应用随机过程答案1
- 格式:pdf
- 大小:230.54 KB
- 文档页数:30
随机过程作业第一章 P9例题6:随机过程X(t)=A+Bt, t ≥0, 其中A 和B 是独立随机变量,分布服从正态分布N(0, 1)。
求X(t)的一维和二维分布。
解 先求一维分布。
当t 固定,X(t)是随机变量,因为 EX(t)=EA+tEB=0, DX(t)=DA+2t DB=1+2t故X(t)具有正态分布N(0, 1+2t )。
这亦是随机过程X(t)的一维分布。
再求二维分布。
当1t , 2t 固定, X(1t )=A+B 1t , X(2t )=A+B 2t因A 、B 独立同正态分布,故(A, B)T 亦为二维正态分布。
则其线性变换也服从正态分布。
且所以二维分布是数学期望为(0, 0)T,协方差矩阵 的二维正态分布。
P10例题7:随机过程X(t)=Acost, -∞<t<∞,其中A 是随机变量,且有分布列 A 1 2 3 P 1/3 1/3 1/3 求 (1) 一维分布函数(2) 二维分布函数解 (1) 先求所以222211211)DX(t ,1)DX(t , 0)EX(t ,0)(t t t EX +=+===212121211))(())()X(t ())X(t ),(cov(t t Bt A Bt A E t X E t X +=++==⎥⎦⎤⎢⎣⎡++++222121211111t t t t t t )3π,0x x F )2πF(x;x F ;,( ),4;(21π( ;) 4F x π。
X()cos ,442A A ππ==显然,三值,,易知它仅取2232 22{()42P X π=={cos 42P A π==1P{A 1},3==31}223)4({ ,31 }2)4({====ππX P X P 同理,⎪⎪⎪⎪⎪⎩⎪⎪⎪⎪⎪⎨⎧≥<≤<≤<= 2 23 x 1,2 23x 2 ,32 2 x 22 ,3122 x 0 )4; ( ,πx F进而有P18例题1:具有随机初相位的简谐波 其中a 与 是正常数,而 服从在区间[0,2 ]上的均匀分布, 求X(t)的数学期望方差和相关函数。
一、1.1设二维随机变量(,)的联合概率密度函数为: 试求:在时,求。
解:当时, = =1.2 设离散型随机变量X 服从几何分布:试求的特征函数,并以此求其期望与方差。
解:所以:2.1 袋中红球,每隔单位时间从袋中有一个白球,两个任取一球后放回,对每 对应随机变量一个确定的t⎪⎩⎪⎨⎧=时取得白球如果对时取得红球如果对t e t tt X t 3)(.维分布函数族试求这个随机过程的一2.2 设随机过程,其中是常数,与是相互独立的随机变量,服从区间上的均匀分布,服从瑞利分布,其概率密度为试证明为宽平稳过程。
解:(1)与无关 (2),所以 (3)只与时间间隔有关,所以为宽平稳过程。
2.3是随机变量,且,其中设随机过程U t U t X 2cos )(=求:,.5)(5)(==U D U E.321)方差函数)协方差函数;()均值函数;((2.4是其中,设有两个随机过程U Ut t Y Ut t X ,)()(32==.5)(=U D 随机变量,且数。
试求它们的互协方差函2.5,试求随机过程是两个随机变量设B At t X B A 3)(,,+=的均值),(+∞-∞=∈T t 相互独若函数和自相关函数B A ,.),()(),2,0(~),4,1(~,21t t R t m U B N A X X 及则且立为多少?3.1一队学生顺次等候体检。
设每人体检所需的时间服从均值为2分钟的指数分布并且与其他人所需时间相互独立,则1小时内平均有多少学生接受过体检?在这1小时内最多有40名学生接受过体检的概率是多少(设学生非常多,医生不会空闲)解:令()N t 表示(0,)t 时间内的体检人数,则()N t 为参数为30的poisson 过程。
以小时为单位。
则((1))30E N =。
40300(30)((1)40)!k k P N e k -=≤=∑。
3.2在某公共汽车起点站有两路公共汽车。
乘客乘坐1,2路公共汽车的强度分别为1λ,2λ,当1路公共汽车有1N 人乘坐后出发;2路公共汽车在有2N 人乘坐后出发。
一、1.1设二维随机变量(,)的联合概率密度函数为:试求:在时,求。
解:当时,==1.2 设离散型随机变量X服从几何分布:试求的特征函数,并以此求其期望与方差。
解:所以:2.1 袋中红球,每隔单位时间从袋中有一个白球,两个任取一球后放回,对每 对应随机变量一个确定的t⎪⎩⎪⎨⎧=时取得白球如果对时取得红球如果对t e t tt X t 3)(.维分布函数族试求这个随机过程的一2.2 设随机过程,其中是常数,与是相互独立的随机变量,服从区间上的均匀分布,服从瑞利分布,其概率密度为试证明为宽平稳过程。
解:(1)与无关(2),所以(3)只与时间间隔有关,所以为宽平稳过程。
2.3是随机变量,且,其中设随机过程U t U t X 2cos )(=求:,.5)(5)(==U D U E.321)方差函数)协方差函数;()均值函数;((2.4是其中,设有两个随机过程U Ut t Y Ut t X ,)()(32==.5)(=U D 随机变量,且数。
