数学分析(2)期末试题
- 格式:doc
- 大小:380.79 KB
- 文档页数:7
《数学分析下册》期末考试卷及参考答案一、填空题(第1题每空2分,第2,3,4,5题每题5分,共26分)1、已知uln某2y2,则uu,,y某du2、设L:某2y2a2,则某dyyd某L某=3cot,L:3、设(0t2),则曲线积分(某2+y2)d=y=3int.L4、改变累次积分dy(f某,y)d某的次序为2y33某y1,则(51)d某dy=5、设D:D得分阅卷人二、判断题(正确的打“O”;错误的打“某”;每题3分,共15分)p某0,y0)p某0,y0)1、若函数(在点(连续,则函数(点(必存在一f某,y)f某,y)阶偏导数。
()p某0,y0)p某0,y0)2、若函数(在点(可微,则函数(在点(连续。
f某,y)f某,y)()p某0,y0)3、若函数(在点(存在二阶偏导数f某y(某0,y0)和fy某(某0,y0),则f某,y)必有f某y(某0,y0)fy某(0某,0y) L(B,A)()()4、L(A,B)f(某,y)d某f(某,y)d某。
5、若函数(在有界闭区域D上连续,则函数(在D上可积。
()f某,y)f某,y)第1页共5页得分阅卷人三、计算题(每小题9分,共45分)1、用格林公式计算曲线积分I(e某iny3y)d某(e某coy3)dy,AOAO为由A(a,0)到O(0,0)经过圆某2y2a某上半部分的路线。
其中2、计算三重积分------线--------------------------------------(某V2y2)d某dydz,其中是由抛物面z某2y2与平面z4围成的立体。
第2页共5页3、计算第一型曲面积分IdS,S其中S是球面某2y2z2R2上被平面za(0aR)所截下的顶部(za)。
4、计算第二型曲面积分22Iy(某z)dydz某dzd某(y某z)d某dy,S其中S是立方体V0,b0,b0,b的外表面。
第3页共5页5、设D(某,y)某2y2R曲顶柱体的体积。
得分阅卷人四、证明题(每小题7分,共14分)1、验证曲线积分第4页共5页2.求以圆域D为底,以曲面ze(某2y2)为顶的(某22yz)d某(2y2某)zdy2(z2,某)ydzL与路线无关,并求被积表达式的一个原函数u(某,y,z)。
西华师范大学数学分析(2)期末试题课程名称数学分析(Ⅱ)适用时间试卷类别1适用专业、年级、班应用、信息专业一、单项选择题(每小题3分,3×6=18分)1、下列级数中条件收敛的是().A .1(1)nn ∞=−∑B .nn ∞=C .21(1)nn n∞=−∑D .11(1)nn n ∞=+∑2、若f 是(,)−∞+∞内以2π为周期的按段光滑的函数,则f 的傅里叶(Fourier )级数在它的间断点x 处().A .收敛于()f xB .收敛于1((0)(0))2f x f x −++C .发散D .可能收敛也可能发散3、函数)(x f 在],[b a 上可积的必要条件是().A .有界B .连续C .单调D .存在原函数4、设()f x 的一个原函数为ln x ,则()f x ′=()A .1xB .ln x xC .21x −D .xe5、已知反常积分20 (0)1dxk kx +∞>+∫收敛于1,则k =()A .2πB .22πC .2D .24π6、231ln (ln )(ln )(1)(ln )n nx x x x −−+−+−+⋯⋯收敛,则()A .x e<B .x e>C .x 为任意实数D .1e x e−<<二、填空题(每小题3分,3×6=18分)1、已知幂级数1nn n a x∞=∑在2x =处条件收敛,则它的收敛半径为.2、若数项级数1n n u ∞=∑的第n 个部分和21n nS n =+,则其通项n u =,和S =.3、曲线1y x=与直线1x =,2x =及x 轴所围成的曲边梯形面积为.4、已知由定积分的换元积分法可得,10()()bxxaef e dx f x dx =∫∫,则a =,b =.5、数集(1)1, 2 , 3, 1nn n n ⎧⎫−=⎨⎬+⎩⎭⋯的聚点为.6、函数2()x f x e =的麦克劳林(Maclaurin )展开式为.65三、计算题(每小题6分,6×5=30分)1、(1)dxx x +∫.2、2ln x x dx ∫.3、 0(0)dx a >∫.4、 2 0cos limsin xx t dt x→∫.5、dx ∫.