考研数学模拟试题数学二
- 格式:pdf
- 大小:133.76 KB
- 文档页数:8
考研数学(数学二)模拟试卷420(题后含答案及解析) 题型有:1. 选择题 2. 填空题 3. 解答题选择题下列每题给出的四个选项中,只有一个选项符合题目要求。
1.设f(χ)二阶连续可导,g(χ)连续,且f′(χ)=lncosχ+∫0χg(χ-t)dt,=-2,则( ).A.f(0)为f(χ)的极大值B.f(0)为f(χ)的极小值C.(0,f(0))为y=f(χ)的拐点D.f(0)不是f(χ)的极值,(0,f(0))也不是y=f(χ)的拐点正确答案:C解析:显然f′(0)=0,=-2得g(0)=0,g′(0)=-2.由∫0χg(χ-t)dt∫0χg(u)du得f′(χ)=lncosχ+∫0χg(u)du.故(0,f(0))为y=f(χ)的拐点,选C.2.当χ>0时,f(lnχ)=,则∫-22χf′(χ)dχ为( ).A.B.C.D.正确答案:C解析:由f(lnχ)=得f(χ)=,故选C.3.设z=z(χ,y)由F(az-by,bχ-cz,cy-aχ)=0确定,其中函数F 连续可偏导且af′1-cf′2≠0,则=( ).A.aB.bC.cD.a+b+c正确答案:B解析:F(az-by,bχ-cz,cy-aχ)=0两边对χ求偏导得=0,解得;F(az -by,bχ-cz,cy-aχ)=0两边对y求偏导得,故,因此选B.4.设函数f(χ)在(-∞,+∞)上连续,其导函数的图形如图所示,则f(χ)有( ).A.一个极小值点和两个极大值点B.两个极小值点和一个极大值点C.两个极小值点和两个极大值点D.三个极小值点和一个极大值点正确答案:C解析:设导函数的图形与χ轴的交点从左至右依次为A,B,C,在点A左侧f′(χ)>0,右侧f′(χ)<0.所以点A为f(χ)的极大值点,同理可知点B 与C都是f(χ)的极小值点.关键是点0处,在它左侧f′(χ)>0,右侧f′(χ)<0,而f(χ)在点O连续,所以点O也是f(χ)的极大值点(不论在χ=0处f(χ)是否可导,见极值第一充分条件),选C.5.设D为y=χ,χ=0,y=1所围成区域,则arctanydχdy=( ).A.B.C.D.正确答案:B解析:因此选B.6.设函数u=f(χz,yz,χ)的所有二阶偏导数都连续,则=( ).A.0B.χzf〞11+yzf〞22+z2f〞12C.z2f〞12+zf〞32D.χzf〞11+yzf〞22正确答案:C解析:因此选C.7.设矩阵B的列向量线性无关,且BA=C,则( ).A.若矩阵C的列向量线性无关,则矩阵A的列向量线性相关B.若矩阵C的列向量线性无关,则矩阵A的行向量线性相关C.若矩阵A的列向量线性无关,则矩阵C的列向量线性相关D.若矩阵C的列向量线性无关,则矩阵A的列向量线性无关正确答案:D解析:设B为m×n矩阵,A为n×s矩阵,则C为m×s矩阵,且r(B)=n.因为BA=C,所以r(C)≤r(A),r(C)≤r(B).若r(C)=s,则r(A)≥s,又r(A)≤s,所以r(A)=s,A的列向量组线性无关,A项不对;若r(C)=s,则r(A)=s,所以A的行向量组的秩为s,故n≥s.若n>s,则A的行向量组线性相关,若n=s,则A的行向量组线性无关,B项不对;若r(A)=s,因为r(C)≤s,所以不能断定C的列向量组线性相关还是无关,C项不对;若r(C)=s,则r(A)=s,故选D.8.设n阶方阵A的n个特征值全为0,则( ).A.A=OB.A只有一个线性无关的特征向量C.A不能与对角阵相似D.当A与对角阵相似时,A=O正确答案:D解析:若A的全部特征值皆为零且与对角矩阵相似,则存在可逆矩阵P,使得P-1AP=,于是A=O,选D.填空题9.=_______.正确答案:解析:10.设y=f(χ)与y=sin2χ在(0,0)处切线相同,其中f(χ)可导,则=_______.正确答案:解析:由y=f(χ)与y=sin2χ在(0,0)处切线相同得f(0)=0,f′(0)=2.由∫0χf(χ-t)dt∫0χf(u)du11.=_______.正确答案:10π解析:12.由方程χ+2y+z-2=0所确定的函数z=z(χ,y)在点(1,1,2)处的全微分dz=_______.正确答案:dχ-2dy解析:χ+2y+z-2=0两边对χ求偏导得1+=0,则,z+2y+z -2=0两边对y求偏导得2+=0,则=-2,于是dz=dχ-2dy.13.设函数y=y(χ)在(0,+∞)上满足△y=(+χsinχ)△χ+o(△χ),且,则y(χ)=_______.正确答案:χ(1-cosχ)解析:由可微的定义,函数y=y(χ)在(0,+∞)内可微,且y′=+χsin χ或y′-=χsinχ,由一阶非齐次线性微分方程的通解公式得y==(-cos χ+C)χ由得C=1,所以y=χ(1-cosχ).14.设矩阵A=不可对角化,则a=_______.正确答案:0或4解析:由|λE-A|==λ(λ-a)(λ-4)=0,得λ1=0,λ2=,λ3=4.因为A不可对角化,所以A的特征值一定有重根,从而a=0或a=4.当a=0时,由r(OE-A)=r(A)=2得λ1=λ2=0只有一个线性无关的特征向量,则A不可对角化,a=0合题意;当a=4时,4E-A=,由r(4E-A)=2得λ2=λ3=4只有一个线性无关的特征向量,故A不可对角化,a =4合题意.解答题解答应写出文字说明、证明过程或演算步骤。
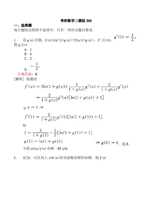
考研数学二模拟392一、选择题每小题给出的四个选项中,只有一项符合题目要求.1. 设g(x)可微,f(x)=ln2(1+g(x))+2ln(1+g(x)),f'(1)=1,则g(1)=A.1.B.0.C.2.D.正确答案:B[解析] 按题设令即.选B.方程x=ln(1+x)有唯一解x=0.2. 设[0,4]区间上y=f(x)的导函数的图形如图,则f(x)A.在(0,2)单调上升且为凸的,在(2,4)单调下降且为凹的.B.在(0,1),(3,4)单调下降,在(1,3)单调上升,在(0,2)是凹的,在(2,4)是凸的.C.在(0,1),(3,4)单调下降,在(1,3)单调上升,在(0,2)是凸的,在(2,4)是凹的.D.在(0,2)单调上升且是凹的,在(2,4)单调下降且是凸的.正确答案:B[解析] 当x∈(0,1)或x∈(3,4)时,在(0,1),(3,4)单调下降;当x∈(1,3)时,在(1,3)单调上升.又f'(x)在(0,2)单调上升在(0,2)是凹的;f'(x)在(2,4)单调下降在(2,4)是凸的.因此,应选B.3.A.π.B.C.D.正确答案:B[解析一] 令[解析二][解析三] 令4. 下列命题中正确的是A.设(x0,f(x0))是y=f(x)的拐点,则x=x0不是f(x)的极值点.B.设x=x0是f(x)的极小值点,f(x)在x=x0二阶可导,则f'(x0)=0,f"(x0)>0.C.f(x)在(a,b)只有一个驻点x0,且x0是f(x)的极小值点,则f(x0)是f(x)在(a,b)的最小值.D.若f'-(b)<0,则f(b)不是f(x)在[a,b]的最大值.正确答案:D[解析一] 由举例易知A、B、C不正确.如图1所示,(x0,f(x0))是y=f(x)的拐点且x=x0是f(x)的极小值点.A 是错的.极小值点x0处可以有f"(x0)=0.如f(x)=(x-x0)4,x=x0是f(x)的极小值点,f"(x0)=0.B是错误的.若f(x)不连续,命题C不正确,如图2.f(x)在(a,b)有唯一驻点x0,是f(x)的极小值点,但f(x0)不是f(x)在(a,b)的最小值.因此,选D.图1图1[解析二] 由最值点处导数性质可知D正确.因为,若f(b)是f(x)在[a,b]的最大值且f'-(b)存在,则于是当f'-(b)<0时,f(b)不可能是f(x)在[a,b]的最大值.选D.①设f(x)在(a,b)可导,若(x0,f(x0))是f(x)的拐点,则x=x0一定不是f(x)的极值点.因为此时若x=x0是f(x)的极值点,则f'(x0)=0,由于f'(x)在x=x0两侧升降性相反,那么f'(x)在x=x0两侧不变号,这与x=x0是f(x)的极值点矛盾了,因此x=x0不可能是f(x)的极值点.②若f(x)在(a,b)连续,x=x0是f(x)在(a,b)的唯一极值点,则x=x0一定是f(x)在(a,b)的相应的最值点.5.A.可导的奇函数.B.连续,但在x=0不可导的奇函数.C.可导的偶函数.D.连续,但在x=0不可导的偶函数.正确答案:A[解析] 因为改变有限个点的函数值,则不改变函数的可积性与积分值,所以e x2+x2是偶函数且处处连续,由变限积分函数的性质知是奇函数且处处可导.因此选A.不是f(x)在含x=0区间上的原函数.事实上,x=0是f(x)的第一类间断点(可去间断点),它在含x=0的区间上不存在原函数.6. 设常数0<a<1,区域D由x轴,y轴,直线x+y=a以及x+y=1围成.记则I,J,K的大小关系是A.J<K<I.B.J<I<K.C.I<J<K.D.I<K<J.正确答案:B[解析] 在区域D上有0<x+y≤1,于是ln3(x+y)≤0≤sin2(x+y)≤(x+y)2≤(x+y),且它们互不恒等,连续,因此,它们在D上的积分值满足应选B.7. 已知A是3阶矩阵且则A.16.B.-16.C.256.D.-256.正确答案:D[解析] 由(kA)*=k n-1A*知(2A)*=22A*=4A*,又有以及A*=|A|A-1得8. 已知α=(1,-3,2)T,β=(0,1,-1)T,矩阵A=2βαT+7E,则矩阵A的最小特征值的特征向量是A.α.B.β.C.α+β.D.α-β.正确答案:B[解析] B=βαT,则秩r(B)=1.由αTβ=-5,知矩阵B的特征值是-5,0,0.那么矩阵A=2B+7E的特征值是-3,7,7.矩阵B关于λ=-5的特征向量就是矩阵A关于λ=-3的特征向量.而Bβ=(βαT)β=β(αTβ)=-5β,所以应选B.二、填空题1. 设a n>0(n=1,2,3,…)且则正确答案:1[解析] 记其中2. 已知则f(x)的连续性区间是______.正确答案:(0,+∞)[解析] 当0<x≤e时当x>e时显然,x∈(0,+∞),x≠e时f(x)连续,又f(x)在x=e左连续且右连续,f(x)也在x=e连续.因此f(x)的连续区间是(0,+∞).3. 已知f(x)(x∈[0,+∞))为非负连续函数,且满足则f(x)=______.