试求它们的互协方差函2.5,试求随机过程是两个随机变量设B At t X B A 3)(,,+=的均值),(+∞-∞=∈T t 相互独若函数和自相关函数B A ,.),()(),2,0(~),4,1(~,21t t R t m U B N A X X 及则且立为多少?3.1一队学生顺次等候体检。
设每人体检所需的时间服从均值为2分钟的指数分布并且与其他人所需时间相互独立,则1小时内平均有多少学生接受过体检?在这1小时内最多有40名学生接受过体检的概率是多少(设学生非常多,医生不会空闲)解:令()N t 表示(0,)t 时间内的体检人数,则()N t 为参数为30的poisson 过程。
以小时为单位。
则((1))30E N =。
40300(30)((1)40)!k k P N e k -=≤=∑。
3.2在某公共汽车起点站有两路公共汽车。
乘客乘坐1,2路公共汽车的强度分别为1λ,2λ,当1路公共汽车有1N 人乘坐后出发;2路公共汽车在有2N 人乘坐后出发。
第一章习题解答1. 设随机变量X 服从几何分布,即:(),0,1,2,k P X k pq k ===。
求X 的特征函数,EX 及DX 。
其中01,1p q p <<=-是已知参数。
解()()jtxjtkk X k f t E eepq ∞===∑()k jtkk p q e∞==∑ =0()1jt kjtk pp qe qe ∞==-∑又200()kkk k q qE X kpq p kq p p p ∞∞======∑∑222()()[()]q D X E X E X P =-=(其中 00(1)nnn n n n nxn x x ∞∞∞====+-∑∑∑)令 0()(1)n n S x n x ∞==+∑则 1000()(1)1xxnn k n xS t dt n t dt x x∞∞+===+==-∑∑⎰⎰202201()()(1)11(1)1(1)xn n dS x S t dt dxx xnx x x x ∞=∴==-∴=-=---⎰∑同理 2(1)2kkkk k k k k k x k x kx x ∞∞∞∞=====+--∑∑∑∑令20()(1)k k S x k x ∞==+∑ 则211()(1)(1)xkk k k k k S t dt k t dt k xkx ∞∞∞+====+=+=∑∑∑⎰)2、(1) 求参数为(,)p b 的Γ分布的特征函数,其概率密度函数为1,0()0,0()0,0p p bxb x e x p x b p p x --⎧>⎪=>>Γ⎨⎪≤⎩(2) 其期望和方差;(3) 证明对具有相同的参数的b 的Γ分布,关于参数p 具有可加性。
解 (1)设X 服从(,)p b Γ分布,则10()()p jtxp bxX b f t ex e dx p ∞--=Γ⎰ 1()0()p p jt b x b x e dx p ∞--=Γ⎰101()()()()(1)p u p p p p p b e u b u jt b x du jt p b jt b jt b∞----==Γ---⎰ 10(())x p p e x dx ∞--Γ=⎰ (2)'1()(0)X p E X f j b∴== 2''221(1)()(0)X p p E X f j b +== 222()()()PD XE X E X b∴===(4) 若(,)i i X p b Γ 1,2i = 则121212()()()()(1)P P X X X X jt f t f t f t b-++==-1212(,)Y X X P P b ∴=+Γ+同理可得:()()iiP X b f t b jt∑=∑-3、设X 是一随机变量,()F x 是其分布函数,且是严格单调的,求以下随机变量的特征函数。
习 题一、习题编号本次作业:1,2, 7,9,12,17,18,19,23,25 二、习题解答1.1 设随机试验E 是将一枚硬币抛两次,观察H -正面,T -反面出现的情况,试分析它的概率空间(),,P Ω。
解1.1: 样本空间:Ω = {HH, HT, TH, TT}集类:F = { Ø, Ω, {HH}, {HT}, {TH}, {TT},{HH,HT}, {HH, TH}, {HH,TT}, {HT, TH}, {HT, TT}, {TH, TT}, {HH, HT, TH}, {HH, HT, TT}, {HT, TH, TT}, {TH, TT, HH}, }概率:P: P{HH} = P{HT} = P{TH} = P{TT} = 1/41.2 设,A B ∈Ω,集类{},A B =。
试求:()σ的所有元素。
解1.2:因为:{},A B =所以:(){},,,σ=∅Ω1.3 设四个黑球与两个白球随机地等分为A 与B 两组,记A 组中白球的数目为X ;然后随机交换A 与B 中一个球,再记交换后A 组中白球的数目为Y 。
试求:(1)X 的分布律;(2)Y|X 的分布律;(3)Y 的分布律。
解1.3:(1)总计有2个白球,因此,X 的取值为0,1,2。
