2020年1月学考选考浙江省绍兴市诸暨市2019~2020学年度第一学期期末考试试题高三数学试题及参考答案
- 格式:docx
- 大小:576.91 KB
- 文档页数:8
诸暨市2019—2020学年第一学期期末考试试题高一英语第一部分:听力(共两节,满分30分)第一节(共5小题;每小题1分,满分5分)听下面5段对话。
每段对话后有一个小题,从题中所给的A、B、C三个选项中选出最佳选项,并标在试卷的相应位置。
听完每段对话后,你都有10秒钟的时间来回答有关小题和阅读下一小题。
每段对话仅读一遍。
1. What color is the man's umbrella?A. Black.B. Brown.C. Blue.2. What does the man want the woman to do?A. Send a letter for him.B. Offer advice on his letter.C. Write a letter of thanks for him.3. Where does the conversation probably take place?A. In a hospital.B. In the woman's house.C. In the woman's office.4. What does the man want to have?A. Chocolate.B. Sweets.C. Icecream.5. What are the speakers talking about?A. Angela's problems.B. Angela's parents.C. Angela's eating habits.第二节(共15小题;每小题1分,满分15分)听下面5段对话或独白。
每段对话或独白后有几个小题,从题中所给的A、B、C三个选项中选出最佳选项,并标在试卷的相应位置。
听每段对话或独白前,你将有5秒钟的时间阅读各个小题;听完后,各小题将给出5秒钟的作答时间。
每段对话或独白读两遍。
听第6段材料,回答第6至第7题。
绍兴一中2019学年第一学期高三期末考试(数学)命题:高三数学备课组一、选择题(本大题共10小题,每小题4分,共40分.在每小题给出的四个选项中,只有一项是符合题目要求的.)1.已知集合⎭⎬⎫⎩⎨⎧=ππcos 2sin ,A ,⎭⎬⎫⎩⎨⎧-+-+-=x x ,x x B sin sin 2cos cos ,则A B I 为( ▲ ) A . {0,1}- B .{1,1}- C .{1}- D .{0} 2.若复数()()14i t i +-的模为52,则实数t 的值为( ▲ )A . 1B . 2C . 2±D .3±3.某几何体的三视图如下图所示,它的体积为( ▲ )A . π192B .π240C . π384D .π5764.设等比数列{a n }的前n 项和为S n ,若S 5=2 S 10,则5151052S S S S +=-( ▲ ) A . 52 B . 92- C . 72 D . 112- 5.已知A 、B 是抛物线x y 42=上异于原点O 的两点,则“·=0”是“直线AB 恒过定点(0,4)”的( ▲ ) A .充分非必要条件 B .充要条件C .必要非充分条件D .非充分非必要条件6.数列921,,,a a a ⋅⋅⋅中,恰好有6个7,3个4,则不相同的数列共有( ▲ )个A .67CB .49C C .39CD .36C 7.已知双曲线]2,2[)0,0(12222∈>>=-e b a by a x 的离心率,则一条渐近线与实轴所构成的角的取值范围是( ▲ )A .⎥⎦⎤⎢⎣⎡4,6ππB .⎥⎦⎤⎢⎣⎡3,6ππC .⎥⎦⎤⎢⎣⎡3,4ππD . ⎥⎦⎤⎢⎣⎡2,3ππ 8.已知函数()()242log ,041234(4)x x f x x x x ⎧<≤⎪=⎨⎪-+>⎩,若方程()(=∈f x t t )R 有四个不同的实数 根1x ,2x ,3x ,4x ,则1x 2x 3x 4x 的取值范围为( ▲ )A .(30,34)B .(30,36)C .(32,34)D .(32,36)9.已知,x y 都是正实数,则44x y x y x y +++的最大值为( ▲ ) A .32 B .43 C . 52 D . 5410.已知在矩形ABCD 中,2AB =,4AD =,E ,F 分别在边AD ,BC 上,且1AE =,3BF =,如图所示, 沿EF 将四边形AEFB 翻折成A EFB '',则在翻折过程中,二面角B CD E '--的大小为θ,则tan θ的最大值为( ▲ )A .325 33B.5 32C.4 33D.4 非选择题部分二、填空题(本大题7小题,多空题每题6分,单空题每题4分,共36分.)11.已知函数()ln 2020f x x x =+,则()1f '= ▲ ,0(12)(1)limx f x f x∆→-∆-∆的值等于 ▲ . 12.已知点P(x,y)满足条件y x z k k y x x y x 3),(02,,0+=⎪⎩⎪⎨⎧≤++≤≥若为常数的最大值为12, 则k = ▲ .13.如果x +x 2+x 3+……+x 9+x 10=a 0+a 1(1+x )+a 2(1+x )2+……+a 9(1+x )9+a 10(1+x )10,则a 9=______ _,10a = ▲ .14.已知A 袋内有大小相同的1个红球和3个白球,B 袋内有大小相同的2个红球和4个白球.现从A 、B 两个袋内各任取2个球,设取出的4个球中红球的个数为ξ,则(1)P ξ== ▲ ,ξ的数学期望为 ▲ .15.抛物线x y 22=顶点为O ,焦点为F ,M 是抛物线上的动点,则MF MO 取最大值时M 点的横坐标为 ▲ . 16.已知ABC ∆中,BC 中点为M,()⊥+,⋅=--2222, CA CN 31=3=AB ,则 B ∠= ▲ ,=MN ▲ . 17.已知函数()222sin 2,2cos 2a a f a a a θθθ++=++()0,,≠∈a R a θ,则函数(),f a θ的值域是 ▲ .三、解答题(本大题共5小题,共74分.解答应写出文字说明、证明过程或演算步骤.)18.(本题满分14分)在ABC ∆中,,,A B C 所对边分别为,,a b c .已知3,b =2()4cos 23sin 23,f x x x =+- (Ⅰ)求()f x 单调递减区间和最大值M ;(Ⅱ)若(),f B M =求ABC ∆面积的最大值.19.(本小题满分15分)如图,ABEF 是等腰梯形, EF AB //,BF AF ⊥,矩形ABCD 和ABEF 所在的平面互相垂直.已知2=AB ,1=EF .(Ⅰ)求证:平面⊥DAF 平面CBF ;(Ⅱ)求直线AB 与平面CBF 所成角的正弦值.20、(本小题满分15分)已知数列{}n a 的前n 项和n S 满足:()121--=n n a S . (Ⅰ)求{}n a 的通项公式; (Ⅱ)设11111n n n c a a +=++-,数列{}n c 的前n 项和为T n . 求证:123n T n >-.21、(本小题满分15分)已知圆S :020422=-++y x x ,T 是抛物线x y 82=的焦点,点P 是圆S 上的动点,Q 为PT 的中点,过Q 作Q G ⊥PT 交PS 于G(1)求点G 的轨迹C 的方程;(2)过抛物线x y 82—=的焦点E 的直线l 交G 的轨迹C 于点M 、N,且满足 364sin =∠⋅MON ON OM ,(O 为坐标原点),求直线l 的方程.22.(本小题满分15分) 对于定义在I 上的函数()y f x =,若存在0x I ∈,对任意的x I ∈,都有()()0f x f x m ≥=或者()()0f x f x M ≤=,则称0()f x 为函数()f x 在区间I 上的“最小值m ”或“最大值M ”. (Ⅰ)求函数2()ln(2)f x x x =-+在]1,0[上的最小值;(Ⅱ)若把“最大值M ”减去“最小值m ”的差称为函数()f x 在I 上的“和谐度G ”, 试求函数()23F x x x a a =-+>(0)在[1,2]上的“和谐度G ”;(Ⅲ)类比函数()f x 的“和谐度G ”的概念, 请求出(,)(1)(1)11x y x y x y y xϕ=--++++在{}(,),[0,1]I x y x y =∈上的“和谐度G ”.。
浙江省绍兴市诸暨市2019-2020学年高一上学期期末物理试卷一、单选题(本大题共17小题,共51.0分)1.下列属于国际单位制中基本单位的是A. sB. NC. m/sD. m/s22.在一段网络视频中,一枚硬币稳稳地立在飞驰高铁的窗台上,保持一段时间不倒,认为视频中硬币处于静止状态所选择的参考系是()A. 远处的高山B. 经过的站台C. 车窗外的树木D. 立硬币的窗台3.如图是一质点做直线运动的v−t图象,据此图象可以得到的正确结论是()A. 质点在第1s末停止运动B. 质点在第1s末改变运动方向C. 质点在第2s内做减速运动D. 质点在第2s内的加速度为2m/s24.下列说法中的“快”,哪个是指加速度较大?()A. 从高速公路走,很快就能到B. 刘翔的110米跨栏是比赛选手中最快的C. 运用ABS新技术,汽车能很快停下来D. 协和式客机能在20000m高空飞行得很快5.下述关于重力与弹力的说法中正确的是()A. 只要物体直接接触就一定产生弹力B. 静止在水平地面上的物体受到向上的弹力是因为物体发生了弹性形变而产生的C. 物体在做竖直上抛时所受重力的施力物体是地球D. 压力、支持力、重力都是同种性质的力6.如图所示,左端固定的两根弹簧的原长分别为l1、l2,劲度系数分别为k1、k2,现用拉力大小为F的力拉弹簧,两弹簧的伸长量之比为()A. l1:l2B. l2:l1C. k1:k2D. k2:k17.下列说法中正确的是()A. 射出枪口的子弹能打到很远的距离,是因为子弹离开枪口后受到一个推力作用B. 甲打乙一拳,乙感到痛,而甲未感受到痛,说明甲对乙施加力,而乙未对甲施力C. 重力就是地球对物体的吸引力D. 重力的方向总是竖直向下的8.两个质量相同的直角楔形物体a和b,分别在垂直于斜边的恒力F1和F2作用下静止在竖直墙面上,如图所示,下列说法正确的是()A. a、b一定都受四个力的作用B. a、b所受摩擦力的方向都是竖直向上C. F1、F2大小可能相等 D. F2一定小于F1 9.日本石头平衡大师Kokei Mikuni能不可思议地将石头堆叠在一起保持静止,下列说法正确的是()A. B石头对A石头的支持力大于A石头对B石头的压力B. B石头对A石头的作用力就是A石头的重力C. B石头对A石头的作用力一定经过A石头的重心D. B石头与A石头之间一定没有摩擦力10.如图所示,某跳伞运动员正减速下落,下列说法正确的是()A. 运动员处于失重状态B. 运动员处于超重状态C. 伞绳对运动员的作用力小于运动员的重力D. 伞绳对运动员的作用力大于运动员对伞绳的作用力11.如图所示,质量为m的等边三棱柱静止在水平放置的斜面上。
浙江省绍兴市诸暨市2019-2020学年九年级上学期科学期末考试试卷一、选择题(每题4分,共60分。
请选出各题中一个符合题意的正确选项,不选、多选、错选,均不给分)1. 下列属于化学变化的是( )A . 面包发酵B . 酒精挥发C . 海水晒盐D . 灯泡发光2.科学实验要规范操作,下列实验操作正确的是( )A . 稀释浓硫酸B . 干燥氧气C . 测定某溶液的pHD . 检查气密性3. 上学前,小明吃了一碗色香味俱全的牛肉面,面中的哪种食材是他整个上午完成各项活动提供能量的主要来源( )A . 牛肉B . 辣椒C . 面条D . 葱花、香菜4. 大力发展核能是解决能源危机的主要出路之一。
下表是核电站工作流程图,关于流程图中各装置的能量转化,正确的是( )A . 核反应堆:核能转化为机械能B . 蒸汽轮机:机械能转化为内能C . 发电机:机械能转化为电能D . 应用:电能转化为机械能5. 小明同学家中种植的植物比正常的植株矮小瘦弱,叶片发黄,你认为应该施加的化肥是( )A . 尿素B . 氯化钾C . 硫酸钾D . 过磷酸钙6. 如图所示,在一个配有活塞的厚玻璃筒里放一小团硝化棉,把活塞迅速压下去,看到棉花燃烧起来,活塞被向上顶起。
关于这个过程说法正确的是( )A . 活塞对棉花做功,使棉花温度升高B . 缓慢压下活塞也能看到同样的实验现象C . 压下活塞的过程中是内能转化为机械能D . 活塞被向上顶起相当于内燃机的做功冲程7. 2019年11月17日,“祥生2019诸暨西施马拉松”如期举行,有来自不同国家和地区的近15000名运动员参与比赛。
跑步过程中运动员部分肌细胞进行无氧呼吸,其产物是( )A . 酒精和二氧化碳B . 乳酸和二氧化碳C . 乳酸D . 二氧化碳和水8. 如图所示,电源电压不变,L 、L 两只灯泡的规格相同。
闭合开关S ,当滑动变阻器的滑片P 都从中点向右滑动的过程中,关于两灯的实际功率,说法正确的是( )A . L 始终比L 小B . L 始终比L 大C . L 和L 都变小D . L 和L 都变大9. “化学棋”游戏规则:①每粒棋子代表一种物质;②吃子:所选棋子能与棋盘(如图)中的某棋子发生反应,则棋盘中的该棋子被吃掉;③连吃:前一次反应的生成物能与另一棋子发生反应时,则该棋子也被吃掉。
