxCxaaxa18221sinxdxarcCaax 1922221lndxxaxCax 202222lndxxxaCxa 21tanlncosxdxxC22cotlnsinxdxxC 23seclnsectanxdxxxC 24csclncsccotxdxxxC 注1、从导数基本公式可得前15个积分公式16-24式后几节证。
2、以上公式把x换成u仍成立u是以x为自变量的函数。
3、复习三角函数公式2222sincos1tan1secsin22sincosxxxxxxx21cos2cos2xx 21cos2sin2xx。
注由fxxdxfxdx此步为凑微分过程所以第一类换元法也叫凑微分法。
此方法是非常重要的一种积分法要运用自如务必熟记基本积分表并掌握常见的凑微分形式及“凑”的技巧。
小结1常用凑微分公式xuxuxuxuxuxuaueuxuxubaxuxdxfdxxxfxdxfdxxxfxdxfxdxxfxdxfxdxxfxdxfxdxxfxdxfxdx xfdaafadxaafdeefdxeefxdxfdxxxfxdxfdxxxfabaxdbaxfadxbaxfxxxxxxxxxxarcsinarctancot tancossinlnarcsinarcsin11arcsin.11arctanarctan11arctan.10cotcotcsccot.9tantansectan.8co scossincos.7sinsincossin.6ln1.5..4lnln1ln.301.201.122221法分积元换一第换元公式积分类型导数公式基本积分表三角函数的有理式积分222212211cos12sinududxxtguuuxuux一些初等函数两个重要极限axxaaactgxxxtgxxxxctgxxtgxaxxln1loglncsccscsecseccscsec222222111111arccos11arcsi nxarcctgxxarctgxxxxxCaxxaxdxCshxchxdxCchxshxdxCaadxaCxctgxdxxCxdxtgxxCctgx xdxxdxCtgxxdxxdxxxlnlncsccscsecseccscsinseccos22222222CaxxadxCxaxaaxadxCaxax aaxdxCaxarctgaxadxCctgxxxdxCtgxxxdxCxctgxdxCxtgxdxarcsinln21ln211csclncscsecln secsinlncosln22222222CaxaxaxdxxaCaxxaaxxdxaxCaxxaaxxdxaxInnxdxxdxInnnnarcsin 22ln22ln221cossin222222222222222222222020 三角函数公式·诱导公式函数角A sin cos tg ctg -α -sinα cosα -tgα -ctgα 90°-α cosα sinα ctgα tgα 90°α cosα -sinα -ctgα -tgα 180°-α sinα -cosα -tgα -ctgα 180°α -sinα -cosα tgα ctgα 270°-α -cosα -sinα ctgα tgα 270°α -cosα sinα -ctgα -tgα 360°-α -sinα cosα -tgα -ctgα 360°α sinα cosα tgα ctgα ·和差角公式·和差化积公式2sin2sin2coscos2cos2cos2coscos2sin2cos2sinsin2cos2sin2sinsinctgctgctgctgctgtgtgtgtgtg 11sinsincoscoscossincoscossinsinxxarthxxxarchxxxarshxeeeechxshxthxeechxeeshxxxxxx xxx11ln211ln1ln:2:2:22双曲正切双曲余弦双曲正弦...590457182818284.211lim1sinlim0exxxxxx·倍角公式·半角公式cos1sinsincos1cos1cos12cos1sinsincos1cos1cos122cos12cos2cos12sinctgtg·正弦定理RCcBbAa2sinsinsin ·余弦定理Cabbaccos2222 ·反三角函数性质arcctgxarctgxxx2arccos2arcsin高阶导数公式——莱布尼兹Leibniz 公式2101121nkknnnnnkkknknnuvvukknnnvunnvnuvuvuCuv 中值定理与导数应用拉格朗日中值定理。
高等数学积分公式大全在高等数学中,积分是一个非常重要的概念,它在许多领域都有着广泛的应用,如物理学、工程学、经济学等。
积分公式则是解决积分问题的有力工具。
下面,我们就来详细介绍一下高等数学中的积分公式。
