浙江2002投入产出表
- 格式:xls
- 大小:42.00 KB
- 文档页数:24
2002年投入产出表(产品部门X 产品部门)单位:万元产出投入产品煤炭开采和洗选石油和天然气开部门农业金属矿挑选业业采业产品部门代码01 02 03 04农业01 0.162247 0.007609 0.000002 0.005366 煤炭开采和洗选业02 0.003105 0.025231 0.005720 0.004410 石油和天然气开采业03 0.000033 0.000240 0.009872 0.002067 金属矿挑选业04 0.000000 0.000000 0.000000 0.067381 非金属矿挑选业05 0.000293 0.000722 0.000081 0.000707 食品制造及烟草加工业06 0.054997 0.000098 0.000430 0.000426 纺织业07 0.000589 0.000585 0.001986 0.000742 服饰皮革羽绒及其制品业08 0.000158 0.003217 0.003848 0.004899 木材加工及家具制造业09 0.002653 0.006606 0.001210 0.002194 造纸印刷及文教用品制造业10 0.001737 0.001448 0.002180 0.003195 石油加工、炼焦及核燃料加工11 0.009819 0.011138 0.021080 0.067655 化学工业12 0.067353 0.022908 0.014739 0.049801 非金属矿物制品业13 0.003153 0.008043 0.003778 0.007477 金属冶炼及压延加工业14 0.001134 0.041369 0.018363 0.021701 金属制品业15 0.002934 0.018815 0.007792 0.020518 通用、专用设施制造业16 0.007857 0.036699 0.025060 0.041000 交通运输设施制造业17 0.004392 0.008168 0.008608 0.018465 电气、机械及器械制造业18 0.000878 0.020383 0.014863 0.007767 通讯设施、计算机及其余电子19 0.000373 0.002775 0.003791 0.003025 仪器仪表及文化办公用机械制20 0.000373 0.005344 0.010211 0.004131 其余制造业21 0.001259 0.004049 0.001252 0.004428 废品废料22 0.000001 0.000008 0.000012 0.000042 电力、热力的生产和供给业23 0.011276 0.066875 0.046503 0.106135 燃气生产和供给业24 0.000030 0.000008 0.000966 0.001281 水的生产和供给业25 0.000306 0.001195 0.001175 0.002537 建筑业26 0.001739 0.002128 0.000999 0.000890 交通运输及仓储业27 0.021079 0.041872 0.014171 0.037140 邮政业28 0.000448 0.000651 0.000233 0.000370 信息传输、计算机服务和软件29 0.001546 0.009810 0.006223 0.003529 批发和零售贸易业30 0.026044 0.026407 0.013014 0.026424 住宿和餐饮业31 0.001802 0.009427 0.003823 0.008630 金融保险业32 0.015795 0.014641 0.018258 0.013616 房地家产33 0.000310 0.000763 0.000255 0.000363 租借和商务服务业34 0.002325 0.007674 0.009636 0.005435 旅行业35 0.000006 0.000000 0.000000 0.000000 科学研究事业36 0.000244 0.000351 0.001554 0.000583 综合技术服务业37 0.005597 0.009826 0.008531 0.009797 其余社会服务业38 0.002906 0.006864 0.006211 0.005385教育事业卫生、社会保障和社会福利事文化、体育和娱乐业公共管理和社会组织中间使用共计劳动者酬劳生产税净额固定财产折旧营业盈利增添值共计总投入39 0.000734 0.003253 0.001066 0.00240340 0.000399 0.003217 0.000299 0.00453341 0.000157 0.001069 0.000977 0.00304042 0.000000 0.000000 0.000000 0.000000 TIIVA001VA002VA003VA004TVATI非金属矿挑选业食品制造及烟草纺织业服饰皮革羽绒及木材加工及家具造纸印刷及文教加工业其制品业制造业用品制造业05 06 07 08 09 100.001087 0.336067 0.132507 0.045197 0.107283 0.026112 0.002629 0.002992 0.004219 0.000854 0.007157 0.004845 0.003967 0.000187 0.000812 0.000000 0.000000 0.000343 0.000000 0.000000 0.000000 0.000000 0.000000 0.000000 0.048581 0.000815 0.000000 0.000000 0.000000 0.000036 0.000000 0.134780 0.000388 0.036721 0.000044 0.000189 0.000926 0.001295 0.338748 0.285528 0.011135 0.016655 0.004944 0.000698 0.002820 0.126506 0.014571 0.006532 0.001995 0.001033 0.000838 0.001694 0.237795 0.014718 0.004819 0.021136 0.006052 0.014582 0.013881 0.235237 0.031254 0.002014 0.002992 0.002518 0.008550 0.005362 0.091449 0.032940 0.105222 0.063269 0.086136 0.108134 0.010261 0.005727 0.001836 0.002444 0.005505 0.002678 0.007151 0.001787 0.001099 0.002157 0.017815 0.010145 0.008340 0.006969 0.001797 0.003984 0.020259 0.013258 0.043596 0.003541 0.015918 0.004289 0.009996 0.011848 0.020753 0.002644 0.002029 0.001462 0.004616 0.007004 0.008669 0.001224 0.003274 0.001873 0.003673 0.004711 0.002534 0.000696 0.002070 0.002091 0.001596 0.010115 0.002551 0.000655 0.000956 0.001536 0.001817 0.002081 0.005770 0.001362 0.003003 0.003248 0.003592 0.004407 0.000048 0.000264 0.000059 0.000059 0.000495 0.018007 0.048769 0.010220 0.022129 0.006921 0.022847 0.020666 0.000537 0.000412 0.000238 0.000118 0.000198 0.000207 0.002249 0.000841 0.001027 0.000577 0.001372 0.002013 0.000611 0.000272 0.000391 0.000471 0.000330 0.000403 0.068634 0.026541 0.018848 0.022913 0.045909 0.034376 0.000358 0.000383 0.000609 0.000967 0.000579 