浙江省绍兴市诸暨市2019-2020学年高一数学上学期期末考试试题(含解析)一、选择题(本大题共10个小题,每小题4分,共40分)1.设集合–1,{023}1U =,,,,{1,2}A =-,{1,2,3}B =,则()UB A =( )A. {}0B. {}2C. {1,2}-D.{1,1,2,3}-2.13tan6π的值是( )B. D.3.若lgsin 0x =,则x =( ) A. 2()k k Z π∈B. 2()2k k Z ππ+∈ C. 2()2k k Z ππ-∈D.()2k k ππ+∈Z4.下列函数在(0,2)上递增的是( ) A. ()sin 2y x =-B. 2x y e-=C. ()22y x =-D.12y x =-5.比较下列三个数的大小:log a =2log 3b =,3log 2c =( ) A. a b c <<B. b a c <<C. c a b <<D. a c b <<6.函数3()log (2)1x a f x x a -=-++,(0a >且1a ≠)的图象恒过定点P ,P 点坐标为( )A. (2,1)B. (3,2)C. (0,1)D. (3,3)7.对于函数1()1x f x x +=-的性质,下列描述①函数()f x 在定义域内是减函数;②函数()f x 是非奇非偶函数;③函数()f x 的图象关于点(1,1)对称.其中正确的有几项( ) A. 0B. 1C. 2D. 38.设函数()tan f x x =,1244n x x x ππ-≤<<<≤的12,,,n x x x ,不等式()()()()()()12231n n f x f x f x f x f x f x M --+-++-≤恒成立,则M 的最小值是( ) A. 3B. 23C. 1D. 29.已知函数()248f x x x =-+,[1,]x m ∈,4()g x x x=+,[1,]x n ∈,若()f x 与()g x 值域都是[4,5],则点(,)m n 所代表的区域是( )A. B.C. D.10.对任意x ∈R ,不等式sin()cos()04x ax b ππ+⋅+≤恒成立,则()sin a b +和()sin a b -分别等于( ) A.2222B. 2222-C. 2222--D.2222-二、填空题(本大题共7个小题.多空题每题6分,单空题每题4分,共36分) 11.函数y x =____,函数y x=的值域是____________. 44(1)π-=_________,22031(8)3e -⎛⎫-+= ⎪⎝⎭___.13.已知函数20()lg 0x x f x x x ⎧≤=⎨>⎩,则[](10)f f -=_____,若()1f a ≤,则实数a 的取值范围是________. 14.已知tan 2α=,则sin sin 2cos ααα=+_____,33sin sin 2cos ααα=+______ 15.若39log log 2x x=;则x =______. 16.函数sin(2)(0)2y x πϕϕ=+<<图象的一条对称轴在区间(,)63ππ内,则ϕ的取值范围为_______.17.已知函数32()2f x x ax ax =++,对任意两个不等实数12,[1,)x x ∈+∞,都有211212()()0x f x x f x x x ->-,则实数a 的取值范围是______.18.已知4sin 5α=-,且cos 0α>. (1)确定角α的象限并求cos α,tan α的值; (2)求sin()3cos()27sin()cos()2παπαππαα-++-++的值.三、解答题(5小题,共74分;解答题须写出必要的计算、推理或证明过程) 19.已知集合()(){}230|A x x a x a =-⋅--<,{1,2,3}B = (1)若1a =,求AB ;(2)若3a ≠,写出A 对应的区间,并在{1,2}AB =时,求a 的取值范围.20.函数()sin()f x A x ωϕ=+(0,0,[0,2))A ωϕπ>>∈的图象如图所示:(1)求()f x 的解析式; (2)()f x 向右平移6π个单位后得到函数()g x ,求()g x 的单调递减区间; (3)若,2x ππ⎡⎤∈-⎢⎥⎣⎦且6(||)f x ≥,求x 的取值范围. 21.已知函数31()log (0,0)xf x a b a bx-=>>+其定义域内是奇函数. (1)求a ,b 的值,并判断()f x 的单调性(写简要理由,不要求用定义证明);(2)解关于x 不等式42421()()122x x x x f f ---+<.22.已知()222f x x ax =-+.(1)若()f f x ⎡⎤⎣⎦和()f x 有相同的值域,求a 的取值范围;(2)若()0f a <,且0a >,设()f x 在[1,4]上的最大值为()g a ,求()g a 的取值范围.浙江省绍兴市诸暨市2019-2020学年高一数学上学期期末考试试题(含解析)一、选择题(本大题共10个小题,每小题4分,共40分)1.设集合–1,{023}1U =,,,,{1,2}A =-,{1,2,3}B =,则()UB A =( )A. {}0B. {}2C. {1,2}-D.{1,1,2,3}-【答案】A 【解析】 【分析】根据并集与补集的运算求解即可.【详解】由题, {1,1,2,3}A B -⋃=,故()UB A={}0.故选:A【点睛】本题主要考查了并集与补集的运算,属于基础题型. 2.13tan6π的值是( ) A.3B. 3-D.【答案】A 【解析】 【分析】根据诱导公式化简再求解即可. 【详解】13tantan 66ππ==故选:A【点睛】本题主要考查了诱导公式与正切函数值,属于基础题型. 3.若lgsin 0x =,则x =( ) A. 2()k k Z π∈B. 2()2k k Z ππ+∈ C. 2()2k k Z ππ-∈D.()2k k ππ+∈Z【答案】B 【解析】 【分析】根据对数与三角函数的值求解即可.【详解】因为lgsin 0x =,故sin 1x =,故x =2()2k k Z ππ+∈.故选:B【点睛】本题主要考查了对数的基本运算与正弦函数的最大值性质,属于基础题型. 4.下列函数在(0,2)上递增的是( ) A. ()sin 2y x =-B. 2x y e-=C. ()22y x =-D.12y x =- 【答案】B 【解析】 【分析】根据选项中函数特征可以先考虑函数在()22,0t x =-∈-上的单调性直接判断即可. 【详解】设()22,0t x =-∈-,则对A, ()si sin n 2y x t =-=在()2,0t ∈-上先减再增. 对B, 2x t y ee -==在()2,0t ∈-上单调递增.对C, ()222y x t =-=在()2,0t ∈-上单调递减. 对D, 112y x t==-在()2,0t ∈-上单调递减. 故选:B【点睛】本题主要考查了函数的单调区间的判定,属于基础题型.5.比较下列三个数的大小:log a =2log 3b =,3log 2c =( ) A. a b c << B. b a c <<C. c a b <<D. a c b <<【答案】D 【解析】 【分析】根据对数函数的单调性与函数的区间判定即可.【详解】由题, 3log log 2c a ==,又332log 2log 31log 3c b =<=<=.故a c b <<. 故选:D【点睛】本题主要考查了对数函数值的大小判定,利用对数函数单调性以及判断函数值所在的区间分析即可.6.函数3()log (2)1x a f x x a -=-++,(0a >且1a ≠)的图象恒过定点P ,P 点坐标为( )A. (2,1)B. (3,2)C. (0,1)D. (3,3)【答案】B 【解析】 【分析】根据对数函数恒过()1,0,指数函数恒过()0,1求解即可.【详解】由题,当21x -=且30x -=时, 3x =.此时33(3)log (32)12a f a -=-++=.故P 点坐标为(3,2). 故选:B【点睛】本题主要考查了指对数函数的定点问题,属于基础题型. 7.对于函数1()1x f x x +=-的性质,下列描述①函数()f x 在定义域内是减函数;②函数()f x 是非奇非偶函数;③函数()f x 的图象关于点(1,1)对称.其中正确的有几项( ) A. 0 B. 1C. 2D. 3【答案】C 【解析】 【分析】根据函数平移的方法分析函数1()1x f x x +=-与1y x =的关系即可.【详解】因为1122()1111x x f x x x x +-+===+---,故1()1x f x x +=-是由1y x =先横坐标不变,纵坐标变为原来的两倍(此时不影响函数的单调性与对称性)变为2y x=;再向右平移1个单位得到21yx ;再往上平移1个单位得到2()11f x x =+-.其图像为故①错误.②③正确. 故选:C【点睛】本题主要考查了分式函数的图像变换与性质,属于基础题型. 8.设函数()tan f x x =,1244n x x x ππ-≤<<<≤的12,,,n x x x ,不等式()()()()()()12231n n f x f x f x f x f x f x M --+-++-≤恒成立,则M 的最小值是( ) 3 B. 3 C. 1 D. 2【答案】D 【解析】 【分析】根据函数的单调性与正负去绝对值分析即可. 【详解】由题意,必存在{},1,2,3...i x i n ∈使得1210 (4)4i i n x x x x x ππ+-≤<<≤≤<<≤.由()tan f x x =的图像知,在,04π⎡⎤-⎢⎥⎣⎦上单调递减,在0,4⎡⎤⎢⎥⎣⎦π上单调递增. 故()()()()()()12231n n f x f x f x f x f x f x --+-++-()()()()()()12231i i f x f x f x f x f x f x -=-+-++-+()()()()()()1211...i i i i n n f x f x f x f x f x f x +++--+-++-()()()()()()1100244i n i f x f x f x f x f f f f ππ+⎛⎫⎛⎫=-+-≤--+-= ⎪ ⎪⎝⎭⎝⎭.所以2M ≥. 故选:D【点睛】本题主要考查了根据函数的单调性求恒成立的问题,属于中等题型. 9.已知函数()248f x x x =-+,[1,]x m ∈,4()g x x x=+,[1,]x n ∈,若()f x 与()g x 值域都是[4,5],则点(,)m n 所代表的区域是( )A. B.C. D.【答案】C 【解析】 【分析】数形结合分析,m n 分别满足的范围即可.【详解】画出二次函数的图像可得,令()24851,3f x x x x =-+=⇒=.所以当[]2,3m ∈时()f x 值域是[4,5]同理24()55401,4g x x x x x x =+=⇒-+=⇒=,且4()42g x x x x=+=⇒=. 所以当[]2,4n ∈时()f x 值域是[4,5]综上, []2,3m ∈,[]2,4n ∈. 故选:C【点睛】本题主要考查了数形结合分析参数的范围问题,需要算出临界条件,同时分析当参数变化时函数的变化情况.属于中等题型. 10.对任意x ∈R ,不等式sin()cos()04x ax b ππ+⋅+≤恒成立,则()sin a b +和()sin a b -分别等于( ) A.2222B. 2222-C. 2222--D.2222-【答案】B 【解析】【分析】由题意可知,sin()4y x ππ=+与cos()y ax b =+恒异号.再根据三角函数图像性质求解,a b即可. 【详解】因sin()cos()04x ax b ππ+⋅+≤恒成立.故sin()4y x ππ=+与cos()y ax b =+恒异号.由三角函数图像知, sin()4y x ππ=+与cos()y ax b =+只可能是如图的关系,即sin()4y x ππ=+与cos()y ax b =+图像关于x 轴对称.故a π=,cos()y x b π=+且当sin()4y x ππ=+取最大值时,cos()y x b π=+取最小值.此时122,424x k x k k Z ππππ+=+⇒=+∈. 故0012,4k b k k Z πππ⎛⎫++=+∈ ⎪⎝⎭.根据周期性,不妨设00k k ==, 此时344b b πππ+=⇒=.此时有,34b a ππ== 故()72si sin n4a b π=+=-,()2sin 4sin a b π-==故选:B【点睛】本题主要考查了三角函数图像的综合运用,需要根据题意找到两个三角函数之间的关系,再根据取最值时的横坐标分析求解即可.属于中等题型.二、填空题(本大题共7个小题.多空题每题6分,单空题每题4分,共36分)11.函数y =____,函数y=的值域是____________. 【答案】 (1). [)0,+∞ (2). ()0,∞+ 【解析】 【分析】(1) 根据根号下大于等于0求解即可.(2) 0且分母不为0求解即可. 【详解】(1)易得定义域是[)0,+∞(2)00≠,0>,故()0,y=+∞ 故答案为:(1). [)0,+∞ (2). ()0,∞+【点睛】本题主要考查了常见函数的定义域与值域,属于基础题型.=_________,22031(8)3e -⎛⎫-+= ⎪⎝⎭___. 【答案】 (1). 1π- (2). 4- 【解析】 【分析】根据指对数的运算求解即可.【详解】11ππ=-=-(2) ()222033323141(8314)29e -⎛⎫-+= ⎪⎝⎭-+=-+=-. 故答案为:(1). 1π- (2). 4-【点睛】本题主要考查了指数的基本运算,属于基础题型.13.已知函数20()lg 0x x f x x x ⎧≤=⎨>⎩,则[](10)f f -=_____,若()1f a ≤,则实数a 的取值范围是________.【答案】 (1). 2 (2). []1,10-【分析】(1)先求解(10)f -的值再代入对应的区间求解即可. (2)分情况讨论a 的取值范围即可.【详解】(1)[]()2(10)(10)100lg1002f f f f ⎡⎤-=-===⎣⎦.(2)当0a ≤时,由2111a a ≤⇒-≤≤,此时10a -≤≤ 当0a >时,由lg 1010a a ≤⇒<≤,此时010a <≤ 综上, 实数a 的取值范围是[]1,10- 故答案为:(1). 