四、解答题(第1小题6分,第2、3小题各8分,共22分)1、讨论函数项级数21sin n nxn ∞=∑在区间(,)−∞+∞上的一致收敛性.2、求幂级数1nn x n ∞=∑的收敛域以及收敛区间内的和函数.3、设()f x x =,将f 在(,)ππ−上展为傅里叶(Fourier )级数.五、证明题(每小题6分,6×2=12分)1、已知级数1nn a∞=∑与1nn c∞=∑都收敛,且, 1, 2, 3 n n n a b c n ≤≤=⋯,证明:级数1nn b∞=∑也收敛.2、证明:22 00sin cos nn x dx x dx ππ=∫∫.66试题参考答案与评分标准课程名称数学分析(Ⅱ)适用时间试卷类别1适用专业、年级、班应用、信息专业一、单项选择题(每小题3分,3×6=18分)⒈B⒉B⒊A⒋C⒌D⒍D二、填空题(每小题3分,3×6=18分)⒈2⒉2, =2(1)n u S n n =+⒊ln 2⒋1, a b e ==⒌1±⒍201, (,)!nn x x n ∞=∈−∞+∞∑三、计算题(每小题6分,6×5=30分)1.解111(1)1x x x x=−++∵1(1)dxx x ∴+∫(3分)11(1dxx x=−+∫ ln ln 1.x x C =−++(3分)2.解由分部积分公式得231ln ln 3x xdx xdx =∫∫3311ln ln 33x x x d x =−∫(3分)33111ln 33x x x dx x =−⋅∫3211ln 33x x x dx =−∫3311ln 39x x x C =−+(3分)3.解令sin , [0, ]2x a t t π=∈由定积分的换元积分公式,得0∫2220cos atdtπ=∫(3分)6768220(1cos 2)2a t dtπ=+∫221(sin 2)22a t t π=+2.4a π=(3分)4.解由洛必达(L 'Hospital)法则得200cos limsin xx tdtx →∫20cos x x →=4分)lim cos x x→=1=(2分)5.解=(2分)20 sin cos x x dxπ=−∫4204(cos sin ) (sin cos )x x dx x x dx πππ=−+−∫∫(2分)244(sin cos )(sin cos )x x x x πππ=+−+2.=−(2分)四、解答题(第1小题6分,第2、3小题各8分,共22分)1.解(, ), x n ∀∈−∞∞∀+(正整数)22sin nx n n ≤(3分)而级数211n n ∞=∑收敛,故由M 判别法知,21sin n nxn ∞=∑在区间(,)−∞+∞上一致收敛.(3分)2.解幂级数1nn x n∞=∑的收敛半径111lim nn R n→∞==,收敛区间为(1,1)−.(2分)易知1nn x n ∞=∑在1x =−处收敛,而在1x =发散,故1nn x n∞=∑的收敛域为[1,1)−.(2分)01, (1, 1)1n n x x x ∞==∈−−∑(2分)逐项求积分可得0001, (1,1)1xx nn dt t dt x t ∞==∈−−∑∫∫.即101ln(1), (1,1).1n nn n x x x x n n+∞∞==−−==∈−+∑∑(2分)3.解函数f 及其周期延拓后的图形如下函数f 显然是按段光滑的,故由收敛性定理知它可以展开为Fourier 级数。
数学分析下册期末模拟试卷及参考答案一、填空题(第1题每空2分,第2,3,4,5题每题5分,共26分)1、已知u =则u x∂=∂ ,u y ∂=∂ ,du = 。
2、设22L y a +=2:x ,则Lxdy ydx -=⎰ 。
3、设L ⎧⎨⎩x=3cost ,:y=3sint.(02t π≤≤),则曲线积分ds ⎰22L(x +y )= 。
4、改变累次积分32dy f dx ⎰⎰3y (x ,y )的次序为 。
5、设1D x y +≤:,则1)Ddxdy ⎰⎰= 。
二、判断题(正确的打“O ”;错误的打“×”;每题3分,共15分)1、若函数f (x ,y )在点p 00(x ,y )连续,则函数f (x ,y )点p 00(x ,y )必存在一阶偏导数。