一、不定积分的基本公式1、常数的积分:∫k dx = kx + C (k 为常数,C 为积分常数)2、幂函数的积分:∫x^n dx =(1/(n + 1))x^(n + 1) + C (n ≠ -1)3、指数函数的积分:∫e^x dx = e^x + C∫a^x dx =(1 / lna)a^x + C (a > 0,a ≠ 1)4、对数函数的积分:∫lnx dx = xlnx x + C∫log_a x dx =(1 / lna)x(log_a x 1) + C (a > 0,a ≠ 1)二、三角函数的积分公式1、∫sinx dx = cosx + C2、∫cosx dx = sinx + C3、∫tanx dx = ln|cosx| + C4、∫cotx dx = ln|sinx| + C5、∫secx dx= ln|secx + tanx| + C6、∫cscx dx = ln|cscx + cotx| + C三、反三角函数的积分公式1、∫arcsinx dx = xarcsinx +√(1 x^2) + C2、∫arccosx dx =xarccosx √(1 x^2) + C3、∫arctanx dx = xarctanx (1 / 2)ln(1 + x^2) + C4、∫arccotx dx = xarccotx +(1 / 2)ln(1 + x^2) + C四、有理函数的积分有理函数是指两个多项式的商。
对于形如P(x) /Q(x) 的有理函数,其中 P(x) 和 Q(x) 都是多项式,可以通过多项式的除法将其化为一个多项式和一个真分式之和。
真分式可以通过部分分式分解的方法化为较简单的分式,然后再进行积分。
常 用 积 分 公 式(一)含有ax b +的积分(0a ≠) 1.d x ax b+⎰=1ln ax b C a++2.()d ax b x μ+⎰=11()(1)ax b C a μμ++++(1μ≠-)3.d x x ax b+⎰=21(ln )ax b b ax b C a+-++4.2d xx ax b+⎰=22311()2()ln 2ax b b ax b b ax b C a ⎡⎤+-++++⎢⎥⎣⎦ 5.d ()xx ax b +⎰=1ln ax b C b x +-+6.2d ()xx ax b +⎰=21lna axb C bx bx+-++7.2d ()x x ax b +⎰=21(ln )b ax b C aax b++++8.22d ()xx ax b +⎰=231(2ln )bax b b ax b C aax b+-+-++9.2d ()x x ax b +⎰=211ln()ax b C b ax b bx+-++的积分10.x ⎰=C11.x ⎰=22(3215ax b C a-+12.x x ⎰=22232(15128105a x abx b C a-+13.x⎰=22(23ax b C a-+14.2x⎰=22232(34815a x abx b C a-+15.⎰(0)(0)C b C b ⎧+>⎪<⎪⎩16.d x ⎰=2a bxb --⎰17.x x ⎰=b ⎰18.2d x x⎰=2ax-+⎰(三)含有22x a ±的积分 19.22d x x a+⎰=1arctanx C aa+20.22d ()nx x a +⎰=2221222123d 2(1)()2(1)()n n xn xn a x a n axa ---+-+-+⎰21.22d x x a-⎰=1ln 2x a C ax a-++(四)含有2(0)ax b a +>的积分22.2d x ax b+⎰=(0)(0)Cb Cb ⎧+>⎪⎪⎨+<23.2d x x ax b+⎰=21ln 2ax b C a ++ 24.22d xx ax b+⎰=2d x bxaa axb-+⎰25.2d ()xx ax b +⎰=221ln2xC bax b++26.22d ()xx ax b +⎰=21d axbxb axb--+⎰27.32d ()x x ax b +⎰=22221ln22ax b a C bxbx+-+28.22d ()x ax b +⎰=221d 2()2x xb ax b b axb+++⎰(五)含有2ax bx c ++(0)a >的积分29.2d x ax bx c ++⎰=22(4)(4)C b ac Cb ac +<⎨+>30.2d x x ax bx c++⎰=221d ln 22b xax bx c aaaxbx c++-++⎰(0)a >的积分 31.⎰=1arshx C a+=ln(x C ++32.⎰C +33.x ⎰C34.x ⎰=C -+35.2x ⎰2ln(2ax C ++36.2x ⎰=ln(x C -+++37.⎰1lnaC ax +38.