三角恒等变换专题复习
- 格式:doc
- 大小:237.00 KB
- 文档页数:2
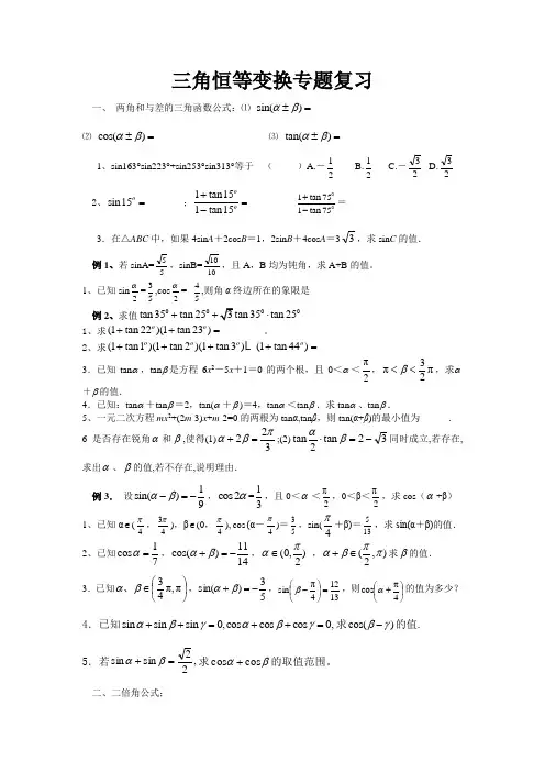
专题02三角函数 三角恒等变换(难点)一、单选题1.已知函数()sin()f x A x ωϕ=+(0A >,0>ω,||2πϕ≤),满足06f π⎛⎫-= ⎪⎝⎭且对于任意的x ∈R 都有2()3f x f x π⎛⎫=- ⎪⎝⎭,若()f x 在52,369ππ⎛⎫⎪⎝⎭上单调,则ω的最大值为( ) A .5 B .7C .9D .11【答案】C 2.设函数()cos (0)4f x x πωω⎛⎫=-> ⎪⎝⎭,已知()f x 在[[0,2]π有且仅有4个零点,下述四个结论:①()1f x =在[0,2]π有且仅有2个零点;②()1f x =-在[0,2]π有且仅有2个零点;③ω的取值范围是1519,88⎡⎫⎪⎢⎣⎭;④()f x 在0,10π⎛⎫⎪⎝⎭单调递增,其中正确个数是( )A .0个B .1个C .2个D .3个【答案】D 【解析】 由[0,2]xπ时,得到,2444x πππωπω⎡⎤-∈--⎢⎥⎣⎦,根据()f x 在[[0,2]π有且仅有4个零点,则24ππω-在第4个零点和第5个零点之间,然后利用余弦函数的性质求解.当[0,2]xπ时,,2444x πππωπω⎡⎤-∈--⎢⎥⎣⎦,因为()f x 在[[0,2]π有且仅有4个零点, 所以24ππω-在第4个零点和第5个零点之间,所以792242ππππω≤-<, 解得151988ω<≤,故③正确; 当()1f x =时,2,4x k k Z πωπ-=∈,又924244x πππππωω-≤-≤-<,0,1,2k ∴=,结合cos y x =知()1f x =最多有3个零点,故①错误;当()1f x =-时,2,4x k k Z πωππ-=+∈,又924244xπππππωω-≤-≤-<, 0,1k ∴=,结合cos y x =()1f x =-有且仅有2个零点,故②正确;当0,10x π⎛⎫∈ ⎪⎝⎭时,,44104x πππωπω⎛⎫-∈-- ⎪⎝⎭,因为151988ω<≤,所以,1041680πωπππ⎡⎤-∈--⎢⎥⎣⎦,则0104πωπ-<,所以()f x 在0,10π⎛⎫⎪⎝⎭单调递增,故④正确; 故选:D 【点睛】关键点点睛:本题关键是利用整体思想,根据()f x 在[[0,2]π有且仅有4个零点,确定792242ππππω≤-<,求得ω的范围,其他问题迎刃而解. 3.已知函数()()sin f x x ωϕ=+(0>ω,ϕπ<)的部分图像如图所示,若存在120x x π≤<≤,满足()()1234f x f x ==,则()12cos x x -=( )A .7B 7C .34D .34-【答案】C 【解析】根据图象求出函数的解析式,结合对称性求出2123x x π=-,然后利用三角函数的诱导公式进行转化,即可求解.由图象可得函数的周期为13762()2121212T ππππ=⨯-=⨯=,即2wππ=,解得2w =, 又由当7135121226x πππ+==时,函数55()sin(2)166f ππϕ=⨯+=-,即532,32k k Z ππϕπ+=+∈,即2,6k k Z πϕπ=-∈, 当0k=时,6πϕ=-,即()sin(2)6f x x π=-,因为存在120x x π≤<≤,满足()()1234f x f x ==, 所以1112666x πππ-≤-≤,则11222,266x x ππθθ=-=-关于2π对称, 即12226622x x πππ-+-=,可得2123x x π=-,且13sin(2)64x π-=, 则()1212cos cos(2)3x x x π-=-, 设126x πα-=,则126x πα=+,即3sin 4α=,则()121223cos cos(2)cos()cos()sin 36324x x x ππππααα-=-=+-=-==. 故选:C. 【点睛】本题主要考查了三角函数值的计算,结合条件求出函数的解析式,利用三角函数的对称性以及三角函数的诱导公式进行转化是解答的关键,试题综合性强,属于中档试题.4.筒车是我国古代发明的一种水利灌溉工具,既经济又环保,明代科学家徐光启在《农政全书》中用图1描绘了筒车的工作原理.假定在水流稳定的情况下,筒车上的每一个盛水筒都做匀速圆周运动.将筒车抽象为一个几何图形(圆),筒车的半径为2m ,筒车的轴心O 到水面的距离为1m ,筒车每分钟按逆时针转动2圈.规定:盛水筒M 对应的点P 从水中浮现(即0P 时的位置)时开始计算时间,设盛水筒M 从0P 运动到点P 时所用时间为t (单位:s ),且此时点P 距离水面的高度为h (单位:m ).若以筒车的轴心O 为坐标原点,过点O 的水平直线为x 轴建立平面直角坐标系xOy (如图2),则h 与t 的函数关系式为( )A .2sin 1156h t ππ⎛⎫=-+⎪⎝⎭,[)0,t ∈+∞B .2sin 1156h t ππ⎛⎫=++⎪⎝⎭,[)0,t ∈+∞ C .2sin 16h t ππ⎛⎫=-+ ⎪⎝⎭,[)0,t ∈+∞ D .2sin 16h t ππ⎛⎫=++ ⎪⎝⎭,[)0,t ∈+∞ 【答案】A 【解析】首先先求以OP 为终边的角为156t ππ-,再根据三角函数的定义求点P 的纵坐标,以及根据图形表示()h t .06xOP π∠=,所以0OP 对应的角是6π-,由OP 在()t s 内转过的角为226015t t ππ⨯=, 可知以Ox 为始边,以OP 为终边的角为156t ππ-,则点P 的纵坐标为2sin 156t ππ⎛⎫-⎪⎝⎭,所以点P 距水面的高度()h m 表示为()t s 的函数是2sin 1156h t ππ⎛⎫=-+⎪⎝⎭.故选:A 【点睛】关键点点睛:本题的关键读懂题意,并能抽象出函数关系,关键是求以OP 在()t s 内转过的角为226015t t ππ⨯=,再求以OP 为终边的角为156t ππ-.5.已知函数()()x f x ωϕ=+(0>ω)的一个对称中心为,04π⎛⎫ ⎪⎝⎭,且将()y f x =的图象向右平移6π个单位所得到的函数为偶函数.若对任意ω,不等式22226m fm πω⎡⎤⎛⎫+⋅-> ⎪⎢⎥⎝⎭⎣⎦恒成立,则实数m 的取值范围是( ) A .94,55⎛⎫-⎪⎝⎭B .49,55⎛⎫-⎪⎝⎭ C .94,,55⎛⎫⎛⎫-∞-+∞ ⎪ ⎪⎝⎭⎝⎭D .49,,55⎛⎫⎛⎫-∞-+∞ ⎪ ⎪⎝⎭⎝⎭【答案】B【解析】由,04π⎛⎫⎪⎝⎭是对称中心,可得()4k k Z ωπϕπ+=∈,由平移后的函数为偶函数可得62()k Z k πωϕππ+-+=∈,可求得ω的关系式及min ω,由6f π⎛⎫-= ⎪⎭⎝22m m ω+>恒成立,转化为()22min m m ω-<恒成立,结合min ω可求得实数m 的取值范围.,04π⎛⎫⎪⎝⎭是函数()()x f x ωϕ=+(0>ω)的一个对称中心, ()4k k Z ωπϕπ∴+=∈①()y f x =的图像向右平移6π个单位得到的函数为6x y ωωϕπ⎛⎫=-+ ⎪⎝⎭, in 62s x y ωωϕ⎛⎫=-+ ⎪⎝π⎭为偶函数,62()k Z k ϕπωππ+∴-+=∈②由①②可知,1225()k k Z πω=ππ∈+-,解得:()1()25k k Z ω6-=∈又662f k ππϕπω⎛⎫⎛⎫+= π⎛⎫-=-=+ ⎪⎝⎭⎪ ⎪⎝⎭⎝⎭所以对任意ω,不等式22226m fm πω⎡⎤⎛⎫+⋅-> ⎪⎢⎥⎝⎭⎣⎦恒成立,即22m m ω+>恒成立 即()22minm m ω-<恒成立,又()1()25k k Z ω6-=∈且0>ω,min 5ω∴=6 225m m 6⎛⎫∴-< ⎪⎝⎭,解得:455m 9-<<所以实数m 的取值范围是49,55⎛⎫- ⎪⎝⎭ 故选:B 【点睛】方法点睛:本题考查不等式的恒成立问题, 不等式恒成立问题常见方法: ①分离参数()a f x ≥恒成立(()max a f x ≥即可)或()a f x ≤恒成立(()min a f x ≤即可);②数形结合(()y f x =图像在()y g x = 上方即可);③讨论最值()min 0f x ≥或()max 0f x ≤恒成立.6.设cos50cos127cos 40cos37a =︒⋅︒+︒⋅︒,)sin 56cos562b =︒-︒,221tan 391tan 39c -︒=+︒,()21cos802cos 5012d =︒-︒+,则a ,b ,c ,d 的大小关系是( ) A .a b d c >>> B .c a b d >>> C .b a d c >>> D .a c b d >>>【答案】D 【解析】化简得到cos77a =︒,cos 79b =︒,cos 78c =︒,cos80d =︒,得到答案.cos50cos127cos 40cos37sin 40sin 37cos 40cos37cos77a =︒⋅︒+︒⋅︒=-︒︒+︒⋅︒=︒;)sin 45sin sin 5566cos c 56os 45cos56cos101cos79b =︒︒-︒︒=-︒==︒-︒︒; 22221tan 39cos 39sin 39cos781tan 39c -︒==︒-︒=︒+︒; ()222cos 1cos 40cos 50cos80802cos 5012d =︒=︒--︒=︒+︒. 根据余弦函数的单调性知:a c b d >>>. 故选:D . 【点睛】本题考查了三角恒等变换,三角函数的单调性,意在考查学生的综合应用能力. 7.将函数()3cos 3f x x π⎛⎫=-⎪⎝⎭的图象上的所有点的横坐标缩短为原来的12,纵坐标不变,再把所得的图象向左平移3π个单位长度,然后再把所得的图象向下平移1个单位长度,得到函数()gx 的图象,若()()1216g x g x =,且[]12,2,2x x ππ∈-,则122x x -的最大值为( )A .133π B .103π C .52π D .256π 【答案】A 【解析】根据三角函数平移变换,先求得()gx 的解析式.根据()()1216g x g x =,可知()()124g x g x ==-,即12cos 21,cos 2133x x ππ⎛⎫⎛⎫+=-+=- ⎪ ⎪⎝⎭⎝⎭.根据[]12,2,2x x ππ∈-可分别求得12x 的最大值和2x 的最小值,即可求得122x x -的最大值.根据平移变换将函数()3cos 3f x x π⎛⎫=-⎪⎝⎭的图象上的所有点的横坐标缩短为原来的12,纵坐标不变,再把所得的图象向左平移3π个单位长度,然后再把所得的图象向下平移1个单位长度, 可得()3cos 213gx x π⎛⎫=+- ⎪⎝⎭由()()1216gx g x =,可知()()124g x g x ==- 即12cos 21,cos 2133x x ππ⎛⎫⎛⎫+=-+=- ⎪ ⎪⎝⎭⎝⎭[]12,2,2x x ππ∈-所以12111311132,,2,333333x x ππππππ⎡⎤⎡⎤+∈-+∈-⎢⎥⎢⎥⎣⎦⎣⎦123x π+的最大值为3π,223x π+的最小值为3π-则12x 的最大值为83π,2x 的最小值为53π- 所以122x x -的最大值为8513333πππ⎛⎫--= ⎪⎝⎭故选:A 【点睛】本题考查了三角函数图象的平移变换,三角函数性质的综合应用,利用函数的最值求参数的取值情况,属于难题. 8.设函数()cos()cos()f x m x n x αβ=+++,其中m 、n 、α、β为已知实常数,x ∈R ,有下列四个命题:(1)若(0)02f f ⎛⎫==⎪⎝⎭π,则()0f x =对任意实数x 恒成立;(2)若(0)0f =,则函数()f x 为奇函数;(3)若02f ⎛⎫= ⎪⎝⎭π,则函数()f x 为偶函数;(4)当22(0)02f f ⎛⎫=≠ ⎪⎝⎭π时,若12()()0f x f x ==,则122x x k π-=(k Z ∈);则上述命题中,正确的个数是( )A .1个B .2个C .3个D .4个【答案】C 【解析】利用两角和的余弦公式化简()f x 表达式. 对于命题(1),将(0)0,02f f π⎛⎫==⎪⎝⎭化简得到的表达式代入上述()f x 表达式,可判断出(1)选项的真假; 对于命题(2)选项,将(0)0f =化简得到的表达式代入上述()f x 表达式,可判断出()f x 为奇函数,由此判断出(2)选项的真假;对于命题(3)选项,将()02f π=化简得到的表达式代入上述()f x 表达式,可判断出()f x 为偶函数,由此判断出(3)选项的真假; 对于命题(4)选项,根据22(0)02f f π⎛⎫+≠ ⎪⎝⎭、()()120f x f x ==,求得()f x 的零点的表达式,进而判断出(4)选项的真假.()(cos cos sin sin )(cos cos sin sin )f x m x x n x x ααββ=-+-(cos cos )cos (sin sin )sin m n x m n x αβαβ=+-+不妨设()()11221122()cos cos cos sin sin sin f x k k x k k x αααα=+-+.1212,,,k k αα为已知实常数.若(0)0f =,则得1122cos cos 0k k αα+=;若()02f π=,则得1122sin sin 0k k αα+=.于是当(0)02f f ⎛⎫== ⎪⎝⎭π时,()0f x =对任意实数x 恒成立,即命题(1)是真命题; 当(0)0f =时,()1122()sin sin sin f x k k x αα=-+,它为奇函数,即命题(2)是真命题; 当()02f π=时,()1122()cos cos cos f x k k x αα=+,它为偶函数,即命题(3)是真命题;当22(0)02f f π⎛⎫+≠ ⎪⎝⎭时,令()0f x =,则()()11221122cos cos cos sin sin sin 0k k x k k x αααα+-+=,上述方程中,若cos 0x =,则sin 0x =,这与22cos sin 1x x +=矛盾,所以cos 0x ≠.