高等数学积分公式和微积分公式大全
- 格式:doc
- 大小:1.30 MB
- 文档页数:19
高等数学常用微积分公式一、极限1.无穷大与无穷小:当x→∞时,若极限值L=0,则称函数f(x)是无穷小。
常见无穷小有:x→0时的无穷小o(x)、无穷次可导的无穷小O(x^n);当x→∞时,若极限值L≠0或不存在,则称函数f(x)是无穷大;2.函数极限:若函数f(x)当x→a时的极限存在稳定的常数L,则称L为f(x)当x→a时的极限,记作:lim(x→a) f(x) = L;3.等价无穷小:若 f(x) 和 g(x) 都是x→a 时的无穷小,并且lim(x→a)(f(x)/g(x))=1,则称 f(x) 和 g(x) 是x→a 时的等价无穷小。
二、导数1.导数的定义:若函数f(x)在点x处的函数值可近似表示为f(x+Δx)≈f(x)+f'(x)Δx,其中f'(x)为f(x)在点x处的导数,则称f'(x)是函数f(x)在点x处的导数。
2.常见函数的导数:(1)和差法则:(u±v)'=u'±v';(2)乘法法则:(u*v)'=u'*v+u*v';(3)除法法则:(u/v)'=(u'*v-u*v')/v^2,其中v≠0;(4) 链式法则:若 y=f(u),u=g(x) ,则 y=f(g(x)) 的导数为dy/dx = f'(u)*g'(x)。
3.高阶导数:函数f(x)的导数f'(x)的导数称为f(x)的二阶导数,记为f''(x)。
可以依此类推,得到函数f(x)的n阶导数f^(n)(x)。
三、微分1.微分的定义:函数 f(x) 在点 x 处的微分记为 dx,根据导数的定义,有 df(x) = f'(x)dx。
2.微分的性质:(1)常数微分:d(c)=0,其中c为常数;(2) 取单项微分:d(x^n) = nx^(n-1)dx,其中 n 为实数,x 为变量;(3) 和差微分:d(u ± v) = du ± dv;(4) 乘法微分:d(uv) = u*dv + v*du;(5) 除法微分:d(u/v) = (v*du - u*dv)/v^2,其中v ≠ 0;(6) 复合函数微分:若 y=f(u),u=g(x),则 dy = f'(u)du =f'(g(x))g'(x)dx。
高等数学一(微积分)常用公式表-CAL-FENGHAI-(2020YEAR-YICAI)_JINGBIAN1、乘法公式(1)(a+b )²=a 2+2ab+b 2 (2)(a-b)²=a ²-2ab+b ²(3)(a+b)(a-b)=a ²-b ² (4)a ³+b ³=(a+b)(a ²-ab+b ²) (5)a ³-b ³=(a-b)(a ²+ab+b ²)2、指数公式:(1)a 0=1 (a ≠0)(2)a P -=P a 1(a ≠0)(3)amn=mna(4)a m a n =a n m +(5)a m ÷a n=n m aa =a nm -(6)(am)n =amn(7)(ab )n =a n b n(8)(b a)n =n n ba (9)(a )2=a (10)2a =|a|3、指数与对数关系: (1)若a b=N ,则N b a log = (2)若10b=N ,则b=lgN (3)若be =N ,则b=㏑N4、对数公式: (1)b a b a =log , ㏑eb=b (2)N aaN=log ,eNln =N(3)aN N a ln ln log =(4)a b be aln = (5)N M MN ln ln ln +=(6)N M NMln ln ln -= (7)Mn M n ln ln =(8)㏑nM =M nln 15、三角恒等式:(1)(Sin α)²+(Cos α)²=1 (2)1+(tan α)²=(sec α)²(3)1+(cot α)²=(csc α)²(4)αααtan cos sin =(5)αααcot sin cos =(6)ααtan 1cot =(7)ααcos 1csc =(8)ααcos 1sec =7.倍角公式: (1)αααcos sin 22sin = (2)ααα2tan 1tan 22tan -=(3)ααααα2222sin 211cos 2sin cos 2cos -=-=-=8.半角公式(降幂公式):(1)(2sin α)2=2cos 1a - (2)(2cosα)2=2cos 1a + (3)2tan α=a a sin cos 1+=a acos 1sin +常用公式表(二)1、求导法则:(1)(u+v )/=u /+v / (2)(u-v )/=u /-v /(3)(cu )/=cu / (4)(uv )/=uv /+u/v (5)2v v u v u v u '-'='⎪⎭⎫ ⎝⎛ 5、定积分公式:(1)⎰⎰=babadtt f dx x f )()( (2)⎰=aadx x f 0)((3)()()dx x f dx x f abba⎰⎰-= (4)⎰⎰⎰+=bac ab cdxx f dx x f dx x f )()()((5)若f (x )是[-a,a]的连续奇函数,则⎰-=aadx x f 0)((6)若f (x )是[-a,a]的连续偶函数,则6、积分定理:(1)()()x f dt t f xa ='⎥⎦⎤⎢⎣⎡⎰ ()()()()()[]()()[]()x a x a f x b x b f dt t f x b x a '-'='⎥⎦⎤⎢⎣⎡⎰2(3)若F (x )是f (x )的一个原函数,则)()()()(a F b F x F dx x f ba b a -==⎰7.积分表()C x x xdx ++=⎰tan sec ln sec 1 ()C x x xdx +-=⎰cot csc ln csc 2()C a xa dx x a +=+⎰arctan 11322 ()C a x dx x a +=-⎰arcsin 1422()C a x ax a dx ax ++-=-⎰ln 211522 8.积分方法()()bax x f +=1;设:t b ax =+()()222x a x f -=;设:t a x sin = ()22a x x f -=;设:t a x sec =()22x a x f +=;设:t a x tan =()3分部积分法:⎰⎰-=vdu uv udv。
高 数 常 用 公 式 表常用公式表(一)1、乘法公式(1) (a+b )²=a 2+2ab+b 2 (2) (a-b )²=a ²-2ab+b ² (3) (a+b)(a-b)=a ²-b ²(4) a ³+b ³=(a+b)(a ²-ab+b ²) (5) a ³-b ³=(a-b)(a ²+ab+b ²)2、指数公式:(1) a 0=1 (a ≠0)(4) a m a n=am+n(7) (ab) n =a n b n1n(2) a一P= aP(a ≠0) (3) a m =m a nm(5) a m÷a n= a n=a m 一na a n(8) ( b ) n = b n(10) a 2 = |a| 3、指数与对数关系:(1)若a b=N ,则 b = log a N (2)若10b=N ,则b=lgN (3)若 e b =N ,则b=㏑N 4、对数公式:(1) log a a b = b , ㏑ e b=b (2) a log aN = N ,eln N=N(3) log a N =ln Nlna(4) a b = e bln a (5) ln MN=ln M +ln N(6) lnM= ln M 一 ln N (7) ln M n = nln M (8)㏑ n M = 1ln M N n5、三角恒等式:(1) (Sin α)²+ (Cos α)²=1 (2) 1+ (tan α)²=(sec α)²(3) 1+(cot α)²=(csc α)² (4)sin acosa = tan a (5) cosasina= cota(6) cot a =1tana (7) csc a = 1cosa (8) sec a =1cosaa(9) ( a ) (6) ( a m ) n=a=am n26、特殊角三角函数值:7.倍角公式:(1) sin 2a = 2sina cosa (2) tan2a =2tana1tan 2a(3) cos2a = cos 2 a sin 2 a = 2cos 2 a 1= 1 2sin 2 a8.半角公式(降幂公式):1 cosa 1+ cosa 1+ cosa sin a (1) ( sin a )2 = 2 (2) ( cos a ) 2 = 2 (3) tan a= sin a = 1+ cosa2 2 29、三角函数与反三角函数关系:(1)若x=siny ,则y=arcsinx (2)若x=cosy ,则y=arccosx (3)若x=tany ,则y=arctanx (4)若x=coty ,则y=arccotx 10、函数定义域求法:1(1)分式中的分母不能为0, ( a α≠0)(2)负数不能开偶次方, ( a α≥0) (3)对数中的真数必须大于 0, (log a N N>0)(4)反三角函数中arcsinx ,arccosx 的x 满足: (--1≤x ≤1) (5)上面数种情况同时在某函数出现时,此时应取其交集。
三十个基本积分公式积分是微积分中的重要概念,它在数学、物理学、工程学等众多领域都有着广泛的应用。
而掌握基本的积分公式,是进行积分运算的基础。
下面,我们就来详细介绍三十个基本积分公式。
公式一:∫k dx = kx + C (k 为常数)这是最简单的积分公式,常数的积分就是常数乘以自变量再加上常数 C。
公式二:∫x^n dx =(1/(n + 1))x^(n + 1) + C (n ≠ -1)当自变量 x 的幂次为 n 时,积分结果是幂次加 1 后除以新的幂次加1,再加上常数 C。
