2010年全国机场生产统计公报
- 格式:pdf
- 大小:104.71 KB
- 文档页数:3
2013年全国机场生产统计公报现将2013年我国民航通航机场客货吞吐量和飞机起降架次统计公报如下:一、通航城市和机场2013年,我国境内民用航空(颁证)机场共有193个(不含香港、澳门和台湾,下同),其中定期航班通航机场190个,定期航班通航城市188个。
年内定期航班新通航的城市有内蒙古阿拉善左旗、内蒙古阿拉善右旗、内蒙古额济纳旗、河北张家口、四川稻城,贵州凯里、安徽池州、贵州毕节、江西宜春、甘肃甘南藏族自治州夏河县。
四川攀枝花恢复执行定期航班。
陕西汉中机场年内停航。
二、主要生产指标2013 年我国机场主要生产指标保持平稳增长,其中旅客吞吐量75430.9万人次,比上年增长11.0%。
其中,国内航线完成69085.7万人次,比上年增长10.8% (其中内地至香港、澳门和台湾地区航线为2443.2万人次,比上年增长7.5%);国际航线完成6345.2万人次,比上年增长13.3%。
完成货邮吞吐量1258.5万吨,比上年增长4.9%。
其中,国内航线完成830.0万吨,比上年增长5.7%(其中内地至香港、澳门和台湾地区航线为78.0万吨,比上年增长6.3%);国际航线完成428.5万吨,比上年增长3.4%。
飞机起降731.5万架次,比上年增长10.8%。
其中:运输架次627.7万架次,比上年增长10.8%。
起降架次中:国内航线678.7万架次,比上年增长11.0%(其中内地至香港、澳门和台湾地区航线为18.9万架次,比上年增长8.8%);国际航线52.8万架次,比上年增长8.3%。
(注:国内、港澳台、国际航线分类按客货流向进行划分)三、旅客吞吐量分布所有通航机场中,年旅客吞吐量达到100万人次以上的有61个,比上年增加4个,完成旅客吞吐量占全部机场旅客吞吐量的95.4%;年旅客吞吐量达到1000万人次以上的有24个,比上年增加3个,完成旅客吞吐量占全部机场旅客吞吐量的76.8%;北京、上海和广州三大城市机场旅客吞吐量占全部机场旅客吞吐量的29.0%。
深圳航空业2010年一季度生产形势分析一、全球航空业基本情况2010年第一季度,在市场需求回暖的推动下重回增长轨道,全球航空运输业走出衰退,但仍然面临盈利挑战。
今年年3月,国际航协预计全球航空运输业亏损28亿美元,亏损预期比2009年12月预测的亏损56亿美元有了大幅度的减少。
国际航协近日发布的1月份国际定期航班数据显示,航空运输需求明显回升。
与去年同期相比,1月份客运需求上升6.4%。
相对应的客运运力增加1.2%,客座率上升至75.9%,同比上升 3.7个百分点。
1月份国际货运需求同比增长28.3%,但运力仅增加3.7%,带动载货率上升至49.6%,同比提高9.5个百分点,改善明显。
国际航协在最新一期的预测报告中指出,2010年的全球客运需求将上涨5.6%,2009年该值为下降2.9%;2010年的货运需求将上涨12% ,2009年的货运需求为下跌11.1%。
国际航协对于航空业的未来走势仍持谨慎乐观的态度,认为全行业面临着三个主要风险,分别是油价提高、运力过剩及整个产业链和劳工的配合。
二、中国航空业基本情况第一季度出现了淡季不淡、旺季更旺的现象,各大航空公司盈利增加。
中国航空业发展情况从去年到今年第一季度均好于全球航空业。
2010年1-2月,中国民航旅客运输量同比上升14.8%,其中国内航线上升14.1%,港澳台航线上升23.6%,国际航线上升25.6%;货邮运输量同比上升51.3%,其中国内航线上升37.6%,港澳台航线上升95.1%,国际航线上升95.5%。
平均客座率达到78%,同比上升1.6%;载运率达到68.8%,同比上升5.4%。
三、深圳航空业一季度生产形势分析深圳空港一季度航空起降5.42万架次,同比增长9%,1-3月分别同比增长6.1%、11.6%和9.7%。
旅客吞吐量669.47万人次,同比增长8.7%,其中国内航线增长8%,港澳台航线增长27%,国际航线增长25.8%;1-3月旅客吞吐量分别同比增长5.1%、9.4%和11.6%。
全国机场年度生产统计公报全国机场年度生产统计公报根据中国民航局的相关数据,现就全国机场年度生产统计进行公报,对2019年的机场运营情况进行详细说明和分析。
一、旅客运输2019年,全国机场旅客吞吐量持续增长。
全年旅客吞吐量总计达到25.6亿人次,同比增长6.8%。
其中,国内航班旅客吞吐量为23.8亿人次,同比增长6.3%;国际航班旅客吞吐量为1.8亿人次,同比增长11.9%。
江浙沪地区的机场旅客吞吐量表现迅猛,其中上海浦东国际机场旅客吞吐量超过1亿人次,上海虹桥国际机场旅客吞吐量也超过7千万人次。
二、货邮运输2019年,全国机场货邮吞吐量总计达到2517.4万吨,同比增长7.2%。
其中,国内航班货邮吞吐量为2385.2万吨,同比增长7.4%;国际航班货邮吞吐量为132.2万吨,同比增长5.2%。
广州白云国际机场、北京首都国际机场和深圳宝安国际机场是货邮吞吐量最大的机场。
三、航班运行2019年,全国机场起降航班总计达到2075.4万架次,同比增长6.7%。
其中,国内航班起降航班为1885.9万架次,同比增长6.5%;国际航班起降航班为189.5万架次,同比增长10.3%。
北京首都国际机场、上海虹桥国际机场和广州白云国际机场是起降航班数量最多的机场。
四、网络覆盖2019年,全国机场网络覆盖范围进一步扩大。
目前,全国机场网络覆盖率达到98%,相较于上一年度增长了2个百分点。
不仅大型机场网络完善,中小型机场也实现了较高的网络覆盖率,全国机场之间的联网程度大大提高。
五、航空公司与机场合作2019年,航空公司与机场合作取得了良好的成果。
包括航空公司和机场合作举办各类活动,提供增值服务。
同时,机场也加大了对航空公司的扶持力度,优化服务,提高效能。
航空公司与机场的密切合作进一步促进了机场的发展,提高了旅客服务的质量。
六、机场管理2019年,全国机场加大了对安全生产的管理力度。
通过加强设备升级、员工培训等措施,全年发生的重要安全事件数量比去年减少了20%以上。
2010年全国机场生产统计公报一、通航城市和机场2010年,我国境内民用航空(颁证)机场共有175个(不含香港和澳门,下同),其中定期航班通航机场175个,定期航班通航城市172个。
年内定期航班新通航的城市有内蒙古二连浩特、辽宁鞍山、宁夏固原、河北唐山、新疆博乐、新疆吐鲁番、江苏淮安、西藏阿里、重庆黔江。
二、主要生产指标2010年我国机场吞吐量各项指标再创历史新高,其中旅客吞吐量56,431.2万人次,比上年增长16.1%。
其中,国内航线完成51961.8万人次,比上年增长15.7% (其中内地至香港、澳门和台湾地区航线为1764.5万人次,比上年增长51.3%);国际航线完成4469.4万人次,比上年增长20.6%。
完成货邮吞吐量1,129.0万吨,比上年增长19.4%。