( )2、若函数f (x ,y )在点p 00(x ,y ) 可微,则函数f (x ,y )在点p 00(x ,y )连续。
( )3、若函数f (x ,y )在点p 00(x ,y )存在二阶偏导数00(,)xy f x y 和00(,)yx f x y ,则必有 0000(,)(,)x y y x f x y f x y =。
( ) 4、(,)(,)(,)(,)L A B L B A f x y dx f x y dx =⎰⎰。
( ) 5、若函数f (x ,y )在有界闭区域D 上连续,则函数f (x ,y )在D 上可积。
( )三、计算题 ( 每小题9分,共45分)1、 用格林公式计算曲线积分(sin 3)(cos 3)x x AO I e y y dx e y dy =-+-⎰ ,其中AO 为由(,0)A a 到(0,0)O 经过圆22x y ax +=上半部分的路线。
、计算三重积分22()V xy dxdydz +⎰⎰⎰,是由抛物面22z x y =+与平面4z =围成的立体。
、计算第一型曲面积分SI d S =⎰⎰ ,其中S 是球面2222x y z R ++=上被平面(0)z a a R =<<所截下的顶部(z a ≥)。
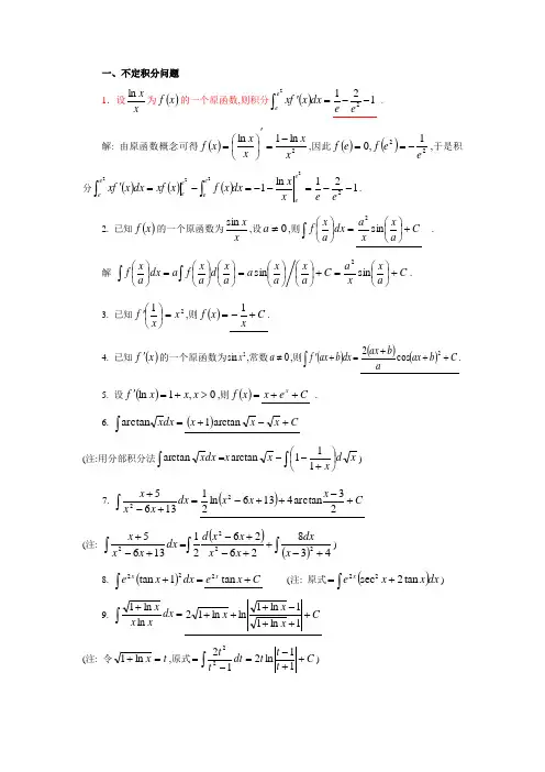
一、不定积分问题1.设x x ln 为()x f 的一个原函数,则积分()='⎰2e e dx x f x 1212--ee .解: 由原函数概念可得()2ln 1ln x x x x x f -='⎪⎭⎫ ⎝⎛=,因此()()221,0e e f e f -==,于是积分()()()121ln 122222--=--=-='⎰⎰e e xxdx x f x xf dx x f x e ee eee e e. 2. 已知()x f 的一个原函数为x x sin ,设0≠a ,则=⎪⎭⎫⎝⎛⎰dx a x f C a x x a +⎪⎭⎫ ⎝⎛sin 2 .解C a x x a C a x a x a a x d a x f a dx a x f +⎪⎭⎫⎝⎛=+⎪⎭⎫ ⎝⎛⎪⎭⎫ ⎝⎛=⎪⎭⎫ ⎝⎛⎪⎭⎫ ⎝⎛=⎪⎭⎫ ⎝⎛⎰⎰sin sin 2.3. 已知21x x f =⎪⎭⎫⎝⎛',则()=x f C x+-1. 4. 已知()x f '的一个原函数为2sin x ,常数0≠a ,则()=+'⎰dx b ax f ()()C b ax ab ax +++2cos 2. 5. 设()0,1ln >+='x x x f ,则()=x f C e x x++ .6.⎰=dx x arctan()C x x x +-+arctan 1(注:用分部积分法⎰⎰⎪⎭⎫⎝⎛+--=x d x x x dx x 111arctan arctan ) 7.⎰=+-+dx x x x 13652()C x x x +-++-23arctan 4136ln 212(注: ()()⎰⎰⎰+-++-+-=+-+43826262113652222x dxx x x x d dx x x x ) 8.()=+⎰dx x e x 221tan C x e x+tan 2 (注: 原式()⎰+=dx x x e x tan 2sec 22) 9.=+⎰dx x x xln ln 1C x x x +++-+++1ln 11ln 1lnln 12 (注: 令t x =+ln 1,原式C t t t dt t t ++-=-=⎰11ln 21222)10.()=-⎰dx x x21ln C x xx x +-+-1ln 1ln (注: 原式()⎰---=x x dx x x 11ln ) 11.()=+⎰--dx e xe x x21()C e ex xx++-+-1ln 1 (注: 原式()()⎰⎰⎰++-+=+-+=+=-----x xx x x x ee d e x e dx e x exd 1111111) 12. =⎰dx x x2sin sin ln C x x x x +---cot sin ln cot (注: 原式()⎰-=x xd cot sin ln )13.