中职数学基础模块上册有理数指数幂word练习题.doc
- 格式:doc
- 大小:291.51 KB
- 文档页数:4
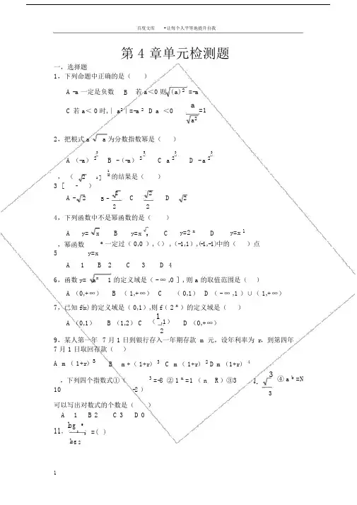
百度文库 - 让每个人平等地提升自我第 4 章单元检测题一,选择题1,下列命题中正确的是()A -a 一定是负数B 若 a <0 则 ( a) 2 =-aC 若 a < 0 时,∣ a 2∣=-a2D a <0a=1a 22,把根式 aa 为分数指数幂是()3333A (-a ) 2B -(-a ) 2C a 2D - a 21, ( - 2 ) 2 ]2的结果是()3 [A - 22 C2D2B -224,下列函数中不是幂函数的是()A y= xB y=x3Cy=2 xDy=x 1,幂函数y=x a一定过( 0,0 ),() ,(-1,1),(-1,-1)中的( )点 5A 1B 2C 3D 46,函数 y= a x 1 的定义域是( - ∞ ,0 ], 则 a 的取值范围是( )A (0,+∞)B ( 1,+∞)C ( 0,1)D ( - ∞ ,1 )∪( 1,+∞)7,已知 f(x) 的定义域是( 0,1),则 f ( 2 x )的定义域是()A (0,1)B (1,2)C (1,1) D (0,+∞)29,某人第一年 7 月 1 日到银行存入一年期存款 m 元,设年利率为 r ,到第四年 7 月 1 日取回存款( )A m ( 1+r )3B m+( 1+r ) 3C m ( 1+r ) 2D m (1+r ) 4,下列四个指数式①(3=-8 ② 1 n=1 ( n R )③3 13④ a b =N-2 ) 2 =103可以写出对数式的个数是( )A 1B 2C 3D 011,log893 =( )log 2A2 B 13D 23 C23212,关于 log 10 2 和 log 10 3 两个实数,下列判断正确的是()A 它们互为倒数B 它们互为相反数,C 它们的商是D 它们的积是 013,设 5 log10x=25,则 x 的值等于( )A10B±10 C 100 D ± 10014,已知 x=1+ 2 ,则 log 4 x 2 x 6等于( ) A0 B1 C5 D324215,设 lgx 2 =lg ( 2 1 )-lg ( 2 1 ),则 x 为( )A2 1B-( 21 ) C2 1D ±( 2 1)16,若 log ( x 1) ( x 1) =1,则 x 的取值勤范围是( )A ( -1,+∞)B ( -1,0)∪( 0,+∞)C (- ∞,-1 )∪( -1,+∞)D R1<1, 那么 a 的取值范围是(17,如果 log a 2 )A0 < <1B a >1C 0<a < 1或 a > 1a22D a > 1 且 a ≠1218,下列式子中正确的是()xA log a ( x y) =log a x-log a yBlog ay =log a x -log a ylog axxxloga yC=log a yDlog a x -log ay= log a ylog a19 下列各函数中在区间( 0,+∞)内为增函数的是()Ay=( 1) xB y=log 2xC y=log 1 xD y=x 12220,若 a > 1 在同一坐标系中,函数y=a x 和 y=log a x 的图像可能是()二,填空题1,求值 4 0.0625 + 61-()-3 33=481111112,化简( a-b )÷( a 2 +b 2 )-(a+b-2a 2 b 2 )÷( a 2 -b 2 )=,若 f ( x ) =x x 2 3x 2 的值在第一象限内随 x 的增大而增大,则 m34,Y=a x 当 a >1 时在 x时 y ≥ 1; 在 x时 0<y ≤1;当 0< a < 1 时,当 x时 y ≥ 1; 在 x时 0<y ≤1. 5,函数 y=2∣x ∣定义域是 ,值域是 ,它是函数(奇偶) ,若 2 m 2 2 >2 2 m 3 成立 ,则 m 的取值范围是 68 =4 则 x=x y7,已知 2 ㏒ x,2lg 2 =lgx+lgy 则 x,y 的关系(x >0,y >0)8,设 log 3 2 =a ,则 log 3 8 -2log 3 6 用 a 表示为[log 3(log2 x )]29,已知 log =0,则 x3=710, 函数 y=log 2 x +3(x ≥1)的值域是11, 比较大小① log 12log 3 2 ②log 20.8log 0.5 0.834. 11③0.10.1④(1)(2 2)4.22三,问答并计算1,已知 x= 1 ,y= 1 ,求xy - x y的值23xy xy,() 0+ ( 3) 2×3 (3 3) 2- 1 +32 2 80.019函数 f (x )=(m 2-m-1)x m 2 2 m 3 是幂函数,且当 x (0,+∞)时 ,f (x )随 x 3.的减小而增大,求实数 m 的值x) 2x 46, 已知 2(log 1 +7log 1 x +3≤0, 求函数 y=( log 2 2 )( log 1 x )的最值22217 , 计算 - 1log 1 25 +log 0.1 2 -lg0.12108, 若 log 8 27 =a,求 log 616 的值19,求函数 y=log 2 (2x 2-12x+22) 2 的定义域210,若 log a(4 x 3)>2 ,(a>0且a≠1)求x的取值范围。