其中,国内航线完成721.9万吨,比上年增长15.5%(其中内地至香港、澳门和台湾地区航线为69.1万吨,比上年增长53.6%);国际航线完成407.1万吨,比上年增长27%。
飞机起降架次553.2万架次,比上年增长14.3%。
其中:运输架次为482.6万架次,比上年增长10.6%。
起降架次中:国内航线511.6万架次,比上年增长14.4%(其中内地至香港、澳门和台湾地区航线为13.6万架次,比上年增长21.4%);国际航线41.6万架次,比上年增长13.3%。
(注:国内、港澳台、国际航线分类按客货流向进行划分)三、旅客吞吐量分布所有通航机场中,年旅客吞吐量在100万人次以上的有51个,与上年持平,完成旅客吞吐量占全部机场旅客吞吐量的95.2%;年旅客吞吐量在1000万人次以上的为16个,比上年增加2个,完成旅客吞吐量占全部机场旅客吞吐量的67.7%;北京、上海和广州三大城市机场旅客吞吐量占全部机场旅客吞吐量的33.1%。
全国各地区旅客吞吐量的分布情况是:华北地区占17.8%,东北地区占6.0%,华东地区占30.6%,中南地区占24.5%,西南地区占14.2%,西北地区占4.9%,新疆地区占2.1%。
一、2010年全国交通运输行业总体运行情况从客运量分析,2010 年全社会各种运输方式累计完成客运量327.88 亿人,同比增长10.2%,增速比2009年同期提高了6.5 个百分点。
从旅客周转量分析,全社会各种运输方式累计完成旅客周转量27778.21 亿人公里,同比增长11.9%,增速比2009年同期提高了4.9个百分点,2010 年铁路运输完成客运量16.73 亿人,同比增长10%;旅客周转量8761.16 亿人公里,同比增长11.3%。
公路运输完成客运量306.26 亿人,同比增长10.2%;旅客周转量14913.89 亿人公里,同比增长10.4%。
水路运输完成客运量2.22 亿人,同比下降0.7%;旅客周转量71.54 亿人公里,同比上升3.1%。
民航运输完成客运量2.67 亿人,同比增长15.8%;旅客周转量4031.62 亿人公里,同比增长19.4%。
二、2010年全国民航机场总体运行情况随着我国经济的快速稳定增长,机场建设取得快速发展。
截至目前,我国境内民用航空定期航班通航机场已经达到148个,其中定期航班通航城市为137个。
所有通航机场中,年旅客吞吐量在100万人次以上的有42个,完成旅客吞吐量占全部机场旅客吞吐量的94.7%;年旅客吞吐量在1000万人次以上的有7个,完成旅客吞吐量占全部机场旅客吞吐量的52.1%;北京、上海和广州三大城市机场旅客吞吐量占全部机场旅客吞吐量的37.3%。
各机场中,年货邮吞吐量在10000吨以上的有39个,完成货邮吞吐量占全部机场货邮吞吐量的98.5%;北京、上海和广州三大城市机场货邮吞吐量占全部机场货邮吞吐量的56.9%。
目前中国民航只占整个交通运输方式总量的0.65%,民航的旅客运输量只是铁路旅客运输量的十分之一左右。
而美国民航运输总周转量占综合交通运输总周转量的比重是9.5%。
中国的机场密度是每10万平方公里有1.4个机场,日本的密度是23.3个。
2010年,面对复杂多变的国内外经济环境和各种重大挑战,全国各族人民在党中央、国务院的坚强领导下,以邓小平理论和“三个代表”重要思想为指导,深入贯彻落实科学发展观,坚持实施应对国际金融危机冲击的一揽子计划,加快转变经济发展方式和经济结构战略性调整,国民经济保持了平稳较快发展,各项社会事业取得新的进步。
一、综合初步核算,全年国内生产总值[2]397983亿元,比上年增长10.3%。
其中,第一产业增加值40497亿元,增长4.3%;第二产业增加值186481亿元,增长12.2%;第三产业增加值171005亿元,增长9.5%。
第一产业增加值占国内生产总值的比重为10.2%,第二产业增加值比重为46.8%,第三产业增加值比重为43.0%。
居民消费价格一季度同比上涨2.2%,二季度上涨2.9%,三季度上涨3.5%,四季度上涨4.7%,全年平均比上年上涨3.3%,其中食品价格上涨7.2%。
固定资产投资价格上涨3.6%。
工业品出厂价格上涨5.5%。
原材料、燃料、动力购进价格上涨9.6%。
农产品生产价格上涨10.9%。
表1:2010年居民消费价格比上年涨跌幅度单位:%70个大中城市房屋及新建商品住宅销售价格月度同比涨幅呈现先上升后回落趋势。
全年城镇新增就业1168万人,比上年增加66万人。
年末城镇登记失业率为4.1%,比上年末下降0.2个百分点。
全年农民工[3]总量为24223万人,比上年增长5.4%。
其中,外出农民工15335万人,增长5.5%;本地农民工8888万人,增长5.2%。
年末国家外汇储备28473亿美元,比上年末增加4481亿美元。
年末人民币汇率为1美元兑6.6227元人民币,比上年末升值3.0%。
全年财政收入83080亿元,比上年增加14562亿元,增长21.3%;其中税收收入73202亿元,增加13680亿元,增长23.0%。
二、农业全年粮食种植面积10987万公顷,比上年增加89万公顷;棉花种植面积485万公顷,减少10万公顷;油料种植面积1397万公顷,增加32万公顷;糖料种植面积192万公顷,增加3万公顷。
2010年四季度航空运输行业报告正文目录第一章2010年四季度中国航空运输业运行情况分析 ....... 错误!未定义书签。
一、经济周期对行业的影响分析................................... 错误!未定义书签。
二、中国交通运输业数据分析....................................... 错误!未定义书签。
(一)行业总体情况分析........................................ 错误!未定义书签。
(二)货物运输情况分析........................................ 错误!未定义书签。
(三)旅客运输情况分析........................................ 错误!未定义书签。
三、中国航空运输业运行数据分析............................... 错误!未定义书签。
(一)航空运输走势分析........................................ 错误!未定义书签。
(二)航空货运情况分析........................................ 错误!未定义书签。
(三)航空客运情况分析........................................ 错误!未定义书签。
四、中国航空运输业市场供需情况分析....................... 错误!未定义书签。
(一)行业结构分析................................................ 错误!未定义书签。