2 (2). []1,10-【点睛】本题主要考查了分段函数的求解与应用,属于基础题型. 14.已知tan 2α=,则sin sin 2cos ααα=+_____,33sin sin 2cos ααα=+______ 【答案】 (1). 12(2). 1 【解析】 【分析】(1)分子分母同时除以cos α再代入tan 2α=求解即可.(2)分子分母同时除以cos α再代入tan 2α=,利用同角三角函数的公式求解即可. 【详解】(1)sin tan 21sin 2cos tan 2222ααααα===+++.(2)()332222sin tan 21sin 2cos sin tan 2cos 2sin cos ααααααααα===+⋅++ 故答案为:(1).12(2). 1 【点睛】本题主要考查了同角三角函数的运用,需要根据题意分子分母同时除以cos α进行求解.属于基础题型. 15.若39log log 2x x=;则x =______. 【答案】4 【解析】利用换底公式化成同底的对数方程求解即可.【详解】因为21393323log log lo 12g log log 2x x x x x ====.故122xx =,即()2404x x x x =⇒-=. 由对数函数定义域有0x >,故4x =. 故答案为:4【点睛】本题主要考查了对数的换底公式与求解.属于基础题型. 16.函数sin(2)(0)2y x πϕϕ=+<<图象的一条对称轴在区间(,)63ππ内,则ϕ的取值范围为_______. 【答案】0,6π⎛⎫⎪⎝⎭【解析】 【分析】先求解对称轴的表达式,再利用x 的范围得出ϕ的取值范围即可. 【详解】由题, sin(2)(0)2y x πϕϕ=+<<的对称轴为22x k πϕπ+=+⇒22k x ππϕ+-=.故262366k k ππϕπππππϕ+-<<⇒-<-<,即66k k πππϕπ-<<+. 因为02πϕ<<所以06πϕ<<.故答案为:0,6π⎛⎫⎪⎝⎭【点睛】本题主要考查了三角函数性质的综合运用,需要根据题意先求解对称轴表达式再代入对应的关系进行求解.属于中等题型.17.已知函数32()2f x x ax ax =++,对任意两个不等实数12,[1,)x x ∈+∞,都有211212()()0x f x x f x x x ->-,则实数a 的取值范围是______.【答案】[)4,-+∞ 【解析】 【分析】 构造函数()()f x g x x=再利用单调性求解即可. 【详解】由题,因为12,[1,)x x ∈+∞,故将211212()()0x f x x f x x x ->-两边同时除以12x x 得121212()()0f x f x x x x x ->-.即()()f x g x x=在[1,)x ∈+∞为增函数.故3222()2x ax axg x x ax a x++==++为减函数.又其对称轴为4a x =-且在[1,)x ∈+∞为增函数.故144aa -≤⇒≥-. 故答案为:[)4,-+∞【点睛】本题主要考查了构造函数利用函数的单调性求解参数的问题,包括二次函数动轴定区间的方法等.属于中等题型.三、解答题(5小题,共74分;解答题须写出必要的计算、推理或证明过程) 18.已知4sin 5α=-,且cos 0α>. (1)确定角α的象限并求cos α,tan α的值; (2)求sin()3cos()27sin()cos()2παπαππαα-++-++的值.【答案】(1)α为第四象限角,34cos ,tan 53αα==-,83=-(2)34【解析】 【分析】(1)根据正余弦的正负分析象限,再根据同角三角函数的关系化简求解即可.(2)利用诱导公式化简后再代入数值计算即可.【详解】(1)因为4sin05α=-<,cos0α>可知角α为第四象限角,43sin45cos,tan35cos35αααα-===-=-.1sin1sinαα=--+33cos cos18553441sin1sin331155αααα=-=-=-=--++-(2)原式cos3cossin sinαααα-=+cos3sin4αα=-=.【点睛】本题主要考查了诱导公式与同角三角函数的化简求值,属于基础题型.19.已知集合()(){}230|A x x a x a=-⋅--<,{1,2,3}B=(1)若1a=,求A B;(2)若3a≠,写出A对应的区间,并在{1,2}A B =时,求a的取值范围.【答案】(1){}3A B⋂=(2)(]1,0a∈-【解析】【分析】(1)求解二次不等式再求交集即可.(2)由题意,分3a>和3a<两种情况进行讨论分析,再列出区间端点满足的关系式求解即可. 【详解】(1)由题意知:{}{}2|680|24=-+<=<<A x x x x x{}3A B∴=(2)[]{}|(2)(3)0A x x a x a=-⋅-+<法一:当3a>时,(3,2)A a a=+,A B=∅,不合题意,当3a<时,()2,3A a a=+,所以,1,2,3A A∈∉,即21,23,33a a a<<++≤(]1,0a∴∈-.法二:当3a>时,(3,2)A a a=+;当3a<时,()2,3A a a=+由1,2,3A A∈∉,得(21)(2)0(22)(1)0(23)0a aa aa a-+<⎧⎪-+<⎨⎪-≥⎩.解得(]1,0a∈-【点睛】本题主要考查了集合的基本运算与根据集合的关系求参数的问题,需要根据题意分参数的范围进行讨论,同时根据题意列出区间端点满足的关系式求解即可.属于中等题型.20.函数()sin()f x A xωϕ=+(0,0,[0,2))Aωϕπ>>∈的图象如图所示:(1)求()f x的解析式;(2)()f x向右平移6π个单位后得到函数()g x,求()g x的单调递减区间;(3)若,2xππ⎡⎤∈-⎢⎥⎣⎦且6(||)f x≥,求x的取值范围.【答案】(1)()2)3f x xπ=+(2)3,44k k k Zππππ⎡⎤++∈⎢⎥⎣⎦.(3){},66xπππ⎡⎤∈-⎢⎥⎣⎦【解析】【分析】(1)根据题意先得2A=,再根据周期求得=2ω,再代点计算得=3πϕ即可.(2)根据三角函数平移的方法求得()g x,再代入单调递减区间求解即可.(3)根据(||)f x ≥sin 23x π⎛⎫+≥ ⎪⎝⎭,再求[]0,x π∈时的解,再根据(||)f x 的对称性求解即可.【详解】(1)由题意知:7,,41234πππ==-=T A 2T ππω∴==即=2ω,2(21)3k πϕπ⋅+=+,02ϕπ≤<,,=3πϕ∴())3f x x π∴=+(2)法一:()2()263g x x x ππ⎡⎤=-+⎢⎥⎣⎦322222k x k ππππ∴+≤≤+,∈k Z 即3,44ππππ⎡⎤∈++∈⎢⎥⎣⎦x k k k Z . 法二:()f x 的一个递减区间是7,1212ππ⎡⎤⎢⎥⎣⎦,周期是π, 则()f x 的递减区间是7,1212ππππ⎡⎤++∈⎢⎥⎣⎦k k k Z 向右平移6π个单位后,()g x 的递减区间是3,44k k k Z ππππ⎡⎤++∈⎢⎥⎣⎦.(3232x π⎛⎫+≥ ⎪⎝⎭即sin 232x π⎛⎫+≥ ⎪⎝⎭ 先考虑[]0,x π∈,则22333x πππ≤+≤或7233x ππ+=. 06即或ππ≤≤=x x由()f x 图象的对称性,得{},66x πππ⎡⎤∈-⎢⎥⎣⎦.【点睛】本题主要考查了根据三角函数图像求解析式与三角函数单调区间和性质的运用,属于中等题型.21.已知函数31()log (0,0)xf x a b a bx-=>>+其定义域内是奇函数. (1)求a ,b 的值,并判断()f x 的单调性(写简要理由,不要求用定义证明);(2)解关于x 不等式42421()()122x x x x f f ---+<.【答案】(1)1a =,1b =31()log 1xf x x-=+是区间(1,1)-上的减函数.见解析(2)01x <<. 【解析】 【分析】(1)先求函数的定义域,再根据奇函数的性质求解即可.(2)根据(1)中31()log 1x f x x -=+,再令422x xt -=,再根据()f x 的性质求解不等式,最后再化成关于x 的不等式求解即可. 【详解】(1)由题意知()f x 定义域:()()1010x x bx a a bx->⇒-+<+,解得(,1)ab -故()f x 是(,1)ab -上的奇函数, (0)0f ∴=,即111a a =∴=31()log 1xf x bx -=+333111()log ()log log ,1111x x bxf x f x b bx bx x+-+-==-=-==-+-此时函数()f x 的定义域为(1,1)-,所以1,1a b ==注:也可以先利用定义域对称求b 的值,再验证()()f x f x -=-3312()log log (1)11x f x x x-==-++ 由于211u x=-+在区间(1,1)-上是减函数,值域为(0,)+∞, 函数3log y u =是区间(0,)+∞上是增函数, 所以31()log 1xf x x-=+是区间(1,1)-上的减函数.(2)令422x xt -=,则原不等式即1()()12f t f t +-<由111112t t -<<⎧⎪⎨-<-<⎪⎩得112t -<< 此时333132132log log log 33112112t t t t t t t t ----⎛⎫⎛⎫+<⇒< ⎪⎪++++⎝⎭⎝⎭, ()(1)(32)3(1)(12)270t t t t t t --<++⇒+>,解得72t <-或0t >. 所以01t <<,420104222x xx x -<<⇔<-<令20x m =>则解22(1)0100(2)(1)0122m m m m m m m m m m m ->⎧><⎧<-⎧⇒⇒⎨⎨⎨-+<-<<-<⎩⎩⎩或故12122x m <<⇒<<. 故解得01x <<【点睛】本题主要考查了对数函数的运算以及奇偶性的运用,同时也考查了根据函数的性质与换元法求解函数不等式的问题.属于难题. 22.已知()222f x x ax =-+.(1)若()f f x ⎡⎤⎣⎦和()f x 有相同的值域,求a 的取值范围;(2)若()0f a <,且0a >,设()f x 在[1,4]上的最大值为()g a ,求()g a 的取值范围. 【答案】(1)(][),21,a ∈-∞-+∞(2)[)2,+∞【解析】 【分析】(1)根据二次函数的最值与对称轴的关系列式求解即可.(2)由()0f a <且0a >可得2=480a ∆->再分情况,画出图像根据临界条件求解对应的a的范围作为分类的依据,再比较最值即可. 【详解】(1)222()()22f x x a a a =-+-≥-当()f x 的最小值在对称轴的左侧(或对称轴位置)时,[]()f f x 的值域也是)22,a ⎡-+∞⎣22a a ∴-≤,即()()210a a +-≥,1a ∴≥或2a ≤-即(][),21,a ∈-∞-+∞(2)()0f a <,22a >,2a ∴>2=480a ∆->.分情况讨论:1.当4a ≥时, {}{}()max (1),(4)max 23,818818g a f f a a a ==--=-.2.24a <<时,{}()max (0),(),(4)g a f f a f ={}2max 23,2,818a a a =---222(818)(4)0a a a ---=->,22(188)(2)(10)a a a a ---=-+.222(23)(1)a a a---=-, 188(32)156a a a---=-所以,当944a≤<时,2()()2g a f a a==-,当924a≤<时,2()()2g a f a a==-,当322a≤<时,()(4)188g a f a==-,32a<<时,()(4)188g a f a==-,综上,)[)[)2188,2()2,2,4818,4,a ag a a aa a⎧-∈⎪⎪=-∈⎨⎪-∈+∞⎪⎩, ([)[)[)()2,182,1414,2,g a∈-+∞=+∞.【点睛】本题主要考查了二次函数的综合问题,包括单调性和值域与对称轴的关系,同时也考查了分类讨论与数形结合的思想.属于难题.。
诸暨市2019-2020学年第一学期期末考试试题高二物理一、选择题Ⅰ(本题共10小题,每小题3分,共30分。
每小题列出的四个备选项中只有一个是符合题目要求的,不选、多选、错选均不得分)1.一位丹麦物理学家曾以《关于磁针上电冲突作用的实验》为题发表他的发现,首次揭示了电与磁的联系,开辟了物理学的新领域——电磁学。
这位物理学家是A .安培B .库仑C .奥斯特D .法拉第2.关于电源和电流,下列说法正确的是A .电源是一种把电势能转化为其他形式的能的装置B .非静电力可以使正电荷在电源内部由负极移至正极C .电源电动势大小跟电源的体积有关,也跟外电路电阻大小有关D .用导线把两个带异号电荷的导体相连,导线中可以产生持续的电流3.将一通电直导线置于匀强磁场中,导线与磁场方向垂直,下列四幅图中,磁场方向、电流方向和导线所受安培力方向三者关系正确的是4.如图所示,一正方形导线框处于范围足够大的匀强磁场中,下列四幅图中,线框的运动能产生感应电流的是A .将正方形导线框绕竖直轴匀速转动B .将正方形导线框绕水平轴匀速转动C .将正方形导线框平行于磁场向左平移D .将正方形导线框平行于磁场向上平移B vCBvDωB AB BωABCDFI BF I B×IBFIF B=e 4002100sin V t π5.在变电所里,经常要用交流电表去测量电网上的强电流,使用的仪器是电流互感器。
如图所示,能正确反映电流互感器工作原理的是6.如图所示,在真空中,绝缘杆连接的两个带等量异种电荷的小球,杆上O 点离+q 较远。