0.000605 0.027936 0.004300 0.005493 0.011897 0.009356 0.003960 0.029541 0.049882 0.042035 0.055318 0.050976 0.054968 0.013160 0.003645 0.007926 0.005412 0.006054 0.009962 0.014584 0.007916 0.011088 0.008473 0.011177 0.012897 0.000819 0.001042 0.001392 0.003715 0.003333 0.002570 0.009530 0.017860 0.006549 0.026744 0.012487 0.009033 0.000062 0.000000 0.000005 0.000000 0.000001 0.000000 0.000620 0.000199 0.000093 0.000180 0.000138 0.000179 0.004026 0.001357 0.001038 0.001352 0.000848 0.001631 0.005523 0.002525 0.004062 0.003560 0.002224 0.0038270.001919 0.000515 0.000818 0.000710 0.000647 0.001145 0.000651 0.001473 0.000672 0.002766 0.000786 0.000928 0.003846 0.001228 0.001181 0.002082 0.001967 0.001652 0.000000 0.000000 0.000000 0.000000 0.000000 0.000000石油加工、炼焦化学工业非金属矿物制品金属冶炼及压延金属制品业通用、专用交通运输设及核燃料加工业业加工业设施制造业备制造业11 12 13 14 15 16 170.000138 0.030736 0.000772 0.000062 0.000455 0.000518 0.0001640.031176 0.012333 0.038639 0.021803 0.002082 0.004491 0.0027740.566478 0.015501 0.001982 0.002550 0.001457 0.000875 0.0005740.000000 0.003642 0.001894 0.088697 0.018446 0.003817 0.0013340.000000 0.013220 0.054202 0.006889 0.002220 0.000738 0.0002040.000000 0.007701 0.000021 0.000000 0.000000 0.000000 0.0000000.000104 0.003381 0.004955 0.000348 0.002818 0.005082 0.0019290.000991 0.003390 0.002971 0.001504 0.001808 0.002112 0.0029850.000401 0.002029 0.005748 0.000606 0.012829 0.003059 0.0023940.001092 0.013322 0.030401 0.001274 0.007835 0.005910 0.0026370.042160 0.033171 0.028941 0.034960 0.008745 0.007080 0.0039260.017695 0.375348 0.066830 0.015348 0.032278 0.051627 0.0606680.002342 0.005643 0.080856 0.018013 0.009787 0.004937 0.0057560.006365 0.008052 0.025775 0.302210 0.338556 0.175268 0.1062240.003147 0.007742 0.026359 0.009433 0.114654 0.035661 0.0167240.012102 0.011634 0.034808 0.025958 0.017164 0.180529 0.0859540.002998 0.002773 0.002526 0.007134 0.004209 0.011857 0.2858030.006090 0.003919 0.006378 0.005710 0.005560 0.041339 0.0223340.002604 0.003079 0.003990 0.001295 0.002395 0.020308 0.0059530.001905 0.003571 0.002963 0.002111 0.001619 0.004453 0.0046190.001068 0.002605 0.003765 0.003778 0.003902 0.004372 0.0023880.000158 0.000481 0.004108 0.037656 0.001528 0.003878 0.0004220.021498 0.045995 0.059795 0.052209 0.038898 0.022414 0.0124810.000708 0.000536 0.001346 0.001035 0.000168 0.000341 0.0004720.001629 0.001823 0.001758 0.001494 0.001328 0.000961 0.0011940.000332 0.000552 0.000839 0.000600 0.000303 0.000521 0.0008590.044882 0.032472 0.057978 0.042494 0.035582 0.031620 0.0226410.000091 0.000655 0.000364 0.000134 0.000470 0.000764 0.0003410.004030 0.007207 0.009114 0.006320 0.022333 0.012456 0.0110600.029843 0.037898 0.047051 0.039747 0.033921 0.035883 0.0378880.001745 0.005123 0.009409 0.002340 0.008618 0.010040 0.0033830.008695 0.011344 0.030730 0.009333 0.007469 0.014250 0.0080250.000414 0.001632 0.000845 0.000284 0.002072 0.001369 0.0009820.005382 0.012192 0.010758 0.002885 0.009729 0.009995 0.0145430.000000 0.000000 0.000000 0.000006 0.000001 0.000000 0.0000030.000653 0.000484 0.000484 0.000158 0.000993 0.000613 0.0007510.001332 0.001436 0.001613 0.001510 0.002492 0.001815 0.0011410.006025 0.004826 0.004512 0.005637 0.004879 0.004055 0.0029850.000577 0.000875 0.001220 0.000537 0.001566 0.001147 0.000989 0.000541 0.000676 0.000782 0.001237 0.000840 0.001238 0.001381 0.000640 0.001710 0.003683 0.000727 0.001284 0.001840 0.000928 0.000000 0.000000 0.000000 0.000000 0.000000 0.000000 0.000000中间使用电气、机械通讯设施、仪器仪表及电力、热力计算机及其燃气生产和水的生产和及器械制造文化办公用其余制造业废品废料的生产和供他电子设施供给业供给业业机械制造业应业制造业18 19 20 21 22 23 24 25 0.000096 0.000160 0.000022 0.090404 0.000000 0.000252 0.010578 0.000003 0.001288 0.000346 0.000542 0.008948 0.000000 0.163550 0.239710 0.002054 0.000201 0.000029 