(二)行业需求分析................................................ 错误!未定义书签。
(三)行业供给分析................................................ 错误!未定义书签。
四川省机场集团有限公司2010年生产统计年报制作单位规划发展部制作人钟敏李晓静审核目录一、全行业运输生产发展情况...................................... - 3 -二、成都双流国际机场运输生产完成情况............................ - 5 -1.2010年生产运行大事记. (5)2.运输生产主要指标 (6)3.出港生产指标 (9)4.分航线生产指标 (10)6.国际、地区直飞航线正班生产完成情况 (16)7.主要机型运输完成情况 (17)8.成都机场1988-2010年三大生产指标汇总 (18)三、地服公司及基地航空公司运输生产完成情况 ..................... - 20 -1.地服公司运输生产完成情况 (21)2.国航西南分公司运输生产完成情况 (21)3.四川航空公司运输生产完成情况 (22)4.东航四川分公司运输生产完成情况 (22)5.成都航空公司运输生产完成情况 (23)四、支线机场运输生产完成情况................................... - 23 -1.西昌机场. (23)2.泸州机场 (24)3.攀枝花机场 (25)4.达州机场 (26)5.广元机场 (26)6.省内其他支线机场 (26)五、全国大型机场运输生产完成情况............................... - 28 -六、竞争机场生产情况对比及策略分析............................. - 30 -1.虹桥机场. (31)2.深圳机场 (34)3.昆明机场 (35)4.西安机场 (36)5.重庆机场 (39)七、铁路(高铁)生产运输完成情况对比........................... - 40 -附:2011年集团生产指标预测..................................... - 42 -2010年是“十一五”规划的最后一年,也是集团公司抢抓机遇,突飞猛进的一年。
2010年中国交通运输行业总体运行情况一、旅客运输前四季度,旅客运输继续维持了前三季度的回升态势。
从客运量分析,2010年全社会各种运输方式累计完成客运量327.88 亿人,同比增长10.2%,增速比去年同期提高了6.5 个百分点,比前三季度提高2 个百分点,加速增长趋势明显。
从旅客周转量分析,全社会各种运输方式累计完成旅客周转量27778.21 亿人公里,同比增长11.9%,增速比去年同期提高了4.9 个百分点,但是比前三季度回落了0.5个百分点。
分交通运输方式看,2010 年铁路运输完成客运量16.73 亿人,同比增长10%;旅客周转量8761.16 亿人公里,同比增长11.3%。
公路运输完成客运量306.26 亿人,同比增长10.2%;旅客周转量14913.89 亿人公里,同比增长10.4%。
水路运输完成客运量2.22 亿人,同比下降0.7%;旅客周转量71.54 亿人公里,同比上升3.1%。
民航运输完成客运量2.67 亿人,同比增长15.8%;旅客周转量4031.62 亿人公里,同比增长19.4%。
二、货物运输量2010 年全社会各种运输方式累计完成货运量315.34 亿吨,同比增长13.4%,增速比去年同期提高了5.9 个百分点;货物周转量135169.6 亿吨公里,同比增长12.5%,增速比去年同期提3.6 个百分点。
分交通运输方式看:2010 年全国铁路运输全社会完成货运量36.39 亿吨,同比上升9.2%,货物周转量27682.28 亿吨公里,同比增长9.7%。
公路运输完成货运量242.53 亿吨,同比增长14%,货物周转量43005.43 亿吨公里,同比增长15.6%。
水路运输完成货运量36.37 亿吨,同比增长14%;货物周转量64305.28 亿吨公里,同比增长11.7%。
民航运输完成货运量557.42 万吨,同比增长25.1%;货物周转量176.62 亿吨公里,同比增长39.9%。
民航局公布2011年全国运输机场生产统计公报近日,民航局公布了2011年全国运输机场生产统计公报,通过真实数据全面展现2011年民航全行业紧紧围绕科学发展的主题和转变发展方式的主线,努力建设中国特色民航事业,实现“十二五”规划良好开局的好成绩。
并公布了2011年全国运输机场吞吐量排名。
数据显示,2011年,我国境内民用航空(颁证)机场共有180个(不含台、港、澳地区,下同)。
机场吞吐量各项指标再创历史新高,其中旅客吞吐量62053.7万人次,比上年增长10.0%;货邮吞吐量1157.8万吨,比上年增长2.5%;飞机起降架次598.0万架次,比上年增长8.1%。
2011年,贵阳龙洞堡国际机场完成旅客吞吐量7339228人,货邮吞吐量69130.3吨,同比分别增长17.0%和 12.1%,在国内178个机场(已通航)中均名列第25位。
保障各类飞行67759架次,同比增长10.7%,在国内机场排名第27位。
机场旅客吞吐量和起降架次均比2010年排名上升1位。
兴义机场完成旅客吞吐量62176人、货邮吞吐量44.7吨、保障各类飞行1990架次,三项指标分别排名第145、137、126位。
铜仁凤凰机场完成旅客吞吐量43430人、货邮吞吐量118.4吨、保障各类飞行1326架次,三项指标分别排名第153、130、138位。
黎平机场完成旅客吞吐量14466人、货邮吞吐量2.0吨、保障各类飞行522架次,三项指标分别排名第164、157、164位。
省内另外两个支线机场:黔南州荔波机场和安顺黄果树机场三项指标排名比2010年均有所上升。
其中,黔南州荔波机场2011年完成旅客吞吐量5013人,货邮吞吐量0.3吨,保障各类飞行348架次,排名分别为169、161、166。
安顺黄果树机场2011年完成旅客吞吐量4251人,保障各类飞行2790架次,排名分别为171、113。
2010年民航行业发展统计公报[1]2010年,在党中央、国务院的正确领导下,民航局党组带领全国民航干部职工深入贯彻落实科学发展观,以建设民航强国战略为指引,运输生产迈上新台阶,基础设施建设取得新进展,经济效益创历史最高水平,公共职能稳步推进,圆满完成各项重大航空运输保障任务和紧急航空运输任务,各项工作取得了显著成绩。
一、运输航空[2]2010年,民航运输生产实现新突破,标志着中国民航在建设民航强国道路上迈出了新的坚实步伐,中国成为全球增长最快、最重要的民航市场之一。
1.运输总周转量[3]2010年,全行业完成运输总周转量538.45亿吨公里,比上年增加111.38亿吨公里,增长26.1%,其中旅客周转量359.55亿吨公里,比上年增加58.71亿吨公里,增长19.5%;货邮周转量178.90亿吨公里,比上年增加52.67亿吨公里,增长41.7%。