公式三:∫1/x dx = ln|x| + C这个公式在处理分式形式的积分时经常用到。
公式四:∫e^x dx = e^x + C指数函数 e^x 的积分还是它本身。
公式五:∫a^x dx =(1/ln a)a^x + C (a > 0,a ≠ 1)对于底数为 a 的指数函数,其积分公式如上。
公式六:∫sin x dx = cos x + C正弦函数的积分是负的余弦函数。
公式七:∫cos x dx = sin x + C余弦函数的积分是正弦函数。
公式八:∫tan x dx = ln|cos x| + C正切函数的积分与余弦函数的对数有关。
公式九:∫cot x dx = ln|sin x| + C余切函数的积分与正弦函数的对数有关。
公式十:∫sec x dx = ln|sec x + tan x| + C 正割函数的积分较为复杂。
公式十一:∫csc x dx = ln|csc x + cot x| + C 余割函数的积分也有一定的特殊性。
公式十二:∫sec^2 x dx = tan x + C正割平方的积分是正切函数。
公式十三:∫csc^2 x dx = cot x + C余割平方的积分是负的余切函数。
公式十四:∫sec x tan x dx = sec x + C正割与正切的乘积的积分是正割函数。
公式十五:∫csc x cot x dx = csc x + C余割与余切的乘积的积分是负的余割函数。
高等数学积分公式大全高等数学是一门非常重要的学科,在很多领域都有应用。
其中,积分学是高等数学中的一个重要章节。
积分可以理解为求解曲线图形下面的面积,不同类型的积分公式有着不同的概念和应用,下面,就为大家整理了一份高等数学积分公式大全,让大家对这个知识点有一个更全面的认识。
1. 常数积分公式$$\int kdx=kx+C$$2. 幂函数积分公式$$\int x^ndx=\frac{x^{n+1}}{n+1}+C$$3. 指数函数积分公式$$\int e^xdx=e^x+C$$4. 对数函数积分公式$$\int \frac{1}{x}dx=\ln|x|+C$$5. 三角函数积分公式$$\int \sin xdx=-\cos x+C$$$$\int \cos xdx=\sin x+C$$6. 反三角函数积分公式$$\int \frac{1}{\sqrt{1-x^2}}dx=\arcsin x+C$$$$\int \frac{1}{1+x^2}dx=\arctan x+C$$$$\int \frac{1}{\sqrt{x^2-1}}dx=\ln|x+\sqrt{x^2-1}|+C$$7. 换元法积分公式$$\int f(u)du=\int f(u(x))\frac{du}{dx}dx$$8. 分部积分公式$$\int u(x)v'(x)dx=u(x)v(x)-\int v(x)u'(x)dx$$9. 定积分公式$$\int_a^bf(x)dx=F(b)-F(a)$$10. 积分中值定理$$\int_a^bf(x)dx=f(c)(b-a)$$这便是几种高等数学积分公式的介绍,这些公式是数学中不可或缺的知识点,掌握这些公式不仅有助于学生学好数学,还对应用数学的工作有相当多的帮助。
除了这些基本的积分公式之外,高等数学还涉及到一些比较复杂的积分公式,如多重积分、线性代数积分、微积分方程等等。
1. 多重积分公式多重积分是指对多元函数的积分,通常被用于几何问题、概率论问题和物理学问题中。
大学高等数学公式大全第一部分:微积分基础一、导数1. 导数的定义:导数是一个函数在某一点上的瞬时变化率,表示为f'(x)或dy/dx。
2. 导数的运算法则:常数函数的导数为0。
幂函数的导数为指数乘以底数的指数减1,即d/dx(x^n) =nx^(n1)。
指数函数的导数为指数函数乘以指数,即d/dx(a^x) = a^xln(a)。
对数函数的导数为1除以x乘以底数的对数,即d/dx(ln(x)) =1/x。
三角函数的导数:d/dx(sin(x)) = cos(x),d/dx(cos(x)) =sin(x),d/dx(tan(x)) = sec^2(x)。
3. 高阶导数:函数的导数可以继续求导,得到高阶导数。
例如,f''(x)表示二阶导数。
二、积分1. 定积分的定义:定积分是一个函数在某个区间上的累积和,表示为∫[a,b]f(x)dx。
2. 积分的运算法则:常数函数的积分为其乘以区间长度,即∫[a,b]c dx = c(ba)。
幂函数的积分为其指数加1除以指数加1乘以区间长度,即∫[a,b]x^n dx = (b^(n+1)a^(n+1))/(n+1)。
指数函数的积分为其指数函数除以指数,即∫[a,b]a^x dx = (a^ba^a)/ln(a)。
对数函数的积分为其对数函数乘以区间长度,即∫[a,b]ln(x) dx = (xln(x)x)。
三角函数的积分:∫[a,b]sin(x) dx = cos(x) + C,∫[a,b]cos(x) dx = sin(x) + C,∫[a,b]tan(x) dx = ln|cos(x)| + C。
3. 积分的性质:积分与导数互为逆运算,即d/dx(∫f(x)dx) = f(x)。
积分区间可以改变顺序,即∫[a,b]f(x)dx = ∫[b,a]f(x)dx。
积分可以分解为多个区间上的积分,即∫[a,c]f(x)dx =∫[a,b]f(x)dx + ∫[b,c]f(x)dx。
三十个基本积分公式在微积分的学习中,积分公式是非常重要的基础知识。
掌握这些基本积分公式,就像是拥有了一把打开积分世界大门的钥匙。
接下来,让我们一起来了解一下这三十个基本积分公式。
公式一:∫kdx = kx + C(k 为常数)这个公式很简单,就是说对一个常数 k 进行积分,结果是 kx 加上一个常数 C。
公式二:∫x^n dx =(1/(n + 1))x^(n + 1) + C(n ≠ -1)当被积函数是 x 的 n 次幂时,积分结果是(1/(n + 1))乘以 x 的(n + 1)次幂再加上常数 C。
例如,∫x²dx =(1/3)x³+ C 。
公式三:∫1/x dx = ln|x| + C对 1/x 进行积分,得到的是自然对数 ln|x|加上常数 C。
这里要注意绝对值,因为对数函数的定义域要求自变量大于 0。
公式四:∫e^x dx = e^x + C指数函数 e^x 的积分还是它本身 e^x 加上常数 C。
公式五:∫a^x dx =(1/lna)a^x + C(a > 0,a ≠ 1)对于以 a 为底的指数函数 a^x 的积分,结果是(1/lna)乘以 a^x 再加上常数 C。
公式六:∫sin x dx = cos x + C正弦函数 sin x 的积分是 cos x 加上常数 C。
公式七:∫cos x dx = sin x + C余弦函数 cos x 的积分是 sin x 加上常数 C。
公式八:∫tan x dx = ln|cos x| + C正切函数 tan x 的积分是 ln|cos x|加上常数 C。
公式九:∫cot x dx = ln|sin x| + C余切函数 cot x 的积分是 ln|sin x|加上常数 C。
公式十:∫sec x dx = ln|sec x + tan x| + C正割函数 sec x 的积分是 ln|sec x + tan x|加上常数 C。
高等数学公式根本积分表〔1〕kdx kx C =+⎰ 〔k 是常数〕〔2〕1,1x x dx C μμμ+=++⎰(1)u ≠- 〔3〕1ln ||dx x C x =+⎰〔4〕2tan 1dxarl x C x =++⎰ 〔5〕arcsin x C =+〔6〕cos sin xdx x C =+⎰ 〔7〕sin cos xdx x C =-+⎰〔8〕21tan cos dx x C x =+⎰〔9〕21cot sin dx x C x =-+⎰〔10〕sec tan sec x xdx x C =+⎰ 〔11〕csc cot csc x xdx x C =-+⎰ 〔12〕x x e dx e C =+⎰〔13〕ln xxa a dx C a=+⎰,(0,1)a a >≠且 〔14〕shxdx chx C =+⎰ 〔15〕chxdx shx C =+⎰〔16〕2211tan xdx arc C a x a a =++⎰ 〔17〕2211ln ||2x adx C x a a x a -=+-+⎰ 〔18〕sinxarc C a=+〔19〕ln(x C =++〔20〕ln |x C =++〔21〕tan ln |cos |xdx x C =-+⎰ 〔22〕cot ln |sin |xdx x C =+⎰ 〔23〕sec ln |sec tan |xdx x x C =++⎰ 〔24〕csc ln |csc cot |xdx x x C =-+⎰注:1、从导数根本公式可得前15个积分公式,(16)-(24)式后几节证。
2、以上公式把x 换成u 仍成立,u 是以x 为自变量的函数。
3、复习三角函数公式:2222sin cos 1,tan 1sec ,sin 22sin cos ,x x x x x x x +=+==21cos 2cos 2xx +=, 21cos 2sin 2xx -=。
注:由[()]'()[()]()f x x dx f x d x ϕϕϕϕ=⎰⎰,此步为凑微分过程,所以第一类换元法也叫凑微分法。
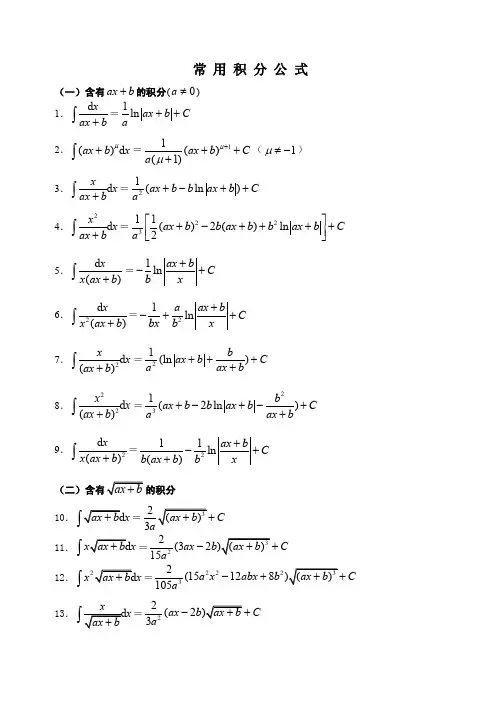