等分共有36C 种分法,等分后,X 取值分别为0,1,2的概率为:3211244242333666012012131()()555XX C C C C C P X P X C C C ⎛⎫⎛⎫ ⎪ ⎪= ⎪ ⎪ ⎪ ⎪⎝⎭⎝⎭ (2)交换一个球后,1)如果X 中没有白球,则交换后Y 可能取值为0、1 2)如果X 中有一个白球,则交换后Y 可能取值为0、1、2 3)如果X 中有两个白球,则交换后Y 可能取值为1、2|0|01|00|11|12|11|22|21225221(|)3399933Y XP Y X ⎛⎫ ⎪ ⎪ ⎪⎝⎭(3)20()(|)()i P Y P Y X i P X i ====∑2(0)(0|)()1123359515i P Y P Y X i P X i =======⨯+⨯=∑2(1)(1|)()21532135953535i P Y P Y X i P X i =======⨯+⨯+⨯=∑2(2)(2|)()23110953515i P Y P Y X i P X i =======+⨯+⨯=∑故Y 的分布律为:012131()555YP Y ⎛⎫ ⎪ ⎪⎪⎝⎭1.4 设A 与B 是概率空间(),,P Ω上的事件,且()01P B <<,试证明:A 与B独立的充要条件为:()()|=|P A B P A B 。
2. (1) 求参数为的()b p ,分布的特征函数,其概率密度为Γ()()是正整数p b x x e x p b x p bx p p ,0 000,1>⎪⎩⎪⎨⎧≤>Γ=−−(2)求其期望和方差。
(3)证明对具有相同参数的b Γ分布,关于参数具有可加性。
p 函数有下面的性质:解 (1) 首先,我们知道Γ()()! 1−=Γp p根据特征函数的定义,有()[]()()()()()()()()()()()()()()()()()()()()pp p x jt b p p xjt b p p x jt b p p xjt b p p xjt b p p bxp p jtxjtxjtXX jt b b jt b p p b dxe x jt b p p b dx e x jt b p p b dx e x jt b p p b e x jt b p b dx e x p b dx e x p b edx x p e e E t f ⎟⎟⎠⎞⎜⎜⎝⎛−=−−Γ=−−Γ==−−Γ=−−Γ+−−Γ=Γ=Γ===∫∫∫∫∫∫∞−−−∞−−−∞−−−∞−−−∞−−−−−∞∞∞−!1!11110010202010110L所以()pX jt b b t f ⎟⎟⎠⎞⎜⎜⎝⎛−=(2)根据期望的定义,有[]()()()()()()()bpdx x p b p dx e x p b b p dx e x bp p b e x bp b dx e x p b dx e x p b x dx x xp X E m bx p p bx p p bxp p bx p p bx p p X ==Γ=Γ+−Γ=Γ=Γ===∫∫∫∫∫∫∞∞−∞−−∞−−∞−∞−∞−−∞∞−010100011类似的,有[]()()()()()()()()()()()()()2201200010101222111111b p p dx x p b p p dx e x p b b p p dx e x b p p b dx e x bp p b e x bp b dx e x p b dx e x p b x dx x p x XE bxp p bxp p bxp p bxp p bx p p bx p p +=+=Γ+==+Γ=+Γ+−Γ=Γ=Γ==∫∫∫∫∫∫∫∞∞−∞−−∞−∞−∞−+∞−+∞−−∞∞−L的方差为X 所以,[]()222221b pb p b p p mXE D XX =⎟⎠⎞⎜⎝⎛−+=−=(3)()()()jt jnt jt e n e e t f −−=115. 试证函数为一特征函数,并求它所对应的随机变量的分布。
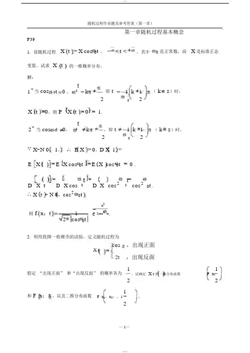
随机过程作业题及参考答案(第一章)第一章随机过程基本概念P391. 设随机过程 X tX cos 0t , t,其中0 是正常数,而X 是标准正态变量。
试求 X t的一维概率分布。
解:1当 cos0t0 ,0tk,即 t1 k 1( kz )时,22 X t 0,则 P X t1.2当 cos0t0,0tk,即 t1 k 1( kz )时,22X~N 0,1, E X0,D X 1.E X tE X cos 0t E X cos 0t 0 .D X tD X cos0tD X cos 20tcos 2 0t .X t ~ N 0,cos 20t .1x 2则 fx ;te 2cos 2 0t .2 cos 0t2. 利用投掷一枚硬币的试验,定义随机过程为cos ,出现正面X t,出现反面2t假定 “出现正面” 和“出现反面” 的概率各为11 。
试确定 X t 的一维分布函数F x ;22和 F x ;1 ,以及二维分布函数1 。