2010年,国内航线完成运输周转量345.48亿吨公里,比上年增加48.36亿吨公里,增长16.3%,其中港澳台航线完成11.59亿吨公里,比上年增加2.66亿吨公里,增长29.8%;国际航线完成运输周转量192.97亿吨公里,比上年增加63.02亿吨公里,增长48.5%。
“十一五”期间我国运输总周转量年平均增速15.6%。
2.旅客运输量2010年,全行业完成旅客运输量2.68亿人次,比上年增加0.37亿人次,增长16.1%。
国内航线完成旅客运输量2.48亿人次,比上年增加0.33亿人次,增长15.1%,其中港澳台航线完成0.07亿人次,比上年增加0.02亿人次,增长29.9%;国际航线完成旅客运输量0.19亿人次,比上年增加0.05亿人次,增长31.1%。
“十一五”期间我国旅客运输量年平均增速14.1%。
3.货邮运输量。
XXXX年民航机场生产统计公报一、通航城市和机场XXXX年,我国境内民用航空(颁证)机场共有XXX个(不含香港、澳门和台湾地区,下同),其中定期航班通航机场XXX个,定期航班通航城市XXX个。
年内定期航班新通航的城市有:甘肃陇南、新疆若羌、青海海北、河南信阳、湖南岳阳、新疆图木舒克。
陕西安康机场和广西梧州西江(原梧州长洲岛)机场停航。
二、主要生产指标XXXX年我国机场主要生产指标继续保持平稳较快增长,全年旅客吞吐量超过XX亿人次,完成XXXXXX.X万人次,较上年增长XX.X%。
分航线看,国内航线完成XXXXXX.X万人次,较上年增长X.X% (其中内地至香港、澳门和台湾地区航线完成XXXX.X万人次,较上年增长X.X%);国际航线完成XXXXX.X万人次,较上年增长XX.X%。
完成货邮吞吐量XXXX.X万吨,较上年增长X.X%。
分航线看,国内航线完成XXXX.X万吨,较上年增长X.X%(其中内地至香港、澳门和台湾地区航线完成XX.X万吨,较上年增长X.X%);国际航线完成XXX.X万吨,较上年增长X.X%。
完成飞机起降XXXX.X万架次,较上年增长X.X%(其中运输架次为XXX.X万架次,较上年增长X.X%)。
分航线看,国内航线完成XXXX.X 万架次,较上年增长X.X%(其中内地至香港、澳门和台湾地区航线完成XX.X万架次,较上年增长X.X%);国际航线完成XX.X万架次,较上年增长X.X%。
三、旅客吞吐量分布各机场中,年旅客吞吐量XXXX万人次以上的机场达到XX个,较上年净增X个(宁波栎社、石家庄正定、珠海金湾、温州龙湾、合肥新桥机场),完成旅客吞吐量占全部境内机场旅客吞吐量的XX.X%,较上年提高X.X个百分点。
首都机场旅客吞吐量突破X亿人次,北京、上海和广州三大城市机场旅客吞吐量占全部境内机场旅客吞吐量的XX.X%,较上年下降X.X个百分点。
年旅客吞吐量XXX-XXXX万人次机场有XX个,较上年净增X个,完成旅客吞吐量占全部境内机场旅客吞吐量的X.X%,较上年下降X.X个百分点。
中华人民共和国2010年国民经济和社会发展统计公报[1]中华人民共和国国家统计局2011年2月28日2010年,面对复杂多变的国内外经济环境和各种重大挑战,全国各族人民在党中央、国务院的坚强领导下,以邓小平理论和“三个代表”重要思想为指导,深入贯彻落实科学发展观,坚持实施应对国际金融危机冲击的一揽子计划,加快转变经济发展方式和经济结构战略性调整,国民经济保持了平稳较快发展,各项社会事业取得新的进步。
一、综合初步核算,全年国内生产总值[2]397983亿元,比上年增长10.3%。
其中,第一产业增加值40497亿元,增长4.3%;第二产业增加值186481亿元,增长12.2%;第三产业增加值171005亿元,增长9.5%。
第一产业增加值占国内生产总值的比重为10.2%,第二产业增加值比重为46.8%,第三产业增加值比重为43.0%。
居民消费价格一季度同比上涨2.2%,二季度上涨2.9%,三季度上涨3.5%,四季度上涨4.7%,全年平均比上年上涨3.3%,其中食品价格上涨7.2%。
固定资产投资价格上涨3.6%。
工业品出厂价格上涨5.5%。
原材料、燃料、动力购进价格上涨9.6%。
农产品生产价格上涨10.9%。
表1:2010年居民消费价格比上年涨跌幅度70个大中城市房屋及新建商品住宅销售价格月度同比涨幅呈现先上升后回落趋势。
全年城镇新增就业1168万人,比上年增加66万人。
年末城镇登记失业率为4.1%,比上年末下降0.2个百分点。
全年农民工[3]总量为24223万人,比上年增长5.4%。
其中,外出农民工15335万人,增长5.5%;本地农民工8888万人,增长5.2%。
年末国家外汇储备28473亿美元,比上年末增加4481亿美元。
年末人民币汇率为1美元兑6.6227元人民币,比上年末升值3.0%。
全年财政收入83080亿元,比上年增加14562亿元,增长21.3%;其中税收收入73202亿元,增加13680亿元,增长23.0%。
2010年成都双流国际机场1—5月客流量迅猛增长继去年成都双流国际机场旅客吞吐量突破2000万人次后,今年以来,机场旅客吞吐量不断攀升。
据相关数据显示:1至5月份航班起降架次82562架次,同比增加11.9%,旅客吞吐量1010.4万人次,同比增加19.3%。
这一数据显示了今年成都双流国际机场生产量的迅猛发展。
如何应对繁荣的航空市场需求?成都双流国际机场紧紧围绕航空主业,大力拓展非航业务,借助四川区域经济发展的良好势头,启动三部引擎,在激烈的市场竞争中乘风破浪,砥砺前行。
综合交通步入“网络”时代在机场生产量呈现出良好发展的形势下,扎实做好运行保障工作,积极构建综合交通网络,实现对旅客的服务升级刻不容缓。
近年来,双流机场面向省内主要二级城市开通“城市快巴”,构建空地联动的网络交通。
如今,在原有8条地面快巴的基础上,已新增3条线路,累计达到11条纵横交错的网络,方便旅客往返机场和二级城市,实现空地“无缝衔接”。
仅今年2月,“城市快巴”运输人数达5.5万人次,同比增长82%。
目前,双流机场正全力以赴与相关部门协调,协助地方运输公司办理有关手续,进一步拓展城市快巴的辐射面,并积极探索异地候机楼建设模式,以实现更加广泛的“空地联动”。
与此同时,加快T2航站楼建设和投用是有效缓解机场运行压力的重要途径,双流机场在T2规划中提前谋划,构建涵盖航空、地铁、城际铁路和高速公路的交通网。
在双流机场看来,联通省内仅仅是走出了构建综合交通网络的第一步,辐射全国的步伐任重而道远。
双流机场联手基地航空公司倾力打造成都到北京的“京蓉快线”,成都到上海的“蓉沪快线”,成都到广州、深圳的“城市快线”,利用高密度的航班波密切联系我国其他大型中心城市,缔造沟通国内重要省市的交通枢纽。
去年5月,四川省机场集团公司联手成都市市政府和国航西南分公司,签订战略合作协议,加快开辟国际航班的步伐,使双流机场的国际化地位日益提升。