正确答案:[解析] 注意于是原方程改写成先求由及Φ(0)=0,积分得最后得4. 设u=u(x,y)满足且u(0,y)=y2+1,则u(x,y)=______.正确答案:[解析] 将y看作常量,这是以x为自变量,函数u=u(x,y)的一阶线性微分方程改写成两边乘e-xy得对x积分得由因此5. 设φ(z)有连续导数,1-yφ'(z)≠0,z=z(x,y)由方程x=x+yφ(z)确定,则dz=______.正确答案:[解析一] 将方程z=x+yφ(z)两边求全微分dz=dx+d(yφ(z))dz=dx+φ(z)dy+yφ'(z)dz移项并解出[解析二] 先求出方程两边分别对x求偏导数并注意x,y为自变量,z=z(x,y),于是由复合函数求导法得解出同理,方程两边对y求偏导数得因此6. 已知A是3阶非零矩阵,且矩阵A中各行元素之和均为0,又知AB=O,其中B=,则齐次方程组Ax=0的通解是______.正确答案:k1(1,1,1)T+k2(1,-1,1)T,k1,k2为任意常数[解析] 矩阵A各行元素之和均为0,即故(1,1,1)T是齐次方程组Ax=0的一个解.由AB=O,知,故(1,-1,1)T也是Ax=0的一个解.从而Ax=0至少有2个线性无关的解,即n-r(A)≥2,亦即r(A)≤1,又因A是非零矩阵,又有r(A)≥1.故必有r(A)=1,那么齐次方程组Ax=0的基础解系由n-r(A)=2个线性无关的解向量构成,所以其通解为:k1(1,1,1)T+k2(1,-1,1)T,k1,k2为任意常数.三、解答题15~23小题,共94分.解答应写出文字说明、证明过程或演算步骤.1. 已知曲线在直角坐标系中的参数方程给出:(Ⅰ)证明x=tlnt(t∈[1,+∞))存在连续的反函数t=t(x)(x∈[0,+∞))且该参数方程确定连续函数y=y(x),x∈[0,+∞);(Ⅱ)求y(x)的单调性区间,极值点,凹凸性区间及拐点.正确答案:[证明] 先证x=tlnt单调,必存在反函数,于是确定y=y(x).再用参数求导法求出然后求出单调性区间,极值点,凹凸性区间及拐点.(Ⅰ)因为在[1,+∞)单调上升,值域是[0,+∞)x=tlnt反函数,记为t=t(x),它在[0,+∞)连续,t(x)≥1(单调连续函数的反函数连续).再由连续函数的复合函数的连续性在[0,+∞)上连续.(Ⅱ)现知y(x)在[0,+∞)连续,再由参数式求导法有因此y(x)的单调增区间为x∈[0,e],单调减区间为[e,+∞),x=e为极大值点因此为y(x)的凸区间,为凹区间,拐点的横坐标是[解析] 于是因此y=y(x)有渐近线y=0.抛物线y=x2上任意点(a,a2)(a>0)处引切线L1,在另一点处引一切线L2,L2与L1垂直.2. 求L1与L2的交点横坐标x1;正确答案:[解] 抛物线y=x2在点(a,a2)处的切线方程为L1:y=a2+2a(x-a)即y=2ax-a2.另一点(b,b2)处的切线方程为L2:y=b2+2b(x-b)即y=2bx-b2.由L1与L2垂直即L1与L2的交点(x1,y1)满足代入得3. 证明:L1,L2与抛物线y=x2所围图形的面积正确答案:[解] L1,L2与y=x2所围图形的面积由x1的表达式知4. 问a>0取何值时S(a)取最小值.正确答案:[解] 求导解最值问题设函数y=y(x)在(-∞,+∞)有二阶导数,且y'≠0,x=x(y)是y=y(x)的反函数.5. 试将x=x(y)满足的微分方程变换为y=y(x)满足的微分方程;正确答案:[解] 这实质上是求反函数x=x(y)的一、二阶导数问题,由反函数求导公式知,再由复合函数求导法知,代入原方程得即6. 求满足y(0)=0,y'(0)=1的y=y(x).正确答案:[解] 求y=y(x)就是求解满足初始条件y(0)=0,y'(0)=1的可降阶微分方程(1).看作不显含因变量y的类型,令得这是可分离变量的方程,分离变量解得p=1(p=0不合题意)或由p=1得,再由初值得y=x.由(2)式积分得即由初值得C=0,仍然只求得y=x.因此求得y(x)=x.[解析] ①这也是不显含x的一类可降阶的二阶微分方程令并以y为自变量,由方程(3)化为一阶微分方程对于原方程(1),我们得(P=0不合题意),于是分离变量得积分得ln|P-1|=y+C1,P-1=Ce y由y=0时,P=1得C=0,因此再由y(0)=1得y=x.②这也是伯努利方程(大纲中不要求,若熟悉),P=0不合题意,P≠0时改写成两边乘e-x得积分并注意到P(0)=1得由及y(0)=0得y=x.7. 求不定积分正确答案:[解] 方法一而因此方法二8. 求极坐标系中曲线的弧长l.正确答案:[解] 先求按弧长计算公式得9. 设f(u,v)有二阶连续偏导数,且满足又求正确答案:[解] 由复合函数求导法得现将①,②式相加得其中由条件知f"11+f"22=1.10. 求二重积分其中D由直线x=a,x=0,y=a,y=-a及曲线x2+y2=ax,(a>0)所围成.正确答案:[解法一] 将D1看成正方形区域与半圆形区域的差集,在半圆形区域上用极坐标变换.于是于是如果积分区域关于x轴(或y轴)对称,考察被积函数关于y(或x)的奇偶性,往往会简化计算.[解法二] 在直角坐标系下计算而或因此于是[解法三] 被积函数x对x是奇函数,但积分区域D1关于y轴不对称,但关于对称.作平移变换:则D1变为关于v轴对称,于是[解析] J的积分区域如图阴影部分,设D1为由x=a,x=0,y=a,所围.由于D关于x轴对称,故11. 设P(x)=x3+ax2+bx+c,a,b,c,为常数,方程P(x)=0有三个相异实根x1,x2,x3,且x1<x2<x3,又求证:(Ⅰ)F(x)在(-∞,x3)恰有两个零点;(Ⅱ)F(x)在(x3,+∞)恰有一个零点.正确答案:[证明] 对常数a,b,c均有进一步按题设应有P(x)<0(x<x1),P(x)>0(x∈(x1,x2))P(x)<0(x∈(x2,x3)),P(x)>0(x>x3)P(x)在(-∞,+∞)连续.(Ⅰ)当x<x1时时在(-∞,x1)无零点.F(x1)=0.当x∈(x1,x2)时时在(x1,x2]无零点.因F(x)在[x2,x3]连续,又即F(x)在(x2,x3)有零点.又因F'(x)=P(x)<0(x∈(x2,x3))在在(x2,x3)有唯一零点.因此F(x)在(-∞,x3)恰有两个零点(x1与ξ).(Ⅱ)由当x>x*时又因F'(x)=P(x)>0 (x>x3)在在(x3,+∞)恰有一个零点.已知矩阵与矩阵等价.12. 求a的值;正确答案:[解] 矩阵A和B等价和B均为m×n矩阵且秩r(A)=r(B).对矩阵A作初等变换,有由秩r(B)=2,知r(A)=2,故a=6.13. 求可逆矩阵P和Q,使PAQ=B.正确答案:对矩阵A作初等变换化为矩阵B,有把所用初等矩阵写出,得[解析] 本题考查矩阵等价,初等矩阵左乘、右乘问题.把矩阵A化为矩阵B的方法不唯一,因此可逆矩阵P,Q不唯一.设A是各行元素之和均为0的三阶矩阵,α,β是线性无关的三维列向量,并满足Aα=3β,Aβ=3α.14. 证明矩阵A和对角矩阵相似;正确答案:[解] 矩阵A各行元素之和均为0,即知0是矩阵A的特征值,α1=(1,1,1)T是矩阵A属于特征值λ=0的特征向量.又A(α+β)=3(α+β),A(α-β)=-3(α-β)且由α,β线性无关,知α+β,α-β均不是零向量.从而,3和-3都是矩阵A的特征值.α+β,α-β分别是λ=3和λ=-3的特征向量,那么矩阵A有3个不同的特征值,所以A~A.15. 如α=(0,-1,1)T,β=(1,0,-1)T,求矩阵A;正确答案:[解] 当α=(0,-1,1)T,β=(1,0,-1)T时,按已知有A(α1,α,β)=(0,3β,3α)即所以16. 用配方法化二次型x T Ax为标准形,并写出所用坐标变换.正确答案:[解]令即有。
考研数学(数学二)模拟试卷429(题后含答案及解析) 题型有:1. 选择题 2. 填空题 3. 解答题选择题下列每题给出的四个选项中,只有一个选项符合题目要求。
1.x→0时,下列无穷小量阶数最高的是( )A.。
B.3x3一4x4+5x5。
C.ex2一cosx。
D.∫01-cosxdt。
正确答案:D解析:选项(A),选项(B),3x3一4x4+5x5=3x3+o(x3),可知3x3一4x4+5x5~3x3。
可见,要使极限为非零常数,必有n=4。
综上所述,本题选(D)。
2.已知f(x)的导函数图像如图1所示,则f(x)在(0,+∞)上( )A.有3个驻点,3个极值点,3个拐点。
B.有2个驻点,2个极值点,2个拐点。
C.有3个驻点,2个极值点,3个拐点。
D.有3个驻点,2个极值点,1个拐点。
正确答案:C解析:驻点为导数等于0的点,即导函数图像与横坐标的交点,共3个;极值点为该点两端导数符号不一致的点,图中有2个;拐点即为导函数的极值点,根据图像可知有3个点。
故选择(C)。
3.曲线y=x2arctanarctanx2的渐近线条数为( )A.0。
B.1。
C.2。
D.3。
正确答案:B解析:函数唯一可能的间断点是x=0,而=0,不存在垂直渐近线。
又因为=∞,不存在水平渐近线。
最后求斜渐近线做变量替换,令x==0,所以存在一条斜渐近线为y=x,故选择(B)。
4.函数f(x)=,在x=0处( )A.不连续但偏导数存在。
B.偏导数不存在但连续。
C.可微但偏导数不连续。
D.偏导数连续。
正确答案:C解析:连续性:=0=f(0,0),所以函数f(x,y)在(0,0)点连续。
偏导数:fx’(0,0)==0,所以函数f(x,y)在(0,0)处对x的偏导数存在。
同理可验证函数f(x,y)在(0,0)处对y的偏导数存在。
所以函数f(x,y)在(0,0)处的偏导数存在。
全微分:=0,所以函数f(x,y)在(0,0)处可微。
偏导数连续性:fx’(x,y)=所以函数fx’(x,y)在(0,0)处不连续,故选择(C)。
考研数学二(多元函数微分学)模拟试卷2(题后含答案及解析) 题型有:1. 选择题 2. 填空题 3. 解答题选择题下列每题给出的四个选项中,只有一个选项符合题目要求。