⎰=2C a x-+39.x ⎰=2ln(2ax C +++40.x ⎰=2243(25ln(88x x a a x C ++++41.x ⎰=C +42.xx ⎰=422(2ln(88x ax a x C +++43.x x ⎰lna C +44.2d x x⎰=ln(x C x-+++(0)a >的积分45.⎰1archx x C xa+=ln x C ++46.⎰C -+47.x ⎰C48.x ⎰=C -+49.2x ⎰2ln 2ax C +++50.2x ⎰=ln x C -+++51.⎰=1arccosa C ax+52.⎰=2C a x+53.x ⎰2ln 2ax C +54.x ⎰=2243(25ln 88x x a a x C -++55.x ⎰=C +56.xx ⎰=422(2ln 88x ax a x C --++57.x x ⎰arccosa a C x+58.x x⎰=ln x C x-+++(0)a >的积分59.⎰=arcsinx C a +60.⎰C +61.x ⎰=C +62.x ⎰C +63.2x ⎰=2arcsin2ax C a-+64.2x ⎰arcsinx C a-+65.⎰=1lna C ax-+66.⎰=2C a x-+67.x ⎰2arcsin2ax C a+68.x ⎰=2243(52arcsin88x x a x a C a-++69.x ⎰=C -70.xx ⎰=422(2arcsin88x ax x a C a-+71.x x ⎰lna C +72.x x⎰=arcsin x C xa--+(0)a >的积分73.⎰12ax b C +++74.x ⎰2n 2a x b c C++++75.x ⎰=n 2a x b c C-+++ 76.⎰=C -+77.x ⎰2C ++78.x ⎰=C -+79.x ⎰=(()x b b a C -+-+80.x ⎰=(()arcsinx b b a C --81.⎰2arcsinC +()a b <82.x ⎰=2()arcsin4b a C -()a b < (十一)含有三角函数的积分 83.sin d x x ⎰=cos x C -+ 84.cos d x x ⎰=sin x C + 85.tan d x x ⎰=ln cos x C -+ 86.cot d x x ⎰=ln sin x C + 87.sec d x x ⎰=ln tan()42x C π++=ln sec tan x x C ++88.csc d x x ⎰=ln tan2x C +=ln csc cot x x C -+89.2sec d x x ⎰=tan x C + 90.2csc d x x ⎰=cot x C -+91.sec tan d x x x ⎰=sec x C + 92.csc cot d x x x ⎰=csc x C -+ 93.2sin d x x ⎰=1sin 224x x C -+ 94.2cos d x x ⎰=1sin 224x x C ++95.sin d n x x ⎰=1211sin cos sind n n n x x x x nn ----+⎰96.cos d nx x ⎰=1211cos sin cosd n n n x x x x nn---+⎰97.d sin nx x ⎰=121cos 2d 1sin 1sinn n xn xn xn x ----⋅+--⎰ 98.d cos n x x⎰=121sin 2d 1cos1cosn n xn xn xn x---⋅+--⎰99.cos sin d m nx x x ⎰=11211cos sincossin d m n m nm x x x x x m nm n-+--+++⎰=11211cossin cos sind m n mn n x x x x x m nm n+----+++⎰100.sin cos d ax bx x ⎰=11cos()cos()2()2()a b x a b x C a b a b -+--++-101.sin sin d ax bx x ⎰=11sin()sin()2()2()a b x a b x C a b a b -++-++-102.cos cos d ax bx x ⎰=11sin()sin()2()2()a b x a b x C a b a b ++-++-103.d sin x a b x+⎰=tanx a bC++22()a b >104.d sin x a b x+⎰=C+22()a b <105.d cos x a b x+⎰)2x C +22()a b >106.d cos x a b x+⎰C+22()a b <107.2222d cos sin xa xb x+⎰=1arctan(tan )b x C aba+108.2222d