11-3_含参变量广义积分
- 格式:ppt
- 大小:1.28 MB
- 文档页数:38
数学分析第十二章广义积分与含参变量积分第一,广义积分的概念和性质。
在数学分析中,我们通常通过定积分来求解曲线下面的面积。
然而,如果被积函数在有限区间上发散或无定义,就无法使用定积分。
这时,我们就需要用到广义积分。
广义积分可以看作是一些特殊函数的面积,其被积函数在有限区间上可能发散或无定义,但在无穷区间上是收敛的。
广义积分的概念可以统一定积分与不定积分的特点,并在此基础上建立一些重要的性质。
第二,广义积分的判定和应用。
对于广义积分的求解,我们需要先进行判定,即判断广义积分是否存在。
常用的判定方法有比较判定法、绝对收敛判定法、积分判别法等。
这些方法可以帮助我们准确地判断广义积分的存在性,并进一步应用于实际问题的求解。
广义积分在实际问题中的应用非常广泛,比如物理学、工程学等领域都需要用到广义积分的计算。
第三,含参变量积分的概念和性质。
含参变量积分是将被积函数中的参数视为独立变量进行积分。
含参变量积分可以看作是广义积分的一种特殊情况,其被积函数中的参数在一定范围内变化。
含参变量积分的性质与普通的定积分类似,可以满足线性性质、积分换序等性质。
同时,由于含参变量积分中的参数是变化的,所以可以应用于优化问题的求解,帮助我们找到最优解。
第四,含参变量积分的应用。
含参变量积分在实际中的应用非常广泛。
比如,在经济学中,我们可以用含参变量积分来求解收益函数或成本函数的最优解,从而确定最优生产方案。
在物理学中,我们可以用含参变量积分来求解一个变量随时间变化的过程,如物体的运动方程。
在金融学中,我们可以用含参变量积分来计算一些金融衍生品的价格,如期权的定价。
这些都是含参变量积分在实际问题中的应用。
综上所述,数学分析第十二章的广义积分与含参变量积分的概念、性质以及应用都非常重要。
通过对广义积分与含参变量积分的学习与理解,我们能够更好地理解数学中的积分概念,并应用于实际问题的求解。
数学分析第十二章提供了一种更加灵活且广泛的积分方法,对我们的数学思维与解决问题的能力都有很大的提升作用。
目录摘要 (1)前言 (2)一、预备知识 (2)(一)、含参变量积分的定义 (2)(二)、含参变量反常积分的定义 (2)(三)、定理 (3)1、含参变量积分的相关定理 (3)2、含参变量反常积分的相关定理 (4)二、含参变量积分的应用 (5)(一)、用含参变量积分解决积分计算的解题模式 (5)1、利用含参变量积分解决定积分、广义积分的解题模式 (5)2、用含参变量积分解决二重、三重积分的模式 (6)(二)、证明等式 (7)(三)、证明不等式 (9)(四)、求极限 (10)(五)、求隐函数的导数 (12)三、含参量反常积分的性质 (13)(一)、含参量反常积分的局部一致收敛与连续性 (13)1、局部一致收敛概念 (13)2、连续的等价条件 (13)3、几种收敛性的关系 (15)(二)、含参量反常积分局部一致收敛的判别法 (17)1、主要结果 (17)2、主要引理 (18)(三)、计算含参量反常积分的一些特殊方法 (21)1、利用反常积分的定义和变量替换求解 (21)2、通过建立微分方程求积分值 (21)3、引入收敛因子法求解 (22)4、级数解法 (23)5、利用其他的积分 (24)总结 (25)参考文献 (25)含参变量积分赵洁(渤海大学数学系辽宁锦州121000中国)摘要:本文主要研究含参变量积分的两种类型:含参变量(正常)积分和含参变量反常积分。
首先,给出了它们的定义和相关定理;然后,介绍了含参变量(正常)积分在证明等式、不等式和求极限等方面的应用;最后,给出了含参变量反常积分的性质和计算的一些特殊方法。
