华南理工大学考研真题2010电路原理
- 格式:pdf
- 大小:213.82 KB
- 文档页数:8
第一章电路模型和电路定律随堂练习提交截止时间:2020-11-30 23:59:59当前页有10题,你已做10题,已提交10题,其中答对10题。
1.(单选题) 一个实际电源可以用电压源模型表示,也可以用电流源模型来表示。
在这两种模型中,该实际电源的内阻应为()。
A. 0B. ∞C. 定值D. 不能确定答题: A. B. C. D. (已提交)参考答案:C问题解析:2.(单选题) 在图1-1所示电路中,已知电流,则电流为( )A. 3AB. -3AC. 1AD. -1A答题: A. B. C. D. (已提交)参考答案:B问题解析:3.(单选题) 在图1-2所示电路中,已知。
A、B两点间的电压为( )A. -6VB. 6VC.-18VD. 18V答题: A. B. C. D. (已提交)参考答案:C问题解析:4.(单选题) 图1-3所示电路中,理想电压源发出的功率P为()。
A. 6WB. -6WC. 18WD. -18W答题: A. B. C. D. (已提交)参考答案:B问题解析:5.(单选题) 理想电流源的外接电阻越大,则它的端电压()。
A. 越高B. 越低C. 不变D. 不能确定答题: A. B. C. D. (已提交)参考答案:A问题解析:6.(单选题) 图1-4所示电路中电流为()A. 7AB. 3AC. -3AD. -7A答题: A. B. C. D. (已提交)参考答案:C问题解析:7.(单选题) 在图1-5所示电路中,U、I的关系式正确的是()。
A. B. C.8.(单选题) 图1-6所示电路中,理想电流源发出的功率P为()。
A. 12WB. -12WC.30WD. -30W答题: A. B. C. D. (已提交)参考答案:A问题解析:A. B. C.10.(单选题) 在图1-7所示电路中,已知:。
电流为()。
A. 1AB. 2AC. 3AD. -3A答题: A. B. C. D. (已提交)参考答案:C问题解析:答题: A. B. C. D. (已提交)参考答案:B问题解析:12.(单选题) 在图1-9所示电路中,已知,则供出电功率的是()。
828华南理工大学2011 年攻读硕士学位研究生入学考试试卷(请在答题纸上做答,试卷上做答无效,试后本卷必须与答题纸一同交回)科目名称:电路原理适用专业:电机与电器;电力系统及其自动化;高电压与绝缘技术;电力电子与电力传动;电工理论与新技术;电气工程(专业学位)本卷满分:150 分一.填空题(本题共60 分,每小题 5 分)1. 在图1 电路中,电压源发出的功率是(共7 页);电流源发出的功率是();2A5Ω图1+ 15V_2.图2 电路中的戴维宁等效电路的电压源电压为()V;等效电阻为()Ω2A2Ωa 2Ω图 24Ωb3.图3 电路的等效电阻R ab=(a)Ω。
R ab20ΩbI图 32I4.图 4 电路中电流 I 1 =+I 1 7ΩA , I 3 = I 211Ω6AA ; I 37Ω70V━图 45. 图 5 所 示 电 路 中 的 开 关 S 在 t = 0 时 闭 合 , 电 容 电 流 i C (0 + ) =()。
1Ω1Ωi C S1Ω2A1F图 56. 图 6 所 示 电 路 开 关 S 在 t = 0 时 闭 合 瞬 间 的 电 感 电 压 u L (0 + ) =()。
15Ω5Ω++100V _ S 10Ωi L 1Hu L 10Ω图 6 10μ F _t t 0 V 7. 图 7 所示电路的零状态响应 u x (t ) = ()。
δ (t ) A2Ω2Ω+ u C 1F - i L1H+u x -图 78. 象函数 F (s ) =1(s + 1)(s + 2)2的原函数 f (t ) = ()。
9. 图 8 所 示 电 路 中 , 已 知 R 1 = R 2 = 2Ω , L 1 = L 2 = 2mH , 电 压u L2 ( ) = 1 0 2 c (o s 1)0 0,则电压源 u S (t ) = () V 。