()=-⎰dx x x xln 1ln 1C x +ln arcsin 214. ()=++⎰dx xe x x x11C xe xe x x ++1ln(注: 原式()()()()()⎰⎰⎰⎰⎪⎭⎫ ⎝⎛+-=+=+=++=du u u u u du xe x e xe d dx xe x e x e x x x x x x 1111111) 15*()=+⎰dx xx 1ln ()C x x x x +-++arctan 41ln 2(注: 原式()⎰⎰⎰⎰⎪⎪⎭⎫⎝⎛+--+=+-+=+-+=+=x x d dx x x x x xd x x dx x x x x x d x 141ln 21221ln 2121ln 21ln 2 16. ()=+⎰46x x dxC x x ++4ln 24166 (注: 原式⎰⎪⎪⎭⎫ ⎝⎛+-=dx x x x 414165) 17.=⎰dx xx cos tan C x+-cos 218.=+⎰dx x csc 1C x +sin arcsin 219. =-⎰xdx x x arcsin 12()C x x x x +⎥⎦⎤⎢⎣⎡+---3arcsin 131323220. 设()34f x dx xx C '=-+⎰,则()f x = 22x x C -+ .21.32sin cos x xdx =⎰4611sin sin 46x x C -+ . 22. 设()ln 1f x x '=+,则()f x xx e C ++ .23. 设()31xf x e '-=,则()f x ()1133x eC ++ .24. 若()21x f x dx x C =+++⎰,则()f x 2l n 21x + .25. 设()()()()()()11,F x f x g x f x f x f x =-=+,若()()2F x g x '=⎡⎤⎣⎦,且14f π⎛⎫= ⎪⎝⎭,则()f x tan x . 26.214dx x =+⎰ 1a r c t a n 22xC + . 27. 设0a ≠,则()100ax b dx +=⎰()1011101ax b C a++ . 28. 设()ln 1f x x '=+,则()f x xe x C ++ . 29. 设0b ≠,则2xdx a bx =+⎰ 21ln 2a bx C b++ . 30.2xxde -=⎰ 2212x x xe e C --++ . 31. ()f x 的一个原函数为1x ,则()f x '= 32x.32.(211x dx -=⎰8 .33. 若函数()f x 是(),-∞+∞上的连续函数,且()()210x x f t dt x +=⎰,则()2f =15. (注:()()210x x f t dt x +=⎰两边对x 求导,得()()221231f x x x x ⎡⎤+⋅+=⎣⎦,令1x =,得()251f ⋅=,所以()125f =)34.若()x f 的原函数为x ln ,则()='⎰dx x f x ln x C -+ 。
数学分析第二学期考试题一、 单项选择题(从给出的四个答案中,选出一个最恰当的答案填入括号内,每小题4分,共32分)1、函数)(x f 在[a,b ]上可积的必要条件是( b )A 、连续B 、有界C 、无间断点D 、有原函数2、函数)(x f 是奇函数,且在[-a,a ]上可积,则( b ) A 、⎰⎰=-aa a dx x f dx x f 0)(2)(B 、0)(=⎰-aa dx x f C 、⎰⎰-=-aaa dx x f dx x f 0)(2)(D 、)(2)(a f dx x f aa =⎰-3、下列广义积分中,收敛的积分是( a )A 、 ⎰11dx xB 、 ⎰∞+11dx xC 、 ⎰+∞sin xdxD 、⎰-1131dx x4、级数∑∞=1n n a 收敛是∑∞=1n n a 部分和有界且0lim =∞→n n a 的( c ) A 、充分条件 B 、必要条件 C 、充分必要条件 D 、无关条件5、下列各积分中可以直接运用牛顿-莱布尼兹公式求值的是( a )A 、10arcsin xdx ⎰ B 、11ln eedx x x ⎰C 、1-⎰D 、10sin xdx x⎰ 6、下面结论错误的是( b )A 、若)(x f 在],[b a 上可积,则)(x f 在],[b a 上必有界;B 、若)(x f 在),(b a 内连续,则 )(dx x f ba ⎰存在;C 、 若)(x f 在],[b a 上可积,则)(x f 在],[b a 上必可积;D 、 若)(x f 在],[b a 上单调有界,则)(x f 在],[b a 上必可积。