将该方程的两边同除以cos x 得11221122cos cos tan sin sin k k x k k αααα+=+,令11221122cos cos sin sin k k t k k αααα+=+ (0t ≠),则 tan x t =,解得 arctan x k t π=+ (k Z ∈).不妨取11arctan x k t π=+,22arctan x k t π=+ (1k Z ∈且2k Z ∈),则()1212x x k k π-=-,即12x x k π-= (k Z ∈),所以命题(4)是假命题.故选:C 【点睛】本题考查两角和差公式,三角函数零点,三角函数性质,重点考查读题,理解题和推理变形的能力,属于中档题型.二、多选题9.已知函数()|cos 2|cos ||f x x x =+,有下列四个结论,其中正确的结论为( )A .()f x 在区间33,42ππ⎡⎤⎢⎥⎣⎦上单调递增 B .π是()f x 的一个周期C .()f x 的值域为2⎡⎤⎢⎥⎣⎦D .()f x 的图象关于y 轴对称【答案】CD 【解析】代入特殊值检验,可得A 错误;求得(+)f x π的表达式,即可判断B 的正误;分段讨论,根据x 的范围,求得cos x 的范围,利用二次函数的性质,即可求得()f x 的值域,即可判断C 的正误;根据奇偶性的定义,即可判断()f x 的奇偶性,即可判断D 的正误,即可得答案.对于A :因为33,42x ππ⎡⎤∈⎢⎥⎣⎦,所以32,32x ππ⎡⎤∈⎢⎥⎣⎦,555()cos cos ()cos 2cos 04242f f ππππππ=+=-=+=, 所以5()()4f f ππ<,所以()f x 在区间33,42ππ⎡⎤⎢⎥⎣⎦上不是单调递增函数,故A 错误; 对于B :|cos2(|cos ||cos2cos ||cos2cos ||())x x x f x x x x ππππ=++=++≠+++, 所以π不是()f x 的一个周期,故B 错误;对于C :|cos2(|cos |2|cos2cos ||=((2)2))x x x f f x x x πππ=++=+++,所以()f x 的周期为2π,当[0,]4x π∈时,cos x ∈,2()|cos2|cos ||cos2cos 2cos 1cos f x x x x x x x =+=+=-+∈;当3[,]44x ππ∈时,cos [22x ∈-,2()|cos2|cos ||cos2cos 12cos cos f x x x x x x x =+=-+=-+9[]8∈;当35[,]44x ππ∈时,cos [1,x ∈-,2()|cos2|cos ||cos2cos 2cos 1cos f x x x x x x x =+=+=-+[2∈-;当57[,]44x ππ∈时,cos [22x ∈,2()|cos2|cos ||cos2cos 12cos cos f x x x x x x x =+=-+=-+9[]28∈-;当7[,2]4x ππ∈时,cos x ∈,2()|cos2|cos ||cos2cos 2cos 1cos f x x x x x x x =+=+=-+∈;综上:()f x 的值域为2⎡⎤⎢⎥⎣⎦,故C 正确; 对于D :()|cos(2)|cos |()||cos 2|cos ||()f x x x x x f x -=-+-=+=,所以()f x 为偶函数,即()f x 的图象关于y 轴对称,故D 正确, 故选:CD 【点睛】解题的关键是根据的()f x 解析式,结合函数的奇偶性、周期性求解,考查分类讨论,化简计算的能力,综合性较强,属中档题. 10.设函数()|cos ||cos2|f x x a x b =+++,,a b ∈R ,则( )A .()f x 的最小正周期可能为2π B .()f x 为偶函数C .当0ab时,()f x 的最小值为2D .存a ,b 使()f x 在0,2π⎛⎫⎪⎝⎭上单调递增【答案】BCD【解析】 A .分析()2f x f x π⎛⎫=+ ⎪⎝⎭是否恒成立;B .分析函数定义域,根据()(),f x f x -的关系判断是否为偶函数;C .采用换元法,将()f x 写成分段函数的形式,然后分析每一段函数的取值范围,由此确定出最小值;D .分析1a b ==-时的情况,根据复合函数的单调性判断方法进行分析判断.A .因为cos cos 2sin cos 2222f x x a x b x a x b πππ⎛⎫⎛⎫⎛⎫+=+++++=-++-+ ⎪ ⎪ ⎪⎝⎭⎝⎭⎝⎭,所以()011,12f a b f a b π⎛⎫=+++=-+⎪⎝⎭,所以()02f f π⎛⎫= ⎪⎝⎭不一定成立, 所以()2f x f x π⎛⎫=+ ⎪⎝⎭不恒成立,所以()f x 的最小正周期不可能为2π,故错误;B .因为()f x 的定义域为R ,关于原点对称;又因为()()()()cos cos 2cos cos 2f x x a x b x a x b f x -=-++-+=+++=, 所以()f x 为偶函数,故正确;C .因为0ab,所以()cos cos2f x x x =+,所以()2cos 2cos 1f x x x =+-令[]cos 1,1x t =∈-,记[]221,1,1y t t t =+-∈-,所以222221,1,221,21,0,221,,12t t t t t t y t t t t t t ⎧⎡--∈--⎪⎢⎪⎣⎭⎪⎡⎫⎪--+∈⎪⎢⎪⎪⎪⎣⎭=⎨⎡⎪-++∈⎢⎪⎣⎭⎪⎪⎤⎪+-∈⎥⎪⎣⎦⎩,当1,t ⎡∈-⎢⎣⎭时,22219192122482482y t t t ⎛⎫⎛⎫=--=-->---= ⎪ ⎪ ⎪⎝⎭⎝⎭,当t ⎡⎫∈⎪⎢⎪⎣⎭时,222191921224848y t t t ⎛⎫⎛⎫=--+=-++≥-++= ⎪ ⎪ ⎪⎝⎭⎝⎭当2t ⎡∈⎢⎣⎭时,222191921224848y t t t ⎫⎛⎫=-++=--+>--+=⎪ ⎪⎪⎝⎭⎝⎭,当2t ⎤∈⎥⎣⎦时,22219192122482482y t t t ⎛⎫⎛⎫=+-=+-≥+-= ⎪ ⎪ ⎪⎝⎭⎝⎭,综上可知:()2cos 2cos 1f x x x =+-cos t x ==D .取1a b ==-,所以()|cos 1||cos21|f x x x =-+-,所以()1cos 1cos2f x x x =-+-,所以()22cos cos 3f x x x =--+,所以()21252cos 48f x x ⎛⎫=-++ ⎪⎝⎭,又因为cos y x =在0,2π⎛⎫ ⎪⎝⎭上单调递减,且0,2x π⎛⎫∈ ⎪⎝⎭时,()cos 0,1x ∈,且2125248y t ⎛⎫=-++ ⎪⎝⎭在()0,1t ∈时单调递减,根据复合函数的单调性判断方法可知:()21252cos 48f x x ⎛⎫=-++ ⎪⎝⎭在0,2π⎛⎫ ⎪⎝⎭上单调递增,所以存在1a b ==-使()f x 在0,2π⎛⎫⎪⎝⎭上单调递增,故正确,故选:BCD. 【点睛】思路点睛:复合函数()()f g x 的单调性的判断方法:(1)先分析函数定义域,然后判断外层函数的单调性,再判断内层函数的单调性; (2)当内外层函数单调性相同时,则函数为递增函数; (3)当内外层函数单调性相反时,则函数为递减函数.11.如图,已知函数()sin()f x A x ωϕ=+(其中0A >,0>ω,2πϕ≤)的图象与x 轴交于点A ,B ,与y 轴交于点C ,2BC BD =,3OCB π∠=,||2OA =,3AD =.则下列说法正确的有( ).A .()f x 的最小正周期为12B .6πϕ=-C .()f x 的最大值为163D .()f x 在区间(14,17)上单调递增【答案】ACD 【解析】3sin |2A πϕω=+,sin(2)0ωϕ+=,可得A ,B ,C ,D 的坐标,根据221||AD =,可得方程22228(1)243A sin πϕω-+=,进而解出ω,ϕ,A .判断出结论.解:由题意可得:||3|OB OC =,∴3sin |2A πϕω=+,sin(2)0ωϕ+=,(2,0)A ,(2B πω+,0),(0,sin )C A ϕ.(12D πω∴+,sin )2A ϕ, 221||AD =,∴22228(1)243A sin πϕω-+=, 把|sin |)3A πϕω=+代入上式可得:2()2240ππωω-⨯-=,0>ω. 解得6πω=,6πω∴=,可得周期212T ωπ==.sin()03πϕ∴+=,||2πϕ,解得3πϕ=-.可知:B 不对.∴3sin()|263A π-=+,0A >,解得163A =.∴函数16()sin()363f x x ππ=-, 可知C 正确.(14,17)x ∈时,()(263x πππ-∈,5)2π,可得:函数()f x 在(14,17)x ∈单调递增. 综上可得:ACD 正确. 故选:ACD . 【点睛】本题考查了三角函数方程的解法、三角函数求值、三角函数的图象与性质,考查了推理能力与计算能力,属于较难题. 12.已知函数()()sin f x x ωϕ=+(其中,0>ω,||2ϕπ<),08f π⎛⎫-= ⎪⎝⎭,3()8f x f π⎛⎫≤ ⎪⎝⎭恒成立,且()f x 在区间,1224ππ⎛⎫-⎪⎝⎭上单调,则下列说法正确的是( ) A .存在ϕ,使得()f x 是偶函数 B .3(0)4f f π⎛⎫=⎪⎝⎭C .ω是奇数D .ω的最大值为3【答案】BCD 【解析】根据3()8f x f π⎛⎫≤ ⎪⎝⎭得到21k ω=+,根据单调区间得到3ω≤,得到1ω=或3ω=,故CD 正确,代入验证知()f x 不可能为偶函数,A 错误,计算得到B 正确,得到答案.08f π⎛⎫-= ⎪⎝⎭,3()8f x f π⎛⎫≤ ⎪⎝⎭,则3188242k T πππ⎛⎫⎛⎫--==+ ⎪ ⎪⎝⎭⎝⎭,k ∈N , 故221T k π=+,21k ω=+,k ∈N , 08f π⎛⎫-= ⎪⎝⎭,则()s n 08i f x πωϕ⎛⎫=+= ⎪⎭-⎝,故8k πωϕπ+=-,8k ϕπωπ=+,k Z ∈,当,1224x ππ⎛⎫∈-⎪⎝⎭时,,246x k k ωπωπωϕππ⎛⎫+∈++ ⎪⎝⎭,k Z ∈,()f x 在区间,1224ππ⎛⎫-⎪⎝⎭上单调,故241282T πππ⎛⎫--=≤ ⎪⎝⎭,故4T π≥,即8ω≤,0243ωππ<≤,故62ωππ≤,故3ω≤,综上所述:1ω=或3ω=,故CD 正确;1ω=或3ω=,故8k ϕππ=+或38k ϕππ=+,k Z ∈,()f x 不可能为偶函数,A 错误; 当1ω=时,(0)sin sin 8f k πϕπ⎛⎫==+⎪⎝⎭,33sin sin 4488f k k ππππππ⎛⎫⎛⎫⎛⎫=++=+ ⎪ ⎪ ⎪⎝⎭⎝⎭⎝⎭,故3(0)4f f π⎛⎫=⎪⎝⎭; 当3ω=时,3(0)sin sin 8f k πϕπ⎛⎫==+⎪⎝⎭, 393sin sin 4488f k k ππππππ⎛⎫⎛⎫⎛⎫=++=+ ⎪ ⎪ ⎪⎝⎭⎝⎭⎝⎭,故3(0)4f f π⎛⎫= ⎪⎝⎭, 综上所述:3(0)4f f π⎛⎫= ⎪⎝⎭,B 正确; 故选:BCD. 【点睛】本题考查了三角函数的性质和参数的计算,难度较大,意在考查学生的计算能力和综合应用能力. 三、填空题13.在平面直角坐标系中,对任意角α,设α的终边上异于原点的任意一点P 的坐标为(,)x y ,它与原点的距离是r .我们规定:比值,,r r xx y y分别叫做角α的正割、余割、余切,分别记作sec α,csc α,cot α,把sec ,csc ,cot y x y x y x ===分别叫做正割函数、余割函数、余切函数,则下列叙述正确的有___________(填上所有正确的序号)①3cot14π=; ②sin csc 1αα⋅=;③sec y x =的定义域为{}|,Z x x k k π≠∈;④22sec csc 4αα+;⑤2cot 1cot22cot ααα-=.【答案】②④⑤ 【解析】由题设新定义知:1sec cos αα=,1csc sin αα=,1cot tan αα=,由31cot 34tan 4ππ=、1sin csc sin sin αααα⋅=⋅、1sec =cos y x x =、2224sec csc sin 2ααα+=以及正切二倍角公式,即可判断各项的正误.①31cot134tan4ππ==-,故错误; ②1sin csc sin =1sin αααα⋅=⋅,故正确; ③1sec =cos y x x =,即cos 0x ≠,有|,Z 2x x k k ππ⎧⎫≠+∈⎨⎬⎩⎭,故错误; ④22222221114seccsc 4cos sin cos sin sin 2ααααααα+=+==≥,故正确;⑤212tan cot2,tan 2tan 21tan ααααα==-,所以221tan cot 1cos 22tan 2cot ααααα--==,故正确. 故答案为:②④⑤ 【点睛】关键点点睛:新定义有1sec cos αα=,1csc sin αα=,1cot tan αα=,结合三角恒等变换判断各项的正误.14.已知2()sin ||sin ||f x x x ππ=-,()|ln |g x x =,若对于121,36x ⎡⎤∀∈--⎢⎥⎣⎦,122,x e e -⎡⎤∃∈⎣⎦使得()()12f x g x ≥,则实数m 的取值范围是_________.【答案】2⎡⎫-+∞⎪⎢⎪⎣⎭【解析】先分析题意即()()12min min f x g x ≥,再利用单调性求解()f x 的最小值和()g x 的最小值,解不等式即得结果.依题意,对于121,36x ⎡⎤∀∈--⎢⎥⎣⎦,122,x e e -⎡⎤∃∈⎣⎦使得()()12f x g x ≥,只需()()12min min f x g x ≥. 