R 1L 1+u S (t ) -R 2+ L 2 u L 2 (t ) -图 810. 图 9 所示电路中,有两个互感线圈 1(电阻为 R 1、自感为 L 1 )和 2(电阻为 R 2 、自感为 L 2 ),其中 R 1 = 20Ω ,ωL 1 = 80Ω , R 2 = 30Ω ,ωL 2 = 50Ω ,ωM = 40Ω ,电源电压 U S = (120 + j20) V ,则 I 1 = (); I 2 =( ); I =( );线圈 1 上吸收的复功率 S 1 =();⎣ ⎤线圈 2 上吸收的复功率 S 2 = ();电压源发出的复功率 S =();+ I* ω L 1ω M*ω L 2U S-R 1 I 1R 2I 2图 911. 一个电阻为 R = 10Ω 的电感线圈,品质因数 Q = 100 ,与电容 C 并联后 发生并联谐振,如果在电容两端再并联一个 R 1 = 100k Ω 的电阻,则电路发生并联谐振的品质因数 Q ' = ()。
833
华南理工大学
2010年攻读硕士学位研究生入学考试试卷(请在答题纸上做答,试卷上做答无效,试后本卷必须与答题纸一同交回)
科目名称:自控基础综合(含自动控制原理、现代控制理论)
适用专业:系统分析与集成,控制理论与控制工程,检测技术与自动化装置,系统工程,模式识别与智能系统,交通信息工程及控制,控制工程
图3 求出系统的开环传递函数G(s);
求出系统的截止频率ωc和相角裕量γ。
5. (25分)已知某系统为单位负反馈最小相位系统,实验测得该系统的开
环对数频率特性如图4所示。
(计算保留1位小数)
1) 试绘制该系统的开环幅相特性曲线,标注走向,与实轴交点;
2) 用奈式判据判断该系统的稳定性,说明闭环极点的个数和大致位置;
3) 如系统的开环放大系数K 可变,试确定使系统稳定的K 的范围;
4) 如果要求系统稳态性能基本不变,相角裕度大于40°,截止频率降低,
应如何校正系统,为什么?
图4
6. (20分)为改善系统的性能,现采用图5(a)所示的变增益控制。
图中是
非线性校正装置,其特性如图5(b)所示。
n k 1) 当K=0.5时,写出系统在阶跃输入下的误差微分方程;
2) 试用奇点变化来讨论变增益控制对系统动态性能的影响;
3) 若将非线性校正装置换为采样周期为T n k s 的采样开关,试分析开环放
大系数K 要满足什么条件,系统才能稳定。
(a) (b)。
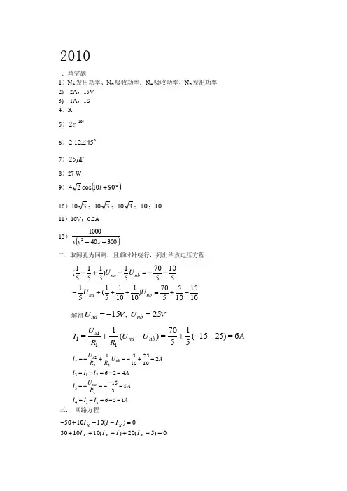
2010年电路原理答案一、1.NA发出功率,NB吸收功率;NA吸收功率,NB发出功率。
(这个题很诡异,意思就是这样的,就是不知道填些什么好)2. 2;153. 1;14. R5.6. (角度是45度,那个符号本人不会打,凑合看吧,呵呵)7. 25μF8. 27W9. 10. ; ; ; ; ;11. 10V;0.2A 12.二、三、受控源吸收功率为0W;(二、三题为基本题,按照步骤一步一步做,仔细点,没问题的,我这儿弄的有点乱,有点分不出答案了,不知道这个答案是不是正确了,呵呵)四、(1)当作用时,对U2产生8V,对U1产生28V,当作用时,对U2产生27V,对U1产生12V,有叠加定理,得同时作用时,U1=40V,U2=35V;发出40W;发出70W。
(2)想不起了,不知道当时有没有做出来了,找不到答案了,貌似应该使用戴维南等效,有做出来的同学可以上传一下。
五、等效电阻;时间常数为1s;求u(t)时采用叠加定理,将电容也看做一个电压源(它是一个时间t的函数),两个电压源和一个电流源分别作用,再叠加得到结果。
结果可能是u(t)=1.6-2.4(四、五题可能有点难度,或者需要技巧,或者计算比较繁琐,总之大家考试时也没必要担心的,也都是一些常规思路,计算再仔细些也没什么问题的)六、值均为10;i(t)=A;向量图可以定性画一下,不难的。
七、I=2A,相位为-60°;U=V ;相位为-105°;Z=(注意是向量计算,大家自己算一下吧) 八、(1)值均为3.11A ;相位分别为-45°;-165°;75°;(2)不变;;(3)P 1=2.13kW ;P 2=41.97W九、利用运算电路法:先作运算电路,很简单的。
这么长时间不看,真的发现自己忘了好多,当时错过的题改过来之后现在竟然分不出哪是对的哪是错的了,大家还是凑合着看吧,应该大部分对吧,呵呵〃〃〃。
华南理工大学考研真题2010计算机专业综合831华南理工大学2010年攻读硕士学位研究生入学考试试卷(试卷上做答无效,请在答题纸上做答,试后本卷必须与答题纸一同交回)科目名称:计算机专业综合(数据结构和操作系统)适用专业:计算机技术共 4 页数据结构部分一、选择题(每小题2分,共20分)1.判断一个循环队列QU(最多元素为m0)为满队列的条件是()。