【课题】4.1 实数指数幂(2)【教学目标】知识目标:⑴掌握实数指数幂的运算法则;⑵通过几个常见的幂函数,了解幂函数的图像特点 .能力目标:⑴正确进行实数指数幂的运算;⑵ 培养学生的计算技能;⑶通过对幂函数图形的作图与观察,培养学生的计算工具使用能力与观察能力 . 【教学重点】有理数指数幂的运算.【教学难点】有理数指数幂的运算.【教学设计】⑴ 在复习整数指数幂的运算中,学习实数指数幂的运算;⑵ 通过学生的动手计算,巩固知识,培养计算技能;⑶通过“描点法”作图认识幂函数的图像,通过利用软件的大量作图,总结图像规律;⑷通过知识应用巩固有理数指数幂的概念 .【教学备品】教学课件.【课时安排】2 课时. (90 分钟)【教学过程】教过*揭示课题4.1 实数指数幂.*回顾知识复习导入知识点整数指数幂,当n N* 时,a n = ;规定当a 0 时,a0 = ; a n =教学意图复习已有知识教师行为介绍学生行为了解学程时间;m 分数指数幂:a n =m ;a0时,a n=其中m、n N*且n>1.当n 为奇数时, a R;当n 为偶数时, a 0.问题1.将下列各根式写成分数指数幂:(1) ; (2) .20 4 32.将下列各分数指数幂写成根式:3(2) (2.3) 3.扩展整数指数幂的运算法则为:(1) a m . a n = ;(2) (a m )n = ;(3) (ab)n = .其中(m、n Ζ).归纳运算法则同样适用于有理数指数幂的情况.*动脑思考探索新知概念当p 、q 为有理数时,有a p . a q = a p+q ;(a p )q = a pq ;(ab)p = a p .b p.教师行为提问巡视解答引导学生行为回忆求解交流思考领会教学意图知识建构基础了解学生指数运算掌握情况回顾整数指数幂为后续做好3 2(1) 65 4;a2教过时间学程.运算法则成立的条件是,出现的每个有理数指数幂都有意义.说明可以证明,当p 、q 为实数时,上述指数幂运算法则也成立.*巩固知识典型例题例 4 计算下列各式的值:说明总结归纳说明了解思考理解记忆领会准备自然过渡到实数指数幂通过115 说明观察例题13 根 3 6(1) 0.1253; (2). 3 9 根 3 2分析 (1)题中的底为小数,需要首先将其化为分数,有利于运算法则的利用; (2)题中,首先要把根式化成分数指数幂,然后再进行化简与计算.解 (1)1 -3根 1 8 21 1 1 1 1(2) 3 根 3 6 = 32 根 (3 根 2)3 =32 根 33 根 233 9 根 3 2 1 1 2 1(32 )3 根 23 33 根 231 12 1 1 1 1说明 (2)题中,将 9 写成 32 ,将 6 写成 2根3 ,使得式子中只出现两种底,方便于化简及运算.这种尽可能将底的化同的做法,体现了数学中非常重要的“化同”思想. 例 5 化简下列各式: (1); (2) (||(a 21 +b 21))|| (||(a 21 -b 21))||;(3) 5 a -3b 2 合 5 a 2 合 5 b 3 .分析 化简要依据运算的顺序进行,一般为“先括号内,再括教师 行为分析强调引领讲解质疑学生 行为思考主动 求解领会了解观察教学 意图进一步使 学生 理解指数 幂的 运算 法则引导 学生 体会 化同 的的数学 思想= 32+ 3- 3 根 23-3 = 36 根 20 = 36.1 1 1 1教 过学 程0.1253 = ( )3 = (2-3 )3 = 2 3 = 2-1 = ;时 间号外;先乘方,再乘除,最后加减”,也可以利用乘法公式. 解 (2a 4b 3 )4= 24 a 4根4b 3根4 = 16a 16b 12 = 16 a 16-6b 12-2 = 16 a 10b 10.(3a 3b )2 32 a 3根2b 1根2 9a 6b 2 9 9(||(a 21 + b 21))|| (||(a 21 -b 21))|| = (||(a 21))||2- (||(b 21))||2= a 21根2 - b 21根2= a - b .1 2 35 a -3b 2 合 5 a 2 合 5 b 3 = (a -3b 2 )5 合 a 5 合 b 51 123 3 2 2 3= (a -3 )5 (b 2 )5 合 a 5 合 b 5 = a -5 b 5 合 a 5 合 b 5= a (- 53 - 52)b 52 - 53 = a -1b -51.说明 作为运算的结果,一般不能同时含有根号和分数指数分析强调讲解思考主动 求解领会了解注意 观察 学生 是否 理解 知识点可以 适当 交给 学生自我 探究幂. (3)题的结果也可以写成1 ,但是不能写成a一 1 ,本章a 5b 5 b中一般不要求将结果中的分数指数幂化为根式.*运用知识强化练习教材练习4.1.21.计算下列各式:2 1 1 5(1) 3 人3 9 人4 27; (2) (23 42 )3 (2一2 48 )4.2 .化简下列各式:( 2 1 )3 ( 1 5 )4 (1) a3 . a一3 . a2 . a0;(3) 3 b2 . 3 a 政a3b.a*知识回顾复习导入问题观察函数y = x、相关性质.探究由于 y = x =x1,y = x2 、y = ,回忆三个函数的图像和xy = = x一1 ,故这三个函数都可以写成xy = x a ( a 仁R )的形式.教师行为强调提问巡视指导质疑学生行为动手求解交流思考教学意图及时了解学生知识掌握情况引导学生用所345 (2)|a 3 b2|.