21,36x ⎡⎤∀∈--⎢⎥⎣⎦时()sin sin sin y x x x πππ==-=-,2,36x πππ⎡⎤--⎢⎣∈⎥⎦,0y <,故当232,x πππ⎡⎤--⎢⎣∈⎥⎦,即212,3x ⎡⎤∈--⎢⎥⎣⎦时,sin y x π=单调递增, 当2,6x πππ⎡-∈⎤-⎢⎥⎣⎦,即1261,x ⎡⎤∈--⎢⎥⎣⎦时,sin y x π=单调递减. 而函数2()f x x x=-,显然在(),0x ∈-∞单调递减. 故根据复合函数单调性可知,2()sin ||sin ||f x x x ππ=-在212,3x ⎡⎤∈--⎢⎥⎣⎦单调递减,在1261,x ⎡⎤∈--⎢⎥⎣⎦上单调递增,故min 122()sin 11221sin 2f x f ππ⎛⎫=-=-=-= ⎪⎝⎭. 对于12,x e e -⎡⎤∈⎣⎦,()|ln |g x x =,当1,1x e -⎡⎤∈⎣⎦时ln 0x ≤,故()ln g x x =-是单调递减的,当(21,x e ⎤∈⎦时ln 0x >,故()ln g x x =是单调递增的,故min()(1)|ln1|g x g ===.故依题意知,1≥,即2m ≥-.所以实数m的取值范围是2⎡⎫-+∞⎪⎢⎪⎣⎭.故答案为:,2⎡⎫-+∞⎪⎢⎪⎣⎭. 【点睛】结论点睛:本题考查不等式的恒成立与有解问题,可按如下规则转化: 一般地,已知函数()[],,y f x x a b =∈,()[],,y g x x c d =∈(1)若[]1,x a b ∀∈,[]2,x c d ∀∈,有()()12f x g x >成立,故()()12a min m x f x g x >; (2)若[]1,x a b ∀∈,[]2,x c d ∃∈,有()()12f x g x >成立,故()()12min min f x g x >;(3)若[]1,x a b ∃∈,[]2,x c d ∃∈,有()()12f x g x >成立,故()()12max min f x g x >; (4)若[]1,x a b ∀∈,[]2,x c d ∃∈,有()()12f x g x =,则()f x 的值域是()g x 值域的子集.15.关于函数()sin cos |sin cos |f x x x x x =++-,下列说法正确..的是___________(将正确的序号写在横线上)(1)()f x 是以2π为周期的函数; (2)当且仅当52,4x k k Z ππ=+∈时,函数取得最小值 (3)()f x 图像的对称轴为直线,4x k k Z ππ=+∈;(4)当且仅当322,2k x k k Z ππππ+<<+∈时,()0f x <. 【答案】(1)(2)(4) 【解析】由函数解析式,转化为分段函数的形式,并画出其函数图象,结合各分段的函数性质,判断它的周期、最小值及对应的自变量值、对称轴、以及()0f x ≤<对应的区间,即可判断各项的正误.由题设,52sin ,2244()592cos ,2244x k x k f x x k x k ππππππππ⎧+≤≤+⎪⎪=⎨⎪+≤≤+⎪⎩,k Z ∈,∴(2)sin(2)cos(2)|sin(2)cos(2)|sin cos |sin cos |()f x x x x x x x x x f x πππππ+=+++++-+=++-=,所以()f x 周期为2π.由解析式可得()f x 的图象如下:由图知:当且仅当52,4x k k Z ππ=+∈时,函数取得最小值2-()f x 图像的对称轴为直线2,4x k k Z ππ=+∈;当且仅当322,2k x k k Z ππππ+<<+∈时,2()0f x -<. 故答案为:(1)(2)(4).【点睛】关键点点睛:分类讨论并求出()f x 的分段函数形式,进而画出函数图象,应用数形结合的方法判断各项的正误. 16.给出以下命题:①若α、β是第一象限角且αβ<,则tan tan αβ<;②函数sin ,22y x x x ππ⎛⎛⎫=-∈- ⎪ ⎝⎭⎝有三个零点;③函数2sin sin sin 1x xy x +=+是奇函数;④函数1sin 2y x =-的周期是2π;⑤函数2()4sin4cos 1f x x x a =-++-,当2,43x ππ⎡⎤∈-⎢⎥⎣⎦时()0f x =恒有解,则a 的范围是[4,5]-.其中正确命题的序号为____________. 【答案】④⑤ 【解析】根据正切周期性,对①举反例;根据sin x 与x 关系,可解()f x 零点;根据奇函数定义域,判断2sin sin sin 1x xy +=+是非奇非偶函数.对于①,令60,390αβ==,3tan 3,tan tan 303αβ===则①错;对于②,当0,2x π⎛⎫∈ ⎪⎝⎭有sin x x <恒成立,则0,2x π⎛⎫∈ ⎪⎝⎭无零点;又sin y x x =-为奇函数,,02x π⎛⎫∴∈- ⎪⎝⎭,sin y x x =-也无零点;则sin y x x =-只有0x =一个零点,则②错;对于③,求2sin sin sin 1x xy x +=+定义域,sin 1x ≠-则定义域为2,2x x k k Z ππ⎧⎫≠-+∈⎨⎬⎩⎭定义域不关于原点对称,则函数为非奇非偶函数,则③错误; 对于④,函数1sin 2y x =-是函数sin y x =向下平移12个单位,再沿x 轴将下方图像翻折到x 轴上方,故2T π=,则④正确对于⑤,222()4sin 4cos 14cos 4cos 3(2cos 1)4f x x x a x x a x a =-++-=+--=+--当2,43x ππ⎡⎤∈-⎢⎥⎣⎦,1cos ,12x ⎡⎤∴∈-⎢⎥⎣⎦,[]2cos 10,3x ∴+∈,[]2(2cos 1)0,9x ∴+∈使()0f x =恒有解,则2(2cos 1)4x a +=+恒有根[]40,9a ∴+∈,[]4,5a ∴∈-,则⑤正确故答案为:④⑤ 【点睛】本题考查,正切函数周期性、奇偶性定义、翻折变换、三角函数有界性,综合性较强,考查计算能力,有一定难度.四、解答题 17.已知函数()sin cos cos sin f x x x αα=+,()cos cos sin sin g x x x ββ=⋅-⋅,,αβ是参数,x ∈R ,(,)22ππα∈-,(,)22ππβ∈-.(1)若,44ππαβ==,判别()()()h x f x g x =+的奇偶性,若,44ππαβ=-=,判别22()()()h x f x g x =+的奇偶性; (2)若3πα=,()()()t x f x g x =是偶函数,求β;(3)请你仿照问题(1)(2)提一个问题(3),使得所提问题或是(1)的推广或是问题(2)的推广,问题(1)或(2)是问题(3)的特例.(不必证明命题)将根据写出真命题所体现的思维层次和对问题探究的完整性,给予不同的评分.【答案】(1)非奇非偶函数;(2)6π;(3)答案见解析. 【解析】化简()f x 和()g x ,(1)化简()h x 的解析式,根据奇偶函数的定义可判断出结果; (2)由()()33t t ππ=-求出6πβ=,再验证()t x 为偶函数; (3)根据(1)或(2)中α和β的值,猜αβ+与αβ-的值与和函数、积函数的奇偶性的关系可得解.()sin cos cos sin f x x x αα=⋅+⋅,()cos cos sin sin g x x x ββ=⋅-⋅ ,()sin()f x x α=+, ()cos()g x x β=+,(1)当,44ππαβ==,所以()sin()cos()sin cos cos sin cos cos sin sin 444444h x x x x x x x ππππππ=+++=++-x =,所以()h x 是偶函数;当,44ππαβ=-=时,221cos(2)1cos(2)22()sin ()cos ()4422x x h x x x ππππ--++=-++=+ 1sin 21sin 21sin 22x x x -+-==-,所以()1sin(2)1sin 2h x x x -=--=+, 因为()()2044h h ππ-+=≠,所以()h x 不是奇函数, 因为()()2sin20442h h πππ--=-=-≠,所以()h x 不是偶函数所以()h x 是非奇非偶函数;(2)因为()()()t x f x g x =⋅为偶函数,所以()()t x t x =-对一切x ∈R 恒成立,所以()()33t t ππ=-,所以()()()()3333f g f g ππππ=--,所以sin()cos()sin()cos()333333ππππππββ++=-+-+,所以cos()03πβ+=,因为(,)22ππβ∈-,所以6πβ=, 当6πβ=时,()sin()cos()36t x x x ππ=++,()sin()cos()36t x x x ππ-=-+-+cos[()]sin[()]2326x x ππππ=--+--+cos()sin()()63x x t x ππ=++=,所以()t x 为偶函数, 综上所述:6πβ=. (3)第一层次,写出任何一种的一个(加法或乘法)均可以, 1、,()()2f xg x παβ+=+是偶函数;2、,()()2f xg x παβ+=-+是奇函数;3、,()()2f xg x παβ-=+是非奇非偶函数;4、,()()2f xg x παβ-=-+是既奇又偶函数;第二层次,写出任何一种的一个(加法或乘法)均可以, 1、33,()()2f xg x παβ+=+是偶函数(数字不分奇偶);2、55,()()2f xg x παβ+=-+是奇函数;44,()()2f xg x παβ+=-+是偶函数(数字只能同奇数);3、55,()()2f xg x παβ-=+是非奇非偶函数(数字不分奇偶,但需相同);4、33,()()2f xg x παβ-=-+是既奇又偶函数(数字只能奇数;22,()()2f xg x παβ-=-+是非奇非偶函数;第三层次,写出逆命题任何一种的一个(加法或乘法)均可以, 1、33()()f x g x +是偶函数(数字不分奇偶,但相同),则2παβ+=;2、55()()f x g x +是奇函数(数字只能正奇数),则 2παβ+=-;22()()f x g x +是偶函数(数字只能正偶数),则 2παβ+=- ;3、33()()f x g x +是偶函数(数字只能正奇数),则2παβ-=-;第四层次,写出充要条件中的任何一种均可以,1、2παβ+=的充要条件是()()f x g x +是偶函数,2、55()()f x g x +是奇函数(数字只能正奇数)的充要条件是2παβ+=-;22()()f x g x +是偶函数(数字只能正偶数)的充要条件是2παβ+=-;3、33()()f x g x +是偶函数(数字只能正奇数)的充要条件是 则2παβ-=-;第五层次,写出任何一种均可以(逆命题,充要条件等均可以), 1、*,2n N παβ+=∈时,()()n n f x g x +都是偶函数;2、*,2n N παβ+=-∈时,n 是正奇数,()()n n f x g x +是奇函数;*,2n N παβ+=-∈时,n 是正偶数,()()n n f x g x +是偶函数;3、*,2n N παβ-=-∈,n 奇数,()()n n f x g x +既奇又偶函数; 4、*,2n N παβ-=-∈,n 偶数,()()n n f x g x +是非奇非偶函数.【点睛】关键点点睛:掌握三角恒等变换公式与三角函数的奇偶性是解题关键. 18.已知函数()()()2sin 0,f x x ωϕωϕπ=+><,()f x 图象上相邻的最高点与最低点的横坐标相差2π,______; (1)①()f x 的一条对称轴3x π=-且()16f f π⎛⎫> ⎪⎝⎭; ②()f x 的一个对称中心5,012π⎛⎫⎪⎝⎭,且在2,63ππ⎡⎤⎢⎥⎣⎦上单调递减;③()f x 向左平移6π个单位得到的图象关于y 轴对称且(0)0f >从以上三个条件中任选一个补充在上面空白横线中,然后确定函数的解析式; (2)在(1)的情况下,令()()1cos 22h x f x x =-,()()g x h h x =⎡⎤⎣⎦,若存在,123x ππ⎡⎤∈⎢⎥⎣⎦使得()()()2230g g x a x a +-+-≤成立,求实数a 的取值范围.【答案】(1)选①②③,()2sin 26f x x π⎛⎫=+ ⎪⎝⎭;(2))⎡+∞⎣. 【解析】(1)根据题意可得出函数()f x 的最小正周期,可求得ω的值,根据所选的条件得出关于ϕ的表达式,然后结合所选条件进行检验,求出ϕ的值,综合可得出函数()f x 的解析式;(2)求得()sin 26h x x π⎛⎫=-⎪⎝⎭,由,123x ππ⎡⎤∈⎢⎥⎣⎦可计算得出()[]0,1h x ∈,进而可得出()1,sin 226g x π⎡⎤⎛⎫∈-- ⎪⎢⎥⎝⎭⎣⎦,由参变量分离法得出()()211a g x g x ≥+++,利用基本不等式求得()()211g x g x +++的最小值,由此可得出实数a 的取值范围.(1)由题意可知,函数()f x 的最小正周期为22T ππ=⨯=,22Tπω∴==. 选①,因为函数()f x 的一条对称轴3x π=-,则()232k k Z ππϕπ⎛⎫⨯-+=+∈ ⎪⎝⎭, 解得()76k k Z πϕπ=+∈, ϕπ<,所以,ϕ的可能取值为56π-、6π. 若56π=-ϕ,则()52sin 26f x x π⎛⎫=-⎪⎝⎭,则()2sin 2162f f ππ⎛⎫⎛⎫=-=-< ⎪ ⎪⎝⎭⎝⎭,不合乎题意; 若6π=ϕ,则()2sin 26f x x π⎛⎫=+ ⎪⎝⎭,则()2sin 2162f f ππ⎛⎫==> ⎪⎝⎭,合乎题意.所以,()2sin 26f x x π⎛⎫=+⎪⎝⎭;选②,因为函数()f x 的一个对称中心5,012π⎛⎫⎪⎝⎭,则()5212k k Z πϕπ⨯+=∈,解得()56k k Z πϕπ=-∈, ϕπ<,所以,ϕ的可能取值为56π-、6π. 