A、QU->front==QU?rearB、QU->front!=QU?rearC、 QU->front==(QU?rear+1)%m0D、QU->front!=(QU?rear+1)%m02.向一个栈顶指针为HS的链栈中插入一个s所指结点时,则执行()。
A、HS?next=s;B、s?next=HS?next; HS?next=s;C、s?next=HS; HS=s;D、s?next=HS; HS=HS?next;3.设矩阵A是一个对称矩阵,为了节省存储,将其下三角部分按行序存放在一维数组B[1,n(n-1)/2]中,对下三角部分中任一元素a i,j(i≥j),在一维数组B中下标k的值是()。
A、i(i-1)/2+j-1B、i(i-1)/2+jC、i(i+1)/2+j-1D、i(i+1)/2+j4. 设有一个无向图G=(V,E)和G'=(V',E'),如果G'为G的生成树,则下面不正确的说法是( )。
A. G'为G的子图B. G'为G的一个无环子图C. G'为G的极小连通子图且V'=VD. G'为G的连通分量5.在线索化二叉树中,t所指结点没有左子树的充要条件是()。
A、t?left=NULLB、t?ltag=1C、t?ltag=1且t?left=NULLD、以上都不对6. 具有五层结点的二叉平衡树至少有()个结点。
A、10B、12C、15D、177. 采用邻接表存储的图的深度优先遍历算法类似于二叉树的()。
电路历年真题试卷汇编14(总分102,考试时间90分钟)1. 填空题填空题请完成下列各题,在各题的空处填入恰当的答案。
1. (华南理工大学2009年考研试题)如图4一99所示电路,电阻R=__________时可获得最大功率,此时电阻R上获得的最大功率为_________。
2. (华北电力大学2008年考研试题)如图4一115所示电路的端口伏安关系U=__________。
3. (华北电力大学2008年考研试题)如图4一116所示电路,N为线性含源电阻网络,当US=0V 时,I=2A;当US=4V时,I=8A;则U=2V时,IS=__________。
4. (华北电力大学2008年考研试题)如图4一117所示电路,N0为线性电阻网络,当RL=0时,I=5A;现调节RL使其获得最大功率。
已知最大功率为100W,则RL=__________。
5. (华北电力大学2008年考研试题)如图4一119所示电路,流过理想二极管的电流I=___________。
2. 单项选择题单项选择题下列各题的备选答案中,只有一个是符合题意的。
1. (南京航空航天大学2007年考研试题)N0为无源线性电阻网络,工作状态如图4一139所示,现将1.1"端口支路置换成图4一140所示,则2一2"端口输出的电压U2为( )。
A. 2VB. 2.4VC.D. 4V3. 解答题1. (浙江大学2010年考研试题)如图4一50所示电路,已知R1=R2=R3=R4=2Ω,US1=10V,US2=6V,IS=1A,当开关S闭合时,电流I4减小为开关S打开时该支路电流的一半,试求控制系数g。
2. (浙江大学2006年考研试题)电路如图4一53所示,VD为理想二极管,试求:(1)ab以左端口的戴维南等效电路;(2)求Uab及I的值。
3. (浙江大学2005年考研试题)电路如图4一57所示,已知:R1=5Ω,R2=6Ω,R3=R4=8Ω,r=5Ω,IS=5A,US=4V,求电压源和电流源的功率。
第一章电路模型和电路定律当前页有10题,你已做10题,已提交10题,其中答对10题。
1.电路和及其对应的欧姆定律表达式分别如图1-1、图1-2、图1-3所示,其中表达式正确的是()。
A.图1-1B.图1-2C.图1-3图1-1 图1-2 图1-3答题: A. B. C. D. (已提交)2.在图1-4所示电路中,已知U=4V,电流I=-2A,则电阻值R为()。
A.-2ΩB.2ΩC.-8Ω图1-4答题: A. B. C. D. (已提交)3.在图1-5所示电路中,US,IS均为正值,其工作状态是()。
A.电压源发出功率B.电流源发出功率C.电压源和电流源都不发出功率图1-5答题: A. B. C. D. (已提交)4.在图1-6所示电路中,US,IS均为正值,其工作状态是()。
A.电压源发出功率B.电流源发出功率C.电压源和电流源都不发出功率图1-6答题: A. B. C. D. (已提交)5.图1-7所示电阻元件R消耗电功率10W,则电压U为()。
A.-5VB.5VC.20V图1-7答题: A. B. C. D. (已提交)6.图1-8所示元件供出电功率10W,则电压U为()。