0.000050 0.000018 0.000000 0.008053 0.043389 0.000033 0.005863 0.000249 0.000976 0.000147 0.000000 0.000517 0.000000 0.000000 0.000269 0.000212 0.000268 0.002736 0.000000 0.000156 0.000000 0.000344 0.000000 0.000000 0.000020 0.004955 0.000000 0.000000 0.000000 0.000000 0.000634 0.001562 0.001971 0.085077 0.000000 0.000152 0.000143 0.000224 0.001627 0.000700 0.002229 0.003204 0.000000 0.002361 0.006179 0.003708 0.003366 0.001289 0.002142 0.017616 0.000000 0.000789 0.001053 0.001755 0.024625 0.008268 0.010955 0.050027 0.000000 0.002137 0.003077 0.004218 0.005661 0.002217 0.002360 0.011337 0.000000 0.041677 0.105511 0.002425 0.120572 0.056473 0.116038 0.076394 0.000000 0.006648 0.010123 0.041493 0.013420 0.025198 0.023624 0.015423 0.000000 0.002065 0.002358 0.003035 0.197532 0.018198 0.064327 0.062081 0.000000 0.002573 0.002744 0.002045 0.041733 0.019874 0.037761 0.044894 0.000000 0.004642 0.006268 0.030009 0.044897 0.012534 0.030453 0.007125 0.000000 0.036449 0.026215 0.027488 0.005075 0.002867 0.005259 0.003501 0.000000 0.007761 0.017873 0.013352 0.096894 0.066635 0.055480 0.006882 0.000000 0.029786 0.003886 0.006977 0.032538 0.453173 0.192155 0.004630 0.000000 0.004499 0.002716 0.004806 0.004993 0.002467 0.060946 0.002136 0.000000 0.015143 0.003514 0.004560 0.005347 0.002142 0.003779 0.058917 0.000000 0.000478 0.004310 0.005059 0.000310 0.000509 0.000175 0.001198 0.000000 0.000000 0.000000 0.000000 0.013032 0.008793 0.009341 0.016737 0.000000 0.032913 0.049697 0.181737 0.000808 0.000284 0.000464 0.001198 0.000000 0.000784 0.045141 0.003402 0.001035 0.000720 0.001504 0.000986 0.000000 0.002364 0.004674 0.041433 0.000440 0.000216 0.000455 0.002931 0.000000 0.000877 0.000558 0.001488 0.028913 0.017692 0.027250 0.026842 0.000000 0.039968 0.062020 0.011181 0.000694 0.000354 0.000599 0.000645 0.000000 0.000174 0.000416 0.000433 0.016321 0.006533 0.010841 0.012977 0.000000 0.004442 0.015277 0.023046 0.041558 0.040041 0.037155 0.059582 0.000000 0.038775 0.060135 0.022401 0.011034 0.002781 0.007445 0.006643 0.000000 0.002427 0.020616 0.005691 0.010097 0.013111 0.005643 0.011472 0.000000 0.027269 0.007974 0.020734 0.002174 0.002080 0.009347 0.002736 0.000000 0.000228 0.001106 0.000177 0.017123 0.016358 0.009964 0.011077 0.000000 0.002245 0.005939 0.005432 0.000171 0.000144 0.000118 0.000048 0.000000 0.000005 0.000021 0.000014 0.000848 0.000845 0.000760 0.000356 0.000000 0.000206 0.000187 0.000161 0.001311 0.001071 0.001565 0.001123 0.000000 0.003249 0.001055 0.006311 0.003666 0.001911 0.004059 0.002199 0.000000 0.009868 0.017787 0.0156480.0006880.0003720.0011280.0006960.0000000.0009100.0015180.002867 0.0001740.0004140.0005600.0002090.0000000.0013430.0021340.000234 0.0015760.0009680.0030050.0027250.0000000.0014280.0102620.003540 0.0000000.0000000.0000000.0000000.0000000.0000000.0000000.000000交通运输及信息传输、批发和零售住宿和餐饮建筑业邮政业计算机服务金融保险业房地家产仓储业贸易业业和软件业26 27 28 29 30 31 32 33 0.081268 0.009341 0.000000 0.000227 0.014490 0.142862 0.000000 0.000159 0.000800 0.002916 0.002010 0.001246 0.001174 0.003553 0.000374 0.003917 0.000000 0.001859 0.000000 0.000000 0.000000 0.000590 0.000000 0.000004 0.000000 0.000000 0.000000 0.000000 0.000000 0.000000 0.000000 0.000000 0.024174 0.000672 0.000000 0.000000 0.000000 0.000000 0.000000 0.000305 0.000875 0.002561 0.000028 0.000456 0.011506 0.225743 0.000139 0.000012 0.002204 0.001055 0.003941 0.001421 0.000386 0.001887 0.000236 0.000036 0.001560 0.002393 0.022247 0.000930 0.009208 0.003901 0.003579 0.000561 0.032242 0.001105 0.003369 0.000620 0.004663 0.002369 0.002144 0.002294 0.000917 0.003422 0.116408 0.030129 0.035858 0.003258 0.019506 0.002037 0.025324 0.126664 0.013708 0.000660 0.013472 0.004537 0.003509 0.002877 0.037474 0.009485 0.006962 