当杆绕O 点在竖直平面内顺时针方向匀速转动,下列说法正确的是A .-q 形成的等效电流方向为顺时针B .-q 形成的等效电流比+q 形成的大C .O 点的磁感应强度大小为零D .O 点的磁感应强度方向垂直纸面向外7.如图所示,一个可绕竖直圆心轴转动的水平金属圆盘,圆盘中心O 和圆盘边缘D 通过电刷与螺线管相连,螺线管右侧有竖直悬挂的铜环,匀强磁场垂直于圆盘平面向上,从上向下看,圆盘为逆时针方向匀速转动,则下述结论中正确的是A .金属圆盘上各处的电势相等B .圆盘上的电流由边缘流向圆心C .螺线管内部的磁场从F 指向E D .铜环中有恒定的感应电流产生8.如图所示,200匝闭合矩形线圈绕垂直于磁场的轴以100rad/s 的角速度匀速转动,已知磁感应强度大小为21.0T ,线圈面积为0.2m 2,保险丝允许通过的最大电流为10A ,理想变压器的副线圈并联“220V ,100W ”的灯泡,且灯泡能够正常发光,不计导线和线圈的电阻,图示位置开始计时,则下列说法正确的是A .图示为线圈的中性面位置B .交流电压表示数为2400VC .线圈电动势表达式D .理想变压器的副线圈能够并联40个灯泡+qO-qωV保险丝BAAωB螺线管铜环圆盘O D EF B ACADA9.如图所示是有两个量程的电压表,当使用a 、b 两个端点时,量程为0-10V ,当使用a 、c两个端点时,量程为0-100V 。
绍兴一中2019学年第一学期期末考试高三语文试卷参考答案1.C (A笏hù;B煌煌;C坊fāng)2.A (句子前后不是因果关系)3.B (《仁者爱人》)4.C (A“房产和不动产”并列不当;B语序不当,应为“绝不认同,绝不容忍”;D成分残缺,“其背后深藏了某种职业倦怠和精神困顿”中“了”改为“的”。
)5.①不能随便相信网上的方法②立刻用水冲洗烫伤部位③不仅没有用处6.“儒”:左边是“人”,右边是“需”,合起来仿佛是说“人需要”的意思。
这分明是说要满足自己精神的需求,积极进取主动担当,即“拿得起”。
(3分)“道”:左边(外面)是“走”,右边(里面)是“首”,合起来仿佛是说要“走脑子”的意思。
这分明是说脑中要想透彻,依道而行顺应规律,即“想得开”。
(3分)7.B (“重阳节寓含惜秋敬老及对老师的感恩”错,重阳节寓含惜秋敬老,教师节寓含对教师的感恩。
)8.D (“材料三还阐述了……形成原因”无中生有,材料三没有阐述清明、端午、中秋等传统节日的形成原因。
)9.①挖掘传统节日的文化内涵,使传统节日和其蕴含的文化内涵紧密相连。
②通过各种媒体特别是课堂教学广为宣传,让人们充分了解传统节日文化。
③要有创新意识,赋予传统节日新的内涵,如:七夕节上叠加中华情侣节,重阳节上叠加父亲节。
④调动社会各界的力量,人人倡导和参与,形成良好氛围。
(每点1分)解析:应该如何加强传统节日建设,可以结合材料中的相关信息,如“我们应重新认识和建设我们的传统节日,通过多种形式还原这些节日的文化内涵,这需要社会各界的倡导和参与”“‘你通过哪些途径了解传统节日文化’表格显示的信息”“这些节日除了有计时功能之外,更重要的是人们赋予了这些节日以特殊的情感内涵和需求”分析得出。
10.①接地气,有京味儿,口语化。
②个性化,符合人物性格特点。
③语言简洁平淡,自然素朴,且多用短句,不事雕琢但充满韵味。
④语言生动幽默。
⑤小说语言呈现出“散文化”“笔记小说”的特点,淡化矛盾淡化情节,节奏舒缓,徐徐道来,展现市井百态。
2019-2020学年浙江省绍兴市诸暨市高三(上)期末数学试卷一、选择题1.(3分)若{|1}P x x =<,{|0}Q x x =>,全集为R ,则( ) A .P Q ⊆B .Q P ⊆C .R Q C P ⊆D .R C P Q ⊆2.(3分)双曲线2213y x -=的焦点坐标为( )A .(B .(2,0)±C .(0,D .(0,2)±3.(3分)已知a ,b R ∈,i 是虚数单位,a ibi a i-=+,则b 可取的值为( ) A .1B .1-C .1或1-D .任意实数4.(3分)已知公比为q 的等比数列{}n a 的首项10a >,则“1q >”是“53a a >”的( ) A .充分不必要条件 B .必要不充分条件 C .充要条件 D .既不充分也不必要条件5.(3分)已知203a <<,随机变量ξ的分布列如图:则当a 增大时,ξ的期望()E ξ变化情况是( )A .()E ξ增大B .()E ξ减小C .()E ξ先增后减D .()E ξ先减后增6.(3分)若函数()2sin()(06,||)2f x x πωϕωϕ=+<<<的图象经过点(,2)6π和2(,2)3π-,则要得到函数()2sin g x x ω=的图象,只需把()f x 的图象( )A .向左平移6π个单位 B .向左平移12π个单位 C .向右平移6π个单位D .向右平移12π个单位7.(3分)某几何体的正视图与侧视图如图所示:则下列两个图形①②中,可能是其俯视图的是( )A .①②都可能B .①可能,②不可能C .①不可能,②可能D .①②都不可能8.(3分)已知a ,0b >,1a b +=,则12211a b +++的最小值是( ) A .95B .116C .75D .221+9.(3分)正四面体A BCD -中,BCD 在平面α内,点E 在线段AC 上,2AE EC =,l 是平面α的垂线,在该四面体绕CD 旋转的过程中,直线BE 与l 所成角为θ,则sin θ的最小值是( )A 7B 3C 221D 7 10.(3分)已知函数2()f x x x b =-++的定义域为[0,1],值域包含于区间[0,1],且存在实数00102x y <剟满足:00(2)f x y =,00(2)f y x =,则实数b 的取值范围是( ) A .3[0,]4B .13[,)44C .33(,]164D .31(,]164二、填空题11.(3分)已知函数221,1(),1x x f x x x +<⎧=⎨⎩…,则1(())2f f = ;若f (a )1=,则a = .12.(3分)若二项式(3)n x x-展开式各项系数和为64,则n = ;常数项为 .13.(3分)若实数x ,y 满足约束条件24010x y x y x y +-⎧⎪-⎨⎪+⎩„„…,则2x y +的最大值是 ;若01a <<,且ax y +的最大值为3,则a = .14.(3分)在ABC ∆中,角A ,B ,C 所对的边为a ,b ,c ,点D 为边AC 上的中点,已知5a =,7b =,8c =,则cos B = ;BD = .15.(3分)用0,1,2,3,4组成没有重复数字的四位数,其中奇数有 个.16.(3分)已知a r,b r 是不共线的两个向量,若对任意的m ,n R ∈,||a mb +r r 的最小值为1,|(1)|2n n a b -+rr 的最小值为1,若4a b =r r g ,则a r ,b r 所成角的余弦值为 .17.(3分)已知A ,B 分别是椭圆2212x y +=的右顶点,上顶点,P 是椭圆在第三象限一段弧上的点,PA 交y 轴于M 点,PB 交x 轴于N 点,若//MN AB ,则P 点坐标为 . 三、解答题18.已知函数2()2sin cos 23sin 3f x x x x =-+. (1)求函数()f x 在区间[0,]2π上的值域;(2)设(,)2παπ∈,10()213f α=,求sin α的值.19.已知四棱锥P ABCD -中,底面ABCD 为矩形,平面PAD ⊥平面ABCD ,2PA PD AD ===,点E ,F 分别是PD ,AB 的中点.(1)求证://AE 平面PFC ;(2)若CF 与平面PCD 所成角的余弦值等于6,求AB 的长.20.数列{}n a 是公比为正数的等比数列,12a =,2312a a +=;数列{}n b 前n 项和为n S ,满足23b =,(1)()2n n nS b n N +=+∈.(Ⅰ)求1b ,3b 及数列{}n a ,{}n b 的通项公式; (Ⅱ)求112233n n a b a b a b a b +++⋯+.21.已过抛物线2:4C x y =的焦点F 作直线l 交抛物线C 于A ,B 两点,以A ,B 两点为切点作抛物线的切线,两条直线交于P 点. (1)当直线l 平行于x 轴时,求点P 的坐标; (2)当||2||PA PB =时,求直线l 的方程. 22.已知函数111()(1)4x x f x e e ax a ++=-+-,其中 2.718e =⋯是自然对数的底数,()()g x f x '=是函数()f x 的导数.(1)若()g x 是R 上的单调函数,求a 的值; (2)当78a =时,求证:若12x x ≠,且122x x +=-,则12()()2f x f x +>.2019-2020学年浙江省绍兴市诸暨市高三(上)期末数学试卷参考答案与试题解析一、选择题1.(3分)若{|1}P x x =<,{|0}Q x x =>,全集为R ,则( ) A .P Q ⊆B .Q P ⊆C .R Q C P ⊆D .R C P Q ⊆【解答】解:{|1}P x x =<Q ,{|0}Q x x =>,全集为R , {|1}R C P x x Q ∴=⊆…,故选:D .2.(3分)双曲线2213y x -=的焦点坐标为( )A .(B .(2,0)±C .(0,D .(0,2)±【解答】解:Q 双曲线2213y x -=,24c ∴=,(2,0)F ∴±,故选:B .3.(3分)已知a ,b R ∈,i 是虚数单位,a ibi a i-=+,则b 可取的值为( ) A .1 B .1-C .1或1-D .任意实数【解答】解:Qa ibi a i-=+,()a i a i bi b abi ∴-=+=-+g, ∴1a b ab =-⎧⎨=-⎩,解得11a b =-⎧⎨=⎩或11a b =⎧⎨=-⎩,故选:C .4.(3分)已知公比为q 的等比数列{}n a 的首项10a >,则“1q >”是“53a a >”的( ) A .充分不必要条件 B .必要不充分条件 C .充要条件D .既不充分也不必要条件【解答】解:依题可知2533(1)0a a a q -=->,10a >,30a ∴>,1q ∴>或1q <-, 故选:A .5.(3分)已知203a <<,随机变量ξ的分布列如图:则当a 增大时,ξ的期望()E ξ变化情况是( )A .()E ξ增大B .()E ξ减小C .()E ξ先增后减D .()E ξ先减后增【解答】解:依题可知1()323E b a b ξ⎧=-+⎪⎪⎨⎪+=⎪⎩,∴12()33E a ξ=-+-, ∴当a 增大时,ξ的期望()E ξ减小.故选:B .6.(3分)若函数()2sin()(06,||)2f x x πωϕωϕ=+<<<的图象经过点(,2)6π和2(,2)3π-,则要得到函数()2sin g x x ω=的图象,只需把()f x 的图象( )A .向左平移6π个单位 B .向左平移12π个单位 C .向右平移6π个单位D .向右平移12π个单位【解答】解:因为函数()2sin()f x x ωϕ=+的图象经过点(,2)6π和2(,2)3π-,可知这两点分别为图象的最高点和最低点, 有22362T T ππππ=-=⇒=,由2T πω=,可得2ω=,满足06ω<<. (注:若这两点不为函数图象相邻的最高点和最低点,则得出的ω不满足06)ω<<. 再将点(,2)6π代入()2sin()f x x ωϕ=+求得6πϕ=,所以()2sin(2)2sin[2()]612f x x x ππ=+=+向右平移12π个单位可得到()2sin 2g x x =.故选:D .7.(3分)某几何体的正视图与侧视图如图所示:则下列两个图形①②中,可能是其俯视图的是( )A.①②都可能B.①可能,②不可能C.①不可能,②可能D.①②都不可能【解答】解:当俯视图为①时,该几何体是三棱锥,如图1所示;当俯视图是②时,该几何体是棱锥和圆锥的组合体,如图2所示;所以①②都有可能.故选:A.8.(3分)已知a,0b>,1a b+=,则12211a b+++的最小值是()A.95B.116C.75D.221+【解答】解:a Q ,0b >,1a b +=,∴由权方和不等式可得2119(2)122922215211151222a b b a a b ++=+==+++++++…,122(2a =+,“=”),故选:A .9.(3分)正四面体A BCD -中,BCD 在平面α内,点E 在线段AC 上,2AE EC =,l 是平面α的垂线,在该四面体绕CD 旋转的过程中,直线BE 与l 所成角为θ,则sin θ的最小值是( )A 7B 3C 221D 7 【解答】解析:相对运动,让正四面体A BCD -保持静止,平面α绕着CD 旋转, 故其垂线l 也绕着CD 旋转,取AD 上的点F ,使得2AFDF=, 连接//EF EF CD ⇒,等价于平面α绕着EF 旋转,在BEF ∆中,2BC =,27BE BF =,43EF =,22227427(()()7333cos 2742BEF +-∠==⨯⨯. 如下图所示,将问题抽象为几何模型,平面的垂线可看作圆锥底面半径EP ,绕着圆锥的轴EF 旋转,故选:A .10.(3分)已知函数2()f x x x b =-++的定义域为[0,1],值域包含于区间[0,1],且存在实数00102x y <剟满足:00(2)f x y =,00(2)f y x =,则实数b 的取值范围是( ) A .3[0,]4B .13[,)44C .33(,]164D .31(,]164【解答】解:(代数消元)Q 20000(2)42f x x x b y =-++=,① 20000(2)42f y y y b x =-++=,②两式相减可得220000000034()2()4x y x y y x x y --+-=-⇒+=, 故可得00313[,)448x y =-∈, 代入①可得2003434b x x =-+对称轴为38,故可得31(,]164b ∈,故选:D . 