今年3月,国内首条直飞印度“硅谷”——班加罗尔的航线在成都开通,为我国西部软件市场的发展谋求了一条便捷的学习、交流之路。
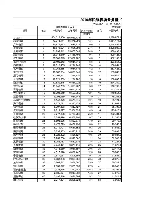
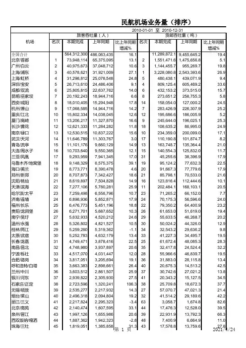
比上年同期比上年同期比上年同期增减%增减%增减%全国合计564,312,300486,063,43516.111,289,872.19,455,645.219.45,531,7164,840,70914.3北京/首都173,948,11465,375,09513.121,551,471.61,475,656.8 5.11517,585487,918 6.1广州/白云240,975,67337,048,71210.631,144,455.7955,269.719.83329,214308,863 6.6上海/浦东340,578,62131,921,00927.113,228,080.82,543,393.626.92332,126287,91615.4上海/虹桥431,298,81225,078,54824.85480,438.1439,071.99.44218,985189,07115.8深圳/宝安526,713,61024,486,4069.14809,125.4605,469.233.65216,897202,6277.0成都/双流625,805,81522,637,76214.06432,153.2373,515.015.77205,537190,0948.1昆明/巫家坝720,192,24318,944,716 6.68273,651.2258,755.3 5.89181,466172,572 5.2西安/咸阳818,010,40515,294,94817.814158,054.0127,000.224.510164,430146,27212.4杭州/萧山917,068,58514,944,71614.27283,426.9226,307.925.211146,289134,0589.1重庆/江北1015,802,33414,038,04512.612195,686.6186,005.9 5.212145,705132,6199.9厦门/高崎1113,206,21711,327,87016.69245,644.0196,025.125.313116,659105,93910.1长沙/黄花1212,621,33311,284,28211.818108,635.286,995.024.915115,635110,023 5.1南京/禄口1312,530,51510,837,22215.610234,359.0200,099.017.114116,087106,1429.4武汉/天河1411,646,78911,303,767 3.017110,190.8101,874.78.216112,521113,332-0.7青岛/流亭1511,101,1769,660,12914.913163,748.7135,364.421.017103,97598,033 6.1大连/周水子1610,703,6409,550,36512.115140,554.3125,832.011.71891,62885,3907.3三亚/凤凰179,293,9597,941,34517.03145,255.638,396.917.92470,57559,81118.0乌鲁木齐/地窝堡189,148,3296,575,37539.11995,124.277,632.322.51986,49165,51132.0海口/美兰198,773,7718,390,478 4.62091,667.377,779.617.92273,82469,114 6.8郑州/新郑208,707,8737,342,42718.62185,798.170,533.021.62184,18075,74311.1沈阳/桃仙218,619,8977,504,82814.916123,816.4112,444.610.12370,78667,027 5.6天津/滨海227,277,1065,780,28125.911202,484.1168,103.120.52085,03475,11613.2哈尔滨/太平237,259,4986,558,79610.72371,265.266,152.07.72861,00257,440 6.2济南/遥墙246,898,9365,852,87117.92470,175.356,596.624.02569,14563,6028.7福州/长乐256,476,7735,451,19618.82279,350.264,400.923.22662,10851,57520.4贵阳/龙洞堡266,271,7015,687,65210.32661,653.051,619.019.42761,23157,354 6.8南宁/吴圩275,632,9334,520,21224.62955,633.546,268.720.23052,39644,59717.5温州/永强285,326,8024,821,52710.53050,024.244,326.012.93349,85444,80011.3桂林/两江295,259,2605,319,362-1.13432,543.229,636.29.83448,10349,525-2.9太原/武宿305,252,7834,632,17913.43341,227.334,495.719.52957,52552,23610.1长春/龙嘉314,749,4713,878,41622.52561,672.448,085.328.33742,19935,90917.5南昌/昌北324,748,9803,937,89720.63532,417.824,524.432.23251,82048,0507.8宁波/栎社334,517,0704,031,44712.02855,966.646,839.719.54039,28937,512 4.7合肥/骆岗343,817,0513,205,69419.13631,883.028,115.813.43546,45235,81429.7呼和浩特/白塔353,663,3832,898,66126.44020,675.314,513.242.53643,33133,19030.6兰州/中川363,603,5122,861,50725.93730,742.627,021.213.84333,70028,35318.9银川/河东372,939,8222,305,93027.54120,343.215,127.534.54626,33421,39323.1石家庄/正定382,723,5961,320,241106.33825,709.818,672.337.73151,92932,48159.9无锡/硕放392,535,2772,217,93214.32757,070.747,021.321.44721,97819,72311.4本期完成上年同期名次本期完成上年同期名次机场名次本期完成上年同期一、通航城市和机场2010年,我国境内民用航空(颁证)机场共有175个(不含香港和澳门,下同),其中定期航班通航机场175个,定期航班通航城市172个。