常 用 积 分 公 式(一)含有ax b +的积分(0a ≠) 1.d x ax b +⎰=1ln ax b C a ++2.()d ax b x μ+⎰=11()(1)ax b C a μμ++++(1μ≠-)3.d x x ax b +⎰=21(ln )ax b b ax b C a +-++ 4.2d x x ax b +⎰=22311()2()ln 2ax b b ax b b ax b C a ⎡⎤+-++++⎢⎥⎣⎦5.d ()x x ax b +⎰=1ln ax bC b x +-+6.2d ()x x ax b +⎰=21ln a ax b C bx b x+-++ 7.2d ()xx ax b +⎰=21(ln )b ax b C a ax b++++ 8.22d ()x x ax b +⎰=231(2ln )b ax b b ax b C a ax b +-+-++ 9.2d ()x x ax b +⎰=211ln ()ax b C b ax b b x+-++10.x =C11.x ⎰=22(3215ax b C a -12.x x ⎰=22232(15128105a x abx b C a-+13.x⎰=22(23ax b C a -14.2x=22232(34815a x abx b C a -++ 15.(0)(0)C b C b ⎧+><16.2a bx b -- 17.x=b + 18.2d x x ⎰=2a + (三)含有22x a ±的积分 19.22d x x a +⎰=1arctan x C a a+ 20.22d ()n xx a +⎰=2221222123d 2(1)()2(1)()n n x n x n a x a n a x a ---+-+-+⎰21.22d x x a -⎰=1ln 2x a C a x a-++(四)含有2(0)ax b a +>的积分22.2d x ax b +⎰=(0)(0)C b C b ⎧+>+<23.2d x x ax b +⎰=21ln 2ax b C a++24.22d x x ax b +⎰=2d x b xa a axb -+⎰ 25.2d ()xx ax b +⎰=221ln 2x C b ax b++26.22d ()xx ax b +⎰=21d a x bx b ax b --+⎰27.32d ()xx ax b +⎰=22221ln 22ax b a C b x bx+-+ 28.22d ()xax b +⎰=221d 2()2x x b ax b b ax b +++⎰(五)含有2ax bx c ++(0)a >的积分29.2d x ax bx c ++⎰=22(4)(4)C b ac C b ac +<+> 30.2d x x ax bx c ++⎰=221d ln 22b x ax bx c a a ax bx c++-++⎰(0)a >的积分31.=1arshxC a+=ln(x C ++ 32.C +33.xC34.x=C +35.2x 2ln(2a x C ++36.2x ⎰=ln(x C +++37.1C a38.C +39.x =2ln(2a x C +40.x =2243(25ln(88x x a a x C +++41.x ⎰=C42.xx ⎰=422(2ln(88x a x a x C +++43.d x x⎰a C +44.x =ln(x C ++(0)a >的积分45.=1arch x xC x a+=ln x C ++ 46.C +47.x C48.x =C +49.2x 2ln 2a x C ++50.2x ⎰=ln x C +++51.1arccos aC a x+52.2C a x +53.x 2ln 2a x C ++54.x =2243(25ln 88x x a a x C -++55.x ⎰=C56.xx ⎰=422(2ln 88x a x a x C --++57.d x x⎰arccos a a C x -+58.2d x x ⎰=ln x C x-+++(0)a >的积分 59.=arcsinxC a+ 60.C +61.x =C62.x C +63.2x =2arcsin 2a x C a + 64.2x ⎰arcsinxC a-+65.1C a +66.2C a x -+67.x 2arcsin 2a x C a+68.x =2243(52arcsin 88x x a x a C a -+69.x ⎰=C70.xx ⎰=422(2arcsin 88x a x x a C a-+71.x lna a C x +72.x =arcsin xC a-+(0)a >的积分73.2ax b C +++74.x2n 2a x b c C++++75.xn 2a x b c C-+++ 76.=C +77.x 2C +78.x =C +79.x =((x b b a C --+80.x =((x b b a C --81.C +()a b <82.x 2()4b a C - ()a b < (十一)含有三角函数的积分 83.sin d x x ⎰=cos x C -+84.cos d x x ⎰=sin x C + 85.tan d x x ⎰=ln cos x C -+ 86.cot d x x ⎰=ln sin x C + 87.sec d x x ⎰=ln tan()42xC π++=ln sec tan x x C ++ 88.csc d x x ⎰=ln tan2xC +=ln csc cot x x C -+ 89.2sec d x x ⎰=tan x C + 90.2csc d x x ⎰=cot x C -+ 91.sec tan d x x x ⎰=sec x C + 92.csc cot d x x x ⎰=csc x C -+93.2sin d x x ⎰=1sin 224x x C -+ 94.2cos d x x ⎰=1sin 224x x C ++95.sin d n x x ⎰=1211sin cos sin d n n n x x x x n n----+⎰ 96.cos d n x x ⎰=1211cos sin cos d n n n x x x x n n---+⎰ 97.d sin n x x ⎰=121cos 2d 1sin 1sin n n x n xn x n x ----⋅+--⎰98.d cos n x x ⎰=121sin 2d 1cos 1cos n n x n xn x n x---⋅+--⎰99.cos sin d m n x x x ⎰=11211cos sin cos sin d m n m nm x x x x x m n m n -+--+++⎰ =11211cos sin cos sin d m n m n n x x x x x m n m n+----+++⎰ 100.sin cos d ax bx x ⎰=11cos()cos()2()2()a b x a b x C a b a b -+--++-101.sin sin d ax bx x ⎰=11sin()sin()2()2()a b x a b x C a b a b -++-++-102.cos cos d ax bx x ⎰=11sin()sin()2()2()a b x a b x C a b a b ++-++-103.d sin xa b x +⎰=tan xa b C ++22()a b >104.d sin x a b x +⎰=C+22()a b <105.d cos xa b x +⎰)2x C +22()a b >106.d cos x a b x +⎰C +22()a b <107.2222d cos sin x a x b x +⎰=1arctan(tan )bx C ab a + 108.2222d cos sin x a x b x -⎰=1tan ln 2tan b x a C ab b x a ++-109.sin d x ax x ⎰=211sin cos ax x ax C a a -+ 110.2sin d x ax x ⎰=223122cos sin cos x ax x ax ax C a a a -+++111.cos d x ax x ⎰=211cos sin ax x ax C a a ++112.2cos d x ax x ⎰=223122sin cos sin x ax x ax ax C a a a+-+(十二)含有反三角函数的积分(其中0a >)113.arcsin d x x a ⎰=arcsin x x C a++114.arcsin d xx x a ⎰=22()arcsin 24x a x C a -+115.2arcsin d xx x a ⎰=3221arcsin (239x x x a C a ++116.arccos d x x a ⎰=arccosxx C a-117.arccos d xx x a ⎰=22()arccos 24x a x C a --118.2arccos d xx x a ⎰=3221arccos (239x x x a C a -+119.arctand x x a ⎰=22arctan ln()2x a x a x C a -++ 120.arctan d x x x a ⎰=221()arctan 22x a a x x C a +-+121.2arctan d xx x a ⎰=33222arctan ln()366x x a a x a x C a -+++ (十三)含有指数函数的积分122.d xa x ⎰=1ln xa C a + 123.e d axx ⎰=1e ax C a +124.e d ax x x ⎰=21(1)e axax C