二、填空题11.(3分)已知函数221,1(),1x x f x x x +<⎧=⎨⎩…,则1(())2f f = 4 ;若f (a )1=,则a = .【解答】解:Q 1()22f =,∴1(())(2)42f f f ==;故1(())42f f =;若1a <,则2110a a +=⇒=;若1a …,则211a a =⇒=, 故0a =或1.故答案为:4,0或1,.12.(3分)若二项式(3)n x x -展开式各项系数和为64,则n = 6 ;常数项为.【解答】解:二项式(3)n x x-中,令1x =,则264n =,解得6n =; 所以展开式的通项公式为1366622166(3)()(1)3r rrrrr rr T C x x C x----+=-=-,令3602r -=,解得4r =,所以展开式的常数项为4426(1)3135C -=. 故答案为:6,135.13.(3分)若实数x ,y 满足约束条件24010x y x y x y +-⎧⎪-⎨⎪+⎩„„…,则2x y +的最大值是 5 ;若01a <<,且ax y +的最大值为3,则a = .【解答】解:可行域的三个交点:11(,)22A -,(2,1)B ,(4,4)C -,则2x y +在(2,1)B 处取到最大值, 故2x y +的最大值是5;y ax =-Q ,10a -<-<,若112a -<--„,点(2,1)B 处取到最大值,则2131a a +=⇒=(舍); 若102a -<-<,点(4,4)C -处取到最大值,则14434a a -+=⇒=,故14a =. 故答案为:5,14.14.(3分)在ABC ∆中,角A ,B ,C 所对的边为a ,b ,c ,点D 为边AC 上的中点,已知5a =,7b =,8c =,则cos B = 12;BD = . 【解答】解:1:向量法由题意2222564491cos 22582a c b B ac +-+-===g g ,1()2BD BA BC =+u u ur u u u r u u u r ,平方,得到221129||(||||2||||cos )4BD BA BC BA BC B =++=u u u r u u u r u u u r u u u r u u u r g , 故填:12,129.解:2:平行四边形法则倍长中线,由平行四边形法则,得到2222(2)2()BD AC BA BC +=+, 即21294BD =,即129BD =解析3:余弦定理由题意2222564491cos 22582a cb B ac +-+-===g g ,因为cos cos 0ADB CDB ∠+∠=,则222222022AD BD AB DC BD BC BD AD BD DC+-+-+=g g ,代入数据,得到21294BD =,即129BD =故填:12129故答案为:1212915.(3分)用0,1,2,3,4组成没有重复数字的四位数,其中奇数有 36 个. 【解答】解:特殊位置优先考虑.先考虑末尾,有12C 种,再考虑首位非零,13ð,剩下的两个位置有23A 种,则由分步乘法计数原理,得到共有奇数11223336C C A =g g 种,故答案为:36.16.(3分)已知a r,b r 是不共线的两个向量,若对任意的m ,n R ∈,||a mb +r r 的最小值为1,|(1)|2n n a b -+rr 的最小值为1,若4a b =r r g ,则a r ,b r 所成角的余弦值为. 【解答】解:Q 2222()8a mb b m m a +=++r r r r,m R ∈,∴当24m b=-r 时,2226()1min a mb a b+=-+=rrrr ,即22216a b b =+rrr , Q 222222[(1)](4)(2)24n b n a b a n a n a -+=+---+r r r r r r,n R ∈,∴当222244a n b a -=+-r r r 时,222222(2)[(1)]1244min n a n a b a ba --+=-+=+-r r r r r r ,即22224ab b a =+r r r r,∴2222222||216||4a a b b b a b b a =⎧⎧=+⎪⎪⇒⎨⎨==+⎪⎪⎩⎩r r r r rr r r r ,∴cos ||||a b a b θ==r r g r r g. 17.(3分)已知A ,B 分别是椭圆2212x y +=的右顶点,上顶点,P 是椭圆在第三象限一段弧上的点,PA 交y 轴于M 点,PB 交x 轴于N 点,若//MN AB ,则P 点坐标为(1,- . 【解答】解:法一:椭圆2212x y +=在坐标轴上进行仿射变换:设2m x =,n y =,从而得到圆方程:221m n +=.显然P是圆在第三象限弧的中点(满足题意,即m x ==n y ==,可得1x =-,y =故答案为:(1,-. 法二:(常规方法)设点(P m ,)(0n m <,0)n <,A ,(0,1)B -, 直线PA方程:y x =-,PA 交y轴于点M ,直线PB 方程:11n y x m -=+,PB 交x 轴于点(,0)1mN n --,利用MN AB K K =,=,化简可得2222n n m -=,又因为点(,)P m n 在椭圆上,所以2212m n +=,可得212m n =--代入22222n n m m -=-, 化简可得(1)(1)(2)0(0)m m m m m -+-=<,得1m =-,2n =-, 故答案为:2(1,)--.三、解答题18.已知函数2()2sin cos 33f x x x x =-+. (1)求函数()f x 在区间[0,]2π上的值域;(2)设(,)2παπ∈,10()213f α=,求sin α的值.【解答】解:(1)()sin 23cos22sin(2)3f x x x x π==+,当[0x ∈,]2π时,42333x πππ+剟, 即当4233x ππ+=时,函数取得最小值为42sin 33y π==- 当232x ππ+=时,函数取得最大值为2sin22y π==,所以,此时()f x 的值域为[3,2]-.(2)因为10()2sin()2313f απα=+=,所以5sin()313πα+=,54633πππα<+<, 所以12cos()313πα+=-,5123sin sin[()]sin()cos cos()sin 333333ππππππαααα+=+-=+-+=19.已知四棱锥P ABCD -中,底面ABCD 为矩形,平面PAD ⊥平面ABCD ,2PA PD AD ===,点E ,F 分别是PD ,AB 的中点.(1)求证://AE 平面PFC ;(2)若CF 与平面PCD所成角的余弦值等于6,求AB 的长.【解答】解:(1)证明:取PC 的中点M ,连接MF ,NE ,E Q ,M 分别为PD ,PC 的中点,//EM DC ∴,12EM DC =,ABCD Q 为矩形,//EM AF ∴,EM AF =,∴四边形AFEM 是平行四边形,//AE FM ∴,AE ⊂/平面PFC ,又FM ⊂Q 平面PFC ,//AE ∴平面PFC . (2)解:取AD 的中点O ,2PA PD AD ===Q ,PO AD ∴⊥,3PO =Q 平面PAD ⊥平面ABCD ,平面PAD ⋂平面ABCD AD =,PO ∴⊥平面ABCD ,以O 为原点,OA 为x 轴,在平面ABCD 中过O 作AD 的垂线为y 轴,OP 为z 轴,建立如图坐标系,设2AB a =,则3)P ,(1D -,0,0),(1C -,2a ,0),(1F ,a ,0), ∴(1,0,3)PD =-u u u r ,(0,2,0)DC a =u u u r,设平面PCD 的法向量(n x =r,y ,)z ,则3020n PD x z n DC ax ⎧=--=⎪⎨==⎪⎩u u u r r g u u u r r g ,取3x =PCD 的法向量(3,0,1)n =-r , (2,,0)FC a =-u u u r,设CF 与平面PCD 所成角为α,CFQ与平面PCD所成角的余弦值等于6,22||236sin1()4||||44CF nCF n aα∴===-+u u u r rgu u u r rg g,解得25a=,(舍负).故AB的长为45.20.数列{}na是公比为正数的等比数列,12a=,2312a a+=;数列{}nb前n项和为nS,满足23b=,(1)()2n nnS b n N+=+∈.(Ⅰ)求1b,3b及数列{}na,{}nb的通项公式;(Ⅱ)求112233n na b a b a b a b+++⋯+.【解答】解:(Ⅰ)解法1:(数列定义)易知2231()12a a a q q+=+=,解得2q=或3q=-,又公比为正数,则2q=,故112n nna a q-==,n N+∈;1111(1)12S b b=+⇒=,333334(1)52S b b b=+=+⇒=,(1)2n nnS b=+,则111(1)2n nnS b---=+,2n…,两式相减得1(2)(1)1n nn b n b--=--,则12(3)(2)1n n n b n b ---=--,3n …,同理两式相减得122n n n b b b --=+,3n …(注1:b ,3b 也符合),则{}n b 为等差数列,故21n b n =-,n N +∈. 解法2:(数学归纳法)易知2231()12a a a q q +=+=,解得2q =或3q =-,又公比为正数,则2q =,故112n n n a a q -==,n N +∈;1111(1)12S b b =+⇒=,333334(1)52S b b b =+=+⇒=,猜想21n b n =-,n N +∈,用数学归纳法证明. ①当1n =时,11b =成立;②假设当n k =时,21k b k =-成立, 当1n k =+时,211111(1)2k k k k k k S b k b S b +++++=+=+=+,则21(1)21k k b k k +-=--,即121k b k +=+,故当1n k =+时,结论也成立.由①②可知,对于任意的*n N ∈,21n b n =-均成立; (Ⅱ)解法1:(错位相减法求和) 由(1)可知(21)2n n n a b n =-g ,112233123458(21)2n n n n T a b a b a b a b n =+++⋯+=+++⋯+-g g g g , 121438516(21)2n n T n +=+++⋯+-g g g g , 相减可得1114(12)22(482)(21)222(21)212n nn n n T n n -++--=+++⋯+--=+---g g g ,化简可得16(23)2n n T n +=+-g . 解法2:(裂项求和)由(1)可知(21)2n n n a b n =-g ,注意到1(21)2(23)2(25)2n n n n n n +-=---g g g ,11112233[14(3)2][8(1)4][3168][(23)2(25)2]6(23)2n n n n n n T a b a b a b a b n n n ++=+++⋯+=---+--+-+⋯+---=+-g g g g g g g .21.已过抛物线2:4C x y =的焦点F 作直线l 交抛物线C 于A ,B 两点,以A ,B 两点为切点作抛物线的切线,两条直线交于P 点. (1)当直线l 平行于x 轴时,求点P 的坐标; (2)当||2||PA PB =时,求直线l 的方程. 【解答】解:(1)依题可知(0,1)F ,当直线l 平行于x 轴时,则l 的方程为1y =,所以可得(2,1)A ,(2,1)B -,又24x y =可得24x y =,12y x '=;所以在A ,B 处的切线分别为:21(2)2y x -=-,21(2)2y x --=+,即1y x =-,1y x =--, 联立两切线可得11y x y x =-⎧⎨=--⎩解得0x =,1y =-,所以(0,1)P -.(2)设l 的方程为:1y kx =+,(,)A x y '',(,)B x y '''',则联立有214y kx x y=+⎧⎨=⎩整理得:2440x kx --=,所以4x x k '+''=,4x x '''=-,在A 处的切线为:211()42y x x x x '''-=-,即21124y x x x ''=-,同理可得,在B 处切线:211()42y x x x x -''=''-'',即21124y x x x =''-'',联立有:2211241124y x x x y x x x ⎧''=-⎪⎪⎨⎪=''-''⎪⎩解得2x x x '+''=,1y =-,即点(2x x P '+'',1)-.1|||||22x x PA x x x '+''''=-=''-,同理可得:||||PB x x '=''-,所以||2||PA PB ===,2244(4)x x '∴+=''+, 又4x x '''=-,解得21x ''=.1x ''=±,所以41x x '=⎧⎨''=-⎩或41x x '=-⎧⎨''=⎩,所以直线方程为:314y x =±+.22.已知函数111()(1)4x x f x e e ax a ++=-+-,其中 2.718e =⋯是自然对数的底数,()()g x f x '=是函数()f x 的导数.(1)若()g x 是R 上的单调函数,求a 的值; (2)当78a =时,求证:若12x x ≠,且122x x +=-,则12()()2f x f x +>. 【解答】解:(1)111()()(1)2x x g x f x e e ax ++='=--,11()(1)x x g x e e ax a ++'=---,由题意()g x 是R 上的单调函数,故1()10x G x e ax a +=---…恒成立,由于(1)0G -=, 所以(1)0G '-=,解得1a =. 