年内定期航班新通航的城市有内蒙古二连浩特、辽宁鞍山、宁夏固原、河北唐山、新疆博乐、新疆吐鲁番、江苏淮安、西藏阿里、重庆黔江。
二、主要生产指标2010年我国机场吞吐量各项指标再创历史新高,其中旅客吞吐量56,431.2万人次,比上年增长16.1%。
其中,国内航线完成51961.8万人次,比上年增长15.7% (其中内地至香港、澳门和台湾地区航线为1764.5万人次,比上年增长51.3%);国际航线完成4469.4万人次,比上年增长20.6%。
完成货邮吞吐量1,129.0万吨,比上年增长19.4%。
其中,国内航线完成721.9万吨,比上年增长15.5%(其中内地至香港、澳门和台湾地区航线为69.1万吨,比上年增长53.6%);国际航线完成407.1万吨,比上年增长27%。
飞机起降架次553.2万架次,比上年增长14.3%。
其中:运输架次为482.6万架次,比上年增长10.6%。
起降架次中:国内航线511.6万架次,比上年增长14.4%(其中内地至香港、澳门和台湾地区航线为13.6万架次,比上年增长21.4%);国际航线41.6万架次,比上年增长13.3%。
(注:国内、港澳台、国际航线分类按客货流向进行划分) 三、旅客吞吐量分布所有通航机场中,年旅客吞吐量在100万人次以上的有51个,与上年持平,完成旅客吞吐量占全部机场旅客吞吐量的95.2%;年旅客吞吐量在1000万人次以上的为16个,比上年增加2个,完成旅客吞吐量占全部机场旅客吞吐量的67.7%;北京、上海和广州三大城市机场旅客吞吐量占全部机场旅客吞吐量的33.1%。
全国各地区旅客吞吐量的分布情况是:华北地区占17.8%,东北地区占6.0%,华东地区占30.6%,中南地区占24.5%,西南地区占14.2%,西北地区占4.9%,新疆地区占2.1%。
四、机场货邮吞吐量分布各机场中,年货邮吞吐量在10000吨以上的有47个,比上年增加2个,完成货邮吞吐量占全部机场货邮吞吐量的98.8%;北京、上海和广州三大城市机场货邮吞吐量占全部机场货邮吞吐量的56.7%。
全国各地区货邮吞吐量的分布情况是:华北地区占16.6%,东北地区占3.6%,华东地区占45.5%,中南地区占22.4%,西南地区占9.0%,西北地区占2.0%,新疆地区占0.9%。
民航机场业务量(排序)2010-01-01 至 2010-12-31旅客吞吐量(人)货邮吞吐量(吨)起降架次(次)烟台/莱山402,496,3182,094,80419.23241,514.229,189.642.24527,93225,8308.1丽江/三义412,217,8242,295,323-3.4633,058.71,674.882.64821,08522,143-4.8北京/南苑422,140,4741,607,59533.14417,476.312,528.039.55316,50713,25224.6泉州/晋江431,997,1261,655,98620.63922,931.913,792.366.34920,12316,84219.5西双版纳/嘎洒441,887,3621,942,323-2.8487,400.96,664.911.05017,77218,193-2.3珠海/三灶451,819,0511,385,85831.34317,578.813,759.627.84237,65123,14962.6九寨/黄龙461,740,7281,749,316-0.51670.00.05515,12613,41112.8汕头/外砂471,727,9341,266,40736.44710,842.59,088.719.35116,76113,51724.0西宁/曹家堡481,664,8231,351,75923.24612,265.97,458.764.45415,64512,32626.9包头/二里半491,332,1321,070,12224.5506,075.14,678.629.95811,50210,09913.9拉萨/贡嘎501,296,3281,121,61315.64513,827.312,872.67.45711,72010,06416.5张家界/荷花511,126,3611,201,976-6.3801,272.31,633.1-22.1629,36310,760-13.0延吉/朝阳川52943,336808,25616.7544,192.13,126.434.1677,9627,457 6.8榆林/榆阳53905,161631,76943.397639.0327.495.2619,7746,67546.4威海/大水泊54824,938675,45122.1583,751.53,003.424.95910,5799,8507.4鄂尔多斯/伊金霍洛55816,737472,65672.8623,074.11,823.268.6658,8625,58858.6喀什56792,681574,48538.0603,207.22,445.431.2766,1895,09321.5宜昌/三峡57724,121657,50710.1613,184.73,498.4-9.0668,2049,082-9.7义乌58695,148559,65224.2563,802.13,259.416.6776,1485,32215.5北海/福成59694,177505,44037.3642,849.21,130.6152.06010,5535,35797.0徐州/观音60658,395511,46928.7573,772.33,251.016.0648,9519,065-1.3常州/奔牛61658,033535,19823.0496,720.06,173.38.9716,7655,80016.6运城/张孝62618,463506,64222.1761,677.81,024.163.8706,8206,11611.5台州/路桥63616,861526,73817.1515,483.44,293.227.7736,2785,34017.6海拉尔/东山64608,804532,46314.3692,130.41,094.594.6746,2025,6429.9武夷山65589,554535,71310.1881,047.9799.731.0785,7405,2359.6绵阳/南郊66577,236280,903105.5524,833.83,812.226.88189,9062,8976,455.3临沂/沐埠岭67542,759301,34180.1722,016.61,163