F x 1,x 2;,12随机过程作业题及参考答案(第一章)解:, x 0X10 11 1 12,; P Xxx 122p k1 1 2x1, 221X 112,x 11 1 ;1,1 x 2p kF x 1 P X 1 x222x2,1随机矢量X1,X 1的可能取值为0, 1 ,1,2.2而PX10,X 111,PX11,X1 2 1 .2222F x 1,x 2 1P X1 x 1,X 1 x 2;,1 22,x 1或10 x 21, 且或且 1 x 2 22 0 x 1 1 x 21 x 1x 12, 且1 1 x 23. 设随机过程X t , t总共有三条样本曲线X t ,11 X t ,2sint, X t ,3 cost,且P 1PP 31t和相关函数 R X t 1,t 2。
2。
试求数学期望 EX3随机过程作业题及参考答案(第一章)解:EX t1 1sint1cost1 1 1 sint cost .333 3,E X t 1 X t 2R X t 1 t 21 1 1 1sint 1 sint 2 1 cost 1 cost 23 331 1 sint 1 sint2 cost 1 cost 2 31 1 cos t 1 t2 .34. 设随机过程X te Xt ,( t 0),其中 X 是具有分布密度f x 的随机变量。
应用随机过程张波课后答案应用随机过程张波课后答案【篇一:随机过程期末论文】ass=txt>【摘要】:通过市场调查研究发现,很多现象是可以用随机过程来描述的。
比如说,企业在人力资源需求方面就是一个随着时间不断变化的随机过程。
本文试图将马尔科夫链引入,并运用其原理以及特性,对企业人力资源需求方面进行分析和预测,从而帮助企业明确未来人力需求趋势,做好人才储备工作。
【关键字】:马尔科夫链;人力资源;预测;需求一、马尔科夫链原理简介一个经济系统x(t)是随时间t变化的随机变量。
人们可根据该经济系统在时刻t0所处的状态推出它在任何一个较后时刻t(t0)的状态。
由此原则,可得到这样一个基本方法:系统内x(t)在给定的时刻tn的状态x(tn)=xn,可根据它在任何较早时刻tn?1(tn)所处的状态x(tn?1)=xn-1推出,而不依赖于系统在时刻以tn?1前的历史状态。
满足这一条件的系统所观测结果的随机过程,就称之为马尔科夫过程。
而马尔科夫链是状态离散的一类特殊马尔可夫过程, 即过程的发展可看作是在某些值(称为过程的“状态”)之间一系列转移, 而且具有下面性质:一旦过程处于一给定状态, 则过程未来发展只依赖于这个状态, 而与它过去到达过的状态无关。
假设过程的时间参数集任意n个时刻为t1t2......tn,系统x(t)在时刻ti 处于状态xi,即x(ti)=xi(i=1,2,...,n-1),则x(tn)的条件概率分布只依赖于x(tn-1)=xn-1最近的已知值,即:p{x(tn)?xn|x(t1)=x1,...,x(tn-1)=xn-1}=p{x(tn)xn|x(tn-1)=xn-1} 可以直观地解释为当给定过程“现在”的条件下,它的“将来”与“过去”无关。
二、状态转移矩阵运用马尔科夫链进行预测的关键在于:建立状态转移概率矩阵(指系统在时刻t所处状态,转变为时刻t+1所处状态时与之相对应的一个条件概率)。
、1.1设二维随机变量(X , F)的联合概率密度函数为:=—i—[l241-ι>⅛= "k"QTh Xl-JF)1.2 设离散型随机变量X服从几何分布:Hm=(Ip)HPJt=U-试求/的特征函数,并以此求其期望E(X)与方差I K X)¾0 = Efr ir) = ∑e⅛ = *)解:一=⅛α-ri M P=√^∑^α-p)t U O-P) ⅛J1—(I-JI)1—q/(O)=α⅛24(1-小丄0<y<x<l苴它试求:在OJu <■ 1时,求I『F)解:J;240 H)JKfc0<y<l Jj2Jf(I_y)3 0<JF<1P 其它^{θ其它当OJXI 时,Aw)2OT(Xy)y<x<l其它所以:-⅛(0)二丄f PZUr=J Er3-(JEIf)3=^^-^=4PPp2.1袋中有一个白球,两个红球,每隔单位时间从袋中任取一球后放回,对每一个确定的t 对应随机变量x(t^3如果对t时取得红球e t如果对t时取得白球试求这个随机过程的一维分布函数族2.2设随机过程 W 加吨MIF)∙ gZ I叫,其中吗是常数,/与F是相互独立的随机变量,F服从区间(°2刘上的均匀分布,/服从瑞利分布,其概率密度为x>0x≤0试证明Xu)为宽平稳过程。
解:( 1)⑷+F)} q啊诚如+ f)}= 与无关(2)枚F(M 仪加血I(Q/伽说如")汁F(才),f _ t t⅛(Q) =-J PQ ÷g)= -te^t∣Γ÷p ^dt =-2σ1e^i∣Γ=2σ3所以必U)啟0⑴卜"(3)R lM壊M∞¼⅛+Hl∕∞Ψ⅛+y)]}=豺]£{oKs(A +Γ)∞<β(A +Γ)}=2^Jtt 2{α≈(0A + β⅛+ y)-rasfflfc A)I^⅛心’皿叫仏Z L)只与时间间隔有关,所以XU)为宽平稳过程2.3设随机过程 X(t)=Ucos2t,其中U是随机变量,且 E(U)= 5, D(U)= 5.求: (1)均值函数;(2)协方差函数;(3)方差函数2.4设有两个随机过程 X(t)=Ut2, Y(t)=Ut3,其中U是随机变量,且D(U) = 5.试求它们的互协方差函数2.5设代B是两个随机变量,试求随机过程X(t) =At ∙3B,t∙ T =(」:「:)的均值函数和自相关函数若A, B相互独立,且A~ N(1,4), B ~U (0,2),则mχ (t)及Rχ(t1,t2)为多少?3.1 一队学生顺次等候体检。