cos sin xa xb x-⎰=1tan ln2tan b x a C ab b x a++-109.sin d x ax x ⎰=211sin cos ax x ax C aa-+110.2sin d x ax x ⎰=223122cos sin cos x ax x ax ax C aaa-+++111.cos d x ax x ⎰=211cos sin ax x ax C aa++ 112.2cos d x ax x ⎰=223122sin cos sin x ax x ax ax C aaa+-+(十二)含有反三角函数的积分(其中0a >) 113.arcsin d xx a⎰=arcsinx x C a +114.arcsind x x x a⎰=22()arcsin24xax C a-+115.2arcsin d x x x a ⎰=3221arcsin(239xx x a C a+++116.arccos d xx a⎰=arccosx x C a-117.arccos d x x x a⎰=22()arccos24xax C a--+118.2arccos d x x x a⎰=3221arccos(239xx x a C a-+119.arctand x x a⎰=22arctan ln()2x a x a x C a-++120.arctand x x x a ⎰=221()arctan 22x a a x x C a+-+121.2arctand x x x a⎰=33222arctanln()366xx a ax a x C a-+++(十三)含有指数函数的积分 122.d xa x ⎰=1ln xa C a +123.e d axx ⎰=1e axC a +124.e d ax x x ⎰=21(1)e axax C a -+ 125.e d naxx x ⎰=11ee d naxn axn x xx aa--⎰126.d xxa x ⎰=21ln (ln )xxx a a C aa -+127.d nxx a x ⎰=11d ln ln nxn xnx a x a x aa--⎰128.e sin d axbx x ⎰=221e (sin cos )axa bxb bx C a b-++ 129.e cos d axbx x ⎰=221e (sin cos )axb bx a bx C a b+++ 130.e sin d axnbx x ⎰=12221esin(sin cos )ax n bx a bx nb bx a b n--+22222(1)es i n d a xn n n b b x x a b n--++⎰131.e cos d axnbx x ⎰=12221ecos (cos sin )axn bx a bx nb bx a b n-++22222(1)e c o s d a xn n n b b x x a b n--++⎰(十四)含有对数函数的积分 132.ln d x x ⎰=ln x x x C -+ 133.d ln x x x⎰=ln ln x C +134.ln d nx x x ⎰=111(ln )11n xx C n n +-+++135.(ln )d n x x ⎰=1(ln )(ln )d n n x x n x x --⎰136.(ln )d m n x x x ⎰=111(ln )(ln )d 11m nmn nxx x x x m m +--++⎰(十五)含有双曲函数的积分 137.sh d x x ⎰=ch x C + 138.ch d x x ⎰=sh x C + 139.th d x x ⎰=ln ch x C + 140.2sh d x x ⎰=1sh 224x x C -++141.2ch d x x ⎰=1sh 224x x C ++(十六)定积分142.cos d nx x π-π⎰=sin d nx x π-π⎰=0143.cos sin d mx nx x π-π⎰=0144.cos cos d mx nx x π-π⎰=0,,m n m n ≠⎧⎨π=⎩145.sin sin d mx nx x π-π⎰=0,,m n m n≠⎧⎨π=⎩146.0sin sin d mx nx x π⎰=0cos cos d mx nx x π⎰=0,,2m n m n ≠⎧⎪⎨π=⎪⎩ 147. n I =2sin d nx x π⎰=20cos d nx x π⎰ n I =21n n I n--1342253n n n I n n --=⋅⋅⋅⋅- (n 为大于1的正奇数),1I =113312422n n n I n n --π=⋅⋅⋅⋅⋅-(n 为正偶数),0I =2π。
常用积分公式表大全在数学的学习和应用中,积分是一个非常重要的概念和工具。