|2a一2 b8|;( ) ( )1 2学程时间11教过*动脑思考探索新知概念一般地,形如 y = x a ( a 仁R )的函数叫做幂函数.其中指数 a 为常数,底x 为自变量.*巩固知识典型例题1例 6 指出幂函数 y=x 3 和 y=x 2 的定义域,并在同一个坐标系中作出它们的图像.分析首先分别确定各函数的定义域,然后再利用“描点法”分别作出它们的图像.引导分析总结归纳说明分析体会理解记忆观察思考学的知识进行判断特别强调关键词汇通过例题555教学 意图 进一 步使学生 感知 幂函引领数的图像…特点y= x 2引导领会掌握描点 作图 的方 法观察突出 数形 结合的数 学思 想质疑总结:这两个函数的定义域不同,在定义域内它们都是增函 数.两个函数的图像都经过坐标原点和点 (1,1). 例 7 指出幂函数 y = x 2 的定义域,并作出函数图像.以表中的每组 x, y 的值为坐标, 描出相应的点 (x, y), 再用1光滑的曲线依次联结这些点, 分别得到函数y=x 3 和函数 y = x 2 的图像,如下图所示.1解 函数 y =x 3 的定义域为 R ,函数 y=x 2 的定义域为 [0,+).分别设值列表如下: 教师 行为 学生 行为 xy=x 3 主动求解学 程教 过时 间−2 −8−1 −1… ………1 41体会讲解学生 强调归纳引领了解4 20 09 30 02 81 11 1…x1于 = ,故函数为偶函数.其图像关于 y 轴对称, 可以注意是否理解 知识解 y = x 2 的定义域为 (,0) (0,+ ). 由分析过程知道函1 1 (x)2 x 2先作出区间 (0, + ) 内的图像, 然后再利用对称性作出函数在区 间 (,0) 内的图像.分析 考虑到 x 2 = , 因此定义域为 ( ,0) (0,+ ), 由 分析思考2x数为偶函数.在区间 (0, + ) 内,设值列表如下:1…2 1…以表中的每组 x, y 的值为坐标, 描出相应的点(x, y), 再用光滑的曲线依次联结各点,得到函数在区间(0, + ) 内 的图 像.再作出图像关于 y 轴对称图形,从而得到函数 y = x 2的图像,如下图所示.引导观察学生 总结 函数图像 的特 点*理论升华 整体建构总结: 这个函数在 (0, + ) 内是减函数;函数的图像不经过坐标 原点,但是经过点 (1,1).可以 适当 交给学生 自我 探究教学 意图点教师行为 学生行为主动求解学 程教 过时间x …y …领会体会讲解 理解强调归纳引领704 421 1及时 总结例题 中的 规律75了解 学生 知识一般地,幂函数 y = x a具有如下特征:(1) 随着指数 a 取不同值,函数 y = x a 的定义域、单调性 和奇偶性会发生变化;(2) 当 a >0 时, 函数图像经过原点(0,0)与点(1,1); 当 a <0 时,函数图像不经过原点(0,0),但经过(1,1)点.*运用知识 强化练习 教材练习 4.1.31.用描点法作出幂函数 y = x 4 的图像并指出图像具有怎样的对领会理解 记忆动手引领总结提问2.用描点法作出幂函数 y = x3 的图像并指出图像具有怎样的对称性?*归纳小结强化思想本次课学了哪些内容?重点和难点各是什么?*自我反思目标检测本次课采用了怎样的学习方法?你是如何进行学习的?你的学习效果如何?*继续探索活动探究(1)读书部分:教材章节4.1;(2)书面作业:学习与训练 4.1;(3)实践调查:了解常见幂函数的性质特点.教师行为指导引导提问说明学生行为交流回忆反思交流记录教学意图掌握情况培养学生总结反思学习过程能力8859学程时间教过。
中职数学基础模块测试题《函数、指数函数、对数函数》(满分100分,时间:90分钟)一、选择题(本大题共10小题,每小题4分,共40分)题号12345678910答案1.下列各组函数中,表示同一函数的是()x2A.y=与y=xB.y=x与y=x2x C.y=x与y=log2x D.y=x0与y=1 22.下列函数,在其定义域内,既是奇函数又是增函数的是()1A.y=x23.若a>b,则有()B.y=2x C.y=x3 D.y=log x2A.a2>b2B.lg a>lg bC.2a>2bD.a>b4.log81=()A、2B、4C、-2D、-435.计算log1.25+log0.2=()A.-2 B.-1 C.2 D.1226.y=x-a与y=log x在同一坐标系下的图象可能是()ay y y y1O1x1O1x1O1x1O1x-1 A -1B-1C-1D7.设函数f(x)=log x(a>0且a≠1),f(4)=2,则f(8)=()aA.2B.12 C.3 D.13158.2⋅38⋅464=()A、4B、287C、22D、89.下列函数在区间(0,+∞)上是减函数的是()A、y=x12B、y=x13C、y=x-2D、y=x2(1) 64 3 + ( 2 + 3)0 = __________;(2)化简: (lg 2 - 1) 2 =__________(5)方程 3 x 2-8 = ( ) -2 x 的解集为________________3 - x- (- ) -2+ 810.75 + (1 - 5) 010.若函数 y = log (ax 2 + 3x + a ) 的定义域为 R ,则 a 的取值范围是()21 3 13A. (-∞, - )B. ( , +∞)C. (- , +∞)D. (-∞, )2 2 22二、填空题(共 5 小题,每题 4 分,共 20 分)2 (- )(3)如果 log x < log ( x - 1) ,那么 a 的取值范围是__________aa(4)用不等号连接: log 5log 0.20.26 ; 若 3m > 3n ,则 m n13三、解答题(本大题共 6 小题,共计 40 分)11.(6 分)求函数 y = log (2 x - 1) + 的定义域。