若56π=-ϕ,则()52sin 26f x x π⎛⎫=-⎪⎝⎭,当2,63x ππ⎡⎤∈⎢⎥⎣⎦时,52,622x πππ⎡⎤-∈-⎢⎥⎣⎦,此时,函数()f x 在区间2,63ππ⎡⎤⎢⎥⎣⎦上单调递增,不合乎题意;若6π=ϕ,则()2sin 26f x x π⎛⎫=+ ⎪⎝⎭,当2,63x ππ⎡⎤∈⎢⎥⎣⎦时,532,622x πππ⎡⎤+∈⎢⎥⎣⎦, 此时,函数()f x 在区间2,63ππ⎡⎤⎢⎥⎣⎦上单调递减,合乎题意;所以,()2sin 26f x x π⎛⎫=+⎪⎝⎭; 选③,将函数()f x 向左平移6π个单位得到的图象关于y 轴对称,所得函数为2sin 22sin 263y x x ππϕϕ⎡⎤⎛⎫⎛⎫=++=++ ⎪ ⎪⎢⎥⎝⎭⎝⎭⎣⎦,由于函数2sin 23y x πϕ⎛⎫=++ ⎪⎝⎭的图象关于y 轴对称,可得()32k k Z ππϕπ+=+∈,解得()6k k Z πϕπ=+∈,ϕπ<,所以,ϕ的可能取值为56π-、6π. 若56π=-ϕ,则()52sin 26f x x π⎛⎫=-⎪⎝⎭,()502sin 16f π⎛⎫=-=- ⎪⎝⎭,不合乎题意; 若6π=ϕ,则()2sin 26f x x π⎛⎫=+ ⎪⎝⎭,()02sin 16f π==,合乎题意.所以,()2sin 26f x x π⎛⎫=+⎪⎝⎭; (2)由(1)可知()2sin 26f x x π⎛⎫=+ ⎪⎝⎭, 所以,()()11cos 2sin 2cos 22cos 2cos 2262h x f x x x x x x x π⎛⎫=-=+-=+- ⎪⎝⎭12cos 2sin 226x x x π⎛⎫=-=- ⎪⎝⎭,当,123x ππ⎡⎤∈⎢⎥⎣⎦时,0262x ππ≤-≤,()01h x ∴≤≤,所以,()22666h x πππ-≤-≤-,所以,()()()1sin 2,sin 2626g x h h x h x ππ⎡⎤⎡⎤⎛⎫==-∈--⎡⎤ ⎪⎢⎥⎣⎦⎢⎥⎣⎦⎝⎭⎣⎦, ()11,1sin 226g x π⎡⎤⎛⎫∴+∈+- ⎪⎢⎥⎝⎭⎣⎦,2223ππ<<,2362πππ∴<-<sin 216π⎛⎫<-< ⎪⎝⎭, 由()()()2230gg x a x a +-+-≤可得()()()2231g x g x a g x ++≤+⎡⎤⎣⎦,所以,()()()()()()()22122321111g x g x g x a g x g x g x g x ++⎡⎤++⎣⎦≥==+++++, 由基本不等式可得()()211g x g x ++≥=+当且仅当()11,1sin 226g x π⎡⎤⎛⎫+=+- ⎪⎢⎥⎝⎭⎣⎦时,等号成立,所以,a ≥【点睛】结论点睛:利用参变量分离法求解函数不等式恒(能)成立,可根据以下原则进行求解: (1)x D ∀∈,()()min m f x m f x ≤⇔≤; (2)x D ∀∈,()()max m f x m f x ≥⇔≥; (3)x D ∃∈,()()max m f x m f x ≤⇔≤; (4)x D ∃∈,()()min m f x m f x ≥⇔≥.19.已知函数2())2sin 1(0,0)2x f x x πωϕωϕωϕ+⎛⎫++-><< ⎪⎝⎭为奇函数,且()f x 图象的相邻两对称轴间的距离为π2. (1)求()f x 的解析式.(2)求()()sin cos h x f x x x =++的最大值. (3)将函数()f x 的图象向右平移π6个单位长度,再把横坐标缩小为原来的12(纵坐标变),得到函数()y g x =的图象,当[,]126ππx ∈-时,求函数()g x 的值域. (4)对于第(3)问中的函数()g x ,记方程4()3g x =在4[,]63ππx ∈上的根从小到依次为1x ,2x ,n x ,试确定n 的值,并求1231222n n x x x x x -+++++的值.【答案】(1)()2sin 2f x x =(2)2+3)[-(4)203π【解析】(1)利用三角恒等变换的公式,化简函数()f x 的解析式,利用正弦函数的周期,奇偶性求得函数的解析式;(2)令sin cos t x x =+,利用换元法转化为222y t t =+-,[t ∈求最大值即可;(3)利用函数()sin()f x A x ωϕ=+的图象变换规律,求得函数()g x 的解析式,进而求得函数的值域;(4)由方程4()3g x =,得到2sin(4)33x π-=,根据4[,]63ππx ∈,求得4[,5]33πx ππ-∈,设43x πθ=-,转化为2sin 3θ=,结合正弦函数的图象与性质,即可求解.(1)由题意,函数2())2sin 12x f x x ωϕωϕ+⎛⎫++- ⎪⎝⎭)cos()2sin()6x x x πωϕωϕωϕ=+-+=+-因为函数()f x 图象的相邻两对称轴间的距离为π2,所以T π=,可得2ω=,又由函数()f x 为奇函数,可得()02sin()06f πϕ=-=,所以,6k k Z πϕπ-=∈,因为0πϕ<<,所以6π=ϕ,所以函数()2sin 2f x x =.(2)()()sin cos 2sin 2sin cos h x f x x x x x x =++=++,令sin cos )[4t x x x π=+=+∈,则212sin cos t x x =+,所以222y t t =+-,[t ∈,因为对称轴14t =-, 所以当2t=时,max 22y =+,即()h x 的最大值为22+.(3)将函数()f x 的图象向右平移π6个单位长度,可得2sin(2)3y x π=-的图象,再把横坐标缩小为原来的12,得到函数()2sin(4)3y g x x π==-的图象,当[,]126ππx ∈-时,24[,]333x πππ-∈-, 当432x ππ-=-时,函数()g x 取得最小值,最小值为2-,当433x ππ-=时,函数()g x 取得最大值,最小值为3,故函数()g x 的值域[2,3]-. (4)由方程4()3g x =,即42sin(4)33x π-=,即2sin(4)33x π-=, 因为4[,]63ππx ∈,可得4[,5]33πx ππ-∈, 设43x πθ=-,其中[,5]3πθπ∈,即2sin 3θ=, 结合正弦函数sin y θ=的图象,如图可得方程2sin 3θ=在区间[,5]3ππ有5个解,即5n =,其中122334453,5,7,9θθπθθπθθπθθπ+=+=+=+=,即12233445443,445,447,44933333333x x x x x x x x ππππππππππππ-+-=-+-=-+-=-+-= 解得1223344511172329,,,12121212x x x x x x x x ππππ+=+=+=+=所以122331443552420()()()()2223x x x x x x x x x x x x x π=+++++++=+++++. 【点睛】关键点点睛:解决三角函数图象与性质的综合问题的关键是首先正确的将已知条件转化为三角函数解析式和图象,然后再根据数形结合思想研究函数的性质(单调性、奇偶性、对称性、周期性),进而加深理解函数的极值点、最值点、零点及有界函数等概念.20.已知向量3sin π2a x x ⎛⎫⎛⎫=- ⎪ ⎪⎝⎭⎝⎭,ππsin ,cos 22b x x ⎛⎫⎛⎫⎛⎫=-+ ⎪ ⎪ ⎪⎝⎭⎝⎭⎝⎭,函数3()f x a b =⋅-.(1)求()f x 的最小正周期及()f x 图象的对称轴方程;(2)若先将()f x 的图象上每个点纵坐标不变,横坐标变为原来的2倍,然后再向左平移π3个单位长度得到函数()g x 的图象,求函数()15y g x =-在区间[]π,3π-内的所有零点之和.【答案】(1)最小正周期为π,对称轴方程为5ππ,122k x k =+∈Z ;(2)6π. 【解析】(1)结合向量的数量积的坐标运算,化简求得()πsin 23f x x ⎛⎫=- ⎪⎝⎭,再利用三角函数的图象与性质,即可求解;(2)根据三角函数的图象变换,求得()sin gx x =,结合函数的零点的概念和正弦函数的图象的性质,即可求解.(1)由题意,向量3sin π2a x x ⎛⎫⎛⎫=- ⎪ ⎪⎝⎭⎝⎭,ππsin ,cos 22b x x ⎛⎫⎛⎫⎛⎫=-+ ⎪ ⎪ ⎪⎝⎭⎝⎭⎝⎭,所以3()f x a b =⋅-π3ππsin sin cos 2222x x x x ⎛⎫⎛⎫⎛⎫=⋅--⋅+- ⎪ ⎪ ⎪⎝⎭⎝⎭⎝⎭sin cos sin )(sin )x x x x =⋅+-⋅-1sin 2cos 2)2x x =+-πsin 23x ⎛⎫=- ⎪⎝⎭. 可得22ππ2T w π===,即函数的最小正周期为π, 令ππ2π,32x k k -=+∈Z ,解得5ππ,122k x k =+∈Z所以函数()f x 的最小正周期为π,对称轴方程为5ππ,122k x k =+∈Z . (2)由(1)知()πsin 23f x x ⎛⎫=-⎪⎝⎭, 将()f x 的图象上每个点横坐标变为原来的2倍,可得πsin 3y x ⎛⎫=- ⎪⎝⎭,然后将πsin 3y x ⎛⎫=- ⎪⎝⎭向左平移π3个单位长度得到函数()sin g x x =,令1()05g x -=,即1sin 5x =, 由图可知,1sin 5x =在[π,3π]-上有4个零点:1x ,2x ,3x ,4x ,根据对称性有12π22x x +=,345π22x x +=, 所以所有零点和为12346πx x x x +++=.【点睛】本题主要考查了三角函数的图象与性质,三角函数的图象变换,以及向量的数量积运算,函数与方程等知识点的综合应用,着重考查推理与运算能力,属于中档试题. 21.已知向量33cos,sin 22x x a ⎛⎫= ⎪⎝⎭,cos ,sin 22x x b ⎛⎫=- ⎪⎝⎭,函数()1f x a b m a b =⋅-++,,34x ππ⎡⎤∈-⎢⎥⎣⎦,m R ∈.(1)当0m =时,求6f π⎛⎫⎪⎝⎭的值; (2)若()f x 的最小值为1-,求实数m 的值;(3)是否存在实数m ,使函数()()22449g x f x m =+,,34x ππ⎡⎤∈-⎢⎥⎣⎦有四个不同的零点?若存在,求出m 的取值范围;若不存在,说明理由.。
三角恒等变换【知识分析】1、本章网络结构2、要点概述(1)求值常用的方法:切割化弦法,升幂降幂法,和积互化法,辅助元素法,“1”的代换法等。
(2)要熟悉角的拆拼、变换的技巧,倍角与半角的相对性,如是的半角,是的倍角等。
(3)要掌握求值问题的解题规律和途径,寻求角间关系的特殊性,化非特殊角为特殊角,正确选用公式,灵活地掌握各个公式的正用、逆用、变形用等。
(4)求值的类型:①“给角求值”:一般所给出的角都是非特殊角,从表面来看较难,但仔细观察非特殊角与特殊角总有一定关系,解题时,要利用观察得到的关系,结合和差化积、积化和差、升降幂公式转化为特殊角并且消降非特殊角的三角函数而得解。
②“给值求值”:给出某些角的三角函数式的值,求另外一些角的三角函数值,解题关键在于“变角”,使其角相同或具有某种关系。
③“给值求角”:实质上可转化为“给值求值”,关键也是变角,把所求角用含已知角的式子表示,由所得的函数值结合该函数的单调区间求得角。
(5)灵活运用角和公式的变形,如:,等,另外重视角的范围对三角函数值的影响,因此要注意角的范围的讨论。
(6)合一变形(辅助角公式)把两个三角函数的和或差化为“一个三角函数,一个角,一次方”的形式。
,其中.(7)化简三角函数式常有两种思路:一是角的变换(即将多种形式的角尽量统一),二是三角函数名称的变化(即当式子中所含三角函数种类较多时,一般是“切割化弦”),有时,两种变换并用,有时只用一种,视题而定。
(8)三角恒等变换方法观察(角、名、式)→三变(变角、变名、变式)① “变角”主要指把未知的角向已知的角转化,是变换的主线,如α=(α+β)-β=(α-β)+β, 2α=(α+β)+ (α-β), 2α=(β+α)-(β-α),α+β=2·,= (α-)-(-β)等.②“变名”指的是切化弦(正切余切化成正弦余弦),③“变式’指的是利用升幂公式和降幂公式升幂降幂,利用和角和差角公式、合一变形公式展开和合并等。