积分公式就像是一把把钥匙,能够帮助我们打开解决各种问题的大门。
下面就为大家整理一份常用的积分公式表。
一、基本积分公式1、∫kdx = kx + C (k 为常数)这意味着对于任何常数 k,其积分结果是 k 乘以 x 再加上常数 C。
2、∫x^n dx =(1/(n + 1))x^(n + 1) + C (n ≠ -1)当幂次为 n 时,积分结果为(1/(n + 1))乘以 x 的(n + 1)次幂加上常数 C。
3、∫dx/x = ln|x| + C对 1/x 进行积分,结果是自然对数 ln|x|加上常数 C 。
4、∫e^x dx = e^x + C指数函数 e^x 的积分还是它本身 e^x 加上常数 C 。
5、∫a^x dx =(1/ln a)a^x + C (a > 0,a ≠ 1)对于底数为 a 的指数函数 a^x 的积分,结果是(1/ln a)乘以 a^x 加上常数 C 。
6、∫sin x dx = cos x + C正弦函数 sin x 的积分是 cos x 加上常数 C 。
7、∫cos x dx = sin x + C余弦函数 cos x 的积分是 sin x 加上常数 C 。
8、∫tan x dx = ln|cos x| + C正切函数 tan x 的积分是 ln|cos x|加上常数 C 。
9、∫cot x dx = ln|sin x| + C余切函数 cot x 的积分是 ln|sin x|加上常数 C 。
10、∫sec x dx = ln|sec x + tan x| + C正割函数 sec x 的积分是 ln|sec x + tan x|加上常数 C 。
11、∫csc x dx = ln|csc x + cot x| + C余割函数 csc x 的积分是 ln|csc x + cot x|加上常数 C 。
高等数学积分导数公式高等数学中的积分和导数是两个重要的概念,它们在微积分中起着至关重要的作用。
积分和导数的公式是我们研究和解决各种数学问题的基础工具。
本文将介绍一些高等数学中常用的积分和导数公式,帮助读者更好地理解和掌握微积分的核心概念和方法。
一、基本积分公式1.常数函数积分公式:∫kdx=kx+C,其中k为常数,C为常数项。
2.幂函数积分公式:∫x^ndx=1/(n+1)x^(n+1)+C,其中n不等于-13.指数函数积分公式:∫e^xdx=e^x+C。
4.三角函数积分公式:(1)∫sinxdx=-cosx+C。
(2)∫cosxdx=sinx+C。
(3)∫sec^2xdx=tanx+C。
(4)∫csc^2xdx=-cotx+C。
(5)∫secxdxtanxdx=secx+C。
二、基本导数公式1.常数函数导数公式:d/dx(k)=0,其中k为常数。
2.幂函数导数公式:d/dx(x^n)=nx^(n-1),其中n是任意实数。
3.指数函数导数公式:d/dx(e^x)=e^x。
4.对数函数导数公式:d/dx(lnx)=1/x。
5.三角函数导数公式:(1)d/dx(sinx)=cosx。
(2)d/dx(cosx)=-sinx。
(3)d/dx(tanx)=sec^2x。
(4)d/dx(cotx)=-csc^2x。
(5)d/dx(secx)=secxtanx。
(6)d/dx(cscx)=-cscxcotx。
三、基本积分和导数公式的应用1.利用基本积分公式计算确定积分的值。
例如,∫(2x+3)dx=x^2+3x+C。
2.利用基本导数公式计算函数在特定点的导数。
例如,求函数f(x)=3x^2-8x+5在x=2的导数,可使用f'(2)=6(2)-8=43.应用积分和导数来求解各种数学问题。
例如,利用导数和积分来计算曲线的切线和曲线下面积,求解极值点等。
四、基本积分和导数公式的拓展1.利用线性公式,可以把求和的情况化为求一个个积分,例如∫(f(x)+g(x))dx=∫f(x)dx+∫g(x)dx。
微積分公式希腊字母 (Greek Alphabets)倒数关系: sin θcsc θ=1; tan θcot θ=1; cos θsec θ=1 商数关系: tan θ=θθcos sin ; cot θ= θθsin cos平方关系: cos 2θ+ sin 2θ=1; tan 2θ+ 1= sec 2θ; 1+ cot 2θ= csc 2θ順位低順位高; ⎰ 顺位高d 顺位低 ;1 000 000 000 000 000 000 000 000 10 yotta Y1 000 000 000 000 000 000 000 1021 zetta Z1 000 000 000 000 000 000 1018 exa E1 000 000 000 000 000 1015 peta P1 000 000 000 000 1012 tera T 兆1 000 000 000 109 giga G 十亿1 000 000 106 mega M 百万1 000 103 kilo K 千100 102 hecto H 百10 101 deca D 十0.1 10-1 deci d 分,十分之一0.01 10-2 centi c 厘(或写作「厘」),百分之一0.001 10-3 milli m 毫,千分之一0.000 001 10-6 micro ? 