A.-5VB.5VC.20V图1-8答题: A. B. C. D. (已提交)7.非线性电阻元件的伏安特性是一条()。
A.通过电压-电流平面直角坐标原点的一条曲线B.不通过电压-电流平面直角坐标原点的一条曲线C.通过电压-电流平面直角坐标原点的一条直线答题: A. B. C. D. (已提交)8.非线性电阻两端的电压与其中电流的关系()。
A.不遵循欧姆定律B.遵循欧姆定律C.有条件地遵循欧姆定律答题: A. B. C. D. (已提交)9.非线性电阻的电阻值为()。
A.定值B.非定值,但与该电阻两端的电压或通过的电流无关C.非定值,且与该电阻两端的电压或通过的电流有关答题: A. B. C. D. (已提交)10.一个实际电源可以用电压源模型表示,也可以用电流源模型来表示。
2010一.填空题1)N A 发出功率、N B 吸收功率;N A 吸收功率、N B 发出功率 2) 2A ,15V 3) 1A ,1S 4)R 5)te102-6)o4512.2∠ 7)F 25μ 8)27 W9)()o 9010cos 24+t10)310;310;310;10;10 11)10V ;0.2A 12)()3004010002++s s s 二.取网孔为回路,且顺时针绕行,列出结点电压方程:1015105570)10110151(5151057051)315151(-+=+++---=-++nb na nb na U U U U 解得VU V U nb na25,15=-=A U U R R U I nb na s 6)2515(51570)(11111=--+=-+=A U R R U I nb s 2102510512222=+-=+-= A I I I 426213=-=-=A R U I na 531555=--=-= A I I I 156514=-=-=三. 回路方程)5(20)(1010300)(101050=-+-++=-++-X X X X X I I I I I I I解得A I A I X 3,5==受控源中电流05=-=I I CS,故受控源的功率为零。
四. 当I S1单独作用时,有V u V u 8,28128)1(2)1(1===当IS2单独作用时,有V u V u 27254,12)2(2)2(1=== 根据叠加原理两个电源共同作用时W I u u P s S 401)1228()(1)2(1)1(11=⨯+=+=W I u u P s S 702)278()(2)2(2)1(22=⨯+=+=若将I S1换成5Ω的电阻,保留I S2,则等效电路为:当I S1不作用时,即I S1开路,此时的V u 12)2(1=即为开路电压u oc ,等效电阻为Ω==281/28/1)1(1s I u ,则5Ω电阻上流过的电流==+=33/12)5/(eq oc R u I 0.364A五.()20=+C u V ;用叠加原理求出:()2.70'=+u V ,()8.00''=+u V ,()4.20'''-=+u V ,()6.50=+u V , ()8=∞u V ,等效电阻Ω=50R ,时间常数s C R 10==τ()()()()t te e u u u t u --+-=⎥⎦⎤⎢⎣⎡∞-+∞=4.280τ六.o 22452∠=+=R jx R Z L ;o 33452-∠=-=R jx R Z Cooo o o 3232320452452452452//∠=-∠+∠-∠⨯∠=+=R R R R R Z Z Z Z Z Z 总阻抗o32102//∠=+=R Z Z R Z ,纯阻性,1cos =ϕ112202420cos ===ϕU P I A ,20112202===I U R ,Ω=10R , Ω======10321R x x R R R C L ,()t t t i ωωsin 211sin 2102220=⨯=A 。