中职数学基础模块上册期末试题中职数学(基础模块)期末试题一、选择题:1.给出四个结论:①{1,2,3,1}是由4个元素组成的集合②集合{1}表示仅由一个“1”组成的集合③{2,4,6}与{6,4,2}是两个不同的集合④集合{大于3的无理数}是一个有限集其中正确的是(B):只有②③④。
2.M={0,1,2,3},N={0,3,4},M∩N=(B):{0,3}。
3.I={a,b,c,d,e},N={b,f},则I∪N=(D):{a,b,c,d,e,f}。
4.A={0,3},B={0,3,4},C={1,2,3}则(B∪C)∩A=(C):{0,3}。
5.设集合M={-2,0,2},N={},则(A):N=∅。
6.设a、b、c均为实数,且a<b<c,则下列结论正确的是(A):a<c。
7.设a、b、c均为实数,且a<b<c,则下列结论正确的是(D):a<b。
8.下列不等式中,解集是空集的是(A):x-3x–4>。
9.一元二次方程x–mx+4=0有实数解的条件是m∈(C):(-∞,-4)∪(4,+∞)。
10.设a>0,b>0且ab。
11.函数y=x+1-1/x的定义域为(B):(-1,+∞)。
12.下列各函数中,既是偶函数,又是区间(0,+∞)内的增函数的是(C):y=x+2x2.二、填空题:1.{m,n}的真子集共3个,它们是:{m},{n},{}。
2.集合{ x | x≥-2 }用区间表示为[-2,+∞)。
1.已知集合A={1,2,3,4,5},B={(x,y)|3x+y=1},求A∩B和A∪B。
A∩B=空集,因为A中只有整数,而B中只有满足3x+y=1的有序数对。
A∪B=A∪{1},因为B中的所有有序数对都不属于A,所以A∪B=A∪{1}={1,2,3,4,5,1}={1,2,3,4,5}。
2.已知集合A={2,3,4},B={x|2<x<7},求A∩B和A∪B。
幂函数指数函数对数函数测试卷(一)一填空题40分1 幂函数3x y 在),(内是单调,2 计算:2)3(。
3 计算:03221)001.0()833()94(。
4 函数15x x y 的定义域。
5 函数1)41(x y的定义域。
6 已知n m )5.0()5.0(,则n m 。
7 把指数式6443改成对数式为。
8 计算:3log 44。
9 计算:2273923log log 。
10 计算9log 2log 23。
二选择题20分1 下列函数是幂函数的是A 1x y ;B 3x y ;C x y 3;D x y 2log 2 指数函数x a y 是增函数,则下列不等式中,能够成立的是A 1a ;B 1a ;C 10a ;D 01a a 或3 已知3log 2log a a ,则a 的取值范围是A 1a ;B 1a ;C 10a ;D 01a a 或4 计算2log 18log 33A 3; B 2; C 1; D16log 35 下列不等式中,不正确的是A 3log 2log 2.02.0;B 16.0log 5.0;C 52log 32log 32;D 23log 32log 33三解答题40分1 计算:4lg 5lg 22已知指数函数x a x f )(的图像过点)161,2(,求(1)a ;(2))1(f 3 求函数定义域(1)42x y (2))62(log 2x y 4 作下列函数图像xy 3log 5 某集团公司今年产值20亿元,如果平均年增长8%,问多少年后能够达到40亿元?(301.02lg ,0334.008.1lg )。
第四章 指数函数与对数函数测试题姓名: 得分:一、选择题(每小题5分,共60分)1.化简:= -----------------------------------------------------------------------( )A. 52a B. 2ab - C. 12a b D. 32b2. 计算:lg100ln ln1e +-= ――――――――――――――――――――( ) A. 1 B. 2 C. 3 D. 43. 下列运算正确的是:――――――――――――――――――――――( ) A. 433422g =2 B. 4334(2)=2 C. 222log 2log x x = D. lg11= 4. 已知:函数y = a x 的图像过点(-2,9),则f (1) =------------------------------( )A. 3B. 2C. 13D. 125. 若a b >,则-------------------------------------------------------------------------------( )A. 22a b >B. lg lg a b >C. 22a b >>6.下列各组函数中,表示同一函数的是-----------------------------------------------( )A. 2x y x=与y x = B. y x =与y = C. y x =与2log 2x y = D. 0y x =与1y =7. 