a-+125.e d n axx x ⎰=11e e d n ax n ax n x x x a a--⎰126.d xxa x ⎰=21ln (ln )x xx a a C a a -+ 127.d nxx a x ⎰=11d ln ln n x n xn x a x a x a a --⎰ 128.e sin d axbx x ⎰=221e (sin cos )ax a bx b bx C a b -++ 129.e cos d ax bx x ⎰=221e (sin cos )axb bx a bx C a b+++130.e sin d ax n bx x ⎰=12221e sin (sin cos )ax n bx a bx nb bx a b n--+ 22222(1)e s i n d a x n n n b b x x a b n--++⎰ 131.e cos d ax n bx x ⎰=12221e cos (cos sin )ax n bx a bx nb bx a b n-++ 22222(1)e c o s d a x n n n b b x x a b n--++⎰ (十四)含有对数函数的积分 132.ln d x x ⎰=ln x x x C -+133.d ln xx x ⎰=ln ln x C +134.ln d nx x x ⎰=111(ln )11n x x C n n +-+++ 135.(ln )d n x x ⎰=1(ln )(ln )d n nx x n x x --⎰136.(ln )d m nx x x ⎰=111(ln )(ln )d 11m n m n n x x x x x m m +--++⎰ (十五)含有双曲函数的积分 137.sh d x x ⎰=ch x C + 138.ch d x x ⎰=sh x C + 139.th d x x ⎰=ln ch x C +140.2sh d x x ⎰=1sh224x x C -++ 141.2ch d x x ⎰=1sh224x x C ++(十六)定积分 142.cos d nx x π-π⎰=sin d nx x π-π⎰=0143.cos sin d mx nx x π-π⎰=0144.cos cos d mx nx x π-π⎰=0,,m nm n≠⎧⎨π=⎩145.sin sin d mx nx x π-π⎰=0,,m n m n ≠⎧⎨π=⎩146.0sin sin d mx nx x π⎰=0cos cos d mx nx x π⎰=0,,2m nm n ≠⎧⎪⎨π=⎪⎩147. n I =20sin d nx x π⎰=20cos d n x x π⎰n I =21n n I n-- 1342253n n n I n n --=⋅⋅⋅⋅- (n 为大于1的正奇数),1I =1 13312422n n n I n n --π=⋅⋅⋅⋅⋅- (n 为正偶数),0I =2π一、 (系数不为0的情况)00101101lim 0n n n m m x m a n m b a x a x a n m b x b x b n m--→∞⎧=⎪⎪+++⎪=<⎨+++⎪∞>⎪⎪⎩二、重要公式(1)0sin lim 1x xx →=(2)()1lim 1xx x e→+= (3)lim )1n a o →∞>=(4)lim 1n →∞= (5)lim arctan 2x x π→∞=(6)lim tan 2x arc x π→-∞=-(7)lim arc cot 0x x →∞= (8)lim arc cot x x π→-∞= (9)lim 0x x e →-∞=(10)lim x x e →+∞=∞(11)0lim 1x x x +→=三、下列常用等价无穷小关系(0x →)sin x x t a n x x a r c s i n x x a r c t a n x x211c o s 2x x -()ln 1x x+ 1x e x - 1l n xa x a -()11x x∂+-∂四、导数的四则运算法则()u v u v '''±=± ()u v u v uv '''=+2u u v u vv v '''-⎛⎫=⎪⎝⎭五、基本导数公式⑴()0c '= ⑵1x x μμμ-= ⑶()s i n c o sx x '=⑷()cos sin x x '=- ⑸()2t a n s e c x x'= ⑹()2c o t c s c x x'=-⑺()sec sec tan x x x '=⋅ ⑻()c s c c s c c o tx x x '=-⋅⑼()xxe e '= ⑽()ln xx a a a'= ⑾()1ln x x '=⑿()1log ln x a x a '=⒀()a r c s i n x '=⒁()a r c c o s x '=⒂()21arctan 1x x '=+ ⒃()21a r c c o t 1x x '=-+⒄()1x '=⒅'=六、高阶导数的运算法则(1)()()()()()()()n n n u x v x u x v x ±=±⎡⎤⎣⎦(2)()()()()n n cu x cux =⎡⎤⎣⎦(3)()()()()n n nu ax b a uax b +=+⎡⎤⎣⎦(4)()()()()()()()nn n k kk nk u x v x c ux v x -=⋅=⎡⎤⎣⎦∑七、基本初等函数的n 阶导数公式 (1)()()!n n x n = (2)()()n ax b n ax be a e ++=⋅ (3)()()ln n x x n a a a=(4)()()sin sin 2n n ax b a ax b n π⎛⎫+=++⋅⎡⎤ ⎪⎣⎦⎝⎭ (5)()()cos cos 2n n ax b a ax b n π⎛⎫+=++⋅⎡⎤ ⎪⎣⎦⎝⎭ (6)()()()11!1n n nn a n ax b ax b +⋅⎛⎫=- ⎪+⎝⎭+ (7)()()()()()11!ln 1n n n na n axb ax b -⋅-+=-⎡⎤⎣⎦+八、微分公式与微分运算法则 ⑴()0d c = ⑵()1d x x d xμμμ-= ⑶()s i n c o s d x x d x=⑷()cos sin d x xdx=- ⑸()2t a n s e c d x x d x= ⑹()2c o t c s cd x x d x=-⑺()sec sec tan d x x xdx=⋅ ⑻()c s c c s c c o t d x x x d x=-⋅⑼()xxd ee dx = ⑽()ln xxd a aadx= ⑾()1ln d x dx x =⑿()1log ln xa d dxx a = ⒀()arcsin d x =⒁()a r c c o s d x d x=⒂()21arctan 1d x dx x =+ ⒃()21a r c c o t 1d x d x x =-+九、微分运算法则⑴()d u v du dv±=±⑵()d cu cdu=⑶()d uv vdu udv=+⑷2u vdu udvdv v-⎛⎫=⎪⎝⎭十、基本积分公式⑴kdx kx c=+⎰⑵11xx d x cμμμ+=++⎰⑶lndxx cx=+⎰⑷lnxxaa dx ca=+⎰⑸x xe dx e c=+⎰⑹c o s s i nx d x x c=+⎰⑺sin cosxdx x c=-+⎰⑻221s e c t a nc o sd x x d x x cx==+⎰⎰⑼221csc cotsinxdx x cx==-+⎰⎰⑽21a r c t a n1d x x cx=++⎰⑾arcsin x c =+十一、下列常用凑微分公式十二、补充下面几个积分公式tan ln cos xdx x c =-+⎰ c o t l n s i n x d x x c=+⎰sec ln sec tan xdx x x c =++⎰c s c l n c s c c o t xd x x x c=-+⎰2211arctan x dx c a x a a =++⎰2211ln 2x adx c x a a x a -=+-+⎰arcsinxc a =+ln x c=+十三、分部积分法公式⑴形如n axx e dx⎰,令n u x =,ax dv e dx = 形如sin nx xdx⎰令n ux =,sin dv xdx = 形如cos n x xdx⎰令n ux =,cos dv xdx =⑵形如arctan n x xdx⎰,令arctan u x =,n dv x dx =形如ln n x xdx⎰,令ln u x =,n dv x dx =⑶形如sin ax e xdx ⎰,cos ax e xdx ⎰令,sin ,cos ax u e x x =均可。