1.考虑二元函数的下面4条性质:①f(x,y)在点(x0,y0)处连续;②f(x,y)在点(x0,y0)处的两个偏导数连续;③f(x0,y0)在点(x0,y0)处可微;④f(x,y)在点(x0,y0)处的两个偏导数存在.若用“P→Q”表示可由性质P推出性质Q,则有A.②→③→①.B.③→②→①.C.③→④→①.D.③→①→④.正确答案:A 涉及知识点:多元函数微分学2.设有三元方程xy-zlny+exz=1,根据隐函数存在定理,存在点(0,1,1)的一个邻域,在此邻域内该方程A.只能确定一个具有连续偏导数的隐函数z=z(x,y).B.可确定两个具有连续偏导数的隐函数y=y(x,z)和z=z(x,y).C.可确定两个具有连续偏导数的隐函数z=x(y,x)和z=z(x,y).D.可确定两个具有连续偏导数的隐函数x=x(y,z)和y=y(x,2).正确答案:D 涉及知识点:多元函数微分学3.已知函数f(x,y)在点(0,0)的某个邻域内连续,且,则A.点(0,0)不是f(x,y)的极值点.B.点(0,0)是f(x,y)的极大值点.C.点(0,0)是f(x,y)的极小值点.D.根据所给条件无法判断点(0,0)是否为f(x,y)的极值点.正确答案:A 涉及知识点:多元函数微分学4.设可微函数f(x,y)在点(x0,y0)取得极小值,则下列结论正确的是A.f(x0,y)在y=y0处的导数等于零.B.f(x0,y)在y=y0处的导数大于零.C.f(x0,y)在y=y0处的导数小于零.D.f(x0,y)在y=y0处的导数不存在.正确答案:A 涉及知识点:多元函数微分学填空题5.设z=ex-f(x-2y),且当y=0时,z=x2,则=________。
考研数学二模拟题一、选择题:1~8小题,每小题4分,共32分。
在每小题给出的四个选项中,只有一项符合题目要求,把所选项前的字母填在题后的括号中。
(1)当0x →时,设2arctan x α=,11(0)ax a β=(+)-≠,2arcsin x tdt γ=⎰,把三个无穷小按阶的高低由低到高排列起来,正确的顺序是( ) (A ),,αβγ;(B ),,βγα;(C ),,βαγ;(D ),,γβα; (2)设函数()f x 在(,)-∞+∞内连续,在(,0)(0,)-∞+∞内可导,函数()y y x =的图像为则其导数的图像为( )(A) (B)(C) (D)(3)若()f x 是奇函数,()x ϕ是偶函数,则[()]f x ϕ( ) (A )必是奇函数 (B )必是偶函数(C )是非奇非偶函数 (D )可能是奇函数也可能是偶函数(4)设220ln(1)()lim 2x x ax bx x→+-+=,则( ) (A )51,2a b ==-;(B )0,2a b ==-;(C )50,2a b ==-;(D )1,2a b ==- (5)下列说法中正确的是( )(A )无界函数与无穷大的乘积必为无穷大; (B )无界函数与无穷小的乘积必为无穷小; (C )有界函数与无穷大之和必为无穷大; (D )无界函数与无界函数的乘积必无解;(6)设线性无关的函数123,,y y y 都是二阶线性非齐次方程()()()y p x y q x y f x '''++=的解,123,,C C C 为任意常数,则该方程的通解是( )(A )112333C y C y C y ++; (B )1123123()C y C y C C y +++; (C )1123123(1)C y C y C C y +---;(D )1123123(1)C y C y C C y ++--;(7)设A 是n 阶矩阵,齐次线性方程组(I )0Ax =有非零解,则非齐次线性方程组(II )TA x b =,对任何12(,,)T n b b b b =(A )不可能有唯一解; (B )必有无穷多解;(C )无解; (D )可能有唯一解,也可能有无穷多解(8)设,A B 均是n 阶可逆矩阵,则行列式1020TA B -⎡⎤-⎢⎥⎣⎦的值为 (A )1(2)nA B--; (B )2TA B -; (C )12A B --; (D )12(2)nA B --二、填空题:9~14小题,每小题4分,共24分。
考研数学(数学二)模拟试卷386(题后含答案及解析) 题型有:1. 选择题 2. 填空题 3. 解答题选择题下列每题给出的四个选项中,只有一个选项符合题目要求。
1.数列极限A.0.B.1.C.∞.D.正确答案:B解析:转化为函数极限后用洛必达法则.2.设δ>0,f(x)在(一δ,δ)有连续的三阶导数,f’(0)=f’’(0)=0且,则下列结论正确的是A.f(0)是f(x)的极大值.B.f(0)是f(x)的极小值.C.(0,f(0))是y=f(x)的拐点.D.x=0不是f(x)的极值点,(0,f(0))也不是y=f(x)的拐点.正确答案:C解析:3.设f(x,y)有连续的偏导数且f(x,y)(ydx+xdy)为某一函数u(x,y)的全微分,则下列等式成立的是A.B.C.D.正确答案:B解析:4.设则A.当a<一3或a>0时,f(x)不可能无零点.B.当a=0时,f(x)不可能仅有一个零点.C.当a=一3时,f9x)不可能仅有一个零点.D.当一3<a<0时,f(x)不可能仅有两个零点.正确答案:A解析:为确定的零点个数先考察f(x)的单调性.求出现列表格标出f’(x)的正负号区间,相应地得到f(x)的单调性区间:所以f(x)在(一∞,一3)和(3,+∞)内单调减少,在(一3,3)内单调增加,y=f(x)在每个单调性区间上是否存在零点取决于单调性区间端点的函数值或极限值是否异号.故还要算出:综上计算结果可得①当a>0时,f(x)有两个零点;②当a=0时,f(x)只有一个零点x=0;③当一3<a<0时,f(x)仅有两个零点;④当a=一3时,f(x)只有一个零点x=3;⑤当a <一3时,f(x)没有零点.应选A.5.设D是由直线x=0,y=0,x+y=1在第一象限所围成的平面区域,则________.A.e+1.B.e一1.C.D.正确答案:D解析:区域D如右图分析选用极坐标变换.D的极坐标表示:6.以y1=excos2x,y2=exsin2x与y3=e-x为线性无关特解的三阶常系数齐次线性微分方程是A.y’’’+y’’+3y’+5y=0.B.y’’’一y’’+3y’+5y=0.C.y’’’+y’’一3y’+5y=0.D.y’’’一y’’一3y’+5y=0.正确答案:B解析:线性无关特解y1=excos2x,y2=exsin2x与y3=e-x对应于特征根λ1=1+2i,λ2=1—2i与λ3=一1,由此可得特征方程是(λ一1—2i)(λ一1+2i)(λ+1)=0 λ3一λ2+3λ+5=0.由此即知以y1=excos2x,y2=exsin2x与y3=e-x为线性无关特解的三阶常系数齐次线性微分方程是y’’’一y’’+3y’+5y=0.应选B.7.设η1,η2,η3,η4是齐次方程组Ax=0的基础解系,则下列向量组中也是Ax=0的基础解系的是A.η1+η2,η2一η3,η3一η4,η4一η1.B.η1+η2,η2一η3,η3一η4,η4+η1.C.η1+η2,η2+η3,η3一η4,η4一η1.D.与η1,η2,η3,η4等价的向量组.正确答案:A解析:首先可排除D,因为与η1,η2,η3,η4等价的向量组不必线性无关,包含向量个数也不必为4.另外3项都给出了Ax=0的4个解,是否构成基础解系只用看它们是否线性无关,即看秩是否为4.A向量组η1+η2,η2一η3,η3一η4,η4一η1l对η1,η2,η3,η4的表示矩阵为其行列式的值为2,因此是可逆矩阵.于是η1+η2,η2一η3,η3一η4,η4一η1的秩为4.B向量组η1+η2,η2一η3,η3—η4,η4+η1对η1,η2,η3,η4的表示矩阵为其行列式的值为0,因此是不可逆矩阵.η1+η2,η2一η3,η3一η4,η4+η1的秩<4.C向量组η1+η2,η2+η3,η3—η4,η4一η1对η1,η2,η3,η4的表示矩阵为其行列式的值为0,因此也是不可逆矩阵η1+η2,η2+η3,η3一η4,η4一η1的秩<4.8.下列矩阵中不相似于对角矩阵的是A.B.C.D.正确答案:C解析:C矩阵的3个特征值都为1,因此如果一个对角矩阵与它相似,则必须是单位矩阵E,但是对每个可逆矩阵PP一1EP=E,即E只和自己相似,因此C矩阵不相似于对角矩阵.填空题9.设n为正整数,则=______.正确答案:2.解析:10.设y=y(x)满足方程作自变量替换则y作为t的函数满足的微分方程微分方程是_________。
考研数学模拟试卷(数学二)(附答案,详解)一、选择题(本题共8小题,每小题4分,满分32分,每小题给出的四个选项中,只有一项符合题目要求,把所选项的字母填在题后的括号内)1.设()f x 在(,)-∞+∞内是可导的奇函数,则下列函数中是奇函数的是( ). (A )sin ()f x '(B )sin ()x t f t dt ⋅⎰(C )(sin )x f t dt ⎰(D )[sin ()]x t f t dt +⎰2.设111e ,0,()1e 1,0,x xx f x x ⎧+⎪≠⎪=⎨-⎪⎪=⎩ 则0x =是()f x 的( ).(A )可去间断点(B )跳跃间断点(C )第二类间断点(D )连续点 3.若函数()f x 与()g x 在(,)-∞+∞内可导,且()()f x g x <,则必有( ). (A )()()f x g x ->- (B )()()f x g x ''< (C )0lim ()lim ()x x x x f x g x →→< (D )()()x xf t dtg t dt <⎰⎰4.设()f x 是奇函数,除0=x 外处处连续,0=x 是其第一类间断点,则⎰xdt t f 0)(是( ).(A )连续的奇函数 (B )连续的偶函数(C )在0=x 间断的奇函数 (D )在0=x 间断的偶函数. 5.函数x x x x x f ---=32)2()(不可导点有( ). (A )3个 (B )2个 (C )1个 (D )0个.6.若)(),()(+∞<<-∞=-x x f x f ,在)0,(-∞内0)('>x f ,0)(''<x f ,则()f x 在),0(+∞内 有( ).(A )0)('>x f ,0)(''<x f (B )0)('>x f ,0)(''>x f(C )0)('<x f ,0)(''<x f (D )0)('<x f ,0)(''>x f7. 设A 为4阶实对称矩阵,且2A A O +=.若A 的秩为3,则A 相似于( ).(A) 1110⎛⎫ ⎪⎪ ⎪ ⎪⎝⎭ (B) 1110⎛⎫⎪ ⎪ ⎪- ⎪⎝⎭(C) 1110⎛⎫⎪- ⎪ ⎪- ⎪⎝⎭(D) 1110-⎛⎫⎪- ⎪ ⎪- ⎪⎝⎭ 8.设3阶方阵A 的特征值是1,2,3,它们所对应的特征向量依次为123,,ααα,令312(3,,2)P ααα=,则1P AP -=( ).(A )900010004⎛⎫ ⎪ ⎪ ⎪⎝⎭(B )300010002⎛⎫ ⎪ ⎪ ⎪⎝⎭(C )100020003⎛⎫ ⎪ ⎪ ⎪⎝⎭(D )100040009⎛⎫⎪ ⎪ ⎪⎝⎭二、填空题(本题共6小题,每小题4分,满分24分,把答案填在题中横线上) 9. 设()f x 二阶可导,2)0(",1)0(',0)0(===f f f ,则2()limx f x xx→-= . 10.微分方程(e 1)1xy y -'+-=的通解为 . 11.曲线xx xx y cos 25sin 4-+=的水平渐近线为 .12. 设()f x 是连续函数,且1()2()f x x f t dt =+⎰,则()f x = .13.若0sin lim(cos )5x x xx b e a→-=-,则=a ,=b .14.设A 为n 阶矩阵,其伴随矩阵的元素全为1,则齐次方程组0Ax =的通解为 . 三、解答题(本题共9小题,满分94分。