下列函数,在其定义域内,既是奇函数又是增函数的是----------------------( )A. 12y x = B. 2x y = C. 3y x = D. 2log y x =8.将对数式ln 2x =化为指数式为-------------------------------------------------------( )A. 210x =B. x = 2C. x = eD. x = e 2 9.三个数30.7、3log 0.7、0.73的大小关系是------------------------------------------( )A. 30.730.73log 0.7<<B. 30.730.7log 0.73<<C. 30.73log 0.70.73<<D. 0.733log 0.730.7<<10.已知22log ,(0,)()9,(,0)x x f x x x ∈+∞⎧=⎨+∈-∞⎩,则[(f f =----------------------------------( )A. 16B. 8C. 4D. 2 11.已知212332yx +⎛⎫⎛⎫= ⎪ ⎪⎝⎭⎝⎭,则y 的最大值是-----------------------------------------------( )A. 2-B. 1-C. 0D. 1 12.已知1()31xf x m =++是奇函数,则(1)f -的值为----------------------------------( )A. 12-B. 54C. 14-D. 14二、填空题(每空4分,共16分)13. 0.2x = 5化为对数式为: __________________.14. 若2lg 3lg 20x x -+=(0x >),则x =______________________。
4.1实数指数幂习题练习4.1.11、填空题(1)64的3次方根可以表示为 ,其中根指数为 ,被开方数为 ;(2)12的4次算术根可以表示为 ,其中根指数为 ,被开方数为 ;(3)38的平方根可以表示为 ,其中根指数为 ,被开方数为2、将根式转化为分数指数幂的形式,分数指数幂转化为根式(1写成分数指数幂的形式(2)将分数指数幂323写成根式的形式(3参考答案:1、(1)4,3,64(2)412,4,12(3)±,2,82、(1) 139(2) 544.3练习4.1.21计算2、化简:5352523b a b a ÷÷-3、计算:2511343822(24)(24)-参考答案:1、23、82练习4.1.31、指出幂函数y =x 4和y =x 31的定义域,并在同一个坐标系中作出它们的图像2、用描点法作出幂函数y =x 31的图像并指出图像具有怎样的对称性3、用描点法作出幂函数y =x 4的图像并指出图像具有怎样的对称性参考答案:1、略2、略,关于原点对称3、略,关于y轴对称4.2指数函数习题练习4.2.11、判断函数y=4x的单调性.2、判断函数y=0.5x的单调性3、已知指数函数f(x)=a x满足条件f(-2)=0.25,求a的值参考答案:1、增2、减3、2练习4.2.21.某企业原来每月消耗某种原料1000kg,现进行技术革新,陆续使用价格较低的另一种材料替代该试剂,使得该试剂的消耗量以平均每月10%的速度减少,试建立试剂消耗量y与所经过月份数x的函数关系。
2.安徽省2012年粮食总产量为200亿kg.现按每年平均增长10.2%的增长速度.求该省2022年的年粮食总产量(精确到0.01亿kg).3.一台价值10万元的新机床.按每年8%的折旧率折旧,问20年后这台机床还值几万元参考答案:1、y=1000(1-10%)x2、y=200(1+10.2%)103、10(1-8%)204.3 对数习题练习4.3.11、2的多少次幂等于8?2、3的多少次幂等于81?3、将10log10003=对数式写成指数式参考答案:1、32、43、3101000=练习4.3.2、4.3.31、lg2lg5+=2、化简:lg x yz3、3lg2+lg125= 参考答案:1、lg102、lg lg lg x y z --3、34.4 对数函数习题练习4.4.11、若函数log a y x =的图像经过点(4,2),则底a =( ).2、若函数log a y x =的图像经过点(9,3),则底a =( ).3、求函数y=lg4x 的定义域参考答案:1、22、23、x>0练习4.4.21、某钢铁公司的年产量为a 万吨,计划每年比上一年增产9%,问经过多少年产量翻一番2、某汽车的购买价为10万,计划每年比上一年折旧10%,问经过多少年其价值为原来的一半?3、天长地久酒业2012年的年产量为a 吨,计划每年比上一年增产12%,问经过多少年产量翻一番参考答案:1、略2、略3、略。