解法1:消元求导:(2)1111171173()()((1))488484x x x x f x e e x e e x ++++=--=-++,令1x t +=,120t t +=,不妨设210t x =+>,173()()484t t h t e e t =-+,令173173()()()()()484484t t t t H t h t h t e e t e e t --=+-=-++++,原题即证明当0t >时,()2H t >,171171171()()()()()()()288288288t t t t t t t t t t t t H t e e t e e t e e e e t e e e e ------'=---+-=+--+--711()[()]()[()2]08216t t t t t t t t e e e e t e e e e ----=+--+-+-…,其中11[()]()1022t t t t e e e e ---'=+-…, 因为(0)2H =,所以当0t >时,()2H t >,得证. 解法2:切线放缩:化解过程同上,原题即证明当0t >时,()()()2H t h t h t =+->,173()()484t t h t e e t =-+,注意到00173(0)(0)1484h e e =-⨯+=,求出173()()484t t h t e e t =-+在(0,1)处的切线方程,则171()()288t t h t e e t '=--,即3(0)8h '=,则:切线方程为318y t =+.下面证明3()18h t t +…恒成立(0)t >;令3()()18F t h t t =--,则1713()()002888t t F t e e t t '=---=⇒=,得()0F t '>在0t >恒成立,故()F t在(0)t>上单调递增,3()()1(0)08F t h t t F=-->=恒成立,故3()18h t t+…恒成立,同理可证()h t-始终位于()h t-在(0,1)处的切线318y t=-+的上方,即:3()()18h t t--+…(实际上()h t与()h t-关于y轴对称),故33()()()1()1288H t h t h t t t=+->++-+=恒成立,原不等式得证.。
诸暨市2019-2020学年第一学期期末考试试题高一语文说明:本试卷的所有答案一律写在“答题纸”上,考试时长150分钟,满分150分。
一、语言文字运用(共30分,其中选择题每小题2分)1. 下列词语中加点词的注音全部正确的一项是()A. 亘.(ɡèn)古祈.(qǐ)求憎.(zēnɡ)恶锣鼓喧阗.(tián)B. 尽.(jǐn)管给.(jǐ)予束.(sù)缚绿.(lù)林豪客C. 菜圃.(pǔ)拴.(shuāi)牛倔.(jué)强不屈不挠.(náo)D. 慰藉.(jiè)兴.(xīnɡ)奋木讷.(nè)撒.(sā)手而去【答案】D【解析】【分析】【详解】本题考查学生识记现代汉语常用字字音的能力。
A.“祈求”的“祈”应读qí,B.“束缚”的“束”应读shù。
C.“拴牛”的“拴”应读shuān。
故选D。
2. 下列语句中,没有出现错别字的一项是()A. 虽然雨后初霁,但路上还是滑得很。
两边地里的庄稼,却给雨水冲洗得青翠水绿,珠烁晶莹,连空气里也弥漫着一股清鲜湿润的香味。
B. 南极用风雪做刻刀,将裸露的地表镌刻成肃穆的艺术品。
沉默冰山、肆虐狂风和灿烂阳光被它巧妙地揉合在一起,形成了一幅幅巨作。
C. 人们在记录和追踪历史时,往往会浮想连翩,其中有英雄年华逝去的喟叹,有文人骚客贬谪他乡的自我开解,也有着纷奢误国的嗟叹。
D. 在一切消声匿迹的冬天巨浪之下,蛰伏着的是宝贵的百花吐艳的潜力。
春天不可遏制,任何力量都阻止不了这美好世界中丰饶的创造。
【答案】A【解析】【分析】【详解】本题考查学生识记并正确书写现代常用规范汉字的能力。
B.“揉合”的“揉”应为“糅”。
C.“浮想连翩”的“连”应为“联”。
D.“消声匿迹”的“消”应为“销”。
故选A。
3. 依次填入下面句子横线上的词语,最恰当的一项是()(1)若要好时,除非从此以后总不许见哭声;除父母之外,凡有外姓亲友之人,不见,方可平安了此一世。
2019-2020学年高一第一学期期末数学试卷一、选择题1.设集合U={﹣1,0,1,2,3},A={﹣1,2},B={1,2,3},则∁U(A∪B)=()A.{0} B.{2} C.{﹣1,2} D.{﹣1,1,2,3} 2.tan的值是()A.B.C.D.3.若lg sin x=0,则x=()A.2kπ(k∈Z)B.C.D.4.下列函数在(0,2)上递增的是()A.y=sin(x﹣2)B.y=e x﹣2C.y=(x﹣2)2D.5.比较下列三个数的大小:,b=log23,c=log32()A.a<b<c B.b<a<c C.c<a<b D.a<c<b6.函数f(x)=log a(x﹣2)+a x﹣3+1(a>0且a≠1)的图象恒过定点P,P点坐标为()A.(2,1)B.(3,2)C.(0,1)D.(3,3)7.对于函数的性质,下列描述:①函数f(x)在定义域内是减函数;②函数f(x)是非奇非偶函数;③函数f(x)的图象关于点(1,1)对称.其中正确的有几项()A.0 B.1 C.2 D.38.设函数f(x)=|tan x|,对任意满足条件﹣的x1,x2,…,x n,不等式|f(x1)﹣f(x2)|+|f(x2)﹣f(x3)|+…+|f(x n﹣1)﹣f(x n)|≤M恒成立,则M的最小值是()A.B.C.1 D.29.已知函数f(x)=x2﹣4x+8,x∈[1,m],,x∈[1,n],若f(x)与g(x)值域都是[4,5],则点(m,n)所表示的区域是()A.B.C.D.10.对任意x∈R,不等式恒成立,则sin(a+b)和sin(a ﹣b)分别等于()A.;B.;C.;D.;.二、填空题:单空题每题4分,多空题每题6分11.函数的定义域是,函数的值域是.12.=,=.13.已知函数,则f[f(﹣10)]=,若f(a)≤1,则实数a的取值范围是.14.已知tanα=2,则=,=.15.若,则x=.16.函数图象的一个对称中心在区间内,则φ的取值范围为.17.已知函数f(x)=2x3+ax2+ax,对任意两个不等实数x1,x2∈[1,+∞),都有,则实数a的取值范围是.三、解答题:5小题,共74分18.已知sinα=﹣,且cosα>0.(1)确定角α的象限并求cosα,tanα,的值;(2)求的值.19.已知集合A={x|(x﹣2a)•(x﹣a﹣3)<0},B={1,2,3}.(1)若a=1,求A∩B;(2)若a≠3,写出A对应的区间,并在A∩B={1,2}时,求a的取值范围.20.函数f(x)=A sin(ωx+φ)(A>0,ω>0,φ∈[0,2π))的图象如图所示.(1)求f(x)的解析式;(2)f(x)向右平移个单位后得到函数g(x),求g(x)的单调递减区间;(3)若,且,求x的取值范围.21.已知函数在其定义域内是奇函数.(1)求a,b的值,并判断f(x)的单调性(写简要理由,不要求用定义证明);(2)解关于x不等式.22.已知f(x)=x2﹣2ax+2.(1)若f[f(x)]和f(x)有相同的值域,求a的取值范围;(2)若f(a)<0,且a>0,设|f(x)|在[1,4]上的最大值为g(a),求g(a)的取值范围.参考答案一、选择题1.设集合U={﹣1,0,1,2,3},A={﹣1,2},B={1,2,3},则∁U(A∪B)=()A.{0} B.{2} C.{﹣1,2} D.{﹣1,1,2,3} 【分析】先求出A∪B,由此能求出∁U(A∪B).解:∵集合U={﹣1,0,1,2,3},A={﹣1,2},B={1,2,3},∴A∪B={﹣1,1,2,3},∁U(A∪B)={0}.故选:A.2.tan的值是()A.B.C.D.【分析】由条件利用诱导公式进行化简所给的式子,可得结果.解:∵tan=tan=,故选:A.3.若lg sin x=0,则x=()A.2kπ(k∈Z)B.C.D.【分析】根据题意,由对数的性质可得sin x=1,进而由正弦函数的性质分析可得答案.解:根据题意,若lg sin x=0,则sin x=1,必有x=2kπ+,(k∈Z);故选:B.4.下列函数在(0,2)上递增的是()A.y=sin(x﹣2)B.y=e x﹣2C.y=(x﹣2)2D.【分析】函数y=e x﹣2与函数y=e x的单调性一致,由指数函数的单调性性质即可得解.解:函数y=e x﹣2相当于函数y=e x向右移动两个单位而得到,其单调性与函数y=e x一致,由指数函数的单调性可知,函数y=e x单调递增,即函数y=e x﹣2单调递增.故选:B.5.比较下列三个数的大小:,b=log23,c=log32()A.a<b<c B.b<a<c C.c<a<b D.a<c<b【分析】利用对数函数的单调性即可得出.解:∵<c=log32<1<b=log23,∴a<c<b.故选:D.6.函数f(x)=log a(x﹣2)+a x﹣3+1(a>0且a≠1)的图象恒过定点P,P点坐标为()A.(2,1)B.(3,2)C.(0,1)D.(3,3)【分析】根据指数函数和对数函数恒过定点的坐标,即可求出f(x)所过的定点.解:函数f(x)=log a(x﹣2)+a x﹣3+1(a>0且a≠1)中,令x﹣2=1,解得x=3,此时y=f(3)=0+1+1=2,所以f(x)的图象恒过定点P(3,2).故选:B.7.对于函数的性质,下列描述:①函数f(x)在定义域内是减函数;②函数f(x)是非奇非偶函数;③函数f(x)的图象关于点(1,1)对称.其中正确的有几项()A.0 B.1 C.2 D.3【分析】①结合反比例函数的单调性及函数图象的平移可判断,②先判断函数的定义域关于原点不对称,故可判断,③根本反比例函数的性质及函数图象的平移可判断.解:∵=1+的定义域{x}x≠1},在(﹣∞,1),(1,+∞)单调递减,但是在定义域内不是递减,故①错误,由于f(x)的定义域关于原点不对称,即f(x)为非奇非偶函数,②正确,根据函数图象的平移可知,f(x)=1+的图象可由y=的图象向右平移1个单位,向上平移1个单位,故函数的图象的对称中心(1,1),③正确.故选:C.8.设函数f(x)=|tan x|,对任意满足条件﹣的x1,x2,…,x n,不等式|f(x1)﹣f(x2)|+|f(x2)﹣f(x3)|+…+|f(x n﹣1)﹣f(x n)|≤M恒成立,则M的最小值是()A.B.C.1 D.2【分析】利用绝对值不等式|a+b|≤|a|+|b|的推广可得|f(x1)﹣f(x n)|≤M,再根据x的取值范围解:因为|f(x1)﹣f(x n)|=|f(x1)﹣f(x2)+f(x2)﹣f(x3)+…+f(x n﹣1)﹣f(x n)|≤|f(x1)﹣f(x2)|+|f(x2)﹣f(x3)|+…+|f(x n﹣1)﹣f(x n)|≤M,即M≥|f(x1)﹣f(x n)|,又因为﹣,所以|f(x1)﹣f(x n)|≤|f(﹣)﹣f()|=2,故M最小值为2,故选:D.9.已知函数f(x)=x2﹣4x+8,x∈[1,m],,x∈[1,n],若f(x)与g(x)值域都是[4,5],则点(m,n)所表示的区域是()A.B.C.D.【分析】利用二次函数及双勾函数的性质求得m,n的范围,进而求得答案.解:显然m>1,n>1,函数f(x)=x2﹣4x+8的对称轴为x=2,在[1,2]递减,在(2,m]递增,故f(x)min =f(2)=4,f(1)=f(3)=5,故2≤m≤3;函数在[1,2]递减,在(2,n]递增,故g(x)min=g(2)=4,g(1)=g(4)=5,故2≤n≤4;故点(m,n)的横坐标介于[2,3]之间,纵坐标介于[2,4]之间,故选:C.10.对任意x∈R,不等式恒成立,则sin(a+b)和sin(a ﹣b)分别等于()A.;B.;C.;D.;.【分析】根据不等式恒成立得到cos(ax+b)=﹣sin(πx+),然后利用三角函数的诱导公式进行转化建立方程进行求解即可.解:要使恒成立,则必有cos(ax+b)=﹣sin(πx+)=cos(+πx+)=cos(πx+),则a=π,b=+2kπ,则sin(a+b)=sin(π++2kπ)=﹣sin=﹣,sin(a﹣b)=sin(π﹣﹣2kπ)=sin=,故选:B.二、填空题:单空题每题4分,多空题每题6分11.函数的定义域是[0,+∞),函数的值域是(0,+∞).【分析】由函数定义域及值域的定义直接可以得到答案.解:函数的定义域是[0,+∞);函数的定义域是(0,+∞),故其值域是(0,+∞);故答案为:[0,+∞),(0,+∞).12.=π﹣1 ,=﹣4 .【分析】利用指数的运算性质即可得出.解:=π﹣1,=﹣32+1=4﹣9+1=﹣4.故答案为:π﹣1,﹣4.13.已知函数,则f[f(﹣10)]= 2 ,若f(a)≤1,则实数a 的取值范围是[﹣1,10] .【分析】推导出f(﹣10)=(﹣10)2=100,从而f[f(﹣10)]=f(100),由此能求出结果;由f(a)≤1,当a≤0时,f(a)=a2≤1,当a>0时,f(a)=lga≤1,由此能求出实数a的取值范围.解:∵函数,∴f(﹣10)=(﹣10)2=100,f[f(﹣10)]=f(100)=lg100=2,∵f(a)≤1,∴当a≤0时,f(a)=a2≤1,解得﹣1≤a≤0;当a>0时,f(a)=lga≤1,解得0<a≤10,综上,实数a的取值范围是[﹣1,10].故答案为:2,[﹣1,10].14.已知tanα=2,则=,= 1 .【分析】由已知利用同角三角函数基本关系式化简即可求解.解:∵tanα=2,∴===,∴===1.故答案为:,1.15.若,则x= 4 .