三角恒等变换专题复习教学目标:1、能利用单位圆中的三角函数线推导出 απαπ±±,2的正弦、余弦、正切的诱导公式;2、理解同角三角函数的基本关系式:;3、可熟练运用三角函数见的基本关系式解决各种问题; 教学重难点:可熟练运用三角函数见的基本关系式解决各种问题 基础知识一、同角的三大关系:① 倒数关系 tan α•cot α=1 ② 商数关系 sin cos αα= tan α ; cos sin αα= cot α ③ 平方关系 22sin cos 1αα+=温馨提示:1求同角三角函数有知一求三规律,可以利用公式求解,最好的方法是利用画直角三角形速解;来源:学+科+网2利用上述公式求三角函数值时,注意开方时要结合角的范围正确取舍“±”号;二、诱导公式口诀:奇变偶不变,符号看象限用诱导公式化简,一般先把角化成,2k z α+∈的形式,然后利用诱导公式的口诀化简如果前面的角是90度的奇数倍,就是 “奇”,是90度的偶数倍,就是“偶”;符号看象限是,把α看作是锐角,判断角2k πα+在第几象限,在这个象限的前面三角函数的符号是 “+”还是“--”,就加在前面;用诱导公式计算时,一般是先将负角变成正角,再将正角变成区间0(0,360)的角,再变到区间00(0,180)的角,再变到区间00(0,90)的角计算;三、和角与差角公式 :sin()sin cos cos sin αβαβαβ±=±; cos()cos cos sin sin αβαβαβ±=;tan tan tan()1tan tan αβαβαβ±±=变 用 tan α±tan β=tan α±β1 tan αtan β四、二倍角公式:sin 2α= 2sin cos αα.2222cos 2cos sin 2cos 112sin ααααα=-=-=-.22tan tan 21tan ααα=-五、注意这些公式的来弄去脉这些公式都可以由公式cos()cos cos sin sin αβαβαβ±=推导出来;六、注意公式的顺用、逆用、变用;如:逆用sin cos cos sin sin()αβαβαβ±=± 1sin cos sin 22ααα=变用22cos 1cos 2αα+=22cos 1sin 2αα-= 21cos 4cos 22αα+= 七、合一变形辅助角公式把两个三角函数的和或差化为“一个三角函数,一个角,一次方”的 B x A y ++=)sin(ϕϖ形式;()22sin cos αααϕA +B =A +B +,其中tan ϕB=A. 八、万能公式ααα2tan 1tan 22sin += ααα22tan 1tan 12cos +-= ααα2tan 1tan 22tan -=九、用αsin ,αcos 表示2tanααααααsin cos 1cos 1sin 2tan-=+=十、积化和差与和差化积积化和差 )]sin()[sin(cos sin βαβαβα-++=; )]sin()[sin(sin cos βαβαβα--+=;)]cos()[cos(cos cos βαβαβα-++=; )]cos()[cos(sin sin βαβαβα--+=.和差化积 2cos2sin2sin sin ϕθϕθϕθ-+=+2sin 2cos 2sin sin ϕθϕθϕθ-+=- 2cos 2cos 2cos cos ϕθϕθϕθ-+=+ 2sin 2sin 2cos cos ϕθϕθϕθ-+=-十一、方法总结1、三角恒等变换方法观察角、名、式→三变变角、变名、变式1 “变角”主要指把未知的角向已知的角转化,是变换的主线,如α=α+β-β=α-β+β, 2α=α+β+ α-β, 2α=β+α-β-α,α+β=2·错误! , 错误! = α-错误!-错误!-β等.2“变名”指的是切化弦正切余切化成正弦余弦sin cos tan ,cot cos sin αααααα==, 3“变式’指的是利用升幂公式和降幂公式升幂降幂,利用和角和差角公式、合一变形公式展开和合并等; 2、恒等式的证明方法灵活多样①从一边开始直接推证,得到另一边,一般地,如果所证等式一边比较繁而另一边比较简时多采用此法,即由繁到简.②左右归一法,即将所证恒等式左、右两边同时推导变形,直接推得左右两边都等于同一个式子. ③比较法, 即设法证明: "左边-右边=0" 或" 错误! =1";④分析法,从被证的等式出发,逐步探求使等式成立的充分条件,一直推到已知条件或显然成立的结论成立为止,则可以判断原等式成立.例题精讲例1 已知α为第四象限角,化简:ααααααcos 1cos 1sin sin 1sin 1cos +-++-解:1因为α为第四象限角所以原式=αααααα2222cos 1)cos 1(sin sin 1)sin 1(cos --+-- ()ααααααααααsin cos cos 1sin 1sin cos 1sin cos sin 1cos -=---=--+-=例2 已知360270<<α,化简α2cos 21212121++ 解:360270<<α,02cos,0cos <>∴αα所以原式2111cos211cos 22222αα++=+21cos cos cos 222ααα+===- 例3 tan20°+4sin20°解:tan20°+4sin20°=0020cos 40sin 220sin +=0sin(6040)2sin 40cos 20-+00003340sin 403cos 20223cos 20+=== 例4 05天津已知727sin()2425παα-==,求sin α及tan()3πα+.解:解法一:由题设条件,应用两角差的正弦公式得)cos (sin 22)4sin(1027ααπα-=-=,即57cos sin =-αα ①由题设条件,应用二倍角余弦公式得)sin (cos 57)sin )(cos sin (cos sin cos 2cos 25722ααααααααα+-=+-=-== 故51sin cos -=+αα ② 由①和②式得53sin =α,54cos -=α因此,43tan -=α,由两角和的正切公式11325483343344331433tan 313tan )3tan(-=+-=+-=-+=+ααπα 解法二:由题设条件,应用二倍角余弦公式得αα2sin 212cos 257-==, 解得 259sin 2=α,即53sin ±=α 由1027)4sin(=-πα可得57cos sin =-αα由于0cos 57sin >+=αα,且057sin cos <-=αα,故α在第二象限于是53sin =α,从而5457sin cos -=-=αα 以下同解法一小结:1、本题以三角函数的求值问题考查三角变换能力和运算能力,可从已知角和所求角的内在联系均含α进行转换得到.2、在求三角函数值时,必须灵活应用公式,注意隐含条件的使用,以防出现多解或漏解的情形. 例 5 已知,,A B C 为锐角ABC ∆的三个内角,两向量(22sin ,cos sin )p A A A =-+,(sin cos ,q A A =-1sin )A +,若p 与q 是共线向量.1求A 的大小;2求函数232sin cos()2C By B -=+取最大值时,B 的大小. 解:122// 2(1)(1+)- p q sinA sinA sin A cos A ∴-=22220 120cos A cos A cos A ∴+=∴+= 1cos 2A 2∴=-0<2A<π,002A 120 A=60∴=∴200A=60 B+C=120∴ 2013y=2sin B+cos(602B)1cos 2B+cos 2B sin 2B 22-=-+31 =sin 2B cos 2B+1=sin(2B )1226π--+ , 2B B 623πππ-=当时,即=. 小结:三角函数与向量之间的联系很紧密,解题时要时刻注意例6 设关于x 的方程sinx +3cosx +a =0在0, 2π内有相异二解α、β.1求α的取值范围; 2求tan α+β的值. 解: 1∵sinx +3cosx =221sinx +23cosx =2 sinx +3π, ∴方程化为sinx +3π=-2a.∵方程sinx +3cosx +a =0在0, 2π内有相异二解, ∴sinx +3π≠sin 3π=23 .又sinx +3π≠±1 ∵当等于23和±1时仅有一解, ∴|-2a |<1 . 且-2a≠23. 即|a |<2且a ≠-3.∴ a 的取值范围是-2, -3∪-3, 2.2 ∵α、 β是方程的相异解, ∴sin α+3cos α+a =0 ①. sin β+3cos β+a =0 ②. ①-②得sin α- sin β+3 cos α- cos β=0. ∴ 2sin2βα-cos2βα+-23sin2βα+sin2βα-=0, 又sin2βα+≠0, ∴tan2βα+=33.∴tan α+β=2tan22tan22βαβα+-+=3.小结:要注意三角函数实根个数与普通方程的区别,这里不能忘记0, 2π这一条件. 例7 已知函数()x x m x f cos sin 2-=在区间⎪⎭⎫⎝⎛2,0π上单调递减,试求实数m 的取值范围.解:已知条件实际上给出了一个在区间⎪⎭⎫⎝⎛2,0π上恒成立的不等式. 任取∈21,x x ⎪⎭⎫⎝⎛2,0π,且21x x <,则不等式()()21x f x f >恒成立,即>-11cos sin 2x x m 22cos sin 2x x m -恒成立.化简得()()2112sin 2cos cos x x x x m ->- 由2021π<<<x x 可知:0cos cos 12<-x x ,所以()1221cos cos sin 2x x x x m --<上式恒成立的条件为:()上的最小值,在区间⎪⎭⎫⎝⎛⎪⎪⎭⎫⎝⎛--<20cos cos sin 21221πx x x x m . 由于()2sin 2cos 22sin 2sin 22cos 2sin4cos cos sin 22121212121211221x x x x x x x x x x x x x x x x +-=-+--=-- 2sin2cos 2cos 2sin 2sin 2sin 2cos 2cos 221212121x x x x x x x x +⎪⎭⎫ ⎝⎛+=2tan2tan 2tan 2tan 122121x x x x +⎪⎭⎫ ⎝⎛+=且当2021π<<<x x 时,42,2021π<<x x ,所以 12tan ,2tan 021<<x x , 从而 02tan 12tan 12tan 2tan 2tan 2tan1212121>⎪⎭⎫⎝⎛-⎪⎭⎫ ⎝⎛-=⎪⎭⎫ ⎝⎛+-⎪⎭⎫ ⎝⎛+x x x x x x , 有 22tan2tan 2tan 2tan 122121>+⎪⎭⎫ ⎝⎛+x x x x , 故 m 的取值范围为]2,(-∞.基础精练1.已知α是锐角,且sin 错误!=错误!,则sin 错误!的值等于A.错误! B .-错误! C.错误! D .-错误!2.若-2π<α<-错误!,则 错误!的值是A .sin 错误!B .cos 错误!C .-sin 错误!D .-cos 错误!3.错误!·错误!等于A.-sinαB.-cosαC.sinαD.cosα4.已知角α在第一象限且cosα=错误!,则错误!等于A.错误!B.错误!C.错误!D.-错误!5.定义运算错误!=ad -bc.若cosα=错误!,错误!=错误!,0<β<α<错误!,则β等于A.错误!B.错误!C.错误!D.错误!6.已知tanα和tan 错误!-α是方程ax 2+bx +c =0的两个根,则a 、b 、c 的关系是A.b =a +cB.2b =a +cC.c =b +aD.c =ab7.设a =错误!sin56°-cos56°,b =cos50°cos128°+cos40°cos38°,c =错误!,d =错误!cos80°-2cos 250°+1,则a,b,c,d 的大小关系为A.a >b >d >cB.b >a >d >cC.d >a >b >cD.c >a >d >b8.函数y =错误!sin2x +sin 2x,x ∈R 的值域是A.错误!B.错误!C.错误!D.错误!9.若锐角α、β满足1+错误!tanα1+错误!tanβ=4,则α+β= .10.设α是第二象限的角,tanα=-错误!,且sin 错误!<cos 错误!,则cos 错误!= .11.已知sin-4πx=135,0<x<4π,求)4cos(2cos x x +π的值;12.若),0(,πβα∈,31tan ,507cos -=-=βα,求α+2β;拓展提高1、设函数fx =sin 错误!-错误!-2cos 2错误!+11求fx 的最小正周期.2若函数y =gx 与y =fx 的图像关于直线x =1对称,求当x ∈0,错误!时y =gx 的最大值2.已知向量a =cosα,sinα,b =cosβ,sinβ,|a -b|=错误!1求cosα-β的值;2若0<α<错误!,-错误!<β<0,且sinβ=-错误!,求sinα.3、求证:αβαsin 2sin )(+-2cos α+β=αβsin sin .基础精练参考答案4.C 解析原式=错误!=错误!=错误!=2×cosα+sinα=2×错误!+错误!=错误!. 5.D 解析依题设得:sinα·cosβ-cosα·sinβ=sin α-β=错误!.∵0<β<α<错误!,∴cosα-β=错误!. 又∵cosα=错误!,∴sinα=错误!.sinβ=sinα-α-β=sinα·cosα-β-cosα·sinα-β =错误!×错误!-错误!×错误!=错误!,∴β=错误!.6.C 解析tan tan()4,tan tan(),4b a c a πααπαα⎧+-=-⎪⎪⎨⎪-=⎪⎩∴tan 错误!=tan 错误!-α+α=错误!=1,∴-错误!=1-错误!,∴-b =a -c,∴c =a +b.7.B 解析a =sin56°-45°=sin11°,b =-sin40°cos52°+cos40°sin52°=sin52°-40°=sin12°,c =错误!=cos81°=sin9°,d =错误!2cos 240°-2sin 240°=cos80°=sin10°∴b >a >d >c.8.C 解析y =错误!sin2x +sin 2x =错误!sin2x -错误!cos2x +错误!=错误!sin 错误!+错误!,故选择C. 9. 错误!解析由1+错误!tanα1+错误!tanβ=4,可得错误!=错误!,即tanα+β=错误!. 又α+β∈0,π,∴α+β=错误!.10. -错误!解析:∵α是第二象限的角,∴错误!可能在第一或第三象限,又sin 错误!<cos 错误!,∴错误!为第三象限的角, ∴cos 错误!<0.∵tanα=-错误!,∴cosα=-错误!,∴cos 错误!=- 错误!=-错误!.12.解析∵),0(,πβα∈,507cos -=α∴),0,33(71tan -∈-=α),0,33(31tan -∈-=β∴),65(,ππβα∈,α+2β)3,25(ππ∈,又tan2β=43tan 1tan 22-=-ββ,12tan tan 12tan tan )2tan(-=-+=+βαβαβα,来源:Zxxk ∴α+2β=411π拓展提高参考答案1、解析 1fx =sin 错误!cos 错误!-cos 错误!sin 错误!-cos 错误!x =错误!sin 错误!x -错误!cos 错误!x=错误!sin 错误!x -错误!,故fx 的最小正周期为T =错误!=82法一:在y =g x 的图象上任取一点 x,gx,它关于x =1的对称点2-x,gx.由题设条件,点2-x ,gx 在y =fx 的图象上,从而gx =f2-x =错误!sin 错误!2-x -错误! =错误!sin 错误!-错误!x -错误!=错误!cos 错误!x +错误!,当0≤x≤错误!时, 错误!≤错误!x +错误!≤错误!,因此y =gx 在区间0,错误!上的最大值为gx max =错误!cos 错误!=错误!.法二:因区间0,错误!关于x =1的对称区间为错误!,2,且y =gx 与y =fx 的图象关于x =1对称,故y =gx 在0,错误!上的最大值为y =fx 在错误!,2上的最大值,由1知fx =错误!sin 错误!x -错误!, 当错误!≤x ≤2时,-错误!≤错误!x -错误!≤错误!,因此y =gx 在0,错误!上的最大值为gx max =错误!sin 错误!=错误!.2、解析1∵a =cos α,sinα,b =cosβ,sinβ, ∴a -b =cosα-cosβ,sinα-sinβ. ∵|a -b|=错误!,∴错误!=错误!, 即2-2cosα-β=错误!,∴cosα-β=错误!.2∵0<α<错误!,-错误!<β<0,∴0<α-β<π,∵cosα-β=错误!,∴sinα-β=错误! ∵sin β=-错误!,∴cosβ=错误!,∴sinα=sinα-β+β=sinα-βcosβ+cosα-βsinβ=错误!·错误!+错误!·-错误!=错误!。