微,百万分之一0.000 000 001 10-9 nano n 奈,十亿分之一0.000 000 000 001 10-12 pico p 皮,兆分之一0.000 000 000 000 001 10-15 femto f 飞(或作「费」),千兆分之一0.000 000 000 000 000 001 10-18 atto a 阿0.000 000 000 000 000 000 001 10-21 zepto z0.000 000 000 000 000 000 000 001 10-24 yocto y重点在三方面:一、函数与反函数的关系:(Function and Inverse Function)以前我们学过的相反运算有:加<------->减;乘<------->除;平方<----->开方;指数<----->对数;三角<----->反三角。
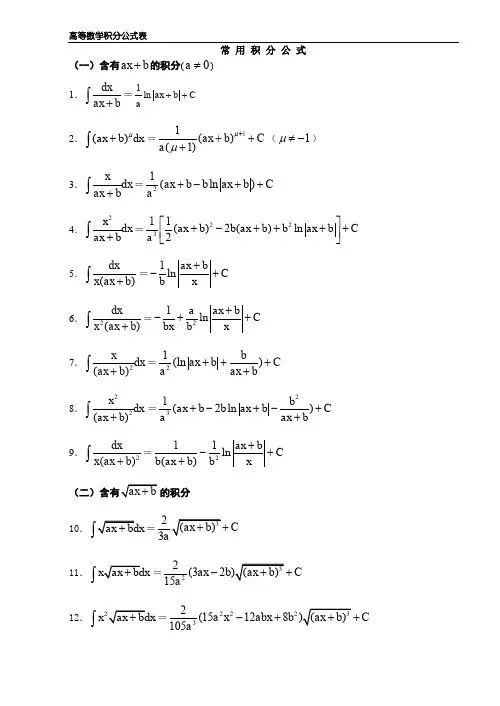
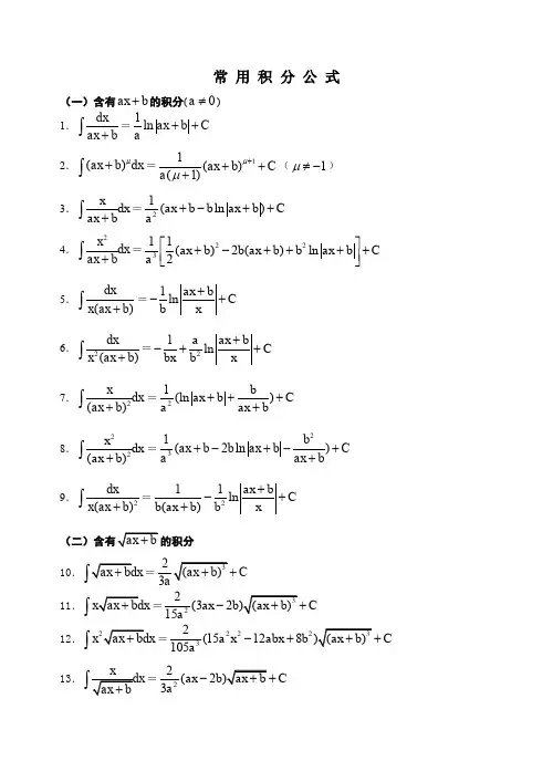
常 用 积 分 公 式(一)含有ax b +的积分(0a ≠) 1.d x ax b +⎰=1ln ax b C a ++2.()d ax b x μ+⎰=11()(1)ax b C a μμ++++(1μ≠-)3.d x x ax b +⎰=21(ln )ax b b ax b C a +-++4.2d x x ax b +⎰=22311()2()ln 2ax b b ax b b ax b C a ⎡⎤+-++++⎢⎥⎣⎦5.d ()xx ax b +⎰=1ln ax b C b x +-+6.2d ()xx ax b +⎰=21ln a ax b C bx b x +-++ 7.2d ()x x ax b +⎰=21(ln )b ax b C a ax b++++ 8.22d ()x x ax b +⎰=231(2ln )b ax b b ax b C a ax b+-+-++ 9.2d ()xx ax b +⎰=211ln ()ax b C b ax b b x +-++的积分10.x C +11.x ⎰=22(3215ax b C a -12.x x ⎰=22232(15128105a x abx b C a-+13.x⎰=22(23ax b C a -14.2x ⎰=22232(34815a x abx b C a -+ 15.⎰(0)(0)C b C b ⎧+><16.⎰2a b - 17.d x x ⎰=b ⎰18.2d x x ⎰=2a + (三)含有22x a ±的积分 19.22d x x a +⎰=1arctan xC a a+ 20.22d ()n x x a +⎰=2221222123d 2(1)()2(1)()n n x n xn a x a n a x a ---+-+-+⎰ 21.22d xx a -⎰=1ln 2x a C a x a -++(四)含有2(0)ax b a +>的积分22.2d x ax b +⎰=(0)(0)C b C b ⎧+>+<23.2d x x ax b +⎰=21ln 2ax b C a ++24.22d x x ax b +⎰=2d x b xa a axb -+⎰25.2d ()x x ax b +⎰=221ln 2x C b ax b++26.22d ()x x ax b +⎰=21d a xbx b ax b --+⎰27.32d ()x x ax b +⎰=22221ln 22ax b a C b x bx+-+ 28.22d ()x ax b +⎰=221d 2()2x xb ax b b ax b +++⎰(五)含有2ax bx c ++(0)a >的积分29.2d x ax bx c ++⎰=22(4)(4)C b ac Cb ac +<+>30.2d x x ax bx c ++⎰=221d ln 22b x ax bx c a a ax bx c++-++⎰(0)a >的积分 31.⎰=1arshxC a+=ln(x C ++ 32.C +33.x ⎰C34.x=C +35.2x 2ln(2a x C +36.2x =ln(x C +++37.⎰1ln aC a x -+38.