关键词:含参变量积分;二重积分;定积分;广义积分;局部一致收敛;一致收敛;含参量反常积分Parameter IntegralZhao Jie(Department of Mathematics Bohai University Liaoning Jinzhou 121000 China) Abstract:In this paper, two kinds of parameter integral are studied:parameter (normal) integral and parameter improper integral.Firstly their definitions and related theorems are given;Secondly the applications of parameter (normal) integral in proving equality,proving inequality and solving limit are introduced;Finally the qualities and some special solving methods of parameter improper integral are given.Keywords:parameter integral;double integral;definite integral;improper integral;locally uniformly convergence;uniform covergence;parameter improper integral前言含参变量积分是一类比较特殊的积分, 由于含参变量积分是函数且以积分的形式给出,所以含参变量(正常)积分在积分的计算,等式的证明,不等式的证明及极限的求解等方面都有着广泛的应用。
含参量广义积分
广义积分是微积分中的一个重要概念,它是对函数在某一区间无限分割后的极限求和。
在实际应用中,有时需要对含有参数的函数进行积分,这就是含参量广义积分。
含参量广义积分的形式为:
$int_{a}^{+infty}f(x,t)dx$
其中,$t$为参数,$f(x,t)$为含有参数$t$的函数。
含参量广义积分的求解需要满足收敛性条件,即当$x$趋于无穷时,积分值能够收敛于一个有限的实数。
如果不满足收敛性条件,那么含参量广义积分的积分值就不存在。
对于一些特殊的函数,含参量广义积分可以通过换元、分部积分等方法进行求解。
例如,当$f(x,t)$为$e^{-tx^2}$时,积分的结果可以表示为$t$的函数形式。
含参量广义积分在物理学、工程学、经济学等领域有着广泛的应用。
例如,在统计物理中,可以通过对含参量广义积分的求解,得到粒子的分布函数。
在经济学中,含参量广义积分可以用来表示收益函数和成本函数。
总之,含参量广义积分是微积分中的一个重要概念,它在实际应用中具有广泛的应用价值。
- 1 -。
第十八章 含参变量的广义积分1. 证明下列积分在指定的区间内一致收敛: (1) 220cos() (0)xy dy x a x y +∞≥>+⎰; (2) 20cos() ()1xy dy x y +∞-∞<<+∞+⎰; (3)1 ()x y y e dy a x b +∞-≤≤⎰; (4) 1cos (0,0)xy p y e dy p x y +∞->≥⎰; (5) 20sin (0)1p x dx p x+∞≥+⎰. 2. 讨论下列积分在指定区间上的一致收敛性:(1)20 (0)x dx αα-<<+∞⎰; (2) 0xy xe dy +∞-⎰,(i )[,] (0)x a b a ∈>,(ii )[0,]x b ∈; (3) 2()x e dx α+∞---∞⎰,(i )a b α<<,(ii )α-∞<<+∞; (4) 22(1)0sin (0)x y e xdy x +∞-+<<+∞⎰.3. 设()f t 在0t >连续,0()t f t dt λ+∞⎰当,a b λλ==皆收敛,且a b <。
求证:0()t f t dt λ+∞⎰关于λ在[,]a b 一致收敛.4. 讨论下列函数在指定区间上的连续性: (1) 220()x F x dy x y +∞=+⎰,(,)x ∈-∞+∞; (2) 20()1x y F x dy y+∞=+⎰,3x >; (3) 20sin ()()x xy F x dy y y ππ-=-⎰,(0,2)x ∈.5. 若(,)f x y 在[,][,)a b c ⨯+∞上连续,含参变量广义积分()(,)c I x f x y dy +∞=⎰在[,)a b 收敛,在x b =时发散,证明()I x 在[,)a b 不一致收敛.6. 