专题18 三角恒等变换【考点预测】知识点一.两角和与差的正余弦与正切 ①sin()sin cos cos sin αβαβαβ±=±;②cos()cos cos sin sin αβαβαβ±=;③tan tan tan()1tan tan αβαβαβ±±=;知识点二.二倍角公式 ①sin22sin cos ααα=;②2222cos2cos sin 2cos 112sin ααααα=-=-=-;③22tan tan 21tan ααα=-; 知识点三:降次(幂)公式2211cos 21cos 2sin cos sin 2;sin ;cos ;222ααααααα-+===知识点四:半角公式sin22αα== sin 1cos tan.21cos sin aαααα-==+知识点五.辅助角公式)sin(cos sin 22ϕααα++=+b a b a (其中abb a a b a b =+=+=ϕϕϕtan cos sin 2222,,). 【方法技巧与总结】 1.两角和与差正切公式变形)tan tan 1)(tan(tan tan βαβαβα ±=±; 1)tan(tan tan )tan(tan tan 1tan tan ---=++-=⋅βαβαβαβαβα.2.降幂公式与升幂公式ααααααα2sin 21cos sin 22cos 1cos 22cos 1sin 22=+=-=;;; 2222)cos (sin 2sin 1)cos (sin 2sin 1sin 22cos 1cos 22cos 1αααααααααα-=-+=+=-=+;;;.3.其他常用变式αααααααααααααααααααsin cos 1cos 1sin 2tan tan 1tan 1cos sin sin cos 2cos tan 1tan 2cos sin cos sin 22sin 222222222-=+=+-=+-=+=+=;;.3. 拆分角问题:①=22αα⋅;=(+)ααββ-;②()αββα=--;③1[()()]2ααβαβ=++-; ④1[()()]2βαβαβ=+--;⑤()424πππαα+=--.注意 特殊的角也看成已知角,如()44ππαα=--.【题型归纳目录】题型一:两角和与差公式的证明 题型二:给式求值 题型三:给值求值 题型四:给值求角题型五:正切恒等式及求非特殊角 【典例例题】题型一:两角和与差公式的证明例1.(2022·山西省长治市第二中学校高一期末)(1)试证明差角的余弦公式()C αβ-:cos()cos cos sin sin αβαβαβ-=+;(2)利用公式()C αβ-推导:①和角的余弦公式()C αβ+,正弦公式()S αβ+,正切公式()T αβ+; ②倍角公式(2)S α,(2)C α,(2)T α.【答案】(1)证明见解析;(2)①答案见解析;②答案见解析 【解析】 【分析】在单位圆里面证明()C αβ-,然后根据诱导公式即可证明()C αβ+和()S αβ+,利用正弦余弦和正切的关系即可证明()T αβ+;用正弦余弦正切的和角公式即可证明对应的二倍角公式.【详解】(1)不妨令2,k k απβ≠+∈Z . 如图,设单位圆与x 轴的正半轴相交于点1,0A ,以x 轴非负半轴为始边作角,,αβαβ-,它们的终边分别与单位圆相交于点()1cos ,sin P αα,()1cos ,sin A ββ,()()()cos ,sin P αβαβ--.连接11,A P AP .若把扇形OAP 绕着点O 旋转β角,则点,A P 分別与点11,A P 重合.根据圆的旋转对称性可知,AP 与11A P 重合,从而,AP =11A P ,∴11AP A P =. 根据两点间的距离公式,得:()()2222[cos 1]sin (cos cos )(sin sin )αβαβαβαβ--+-=-+-,化简得:()cos cos cos sin sin .αβαβαβ-=+ 当()2k k απβ=+∈Z 时,上式仍然成立.∴,对于任意角,αβ有:()cos cos cos sin sin αβαβαβ-=+. (2)①公式()C αβ+的推导: ()()cos cos αβαβ⎡⎤+=--⎣⎦()()cos cos sin sin αβαβ=-+-cos cos sin sin αβαβ=-.公式()S αβ+的推导:()sin cos 2παβαβ⎛⎫+=+- ⎪⎝⎭cos 2παβ⎡⎤⎛⎫=-- ⎪⎢⎥⎝⎭⎣⎦cos cos sin sin 22ππαβαβ⎛⎫⎛⎫=-+- ⎪ ⎪⎝⎭⎝⎭cos sin sin cos αβαβ=+正切公式()T αβ+的推导:()()()sin tan cos αβαβαβ++=+sin cos cos sin cos cos sin sin αβαβαβαβ+=-tan tan 1tan tan αβαβ+=-②公式()2S α的推导:由①知,()sin2sin cos sin sin cos 2sin cos ααααααααα=+=+=. 公式()2C α的推导:由①知,()22cos2cos cos cos sin sin cos sin ααααααααα=+=-=-.公式()2T α的推导:由①知,()2tan tan 2tan tan2tan 1tan tan 1tan ααααααααα+=+==-⋅-.例2.(2022·云南·昭通市第一中学高三开学考试(文))已知以下四个式子的值都等于同一个常数 22sin 26cos 343sin 26cos34+-; 22sin 39cos 213sin 39cos 21+-;()()22sin 52cos 1123sin 52cos112-+--;22sin 30cos 303sin 30cos30+-.(1)试从上述四个式子中选择一个,求出这个常数.(2)根据(1)的计算结果,推广为三角恒等式,并证明你的结论. 【答案】(1)选第四个式子,14;(2)证明见解析. 【解析】 【分析】(1)选第四个式子,由1sin 30,cos302︒=︒=(2)由题意,设一个角为α,另一个角为60α︒-,应用两角差的余弦公式展开三角函数,由同角正余弦的平方和关系化简求值 【详解】(1)由第四个式子:221331sin 30cos 303sin 30cos304444+-=+-= (2)证明:()()22sin cos 603sin cos 60αααα+---2211sin cos cos 22αααααα⎛⎫⎛⎫=+ ⎪ ⎪ ⎪ ⎪⎝⎭⎝⎭2222133sin cos cos sin cos sin 442αααααααα=++-14=【点睛】本题考查了三角函数,利用特殊角的函数值求三角函数式的值,应用两角差余弦公式展开三角函数式及同角的正余弦平方和关系化简求值,属于简单题例3.(2022·陕西省商丹高新学校模拟预测(理))如图带有坐标系的单位圆O 中,设AOx α∠=,BOx β∠=,AOB αβ∠=-,(1)利用单位圆、向量知识证明:cos()cos cos sin sin αβαβαβ-=+(2)若π,π2α⎛⎫∈ ⎪⎝⎭,π0,2β⎛⎫∈ ⎪⎝⎭,4cos()5αβ-=-,5tan 12α=-,求cos β的值【答案】(1)证明见解析;(2)6365. 【解析】(1)根据向量的数量积公式即可证明;(2)根据角的范围分别求出正弦和余弦值,利用两角和的余弦公式计算得出答案. 【详解】(1)由题意知:||||1OA OB ==,且OA 与OB 的夹角为αβ-, 所以·11cos()cos()OA OB αβαβ=⨯⨯-=-, 又(cos ,sin )OA αα=,(cos ,sin )OB ββ=, 所以·cos cos sin sin OA OB αβαβ=+, 故cos()cos cos sin sin αβαβαβ-=+.(2)π,π2α⎛⎫∈ ⎪⎝⎭且5tan 12α=-,则512sin ,cos 1313αα==-;π0,2β⎛⎫∈ ⎪⎝⎭,则,02πβ⎛⎫-∈- ⎪⎝⎭,又π,π2α⎛⎫∈ ⎪⎝⎭,()0,αβπ∴-∈,4cos(),sin()553αβαβ-=--=,()()()1245363cos cos cos cos sin sin 13513565βααβααβααβ⎛⎫=--=-+-=-⨯-+⨯=⎡⎤ ⎪⎣⎦⎝⎭【点睛】本题主要考查平面向量的数量积的定义,考查平面向量数量积的坐标运算,考查两角和与差的余弦公式,属于中档题.例4.(2022·全国·高三专题练习)如图,考虑点(1,0)A ,1(cos ,sin )P αα,2(cos ,sin )P ββ-,(cos(),sin())P αβαβ++,从这个图出发.(1)推导公式:cos()cos cos sin sin αβαβαβ+=-;(2)利用(1)的结果证明:1cos cos [cos()cos()]2αβαβαβ=++-,并计算sin 37.5cos37.5︒︒⋅的值.【答案】(1)推导见解析;(2【解析】 【分析】(1)根据图象可知2212AP PP =,再展开化简,得到两角和的余弦公式;(2)首先令ββ=-,求()cos αβ-,再代入所证明的公式;首先根据二倍角公式和诱导公式化简为11sin 37.5cos37.5sin 75cos1522⋅==,再根据两角差的余弦公式化简. 【详解】(1)因为12(cos ,sin ),(cos ,sin ),(cos(),sin())P P P ααββαβαβ-++, 根据图象,可得2212AP PP =,即2212||AP PP =, 即2222(cos()1)sin ()(cos cos )(sin sin )αβαββαβα+-++=-++. 即cos()cos cos sin sin αββαβα+=-.(2)由(1)可得cos()cos cos sin sin αββαβα+=-, ① cos()cos cos sin sin αββαβα-=+ ②由①+②可得:2cos cos cos()cos()βααβαβ=++- 所以1cos cos [cos()cos()]2βααβαβ=++-,所以()111sin 37.5cos37.5sin 75cos15cos 4530222︒︒︒︒︒︒===-.()1cos 45cos30sin 45sin 302=+1122⎫==⎪⎪⎝⎭【点睛】本题考查两角和差余弦公式的证明,以及利用三角恒等变换求值,重点考查逻辑推理证明,公式的灵活应用,属于基础题型.【方法技巧与总结】推证两角和与差公式就是要用这两个单角的三角函数表示和差角的三角公式,通过余弦定理或向量数量积建立它们之间的关系,这就是证明的思路.题型二:给式求值例5.(2022·全国·高三专题练习)已知sin α=()cos αβ-=且304πα<<,304πβ<<,则sin β=( )A B C D 【答案】A 【解析】易知()()sin sin βααβ=--,利用角的范围和同角三角函数关系可求得cos α和()sin αβ-,分别在()sin αβ-=和sin β,结合β的范围可确定最终结果.【详解】2sin α=<且304πα<<,04πα∴<<,5cos 7α∴==.又304πβ<<,344ππαβ∴-<-<,()sin αβ∴-==当()sin αβ-=()()()()sin sin sin cos cos sin βααβααβααβ=--=---57==304πβ<<,sin 0β∴>,sin β∴=不合题意,舍去;当()sin αβ-=sin β=.综上所述:sin β=故选:A . 【点睛】易错点睛:本题中求解cos α时,易忽略sin α的值所确定的α的更小的范围,从而误认为cos α的取值也有两种不同的可能性,造成求解错误.例6.(2020·四川·乐山外国语学校高三期中(文))已知sin 15tan 2102α⎛⎫︒-=︒ ⎪⎝⎭,则()sin 60α︒+的值为( )A .13B .13-C .23D .23-【答案】A 【解析】根据题意得到sin 152α⎛⎫︒- ⎪⎝⎭进而得到26cos 1529α⎛⎫︒-= ⎪⎝⎭,()1cos 303α︒-=,从而有()()()sin 60sin 9030cos 30ααα⎡⎤︒+=︒-︒-=︒-⎣⎦.【详解】∵sin 15tan 2102α⎛⎫︒-=︒ ⎪⎝⎭,∴()sin 15tan 210tan 18030tan302α⎛⎫︒-=︒=︒+︒=︒= ⎪⎝⎭则226cos 151sin 15229αα⎛⎫⎛⎫︒-=-︒-= ⎪ ⎪⎝⎭⎝⎭,()221cos 30cos 15sin 15223ααα⎛⎫⎛⎫︒-=︒--︒-= ⎪ ⎪⎝⎭⎝⎭,∴()()sin 60sin 9030αα⎡⎤︒+=︒-︒-⎣⎦ ()1cos 303α=︒-=, 故选A. 【点睛】本题主要考查二倍角公式,同角三角函数的基本关系,诱导公式,属于基础题.例7.