【分析】由,化为x=>0,即可得出.解:∵,∴x=>0,解得x=4.故答案为:4.16.函数图象的一个对称中心在区间内,则φ的取值范围为(,).【分析】根据正弦函数的对称中心求出x的值,再根据对称中心在区间内求出φ的取值范围.解:函数中,令2x+φ=kπ,k∈Z;解得x=kπ﹣φ,k∈Z;又函数y图象的一个对称中心在区间内,所以<kπ﹣φ<,k∈Z;解得kπ﹣<φ<kπ﹣,k∈Z;令k=1,得<φ<,所以φ的取值范围是(,).故答案为:(,).17.已知函数f(x)=2x3+ax2+ax,对任意两个不等实数x1,x2∈[1,+∞),都有,则实数a的取值范围是[﹣4,+∞).【分析】通过变形可得,构造函数,可知函数g(x)在[1,+∞)上单调递增,进而得解.解:不妨设1≤x1<x2,则x2f(x1)﹣x1f(x2)<0,即x2f(x1)<x1f(x2),即,构造函数,依题意,函数g(x)在[1,+∞)上单调递增,∴,即a≥﹣4.故答案为:[﹣4,+∞).三、解答题:5小题,共74分18.已知sinα=﹣,且cosα>0.(1)确定角α的象限并求cosα,tanα,的值;(2)求的值.【分析】(1)由题意利用同角三角函数的基本关系,求得结果.(2)由题意利用诱导公式,求得要求式子的值.解:(1)∵已知sinα=﹣,且cosα>0,∴α为第四象限角,cosα==,∴tanα==﹣,∴=﹣===2tanα=﹣.(2)==﹣cotα=﹣=.19.已知集合A={x|(x﹣2a)•(x﹣a﹣3)<0},B={1,2,3}.(1)若a=1,求A∩B;(2)若a≠3,写出A对应的区间,并在A∩B={1,2}时,求a的取值范围.【分析】(1)a=1时,可得出集合A,然后进行交集的运算即可;(2)根据a≠3,可讨论a:a>3时,得出A={x|a+3<x<2a};a<3时,得出A={x|2a <x<a+3}.然后根据A∩B={1,2},即可得出a>3时,;a<3时,得出,解出a的范围即可.解:(1)a=1时,A={x|2<x<4},∴A∩B={3};(2)∵a≠3,∴2a>a+3,即a>3时,A={x|a+3<x<2a};2a<a+3,即a<3时,A={x|2a<x<a+3},∵A∩B={1,2},∴①a>3时,,解得,显然不满足题意;②a<3时,,解得﹣1<a≤0,∴a的取值范围为(﹣1,0].20.函数f(x)=A sin(ωx+φ)(A>0,ω>0,φ∈[0,2π))的图象如图所示.(1)求f(x)的解析式;(2)f(x)向右平移个单位后得到函数g(x),求g(x)的单调递减区间;(3)若,且,求x的取值范围.【分析】(1)函数y=A sin(ωx+φ)的部分图象求解析式,由函数的图象的顶点坐标求出A,由周期求出ω,由五点法作图求出φ的值,可得函数f(x)的解析式.(2)由题意利用函数y=A sin(ωx+φ)的图象变换规律,求得g(x)的解析式,再利用正弦函数的图象的单调性,得出结论.(3)由题意可得sin(2|x|+)≥,结合x的范围、正弦函数的图象特征,求出x的具体范围.解:(1)根据函数f(x)=A sin(ωx+φ)的图象可得A=,•=﹣,求得ω=2.再根据五点法作图,可得 2•+φ=π,∴φ=,故函数f(x)=sin(2x+).(2)把f(x)向右平移个单位后得到函数g(x))=sin2x的图象,令2kπ+≤2x≤2kπ+,求得kπ+≤x≤kπ+,可得g(x)的单调递减区间为[kπ+,kπ+],k∈Z.(3)若,则|x|∈[0,π],2|x|+∈[,].∵,∴sin(2|x|+)≥,求得 sin(2|x|+)≥,∴2|x|+∈[,],或 2|x|+=,∴2|x|∈[0,],或2|x|=2π,求得x∈[﹣,],或x=π.21.已知函数在其定义域内是奇函数.(1)求a,b的值,并判断f(x)的单调性(写简要理由,不要求用定义证明);(2)解关于x不等式.【分析】(1)由奇函数的性质可求得a,b,由复合函数的单调性法则可得单调性;(2)通过换元法,直接求解即可.解:(1)依题意,,则,显然a=1,b=1,经验证,当a=b=1时,函数在其定义域内是奇函数,满足题设;由,定义域为(﹣1,1),由复合函数的单调性可知,函数f(x)在(﹣1,1)上单调递减;(2)令,且,则,即﹣1<4x﹣2x <2,解得x<1,∴原不等式等价为,∴,解得t>0或(舍),而显然成立,故所求不等式的解集为(﹣∞,1).22.已知f(x)=x2﹣2ax+2.(1)若f[f(x)]和f(x)有相同的值域,求a的取值范围;(2)若f(a)<0,且a>0,设|f(x)|在[1,4]上的最大值为g(a),求g(a)的取值范围.【分析】(1)依题意,2﹣a2≤a,解不等式即可;(2)易知,再分类讨论得出g(a)的表达式,进而求得g(a)的取值范围.解:(1)∵f(x)=(x﹣a)2+2﹣a2≥2﹣a2,当f(x)的最小值在对称轴的左侧(或对称轴位置)时,f[f(x)]的值域也是[2﹣a2,+∞),∴2﹣a2≤a,解得a≤﹣2或a≥1,故实数a的取值范围为(﹣∞,﹣2]∪[1,+∞);(2)∵f(a)<0,a2>2,∴,∴△=4a2﹣8>0,分情况讨论:①当a≥4时,g(a)=max{|f(1)|,|f(4)|}=max{2a﹣3,8a﹣18}=8a﹣18;②当时,g(a)=max{|f(1)|,|f(a)|,|f(4)|}=max{|2a﹣3|,a2﹣2,|8a﹣18|},又a2﹣2﹣(8a﹣18)=(a﹣4)2>0,a2﹣2﹣(18﹣8a)=(a﹣2)(a+10),a2﹣2﹣(2a﹣3)=(a﹣1)2,18﹣8a﹣(3﹣2a)=15﹣6a,∴当时,g(a)=|f(a)|=a2﹣2;当时,g(a)=|f(a)|=a2﹣2;当时,g(a)=|f(4)|=18﹣8a;当时,g(a)=|f(4)|=18﹣8a;综上,,故g(a)的取值范围为.。
浙江省诸暨市2019-2020学年高三上学期期末语文试题学校_________ 班级__________ 姓名__________ 学号__________一、选择题1. 下列各句中,没有错别字且加点字的注音全都正确的一项是()A.近年来,明星因造假露(lòu)馅而带来“人设崩塌”的情况并不鲜见。
我们亟待明星们“返璞(pǔ)归真”,将德艺双馨作为自己的职业目标。
B.当风在长长的叶子上歌唱,茎秆(ɡǎn)中央就长出思想的穗子,沿着脉管流向高处,也像火焰在风里噌噌蹿(cuān)向天空,然后走向成熟。
C.遭遇“35岁现象”,让白领们倍感压力。
在知识快速迭代的当下,个体要未雨绸缪(móu),增强终生学习能力,积极去纾(shū)解职业的困境。
D.文过饰非的人,极其容易在改革的道路上趑(zī)趄不前;闻过则喜的人,即使食不果腹、踽(yǔ)踽独行于荆棘遍布的征途,他也安之若素。
二、选择题组2. 阅读下面的文字,完成下面小题。
[甲]在中国传统工艺中,长期并存着两种追求——错彩镂金的美与清淡典雅的美(也被形容为“芙蓉出水”的美),后者可以看作是对前者的升华或“否定之否定”而达到的境界,是更高的追求。
[乙]这种清淡典雅在宋瓷中表现得最为典型:釉质莹润,光泽内含,将美的意境荟萃于温润如玉的釉质和洗炼古雅的造型之中,把静穆含蓄之美推到了极致。
其中汝窑、官窑皆以温润精美的釉质取胜,其造型线多是弧度较小的曲线,较少锐利的转折,更少妆饰性附件,显得洗炼劲挺。
这些作品虽然出神入化,但绝不炫耀技巧,而是追求含蓄、天然,于淡中见浓、平中见奇,令人亲近,发人遐想,这也正是中国民族文化的精髓。
[丙]中国传统哲学倡导自然(天道)与人(人道)相通一体,而传统工艺由错彩镂金到清淡典雅,将工巧和物性乃至心性完美结合起来,充满智慧与自然,体现的正是道家天人合一的完美境界。
人也在审美中变得光风霁月,终至于得失俱亡了。
【小题1】文段中的加点词,运用不正确的一项()A.荟萃B.出神入化C.乃至D.光风霁月【小题2】文段中划横线的甲、乙、丙句,标点有误的一项是()A.甲B.乙C.丙三、选择题3. 下列各句中,没有语病的一项是()A.《哪吒之魔童降世》之所以能够收获票房奇迹,一方面是影片质量过硬,无论内容还是技术都有出彩处,另一方面是同档期没有可以抗衡的影片。
浙江省诸暨市2019-2020学年高三上学期期末语文试题学校:___________姓名:___________班级:___________考号:___________一、选择题1.下列各句中,没有错别字且加点字的注音全都正确的一项是()A.近年来,明星因造假露.(lòu)馅而带来“人设崩塌”的情况并不鲜见。
我们亟待明星们“返璞.(pǔ)归真”,将德艺双馨作为自己的职业目标。
B.当风在长长的叶子上歌唱,茎秆.(ɡǎn)中央就长出思想的穗子,沿着脉管流向高处,也像火焰在风里噌噌蹿.(cuān)向天空,然后走向成熟。
C.遭遇“35岁现象”,让白领们倍感压力。
在知识快速迭代的当下,个体要未雨绸缪.(móu),增强终生学习能力,积极去纾.(shū)解职业的困境。
D.文过饰非的人,极其容易在改革的道路上趑.(zī)趄不前;闻过则喜的人,即使食不果腹、踽.(yǔ)踽独行于荆棘遍布的征途,他也安之若素。
阅读下面的文字,完成下面小题。
[甲]在中国传统工艺中,长期并存着两种追求——错彩镂金的美与清淡典雅的美(也被形容为“芙蓉出水”的美),后者可以看作是对前者的升华或“否定之否定”而达到的境界,是更高的追求。
[乙]这种清淡典雅在宋瓷中表现得最为典型:釉质莹润,光泽内含,将美的意境荟萃..于温润如玉的釉质和洗炼古雅的造型之中,把静穆含蓄之美推到了极致。
其中汝窑、官窑皆以温润精美的釉质取胜,其造型线多是弧度较小的曲线,较少锐利的转折,更少妆饰性附件,显得洗炼劲挺。
这些作品虽然出神入化....,但绝不炫耀技巧,而是追求含蓄、天然,于淡中见浓、平中见奇,令人亲近,发人遐想,这也正是中国民族文化的精髓。
[丙]中国传统哲学倡导自然(天道)与人(人道)相通一体,而传统工艺由错彩镂金到清淡典雅,将工巧和物性乃至..心性完美结合起来,充满智慧与自然,体现的正是道家天人合一的完美境界。
人也在审美中变得光风霁月....,终至于得失俱亡了。
诸暨市2019—2020学年第一学期期末考试试题高二化学可能用到的相对原子质量:H-1Li-7C-12N-14O-16Na-23Mg-24Al-27Si-28P-31S-32Cl-35.5K-39Ca-40Fe-56Cu-64Ag-108I-127Ba-137一、选择题(本大题共20小题,1-10题每小题2分,11-20题每小题3分,共50分。
每个小题列出的四个备选项中只有一个是符合题目要求的,不选、多选、错选均不得分)l.下列属于非电解质且溶液呈碱性的是()A.CH3CH2OH B.Na2CO3 C.NH4Cl D.NH32.下列图示与操作名称不对应...的是()3.下列说法正确,但与盐类水解无关的是()A. 用明矾净水B. 可用CuO调pH,除去CuCl2溶液中的Fe3C. 用NH4Cl与ZnCl2溶液作焊接中的除锈剂D. 配制FeCl2溶液时,加入铁粉4.下列关于化学反应能量变化的叙述正确的是()A.生成物总能量一定低于反应物总能量B.放热反应的反应速率总是大于吸热反应的反应速率C.应用盖斯定律,可计算某些难以直接测量的反应的焓变D.同温同压下,H2(g)+Cl2(g)= 2HCl(g)在光照和点燃条件下的ΔH不同5.下列分离提纯方法不正确的是()A.用少量酒精洗去硫酸亚铁铵晶体表面附着的水分B.回收水溶液中的少量I2,可加入四氯化碳后进行萃取、分液等操作C.向阿司匹林粗产品中缓慢加入饱和NaHCO3溶液并搅拌、过滤,除去水杨酸聚合物,即可得阿司匹林溶液D.除去NaCl固体中少量KNO3,可将固体溶解后蒸发结晶,趁热过滤,洗涤,干燥6.已知反应:NO 2(g)+ SO2(g)NO(g)+ SO3(g) ΔH<0,在绝热条件下,将NO2与SO2以体积比1:2置于恒容容器中反应,下列不能说明反应达到平衡状态的是()A.体系温度保持不变B.体系压强保持不变C.NO2和SO2的体积比保持不变D.混合气平均相对分子质量保持不变7.常温下,为证明NH3•H2O是弱电解质。
浙江省诸暨市2019-2020学年高二上学期期末考试试题数学【含答案】 参考公式:柱体的体积公式V =Sh 其中S 表示柱体的底面积,h 表示柱体的高锥体的体积公式 V =13Sh 其中S 表示锥体的底面积,h 表示锥体的高 台体的体积公式1()11223V h S S S S =+ 其中S 1,S 2分别表示台体的上,下底面积,h 表示台体的高球的表面积公式S =4πR2 其中R 表示球的半径 球的体积公式V =43πR3 其中R 表示球的半径一、选择题:本大题共10小题,每小题4分,共40分.在每小题给出的四个选项中,只有一项是符合题目要求的.1.以点)32(-,为圆心,3为半径的圆的标准方程为( ▲ ) A .3)3()2(22=++-y xB .9)3()2(22=++-y xC .3)3()2(22=-++y xD .9)3()2(22=-++y x2. 已知R y x ∈,,0>x “且”0>y 是”“0>xy 的( ▲ ) A .充分不必要条件B .必要不充分条件C .充要条件D .既不充分也不必要条件 3. 平行于直线12y x =-且过点()2,1的直线方程为( ▲ ) A .230x y --= B .250x y +-=C .20x y -=D .240x y +-=4.已知直线,m n ,平面α,,m n αα⊄⊂;则下列说法①m m n α⊥⇒⊥②m n m α⊥⇒⊥ ③////m m n α⇒④////m n m α⇒中正确的个数( ▲ )A .1B .2C .3D .45.若实数y x ,满足约束条件⎪⎩⎪⎨⎧≤≤-≥-+22022y y x y x ,则y x 3+的最小值( ▲ )A .8B .4C .2D .06.双曲线1322=-x y ,则焦点F 到其中一条渐近线的距离为( ▲ ) A .1 B .2 C .3 D .27.某几何体的三视图如图所示,则该几何体的体积( ▲ )A .311 B .4 C .38 D .38.如图两正方形ABCD ,CDFE 所在的平面垂直,将EFC ∆沿着直线FC 旋转一周,则直线EC 与AC 所成角的取值范围是( ▲ )A .]125,12[ππ B .]127,12[ππ C .]2,12[ππ D .]2,6[ππ 9.正方体1111ABCD A B C D -中,在∆111A B D 内部(不含边界)存在点P ,满足点P 到平面11ACC A 的距离等于点P 到棱1BB 的距离. 分别记二面角P AD B --为α,P AC B --为β,P BC A --为γ,下列说法正确的是( ▲ )A .γβα>>B .βγα<<C .γβα<<D .以上说法均不正确10.已知双曲线22221x y a b-=,过双曲线的左焦点)0,(c F -的直线c y x -=225交双曲线的渐近线与,A B 两点,若点(2,0)M c 满足||||MA MB =,则双曲线的离心率=e ( ▲ )A .423B .223C .6D .3二、填空题:本题共7小题,多空题每题6分,单空题每题4分,共36分.11.圆柱体的轴截面是边长为2的正方形,则该圆柱体的侧面积= ▲ .12.已知抛物线:C y x 42=,点),3(m P 在抛物线上,则该抛物线的焦点F 的坐标为 ▲ ,点P 到准线的距离为 ▲ .13.中国古代数学名著《九章算术·商攻》中,阐述:“斜解立方,得两壍堵。