导数、微分、积分公式总结【导数】(1)(u ± v)′=u′±v′(2)(u v)′=u′v+ u v′(记忆方法:u v + u v ,分别在“u”上、“v”上加′)(3)(c u)′= c u′(把常数提前)╭u╮′u′v- u v′(4)│——│=———————( v ≠ 0 )╰v╯v²【关于微分】左边:d打头右边:dx置后再去掉导数符号′即可【微分】设函数u=u(x),v=v(x)皆可微,则有:(1)d(u ± v)= du ± dv(2)d(u v)= du·v + u·dv╭u╮du·v - u·dv(3)d│——│=———————( v ≠ 0 )╰v╯v²(5)复合函数(由外至里的“链式法则”)dy——=f′(u)·φ′(x)dx其中y =f(u),u =φ′(x)(6)反函数的导数:1[ fˉ¹(y)]′=—————f′(x)其中,f′(x)≠ 0【导数】注:【】里面是次方的意思(1)常数的导数:(c)′=0(2)x的α次幂:╭【α】╮′【α -1】│x│=αx╰╯(3)指数类:╭【x】╮′【x】│a│=alna(其中a >0 ,a ≠ 1)╰╯╭【x】╮′【x】│e│=e╰╯(4)对数类:╭╮′1 1│logx│=——log e=———(其中a >0 ,a ≠ 1)╰a╯x a xlna1(lnx)′=——x(5)正弦余弦类:(sinx)′=cosx(cosx)′=-sinx【微分】注:【】里面是次方的意思(1)常数的微分:dC =0(2)x的α次幂:【α】【α -1】dx=αxdx(3)指数类:【x】【x】da=alnadx(其中a >0 ,a ≠ 1)【x】【x】de=edx(4)对数类:1 1dlogx=——log e=———dx(其中a >0 ,a ≠ 1)a x a xlna1dlnx =——dxx(5)正弦余弦类:dsinx =cosxdxdcosx =-sinxdx【导数】(6)其他三角函数:1(tanx)′=————=sec²xcos²x1(cotx)′=-————=-csc²xsin²x(secx)′=secx·tanx(cscx)′=-cscx·cotx(7)反三角函数:1(arcsinx)′=———————(-1 <x <1)/ ̄ ̄ ̄ ̄ ̄√1-x²1(arccosx)′=-———————(-1 <x <1)/ ̄ ̄ ̄ ̄ ̄√1-x²1(arctanx)′=—————1+x²1(arccotx)′=-—————1+x²【微分】(6)其他三角函数:1dtanx =————=sec²xdxcos²x1dcotx =-————=-csc²xdxsin²xdsecx =secx·tanxdxdcscx =-cscx·cotx dx(7)反三角函数:1darcsinx =———————dx(-1 <x <1)/ ̄ ̄ ̄ ̄ ̄√1-x²1darccosx =-———————dx(-1 <x <1)/ ̄ ̄ ̄ ̄ ̄√1-x²1darctanx =—————dx1+x²1darccotx =-—————dx1+x²导数的应用(一)——中值定理特殊形式【拉格朗日中值定理】—————→【罗尔定理】【拉格朗日中值定理】如果函数y =f(x)满足:(1)在闭区间〔a ,b〕上连续;(2)在开区间(a ,b)上可导。
以下是常用的微积分公式大全,包括导数、积分和极限的公式:导数公式:1. 常数函数导数:(c)' = 02. 幂函数导数:(x^n)' = nx^(n-1)3. 指数函数导数:(e^x)' = e^x4. 对数函数导数:(ln(x))' = 1/x5. 三角函数导数:(sin(x))' = cos(x), (cos(x))' = -sin(x), (tan(x))' = sec^2(x)6. 反三角函数导数:(arcsin(x))' = 1/√(1-x^2), (arccos(x))' = -1/√(1-x^2), (arctan(x))' = 1/(1+x^2)7. 链式法则:如果y = f(g(x)),则y' = f'(g(x)) * g'(x)积分公式:1. 幂函数积分:∫(x^n) dx = (x^(n+1))/(n+1) + C,其中C 是常数2. 指数函数积分:∫(e^x) dx = e^x + C3. 对数函数积分:∫(1/x) dx = ln|x| + C4. 三角函数积分:∫sin(x) dx = -cos(x) + C, ∫cos(x) dx = sin(x) + C, ∫sec^2(x) dx = tan(x) + C5. 反三角函数积分:∫(1/√(1-x^2)) dx = arcsin(x) + C, ∫(-1/√(1-x^2)) dx = arccos(x) + C, ∫(1/(1+x^2)) dx = arctan(x) + C极限公式:1. 极限定义:lim(x→a) f(x) = L,表示当x 趋近于a 时,f(x) 趋近于L2. 基本极限:lim(x→0) (sin(x)/x) = 1, lim(x→∞) (1/x) = 0, lim(x→0) (e^x - 1)/x = 1这只是一些常用的微积分公式,还有更多的公式和规则可用于不同的函数和问题。
二十四个基本积分公式积分是微积分中的重要概念,它在数学、物理、工程等领域都有着广泛的应用。
而掌握基本的积分公式,就如同拥有了打开积分世界大门的钥匙。
接下来,让我们一起来了解这二十四个基本积分公式。
公式一:∫kdx = kx + C (k 为常数)这是最简单的积分公式之一。
无论 x 取何值,常数 k 乘以 x 再加上任意常数 C,就是 kx 的不定积分。
公式二:∫x^n dx =(1/(n + 1))x^(n + 1) + C (n ≠ -1)当函数为 x 的 n 次幂时,积分结果是将指数加 1 后除以新的指数,再加上常数 C 。
公式三:∫1/x dx = ln|x| + C对于反比例函数 1/x ,其积分结果是自然对数 ln|x|加上常数 C 。
这里要注意绝对值符号,因为 x 可能为负数。
公式四:∫e^x dx = e^x + C指数函数 e^x 的积分仍然是它本身 e^x 加上常数 C ,这是因为 e^x 的导数就是它本身。
公式五:∫a^x dx =(1/lna)a^x + C (a > 0,a ≠ 1)对于底数为 a 的指数函数 a^x ,其积分结果是 1 除以 lna 再乘以 a^x 加上常数 C 。
公式六:∫sinx dx = cosx + C正弦函数 sinx 的积分是 cosx 加上常数 C 。
公式七:∫cosx dx = sinx + C余弦函数 cosx 的积分是 sinx 加上常数 C 。
公式八:∫tanx dx = ln|cosx| + C正切函数 tanx 的积分是 ln|cosx|加上常数 C 。
公式九:∫cotx dx = ln|sinx| + C余切函数 cotx 的积分是 ln|sinx|加上常数 C 。
公式十:∫secx dx = ln|secx + tanx| + C正割函数 secx 的积分是 ln|secx + tanx|加上常数 C 。
公式十一:∫cscx dx = ln|cscx + cotx| + C余割函数 cscx 的积分是 ln|cscx + cotx|加上常数 C 。
高等数学微积分公式大全一、基本导数公式⑴()0c '=⑵1x x μμμ-=⑶()sin cos x x '=⑷()cos sin x x '=-⑸()2tan sec x x'=⑹()2cot csc x x '=-⑺()sec sec tan x x x '=⋅⑻()csc csc cot x x x'=-⋅⑼()x x e e '=⑽()ln x x a a a '=⑾()1ln x x'=⑿()1log ln x a x a '=⒀()21arcsin 1x x '=-⒁()21arccos 1x x '=--⒂()21arctan 1x x '=+⒃()21arccot 1x x '=-+⒄()1x '=⒅()12x x'=二、导数的四则运算法则三、高阶导数的运算法则(1)()()()()()()()n nn u x v x u x v x ±=±⎡⎤⎣⎦(2)()()()()n n cu x cu x =⎡⎤⎣⎦(3)()()()()n n nu ax b a u ax b +=+⎡⎤⎣⎦(4)()()()()()()()nn n k k k n k u x v x c u x v x -=⋅=⎡⎤⎣⎦∑四、基本初等函数的n 阶导数公式(1)()()!n n x n =(2)()()n ax b n ax be a e ++=⋅(3)()()ln n x x n a a a=(4)()()sin sin 2n nax b a ax b n π⎛⎫+=++⋅⎡⎤ ⎪⎣⎦⎝⎭(5)()()cos cos 2n nax b a ax b n π⎛⎫+=++⋅⎡⎤ ⎪⎣⎦⎝⎭(6)()()()11!1n n nn a n ax b ax b +⋅⎛⎫=- ⎪+⎝⎭+(7)()()()()()11!ln 1n n n na n axb ax b -⋅-+=-⎡⎤⎣⎦+五、微分公式与微分运算法则⑴()0d c =⑵()1d x x dx μμμ-=⑶()sin cos d x xdx =⑷()cos sin d x xdx =-⑸()2tan sec d x xdx=⑹()2cot csc d x xdx =-⑺()sec sec tan d x x xdx=⋅⑻()csc csc cot d x x xdx=-⋅⑼()x x d e e dx =⑽()ln x x d a a adx =⑾()1ln d x dx x=⑿()1log ln x a d dx x a =⒀()21arcsin 1d x dx x=-⒁()21arccos 1d x dxx=--⒂()21arctan 1d x dx x=+⒃()21arccot 1d x dx x=-+六、微分运算法则⑴()d u v du dv ±=±⑵()d cu cdu=⑶()d uv vdu udv =+⑷2u vdu udv d v v-⎛⎫= ⎪⎝⎭七、基本积分公式⑴kdx kx c=+⎰⑵11x x dx cμμμ+=++⎰⑶ln dxx c x=+⎰⑷ln xxa a dx c a=+⎰⑸x x e dx e c =+⎰⑹cos sin xdx x c =+⎰⑺sin cos xdx x c =-+⎰⑻221sec tan cos dx xdx x c x==+⎰⎰⑼221csc cot sin xdx x c x ==-+⎰⎰⑽21arctan 1dx x c x=++⎰⑾21arcsin 1dx x cx=+-⎰八、补充积分公式九、下列常用凑微分公式积分型换元公式十、分部积分法公式⑴形如n ax x e dx ⎰,令n u x =,ax dv e dx =形如sin n x xdx ⎰令n u x =,sin dv xdx =形如cos n x xdx ⎰令n u x =,cos dv xdx =⑵形如arctan n x xdx ⎰,令arctan u x =,n dv x dx =形如ln n x xdx ⎰,令ln u x =,n dv x dx=⑶形如sin ax e xdx ⎰,cos ax e xdx ⎰令,sin ,cos ax u e x x =均可。