随机过程课后试题答案1. 题目:简述离散时间马尔可夫链和连续时间马尔可夫链的基本概念和性质。
答案:离散时间马尔可夫链(Discrete-time Markov Chain)是指在时间上的变化是离散的、状态空间是有限或可列无限的马尔可夫链。
其基本概念和性质如下:1.1 基本概念:- 状态空间:马尔可夫链的状态空间是指系统可能处于的状态集合,记作S。
离散时间马尔可夫链的状态空间可以是有限集合或可列无限集合。
- 转移概率:转移概率是指在给定前一个状态的条件下,系统转移到下一个状态的概率。
用P(i, j)表示系统从状态i转移到状态j的概率,其中i和j属于状态空间S。
- 转移概率矩阵:转移概率矩阵P是指表示从任一状态i到任一状态j的转移概率的矩阵。
对于离散时间马尔可夫链,转移概率矩阵是一个方形矩阵,维数与状态空间大小相同。
- 平稳概率分布:对于离散时间马尔可夫链,如果存在一个概率分布π,满足π = πP,其中π是一个行向量,P是转移概率矩阵,则称π为马尔可夫链的平稳概率分布。
1.2 性质:- 马尔可夫性:离散时间马尔可夫链具有马尔可夫性,即将来状态的发展只与当前状态有关,与过去的状态无关。
- 遍历性:若马尔可夫链中任意两个状态之间都存在路径使得概率大于零,则称该马尔可夫链是遍历的。
遍历性保证了马尔可夫链具有长期稳定的性质。
- 正常概率性:对于离散时间马尔可夫链,转移概率矩阵P的元素都是非负的,并且每一行的元素之和等于1。
- 可约性和不可约性:如果一个马尔可夫链中的所有状态彼此之间都是可达的,则称该马尔可夫链是不可约的。
反之,则称它是可约的。
不可约性保证了任意状态之间都可以相互转移。
- 周期性:对于不可约的离散时间马尔可夫链,如果存在某个状态,从该状态出发回到该状态所需的步数的最大公约数大于1,则称该状态是周期的。
若所有状态都是非周期的则称该马尔可夫链是非周期的。
2. 题目:连续时间马尔可夫链的定义和性质有哪些?答案:连续时间马尔可夫链(Continuous-time Markov Chain)是指在时间上的变化是连续的、状态空间是有限或可列无限的马尔可夫链。
第一次作业答案1,假设一大型设备在任何长为t 的时间内发生故障的次数为)(t N ,它服从参数为t λ的泊松分布,求(1) 相邻两次故障之间的时间间隔T 的概率分布(2) 在设备已经无故障工作8小时的情况下,再无故障运行8小时的概率。
【答案】(1)求T 的分布函数对于任意实数t ,)()(t T P t F ≤=,由题意知,当0≤t 时,0)()(=≤=t T P t F ;当0>t 时,)()(t T P t F ≤=.用T 表示相邻两次故障时间的时间间隔。
因此,“t T ≤”表明在t 这么长的时间中,至少发生了一次故障,即“()1N t ≥”;当0>t 时,由题设有t ke k t k t N P λλ-==!)(])([, 于是()()(()1)1(()0)1tF t P T t P N t P N t e λ-=≤=≥=-==- 故 1,0()0,0t e t F t t λ-⎧->=⎨≤⎩ (2)由(1)可得1688(16,8)(16|8)(8)(16)(8)1(16)1(8)P T T P T T P T P T P T F e e F e λλλ---≥≥≥≥=≥≥=≥-===-2,在区间10≤≤x 中随机地取两点,求它们的平方和小于1的概率。
【答案】用X 和Y 表示区间[0,1]中所取的两点,他们是随机变量,在等长区间上取点的概率应该相当,因此,X 和Y 的密度函数分别为1,011,01()()0,0,X Y x y f x f y ≤≤≤≤⎧⎧==⎨⎨⎩⎩,其他其他 因为X 和Y 相互独立,因而他们的联合密度为1,01,01(,)()()0,X Y x y f x y f x f y ≤≤≤≤⎧==⎨⎩其他 因而22221(1)4x y P X Y dxdy π+≤+≤==⎰⎰3,设N 为取值非负整数的随机变量,证明∑∑∞=∞=>=≥=01)()(n n n N P n N P EN设X 是非负随机变量,具有分布函数)(x F ,证明 dx x F EX ⎰∞-=0))(1(,)1())(1()(01≥-=⎰∞-n dx x F nx X E n n 【答案】11111()()()()nn n m n m n n EN nP N n P N n P N m P N n ∞∞===∞∞∞==========>∑∑∑∑∑∑00000()()()()(1())xy EX xdF x dy dF x dF x dy F x dx ∞∞∞∞∞====-⎰⎰⎰⎰⎰⎰ 10001100()()()()(1())x n n n n n y EX x dF x ny dy dF x dF x ny dy nx F x dx ∞∞-∞∞∞--====-⎰⎰⎰⎰⎰⎰。
第一章习题解答1. 设随机变量X 服从几何分布,即:(),0,1,2,k P X k pq k ===L 。
求X 的特征函数,EX 及DX 。
其中01,1p q p <<=-是已知参数。