考研数学(数学二)模拟试卷521(题后含答案及解析) 题型有:1. 选择题 2. 填空题 3. 解答题选择题下列每题给出的四个选项中,只有一个选项符合题目要求。
1.设A是m×n矩阵,且方程组Ax=b有解,则A.当Ax=b有唯一解时,必有m=n.B.当Ax=b有唯一解时,必有r(A)=n.C.当Ax=b有无穷多解时,必有m<n.D.当Ax=b有无穷多解时,必有r(A)<m.正确答案:B解析:方程组Ax=b有唯一解的列数,所以(B)正确.注意方程组有方程组Ax=b有无穷多解的列数.当方程组有无穷多解时,不要求方程的个数必须少于未知数的个数,也不要求秩r(A)必小于方程的个数,例如2.若f(χ)∈C[1,+∞),在[1,+∞)内可导,f(1)<0,f′(χ)≥k>0,则在(1,+∞)内f(χ)=0( ).A.至少有一个根B.只有一根C.没有根D.有无根无法确定正确答案:B解析:当χ>1时,由f(χ)-f(1)=f′(ξ)(χ-1)≥k(χ-1)得f(χ)≥f(1)+k(χ-),于是.因为f(χ)在[1,+∞)上连续且f(1)<0,所以f(χ)=0在(1,+∞)内至少有一个根.又因为f′(χ)≥k>0,所以f(χ)单调增加,于是f(χ)=0在(1,+∞)内有且仅有一个根,选B.3.设f(x),g(x)均有二阶连续导数且满足f(0)>0,f′(0)=0,g(0)=0,则函数u(x,y)=f(x)∫1yg(t)dt在点(0,0)处取极小值的一个充分条件是A.f″(0)>0,g′(x)<0(0≤x≤1)B.f″(0)<0,g′(x)>0(0≤x≤1)C.f″(0)>0,g′(x)>0(0≤x≤1)D.f″(0)<0,g′(x)<0(0≤x≤1)正确答案:B解析:利用极值点的充分判别法.由u=f(x)∫1yg(t)dt得若g′(x)>0(0≤x ≤1)g(x)在[0,1]上g(x)>g(0)=0(0<x≤1)∫10g(t)dt<0,又当f″(0)<0时AC—B2>0.因此(0,0)是U(x,y)的极小值点.故选B.4.设f(x,y)为区域D内的函数,则下列命题中不正确的是( ).A.若在D内,有,则f(x,y)≡常数B.若在D内的任何一点处沿两个不共线方向的方向导数都为0,则f(x,y)≡常数C.若在D内有df(x,y)≡0,则f(x,y)≡常数D.若在D内有,则f(x,y)≡常数正确答案:D解析:大家知道,在区域D内在D内任何一点处沿两个不共线方向的方向导数都为0f(x,y)为常数,因此(A)、(B)、(C)正确,仅需考察(D).解在极坐标变换x=rcosθ,y=rsinθ下,有这仅能表示f(x,y)与r无关,不能说明f(x,y)为常数.如则但f(x,y)在D上不恒为常数.5.设f(x)=∫0xarctan(t一x)2dt,g(x)=∫0sinx(3t2+t3cost)dt,当x→0时,f(x)是g(x)的( )A.高阶无穷小。
考研数学(数学二)模拟试卷450(题后含答案及解析) 题型有:1. 选择题 2. 填空题 3. 解答题选择题下列每题给出的四个选项中,只有一个选项符合题目要求。
1.设f(u)为u的连续函数,并设f(0)=a>0.又设平面区域σ1={(x,y)||x|﹢|y|≤t,t≥0},Ф(t)=f(x2﹢y2dxdy.则Ф(t)在t=0处的右导数Ф’﹢﹢(0)=( )A.a.B.2πa.C.πa.D.0.正确答案:D解析:令Dt={(x,y)|x2﹢y2≤t2),于是={(x,y)|x2﹢y2≤}.由于f(u)连续且f(0)=a>0,所以存在T>0,当0﹤t2﹤T时,f(t2)>>0.而当0≤x2﹢y2≤t2﹤T时,f(x2﹢y2)﹥>0.此外,关于3块区域,显然有所以当0﹤t2﹤T时,此外显然有Ф(0)=0.于是有即Ф’﹢(0)=0.2.微分方程y”-2y’﹢y=ex的特解形式为( )A.y*=Aex(A≠0).B.y*=(A﹢Bx)ex(B≠0).C.y*=(A﹢Bx﹢Cx2)ex(C≠0).D.y*=(A﹢Bx﹢Cx2﹢Dx3)ex(D≠0).正确答案:C解析:因为方程右边ex指数上的1是特征方程的二重特征根,故特解形式为y*=Ax2ex(A≠0),即(C)中C≠0的形式.故应选(C).3.设f(x)在x=a处可导,则|f|(x)在x=a处不可导的充分必要条件是( )A.f(a)=0,f’(a)=0.B.f(a)=0,f’(a)≠0.C.f(a)≠0,f’(a)≠0.D.f(a)≠0,f’(a)≠0.正确答案:B解析:若f(a)≠0,则存在x=的某邻域U(a),在该邻域内f(x)与f(a)同号.于是推知,当x∈U(a)时,若f(a)>0,则|f(x)|=f(x);若f(a)﹤0,则|f(x)|=-f(x).总之,若f(a)≠0,|f(x)|在x=a处总可导.其中x→a﹢时取“﹢”x→a -时取“-”,所以f(a)=0时,|f(x)|在x=a处可导的充要条件为|f’(a)|=0,即f’(a)=a.所以当且仅当f(a)=0,f’(a)≠0时,|f(x)|在x=a处不可导,选(B).4.f(x)=在区间(-∞,﹢∞)内零点的个数为( )A.0.B.1.C.2.D.无穷多.正确答案:C解析:f(x)为偶函数,f(0)﹤0,>0,所以在区间(0,)内f(x)至少有1个零点.当x>0时,所以在区间(0,﹢∞)内f(x)至多有1个零点.故在区间(0,﹢∞)内f(x)有且仅有1个零点,所以在区间(-∞,﹢∞)内f(x)有且仅有2个零点.选(C).5.设f(x)在x=x0的某邻域U内有定义,在x=x0的去心邻域内可导,则下述命题:①f’(x0)存在,则f’(x)也必存在.②设f’(x)存在,则f’(x0)也必存在.③设f’(x0)不存在,则’(x0)也必不存在.④设f’(x)不存在,则’(x0)也必不存在.其中不正确的个数为( )A.1.B.2.C.3.D.4.正确答案:D解析:举例说明所述命题没有一个是正确的.①的反例:设所以①不正确,②的反例:设则当x≠0时,f’(x)=0,f’(x)=(存在),而f(x)在x=0处不连续,所以f”(0)不存在.所以②不正确.③的反例,可取与②同一反例,所以③不正确.④的反例,可取与①同一反例,所以④不正确.所以选(D).6.设当x>0时,f(x)连续且严格单调增加,F(x)=∫0x(2t-x)f(t)dt,则F(x)在x>0时( )A.没有驻点.B.有唯一驻点且为极大值点.C.有唯一驻点且为极小值点.D.有唯一驻点但不是极值点.正确答案:A解析:F(x)=∫x0(2t-x)f(t)dt=2∫x0tf(t)dt-x∫x0f(t)dt,F’(x)=2xf(x)-xf(x)-∫x0f(t)dt-xf(x)-∫x0f(t)dt =∫x0[f(x)-f(t)]dt.由于f(x)严格单调增加,可知当t∈(0,x)时,f(x)>f(t),故当x>0时,f’(x)=∫0x[f(x)-f(t))]dt﹥0,也即F(x)在x>0时没有驻点.故应选(A).7.设A,B均是4阶方阵,且r(A)=3,A*,B*是矩阵A,B的伴随矩阵,则矩阵方程A*X=B一定有解的充要条件是( )A.r(B)≤1.B.r(B)≤2.C.r(B)≤3.D.r(B)≤4.正确答案:B解析:由题设条件知,r(A)=3,则r(A*)=1.A*X=B有解r(A*)=r(A*B*)=1r(B*)≤1.而当r(B*)=1时,有可能使r(A*B*)=2.如则r(A*)≠r(A*B*)A*X =B*无解.故r(B*)=0,此时r(B)≤2,有r(A*)=r(A*B*)=1A*X=B*有解.故应选(B).8.设( )A.P1P2A.B.P2P1A.C.AP1P2.D.AP2P1.正确答案:A解析:B是上三角形矩阵,应作初等行变换将A中下三角元素a21=-1,a32=2消为0,故应选(A).填空题9.设y=y(x)是由所确定,则曲线y=y(x)在t=0对应的点处的曲率k=_______.正确答案:解析:10.设un=_______.正确答案:解析:11.正确答案:e-2解析:所以原式=e-2.12.已知y=u(x)x是微分方程的解,则在初始条件|x=2下,上述微分方程的特解是y=_______.正确答案:2xtan(x-2)解析:由y=u(x)x,有于是原方程化为由于初值为x=2,所以在x=2的不包含x=0在内的邻域上,上述方程可改写成以x=2,y=0代入,得u=0,C=-2.从而得特解y=u(x)x=2xtan(x-2).13.圆周x2﹢y2=16与直线L:﹢y=4围成的小的那块弓形状的图形绕该直线L旋转一周生成的旋转体(形如橄榄状)的体积V=______.正确答案:解析:原点到直线L:x﹢y=4的距离所以直线y=2与圆周x2﹢y2=16围成的小的那块弓形状的图形绕直线y=2旋转一周生成的旋转体体积与题中要求的旋转体体积相同.由此有14.设是等价矩阵,则a=______.正确答案:-3解析:由矩阵A与B等价可得r(A)=r(B),其中故a﹢3=0,解得a=-3.解答题解答应写出文字说明、证明过程或演算步骤。