高等数学微积分公式1.极限的定义和性质:- 极限定义:如果对于任意给定的正数ε,存在正数δ,使得当0 < ,x - a,< δ时,有,f(x) - L,< ε,那么称函数f(x)在x=a处的极限为L,记作lim(x→a) f(x) = L。
2.导数公式:-基本导数公式:-(c)'=0,其中c为常数。
- (x^n)' = nx^(n-1),其中n为正整数,x为自变量。
-(e^x)'=e^x,其中e为自然对数的底数。
- (ln,x,)' = 1/x,其中x为自变量。
- (sinx)' = cosx,(cosx)' = -sinx,(tanx)' = sec^2x,(cotx)' = -csc^2x,其中x为自变量。
- 乘法法则:(fg)' = f'g + fg'。
- 除法法则:(f/g)' = (f'g - fg')/g^2-链式法则:若y=f(g(x)),则y'=f'(g(x))g'(x)。
3.积分公式:-不定积分的基本公式:- ∫kdx = kx + C,其中k为常数,C为积分常数。
- ∫x^n dx = (x^(n+1))/(n+1) + C,其中n不为-1- ∫e^x dx = e^x + C,其中e为自然对数的底数。
- ∫(1/x) dx = ln,x, + C。
- ∫sinx dx = -cosx + C,∫cosx dx = sinx + C。
-定积分的基本公式:- ∫[a, b] f(x) dx = F(b) - F(a),其中F(x)为f(x)的一个原函数。
- ∫[a, b] kf(x) dx = k∫[a, b] f(x) dx,其中k为常数。
- ∫[a, b] (f(x) ± g(x)) dx = ∫[a, b] f(x) dx ± ∫[a, b]g(x) dx。
高等数学微积分公式大全一、基本导数公式⑴()0c '= ⑵1x x μμμ-= ⑶()sin cos x x '= ⑷()cos sin x x '=- ⑸()2tan sec x x '= ⑹()2cot csc x x '=-⑺()sec sec tan x x x '=⋅ ⑻()csc csc cot x x x '=-⋅ ⑼()xxe e '= ⑽()ln xxa aa '= ⑾()1ln x x'=⑿()1log ln xax a'= ⒀()arcsin x '= ⒁()arccos x '=⒂()21arctan 1x x '=+ ⒃()21arc cot 1x x '=-+⒄()1x '=⒅'=二、导数的四则运算法则()u v u v '''±=± ()uv u v uv '''=+ 2u u v uv v v '''-⎛⎫=⎪⎝⎭三、高阶导数的运算法则(1)()()()()()()()n n n u x v x u x v x ±=±⎡⎤⎣⎦ (2)()()()()n n cu x cu x =⎡⎤⎣⎦(3)()()()()n n nu ax b a uax b +=+⎡⎤⎣⎦(4)()()()()()()()0nn n k k k n k u x v x c u x v x -=⋅=⎡⎤⎣⎦∑四、基本初等函数的n 阶导数公式(1)()()!n nxn = (2)()()n ax b n ax b e a e ++=⋅ (3)()()ln n x x n a a a =(4)()()sin sin 2n n ax b a ax b n π⎛⎫+=++⋅⎡⎤ ⎪⎣⎦⎝⎭ (5) ()()cos cos 2n nax b a ax b n π⎛⎫+=++⋅⎡⎤ ⎪⎣⎦⎝⎭(6)()()()11!1n n nn a n ax b ax b +⋅⎛⎫=- ⎪+⎝⎭+ (7) ()()()()()11!ln 1n n n na n axb ax b -⋅-+=-⎡⎤⎣⎦+五、微分公式与微分运算法则⑴()0d c = ⑵()1d x x dx μμμ-= ⑶()sin cos d x xdx =⑷()cos sin d x xdx =- ⑸()2tan sec d x xdx = ⑹()2cot csc d x xdx =- ⑺()sec sec tan d x x xdx =⋅ ⑻()csc csc cot d x x xdx =-⋅⑼()x x d e e dx = ⑽()ln x xd a a adx = ⑾()1ln d x dx x=⑿()1logln xad dx x a= ⒀()arcsin d x = ⒁()arccos d x =⒂()21arctan 1d x dx x =+ ⒃()21arc cot 1d x dx x =-+六、微分运算法则⑴()d u v du dv ±=± ⑵()d cu cdu = ⑶()d uv vdu udv =+ ⑷2u vdu udvd v v -⎛⎫=⎪⎝⎭七、基本积分公式⑴kdx kx c =+⎰ ⑵11x x dx c μμμ+=++⎰ ⑶ln dx x c x =+⎰⑷ln xxa a dx c a=+⎰ ⑸x x e dx e c =+⎰ ⑹cos sin xdx x c =+⎰ ⑺sin cos xdx x c =-+⎰ ⑻221sec tan cos dx xdx x c x ==+⎰⎰⑼221csc cot sin xdx x c x ==-+⎰⎰ ⑽21arctan 1dx x c x=++⎰ ⑾arcsin x c =+八、补充积分公式tan ln cos xdx x c =-+⎰ cot ln sin xdx x c =+⎰ sec ln sec tan xdx x x c =++⎰ csc ln csc cot xdx x x c =-+⎰2211arctan xdx c a x a a=++⎰ 2211ln 2x adx c x a a x a-=+-+⎰arcsin xc a =+ln x c =++九、下列常用凑微分公式十、分部积分法公式⑴形如n ax x e dx ⎰,令nu x =,ax dv e dx =形如sin n x xdx ⎰令nu x =,sin dv xdx =形如cos n x xdx ⎰令nu x =,cos dv xdx =⑵形如arctan n x xdx ⎰,令arctan u x =,ndv x dx =形如ln n x xdx ⎰,令ln u x =,ndv x dx =⑶形如sin ax e xdx ⎰,cos axe xdx ⎰令,sin ,cos ax u e x x =均可。
微积分公式大全一、基本公式:1.微分基本公式(导数):(1)常量函数导数:(k)'=0;(2)幂函数导数:(x^n)'=n·x^(n-1);(3)指数函数导数:(a^x)'= ln(a)·a^x;(4)对数函数导数:(log_a x)'= 1/(x·ln(a));(5)三角函数导数:(sin x)'=cos x, (cos x)'=-sin x, (tan x)'=sec^2 x;(6)反三角函数导数:(arcsin x)'=1/√(1-x^2), (arccos x)'=-1/√(1-x^2), (arctan x)'=1/(1+x^2);(7)复合函数导数:f(g(x))'=f'(g(x))·g'(x);2.积分基本公式:(1)不定积分:∫(k)dx=kx+C, ∫(x^n)dx= (x^(n+1))/(n+1)+C;(2)定积分:∫(a~b)f(x)dx= F(b)- F(a),其中 F(x) 是 f(x) 在[a, b] 上的一个原函数;(3)换元积分:∫f(g(x))·g'(x)dx=∫f(u)du, 其中 u = g(x);(4)分部积分:∫u·dv = u·v - ∫v·du;二、微分学公式:1.高阶导数:如果函数f(x)的n阶导数存在,则记作f^(n)(x),有以下公式:(1)常函数的n阶导数为0;(2)幂函数的n阶导数为n!(n-1)!·x^(n-m);(3)指数函数的 n 阶导数为a^x·ln^n(a);(4)对数函数的n阶导数为(-1)^(n-1)·(n-1)!/x^n;(5)三角函数的n阶导数:sin(x):n 为奇数时,n 阶导数为sin(x+ nπ/2);n 为偶数时,n 阶导数为cos(x+ nπ/2);cos(x):n 为奇数时,n 阶导数为 -cos(x+ nπ/2);n 为偶数时,n 阶导数为sin(x+ nπ/2);tan(x):n 为奇数时,n 阶导数为 (-1)^(n-1)·2^(n-1)·B_n·(2n)!·x^(2n-1),其中 B_n 为 Bernoulli 数;n为偶数时,n阶导数为0;2.泰勒展开:函数f(x)的泰勒展开式为:f(x)=f(a)+f'(a)·(x-a)+f''(a)·(x-a)^2/2!+......+f^(n)(a)·(x-a)^n/n!+......;当x接近a时,可以使用前n阶导数来估算函数的值;三、积分学公式:1.牛顿-莱布尼茨公式:设函数F(x)是f(x)在[a,b]上的一个原函数,则有∫(a~b)f(x)dx= F(b)- F(a);2.反常积分:(1)瑕积分:∫(1/x)dx 在曲线 y=0, x=0 和 x=1 构成的区域内发散;(2)收敛式积分:∫(1/x)dx 在曲线 y=0, x=0 和 x=1 构成的区域外收敛为 ln,x;(3)点收敛、条件收敛和绝对收敛;3.广义积分:(1)广义积分存在:∫(a~+∞)f(x)d x= A 表示对于任意定义域上的f(x),在 a 之后的任意区间上都是收敛的;(2)比较判别法:若存在p>0和M>0,使得,f(x),<=M·g(x),那么当f(x)的积分是收敛的,那么g(x)的积分也是收敛的;(3)绝对收敛:如果,f(x),在定义域上是收敛的,那么f(x)的积分是绝对收敛的;(4)积分判别法:如果积分是收敛的,但是f(x)的绝对值不是;或者f(x)的绝对值是收敛的,但是积分是发散的,那么f(x)的积分是条件收敛的;以上仅是微积分常用公式的集合,只能作为参考,实际应用仍需根据具体问题进行判断和运用。