(2020·全国·高三专题练习)若7cos(2)38x π-=-,则sin()3x π+的值为( ).A .14B .78 C .14±D .78±【答案】C 【解析】 【分析】利用倍角公式以及诱导公式,结合已知条件,即可求得结果. 【详解】∵27cos(2)cos[2()]2cos ()13668x x x πππ-=-=--=-, ∴1cos()64x π-=±,∵1sin()cos[()]cos()32364x x x ππππ+=-+=-=±,故选:C. 【点睛】本题考查利用三角恒等变换解决给值求值问题,属基础题.(多选题)例8.(2022·全国·高三专题练习)设sin()sin 6πββ++=sin()3πβ-=( )AB .12C .12-D. 【答案】AC 【解析】 【分析】利用三角恒等变换化简已知条件,结合同角三角函数的基本关系式,求得sin 3πβ⎛⎫- ⎪⎝⎭.【详解】依题意sin()sin 6πββ++=sin()sin 3233ππππββ⎛⎫-++-+= ⎪⎝⎭1cos()sin )3233πππβββ⎛⎫-+--= ⎪⎝⎭1sin )233ππββ⎛⎫--= ⎪⎝⎭)sin 2cos()133ππββ⎛⎫-+-⎪⎝⎭,)1sin cos()3πβπβ⎛⎫-- ⎪-=22sin cos 133ππββ⎛⎫⎛⎫-+-= ⎪ ⎪⎝⎭⎝⎭,)221sin 1sin 3πβπβ⎛⎫⎡⎤⎢⎥⎛⎫-+= ⎪⎝⎭-- ⎪⎦⎣,化简得(()(28sin 2sin 3033ππββ⎛⎫⎛⎫+----+= ⎪ ⎪⎝⎭⎝⎭,2,(24sin 2sin 033ππββ⎛⎫⎛⎫-+--= ⎪ ⎪⎝⎭⎝⎭,2sin 12sin 033ππββ⎡⎤⎡⎛⎫⎛⎫-+-= ⎪ ⎪⎢⎥⎢⎝⎭⎝⎭⎣⎦⎣, 解得1sin 32πβ⎛⎫-=- ⎪⎝⎭或sin 3πβ⎛⎫-=⎪⎝⎭. 故选:AC例9.(2022·全国·模拟预测(文))已知,0,2παβ⎛⎫∈ ⎪⎝⎭,3cos25β=,()4cos 5αβ+=,则cos α=___________.【解析】 【分析】 由,0,2,()4cos 5αβ+=,即可求得()sin αβ+,用二倍角公式即可求得sin β 和cos β ,用拼凑角思想可表示出()ααββ=+-,用三角恒等变换公式求解即可. 【详解】因为()4cos 5αβ+=,且,0,2,所以()3sin 5αβ+=.又因为23cos 212sin 5ββ=-=,解得sin β=则cos β==故()()()cos cos cos cos sin sin ααββαββαββ=+-=+++⎡⎤⎣⎦4355==. 例10.(2022·上海静安·模拟预测)已知sin 4πα⎛⎫+= ⎪⎝⎭,则sin 2α的值为_____________.【答案】12##0.5 【解析】 【分析】由倍角公式以及诱导公式求解即可. 【详解】231cos 212sin 124442ππαα⎛⎫⎛⎫+=-+=-⨯=- ⎪ ⎪⎝⎭⎝⎭cos 2cos 2sin 242ππααα⎛⎫⎛⎫+=+=- ⎪ ⎪⎝⎭⎝⎭1sin 22α∴=故答案为:12例11.(2022·江苏泰州·模拟预测)若0θθ=时,()2sin2cos f θθθ=-取得最大值,则0sin 24πθ⎛⎫+= ⎪⎝⎭______.【解析】 【分析】首先利用二倍角公式和辅助角公式,化简,再代入求值. 【详解】()()111sin 21cos2sin 2cos2222f θθθθθ=-+=--()112222θθθϕ⎫---⎪⎝⎭(其中cos ϕsin ϕ=, 当()f θ取最大值时,022πθϕ-=,∴022πθϕ=+0sin 2sin cos 2πθϕϕ⎛⎫=+= ⎪⎝⎭0cos2cos sin 2πθϕϕ⎛⎫=+=-= ⎪⎝⎭∴0sin 24πθ⎛⎛⎫+== ⎪ ⎝⎭⎝⎭⎝⎭【方法技巧与总结】给式求值:给出某些式子的值,求其他式子的值.解此类问题,一般应先将所给式子变形,将其转化成所求函数式能使用的条件,或将所求函数式变形为可使用条件的形式.题型三:给值求值例12.(2022·福建省福州第一中学三模)若3sin 5α=-,且3ππ,2α⎛⎫∈ ⎪⎝⎭,则1tan21tan2αα-=+( )A .12 B .12-C .2D .-2【答案】D 【解析】 【分析】由2222sin cos2tan222sin 2sincos22sin cos tan 1222ααααααααα===++,可解得tan 2α,即可求解 【详解】3sin 2sincos225ααα==-,故2222sincos2tan32225sin cos tan 1222αααααα==-++, 可解得1tan23α=-或tan 32α=-,又3ππ,2α⎛⎫∈ ⎪⎝⎭,故tan 32α=-,故1tan 221tan2αα-=-+, 故选:D例13.(2022·湖北武汉·模拟预测)已知1sin 64x π⎛⎫-= ⎪⎝⎭,则cos 23x π⎛⎫-= ⎪⎝⎭( )A .78-B .78C.D【答案】B 【解析】 【分析】根据题意得sin 6x π⎛⎫- ⎪⎝⎭的值,再根据2cos 212sin 36x x ππ⎛⎫⎛⎫-=-- ⎪ ⎪⎝⎭⎝⎭求解即可.【详解】因为sin sin 66x x ππ⎛⎫⎛⎫-=-- ⎪ ⎪⎝⎭⎝⎭,所以1sin 64x π⎛⎫-=- ⎪⎝⎭,2217cos 2cos 212sin 1236648x x x πππ⎡⎤⎛⎫⎛⎫⎛⎫⎛⎫-=-=--=--= ⎪ ⎪ ⎪ ⎪⎢⎥⎝⎭⎝⎭⎝⎭⎝⎭⎣⎦.故选:B.例14.(2022·湖北·模拟预测)已知,22ππα⎛⎫∈- ⎪⎝⎭,且1cos 42πα⎛⎫-= ⎪⎝⎭,则cos2α=( )A. B.C .12D【答案】D【解析】 【分析】由已知α的取值范围,求出4πα-的取值范围,再结合1cos 42πα⎛⎫-= ⎪⎝⎭即可解得α的值,cos2α即可求解 【详解】 因为22ππα-<<,所以3444πππα-<-< 又1cos 42πα⎛⎫-= ⎪⎝⎭,所以43ππα-=-,所以12πα=-所以cos 2cos cos 66ππα⎛⎫=-==⎪⎝⎭故选:D例15.(2022·全国·模拟预测)已知1sin 35πα⎛⎫+= ⎪⎝⎭,则cos 23πα⎛⎫-= ⎪⎝⎭( )A .2325B .2325-C D . 【答案】B 【解析】 【分析】利用诱导公式化简,然后利用二倍角公式即得. 【详解】因为1sin cos cos 3665πππααα⎛⎫⎛⎫⎛⎫+=-=-= ⎪ ⎪ ⎪⎝⎭⎝⎭⎝⎭,所以22123cos 2cos22cos 121366525πππααα⎛⎫⎛⎫⎛⎫⎛⎫-=-=--=⨯-=- ⎪ ⎪ ⎪ ⎪⎝⎭⎝⎭⎝⎭⎝⎭.故选:B .例16.(2022·黑龙江·哈师大附中三模(文))已知()3sin 455α︒+=,45135α︒<<︒,则cos2=α( )A .2425B .2425-C .725D .725-【答案】B 【解析】 【分析】首先根据同角三角函数的基本关系求出()cos 45α︒+,再利用二倍角公式及诱导公式计算可得; 【详解】解:因为45135α︒<<︒,所以9045180α︒<+︒<︒,又()3sin 455α︒+=,所以()4cos 455α︒+==-,所以()()()3424sin 2452sin 45cos 4525525ααα⎛⎫︒+=︒+︒+=⨯⨯-=- ⎪⎝⎭。
三角恒等变换公式复习一、和差角公式:1、sin(α+β)=______________________________;2、sin(α−β)=___________________________;3、cos(α+β)=_____________________________ ;4、cos(α−β)=___________________________;5、tan(α+β)=_______________________;6、tan(α−β)=_____________________;公式的变形:tanα+tanβ=______________________;tanα-tanβ=____________________________辅助角公式:asinx+bcosx=_____________________________(其中辅助角∅满足:_______________________________________________)二、倍角公式:7、sin2α=___________;8~10、cos2α=______________=_______________=________________;11、tan2α=______________;(注意:“倍角”是相对的,2α是α的倍角,4α是2α的倍角,α是α2的倍角……,因此,倍角公式有很多种形式,如以下公式都是倍角公式:sinα=2sinα2cosα2,cos4α=cos22α-sin22α,tanα=2tanα21−tan2α2,……)公式的变形:sinαcosα=___________;1+sinα=_________;1-sinα=__________;升幂公式(升幂降角):1+cos2α=________________;1-cos2α=_________________;降幂公式(降幂升角):sin2α=________________;cos2α=__________________;三、半角公式、积化和差与和差化积公式(不要求记忆,明确其推导过程):半角公式:sin2α2=_________ ,cos2α2=__________,tan2α2=_________=__________=____________ ;(也可写成:sin α2=______________,cosα2=_____________,tanα2=_________________)积化和差公式:和差化积公式:sinαcosβ=_________________________________;sinθ+sinФ=____________________;cosαsinβ=_________________________________;sinθ-sinФ=____________________;cosαcosβ=_________________________________;cosθ+cosФ=____________________;sinαsinβ=__________________________________;cosθ-cosФ=___________________;对于公式的使用,要能做到“正用”(从左到右)、“逆用”(从右到左)、“变形使用”;注意“角的变换”,即善于找题中所给出的角之间的关系,把“未知角”用“已知角”的和、差或倍数来表示。
三角恒等变换专题复习一、 两角和与差的三角函数公式:⑴ sin()_____________________αβ±= ⑵ cos()____________________αβ±=⑶ tan()_____________αβ±=1、sin163°sin223°+sin253°sin313°等于 ( )A.-21 B.21 C.-23 D.23 2、sin15______o =;1tan15______1tan15o o+=- 1tan 751tan 75+- = 3.在△ABC 中,如果4sin A +2cos B =1,2sin B +4cos A =33,求sin C 的值. 例1、若sinA=55,sinB=1010,且A ,B 均为钝角,求A+B 的值。
1、已知sin 2α=35,cos 2α= -45,则角α终边所在的象限是例2、求值0000tan35tan 25tan 25+⋅1、求(1tan 22)(1tan 23)_______o o ++=。
2、求(1tan1)(1tan 2)(1tan3)(1tan 44)_______o o o o ++++=3.已知tan α ,tan β 是方程6x 2-5x +1=0的两个根,且0<α <2π,π23π<<β,求α +β 的值.4.已知:tan α +tan β =2,tan(α +β )=4,tan α <tan β .求tan α 、tan β .5、一元二次方程mx 2+(2m -3)x +m -2=0的两根为tan α,tan β,则tan(α+β)的最小值为______. 6是否存在锐角α和β,使得(1)322πβα=+;(2)32tan 2tan -=⋅βα同时成立,若存在,求出α、β的值,若不存在,说明理由.例3. 设1sin()9αβ-=-,cos 2α=13,且0<α<2π,0<β<2π,求cos (α+β) 1、已知α∈(4π,43π),β∈(0,4π),cos (α-4π)=53,sin(4π+β)=135,求sin(α+β)的值. 2、已知1cos 7α=,11cos()14αβ+=-,(0,)2πα∈ ,(,)2παβπ+∈求β的值. 3.已知⎪⎭⎫⎝⎛∈π,π43βα、,53)sin(-=+βα,13124πsin =⎪⎭⎫ ⎝⎛-β,则⎪⎭⎫ ⎝⎛+4πcos α的值为多少? 4.已知sin sin sin 0,cos cos cos 0,αβγαβγ++=++=求cos()βγ-的值.5.若,22sin sin =+βα求βαcos cos +的取值范围。