0.005367 0.019815 0.008265 0.004665 0.001567 0.108691 0.001446 0.010409 0.000242 0.001237 0.002611 0.001192 0.011856 0.115432 0.003640 0.001930 0.000101 0.000573 0.000127 0.000000 0.002818 0.051323 0.002132 0.000950 0.009589 0.003006 0.002100 0.002054 0.002941 0.044712 0.023914 0.043172 0.014759 0.015876 0.001795 0.008745 0.007165 0.003679 0.066484 0.047995 0.022496 0.030569 0.000805 0.007209 0.008479 0.029609 0.003439 0.005661 0.068268 0.014322 0.005845 0.002511 0.008401 0.002800 0.003115 0.011609 0.108451 0.017471 0.000728 0.011316 0.000709 0.011447 0.001547 0.000829 0.023455 0.001161 0.000064 0.007323 0.000336 0.005081 0.001264 0.002930 0.001910 0.001484 0.002762 0.000846 0.000185 0.000000 0.000000 0.000000 0.000000 0.000000 0.000000 0.000000 0.000000 0.013699 0.012679 0.021042 0.022656 0.016677 0.020387 0.009931 0.006167 0.000114 0.001055 0.001264 0.000506 0.000506 0.002661 0.000161 0.000380 0.001115 0.001357 0.003625 0.002399 0.001647 0.003651 0.001237 0.000619 0.001204 0.011848 0.057164 0.009651 0.006904 0.015689 0.015603 0.040481 0.045266 0.112440 0.066863 0.009256 0.030586 0.015625 0.024607 0.009279 0.000090 0.000513 0.004502 0.000633 0.001744 0.000261 0.004318 0.000046 0.039667 0.008525 0.028831 0.019704 0.021374 0.008070 0.044932 0.005678 0.044099 0.018367 0.044399 0.032353 0.020855 0.054010 0.007865 0.005407 0.005797 0.009894 0.008387 0.006784 0.027993 0.010000 0.031826 0.014384 0.008356 0.050554 0.024561 0.008226 0.057384 0.019449 0.069764 0.077458 0.000160 0.001740 0.007589 0.009501 0.019315 0.007075 0.043034 0.009551 0.013294 0.009771 0.007053 0.008404 0.030983 0.017323 0.023497 0.036942 0.000000 0.000124 0.000000 0.000417 0.000000 0.000657 0.000278 0.000410 0.000078 0.000044 0.002178 0.002996 0.000294 0.000007 0.000139 0.000044 0.010170 0.000548 0.000115 0.000726 0.003202 0.000168 0.000808 0.001364 0.001080 0.004144 0.003729 0.006784 0.019477 0.003028 0.003136 0.0017530.000875 0.002109 0.008989 0.000986 0.002104 0.001959 0.005196 0.000820 0.000382 0.001450 0.000078 0.000176 0.000148 0.000257 0.003053 0.000061 0.000546 0.000416 0.015955 0.006680 0.001132 0.001019 0.004351 0.001214 0.000000 0.000000 0.000000 0.000000 0.000000 0.000000 0.000000 0.000000租借和商务科学研究事综合技术服其余社会服卫生、社会文化、体育旅行业教育事业保障和社会服务业业务业务业和娱乐业福利事业34 35 36 37 38 39 40 41 0.002004 0.000673 0.003841 0.006669 0.007910 0.005828 0.002796 0.007494 0.001110 0.000049 0.005846 0.003361 0.010787 0.011469 0.003206 0.000964 0.000080 0.000028 0.000096 0.000083 0.000516 0.000000 0.000106 0.000564 0.000000 0.000000 0.006547 0.001474 0.000000 0.000000 0.000000 0.000000 0.000000 0.000000 0.000173 0.000745 0.000378 0.000425 0.000142 0.000192 0.004062 0.000801 0.002655 0.001131 0.018679 0.010017 0.002831 0.062271 0.001151 0.000362 0.008167 0.000534 0.070309 0.003872 0.004103 0.008188 0.003446 0.001271 0.000532 0.001866 0.005882 0.000667 0.002195 0.003324 0.001427 0.000278 0.004050 0.003218 0.024830 0.016608 0.005044 0.008969 0.083918 0.004415 0.010423 0.009259 0.026730 0.051071 0.005329 0.116318 0.003845 0.004432 0.010886 0.006910 0.019762 0.003865 0.002545 0.008612 0.005463 0.001039 0.018762 0.012106 0.058182 0.012605 0.307408 0.022433 0.000719 0.000094 0.004797 0.011664 0.004869 0.005572 0.002618 0.004558 0.000713 0.000029 0.006876 0.006694 0.003593 0.001382 0.000198 0.000876 0.021081 0.000053 0.020758 0.012275 0.003229 0.003192 0.002127 0.001684 0.023612 0.000927 0.025781 0.025915 0.008039 0.007975 0.032368 0.004186 0.032314 0.006289 0.007596 0.009133 0.029499 0.006675 0.001052 0.012997 0.040096 0.000294 0.055569 0.004835 0.004484 0.004896 0.002061 0.004332 0.168947 0.000370 0.125590 0.020950 0.016035 0.006974 0.002029 0.007889 0.001283 0.001460 0.023157 0.008382 0.017185 0.008706 0.005261 