*4.微分方程 y2 yx e 2x 的特解 y 形式为() .*2x*2 x(A) y(ax b)e (B) y ax e(C) y*ax 2 e2x(D) y*( ax2bx)e2 x2016 年考研数学模拟试题(数学二)参考答案一、选择题(本题共 8 小题,每小题 4 分,满分 32 分,每小题给出的四个选项中,只有一 项符合题目要求,把所选项的字母填在题后的括号内) 1.设 x 是多项式 0 P( x)x4ax3bx2cx d 的最小实根,则() .(A ) P ( x 0 ) 0 ( B ) P ( x 0 ) 0 (C ) P ( x 0 ) 0 (D ) P (x 0 ) 0 解 选择 A. 由于 lim P( x)xx 0,又 x 0 是多项式 P(x) 的最小实根,故 P (x 0 )0 .2. 设 limx af ( x) 3x f (a)a1 则函数 f ( x) 在点 x a () .(A )取极大值( B )取极小值( C )可导( D )不可导oo解 选择 D. 由极限的保号性知,存在 U (a) ,当 x U (a) 时,f ( x) 3x f (a)a0 ,当 x a时, f ( x)f (a) ,当 x a 时, f ( x) f (a) ,故 f ( x) 在点 x a 不取极值 .limf ( x) f (a) alimf ( x) f (a)a1x ax x a3x 3( x a)2,所以 f ( x) 在点 x a 不可导 .3.设 f ( x, y) 连续,且满足 f ( x, y) f ( x, y) ,则f (x, y) dxdy (). x 2 y 2 1(A ) 2 1 1 x 21 1 y20 dxf ( x, y)dy ( B ) 2 0dy 1 y 2f ( x, y)dx 1 1 x 2 1 1 y2(C ) 2dx1 x2f ( x, y)dy( D ) 2dyf ( x, y)dx解 选择 B. 由题设知f ( x, y)dxdy 2f ( x, y)dxdy 2 1 0 dy1 y2 1 y 2f ( x, y)dx .x 2 y 2 1 x 2 y 2 1, y 0解 选择 D.A 与B 相似可以推出它们的多项式相似, 它们的特征多项式相等, 故 A ,C 正确,又 A 和 B 为实对称矩阵,且 A 与 B 相似,可以推出 A 与 B 合同,故 B 正确 .8. AA m n , R( A) r , b 为 m 维列向量,则有() .(A) 当 r m 时,方程组 Ax b 有解(B) 当 r n 时,方程组 Ax b 有唯一解(C) 当 m n 时,方程组 Ax b 有唯一解 (D) 当 r n 时,方程组Ax b 有无穷多解解 选择 D. 特征方程 r22r0 ,特征根 r 0, r 2 ,2 是特征根,特解 y *形式为y*x(ax b) e 2 x.5. 设函数 f ( x) 连续,则下列函数中,必为偶函数的是().x x(A )f (t 2)dt( B )f 2(t) dtxx(C )t[ f (t ) f ( t )] dt( D )t [ f (t ) f ( t )] dt解 选择 C. 由于 t[ f (t ) f ( t)] 为奇函数,故x 0t[ f (t) f ( t)]dt 为偶函数 .6. 设在全平面上有 f ( x, y) x0 ,f ( x, y ) y0 ,则保证不等式 f ( x 1 , y 1)f ( x 2 , y 2 ) 成立的条件是( ) (A ) x 1 x 2 , y 1 y 2 . (C ) x 1x 2 , y 1y 2 .(B ) x 1 x 2 , y 1 y 2 . (D ) x 1x 2 , y 1y 2 .解 选择 A.f ( x, y ) xf ( x, y) 关于 x 单调减少,f ( x, y) yf (x, y) 关于 y 单调增加,当 x 1x 2 , y 1y 2 时, f ( x 1 , y 1) f ( x 2 , y 1 ) f ( x 2 , y 2 ) .7.设 A 和 B 为实对称矩阵,且 A 与 B 相似,则下列结论中不正确的是().(A) AE 与 B E 相似 (B)A 与B 合同 (C)AEBE(D)AE BE3233解 选择 A. 当r m 时, r A,b r ( A) ,方程组 Ax b 有解.二、 填空题(本题共 6 小题,每小题 4 分,满分 24 分,把答案填在题中横线上)1 9. lim (1x)xe.x 0x解 答案为e .21 11(1 x)xee xln(1 x) ln(1 ee xx) 1 1limlimelimx 0xx 0x x 0xelim 1 ln(1 x x) 1 elim ln(1 x) x 1 1 elim1 xex 0 x x 0 x 2x 0 2x22u10 设 f 有二阶连续偏导数, uf (x, xy, xyz) ,则.z y22解 答案为 xf 3 x yf x yzf .u xyfz32uxfxy( fx fxz) xfx 2yfx 2yzf3323333233z y11. 设微分方程yy x ( ) 的通解为 y xyx ln Cx,则 ( x).解 答案为1 2 . 将 yxx ln Cx代入微分方程,得(ln Cx)1 ln 2Cx,故(x)1 .x212. 数列nn 中最大的项为.3解 答案为 3 .【将数列的问题转化为函数的问题,以便利用导数解决问题】11ln x 1 ln x1 ln x设 f (x)x x xex, f ( x)e x0 x e ,x2x e 时, f (x) 0 , f (x) 单调增加,故 n e 时, f ( n)nn 递增, 2 最大,x e 时, f (x) 0 , f (x) 单调减少,故 n e 时, f ( n)nn 递减, 33 最大,x3 6 6又 3 9 8 2 ,数列n 3n 的最大项为3 .13. 方程5x 2x dt8 0 在区间(0,1) 内的实根个数为.0 1 t解答案为1. 令f (x) 5x 2 x dt ,f (0) 2 0, f (1) 3 1 dt 0 ,0 1 t 8 0 1 t 8由零点定理知,此方程在区间(0,1) 内至少有一个实根,又调增加,故此方程在区间(0,1) 内有且仅有一个实根. f (x) 511 x80 ,f ( x) 单14. 设n 阶矩阵A 的秩为n 2 ,1, 2 , 3 是非齐次线性方程组Ax b 的三个线性无关的解,则Ax b 的通解为.解答案为1k1 ( 2 1 )k2 ( 3 1 ) ,k1 ,k2 为任意常数.1, 2 , 3 是非齐次线性方程组Ax b 的三个线性无关的解,则21, 3 1 是Ax 0的两个解,且它们线性无关,又n r ( A) 2 ,故 2 1, 3 1 是Ax 0 的基础解系,所以Ax b的通解为1k1 ( 2 1 )k2 ( 3 1 ) .三、解答题(本题共9 小题,满分94 分。
考研数学(数学二)模拟试卷390(题后含答案及解析) 题型有:1. 选择题 2. 填空题 3. 解答题选择题下列每题给出的四个选项中,只有一个选项符合题目要求。
1.下列无穷小中阶数最高的是( ).A.eχ-etanχB.ln(1+2t)dtC.In(1+χ)-sinχD.-1正确答案:B解析:eχ-etanχ=etanχ(eχ-tanχ-1)~χ-tanχ. 因为,所以eχ-etanχ~-χ3;故选B.2.下列命题正确的是( ).A.若f(χ)在χ0处可导,则一定存在δ>0,在|χ-χ0|<δ内f(χ)可导B.若f(χ)在χ0处连续,则一定存在δ>0,在|χ-χ0|<δ内f(χ)连续C.若存在,则f(χ)在χ0处可导D.若f(χ)在χ0的去心邻域内可导f(χ)在χ0处连续,且f′(χ)存在,则f(χ)在χ0处可导,且f′(χ0)=f′(χ)正确答案:D解析:令f(χ=) 得f(χ)在χ=0处可导(也连续). 对任意的a=0f(χ)不存在,所以f(χ)在χ=a处不连续,当然也不可导,即χ=0是f(χ)唯一的连续点和可导点,选项A、B不对;令f(χ)=显然=0,因为f(χ)=0≠f(0),所以f(χ)在χ=0处不连续,当然也不可导,C项不正确;因为f(χ)在χ0处连续且在χ0的去心邻域内可导,所以由微分中值定理有f(χ)-f(χ0)=f′(ξ)(χ-χ0)或者=f′(ξ),其中ξ介于χ0与χ之间,两边取极限得存在,即f(χ)在χ0处可导,且f′(χ0)=f′(χ),故选D.3.下列说法中正确的是( ).A.若f′(χ)f′(0)=-1<0,f′(χ)=-1+2χsin,当χ=(k∈N)时,f′(χ)>0f(χ)在χ=0的任意邻域内都不单调减少,选项A不对;f(χ)在χ=0处取得极大值,但其在χ=0的任一邻域内皆不单调,选项B不对;f(χ)在χ=1处取得极大值,但f(χ)在χ=1处不连续;由f〞(0)存在,得f′(0)存在,又f(χ)为偶函数,所以f′(0)=0,所以χ=0一定为f(χ)的极值点,故选D.4.设δ>0,f(χ)在(-δ,δ)内恒有f〞(χ)>0,且|f(χ)|≤χ2,记I=∫-δδf(χ)dχ,则有( ).A.I=0B.I>0C.I<0D.不能确定正确答案:B解析:因为|f(χ)|≤χ2,所以f(0)=0,由|f(χ)|≤χ2,得0≤||≤|χ|,由夹逼定理得f′(0)=0.由泰勒公式得f(χ)=f(0)+f′(0)χ+,其中ξ介于0与χ之间,因为在(-δ,δ)内恒有f〞(χ)>0,所以I=>0,故选B.5.设f有一阶连续的偏导数,且f(χ+y,χ-y)=4(χ2-χy-y2),则χf′χ(χ,y)+yf′y(χ,y)为( ).A.2χ2-8χy-2y2B.-2χ2+8χy-2y2C.2χ2-8χy+2y2D.-2χ2+8χy+2y2正确答案:D解析:令χ+y=u,χ-y=v,则χ=(u+v),y=(u+v),于是由f(χ+y,χ-y)=4(χ2-χy-y2),得f(u,v)=4uv-u2+v2,故f(χ,y)=4χy-χ2+y2,χf′χ(χ,y)+yf′y(χ,y)=χ(4y-2χ)+y(4χ+2y)=-2χ2+8χy+2y2,选D.6.设f(χ)=χ3-3χ+k只有一个零点,则k的范围是( ).A.|k|<1B.|k|>1C.|k|>2D.k<2正确答案:C解析:f(χ)为三次函数,至少有一个零点,因为函数不单调,故要使函数只有一个零点,必须极小值大于零或极大值小于零,由f′(χ)=3(χ2-1)=0,得驻点χ=±1,且由图形可知,χ=-1’为极大点χ=1为极小点,故f(-1)=2+k<0k<-2,f(1)=-2+k>0k>2,所以选C.7.设.则B等于( ).A.P1P2-1AB.AP1P2-1C.P1AP2-1D.P2-1AP1正确答案:C解析:故选C.8.设A,B为n阶方阵,令A=(α1,α2,…,αn),B=(β1,β1,…,βn),则下列命题正确的A.