三角函数知识整合⎧⎪⎨⎪⎩正角:按逆时针方向旋转形成的角1、任意角负角:按顺时针方向旋转形成的角零角:不作任何旋转形成的角2、角α的顶点与原点重合,角的始边与x 轴的非负半轴重合,终边落在第几象限,则称α为第几象限角. 第一象限角的集合为{}36036090,k k k αα⋅<<⋅+∈Z =22,2k k k παπαπ⎧⎫<<+∈Z ⎨⎬⎩⎭第二象限角的集合为{}36090360180,k k k α⋅+<⋅+∈Z =22,2k k k παπαππ⎧⎫+<<+∈Z ⎨⎬⎩⎭第三象限角的集合为{}360180360270,k k k αα⋅+<<⋅+∈Z =322,2k k k παππαπ⎧⎫+<<+∈Z ⎨⎬⎩⎭第四象限角的集合为{}360270360360,k k k αα⋅+<<⋅+∈Z =3222,2k k k παπαππ⎧⎫+<<+∈Z ⎨⎬⎩⎭终边在x 轴上的角的集合为{}180,k k αα=⋅∈Z ={},k k ααπ=∈Z 终边在y 轴上的角的集合为{}18090,k k αα=⋅+∈Z =,2k k πααπ⎧⎫=+∈Z ⎨⎬⎩⎭终边在坐标轴上的角的集合为{}90,k k αα=⋅∈Z =,2k k παα⎧⎫=∈Z ⎨⎬⎩⎭3、与角α终边相同的角的集合为{}360,k k ββα=⋅+∈Z ={}2,k k ββπα=+∈Z 已知α角终边所在象限,求2α终边所在象限方法:由“两等分各象限、一二三四”确定4、长度等于半径长的弧所对的圆心角叫做1弧度.5、半径为r 的圆的圆心角α所对弧的长为l ,则角α的弧度数的绝对值是lrα=. 6、弧度制与角度制的换算公式:2360π=, 180π= 1180π=,180157.3π⎛⎫=≈⎪⎝⎭. 7、若扇形的圆心角为()αα为弧度制,半径为r ,弧长为l ,周长为C ,面积为S ,则l r α=,2C r l =+,21122S lr r α==.8、任意角三角函数的定义(1)α是一任意大小的角,α的终边上任意一点P 的坐标是,(),x y 它与原点的距离是(r r =则sin y r α=,cos x r α=,()tan 0yx xα=≠. (2)设α是一个任意角,它的终边与单位圆交于点P (x ,y ), 则sin y α=,cos x α=,()tan 0yx xα=≠. 9、三角函数在各象限的符号:第一象限全为正,第二象限正弦为正,第三象限正切为正,第四象限余弦为正.10、三角函数线:sin α=MP ,cos α=OM ,tan α=AT .填表:特殊角的三角函数值:11、同角三角函数的基本关系:()221sin cos 1αα+= ()2222sin 1cos ,cos 1sin αααα=-=-;()sin 2tan cos ααα= s i n s i n t a n c o s,c o st a n αααααα⎛⎫== ⎪⎝⎭.12、函数的诱导公式:()()1sin 2sin k παα+=,()cos 2cos k παα+=,()()tan 2tan k k παα+=∈Z . ()()2sin sin παα+=-,()cos cos παα+=-,()tan tan παα+=. ()()3sin sin αα-=-,()cos cos αα-=,()tan tan αα-=-.()()4sin sin παα-=,()cos cos παα-=-,()tan tan παα-=-.口诀:函数名称不变,符号看象限.()5sin cos 2παα⎛⎫-= ⎪⎝⎭,cos sin 2παα⎛⎫-= ⎪⎝⎭.()6sin cos 2παα⎛⎫+= ⎪⎝⎭,cos sin 2παα⎛⎫+=- ⎪⎝⎭. 口诀:正弦与余弦互换,符号看象限.R R{|,}2x x k k Z ππ=+∈[][]R()(). y=f(x)=Asin x+f(x)=cos y A x ωϕωϕ=+⎡⎤⎣⎦二正弦型函数的图象和性质要熟记。
1.两角和与差的三角函数βαβαβαsin cos cos sin )sin(±=±;βαβαβαsin sin cos cos )cos( =±; tan tan tan()1tan tan αβαβαβ±±=。
2.二倍角公式αααcos sin 22sin =;ααααα2222sin 211cos 2sin cos 2cos -=-=-=;22tan tan 21tan ααα=-。
3.三角函数式的化简常用方法:①直接应用公式进行降次、消项;②切割化弦,异名化同名,异角化同角;③ 三角公式的逆用等。
(2)化简要求:①能求出值的应求出值;②使三角函数种数尽量少;③使项数尽量少;④尽量使分母不含三角函数;⑤尽量使被开方数不含三角函数。
(1)降幂公式ααα2sin 21cos sin =;22cos 1sin 2αα-=;22cos 1cos2αα+=。
(2)辅助角公式()sin cos sin a x bx x ϕ+=+,sin cos ϕϕ==其中4.三角函数的求值类型有三类(1)给角求值:一般所给出的角都是非特殊角,要观察所给角与特殊角间的关系,利用三角变换消去非特殊角,转化为求特殊角的三角函数值问题;(2)给值求值:给出某些角的三角函数式的值,求另外一些角的三角函数值,解题的关键在于“变角”,如2(),()()ααββααβαβ=+-=++-等,把所求角用含已知角的式子表示,求解时要注意角的范围的讨论;(3)给值求角:实质上转化为“给值求值”问题,由所得的所求角的函数值结合所求角的范围及函数的单调性求得角。
5.三角等式的证明(1)三角恒等式的证题思路是根据等式两端的特征,通过三角恒等变换,应用化繁为简、左右同一等方法,使等式两端化“异”为“同”;(2)三角条件等式的证题思路是通过观察,发现已知条件和待证等式间的关系,采用代入法、消参法或分析法进行证明。
三角恒等变换一、基础梳理1.两角和与差的余弦公式C (α-β):cos(α-β)=__________________. C (α+β):cos(α+β)=__________________. 2.两角和与差的正弦公式S (α+β):sin(α+β)=__________________________. S (α-β):sin(α-β)=____________________________. 3.两角互余或互补(1)若α+β=________,其α、β为任意角,我们就称α、β互余.例如:π4-α与__________互余,π6+α与________互余.(2)若α+β=________,其α,β为任意角,我们就称α、β互补.例如:π4+α与______________互补,____________与23π-α互补.4.两角和与差的正切公式(1)T (α+β):tan(α+β)=_____________________________________________________. (2)T (α-β):tan(α-β)=______________________________________________________. 5.两角和与差的正切公式的变形 (1)T (α+β)的变形:tan α+tan β=____________________________________________________________. tan α+tan β+tan αtan βtan(α+β)=____________.tan α·tan β=______________________________________________________________. (2)T (α-β)的变形:tan α-tan β=______________________________. tan α-tan β-tan αtan βtan(α-β)=____________.tan αtan β=______________________________________________________________. 6.倍角公式(1)S 2α:sin 2α=2sin αcos α,sin α2cos α2=12sin α;(2)C 2α:cos 2α=cos 2α-sin 2α=2cos 2α-1 =1-2sin 2α;(3)T 2α:tan 2α=2tan α1-tan 2α.7.倍角公式常用变形(1)sin 2α2sin α=__________,sin 2α2cos α=__________; (2)(sin α±cos α)2=__________;(3)sin 2α=______________,cos 2α=______________. 8.半角公式(1)S α2:sin α2=____________________;(2)C α2:cos α2=____________________________;(3)T α2:tan α2=______________(无理形式)=________________=______________(有理形式).9.辅助角公式使a sin x +b cos x =a 2+b 2sin(x +φ)成立时,cos φ=__________________,sin φ=______,其中φ称为辅助角,它的终边所在象限由__________决定.二、例题精讲考点一 三角函数的化简求值例1 (1)o 15cos ;(2)oo o o 33sin 117sin 57sin 63cos +;(3)ββαβαβsin )sin(cos )cos(+++;(4)15tan 115tan 1-+.例2 (1)x x sin 23cos 21- (2)x x cos sin 3+例3 化简求值:(1)22cos 75sin 75cos75cos15++;(2)sin cos 12cos sin 3αααα+=-,则tan2α=_________。
三角恒等变换专题复习
一、 两角和与差的三角函数公式:⑴ sin()_____________________αβ±= ⑵ cos()____________________αβ±=⑶ tan()_____________αβ±=
练习:1、sin15______o
=;1tan15______1tan15
o o
+=- 1tan 751tan 75+-
= 2、sin163°sin223°+sin253°sin313°等于 ( )
A.-21
B.21
C.-
2
3 D.
2
3
(一)特殊技巧 (1)平方相加
①ABC ∆中,3sin 4cos 6,4sin 3cos 1A B B A +=+=,则C ∠=_______. ②已知sin sin sin 0,cos cos cos 0,αβγαβγ++=++=求cos()βγ-_______. (2)表示分子
①求值0000
tan35tan 25tan 25+⋅
②求(1tan 22)(1tan 23)_______o o
++=。
③求
(1tan1)(1tan 2)(1tan3)(1tan 44)_______o o o o
++++= (二)知值求值,知值求角
①设1sin()9αβ-=-,cos 2α=13
,且0<α<2
π,0<β<2
π,求cos (α+β)
②已知
α∈(4π,43π
),β∈(0,4π),cos (α-4
π)=5
3,sin(4
π
+β)=13
5,求sin(α+β)的值.
③已知⎪⎭
⎫ ⎝⎛∈π,π4
3
βα、,5
3)sin(-=+βα,13
124πsin =⎪⎭⎫ ⎝
⎛-β,则⎪⎭
⎫ ⎝
⎛+4πcos α的值
④若sinA=
5
5
,sinB=
10
10,且A ,B 均为钝角,求A+B 的值。
⑤已知tan α ,tan β 是方程6x 2-5x +1=0的两个根,且0<α <2π
,π2
3π<<β,求α +β 的值
二、二倍角公式;
⑴ sin 2__________θ=__________= ①已知3sin(),4
5
x π
-=则sin 2x 的值为( )
②若
,且,则=( )
③已知),2,23(
ππα∈化简ααsin 1sin 1-++2cos 2
α
-__________=
④已知cos 23
θ=
44sin cos θθ+的值为()A .1813 B .1811 C .97 D .1-
⑵ cos 2__________α= __________= __________= __________= 降次公式: 2cos _______α=, 2sin _________α= ①求证:cos4θ-4cos2θ+3=8sin 4θ.
②已知sin 2
α=35,cos 2α= -45
,则角α终边所在的象限是
③证明,
1sin 2cos 2tan 1sin 2cos 2θθ
θθθ+-=++
④已知
1cos sin 21cos sin x x
x x
-+=-++,则x tan 的值为 ⑤函数2
21tan 21tan 2x y x
-=+的最小正周期是__________=
(3)tan 2____________θ=
①在△ABC 中,cos A =35
,tan B =2,求tan(2A +2B )的值。
②若1tan 2008,1tan αα+=-则1
tan 2cos 2αα
+= 。
三、公式的变形应用: (一)万能公式
①已知tan 2x =,则3sin 22cos 2cos 23sin 2x x
x x
+-的值为
②已知1tan 3θ=,则21
cos sin 22θθ+=( )
③已知,4
1
2tan =α则=+ααcos sin 。
(二)特殊公式: sin cos ______________a x b x += 常用变形公式:
1sin _______2x x =sin cos _______
x x +
=1
cos _______2
x x -=; sin cos _______x x -=;
1、函数2()2cos sin 2f x x x =+的最小值是= 2.已知f(x)=2)0(sin sin cos 2
cos sin 2
πϕϕϕ
<<-+x x x 在π=x 处取最小值则ϕ=
3.已知函数22sin sin 23cos y x x x =++求 (1)函数的最小值及此时的x 的集合。
(2)函数的单调减区间
(3
)此函数的图像可以由函数2y x 的图像经过怎样变换而得到。
4.
已知函数2π()sin sin 2f x x x x ωωω⎛⎫
=++ ⎪⎝
⎭
(0ω>)的最小正周期为π.
⑴ 求ω的值; ⑵ 求函数()f x 在区间2π03⎡⎤
⎢⎥⎣
⎦
,上的取值范围.
5.已知函数f (x )=a (2cos
22
x
+sin x )+b . (1)当a =1时,求f (x )的单调递增区间 (2)当
x ∈[0,π]时,f (x )的值域是[3,4],求a 、b 的值.。