.473.3696,97926,241-73.4湛江68484,499396,26322.3731,969.61,590.323.8638,9935,21372.5腾冲/驼峰69465,778257,63780.8102538.6134.4300.8805,2283,01673.3伊宁70455,584202,130125.4100556.0353.157.5756,2013,55574.4西昌/青山71445,329374,50418.9662,550.82,037.325.2844,7024,13413.7德宏/芒市72443,843380,26516.7593,654.12,888.126.5864,5283,87017.0连云港/白塔埠73423,031291,05945.3851,148.7944.821.6795,5483,74748.1长治/王村74390,379340,61314.695769.7466.365.0834,9824,5958.4大庆/萨尔图75363,404101,553257.8791,307.7310.2321.6903,5771,043243.0库尔勒76359,137270,65732.7861,131.4564.3100.5726,3605,37118.4舟山/普陀山77356,869447,956-20.3111377.2434.7-13.2687,6446,41619.1黄山/屯溪78343,033285,17920.3781,499.8963.355.7893,7523,39610.5柳州/白莲79321,610309,354 4.0553,844.43,285.617.0883,9494,083-3.3赣州/黄金80315,246189,10566.7672,205.51,459.751.1825,0664,24119.5景德镇/罗家81307,889242,75326.8107466.9307.751.81032,6662,30815.5恩施/许家坪82295,660472,839-37.593840.2948.1-11.4992,9625,637-47.5宜宾/菜坝83289,541211,19737.1682,205.12,008.09.8933,4292,46838.9牡丹江/海浪84288,742260,06311.089979.1759.828.9973,1263,414-8.4洛阳/北郊85285,774231,96823.2841,170.11,239.8-5.66212,738212,0080.3南通/兴东86271,440220,26023.2534,654.21,877.7147.94428,43530,634-7.2赤峰/玉龙87270,709165,20263.9113333.9212.557.1854,5533,24340.4常德/桃花源88268,789236,26313.8117251.1110.1128.25216,7172,930470.5迪庆/香格里拉89263,323221,33119.092871.9697.525.0923,4402,90418.5和田90260,396188,43438.290899.5771.516.61102,3261,72834.6泸州/蓝田91246,357203,56721.0741,791.51,663.27.7982,9742,854 4.2万县/五桥92244,045209,15416.7712,078.11,623.928.0874,4713,20239.6济宁/曲阜93243,684119,332104.291881.8413.5113.2963,2841,65898.1大理94227,072210,4757.9108465.4361.228.81022,7642,688 2.8阿克苏95225,393170,48832.2109454.2247.083.9815,1683,99629.3普洱/思茅96219,689191,09015.0103508.0215.0136.31052,6282,00231.3敦煌97204,242152,55633.9123162.5108.549.7953,3122,56928.9锡林浩特98201,251131,78652.7118214.6138.255.3913,5682,30055.1秦皇岛/山海关99200,97661,721225.6116256.9192.833.21002,9001,005188.6佳木斯/东郊100191,592166,04815.4871,053.4517.7103.51172,0381,970 3.5盐城/南洋101191,336161,68218.3771,615.21,211.533.31152,0922,216-5.6南阳/姜营102190,072134,13541.796721.2582.423.83839,85027,76543.5井冈山103182,412105,76672.594769.8151.7407.51062,6142,33611.9乌海104180,883115,49356.6127129.228.6351.71142,1151,42048.9满洲里/西郊105174,187146,90118.6811,217.8582.7109.01112,3231,87224.1大同/倍加皂106166,420112,84447.5831,193.5484.8146.21122,3051,66838.2达州/河市107164,435144,38313.9751,691.31,188.242.31181,9861,72814.9阿勒泰108164,00485,17292.614619.814.437.51092,4811,61653.5攀枝花/保安营109162,796177,234-8.1652,848.42,378.519.81241,6961,858-8.7襄樊/刘集110161,645137,33517.7106473.9353.734.03939,38833,63317.1保山/云端111154,372136,20313.3112361.9137.6163.01231,7041,680 1.4林芝/米林112148,796119,70224.3101544.3436.124.81351,29691841.2潍坊113141,129106,97931.94218,608.815,969.016.5943,3763,1457.3嘉峪关114133,51389,60449.0120201.183.2141.91251,6501,33024.1衢州115133,498128,389 4.0121180.2172.1 4.71221,7161,674 2.5怀化/芷江116133,10972,99582.41610.9 