0.003881 0.003561 0.000331 0.004825 0.002690 0.008997 0.002479 0.002299 0.002404 0.000000 0.000000 0.000000 0.000000 0.000000 0.000000 0.000000 0.000000 0.009592 0.004021 0.021059 0.011104 0.013210 0.032342 0.013350 0.010377 0.000731 0.000154 0.000265 0.000289 0.001494 0.000941 0.000438 0.001283 0.001184 0.001340 0.001935 0.002629 0.002446 0.005731 0.001960 0.002306 0.004229 0.007192 0.002652 0.028300 0.021005 0.050986 0.018452 0.011742 0.025341 0.161357 0.032413 0.027151 0.018008 0.027511 0.008086 0.030034 0.001879 0.001962 0.000824 0.000562 0.000753 0.002813 0.003387 0.008953 0.013903 0.013445 0.011337 0.015843 0.008853 0.014225 0.007702 0.037813 0.040573 0.003630 0.026091 0.017851 0.033012 0.020975 0.033166 0.039038 0.023652 0.111067 0.023113 0.037574 0.012350 0.021687 0.007702 0.020897 0.032253 0.018944 0.005397 0.039794 0.017941 0.003370 0.002370 0.007871 0.011580 0.001070 0.001271 0.001992 0.022917 0.005031 0.002814 0.011283 0.021916 0.009011 0.014671 0.013070 0.007019 0.006520 0.003874 0.015974 0.000470 0.076994 0.000078 0.000292 0.000667 0.001602 0.000055 0.002395 0.000383 0.000009 0.015371 0.002450 0.000025 0.003419 0.000399 0.000217 0.000160 0.000308 0.005319 0.041400 0.000721 0.001966 0.000799 0.000408 0.010278 0.020254 0.006859 0.014434 0.040277 0.008720 0.002381 0.0060920.002060 0.001667 0.003365 0.002683 0.001310 0.002851 0.002637 0.002398 0.000190 0.000080 0.009726 0.003805 0.000626 0.003436 0.002504 0.003511 0.010058 0.002303 0.005524 0.007504 0.003483 0.008990 0.003659 0.039508 0.000000 0.000000 0.000000 0.000000 0.000000 0.000000 0.000000 0.000000公共管理和中间使用共计社会组织42TIU0.0000000.0026410.0002340.0000000.0001160.0000000.0370770.0035210.0201020.0433480.0085620.0076300.0023940.0000000.0067540.0014820.0180560.0016820.0041400.0025720.0019340.0000000.0126090.0003730.0011020.0163500.0331070.0085300.0319500.0176230.0626430.0283210.0769540.0061980.0062860.0006970.0011760.0110100.006201 0.002089 0.006169 0.000000。
论文:男女同工同酬的数量分析及对策组合研究-以浙江为例的省级cge模型模拟分析摘要同工不同酬意味着劳动力市场上存在着制度性价格扭曲,对此的纠正将因为劳动要素基于统一的市场价格被重新更有效率地配置而实现更优的一般均衡。
但总量上的正面效果在各个地区则可能是正反效果不一的。
对于各地方政府来说,有必要具体了解当地经济将受到的冲击,并考虑综合配套政策,在保障就业公平的同时实现地方经济的增长及结构升级。
本文以浙江为例,构建一个识别了城乡劳动力以及城镇单位中男女劳动力的省级地方经济可计算一般均衡(cge)模型。
并利用该模型定量分析了消除男女性别歧视,实现同工同酬对浙江经济的冲击,及其与财政刺激政策乃至产业竞争政策配套实施的综合效果,进而基于模拟结果讨论了在就业公平基础上实现浙江经济增长及结构升级的政策组合。
关键词同工同酬区域经济政策组合 cge模型一、问题的提出(一)问题意识和课题设定抽样调查和统计分析均表明,中国的劳动力性别间收入差距有扩大趋势(第二期中国妇女社会地位调查课题组,2001;张丹丹,2004;迟巍,2008;李春玲,李实,2008)。
并且,该收入差距中有人力资本等经济因素所不能说明的部分(gustafsson和li,2000;张丹丹,2004;王美艳,2005;李实,马欣欣,2006;迟巍,2008;李春玲,李实,2008;姚先国,黄志岭,2008)。
也就是说,中国的劳动力市场上存在着性别歧视。
中国于1990年批准加入了国际劳工组织通过的《男女工人同工同酬公约》,中国的《宪法》、《劳动法》和《劳动合同法》也都对男女同工同酬有所规定,构建和谐社会的发展指向同样要求对此类社会不公平问题加以纠正。
但在制定相关政策时需要注意的是,对此类与经济活动密切相关的社会问题的处理,将由于经济系统内部的联动性,产生多方面的、综合的经济影响。
从经济学角度来说,实现帕累托最优的一个基础性条件就是要素能够获得与其对生产活动的贡献相当的报酬。
2002年投入产出完全消耗系数表农业采掘业食品制造业纺织、缝纫及皮农业0.24325610.02480390.50210440.2337942采掘业0.04401910.10693930.04997060.0658978食品制造业0.08692840.01051560.19992680.0603048纺织、缝纫及皮革产品制造业0.00899230.01839390.01474480.6048778其他制造业0.02854440.03963830.06315110.063451电力、热力及水的生产和供应业0.03645730.09926680.04468160.0667431炼焦、煤气及石油加工业0.03230180.05613930.03230920.0401625化学工业0.16401840.11047430.15454280.2968351建筑材料及其他非金属矿物制造业0.00944330.01624370.01503270.012949金属产品制造业0.03899310.1234360.05753370.0671289机器设备制造业0.07680080.19307030.09622180.1438696建筑业0.00553290.00628390.00612080.0074069运输邮电业0.0546660.07868380.0761790.084339批发零售贸易、住宿和餐饮业0.0672450.07636350.11526810.1474065房地产业、租赁和商务服务业0.0277740.04961190.05751980.0804819金融保险业0.03597640.03961360.03917030.0485521其他服务业0.02202260.03654640.02544760.0330896列和0.9829719 1.0860245 1.5499251 2.0572898列平均 1.536214521.53621452 1.53621451.53621452影响力系数0.63986630.70694847 1.00892491.33919434金属产业制造业其他制造业电力、热力及水的化学工业建筑材料及其他非炼焦、煤气及石油0.13041290.0201210.02779190.09372980.03677070.0334391 