有理数指数幂同步练习有理数指数幂同步练习⼀、选择题(本题共计 8 ⼩题,每题 3 分,共计24分)1. 下列运算中正确的是( )A.a 2?a 3=a 6B.(?a 2)3=(?a 3)2C.(√a ?1)0=1D.(?a 2)5=?a 102. 设2x =8y+1,9y =3x?9,则x +y 的值为()A.18B.21C.24D.273. 已知a >b ,则( )A.2a?b >12B.lg (a ?b )>12C.1a?b >1D.2a >2a?b4. 已知a =log 0.22,b =0.22,c =30.2,则( )A.aB.aC.cD.b5. 设a =(35)25,b =(25)35,c =(25)25,则a ,b ,c 的⼤⼩关系是()A.a >c >bB.a >b >cC.c >a >bD.b >c >a6. 已知2a =3,2b =5,则22a?b 等于( )A.35B.95C.53D.2537. 若102x =25,10x 则等于( )B.5C.150D.16258. 已知直线ax +by =2经过点(1,3),则函数z =3a +27b 的最⼩值是()A.2√6B.9C.6D.18⼆、填空题(本题共计 2 ⼩题,每题 3 分,共计6分,)9. 232×√2×2?3=________.10. (49)?12+(√3?1)0=________.三、解答题(本题共计 6 ⼩题,每题 10 分,共计60分,)11. 计算:(1)(214)12?(?2020)0?(278)?23+1.5?2;(2)log 3√2743+lg 25+lg 4+7log 72+log 23×log 34.12. (1)计算:π?(235)0+(94)?12?√(3?π)44;(2)已知a 2+2b =1 ,求a b √3a 的值.13. 计算: (1)2lg 2√2+√(lg √2)2?lg 2+1+lg √2?lg 5;(2)1.5?13×(?7)0+80.25×√24+(√23×√3)6?√(2)2314. 解答(1)(94)12?(?9.6)0?(278)23+(1.5)?2(2)2lg 5+23lg 8+lg 5?lg 20+(lg 2)215.(1)求值(214)?12×(lg5+lg2)+(338)?23?log 3√933+(√5)?2;(2)若 8a =5,2b =3 ,试⽤a ,b 表⽰log 1245. 16. 计算: (1)log 3√2743+log 981+21+log 23; (2)(32)?13?13×(?76)0?√(?23)23.⼀、选择题1.D2.D3.A4.A5.6.B7.B8.C⼆、填空题9.1210.52 三、解答题11.解:(1)原式=32?1?49+49=12.(2)原式=log 33?14+lg (25×4)+2+log 24=?14+2+2+2 =234.12.解:(1)原式=π?1√4?|3?π| =π?1+23(π?3) =π?1+23π+3 =83.(2)原式=3a ?32b 3a 2=3a+2b?a 2 =3a 2+2b =31=3.13.解:(1)原式=lg √2(2lg √2+lg 5)+√(lg √2)2?lg 2+1 =lg √2(lg 2+lg 5)+|lg √2?1|=lg √2?lg (2×5)+1?lg √2=1. (2)原式 =(23)13×1+(23)14×214+(213×312)6?(23)13 =2+4×27=110. 14.解:(1)原式=32?1?[(32)3]23+49 =12?49+49=12.(2)原式=2lg 5+23?lg 23+lg 5?lg (5×22)+lg 22 =2(lg 5+lg 2)+lg 5?(lg 5+2lg 2)+(lg 2)2 =2+(lg 5)2+2lg 5?lg 2+(lg 2)2 =2+(lg 5+lg 2)2=3.15.解:(1)原式=(94)?12×lg 10+(278)?23?log 33?13+(√53)2 =(32)?1×1+(32)?2+13+59=23+49+13+59=2. (2)由已知得 a =log 85=13log 25,b =log 23,所以log 1245=log 245log 212=log 25+log 29log 24+log 23 =log 25+2log 232+log 23=3a+2b 2+b .16.解:(1)原式=log 3√274?log 33+log 992+2?2log 23 =34?1+2+6 =314;(2)原式=(23)13?13×1?(23)13=?13.。
课题名称 4.1 实数指数幂授课班级13机电 1授课时间课题序号授课课时第到授课形式启发、类比使用教具课件1. 识记 n 次方根的概念,能区分奇次方根、偶次方根和n 次根算式根。
教学目的 2. 能描述分数指数幂的定义,会进行根式与分数指数幂的互化。
3.识记有理数指数幂的运算性质,会进行简单的有理数指数幂的运算。
教学重点有理数指数幂的运算、实数指数幂的综合运算教学难点有理数指数幂的运算、实数指数幂的综合运算更新、补充、删减无内容课外作业1. P 96 习题。
实数指数幂授课主要思考交流例题课堂小结概念内容或板书设计问题解决练习教学后记教学过程师生活动设计意主要教学内容及步骤图等一、复入:二、新:探究(本 90 )引学生回初中1.概念学的平方根、立方根的一般地,如果 x n a( n N , 且 n1) ,称x a桂梅概念,启学生思考当指数分取 4,5 ,⋯,的 n 次方根。
x 的名称确定,例如:指数分取奇数和偶数底数的异同。
当n 奇数,正数的n 次方根是一个正数,数的n次方根是一个数。
, a 的 n 次方根只有一个,作n a 。
例如:当 n 偶数,正数 a 的 n 次方根有两个,它互相反数,作±n a的形式。
数没有偶次方根。
0 的任何次方根都是0.正数 a 的正的 n 次方根叫做 a 的 n 次算式根。
作n a 。
当n a 有意,把n a 叫做根式,其中n叫做根指数,a 叫做被开方数。