解 0()()jtxjtkk X k f t E eepq ∞===∑Q()k jtkk p q e∞==∑ =0()1jt kjtk pp qe qe ∞==-∑又200()kkk k q qE X kpq p kq p p p ∞∞======∑∑Q222()()[()]q D X E X E X P =-=(其中 00(1)nnn n n n nxn x x ∞∞∞====+-∑∑∑)令 0()(1)n n S x n x ∞==+∑则 1000()(1)1xxnn k n xS t dt n t dt x x∞∞+===+==-∑∑⎰⎰202201()()(1)11(1)1(1)xn n dS x S t dt dxx xnx x x x ∞=∴==-∴=-=---⎰∑同理 2(1)2kkkk k k k k k x k x kx x ∞∞∞∞=====+--∑∑∑∑令20()(1)k k S x k x ∞==+∑ 则211()(1)(1)xkk k k k k S t dt k t dt k xkx ∞∞∞+====+=+=∑∑∑⎰)W2、(1) 求参数为(,)p b 的Γ分布的特征函数,其概率密度函数为1,0()0,0()0,0p p bxb x e x p x b p p x --⎧>⎪=>>Γ⎨⎪≤⎩(2) 其期望和方差;(3) 证明对具有相同的参数的b 的Γ分布,关于参数p 具有可加性。
解 (1)设X 服从(,)p b Γ分布,则10()()p jtxp bxX b f t ex e dx p ∞--=Γ⎰ 1()0()p p jt b x b x e dx p ∞--=Γ⎰101()()()()(1)p u p p p p p b e u b u jt b x du jt p b jt b jt b∞----==Γ---⎰ 1(())x p p e x dx ∞--Γ=⎰Q (2)'1()(0)X p E X f j b∴== 2''221(1)()(0)X p p E X f j b +== 222()()()PD XE X E X b∴===(4) 若(,)i i X p b Γ: 1,2i = 则121212()()()()(1)P P X X X X jt f t f t f t b-++==-1212(,)Y X X P P b ∴=+Γ+:同理可得:()()iiP X b f t b jt∑=∑- W3、设X 是一随机变量,()F x 是其分布函数,且是严格单调的,求以下随机变量的特征函数。
第一章习题解答1. 设随机变量X 服从几何分布,即:(),0,1,2,k P X k pq k === 。
求X 的特征函数,EX 及DX 。
其中01,1p q p <<=-是已知参数。
解 0()()jtxjtkk X k f t E eepq ∞===∑()k jtkk p q e∞==∑ =0()1jt kjtk pp qe qe ∞==-∑又200()kkk k q qE X kpq p kq p p p ∞∞======∑∑222()()[()]q D X E X E X P =-=(其中 00(1)nnn n n n nxn x x ∞∞∞====+-∑∑∑)令 0()(1)n n S x n x ∞==+∑则 1000()(1)1xxnn k n xS t dt n t dt x x∞∞+===+==-∑∑⎰⎰202201()()(1)11(1)1(1)xn n dS x S t dt dxx xnx x x x ∞=∴==-∴=-=---⎰∑同理 2(1)2kkkk k k k k k x k x kx x ∞∞∞∞=====+--∑∑∑∑令20()(1)k k S x k x ∞==+∑ 则211()(1)(1)xkk k k k k S t dt k t dt k xkx ∞∞∞+====+=+=∑∑∑⎰)2、(1) 求参数为(,)p b 的Γ分布的特征函数,其概率密度函数为1,0()0,0()0,0p p bxb x e x p x b p p x --⎧>⎪=>>Γ⎨⎪≤⎩(2) 其期望和方差;(3) 证明对具有相同的参数的b 的Γ分布,关于参数p 具有可加性。
解 (1)设X 服从(,)p b Γ分布,则10()()p jtxp bxX b f t ex e dx p ∞--=Γ⎰ 1()0()p p jt b x b x e dx p ∞--=Γ⎰101()()()()(1)p u p p p p p b e u b u jt b x du jt p b jt b jt b∞----==Γ---⎰ 1(())x p p e x dx ∞--Γ=⎰ (2)'1()(0)X p E X f j b∴== 2''221(1)()(0)X p p E X f j b +== 222()()()PD XE X E X b∴===(4) 若(,)i i X p b Γ 1,2i = 则121212()()()()(1)P P X X X X jt f t f t f t b-++==-1212(,)Y X X P P b ∴=+Γ+同理可得:()()iiP X b f t b jt∑=∑-3、设X 是一随机变量,()F x 是其分布函数,且是严格单调的,求以下随机变量的特征函数。