若矩阵A,B等价,则向量组α1,α2,…,αn,与向量组β1,β1,…,βn等价B.若A,B的特征值相同,则A,B等价C.若AX=0与BX=0同解,则A,B等价D.若A,B等价,则AX=0与BX=0同解正确答案:C解析:由A,B等价得r(A)=r(B),从而向量组α1,α2,…αn与向量组β1,β2,…βn的秩相等,但两向量组秩相等不一定可相互线性表示,即不一定等价,不选A;若A,B特征值相同,r(A)与r(B)不一定相等,从而A,B不一定等价,如:,显然A,B的特征值相同,但r(A)=1≠r(B)=2,故A,B不等价,不选B;若方程组AX=0与BX=0同解,则r(A)=r(B),从而A,B等价,反之不对,应选C.填空题9.=________.正确答案:e解析:.10.已知函数z=u(χ,y)eaχ+by,且=0.若z=z(χ,y)满足方程+z=0,则a=________,b=_______.正确答案:a=1,b=1解析:则a=1,b=1.11.设f(χ)为连续函数,且χ2+y2+z2=∫χyf(χ+y-t)dt,则=_______.正确答案:[f(χ)-f(y)]-(χ+y)解析:χ2+y2+z2=∫χyf(χ+y-t)dt两边对χ求偏导得2χ+2z=f(χ). 再将χ2+y2+z2=∫χyf(χ+y-t)dt两边对y求偏导得2y+2z =f(y) 两式相加得z[f(χ)-f(y)]-(χ+y).12.摆线(a>0.0≤t≤2π)绕χ轴旋转一周所成曲面的表面积为________.正确答案:解析:对[χ,χ+dy][0,2πa],ds=2πy,于是s=.13.微分方程χy′=+y(χ>0)的通解为_______.正确答案:arcsin=lnχ+C解析:由χy′=+y得,令u=,则u+χ,解得arcsinu=lnχ+C,原方程的通解为arcsin=Inχ+C.14.设A为三阶矩阵,其特征值为λ1=-2,λ2=λ3=1,其对应的线性无关的特征向量为α1,α2·α3,令P=(4α1,α2-α3,α2+2α3),则P-1(A*+3E)P为________.正确答案:解析:因为A的特征值为λ1=-2,λ2=λ3=1,所以A*的特征值为μ1=1,μ2=μ3=-2,A*+3E的特征值为4,1,1,又因为4α1,α2-α3,α2+2α3也为A的线性无关的特征向量,所以4α1,α2-α3,α2+2α3也是A*+3E的线性无关的特征向量,所以解答题解答应写出文字说明、证明过程或演算步骤。
考研数学(数学二)模拟试卷305(题后含答案及解析) 题型有:1. 选择题 2. 填空题 3. 解答题选择题下列每题给出的四个选项中,只有一个选项符合题目要求。
1.下列命题①若f(x)在x=x0存在左、右导数且f+’(x0)≠f-’(x0),则f(x)在x=x0处连续②若函数极限则数列极限③若数列极限.则函数极限④若不存在,则不存在中正确的个数是A.1个B.2个C.3个D.4个正确答案:B解析:要逐一分析.若f(x)在x=x0,存在f+’(x0)与f-’(x0)令f(x)在x=x0有连续及左连续→f(x)在x=x0连续,即①正确.由函数极限与数列极限的关系知,若函数极限(n→+∞)均有.若但只有某串A.如f(x)=sinπx,f(n)=0,,但不存在,于是②正确,③不正确.命题④是错误的.当A=0时能存在.例如,若取f(x)=0,则,所以④是错误.因此,只有2个正确.选B.2.设函数f(x)满足f’(0)=0,f’’(0)0,使得A.曲线y=f(x)在区间(一δ,δ)内是凸弧.B.曲线y=f(x)在区间(一δ,δ)内是凹弧.C.函数f(x)在区间(一δ,0]内单调增加,而在区间[0,δ]内单调减少.D.函数f(x)在区间(一δ,O]内单调减少,而在区间[0,δ]内单调增加.正确答案:C解析:由及f’’(0)由极限的保号性质可得存在δ>0,使得当0.这表明当00,而在区间(0,δ)内f’(x)0,g’(0)>0,令,则A.x=0是函数F(x)的极小值点.B.x=0是函数F(x)的极大值点.C.(0,F(0))是曲线y=F(x)的拐点.D.x=0不是函数F(x)的极值点,(0,F(0))也不是曲线),=F(x)的拐点.正确答案:C解析:先求导数F’(x)=f(x)g(x)→F’(0)=0.再求二阶导数F’’(x)=f’(x)g(x)+f(x)g’(x)→F’’(0)=0.于是还要考察F(x)在x=0处的三阶导数:F’’’(x)=f’’(x)g(x)+2f’(x)g’(x)+f(x)g’’(x)→F’’’(0)=2f’(0)g’(0)≠0.因此(0,F(0))是曲线y=F(x)的拐点.故应选C.4.下列反常积分中收敛的是A.①②B.①③C.②④D.③④正确答案:B解析:这四个反常积分中有两个收敛,两个发散.【分析一】找出其中两个收敛的.→①收敛.→③收敛.因此选B.【分析二】找出其中两个发散的,发散,又收敛→②发散.→④发散.因此选B.5.设f(x)在[0,1]有连续导数,且f(0)=0,令,则必有A.B.C.D.正确答案:A解析:考察f(x)与f’(x)的关系.设x∈[0,1],则由牛顿一莱布尼兹公式及f(0)=0,有由积分基本性质,并考虑到,有于是故选A.【分析二】同样考察f(x)与f’(x)的关系.由拉格朗日中值定理知当x∈[0,1]时故选A.6.设D={(x,y)|x+y≥1,x2+y2≤1},则的值为A.B.C.D.正确答案:B解析:【分析一】D由直线x+y=1与圆周x2+y2=1所围成(它位于第一象限),如图.记D1={(x,y)|x2+y2≤1,x≥0,y≥0},D2={(x,y)|x+y≤1,x≥0,y≥0},显然D=D1\D2,于是其中D2关于直线y=x对称,因此故选B.【分析二】直接用极坐标变换(x=rcosθ,y=rsinθ).D的极坐标表示是因此选B.7.a=一5是齐次方程组有非零解的A.充分必要条件.B.充分而非必要条件.C.必要而非充分条件.D.既非充分也非必要条件.解析:n个方程n个未知数的齐次方程组Ax=0有非零解|A|=0.又可见a=一5能保证|A|=0,但|A|=0并不必须a=一5.因而a=一5是充分条件并非必要条件,故应选B.8.设n维列向量矩阵A=E一4ααT,其中E是n阶单位矩阵,若n维列向量β=(1,1,…,1)T,则向量Aβ的长度为A.B.C.nD.n2.正确答案:B解析:利用向量内积可计算出向量的长度.由于又ATA=(E-4ααT)T(E-4ααT)=(E-ααT)(E-ααT)而所以故应选B.注意填空题9.数列极限=______________.正确答案:1解析:【分析一】令f(t)=arctant,则其中ξ∈(n,n+1).注意因此【分析二】属∞.0型的数列极限,转化为型的函数极限后再用洛必达法则,即有=1+0=1.故原数列极限的值为1.10.微分方程(3y一2x)dy=ydx的通解是__________.正确答案:xy2一y3=C,其中C是任意常数.解析:题设的方程是齐次微分方程,令y=xu或x=yu,可把方程化为关于x,u的可分离变量的方程求解.方程又可改写成的形式,这:是以x为未知函数,以y为自变量的一阶线性微分方程.方法1。
考研数学二模拟394一、选择题每小题给出的四个选项中,只有一项符合题目要求.1. 设常数a,b满足则A.B.C.D.正确答案:A[解析一] 由选A.[解析二] 用带皮亚诺余项的麦克劳公式其中因此2. 下列等式中正确的是A.B.C.D.正确答案:C[解析一] 直接证C正确.易知在[-1,1]连续,且是奇函数故选C.[解析二] 指出A、B、D是错的.由于在[0,π]连续,又f(x)≥0,不正确.错误的步骤是应是f(x)在(-∞,+∞)连续,是奇函数可能积分不存在.这里不存在.因为同样道理,是反常积分(瑕积分)x=0是瑕点,是发散的发散.因此B、D均不正确.3. 设y=f(x)在[a,b]上单调,且有连续的导函数,反函数为x=g(y),又α=f(a),β=f(b),A.aβ-bα-A0.B.bβ-aα-A0.C.αβ-bα+A0.D.bβ-aα+A0.正确答案:B[解析]选B.4. 设f(x)在(-∞,+∞)有连续的二阶导数且满足:f(x+h)+f(x-h)=f'(x+h)则A.f(x)只能恒为零.B.C.f(x)为一次多项式.D.f(x)为二次多项式.正确答案:A[解析一] 由令h→0得2f(x)=f'(x)解此微分方程得代入原式得Ce2x+2h+Ce2x-2h=2Ce2x+2h因此,选A.[解析二] 将f(x+h)+f(x-h)=f'(x+h)两边对h求导得f'(x+h)-f'(x-h)=f"(x+h)令h→0得其中a,b为常数,代入原式a(x+h)+b+a(x-h)+b=a即因此选A.5. 设f(x,y)在点P0(x0,y0)的某邻域内有连续的二阶偏导数,又记A=f"xx(x0,y0),B=f"xy(x0,y0),C=f"yy(x0,y0)则下列命题中错误的是A.若f(x0,y0)是极值,则AC-B2≥0.B.若f'x(x0,y0)≠0,则f(x0,y0)不是极值.C.若AC-B2>0,则f(x0,y0)是极值.D.若f(x0,y0)是极小值,则f'x(x0,y0)=0且A≥0.正确答案:C[解析一] f(x,y)在点P0(x0,y0)某邻域有连续二阶偏导数条件下,f(x,y)在P0取极值的必要条件是:f'x(x0,y0)=f'y(x0,y0)=0且AC-B2≥0(否则AC-B2<0,则f(x0,y0)不是极值点).于是A,B正确.若f(x0,y0)是极小值一元函数z=f(x,y0)在x=x0取极小值且(否则A<0f(x0,y0)是极大值.)于是,D正确.因此,选C.[解析二] 在所述条件下,C中缺少必要条件:f'x(x0,y0)=f'y(x0,y0)=0,所以C是错误的.例如,f(x,y)=x2+y2,x0=y0=1,满足AC-B2>0,但f(1,1)=2不是它的极值.6. 累次积分其中a>0为常数,则I可写成A.B.C.D.正确答案:C[解析] 这是把极坐标系下的累次积分转换成Oxy直角坐标系下的累次积分的问题.先将I表成由D的极坐标表示:0≤θ≤π,0≤r≤asinθ即r2=x2+y2≤arsinθ=ay可知如下图.若是先y后x的积分顺序,则于是因此选C.若是先x后y的积分顺序应是7. 已知α,β,γ1,γ2,γ3均为4维列向量,若|A|=|α,γ1,γ2,γ3|=3,|B|=|β,γ1,γ2,γ3|=1,则|A+2B|=A.135.B.45.C.15.D.81.