性:(1)(na) n(,且n1)a n N(2)当 n 奇数,(n a)n a ;当 n 为偶数时, (n a )na (a 0 ), | a |a( a 0).m(3) a nna m ;m11 (4) anmna ma n例 1 将下列各分数指数幂写成根式的形式:22(1) a 3 ;(2) b 3 .例 2 将下列各根式写成分数指数幂的形式:(1)5a 2; (2)1.3a 5思考交流1. 0 的正分数指数幂是。
实数指数幂习题练习4.1.11、填空题(1)64的3次方根可以表示为 ,其中根指数为 ,被开方数为 ;(2)12的4次算术根可以表示为 ,其中根指数为 ,被开方数为 ;(3)38的平方根可以表示为 ,其中根指数为 ,被开方数为2、将根式转化为分数指数幂的形式,分数指数幂转化为根式(139写成分数指数幂的形式(2)将分数指数幂323写成根式的形式(3454.3参考答案:1、(1)4,3,64(2)412,4,12(3)22±,2,82、(1) 139(2) 33544.3练习4.1.21计算3439272、化简:5352523b a b a ÷÷-3、计算:2511343822(24)(24)- 参考答案:1、1223325a b 3、82练习4.1.31、指出幂函数y =x 4和y =x 31的定义域,并在同一个坐标系中作出它们的图像2、用描点法作出幂函数y =x 31的图像并指出图像具有怎样的对称性3、用描点法作出幂函数y=x4的图像并指出图像具有怎样的对称性参考答案:1、略2、略,关于原点对称3、略,关于y轴对称4.2指数函数习题练习4.2.11、判断函数y=4x的单调性.2、判断函数y=的单调性3、已知指数函数f(x)=a x满足条件f(-2)=,求a的值参考答案:1、增2、减3、2练习4.2.21.某企业原来每月消耗某种原料1000kg,现进行技术革新,陆续使用价格较低的另一种材料替代该试剂,使得该试剂的消耗量以平均每月10%的速度减少,试建立试剂消耗量y与所经过月份数x的函数关系。
2.安徽省2012年粮食总产量为200亿kg.现按每年平均增长10.2%的增长速度.求该省2022年的年粮食总产量(精确到亿kg).3.一台价值10万元的新机床.按每年8%的折旧率折旧,问20年后这台机床还值几万元参考答案:1、y=1000(1-10%)x2、y=200(1+10.2%)103、10(1-8%)20对数习题练习4.3.11、2的多少次幂等于8?2、3的多少次幂等于81?3、将10对数式写成指数式log10003参考答案:1、32、43、3101000=练习4.3.2、、lg 2lg5+=2、化简:lg x yz3、3lg2+lg125=参考答案:1、lg102、lg lg lg x y z --3、34.4 对数函数习题练习4.4.11、若函数log a y x =的图像经过点(4,2),则底a =( ).2、若函数log a y x =的图像经过点(9,3),则底a =( ).3、求函数y=lg4x 的定义域参考答案:1、22、23、x>0练习4.4.21、某钢铁公司的年产量为a 万吨,计划每年比上一年增产9%,问经过多少年产量翻一番2、某汽车的购买价为10万,计划每年比上一年折旧10%,问经过多少年其价值为原来的一半?3、天长地久酒业2012年的年产量为a 吨,计划每年比上一年增产12%,问经过多少年产量翻一番参考答案:1、略2、略3、略。
2.1.1指数与指数幂的运算练习题高一( )班 座号: 姓名:知能点1:有理数指数幂及运算性质 1、有理数指数幂的分类(1)正整数指数幂()n na a a a a n N *=⋅⋅⋅⋅∈64748L 个; (2)零指数幂)0(10≠=a a ;(3)负整数指数幂()10,n n a a n N a-*=≠∈(4)0的正分数指数幂等于0, 0的负分数指数幂没有意义。
2、有理数指数幂的性质(1)()0,,mn m naa aa m n Q ==>∈ (2)()()0,,nm mn a a a m n Q =>∈(3)()()0,0,m m mab a b a b m Q =>>∈知能点2:无理数指数幂若a >0,P 是一个无理数,则pa 表示一个确定的实数,上述有理指数幂的运算性质,对于无理数指数幂都适用。
知能点3:根式1、根式的定义:一般地,如果a x n=,那么x 叫做a 的n 次方根,其中()*∈>N n n ,1,na 叫做根式,n 叫做根指数,a 叫被开方数。
2(1)n N ∈,且1n >; (2)当n 是奇数,则a a n n =;当n 是偶数,则⎩⎨⎧<-≥==00a aa a a a n n ;(3)负数没有偶次方根; (4)零的任何次方根都是零。
3、我们规定:(1))0,,,1m naa m n N n *=>∈>; (2))10,,,1m nm naa m n N n a-*==>∈>1、用根式的形式表示下列各式)0(>a (1)51a = (2)34a = (3)35a -= (4)32a-=2、用分数指数幂的形式表示下列各式:(1)34y x = (2))0(2>=m mm (3)85-⎝⎭=(4= (5= ; (6)a a a = ;(7) =•a a 2(8)=•323a a (9)=a a (10) =356q p 3、求下列各式的值(1)238= ;(2)12100-= ; (3)31()4-= ;(4)3416()81-=(5)3227= ;(6)23)4936(= ;(7)23)425(-= ;(8)2325=(9)122[(]-= (10)(1221⎡⎤⎢⎥⎣⎦= (11)=32644.