828华南理工大学2008年攻读硕士学位研究生入学考试试卷(请在答题纸上做答,试卷上做答无效,试后本卷必须与答题纸一同交回)科目名称:电路原理适用专业:电机与电器,电力系统及其自动化,高电压与绝缘技术,电力电子与电力传动,电工理论与新技术828华南理工大学2009年攻读硕士学位研究生入学考试试卷(请在答题纸上做答,试卷上做答无效,试后本卷必须与答题纸一同交回)科目名称:电路原理适用专业:电机与电器,电力系统及其自动化,高电压与绝缘技术,电力电子与电力传动,电工理论与新技术828华南理工大学2010年攻读硕士学位研究生入学考试试卷(请在答题纸上做答,试卷上做答无效,试后本卷必须与答题纸一同交回)科目名称:电路原理适用专业:电机与电器,电力系统及其自动化,高电压与绝缘技术,电力电子与电力传动,电工理论与新技术,电气工程828华南理工大学2011年攻读硕士学位研究生入学考试试卷(请在答题纸上做答,试卷上做答无效,试后本卷必须与答题纸一同交回)科目名称:电路原理适用专业:电机与电器;电力系统及其自动化;高电压与绝缘技术;电力电子与电力传动;电工理论与新技术;电气工程(专业学位)(120S U =+1I =( 1S =(2S =( 1U I1I I∞-+380AB U =∠1A I 、1B I 、1C I 、2A I 、2B I 、2C I ;A I 、B I 、C I ;(3)两组负载分别消耗的功率I I I 1A I 1B I I 2A I 2B I I Z U828华南理工大学2012年攻读硕士学位研究生入学考试试卷(请在答题纸上做答,试卷上做答无效,试后本卷必须与答题纸一同交回)科目名称:电路原理适用专业:电机与电器;电力系统及其自动化;高电压与绝缘技术;电力电子与电力传动;电工理论与新技术;电气工程(专硕)P 获得最大功率,其获得的最大功率max()u tI5b)所示,试求电流428华南理工大学2008年攻读硕士学位研究生入学考试试卷(试卷上做答无效,请在答题纸上做答,试后本卷必须与答题纸一同交回)科目名称:电路原理适用专业:电机与电器电力系统及其自动化高电压与绝缘技术电力电子与电力传动电工理论与新技术1240S S k u k I U k k +=+=解:由齐性定理,得:带入已知条件,得:428华南理工大学2009年攻读硕士学位研究生入学考试试卷(试卷上做答无效,请在答题纸上做答,试后本卷必须与答题纸一同交回)科目名称:电路原理适用专业:电机与电器电力系统及其自动化高电压与绝缘技术电力电子与电力传动电工理论与新技术。
828华南理工大学2008年攻读硕士学位研究生入学考试试卷(请在答题纸上做答,试卷上做答无效,试后本卷必须与答题纸一同交回)科目名称:电路原理适用专业:电机与电器,电力系统及其自动化,高电压与绝缘技术,电力电子与电力传动,电工理论与新技术828华南理工大学2009年攻读硕士学位研究生入学考试试卷(请在答题纸上做答,试卷上做答无效,试后本卷必须与答题纸一同交回)科目名称:电路原理适用专业:电机与电器,电力系统及其自动化,高电压与绝缘技术,电力电子与电力传动,电工理论与新技术828华南理工大学2010年攻读硕士学位研究生入学考试试卷(请在答题纸上做答,试卷上做答无效,试后本卷必须与答题纸一同交回)科目名称:电路原理适用专业:电机与电器,电力系统及其自动化,高电压与绝缘技术,电力电子与电力传动,电工理论与新技术,电气工程828华南理工大学2011年攻读硕士学位研究生入学考试试卷(请在答题纸上做答,试卷上做答无效,试后本卷必须与答题纸一同交回)科目名称:电路原理适用专业:电机与电器;电力系统及其自动化;高电压与绝缘技术;电力电子与电力传动;电工理论与新技术;电气工程(专业学位)(120S U =+1I =( 1S =(2S =( 1U I1I I∞-+380AB U =∠1A I 、1B I 、1C I 、2A I 、2B I 、2C I ;A I 、B I 、C I ;(3)两组负载分别消耗的功率I I I 1A I 1B I I 2A I 2B I I Z U828华南理工大学2012年攻读硕士学位研究生入学考试试卷(请在答题纸上做答,试卷上做答无效,试后本卷必须与答题纸一同交回)科目名称:电路原理适用专业:电机与电器;电力系统及其自动化;高电压与绝缘技术;电力电子与电力传动;电工理论与新技术;电气工程(专硕)P 获得最大功率,其获得的最大功率max()u tI5b)所示,试求电流428华南理工大学2008年攻读硕士学位研究生入学考试试卷(试卷上做答无效,请在答题纸上做答,试后本卷必须与答题纸一同交回)科目名称:电路原理适用专业:电机与电器电力系统及其自动化高电压与绝缘技术电力电子与电力传动电工理论与新技术1240S S k u k I U k k +=+=解:由齐性定理,得:带入已知条件,得:428华南理工大学2009年攻读硕士学位研究生入学考试试卷(试卷上做答无效,请在答题纸上做答,试后本卷必须与答题纸一同交回)科目名称:电路原理适用专业:电机与电器电力系统及其自动化高电压与绝缘技术电力电子与电力传动电工理论与新技术。