正确答案:A[解析] 由A+2B=(α+2β,3γ1,3γ2,3γ3) 知|A+2B|=27|α+2β,γ1,γ2,γ3|=27(|A|+2|B|)=135.8. 三元二次型x T Ax=(x1+3x2+ax3)(x1+5x2+bx3)的正惯性指数p=A.1.B.2.C.3.D.与a、b有关.正确答案:A[解析] 令有x T Ax=y1y2再令得所以必有p=1.因为所以(1)与(2)都是坐标变换.二、填空题1. 则正确答案:e-1[解析]又因此若对y n作恒等变形,这是求等比数列的和.按公式得其中2. 已知函数y(x)的参数方程是P是曲线y=y(x)上对应参数t=0的点,则曲线y=y(x)在点P处的曲率K=______.正确答案:[解析] 用参数求导法先求出:在点P处因此曲线y=y(x)在点P处的曲率3. 设正值函数f(x)在[1,+∞)连续,则函数在[1,+∞)的最小值点是x=______.正确答案:2[解析]当x>1时,于是进一步考察单调性在,在在[1,+∞)上F(x)在x=2取最小值.求F"(2)在[1,+∞)上唯一的驻点x=2是极小值点,从而也是最小值点.4. 曲线与直线l:y=2x-4从x=1延伸到x→+∞之间的图形的面积A=______.正确答案:[解析]5. 设y=y(x)是y"+4y'+4y=0满足y(0)=0,y'(0)=1的解,则正确答案:[解析] 特征方程λ2+4λ+4=0,特征根λ1=λ2=-2,方程的通解为y=e-2x(C1x+C2)方法一:由初条件y(0)=C2=0,y'(0)=C1=1现求积分方法二:由通解表达式易知,总有因此对原方程两边求积分得再由初值得6. 二次型的规范形是______.正确答案:[解析] 二次型矩阵由矩阵A的特征值:1,3,-2那么经正交变换则二次型标准形为而规范形是用配方法亦可:亦知规范形是规范形由正、负惯性指数决定,而求正、负惯性指数可以通过特征值,也可通过配方法.三、解答题15~23小题,共94分.解答应写出文字说明、证明过程或演算步骤.1. 已知正确答案:[解法一]注意:由条件因此[解法二] 由[解法三] 由已知条件知sin6x-(tanx)f(x)=o(x3)(x→0) 并如同解法一中求得再由泰勒公式代入得化简得两边除以x3并取极限得2. 设f(x)在(a,+∞)连续又存在,求证:f(x)在(a,+∞)有界;正确答案:[证明] 由极限的性质可知,因当x∈(a,a+δ)时,f(x)有界,又在[A,+∞)有界,又因f(x)在[a+δ,A]连续,故有界.因此f(x)在(a,+∞)有界.3. 求证:在(0+∞)有界.正确答案:[证明] f(x)在(0,+∞)连续,又其中e x-1~x(x→0)因此f(x)在(0,+∞)有界.设f(x)在[a,b]有连续的二阶导数,求证:4.正确答案:[证法一]其中代入上式并移项再除以2即得结论.[证法二] 引进辅助函数则F(a)=0,由F"(x)=0(x∈[a,b])及F'(a)=0F'(x)=0(x∈[a,b]),又F(a)=0特别有F(b)=0,即原积分等式成立.5. 若又有f(b)=f'(b)=0,则正确答案:[证法一] 将①式改写成因此[证法二] 引进辅助函数由F(3)(x)=0,x∈[a,b],且F"(b)=0F"(x)=0(x∈[a,b]),又F'(b)=0F'(x)=0(x∈[a,b]),又由F(x)=0(x∈[a,b]),特别F(b)=0,即原积分等式成立.[解析] 要把化为被积函数中含有f"(x)的积分,自然要用分部积分法.为简化计算要注意某些小技巧.6. 求一曲线通过(2,3),它在两坐标轴间的任意切线段被切点平分,求此曲线的方程y=y(x).正确答案:[解] 曲线y=y(x)上点(x,y(x))处的切线方程是Y-y(x)=y'(x)(X-x)其中(X,Y)是切线上点的坐标,切线与y轴的交点是(0,Y):Y-y(x)=-xy'(x)与x轴的交点(X,0):由条件得(Y-y(x))2+x2=(X-x)2+y2即化简得即由xdy+ydx=0得d(xy)=0,xy=c由初值y(2)=3c=6.曲线方程为xy=6.由xdy-ydx=0得不合题意.因此,所求曲线的方程为xy=6.7. 设f(x,y)在区域D上连续,且其中积分区域D是由圆x2+y2=y,x2+y2=4y与直线y=x以及y轴围成的.求f(x,y).正确答案:[解] 求f(x,y)归结为求它是常数,因为A是f(x,y)在D上的积分,于是为求A,将上式两边在区域D上积分得求A归结为求积分区域D如下图,由被积函数与积分区域D的特点,应选极坐标变换:x=rcosθ,y=rsinθ,两边界圆的极坐标方程分别是r=sinθ,r=4sinθD的极坐标表示:于是现把②③代入①式得解出A得因此设u=u(x,t)有二阶连续导数,并满足其中a>0为常数.8. 作自变量替换ξ=x-at,η=x+at,导出u作为ξ,η的函数的二阶偏导数所满足的方程;正确答案:[解] 先由复合函数求导法求出的关系:由上面两式得u作为ξ,η的函数的二阶编导数满足的方程:即9. 求u(x,t).正确答案:[解] 把*式改写成即是连续可微的任意函数,再对ξ积分一次,并注意到积分常数可依赖η,于是得u=f(ξ)+g(η)其中f(ξ)和g(η)是二次连续可微的函数,回到变量x,t得u(x,t)=f(x-at)+g(x+at).10. 设f(x)在[0,1]连续,在(0,1)可导,且求证:至少一点ξ∈(0,1),使得f'(ξ)+ξ2(f(ξ)-ξ)=1.正确答案:[证明] g(0)=f(0)<0,g(1)=f(1)-1<0即g(η)=f(η)-η>0由连续函数的零点定理,现设在[ξ1,ξ2]可导,又F(ξξ2)=0,在[ξ1,ξ2]上可对F(x)用罗尔定理1)=F(即f'(ξ)+ξ2(f(ξ)-ξ)=1.[解析] 即证明(f(x)-x)'+x2(f(x)-x)在零点由此,只需研究在[0,1]或[0,1]内的某个闭区间上是否满足罗尔定理的条件.函数F(x)在这样的闭区间上连续,开区间内可导是明显的,从而关键是验证函数F(x)在[0,1]内某两点函数值相等,为此又只须验证函数在[0,1]上某两点处取值为零.11. 已知齐次线性方程组和同解,求a,b,c的值并求满足x1=x2的解.正确答案:[解] 对方程组(Ⅰ)的系数矩阵A作初等行变换,有可求出(Ⅰ)的基础解系为η1=(-1,1,-4,0)T,η2=(-a,0,-3a,1)T对方程组(Ⅱ)的系数矩阵B作初等行变换,有由于(Ⅰ)与(Ⅱ)同解,r(A)=r(B)知由于(Ⅰ)与(Ⅱ)同解,η1,η2也是(Ⅱ)的基础解系,它应是的解.从而得a=-2,c=2.因此(Ⅰ)与(Ⅱ)的通解是k1(-1,1,-4,0)T+k2(2,0,6,1)T由x1=x2即-k1+2k2=k1知k1=k2所以满足x1=x2的解为:k(1,1,2,1)T,k为任意实数.设A是3阶矩阵,α1,α2,α3是3维列向量,其中α3≠0,若Aα1=α2,Aα2=α3,Aα3=0.12. 证明α1,α2,α3线性无关;正确答案:[解] 设k1α1+k2α2+k3α3=0 (1)因为Aα1=α2,Aα2=α3,Aα3=0,用A左乘(1)式两端,有k1α2+k2α3=0 (2)再用A左乘(2)式两端,有k1α3=0.由于α3≠0,故必有k1=0.把k1=0代入(2)得k2=0.把k1=0,k2=0代入(1)得k3=0.所以α1,α2,α3线性无关.13. 求矩阵A的特征值和特征向量;正确答案:[解] 由于据(Ⅰ)知α1,α2,α3线性无关,即矩阵P=(α1,α2,α3)可逆.从而因为矩阵B的特征值是λ1=λ2=λ3=0,从而矩阵A的特征值是λ=0(三重根).又因r(A)=r(B)=2.所以齐次方程组Ax=0的基础解系仅由n-r(A)=3-2=1个向量构成.即λ=0只有一个线性无关的特征向量.由Aα3=0=0α3,α3≠0,故矩阵A的特征向量为kα3,k≠0.14. 求行列式|A+2E|的值.正确答案:[解] 因为A~B有A+2E~B+2E从而|A+2E|=|B+2E|=8.。
考研数学(数学二)模拟试卷451(题后含答案及解析) 题型有:1. 选择题 2. 填空题 3. 解答题选择题下列每题给出的四个选项中,只有一个选项符合题目要求。
1.设F(x)在x=0的某邻域内连续,且当x→0时,f(x)与xm为同阶无穷小.又设当x→0时,F(x)=∫0xnf(t)dt与xk为同阶无穷小,其中m与n为正整数.则k=( )A.mn﹢n.B.2n﹢m.C.m﹢n.D.mn﹢n-1.正确答案:A解析:当x→0时,f(x)与xm为同阶无穷小,从而知存在常数A≠0,当x →0时,f(x)~Axm,从而,f(xn)~Axnm.于是由题意可知,上式为不等于零的常数,故k=nm﹢n.2.设φ(x)在x=a的某邻域内有定义,f(x)=|x-a|φ(x).则“φ(x)在x=a处连续”是“f(x)在x=a处可导”的( )A.必要条件而非充分条件.B.充分条件而非必要条件.C.充分必要条件.D.既非充分又非必要条件.正确答案:D解析:下面举两个例子说明应选(D).①设φ(x)在x=0处连续,但f(x)=|x|φ(x)在x=0处不可导的例子如下:取φ(x)=1,但f(x)=|x|在x=0处不可导.②设φ(x)在x=0的某邻域内有定义,但在x=0处不连续,而f(x)=|x|φ(x)在x=0处却可导的例子如下:设所以f(x)在x=0处可导,f’(0)=1.3.( )A.等于0.B.等于﹣1.C.等于1.D.不存在.正确答案:C解析:4.设f(x)在x=0处存在二阶导数,且f(0)=0,f’(0)=0,f”(0)≠0.则( ) A.1/2.B.1/3.C.1/4.D.1/5.正确答案:C解析:先作积分变量代换,令x-t=u,则5.设常数a>0,f(x)=.则( )A.当0.B.当0<a<1时,f(x)的最大值是f(0).C.当a≥1时,f(x)的最小值是f.D.当a≥1时,f(x)的最小值是f(0).正确答案:C解析:由题设知f’(x)=ax2’-1,f”(x)=2ax.当0为闭区间[0,]内部的唯一驻点,又因f”(x)>0,故,为极小值,也是最小值.在两端点处,f(0)=0,为最大值,则要比较与0的大小,可见当0时,,故f(0)=0为最大值.故(A),(B)都不正确.当a≥1时,驻点不在闭区间[0,]的内部,故在[0,]内f(x)单调减少,所以f()为最小值.6.设F(u,v)具有一阶连续偏导数,且z=z(x,y)由方程F(,yz)=0所确定.