0.07769710.24186760.70050870.16724060.20650480.2439564 0.02566680.01078940.01328950.03309360.01676130.0158708 0.07825470.01529160.01867420.0302710.03058440.02347820.33350.0329760.0416780.0694160.10024990.1108201 0.06903350.08849860.10099920.11744520.11976690.12701 0.04624840.07308930.10251590.09130720.07906720.0874118 0.25806370.07894680.12067130.67410660.19528960.1317334 0.01703850.0118680.01632550.01918440.10001370.0369436 0.13304310.09185120.11760980.10346680.16699150.6260167 0.15252020.23659390.2047030.17098580.21101470.2173794 0.00703990.0062520.00728760.00743280.00810610.0076717 0.09624540.08472760.11808710.1050910.12618050.1229808 0.13530650.08970260.10448870.12506560.128720.1288452 0.06313050.04308940.05727280.07120120.0679630.0672774 0.0455530.05392550.04682440.05004360.06983530.04862180.02793190.0355980.04095360.03511710.03548950.0377731.6966861 1.2151885 1.8396812 1.9641983 1.69930912.0672294 1.5362145 1.536214524 1.536214524 1.536214524 1.536214524 1.536214524 1.10445910.791027868 1.197541861 1.278596361 1.106166537 1.345664533机械设备制造业建筑业运输邮电业批发零售贸易、房地产业、租金融保险业0.03697690.13552420.03460060.12545040.02427470.018620.11182480.14753910.13315440.04779790.04377830.02862730.01806660.02446150.0142920.10533940.011940.00922160.02702540.02566390.01822410.02541710.01530120.01471450.08279560.10729710.04289760.07256280.07563690.05298930.08184110.08118610.05131430.04825770.04143380.0299250.05455440.0782380.16849830.03633540.02430680.02064980.24233290.17499930.08301830.09574520.07446620.04786450.03654750.1348370.01313930.01117930.01779760.00906840.39952890.36096980.09097050.06504620.10774220.05006540.69618030.28917870.2562420.17629830.316180.13514020.00785210.00931870.02035480.01616750.02686340.02216870.10399840.12328910.16906470.06831260.05159460.05678920.14096530.1361110.0834480.10530360.0856640.07459110.0871430.10541580.06073610.09829320.08276530.14242810.05314390.05123960.08214230.07493470.06882640.09304040.03457820.03881960.02720980.03615430.02823450.02805072.2153553 2.0240885 1.3493071 1.2085956 1.09680590.83395421.536214524 1.536214524 1.536214524 1.536214524 1.5362145 1.536214521.442087199 1.3175819320.8783324720.7867362150.71396660.54286311其他服务业行和行平均感应度系数0.0474263 1.769097 1.536215 1.151595 0.0591512 2.476475 1.536215 1.612063 0.0272870.683755 1.5362150.445091 0.0607745 1.030684 1.5362150.670924 0.1050885 1.422693 1.5362150.926103 0.0524068 1.256267 1.5362150.817768 0.0378782 1.061014 1.5362150.690668 0.1643574 3.067466 1.536215 1.996769 0.01599960.493611 1.5362150.321317 0.0759436 2.676337 1.536215 1.742164 0.1670156 3.739395 1.536215 2.434162 0.03133160.203191 1.5362150.132268 0.0767391 1.596968 1.536215 1.039547 0.1128953 1.85739 1.536215 1.209069 0.0952673 1.257371 1.5362150.818486 0.04460860.946052 1.5362150.6158330.05486580.577882 1.5362150.3761731.22903641.53621450.8000422。
投入产出模型6.1 投入产出模型投入产出模型对于研究分析国民经济各部门之间的数量依存关系,制定国民经济的计划与规划等都具有十分重要的作用。
根据投入产出模型的原理与方法,现介绍其建模与应用分析的具体方法步骤。
第1节投入产出模型概述投入产出分析是20世纪30年代由美国经济学家瓦。
列昂节夫(W. Leontif)首先提出的,它是研究整个经济系统各部门之间“投入”与“产出”关系的线性模型,一般称为投入产出模型。
国民经济各个部门之间存在着相互依存的关系,每个部门在运转中将其它部门的成品或半成品经过加工(称为投入)变为自己的产品(称为产出),如何根据各部门之间的投入-产出关系,确定各部门的产出水平,以满足社会的需求,是投入产出综合平衡模型研究的问题。
投入产出表投入平衡表简称投入产出表,它是指能够把国民经济各部门之间所有产品的投入与产出关系都表现出来的统计表格。
它是建立投入模型的基础。
主要根据所研究的目的和要求来确定投入产出表的类型。
现以价值型投入产出表为例,如列昂节夫的第一个投入产出表是研究全美国的经济结构的,他编制了全美国十大部门价值型投入产出表。
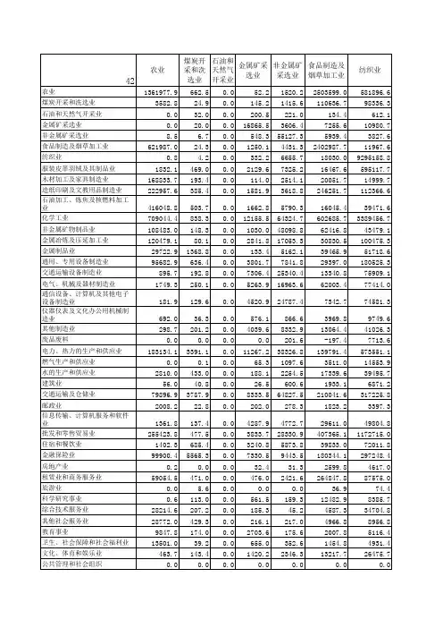
如表1是一张简化的中国2002年投入产出表,表中国民经济由农业、工业、建筑业、运输邮电业、批零餐饮业和其它服务业6个部门构成,对每个部门有初始投入和总投入,以及外部需求和总产出。
表1中国2002年投入产出表(产值单位:亿元)表中数字均以产值计算,6个部门的横行表示该部门的产品供给各部门生产使用的数量,6个部门的纵列表示该部门生产中消耗的各部门产品的数量。
直接消耗系数直接消耗系数是投入产出应用分析研究最重要的指标。
可在投入产出表的基础上求算直接消耗系数,它可显示出各个部门在生产中的技术经济联系。