2. (1) 求参数为的()b p ,分布的特征函数,其概率密度为Γ()()是正整数p b x x e x p b x p bx p p ,0 000,1>⎪⎩⎪⎨⎧≤>Γ=−−(2)求其期望和方差。
(3)证明对具有相同参数的b Γ分布,关于参数具有可加性。
p 函数有下面的性质:解 (1) 首先,我们知道Γ()()! 1−=Γp p根据特征函数的定义,有()[]()()()()()()()()()()()()()()()()()()()()pp p x jt b p p xjt b p p x jt b p p xjt b p p xjt b p p bxp p jtxjtxjtXX jt b b jt b p p b dxe x jt b p p b dx e x jt b p p b dx e x jt b p p b e x jt b p b dx e x p b dx e x p b edx x p e e E t f ⎟⎟⎠⎞⎜⎜⎝⎛−=−−Γ=−−Γ==−−Γ=−−Γ+−−Γ=Γ=Γ===∫∫∫∫∫∫∞−−−∞−−−∞−−−∞−−−∞−−−−−∞∞∞−!1!11110010202010110L所以()pX jt b b t f ⎟⎟⎠⎞⎜⎜⎝⎛−=(2)根据期望的定义,有[]()()()()()()()bpdx x p b p dx e x p b b p dx e x bp p b e x bp b dx e x p b dx e x p b x dx x xp X E m bx p p bx p p bxp p bx p p bx p p X ==Γ=Γ+−Γ=Γ=Γ===∫∫∫∫∫∫∞∞−∞−−∞−−∞−∞−∞−−∞∞−010100011类似的,有[]()()()()()()()()()()()()()2201200010101222111111b p p dx x p b p p dx e x p b b p p dx e x b p p b dx e x bp p b e x bp b dx e x p b dx e x p b x dx x p x XE bxp p bxp p bxp p bxp p bx p p bx p p +=+=Γ+==+Γ=+Γ+−Γ=Γ=Γ==∫∫∫∫∫∫∫∞∞−∞−−∞−∞−∞−+∞−+∞−−∞∞−L的方差为X 所以,[]()222221b pb p b p p mXE D XX =⎟⎠⎞⎜⎝⎛−+=−=(3)()()()jt jnt jt e n e e t f −−=115. 试证函数为一特征函数,并求它所对应的随机变量的分布。
()t f 解. 根据定理 1.3.2(第10页), 我们只需证明是连续非负定,且。
()10=f 注意到()()()()∑∑=−===−−=−−=n k jkt n k jktjt jt njtjt jtjnt jt e n ene e e n e en e e t f 111111所以连续且. 下面我们证明()t f ()10=f ()t f 是非负定的(性质1.3.3,第8页)。
对任意给定的自然数M ,实数以及复数,由于M t t t ,,,21L M a a a ,,,21L ()()()()()()∑∑∑∑==−−−==−−=−=Mi Mk k i t t j t t jn t t j Mi Mk k i k i a a e n e e a a t t f A k i k i k i 111111 ()()()()()()()()()()()Aa a e n e e a a e n e e a a t t f A Mk M i i k t t j t t jn t t j Mi Mk ki t t j t t jn t t j M i Mk k i k i i k i k ii k k i k i k i =−−=−−=−=∑∑∑∑∑∑==−−−−==−−−−−−==1111111111ne jltA ,,2,1n l L =所以是实数。
其次,容易证明对任意函数是非负定的。
因此,函数是非负定的。
()t f ()t f 是特征函数。
()t f 下面我们求对应的随机变量的概率密度函数。
根据定理1.3.1(第10页),()()()()∑∑∑∫∫===∞∞−−∞∞−−−=−===nk n k n k jktjtx jtxk x n k x n dte e n dt et f x p 11112212121δπδπππ()211t t f +=5. 试证函数为一特征函数,并求它所对应的随机变量的分布。
解. 容易证明连续且()t f ()10=f ()t f ,下面我们证明是非负定的。
对任意给定的自然数M ,实数以及复数,首先,由于M t t t ,,,21L M a a a ,,,21L ()()∑∑∑∑====−+=−=Mi Mk k i ki Mi Mk k i k i a a t t a a t t f A 1121111, 是实数。