⎰C +39.x 2ln(2a x C ++40.x =2243(25ln(88x x a a x C ++41.x ⎰C +42.xx ⎰=422(2ln(88x a x a x C +++43.x ⎰a C +44.x ⎰=ln(x C +++(0)a >的积分45.⎰=1arch x xC x a+=ln x C + 46.C +47.x ⎰C48.x =C +49.2x 2ln 2a x C +++50.2x =ln x C +++51.⎰1arccos aC a x+52.⎰2C a x +53.x 2ln 2a x C -++54.x =2243(25ln 88x x a a x C -++55.x ⎰C56.xx ⎰=422(2ln 88x a x a x C -+57.x ⎰arccos a a C x -+58.x ⎰=ln x C +++(0)a >的积分 59.⎰=arcsinxC a+ 60.C +61.x ⎰=C +62.x C +63.2x =2arcsin 2a x C a + 64.2x arcsinxC a-+65.⎰1C a +66.⎰2C a x -+67.x 2arcsin 2a x C a+68.x =2243(52arcsin 88x x a x a C a-+69.x ⎰=C70.xx ⎰=422(2arcsin 88x a x x a C a-+71.x ⎰ln a a C x ++72.x ⎰=arcsin xC a-+(0)a >的积分73.⎰2ax b C +++74.x22ax b C ++++75.x ⎰2ax b C -+++76.⎰=C +77.x 2C +78.x ⎰=C ++79.x ⎰=((x b b a C --+80.x ⎰=((x b b a C -+-81.⎰=C ()a b <82.x 2()arcsin 4b a C -+ ()a b < (十一)含有三角函数的积分 83.sin d x x ⎰=cos x C -+84.cos d x x ⎰=sin x C + 85.tan d x x ⎰=ln cos x C -+ 86.cot d x x ⎰=ln sin x C + 87.sec d x x ⎰=ln tan()42xC π++=ln sec tan x x C ++ 88.csc d x x ⎰=ln tan2xC +=ln csc cot x x C -+ 89.2sec d x x ⎰=tan x C + 90.2csc d x x ⎰=cot x C -+ 91.sec tan d x x x ⎰=sec x C + 92.csc cot d x x x ⎰=csc x C -+93.2sin d x x ⎰=1sin 224x x C -+ 94.2cos d x x ⎰=1sin 224x x C ++95.sin d n x x ⎰=1211sin cos sin d n n n x x x x n n----+⎰ 96.cos d n x x ⎰=1211cos sin cos d n n n x x x x n n---+⎰ 97.d sin n x x ⎰=121cos 2d 1sin 1sin n n x n xn x n x ----⋅+--⎰ 98.d cos n x x ⎰=121sin 2d 1cos 1cos n n x n xn x n x---⋅+--⎰ 99.cos sin d m n x x x ⎰=11211cos sin cos sin d m n m nm x x x x x m n m n-+--+++⎰ =11211cos sin cos sin d m n m n n x x x x x m n m n+----+++⎰ 100.sin cos d ax bx x ⎰=11cos()cos()2()2()a b x a b x C a b a b -+--++-101.sin sin d ax bx x ⎰=11sin()sin()2()2()a b x a b x C a b a b -++-++-102.cos cos d ax bx x ⎰=11sin()sin()2()2()a b x a b x C a b a b ++-++-103.d sin xa b x +⎰tanxa b C ++22()a b >104.d sin x a b x +⎰C+22()a b <105.d cos xa b x +⎰)2x C +22()a b >106.d cos x a b x +⎰C +22()a b <107.2222d cos sin x a x b x +⎰=1arctan(tan )bx C ab a + 108.2222d cos sin xa xb x -⎰=1tan ln 2tan b x a C ab