7、下列命题正确的是( d ) A 、)(1x a n n ∑∞=在[a ,b ]绝对收敛必一致收敛B 、)(1x a n n ∑∞=在[a ,b ] 一致收敛必绝对收敛C 、 若0|)(|lim =∞→x a n n ,则)(1x a n n ∑∞=在[a ,b ]必绝对收敛 D 、)(1x a n n ∑∞=在[a ,b ] 条件收敛必收敛8、∑∞=++-012121)1(n n nx n 的和函数为( c )A 、x eB 、x sinC 、)1ln(x +D 、x cos 二、计算题:(每小题7分,共28分) 9、⎰=914)(dx x f ,求⎰+22)12(dx x xf 。
《数学分析(二)》期末试题一、选择题(共20分) 1、dxx dxd b a⎰2sin =( ) A 、22sin sinab - B 、22cos cos ab - C 、2sinxD 、02、下列积分中不是非正常积分的是( ) A 、 dx x⎰+∞+0211 B 、dxx⎰-1211 C 、dx x⎰-42211 D 、dxx ⎰-22)1(13、若任意的),(b a x ∈,有0)0(,0)(>''>'f x f 则)(x f 在),(b a 内是( ) A 、单调增加的凸函数 B 、单调减少的凹函数 C 、单调减少的凸函数 D 、单调增加的凹函数4、cx dx x f x+='⎰2ln2)(ln 1且1)0(=f ,则=)(x f ( )A 、122+xB 、x 2ln 2C 、22xD 、c x +2ln 25.下列级数中条件收敛的是() A 、∑!sin n x B 、1)1(+-∑n n nC 、∑+-]11)1[(nnnD 、nn2sin)1(∑-6、曲线1)1(3--=x y 的拐点是( )A 、)0,2(B 、)1,1(-C 、)2,0(-D 、无拐点 7、若级数∑∞=+0)1(n nu 收敛,则=∞→n n u lim ()。
A 、1B 、-1C 、0D 、不存在。
8、设)(x f 为连续函数,则dtt f dxd xx⎰2)(=( )A 、)()(22x f x xf-B 、)(22x xf C 、)(x f D 、)()21(x f x -9、若1n n μ∞=∑收敛,1nn k k S μ==∑,则下列命题中正确的是( )。
A 、lim 0nn S →∞=B 、lim n n S →∞存在C 、lim n n S →∞不存在 D 、}{n S 单调 10、13n nn xn ∞=⋅∑的收敛半径为( )A 、0B 、1C 、3D 、13二、填空题(共20分) 1、=⎰-xdx x arccos117( )2、23sin limxx t dt x→=⎰( )3、=--⎰dx x x)cos 312(2( )曲线)10(,2≤≤=x x y 绕x 轴旋转一周所成的旋转体的体积是( ) 5、dxxx p⎰+∞1sin 条件收敛,那么p 的取值范围为( )6、设13--=ax x y 在1=x 处存在极值,则=a ( )7、函数)1()1()(>-+=p x xx f pp在]1,0[上的最大值为( )8、曲线2y x=和2y x=所围城的平面图形的面积为( ) 9.级数()111n n n ∞=+∑的和为( )。
数学分析(2)期末试题课程名称数学分析(Ⅱ) 适 用 时 间试卷类别1适用专业、年级、班 应用、信息专业一、单项选择题(每小题3分,3×6=18分)1、 下列级数中条件收敛的是( ).A .1(1)nn ∞=-∑ B .1nn ∞=.21(1)n n n ∞=-∑ D .11(1)nn n ∞=+∑2、 若f 是(,)-∞+∞内以2π为周期的按段光滑的函数, 则f 的傅里叶(Fourier )级数在它的间断点x 处 ( ).A .收敛于()f xB .收敛于1((0)(0))2f x f x -++ C . 发散 D .可能收敛也可能发散3、函数)(x f 在],[b a 上可积的必要条件是( ).A .有界B .连续C .单调D .