化简(1)=••1274331a a a (2)=÷•654323a a a (3)=÷-•a a a 9)(34323(4)322a a a •= (5)3163)278(--b a = (6)⎪⎪⎭⎫ ⎝⎛---3231312212x x x = (7)()0,05354215658≠≠÷⋅⎪⎪⎭⎫ ⎝⎛--b a b a ba =(8))3()6)(2(656131212132b a b a b a -÷-= 5.计算(1)43512525÷-(2) (3)210319)41()2(4)21(----+-⋅- (4)()5.0212001.04122432-⎪⎭⎫⎝⎛⋅+⎪⎭⎫ ⎝⎛--(5)48373271021.097203225.0+-⎪⎭⎫⎝⎛++⎪⎭⎫ ⎝⎛--π (6)24130.753323(3)0.04[(2)]168----++-+(7)()14323112325671027.0-+-+⎪⎭⎫⎝⎛----- (8)5.00312603.1232366141+--+-⎪⎪⎭⎫ ⎝⎛+⎪⎭⎫⎝⎛--(9)()()[]2175.034303101.016287064.0-++-+⎪⎭⎫ ⎝⎛----(10)()3263425.0031323228765.1⎪⎭⎫ ⎝⎛--⨯+⨯+⎪⎭⎫⎝⎛-⨯-6.解下列方程 (1)1318x - = (2)151243=-x (3)422240x x --= (4)2233800x x +---= (5)1321(0.5)4x x --=7.(1).已知11223a a -+=,求下列各式的值(1)1a a -+= ;(2)22a a -+=(2)若11225x x -+=,则21x x+的值是 (3).若13a a -+=,求下列各式的值:(1)1122a a -+= ;(2)22a a -+= ;一.填空题1.若0>a ,则43a 和53-a用根式形式表示分别为 和 ,56b a 和mm 3用分数指数幂形式表示分别为 和 。
百度文库 - 让每个人平等地提升自我
初三数学练习(整合班)
班级
姓名
一、选择题
3
有意义,则 x 的取值范围是(
1. 若 1 2x 4
)
1
1 A 、 x
B 、 x
2
2
2. 下列式子中,正确的是(
A 、 00
1
1
B 、11
1 1 C
、 x
D
、 x
2
2
)
C 、 3a
2
1
5 3
2
D 、x
xx 3a 2
3.
x 2
4
3
,那么 x 等于(
)
已知
A 、 8
B 、
1
C 、 3
4
3
8
4
D 、 22
4. 若 6 4
x 2 有意义,则 x 的取值范围是(
)
A 、 x 2
B 、 x
2
C 、 2 x 2
D 、 x
2或 x 2
5.下列等式中,不正确的是(
)
a
1
A 、3 ( 3)3
3 B 、6( 5)12
25
C 、6 ( 5)6
5
D 、 a 6 ( a 0)
3
a
6. 下列式子中,正确的是(
)
1
1
A 、[(2 2 3)2(2 2 3)2]2
1
B
、
3
9
33
1
1
C 、 (27a 3 )
3
0.3a
1
9a
2
D
、12( 3) 4
( 3) 3
二、 填空题
2
1
1. 计算31 2 2
4 2
所得的结果是
.2.计算
2
2 所得的结果为
3
x 2 x 2
成立的条件是
; 4.若
4x 2
2x
,则 x 的取值范围是
.
x 1
x
1
5.化简: 6
4a
2
12ab 9b
2 3 a
3b 的结果是
2
6. 数 a
3 555 , b
4 444 , c
5 333 的大小关系是
1
x
2
5 x 6
7. 若 2x 6
1 ,则 x 的值是
1 1 1 1
4
1
6
1
8. 数 a
, b
, c
2 3
5
8
的大小关系是
9. 化简 :
a 4
b 2 3 ab 2 (a 0,b 0)
10.将3
2 2 化为分数指数幂的形式是
.
1
1 2
1
11.若 a
,b , 则[ a 3 b 2 ab 2 2 ] 2 =
.
2
3
2
三、 解答题 1. 求下列各式的值
1
(2) (2 3
)
(sin 30 ) 2
(2 1
) (1)[( 3 2)2
( 3 2)2 ]
2
5
4
1
2 (0.01) 0.5
3
(3)
3
2 1
3
10 5 1
2 0
0.002
2
2 3 .
1 7 0
3 4
0.75
1
(4) ( 0.064)
3
) ( 2) 3
16 0.01 2 .
(
8
(5) 5
1 (52)0
9 4 5
45
5 2
2
2. 化简
8 6 1
9
(1) ( a 5 b 5 ) 2
55 a 45 b 3
3
a 33 a 7 3 a 13
(2) a 2
( 3)
a
a
2
2 3
b
b
2 2 3
a
a
2
2 3
b
2
( 4)
8 b
8
8
ab
7
a b a 0, b 0
8
7
b 3
1
(5)
t
1
t 1
t t 3
1
2
1
1
t 3 1 t 3 t 3 1 t 3 1
3.已知 a a 1
3, 求下列各式的值:
1
1
3
3
( 1) a 2
a 2 ; ( 2) a 2 a 2 .
4. .已知 2x 2 x
5, 求下列各式的值:
(1) 4x
4 x ( 2) 8x 8 x
3
5.已知x0, y
1 6.已知x2x
1 1 1 1 1 1
1 1
2x x 2 y 2 3y 0, 且x2 x2 y 2 3 y 2 x 2 5y 2 , 求的值 .
1 1
x x 2 y 2 y
1 x
2 x
2 2
2
3 ,求 3 3 的值
x 2 x 2 3
4。