含参变量的广义积分()(,)c I x f x y dy +∞=⎰在[,]a b 一致收敛的充要条件是:对任一趋于+∞的递增数列{}n A (其中1A c =),函数项级数 111(,)()n n A n A n n f x y dy u x +∞∞===∑∑⎰ 在[,]a b 上一致收敛.7. 用上题的结论证明含参变量广义积分()(,)c I x f x y dy +∞=⎰在[,]a b 的积分交换次序定理(定理19.12)和积分号下求导数定理(定理19.13).8. 利用微分交换次序计算下列积分: (1) 210()()n n dx I a x a +∞+=+⎰ (n 为正整数,0a >); (2) 0sin ax bx e e mxdx x--+∞-⎰(0,0a b >>); (3) 20sin x xe bxdx α+∞-⎰(0α>). 9. 用对参数的积分法计算下列积分: (1) 220ax bx e e dx x --+∞-⎰(0,0a b >>); (2) 0sin ax bxe e mxdx x --+∞-⎰(0,0a b >>). 10. 利用2(1)2011y x e dy x+∞-+=+⎰计算拉普拉斯积分 20cos 1x L dx xα+∞=+⎰ 和120sin 1x x L dx x α+∞=+⎰. 11. 20(0)xy e dy x +∞-=>计算傅伦涅尔积分2001sin 2F x dx +∞+∞==⎰⎰ 和21001cos 2F x dx +∞+∞==⎰⎰. 12. 利用已知积分 0sin 2x dx x π+∞=⎰,202x e dx +∞-=⎰计算下列积分: (1) 420sin x dx x+∞⎰; (2) 02sin cos y yx dy yπ+∞⎰; (3)220x x e dx α+∞-⎰ (0)a >; (4) 2()0ax bx c e dx +∞-++⎰(0)a >; (5) 222()a x x e dx -++∞-∞⎰(0)a >. 13. 求下列积分: (1) 01cos t e tdt t+∞-⎰; (2) 220ln(1)1x dx x +∞++⎰. 14. 证明:(1) 10ln()xy dy ⎰在1[,]b b(1)b >上一致收敛; (2) 10y dx x ⎰在(,]b -∞ (1)b <上一致收敛. 15. 利用欧拉积分计算下列积分:(1) 10⎰;(2) ⎰;(3)⎰;(4)0a x ⎰ (0)a >; (5)6420sin cos x xdx π⎰; (6)401dx x +∞+⎰; (7)220n x x e dx +∞-⎰ (n 为正整数);(8) 0π⎰; (9) 220sin n xdx π⎰ (n 为正整数); (10) 1101ln n m x dx x -⎛⎫ ⎪⎝⎭⎰ (n 为正整数).16. 将下列积分用欧拉积分表示,并求出积分的存在域: (1) 102m n x dx x-+∞+⎰;(2) 1⎰(3) 20tan n xdx π⎰; (4) 101ln p dx x ⎛⎫ ⎪⎝⎭⎰; (5) 0ln p x x e xdx α+∞-⎰(0)α>. 17. 证明: (1) 11()nx e dx n n +∞--∞=Γ⎰ (0)n >; (2) lim 1nx n e dx +∞--∞→+∞=⎰. 18. 证明:1110(,)(1)b a bx x B a b dx x α--++=+⎰; 10()sx s x e dx ααα+∞--Γ=⎰ (0)s >.。
欧阳光中《数学分析》笔记和考研真题详解第25章含参变量的积分25.1复习笔记一、含参变量的常义积分1.含参变量积分的概念(1)称如下形式的积分为含参变量x的积分.(2)当为常值时,称为固定限参变量积分,否则称为可变限参变量积分.2.含参变量积分的分析性质(1)不变限情形①连续性定理设f(x,y)于矩形[a,b]×[c,d]上二元连续,c,d有限,则函数于[a,b]上也连续.②可导性定理设f(x,y)和于矩形[a,b]×[c,d]上连续,则F(x)于[a,b]上也可导且.(2)可变限情形①连续性定理设f(x,y)于上二元连续,,且于[a,b]上连续,则于[a,b]上也连续.②可导性定理设f(x,y)于上二元连续,,且于[a,b]上连续,若导数存在且连续,则也存在,且二、含参变量的广义积分1.