b x a ++-109.sin d x ax x ⎰=211sin cos ax x ax C a a -+ 110.2sin d x ax x ⎰=223122cos sin cos x ax x ax ax C a a a -+++111.cos d x ax x ⎰=211cos sin ax x ax C a a ++112.2cos d x ax x ⎰=223122sin cos sin x ax x ax ax C a a a+-+(十二)含有反三角函数的积分(其中0a >)113.arcsin d x x a ⎰=arcsin x x C a++114.arcsin d xx x a ⎰=22()arcsin 24x a x C a -+115.2arcsin d x x x a⎰=3221arcsin (239x x x a C a ++116.arccos d xx a ⎰=arccosxx C a117.arccos d xx x a ⎰=22()arccos 24x a x C a -118.2arccos d x x x a⎰=3221arccos (239x x x a C a -+119.arctand x x a ⎰=22arctan ln()2x a x a x C a -++ 120.arctan d x x x a ⎰=221()arctan 22x a a x x C a +-+121.2arctan d xx x a⎰=33222arctan ln()366x x a a x a x C a -+++ (十三)含有指数函数的积分122.d xa x ⎰=1ln xa C a + 123.e d axx ⎰=1e ax C a +124.e d ax x x ⎰=21(1)e axax C a-+125.e d n axx x ⎰=11e e d n ax n ax n x x x a a--⎰126.d xxa x ⎰=21ln (ln )x x x a a C a a -+ 127.d nxx a x ⎰=11d ln ln n x n xn x a x a x a a --⎰ 128.e sin d axbx x ⎰=221e (sin cos )ax a bx b bx C a b -++ 129.e cos d ax bx x ⎰=221e (sin cos )axb bx a bx C a b+++130.e sin d ax n bx x ⎰=12221e sin (sin cos )ax n bx a bx nb bx a b n--+ 22222(1)e sin d ax n n n b bx x a b n --++⎰131.e cos d ax n bx x ⎰=12221e cos (cos sin )ax n bx a bx nb bx a b n-++ 22222(1)e cos d ax n n n b bx x a b n--++⎰ (十四)含有对数函数的积分132.ln d x x ⎰=ln x x x C -+ 133.d ln x x x ⎰=ln ln x C +134.ln d n x x x ⎰=111(ln )11n x x C n n +-+++ 135.(ln )d n x x ⎰=1(ln )(ln )d n n x x n x x --⎰ 136.(ln )d m n x x x ⎰=111(ln )(ln )d 11m n m n n x x x x x m m +--++⎰ (十五)含有双曲函数的积分 137.sh d x x ⎰=ch x C +138.ch d x x ⎰=sh x C +139.th d x x ⎰=lnch x C + 140.2sh d x x ⎰=1sh224x x C -++ 141.2ch d x x ⎰=1sh224x x C ++ (十六)定积分142.cos d nx x π-π⎰=sin d nx x π-π⎰=0 143.cos sin d mx nx x π-π⎰=0144.cos cos d mx nx x π-π⎰=0,,m n m n ≠⎧⎨π=⎩145.sin sin d mx nx x π-π⎰=0,,m n m n ≠⎧⎨π=⎩ 146.0sin sin d mx nx x π⎰=0cos cos d mx nx x π⎰=0,,2m n m n ≠⎧⎪⎨π=⎪⎩ 147. n I =20sin d n x x π⎰=20cos d n x x π⎰ n I =21n n I n-- 1342253n n n I n n --=⋅⋅⋅⋅- (n 为大于1的正奇数),1I =1 13312422n n n I n n --π=⋅⋅⋅⋅⋅-(n 为正偶数),0I =2π。