如表1中运输邮电部门消耗403亿元工业部门的产品,总产出为1570亿元,于是运输邮电部门的单位产出对工业部门的直接消耗是403/1570=0.257,如此得到的直接小号系数如表2.由于每个部门的总产出等于总投入,计算式将每行数字相应地除以最后一行数字即可。
国家经贸委发出关于2002年纺配工作有关事项的通知文章属性•【制定机关】国家经济贸易委员会(已撤销)•【公布日期】2001.10.25•【文号】•【施行日期】2001.10.25•【效力等级】部门规范性文件•【时效性】现行有效•【主题分类】正文国家经贸委发出关于2002年纺配工作有关事项的通知各省、自治区、直辖市、计划单列市及新疆生产建设兵团经贸委(经委),有关中央管理企业:根据国经贸厅[2001]573号文件精神,为尽快“组织提出分配计划”,现将有关事宜通知如下:一、请告知企业在上报数据时注意以下问题:(1)企业出口额仅指2000年7月至2001年6月纺织品服装出口额,不包括非纺织品出口。
(2)在现有海关出口统计中,部分商品(附件一)未计入纺织大类。
请有关企业到当地海关开具此类产品出口证明(含清单)并上报。
二、企业应按“2002年度纺织自营出口生产企业纺配分配类别清单”(附件二)申报有关纺织类别,自主申领转为业绩分配的类别(附件三)无需申报。
根据纺织品服装一体化进程,2002年1月1日起将有部分类别全部或部分取消配额限制,请各企业充分考虑有关情况予以申报。
三、在2000年7月至2001年6月期间,生产企业成立进出口公司或发生更名更码(包括海关码、进出口企业代码)等情况,需上报以下文件(复印件):(1)生产企业成立进出口公司批复文件;(2)进出口企业资格证书;(3)海关注册登记证明书(4)其他有关证明材料四、请各地经贸委(纺织行办)尽快通知企业按要求上报。
我局将对企业出口业绩及有关情况进行核查,并向各地反馈。
联系电话:************和63192788传真:************E-mail:*************.cn通讯地址:北京宣武门西大街26号邮政编码:100053国家经济贸易委员会纺织运行局二00一年十月二十五日附件一:部分未计入纺织大类出口商品清单税则号列商品名称30059010 药棉、纱布、绷带30059090 药棉、纱布、绷带42021210 纺织材料作箱包42021290 纺织材料作箱包42022200 纺织材料作箱包42023200 纺织材料作箱包42029200 纺织材料作箱包64052000 纺织材料作鞋面64061000 纺织材料作鞋面64069900 纺织材料作鞋面70191900 玻璃纤维纱线及其织物70194000 玻璃纤维纱线及其织物70195100 玻璃纤维纱线及其织物70195200 玻璃纤维纱线及其织物70195900 玻璃纤维纱线及其织物94049010 寝具及类似用品94049020 寝具及类似用品94049030 寝具及类似用品94049040 寝具及类似用品94049090 寝具及类似用品附件二:2002年度纺织自营出口生产企业纺配分配类别清单┌──┬────┬───────┬──┬────┬───────┐│国别│类别│一体化调整情况│国别│类别│一体化调整情况│├──┼────┼───────┼──┼────┼───────┤│输美│200││输美│435││├──┼────┼───────┼──┼────┼───────┤│输美│218││输美│436││├──┼────┼───────┼──┼────┼───────┤│输美│ 224-V││输美│438││├──┼────┼───────┼──┼────┼───────┤│输美│225││输美│442││├──┼────┼───────┼──┼────┼───────┤│输美│226││输美│443││├──┼────┼───────┼──┼────┼───────┤│输美│237││输美│444││├──┼────┼───────┼──┼────┼───────┤│输美│239│ 切块数量为0│输美│ 445/6││├──┼────┼───────┼──┼────┼───────┤│输美│300││输美│447││├──┼────┼───────┼──┼────┼───────┤│输美│313││输美│448││├──┼────┼───────┼──┼────┼───────┤│输美│314││输美│614││├──┼────┼───────┼──┼────┼───────┤│输美│315││输美│617││├──┼────┼───────┼──┼────┼───────┤│输美│317││输美│631│部分取消│├──┼────┼───────┼──┼────┼───────┤│输美│326││输美│633││├──┼────┼───────┼──┼────┼───────┤│输美│331│部分取消│输美│640││├──┼────┼───────┼──┼────┼───────┤│输美│335││输美│642││├──┼────┼───────┼──┼────┼───────┤│输美│336││输美│643││├──┼────┼───────┼──┼────┼───────┤│输美│ 338/9││输美│644/844 │部分取消│├──┼────┼───────┼──┼────┼───────┤│输美│338/9-S ││输美│648││├──┼────┼───────┼──┼────┼───────┤│输美│340││输美│649│全部取消│├──┼────┼───────┼──┼────┼───────┤│输美│ 340-Z││输美│650│全部取消│├──┼────┼───────┼──┼────┼───────┤│输美│341││输美│651││├──┼────┼───────┼──┼────┼───────┤│输美│ 341-Y││输美│ 651-B││├──┼────┼───────┼──┼────┼───────┤│输美│342││输美│ 659-H│部分取消│├──┼────┼───────┼──┼────┼───────┤│输美│345││输美│ 659-S│部分取消│├──┼────┼───────┼──┼────┼───────┤│输美│350│全部取消│输美│666│部分取消│├──┼────┼───────┼──┼────┼───────┤│输美│ 359-C│部分取消│输美│ 666-C│全部取消│├──┼────┼───────┼──┼────┼───────┤│输美│ 359-V│部分取消│输美│ 669-P│全部取消│├──┼────┼───────┼──┼────┼───────┤│输美│360││输美│ 670-L│全部取消│├──┼────┼───────┼──┼────┼───────┤│输美│ 360-P││输美│831│全部取消│├──┼────┼───────┼──┼────┼───────┤│输美│361││输美│835│全部取消│├──┼────┼───────┼──┼────┼───────┤│输美│362││输美│836│全部取消│├──┼────┼───────┼──┼────┼───────┤│输美│363││输美│842│全部取消│├──┼────┼───────┼──┼────┼───────┤│输美│ 369-D│全部取消│输美│845││├──┼────┼───────┼──┼────┼───────┤│输美│ 369-L│全部取消│输美│846││├──┼────┼───────┼──┼────┼───────┤│输美│410││输美│847│全部取消│├──┼────┼───────┼──┼────┼───────┤│输美│ 410-A││输美│870│全部取消│├──┼────┼───────┼──┼────┼───────┤│输美│ 410-B││输美│ G2│部分取消│├──┼────┼───────┼──┼────┼───────┤│输美│433││输美│ G3│部分取消│├──┼────┼───────┼──┼────┼───────┤│输美│434││输美│ G4│部分取消│└──┴────┴───────┴──┴────┴───────┘┌───┬───┬───────┬───┬───┬───────┐│ 国别│ 类别│一体化调整情况│国别│ 类别│一体化调整情况│├───┼───┼───────┼───┼───┼───────┤│ 输加│1A││输加│12│全部取消│├───┼───┼───────┼───┼───┼───────┤│ 输加│1B││输加│13││├───┼───┼───────┼───┼───┼───────┤│ 输加│2A││输加│14│全部取消│├───┼───┼───────┼───┼───┼───────┤│ 