含参变量广义积分的一致收敛(1)定义设已给含参变量的广义积分(I是任意区间),假定对每个x∈I,上述积分已收敛.设为“余积分”,它是x,d的二元函数,于矩形I×[C,+∞)上有定义.①含参变量广义积分在奇点+∞处一致收敛的定义若数,使得“余积分”绝对值|r(x,d)|在矩形上点点小于ε(图25-1),即则称于奇点+∞处,积分在x∈I时一致收敛.图25-1②含参变量广义积分在有限奇点处一致收敛的定义若,使得在矩形上点点小于,即则称在奇点c处积分在x∈I时一致收敛.③当一个含参变量积分有限多个奇点时,只有积分在每个奇点处都一致收敛时才称该积分一致收敛.(2)Abe1不等式(u(x)单调,v'(x)可积)也常用来估计“余积分”.2.一致收敛的判别法(1)Cauchy收敛原理如果一致收敛存在,使得,有(2)Weierstrass判别法设①收敛;②收敛,则,一致收敛.(3)A.D.判别法已给若u(x,y)关于y单调,且u,v有一个是有界函数,另一个在y→+∞时在区间x∈I上一致收敛于零,则上述积分一致收敛(假定偏导数存在且关于y连续).3.含参变量广义积分的性质(1)定理1设f(x,y)于矩形I×[c,+∞)上连续且积分,x∈I内闭一致收敛,则于I上连续(连续性).(2)定理2设f(x,y)于矩形I×[c,+∞)上连续且积分,x∈I内闭一致收敛,若区间I=[a,b]有界,则(3)定理3设于上连续,积分,内闭一致收敛,又存在一点,积分收敛,则内闭一致收敛,且(4)定理4设上连续,公式在下列条件之一满足时成立:①②③(5)定理5设f(x,y)于[a,+∞)×[c,+∞)上连续且两个“里层”积分都存在.若存在充分大的及函数满足:其中函数一个可积,另一个局部有界(即在任一个内闭区间上有界),则成立三、B函数和Γ函数1.B函数和Γ函数的定义B函数和Γ函数是指2.B函数和Γ函数的性质(1)连续性B(p,q),Γ'(s)都是连续的.(2)对称性B(p,q)=B(q,P);(3)Γ函数是阶乘的拓广Γ(s+1)=sΓ(s),s>0.特别Γ(n+1)=n!;(4)B函数与Γ函数的关系;(5)余元公式;(6)Legendre公式.3.当s→+∞时Γ(s)的性态公式特别,当s=n(自然数)时,得。
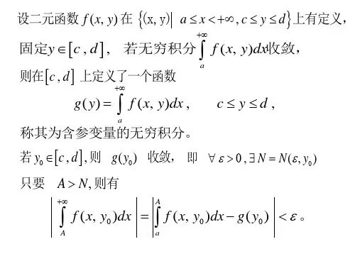
第十八章 含参变量的广义积分一 一致收敛的定义定义1 设函数),(y x f 定义在[ ,; , ]a c d +∞上,称()(,)aI y f x y dx +∞=⎰含参变量的无穷积分。
定义2设函数),(y x f 定义在[ ,; , ]a c d +∞上,若()000 , A A a εε∀>∃=>, 当0',A A A >时,对一切[],y c d ∈,成立'(,)A Af x y dx ε<⎰或(,)Af x y d x ε+∞<⎰。
就称含参无穷积分(,)af x y dx +∞⎰关于[],y c d ∈一致收敛。
定义3设(,)baf x y dx ⎰对于[],c d 上的每一y 值,以x b =为奇点的积分存在。
若()000 , 0εδδε∀>∃=>,当00,'ηηδ<<时,对一切[],y c d ∈,成立'(,)b b f x y dx ηηε--<⎰或(,)bb f x y dx ηε-<⎰,就称含参无穷积分(,)baf x y dx ⎰关于[],y c d ∈一致收敛。
二 一致收敛积分的判别法 以下假定积分(,)af x y dx +∞⎰收敛。
定理1(魏尔斯特拉斯判别法)设有函数()F x ,使得()(),,,f x y F x a x c y d ≤≤<+∞≤≤如果积分()aF x dx +∞⎰收敛,那么(,)af x y dx +∞⎰关于[],y c d ∈一致收敛。
例:证明含参无穷积分⎰∞++021cos dx x xy在+∞<<∞-y 内一致收敛。
三 一致收敛积分的性质 1. 连续性定理定理 2 设函数),(y x f 在[ ,; , ]a c d +∞上连续,(,)af x y dx +∞⎰关于[],y c d ∈一致收敛,那么()(,)aI y f x y dx +∞=⎰是[],c d 上的连续函数。