常 用 积 分 公 式(一)含有ax b +的积分(0a ≠) 1.d x ax b +⎰=1ln ax b C a ++2.()d ax b x μ+⎰=11()(1)ax b C a μμ++++(1μ≠-)3.d x x ax b +⎰=21(ln )ax b b ax b C a +-++4.2d x x ax b +⎰=22311()2()ln 2ax b b ax b b ax b C a ⎡⎤+-++++⎢⎥⎣⎦5.d ()xx ax b +⎰=1ln ax b C b x +-+6.2d ()xx ax b +⎰=21ln a ax b C bx b x +-++ 7.2d ()x x ax b +⎰=21(ln )b ax b C a ax b++++ 8.22d ()x x ax b +⎰=231(2ln )b ax b b ax b C a ax b+-+-++ 9.2d ()xx ax b +⎰=211ln ()ax b C b ax b b x +-++的积分10.x C +11.x ⎰=22(3215ax b C a -12.x x ⎰=22232(15128105a x abx b C a-+13.x⎰=22(23ax b C a -14.2x ⎰=22232(34815a x abx b C a -+ 15.⎰(0)(0)C b C b ⎧+><16.⎰2a b - 17.d x x ⎰=b ⎰18.2d x x ⎰=2a + (三)含有22x a ±的积分 19.22d x x a +⎰=1arctan xC a a+ 20.22d ()n x x a +⎰=2221222123d 2(1)()2(1)()n n x n xn a x a n a x a ---+-+-+⎰ 21.22d xx a -⎰=1ln 2x a C a x a -++(四)含有2(0)ax b a +>的积分22.2d x ax b +⎰=(0)(0)C b C b ⎧+>+<23.2d x x ax b +⎰=21ln 2ax b C a ++24.22d x x ax b +⎰=2d x b xa a axb -+⎰25.2d ()x x ax b +⎰=221ln 2x C b ax b++26.22d ()x x ax b +⎰=21d a xbx b ax b --+⎰27.32d ()x x ax b +⎰=22221ln 22ax b a C b x bx+-+ 28.22d ()x ax b +⎰=221d 2()2x xb ax b b ax b +++⎰(五)含有2ax bx c ++(0)a >的积分29.2d x ax bx c ++⎰=22(4)(4)C b ac Cb ac +<+>30.2d x x ax bx c ++⎰=221d ln 22b x ax bx c a a ax bx c++-++⎰(0)a >的积分 31.⎰=1arshxC a+=ln(x C ++ 32.C +33.x ⎰C34.x=C +35.2x 2ln(2a x C +36.2x =ln(x C +++37.⎰1ln aC a x -+38.⎰C +39.x 2ln(2a x C ++40.x =2243(25ln(88x x a a x C ++41.x ⎰C +42.xx ⎰=422(2ln(88x a x a x C +++43.x ⎰a C +44.x ⎰=ln(x C +++(0)a >的积分45.⎰=1arch x xC x a+=ln x C + 46.C +47.x ⎰C48.x =C +49.2x 2ln 2a x C +++50.2x =ln x C +++51.⎰1arccos aC a x+52.⎰2C a x +53.x 2ln 2a x C -++54.x =2243(25ln 88x x a a x C -++55.x ⎰C56.xx ⎰=422(2ln 88x a x a x C -+57.x ⎰arccos a a C x -+58.x ⎰=ln x C +++(0)a >的积分 59.⎰=arcsinxC a+ 60.C +61.x ⎰=C +62.x C +63.2x =2arcsin 2a x C a + 64.2x arcsinxC a-+65.⎰1C a +66.⎰2C a x -+67.x 2arcsin 2a x C a+68.x =2243(52arcsin 88x x a x a C a-+69.x ⎰=C70.xx ⎰=422(2arcsin 88x a x x a C a-+71.x ⎰ln a a C x ++72.x ⎰=arcsin xC a-+(0)a >的积分73.⎰2ax b C +++74.x22ax b C ++++75.x ⎰2ax b C -+++76.⎰=C +77.x 2C +78.x ⎰=C ++79.x ⎰=((x b b a C --+80.x ⎰=((x b b a C -+-81.⎰=C ()a b <82.x 2()arcsin 4b a C -+ ()a b < (十一)含有三角函数的积分 83.sin d x x ⎰=cos x C -+84.cos d x x ⎰=sin x C + 85.tan d x x ⎰=ln cos x C -+ 86.cot d x x ⎰=ln sin x C + 87.sec d x x ⎰=ln tan()42xC π++=ln sec tan x x C ++ 88.csc d x x ⎰=ln tan2xC +=ln csc cot x x C -+ 89.2sec d x x ⎰=tan x C + 90.2csc d x x ⎰=cot x C -+ 91.sec tan d x x x ⎰=sec x C + 92.csc cot d x x x ⎰=csc x C -+93.2sin d x x ⎰=1sin 224x x C -+ 94.2cos d x x ⎰=1sin 224x x C ++95.sin d n x x ⎰=1211sin cos sin d n n n x x x x n n----+⎰ 96.cos d n x x ⎰=1211cos sin cos d n n n x x x x n n---+⎰ 97.d sin n x x ⎰=121cos 2d 1sin 1sin n n x n xn x n x ----⋅+--⎰ 98.d cos n x x ⎰=121sin 2d 1cos 1cos n n x n xn x n x---⋅+--⎰ 99.cos sin d m n x x x ⎰=11211cos sin cos sin d m n m nm x x x x x m n m n-+--+++⎰ =11211cos sin cos sin d m n m n n x x x x x m n m n+----+++⎰ 100.sin cos d ax bx x ⎰=11cos()cos()2()2()a b x a b x C a b a b -+--++-101.sin sin d ax bx x ⎰=11sin()sin()2()2()a b x a b x C a b a b -++-++-102.cos cos d ax bx x ⎰=11sin()sin()2()2()a b x a b x C a b a b ++-++-103.d sin xa b x +⎰tanxa b C ++22()a b >104.d sin x a b x +⎰C+22()a b <105.d cos xa b x +⎰)2x C +22()a b >106.d cos x a b x +⎰C +22()a b <107.2222d cos sin x a x b x +⎰=1arctan(tan )bx C ab a + 108.2222d cos sin xa xb x -⎰=1tan ln 2tan b x a C ab b x a ++-109.sin d x ax x ⎰=211sin cos ax x ax C a a -+ 110.2sin d x ax x ⎰=223122cos sin cos x ax x ax ax C a a a -+++111.cos d x ax x ⎰=211cos sin ax x ax C a a ++112.2cos d x ax x ⎰=223122sin cos sin x ax x ax ax C a a a+-+(十二)含有反三角函数的积分(其中0a >)113.arcsin d x x a ⎰=arcsin x x C a++114.arcsin d xx x a ⎰=22()arcsin 24x a x C a -+115.2arcsin d x x x a⎰=3221arcsin (239x x x a C a ++116.arccos d xx a ⎰=arccosxx C a117.arccos d xx x a ⎰=22()arccos 24x a x C a -118.2arccos d x x x a⎰=3221arccos (239x x x a C a -+119.arctand x x a ⎰=22arctan ln()2x a x a x C a -++ 120.arctan d x x x a ⎰=221()arctan 22x a a x x C a +-+121.2arctan d xx x a⎰=33222arctan ln()366x x a a x a x C a -+++ (十三)含有指数函数的积分122.d xa x ⎰=1ln xa C a + 123.e d axx ⎰=1e ax C a +124.e d ax x x ⎰=21(1)e axax C a-+125.e d n axx x ⎰=11e e d n ax n ax n x x x a a--⎰126.d xxa x ⎰=21ln (ln )x x x a a C a a -+ 127.d nxx a x ⎰=11d ln ln n x n xn x a x a x a a --⎰ 128.e sin d axbx x ⎰=221e (sin cos )ax a bx b bx C a b -++ 129.e cos d ax bx x ⎰=221e (sin cos )axb bx a bx C a b+++130.e sin d ax nbx x ⎰=12221e sin (sin cos )ax n bx a bx nb bx a b n--+ 22222(1)e sin d ax n n n b bx x a b n --++⎰131.e cos d ax nbx x ⎰=12221e cos (cos sin )ax n bx a bx nb bx a b n-++ 22222(1)e cos d ax n n n b bx x a b n--++⎰ (十四)含有对数函数的积分 132.ln d x x ⎰=ln x x x C -+133.d ln xx x ⎰=ln ln x C +134.ln d nx x x ⎰=111(ln )11n x x C n n +-+++135.(ln )d n x x ⎰=1(ln )(ln )d n nx x n x x --⎰136.(ln )d m nx x x ⎰=111(ln )(ln )d 11m n m n n x x x x x m m +--++⎰ (十五)含有双曲函数的积分 137.sh d x x ⎰=ch x C + 138.ch d x x ⎰=sh x C + 139.th d x x ⎰=lnch x C +140.2sh d x x ⎰=1sh224x x C -++ 141.2ch d x x ⎰=1sh224x x C ++(十六)定积分 142.cos d nx x π-π⎰=sin d nx x π-π⎰=0143.cos sin d mx nx x π-π⎰=0144.cos cos d mx nx x π-π⎰=0,,m nm n≠⎧⎨π=⎩145.sin sin d mx nx x π-π⎰=0,,m nm n ≠⎧⎨π=⎩146.sin sin d mx nx x π⎰=0cos cos d mx nx x π⎰=0,,2m n m n ≠⎧⎪⎨π=⎪⎩147. n I =20sin d nx x π⎰=20cos d n x x π⎰n I =21n n I n-- 1342253n n n I n n --=⋅⋅⋅⋅-L (n 为大于1的正奇数),1I =1 13312422n n n I n n --π=⋅⋅⋅⋅⋅-L (n 为正偶数),0I =2π一、 (系数不为0的情况)00101101lim 0n n n m m x m a n m b a x a x a n m b x b x b n m--→∞⎧=⎪⎪+++⎪=<⎨+++⎪∞>⎪⎪⎩L L二、重要公式(1)0sin lim 1x xx →=(2)()1lim 1xx x e→+= (3))1n a o >=(4)lim 1n →∞= (5)lim arctan 2x x π→∞=(6)lim tan 2x arc x π→-∞=-(7)limarccot 0x x →∞= (8)lim arccot x x π→-∞= (9)lim 0x x e →-∞=(10)lim x x e →+∞=∞(11)0lim 1xx x +→=三、下列常用等价无穷小关系(0x →)sin x x : tan x x : arcsin x x : arctan x x :211cos 2x x -:()ln 1x x+: 1x e x -: 1ln xa x a -:()11x x∂+-∂:四、导数的四则运算法则()u v u v '''±=± ()uv u v uv '''=+2u u v uv v v '''-⎛⎫=⎪⎝⎭五、基本导数公式⑴()0c '= ⑵1x x μμμ-= ⑶()sin cos x x '=⑷()cos sin x x '=- ⑸()2tan sec x x '= ⑹()2cot csc x x '=- ⑺()sec sec tan x x x '=⋅ ⑻()csc csc cot x x x '=-⋅⑼()xxe e '= ⑽()ln xx a a a'= ⑾()1ln x x '= ⑿()1log ln x ax a '=⒀()arcsin x '=⒁()arccos x '=⒂()21arctan 1x x '=+ ⒃()21arccot 1x x '=-+⒄()1x '=⒅'=六、高阶导数的运算法则(1)()()()()()()()n n n u x v x u x v x ±=±⎡⎤⎣⎦(2)()()()()n n cu x cux =⎡⎤⎣⎦(3)()()()()n n n u ax b a u ax b +=+⎡⎤⎣⎦(4)()()()()()()()nn n k kk nk u x v x c ux v x -=⋅=⎡⎤⎣⎦∑七、基本初等函数的n 阶导数公式 (1)()()!n n x n = (2)()()n ax b n ax be a e ++=⋅ (3)()()ln n x x n a a a=(4)()()sin sin 2n n ax b a ax b n π⎛⎫+=++⋅⎡⎤ ⎪⎣⎦⎝⎭ (5)()()cos cos 2n n ax b a ax b n π⎛⎫+=++⋅⎡⎤ ⎪⎣⎦⎝⎭ (6)()()()11!1n n nn a n ax b ax b +⋅⎛⎫=- ⎪+⎝⎭+ (7)()()()()()11!ln 1n n n na n axb ax b -⋅-+=-⎡⎤⎣⎦+八、微分公式与微分运算法则 ⑴()0d c = ⑵()1d x x dxμμμ-= ⑶()sin cos d x xdx=⑷()cos sin d x xdx=- ⑸()2tan sec d x xdx= ⑹()2cot csc d x xdx=-⑺()sec sec tan d x x xdx=⋅ ⑻()csc csc cot d x x xdx=-⋅⑼()xxd ee dx = ⑽()ln xxd a aadx= ⑾()1ln d x dx x =⑿()1log ln xa d dxx a = ⒀()arcsin d x =⒁()arccos d x =⒂()21arctan 1d x dx x =+ ⒃()21arccot 1d x dx x =-+九、微分运算法则⑴()d u v du dv±=±⑵()d cu cdu=⑶()d uv vdu udv=+⑷2u vdu udvdv v-⎛⎫=⎪⎝⎭十、基本积分公式⑴kdx kx c=+⎰⑵11xx dx cμμμ+=++⎰⑶lndxx cx=+⎰⑷lnxxaa dx ca=+⎰⑸x xe dx e c=+⎰⑹cos sinxdx x c=+⎰⑺sin cosxdx x c=-+⎰⑻221sec tancosdx xdx x cx==+⎰⎰⑼221csc cotsinxdx x cx==-+⎰⎰⑽21arctan1dx x cx=++⎰⑾arcsin x c=+⎰十一、下列常用凑微分公式十二、补充下面几个积分公式tan ln cos xdx x c =-+⎰ cot ln sin xdx x c =+⎰ sec ln sectan xdx x x c =++⎰ csc ln csc cot xdx x x c =-+⎰2211arctan x dx c a x a a =++⎰2211ln 2x adx c x a a x a -=+-+⎰arcsinxc a =+ln x c=++⎰十三、分部积分法公式⑴形如n axx e dx⎰,令n ux =,ax dv e dx =形如sinn x xdx⎰令nu x =,sin dv xdx =形如cos nx xdx⎰令n u x =,cos dv xdx =⑵形如arctan n x xdx⎰,令arctan ux =,n dv x dx =形如ln n x xdx⎰,令ln u x =,n dv x dx =⑶形如sin ax e xdx ⎰,cos ax e xdx ⎰令,sin ,cos ax u e x x =均可。