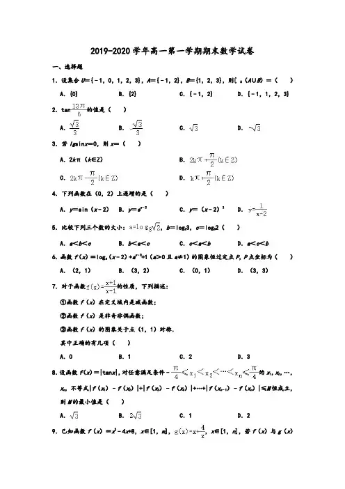
诸暨市2019-2020学年第一学期期末考试试题高三数学注意:1.本试题卷分选择题和非选择题两部分.全卷共4页,满分150分,考试时间120分钟•2.请考生按规定用笔将所有试题的答案涂' 写在答题纸上.第I 卷(选择题部分 共40分)一、选择题:本大题共10小题,每小题4分,共40分.在每小题给出的四个选项中,只有一项是符合题目要求的.1.若{}{}1,0x x Q x x P <=>=,全集为R 则(▲)A.P Q ⊆B.Q P ⊆C.R Q C P ⊆D.R C P Q ⊆2. 双曲线2213y x -=的焦点坐标为(▲)A.()B.()2,0±C.(0,D.()0,2± 3.已知,a b 是实数,i 是虚数单位,a ibi a i-=+,则b 可取的值为(▲) A. 1 B. -1 C.1或-1 D.任意实数 4.已知公比为q 等比数列{}n a 的首项10a >,则“1q >”是“53a a >”的(▲)A.充分不必要条件B.必要不充分条件C.充要条件D.既不充分又不必要条件5. 已知203a <<,随机变量ξ的分布列如右图:则当a 增大时,ξ的期望()E ξ变化情况是(▲)A.()E ξ增大B.()E ξ减小C.()E ξ先增后减D.()E ξ先减后增6.若函数()()2sin 06,2f x x πωϕωϕ⎛⎫=+<<<⎪⎝⎭图象的经过点,26π⎛⎫⎪⎝⎭和2,23π⎛⎫- ⎪⎝⎭,则要得到函数()2sin g x x ω=的图象,只需把()f x 的图象(▲)A.向左平移6π个单位 B.向左平移12π个单位 C.向右平移6π个单位 D .向右平移12π个单位 7.某几何体的正视图与侧视图如右图所示:则下列两个图形①②中,可能是其俯视图的是(▲) A.①②都可能 B.①可能,②不可能 C.①不可能,②可能 D.①②都不可能8.已知,0,1a b a b >+=,则12211a b +++的最小值是(▲) A.95 B.116 C.75D.2215+9.正四体A BCD -中,BCD 在平面α内,点E 在线段AC 上,2AE EC =, l 是平面α的垂线,在该四面体绕CD 旋转的过程中,直线BE 与l 所成角为θ,则sin θ的最小值是(▲)A.7 B.3C.22121 D .71410.已知函数()2f x x x b =-++的定义域为[0,1],值域包含于区间[0,1],且存在实数00102x y ≤<≤满足:()()00002,2f x y f y x ==,则实数b 的取值范围是(▲)A.30,4⎡⎤⎢⎥⎣⎦B.13,44⎡⎫⎪⎢⎣⎭ C.33,164⎛⎤⎥⎝⎦ D.31,164⎛⎤⎥⎝⎦第II 卷(非选择题部分 共110分)二、填空题:本题共7小题,多空题每题6分,单空题每题4分,共36分.11.已知函数()221,1,1x x f x x x +<⎧=⎨≥⎩,则12f f ⎛⎫⎛⎫= ⎪ ⎪⎝⎭⎝⎭▲;若()1f a =,则a = ▲ .12. 若二项式3nx x ⎛- ⎪⎝⎭展开式各项系数和为64,则n = ▲ ,常数项为 ▲ .13. 若实数,x y 满足约束条件24010x y x y x y +-≤⎧⎪-≤⎨⎪+≥⎩,则2x y +的最大值是 ▲ ;若01a <<,且ax y +的最大值为3,则a= ▲ .14.在ABC ∆中,角,,A B C 所对的边,,,a b c 点D 为边AC 上的中点,已知5, 7, 8a b c ===则cosB = ▲ , BD = ▲ .15.用0,1,2,3,4组成没有重复数字的四位数,其中奇数有▲ 个. 16. 已知是不共线的两个向量,若对任意的,,m n R ∈a mb +r r,的最小值为1,()12n n a b -+r r的最小值为1,若,则所成角的余弦值= ▲ .17. 己知,A B 分别是椭圆2212x y +=的右顶点,上顶点,P 是椭圆在第三象限一段弧上的点, PA 交y 轴与M 点,PB 交x 轴于N 点,若MN AB P ,则P 点坐标为 ▲ .三、 解答题:本大题共5小题,共74分.解答应写出文字说明、证明过程或演算步骤. 18.(本题满分14分)己知函数()22sin cos 23sin 3f x x x x =-+(1) 求函数.()f x 在区间0,2π⎡⎤⎢⎥⎣⎦上的值域; (2) 设10,,2213f πααπ⎛⎫⎛⎫∈= ⎪ ⎪⎝⎭⎝⎭,求sin α的值.19.(本题满分15分)已知四棱锥P ABCD -中,底面ABCD 为矩形,平面PAD ⊥平面ABCD , 2PA PD AD ===、点,E F 分别为,PD AB ,的中点.(1)求证:AE P 平面PFC⑵若CF 与平面PCD 所成角的正弦值等于64.求AB 长.20.(本题满分15分)数列{}n a 是公比为正数的等比数列,1232,12a a a =+=;数列{}n b 前n 项和n S ,满足()()23,12n n nb S b n N *==+∈ (1)求13,b b 及数列{}n a ,{}n b 的通项公式; (2)求112233n n a b a b a b a b +++⋅⋅⋅+.21.(本题满分15分)过抛物线2:4C x y =的焦点F 作直线l 交抛物线C 于, A B 两点,以A ,B 两点为切点作抛物线的切线,两条切线交于P 点.(1)当直线l 平行于x 轴时,求点P 的坐标; (2)当2PA PB=时,求直线l 的方程.22.(本题满分15分)己知函数()11114x x f x ee ax a ++⎛⎫=-+- ⎪⎝⎭,其中 2.718e =…是自然对 数的底数,()()'g x f x =是函数()f x 的导函数. (1)若()g x 是R 上的单调函数,求a 的值; (2)当78a =时,求证:若12x x ≠,且122x x +=-,则()()122f x f x +>诸暨市2019--2020学年第一学期期末考试高三数学参考答案一、 选择题(本大题共10小题,每小题4分,共40分)1.D 2.B 3.C 4.A 5.B 6.D 7.A 8.A 9.A 10.D 二、 填空题(本题共7小题,多空题每题6分,单空题每题4分,共36分.) 11. 4,01或12. 6, 135 13. 5,1414. 1,22 15.36 16 17.1,2⎛-- ⎝⎭三、解答题(本大题共5小题,共74分.)18. 解:(1)()sin 2f x x x =+ ……2′ 2sin(2)3x π=+ ……2′当0,2x π⎡⎤∈⎢⎥⎣⎦时,42333x πππ≤+≤ ……1′所以,此时()f x 的值域为⎡⎤⎣⎦ ……2′(2)因为10()2sin()2313f απα=+=,所以5sin()313πα+= ……1′54633πππα<+<,所以12cos()313πα+=- ……2′ sin sin ()sin()cos cos()sin 333333ππππππαααα⎡⎤=+-=+-+⎢⎥⎣⎦ ……1+2′526+=……1′ 19. 解:(1)证明:取PC 中点G ,连,EG FG , 则1////,2EG DC AF EG DC AF == ……3′所以AEGF 是平行四边形,//AE FG从而//AE 平面AFC ……3′(2)法一:因为//AF 平面PDC ,所以点,A F 到平面PDC 的距离相等,……1′ 由,CD AD PAD ABCD ⊥⊥知CD AE ⊥由E 是PD 中点,AE PD ⊥得AE ⊥平面PDC ……4′设2AB a =,则所求线面角的正弦值2AE a CF ====,4AB = ……4′ 法二:取AD 中点H ,以H 为原点建立空间坐标系,设2AB a =,则(1,0,0),(1,2,0),(1,0,0),(1,,0)A C a D P F a -- ……2′求得平面PDC的法向量为3,0,2EA ⎛ ⎝⎭……4′所求线面角的正弦值为cos ,2EA CF a ===u u u r u u u r所以4AB = ……3′20.(1)设等比数列{}n a 的公比为q ,则21112,2,2n n a q a q q a +=== ……3′ 131,5b b == ……2′ 法一:猜想21()n b n n N *=-∈,用数学归纳法证明 ……1′ 当1n =时成立,假设当n k =时结论成立,则由 ……1′ (1),2k k k S b =+211111(1)2k k k k k k S b S b k b +++++=+=+=+ 211(1)21,212(1)1k k k b k k b k k ++-=--=+=+-即1n k =+时结论也成立,综上21n b n =- ……2′ 法二:(1),2n n n S b =+111(1)2n n n S b +++=+得 1(1)1n n n b nb +-=- ……2′ 同理1(2)(1)1n n n b n b --=-- 两式相减整理得112n n n b b b +-+=所以数列{}n b 是公差为2的等差数列,21n b n =- ……2′(2)设211223321232(21)n n n n T a b a b a b a b n =++++=⋅+⋅++⋅-L L231221232(23)2(21)n n n T n n +=⋅+⋅++⋅-+⋅-L ……1′ 1232(21)2(222)2n n n T n +=--+++-L ……3′12(23)6n n +=-+ ……2′ 21. 解:(1) (0,1)F , (2,1),(2,1)A B -……2′切线方程为221(2),1(2)22y x y x --=--=+即10x y --=与10x y ++= ……2′ 所以(0,1)P - ……1′(2)设l 的方程为1y kx =+,1122(,),(,)A x y B x y ……1′ 则21212440,4,4x kx x x x x k --==-+= ……1′直线PA 方程为111()2x y y x x -=-,即 21124x x y x =-直线PB 方程为22224x x y x =- ……2′联立解得12(,1)2x x P +- ……2′ 法一:22212122122122222121212221()()()(1)444()()()(1)44x x x x x x y x x x x x x x y x ---+++==---+++ ……2′ 221212412,4,1x x x x =+==- 或 124,1x x =-= 直线l 的方程为314y x =±+ ……2′法二:设直线PA 的斜率为1k ,则121PA x x =-=-类似可得PB = ……2′所以1122,4,1k x x =±=±=m……1′ 直线l 的方程为314y x =±+ ……1′22.解:(1)111()()(1)2x x g x f x e e ax ++'==-- ……2′11()(1)x x g x e e ax a ++'=--- ……1′ 由题意1()10x G x e ax a +=---≥恒成立 ……1′ 由于(1)0G -=,所以(1)0G '-=,解得1a =(不验证不扣分) ……2′(2)1111171173()()((1))488484x x x x f x e e x e e x ++++=--=-++令121,0,x t t t +=+=,不妨设210t x =+>,173()()484t t h t e e t =-+令 173173()()()()()484484t t t t H t h t h t e e t e e t --=+-=-++++ ,原题即证明当0t >时,()2H t > ……2′171171()()()288288t t t t H t e e t e e t --'=---+- ……1′171()()()()288t t t t t t t t e e e e t e e e e ----=+--+--711()()()()208216t t t t t t t te e e e t e e e e ----⎡⎤⎡⎤=+--+-+-≥⎣⎦⎢⎥⎣⎦……5′ 其中11()()1022t tt t e e t e e --'⎡⎤--=+-≥⎢⎥⎣⎦因为(0)2H =,所以当0t >时,()2H t > ,得证 ……1′。