其次,A 显然()()(){}(){}max 11max 11112212,112,11211≥+++−+=−+≥−+=−=∑∑∑∑∑∑======M k i ki M i Mk kik i ki Mi Mk k i k i Mi Mk k i k i a a a t t aa t t a a t t a a t t f A L所以是非负定的。
()t f 最后,根据定理1.3.1(第10页),()()x jtxjtxedt e t dt t f ex p 211121212=+==∫∫∞∞−−∞∞−−ππ()∞∞−∈,x()2,σa N 7. 设相互独立服从正态分布n X X X ,,,21L 。
试求维向量的分布,并求其均值向量和协方差矩阵,再求n ∑==ni iX n X 11(n X X X ,,,21L )的概率密度函数。
()2,σa N 解. 由于相互独立服从正态分布n X X X ,,,21L ,维向量的均值向量为n ()a a a ,,,L =μ(n X X X ,,,21L ),协方差矩阵为⎥⎥⎥⎥⎥⎦⎤⎢⎢⎢⎢⎢⎣⎡=222σσσOB ,()的分布为()B N ,μ。
nX X X ,,,21L ()1,,1,11L nl =∑==ni i X n X 11,则,a l ='μ根据题意,。
令()n n n lBl 2222'11111,,1,11σσσσ=⎥⎥⎥⎥⎦⎤⎢⎢⎢⎢⎣⎡⎥⎥⎥⎥⎥⎦⎤⎢⎢⎢⎢⎢⎣⎡=M OL根据性质1.4.4(第14页),()⎟⎟⎠⎞⎜⎜⎝⎛=na N lBl l N X 2'',,~σμ()1,0N 11. 设相互独立,且都服从211X X Y +=321,X X X 和。
试求随机变量和组成的随机向量()21,Y Y Y =的特征函数。
312X X Y +=解. 令,则 ()321,,X X X X =⎟⎟⎟⎠⎞⎜⎜⎜⎝⎛⎥⎥⎥⎦⎤⎢⎢⎢⎣⎡111,0~N X ()()()XA X X X X X X X Y Y Y =⎥⎥⎥⎦⎤⎢⎢⎢⎣⎡=++==:100111,,,,321312121 ⎥⎦⎤⎢⎣⎡=⎥⎥⎥⎦⎤⎢⎢⎢⎣⎡⎥⎦⎤⎢⎣⎡=⎥⎥⎥⎦⎤⎢⎢⎢⎣⎡2112100111101011111'A A根据性质1.4.5(第15页),()⎟⎟⎠⎞⎜⎜⎝⎛⎥⎦⎤⎢⎣⎡=2112,0,~N B N Y Y Y μ 根据定理1.4.1(第13页),()()222121''exp 211221exp 21exp t t t t t t t tB t j t f Y Y Y −−−=⎟⎟⎠⎞⎜⎜⎝⎛⎥⎦⎤⎢⎣⎡−=⎟⎠⎞⎜⎝⎛−=μ()1,0N 。
试求 12. 设相互独立,且都服从321,X X X 和()321,,X X X 的特征函数(1)随机向量(2)设,,,321321211X X X S X X S X S ++=+==求随机向量()的特征函数。
321,,S S S ()21,Y Y (3)和的特征函数。
121X X Y −=232X X Y −=组成的随机向量跟上题的解法完全一样。
()1,0N 15. 设是相互独立同服从正态分布Y X ,的随机变量,讨论和YXV =的独立性。
22Y X U +=解. 我们知道,随机向量的概率密度函数为(Y X ,)()2,2221,y x Y X e y x f +−=πYXV =根据,有 。
由0>U YV X =22Y X U +=知,代入,可得,所以Y 由两个解,即:22Y X U +=()()22221Y V Y YV U +=+=,1 ,12221VU Y VU Y +−=+=类似的,⎪⎪⎩⎪⎪⎨⎧+=+=212111V U Y V V U X ⎪⎪⎩⎪⎪⎨⎧+−=+−=212111V U Y V VU X 下面我们求Jacobi 行列式。
容易验证:()2/3211V U V X +=∂∂2112V U VU X +=∂∂, ,()2/3211V VU V Y +−=∂∂21121VU U Y +=∂∂, , 所以,()()()21111111121,,VVY UY V X U X V U Y X J +−=∂∂∂∂∂∂∂∂=∂∂= 类似地,()()()2222121,,VV U Y X J +−=∂∂=因此,随机向量的概率密度函数为(V U ,)()()()⎟⎠⎞⎜⎝⎛−+=+⎟⎟⎟⎠⎞⎜⎜⎜⎝⎛⎟⎟⎠⎞⎜⎜⎝⎛⎟⎟⎠⎞⎜⎜⎝⎛++⎟⎟⎠⎞⎜⎜⎝⎛+−×=⎟⎟⎠⎞⎜⎜⎝⎛+−+−+⎟⎟⎠⎞⎜⎜⎝⎛++=2exp 11211211121exp 2121,11,1,222222222,122,,u v v vu v v u J v u v v u f J v uv v u f v u g Y X Y X V U ππ由上式可得U 和V 的概率密度函数:()()()()⎟⎠⎞⎜⎝⎛−=+⎟⎠⎞⎜⎝⎛−=⎟⎠⎞⎜⎝⎛−+==∫∫∫∞∞−∞∞−∞∞−2exp 21112exp 212exp 1121,22,u dv v u dv u v dv v u g u g V U U ππ()()()()()()202022,112exp 21111212exp 11212exp 1121,v u v du u v du u v du v u g v g V U V +=⎟⎠⎞⎜⎝⎛−−+=⎟⎠⎞⎜⎝⎛−+=⎟⎠⎞⎜⎝⎛−+==∞∞∞∞−∞∞−∫∫∫ππππ 所以,()()()v g u g v u g V U V U =,,即是独立的。