输加│3A││输加│ 31A│部分取消│├───┼───┼───────┼───┼───┼───────┤│ 输加│ 3/4A │部分取消│输加│ 32A│部分取消│├───┼───┼───────┼───┼───┼───────┤│ 输加│4B││输加│36│部分取消│├───┼───┼───────┼───┼───┼───────┤│ 输加│5│部分取消│输加│ 36A│部分取消│├───┼───┼───────┼───┼───┼───────┤│ 输加│ 7/8A │部分取消│输加│ 41A││├───┼───┼───────┼───┼───┼───────┤│ 输加│ 7/8B │部分取消│输加│43│部分取消│├───┼───┼───────┼───┼───┼───────┤│ 输加│9││输加│ 45A││├───┼───┼───────┼───┼───┼───────┤│ 输加│10│││││├───┼───┼───────┼───┼───┼───────┤│ 输加│11│││││└───┴───┴───────┴───┴───┴───────┘┌──┬────┬───────┬──┬────┬───────┐│国别│类别│一体化调整情况│国别│类别│一体化调整情况│├──┼────┼───────┼──┼────┼───────┤│输欧│ 2││输欧│ 29││├──┼────┼───────┼──┼────┼───────┤│输欧│ 2A││输欧│ 31││├──┼────┼───────┼──┼────┼───────┤│输欧│ 3││输欧│ 68│全部取消│├──┼────┼───────┼──┼────┼───────┤│输欧│ 3A││输欧│ 73│全部取消│├──┼────┼───────┼──┼────┼───────┤│输欧│ 5││输欧│ 76│全部取消│├──┼────┼───────┼──┼────┼───────┤│输欧│ 5A││输欧│ 83││├──┼────┼───────┼──┼────┼───────┤│输欧│ 5H││输欧│ 97││├──┼────┼───────┼──┼────┼───────┤│输欧│ 6S││输欧│163││├──┼────┼───────┼──┼────┼───────┤│输欧│ 9││输欧│115││├──┼────┼───────┼──┼────┼───────┤│输欧│ 10│全部取消│输欧│117││├──┼────┼───────┼──┼────┼───────┤│输欧│ 12││输欧│136A││├──┼────┼───────┼──┼────┼───────┤│输欧│ 13││输欧│156││├──┼────┼───────┼──┼────┼───────┤│输欧│ 14││输欧│157││├──┼────┼───────┼──┼────┼───────┤│输欧│ 15││输欧│161│全部取消│├──┼────┼───────┼──┼────┼───────┤│输欧│ 18│全部取消│输欧│EX18││├──┼────┼───────┼──┼────┼───────┤│输欧│ 20/39││输欧│EX24││├──┼────┼───────┼──┼────┼───────┤│输欧│ 24│全部取消││││├──┼────┼───────┼──┼────┼───────┤│输欧│ 26│││││├──┼────┼───────┼──┼────┼───────┤│输欧│ 28│││││└──┴────┴───────┴──┴────┴───────┘┌──┬────┬───────┬──┬────┬───────┐│国别│类别│一体化调整情况│国别│类别│一体化调整情况│├──┼────┼───────┼──┼────┼───────┤│输土│ 3│││││├──┼────┼───────┼──┼────┼───────┤│输土│ 3A│││││├──┼────┼───────┼──┼────┼───────┤│输土│ 5│││││├──┼────┼───────┼──┼────┼───────┤│输土│ 5A│││││├──┼────┼───────┼──┼────┼───────┤│输土│ 20/39│││││├──┼────┼───────┼──┼────┼───────┤│输土│ 21│全部取消││││├──┼────┼───────┼──┼────┼───────┤│输土│ 22│││││├──┼────┼───────┼──┼────┼───────┤│输土│ 32│全部取消││││├──┼────┼───────┼──┼────┼───────┤│输土│ 37│全部取消││││├──┼────┼───────┼──┼────┼───────┤│输土│37A│││││└──┴────┴───────┴──┴────┴───────┘附件三:2002年度不参与纺配分配类别清单一、 2002年度纺配招标类别表(共21类)欧盟:(共7类)EC4、EC5、EC6、EC7、EC8、EC21、EC78美国:(共13类)US334、US347/348、US351、US352、US634、US635、US636、US638/639、US641、US645/646、US647、US652、US840加拿大:(共1类)CA2二、 2002年度实行总量控制、自主申领签证管理的纺织品被动配额类别表(共74类)欧盟:(共19类)EC1、EC2G、EC2N、EC19、EC22、EC23、EC33、ECEX39、EC122、EC123、EC124、EC125A、EC125B、EC127B、EC140、EC145、EC146A、EC146B、EC151B土耳其:(共44类)TR1、TR9、TR12、TR13、TR17、TR18、TR19、TR23、TR24、TR26、TR28、TR29、TR31、TR33、TR37、TR37A、TR68、TR76、TR97、TR115、TR118、TR120、TR122、TR124、TR125A、TR125B、TR126、TR127A、TR127B、TR136A、TR140、TR145、TR146A、TR146B、TR151B、TR156、TR157、TR160、TR161、TR163、TREX13、TREX18、TREX24、TREX39加拿大:(共3类)CA36、CA36A、CA41B美国:(共8类)US333、US369-S、US440、US440-M、US607、US613、US833、US863-S三、2002年度自主申领转为业绩分配的类别(共2类)美国:US615加拿大:CA42A。
投入产出表相关知识介绍一、投入产出表基本结构投入产出表,也称部门联系平衡表或产业关联表,它以矩阵形式描述国民经济各部门在一定时期(通常为一年)生产活动的投入来源和产出使用去向,揭示国民经济各部门之间相互依存、相互制约的数量关系,是国民经济核算体系的重要组成部分。
中国2017年投入产出表由4部分组成,称为第Ⅰ、Ⅱ、Ⅲ、Ⅳ象限。
基本表式如下:计量单位:万元1、第Ⅰ象限第Ⅰ象限是由名称相同、排列次序相同、数目一致的若干产品部门纵横交叉而成的中间产品矩阵,其主栏为中间投入,宾栏为中间使用。
矩阵中的每个数字都具有双重意义:沿行方向看,反映某产品部门生产的货物或服务提供给各产品部门使用的价值量,被称为中间使用;沿列方向看,反映某产品部门在生产过程中消耗各产品部门生产的货物或服务的价值量,被称为中间投入。
第Ⅰ象限是投入产出表的核心,它充分揭示了国民经济各产品部门之间相互依存、相互制约的技术经济联系,反映了国民经济各部门之间相互依赖、相互提供劳动对象供生产和消耗的过程。
2、第Ⅱ象限第Ⅱ象限是第Ⅰ象限在水平方向上的延伸,主栏的部门分组与第Ⅰ象限相同;宾栏由最终消费、资本形成总额、出口等最终使用项目组成。
沿行方向看,反映某产品部门生产的货物或服务用于各种最终使用的价值量;沿列方向看,反映各项最终使用的规模及其构成。
第Ⅰ象限和第Ⅱ象限连接组成的横表,反映国民经济各产品部门生产的货物或服务的使用去向,即各产品部门的中间使用和最终使用数量。
3、第Ⅲ象限第Ⅲ象限是第Ⅰ象限在垂直方向的延伸,主栏由劳动者报酬、生产税净额、固定资产折旧、营业盈余等各种增加值项目组成;宾栏的部门分组与第Ⅰ象限相同。
第Ⅲ象限反映各产品部门的增加值及其构成情况。
第Ⅰ象限和第Ⅲ象限连接组成的竖表,反映国民经济各产品部门在生产经营过程中的各种投入来源及产品价值构成,即各产品部门总投入及其所包含的中间投入和增加值的数量。
4、第Ⅳ象限表右下角成为第Ⅳ象限,从理论上来讲该象限是反映最终产品的再分配情况,实际上再分配是很复杂的经济问题。