3.5-75.51201,7531,04967.1临沧117126,636114,54310.699589.0338.074.31301,4121,4060.4邯郸118126,46482,10754.013931.133.2-6.31082,4971,76741.3南充/高坪119124,57063,72795.5115306.1123.8147.34139,18836,798 6.5齐齐哈尔/三家子120123,218120,384 2.4104507.1462.29.71361,2301,476-16.7延安/二十里堡121120,12186,28539.213442.928.450.81012,8602,25626.8通辽122118,31694,89424.7105477.4275.473.41132,2171,86818.7佛山/沙堤123118,1924,5782,481.7110420.50.01401,075701,435.7阜阳124108,63017,406524.1152 5.30.41,230.31072,512360597.8白山/长白山125103,35953,38693.613733.022.646.01261,623792104.9丹东/浪头12699,82288,60112.798634.1452.340.2143972999-2.7乌兰浩特12798,20477,64526.5128120.5127.9-5.71191,9802,220-10.8锦州/小岭子12896,35557,76766.8821,204.6545.6120.81371,14488030.0黑河12994,87884,98711.6125153.8139.99.91411,0369607.9昌都/邦达13088,84276,78015.7114316.4297.8 6.314687277612.4布尔津/喀纳斯13182,53019,362326.2158 1.5 3.8-61.5149808306164.1九江/庐山13281,55562,39130.713264.215.3319.31291,4421,12827.8玉树/巴塘13381,1317,484984.1702,129.40.13,275,886.21321,3581141,091.2鸡西/兴凯湖13480,95515,641417.8119214.027.1689.71391,096234368.4安庆13576,33030,187152.914125.812.3110.61211,7321,11854.9中卫香山13667,46641,64762.014714.30.043,163.61341,3201,10819.1东营13766,54575,574-11.9122167.4273.2-38.71281,4861,490-0.3漠河/古莲13865,72975,263-12.713351.938.335.51488141,100-26.0百色/田阳13960,31068,016-11.31690.00.083.31311,4001,428-2.0文山/普者黑14056,77156,916-0.3124156.7 5.92,567.3151774740 4.6库车14149,66930,47263.013636.119.881.81381,14062682.1哈密14249,53829,10470.214225.4 4.4481.015080868817.4梅县/长岗岌14349,37233,87945.714420.911.974.81271,5661,22328.0广元/盘龙14448,54016,533193.6126153.00.625,062.0156646200223.0二连浩特/赛乌苏14547,00514520.90.0144968伊春/林都14643,90310,252328.2155 2.10.0154652226188.5铜仁/凤凰14742,24937,36313.1130104.97.51,303.21331,3551,882-28.0梧州/长州岛14842,21846,663-9.51499.68.119.35612,11326,800-54.8格尔木14941,97938,4799.1129108.878.738.315565155517.3连城/冠豸山15041,93143,460-3.51710.00.0160504598-15.7淮安/涟水15139,174159 1.40.0157642昭通15237,37234,7167.713541.973.3-42.9161488520-6.2克拉玛依15334,05132,875 3.6153 4.4 3.623.01042,659863208.1永州/零陵15433,2165,932459.913832.510.7203.515367841264.6兴义15531,88232,911-3.114810.4 5.396.71421,01277231.1那拉提15630,27543,783-30.914323.033.4-31.3164422712-40.7塔城15725,89615,39968.2156 1.90.4324.315274966812.1黎平15825,78415,09970.8154 2.4 1.646.415862448827.9鞍山/腾鳌15924,6071730.00.0165418甘孜/康定16021,68711,16594.21720.00.2-100.016344536521.9庆阳16118,70020,577-9.11630.20.01459521,242-23.3朝阳16216,11321,877-26.31620.50.01,345.5168296509-41.8唐山/三女河16314,89513186.10.0147838博乐/阿拉山口16411,7981640.20.0167310汉中/西关16511,65111,366 2.514030.824.028.5162480618-22.3且末1668,3617,50111.5151 5.6 1.0449.316925820029.0天水/麦积山1676,76823,718-71.51509.1 4.887.31663441,072-67.9阿里/昆莎1686,434157 1.70.0173110固原/六盘山1695,2831740.00.0172162长海/大长山岛1704,6455,014-7.41700.00.0159520589-11.7黔南州/荔波1714,3871512,805.31650.10.0171175141,150.0安康1721,8442,854-35.4160 1.4 1.215.7170200250-20.0黔江/舟白1731,2581750.00.017536吐鲁番/交河1741,2241660.10.017472安顺/黄果树175219491-55.41680.00.01162,077267,888.5。