又设题中出现的分母不为零,则( )A.0.B.z.C.1/z.D.1.正确答案:B解析:7.设A是3阶矩阵,有特征值λ1=1,λ2=-1,λ3=0,对应的特征向量分别是ξ1,ξ2,ξ3,k1,k2是任意常数,则非齐次方程组Ax=ξ1﹢ξ2z的通解是( )A.k1ξ1﹢k1ξ2﹢ξ3.B.k1ξ1﹢k2ξ3﹢ξ2C.k1ξ3﹢ξ1-ξ2 .D.k1ξ3﹢ξ1﹢ξ2.正确答案:C解析:由题设Aξ1=ξ2,Aξ2-ξ2,Aξ3=0,知,r(A)=2.因为Aξ3=0,所以ξ3是Ax=0的基础解系.又因A(ξ1-ξ2)=ξ1﹢ξ2,所以ξ1-ξ2是Ax=ξ1﹢ξ2的一个特解,故非齐次方程组Ax=ξ1﹢ξ2的通解为k1ξ3﹢ξ1-ξ2.8.设α=(1,2,3)T,β1=(0,1,1)T,β2=(-3,2,0)T,β3=(-2,1,1)T,β4=(-3,0,1)T,记Ai=αβiT,i=1,2,3,4.则下列矩阵中不能相似于对角矩阵的是( )A.A1.B.A2.C.A3.D.A4.正确答案:D解析:因A1=αβiT≠0,r(Ai)=r(αβiT)≤r(α)=1.故r(Ai)=1,i=1,2,3,4.故λ=0至少是3阶方阵Ai(i=1,2,3,4)的二重特征值.则Ai(i=1,2,3,4)的第三个特征值分别是故知A4的特征值λ1=λ2=λ3=0,但A4≠0不能相似于对角矩阵.应选(D).填空题9.设平面区域D={(x,y)|≤1),则二重积分I==_______.正确答案:2/13解析:画出积分区域D如图所示,其实画不画无所谓,但只要抓住下面几项,经过点(0,1)与(1,0),y由y=1单调减少到y=0,整个D在0≤x≤l,0≤y≤1之内.将该二重积分化为先y后x的逐次积分:10.I=_______.正确答案:解析:11.=_______.正确答案:e2解析:令x-1=u,则12.设z=(1﹢x2y)xy2,则_______.正确答案:-3xy2(1﹢x2y)xy2ln(1﹢x2y)解析:13.微分方程2y”-5y’﹢2y=xe2x的通解为y=_______.正确答案:,其中C1,C2为任意常数解析:对应的齐次方程的通解为设原方程的一个特解为y*=x(Ax﹢B)e2x=(Ax2﹢Bx)e2x,得(y*)’=[2Ax2﹢2(A﹢B)x﹢B]e2x,(y*)”=[4Ax2﹢4(2A﹢B)x﹢2(A﹢2B)]e2x,于是得所以原方程的通解为其中C1,C2为任意常数.如上所填.14.设A=是可逆矩阵,且A-1=,若C=,则C-1=_______.正确答案:解析:经观察,C是由A经初等变换得到的,A的第1,2行互换后,再将第3列加到第1列得到C,即C=E12AE31(1),故C-1=[E12AE31(1)]-1=E31-1(1)A-1E12-1=E31(-1)A-1E12解答题解答应写出文字说明、证明过程或演算步骤。
考研数学二(线性方程组)模拟试卷2(题后含答案及解析)题型有:1. 选择题 2. 填空题 3. 解答题选择题下列每题给出的四个选项中,只有一个选项符合题目要求。
1.设A=(α1,α2,α3,α4)是4阶矩阵,A*为A的伴随矩阵.若(1,0,1,0)T是方程组Ax=0的一个基础解系,则A*x=0的基础解系可为A.α1,α3.B.α1,α2.C.α1,α2,α3.D.α2,α3,α4.正确答案:D 涉及知识点:线性方程组2.设n阶矩阵A的伴随矩阵A*≠0,若ξ1,ξ2,ξ3,ξ4是非齐次线性方程组Ax=B的互不相等的解,则对应的齐次线性方程组Ax=0的基础解系A.不存在.B.仅含一个非零解向量.C.含有两个线性无关的解向量.D.含有三个线性无关的解向量.正确答案:B 涉及知识点:线性方程组3.设A是m×n矩阵,Ax=0是非齐次线性方程组Ax=b所对应的齐次线性方程组,则下列结论正确的是A.若Ax=0仅有零解,则Ax=b有唯一解.B.若Ax=0有非零解,则Ax=b有无穷多个解.C.若Ax=b有无穷多个解,则Ax=0仅有零解.D.若Ax=b有无穷多个解,则Ax=0有非零解.正确答案:B 涉及知识点:线性方程组4.非齐次线性方程组Ax=b中未知量个数为n,方程个数为m,系数矩阵A的秩为r,则A.r=m时,方程组Ax=西有解.B.r=n时,方程组Ax=b有唯一解.C.m=n时,方程组Ax=b有唯一解.D.r<n时,方程组Ax=b有无穷多解.正确答案:A 涉及知识点:线性方程组5.设a1,a2,a3是4元非齐次线性方程组Ax=b的三个解向量,且秩(A)=3,a1=(1,2,3,4)T ,a2+a3=(0,1,2,3)T ,c表示任意常数,则线性方程组Ax=b的通解x=A.B.C.D.正确答案:C 涉及知识点:线性方程组填空题6.设3阶矩阵A的特征值为2,3,λ.若行列式|2A |=-48,则λ=________.正确答案:-1 涉及知识点:线性方程组7.设A,B为3阶矩阵,且|A |=3,|B |=2,|A-1+B|=2,则|A+B-1 |=_____________.正确答案:3 涉及知识点:线性方程组8.设A为3阶矩阵,|A|=3,A*为A的伴随矩阵.若交换A的第1行与第2行得矩阵B,则|BA*|=__________.正确答案:-27 涉及知识点:线性方程组9.若a1,a2,a3,β1,β2都是4维列向量,且4阶行列式|a1,a2,a3,β1|=m,|a1,a2,β2,a3|=n,则4阶行列式|a1,a2,a3,β1+β2|=正确答案:n-m 涉及知识点:线性方程组10.设A,B均为n阶矩阵,|A |=2,|B|=-3,则|2A*B-1|=_______.正确答案:-22n-1/3 涉及知识点:线性方程组11.若4阶矩阵A与B相似,矩阵A的特征值为1/2,1/3,1/4,1/5,则行列式|B-1-E |=_________.正确答案:24 涉及知识点:线性方程组12.设方程有无穷多个解,则a=________.正确答案:-2 涉及知识点:线性方程组解答题解答应写出文字说明、证明过程或演算步骤。
考研数学(数学二)模拟试卷441(题后含答案及解析) 题型有:1. 选择题 2. 填空题 3. 解答题选择题下列每题给出的四个选项中,只有一个选项符合题目要求。
1.函数f(x)=的可去间断点个数为( ).A.0B.1C.2D.3正确答案:C解析:因为f(0-0)≠f(0+0),所以x=0为跳跃间断点;因为f(2-0)=0,f(2+0)=-∞,所以x=2为第二类间断点;故f(x)有两个可去间断点,应选(C).2.设f(x)满足:=0,xf”(x)-x2f’2(x)=1-e-2x且f(x)二阶连续可导,则( ).A.x=0为f(x)的极小值点B.x=0为f(x)的极大值点C.x=0不是f(x)的极值点D.(0,f(0))是y=f(x)的拐点正确答案:A解析:由=0得f(0)=0,f’(0)=0.当x≠0时,由xf”(x)-x2f’2(x)=1-e-2x 得f”(x)=xf’2(x)+再由f(x)二阶连续可导得故x=0为f(x)的极小值点,选(A).3.设f(x)连续,且f(0)=0,f’(0)=3,D={(x,y)|x2+y2≤t2,t>0},且~atb(t→0+),则( ).A.a=1,b=3B.a=π,b=3C.a=1,b=2D.a=π,b=2正确答案:B解析:4.设f(x,y)=则f(x,y)在(0,0)处( ).A.不连续B.连续但不可偏导C.可偏导但不可微D.可微分解析:当(x,y)≠(0,0)时,0≤|f(x,y)|=≤|x|,由迫敛定理得=0=f(0,0),从而f(x,y)在(0,0)处连续,(A)不对;5.考虑二元函数f(x,y)在点(x0,y0)处的下面四条性质:①连续②可微③f’x(x0,y0)与f’y(x0,y0)存在④f’x(x,y)与f’y(x,y)连续若用“P=>Q”表示可由性质P推出性质Q,则有( ).A.②=>③=>①B.④=>②=>①C.②=>④=>①D.④=>③=>②正确答案:B解析:若f(x,y)一阶连续可偏导,则f(x,y)在(x0,y0)处可微,若f(x,y)在(x0,y0)处可微,则f(x,y)在(x0,y0)处连续,选(B).6.设y=y(x)是微分方程y”+(x-1)y’+x2y=ex满足初始条件y(0)=0,y’(0)=1的解,则为( ).A.0B.1C.2D.3正确答案:B解析:因为y(0)=0,y’(0)=1,所以由y”+(x-1)y’+x2y=ex得y”(0)=2,7.设A,B为n阶矩阵,则下列结论正确的是( ).A.若A2~B2,则A~BB.矩阵A的秩与A的非零特征值的个数相等C.若A,B的特征值相同,则A~BD.若A~B,且A可相似对角化,则B可相似对角化正确答案:D解析:由A~B得A,B的特征值相同,设为λ1,λ2,…,λn,且存在可逆矩阵P1,使得P1-1AP1=B,即A=P1BP1-1;因为A可相似对角化,所以存在可逆矩阵P2,使得P2-1AP2=8.设A是n阶矩阵,下列结论正确的是( ).A.设r(A)=r,则A有r个非零特征值,其余特征值皆为零B.设A为非零矩阵,则A一定有非零特征值C.设A为对称矩阵,A2=2A,r(A)=r,则A有r个特征值为2,其余全为零D.设A,B为对称矩阵,且A,B等价,则A,B特征值相同解析:取A=,显然A的特征值为0,0,1,但r(A)=2,(A)不对;设A=,显然A为非零矩阵,但A的特征值都是零,(B)不对;两个矩阵等价,则两个矩阵的秩相等,但特征值不一定相同,(D)不对;选(C).事实上,令AX=λX,由A2=2A得A的特征值为0或2,因为A是对称矩阵,所以A一定可对角化,由r(A)=r得A的特征值中有r个2,其余全部为零.填空题9.极限=________.正确答案:解析:10.设f(x)=exsin2x,则f(4)(0)=________.正确答案:-24解析:11.=________.正确答案:解析:12.y=y(x)由确定,则=________.正确答案:2(e-2-e-1)解析:13.若f(x)=2nx(1-x)n,记Mn=,则=________.正确答案:解析:令f’(x)=2n(1-x)n-2n2x(1-x)n-1=0,得x=,由f(0)=f(1)=0,14.设A=,且ABAT=E+2BAT,则B=________.正确答案:解析:由ABAT=E+2BAT,得ABAT=(AT)-1AT+2BAT,因为AT可逆,所以AB=(AT)-1+2B或B=(A-2E)-1(AT)-1=[AT(A-2E)]-1,解得B=解答题解答应写出文字说明、证明过程或演算步骤。