存在原函数4、设()f x 的一个原函数为ln x ,则()f x '=( )A .1x B .ln x x C . 21x- D . x e 5、已知反常积分20 (0)1dxk kx +∞>+⎰收敛于1,则k =( ) A . 2π B .22π C . 2D . 24π6、231ln (ln )(ln )(1)(ln )n nx x x x --+-+-+收敛,则( )A . x e <B .x e >C . x 为任意实数D . 1e x e -<<二、填空题(每小题3分,3×6=18分)1、已知幂级数1nn n a x∞=∑在2x =处条件收敛,则它的收敛半径为.2、若数项级数1n n u ∞=∑的第n 个部分和21n nS n =+,则其通项n u =,和S =. 3、曲线1y x=与直线1x =,2x =及x 轴所围成的曲边梯形面积为. 4、已知由定积分的换元积分法可得,1()()bxxaef e dx f x dx =⎰⎰,则a =,b =.5、数集(1)1, 2 , 3, 1nnn n ⎧⎫-=⎨⎬+⎩⎭的聚点为. 6、函数2()x f x e =的麦克劳林(Maclaurin )展开式为.65三、计算题(每小题6分,6×5=30分) 1、(1)dx x x +⎰. 2、2ln x x dx ⎰. 3、 0 (0)dx a >⎰. 4、 2 0cos limsin xx t dt x→⎰.5、dx ⎰.四、解答题(第1小题6分,第2、3 小题各8分,共22分)1、讨论函数项级数21sin n nxn ∞=∑在区间(,)-∞+∞上的一致收敛性. 2、求幂级数1nn x n ∞=∑的收敛域以及收敛区间内的和函数.3、设()f x x =,将f 在(,)ππ-上展为傅里叶(Fourier )级数.五、证明题(每小题6分,6×2=12分)1、已知级数1nn a∞=∑与1nn c∞=∑都收敛,且, 1, 2, 3 n n n a b c n ≤≤=,证明:级数1nn b∞=∑也收敛.2、证明:22 0sin cos nn x dx x dx ππ=⎰⎰.66试题参考答案与评分标准课程名称 数学分析(Ⅱ) 适 用 时 间试卷类别1适用专业、年级、班应用、信息专业一、 单项选择题(每小题3分,3×6=18分)⒈ B ⒉ B ⒊ A ⒋ C ⒌ D ⒍ D二、 填空题(每小题3分,3×6=18分)⒈2⒉2, =2(1)n u S n n =+⒊ln 2⒋1, a b e ==⒌1±⒍201, (,)!nn x x n ∞=∈-∞+∞∑三、 计算题(每小题6分,6×5=30分)1. 解111(1)1x x x x=-++1(1)dx x x ∴+⎰(3分)11()1dx x x =-+⎰ln ln 1.x x C =-++(3分)2. 解 由分部积分公式得231ln ln 3x xdx xdx =⎰⎰ 3311ln ln 33x x x d x =-⎰(3分) 33111ln 33x x x dx x =-⋅⎰ 3211ln 33x x x dx =-⎰ 3311ln 39x x x C =-+(3分) 3. 解 令sin , [0, ]2x a t t π=∈由定积分的换元积分公式,得⎰2220cos atdt π=⎰(3分)6722(1cos2)2at dtπ=+⎰221(sin2)22at tπ=+2.4aπ=(3分)4.解由洛必达(L'Hospital)法则得2coslimsinxxtdtx→⎰2coslimcosxxx→=(4分)lim cosxx→=1=(2分)5.解=(2分)2sin cosx x dxπ=-⎰424(cos sin)(sin cos)x x dx x x dxπππ=-+-⎰⎰(2分)244(sin cos)(sin cos)x x x xπππ=+-+2.=(2分)四、解答题(第1小题6分,第2、3小题各8分,共22分)1.解(,),x n∀∈-∞∞∀+(正整数)22sin1nxn n≤(3分)而级数211nn∞=∑收敛,故由M判别法知,21sinnnxn∞=∑在区间(,)-∞+∞上一致收敛.(3分)682. 解 幂级数1nn x n∞=∑的收敛半径1R ==,收敛区间为(1,1)-.(2分)易知1n n x n ∞=∑在1x =-处收敛,而在1x =发散,故1nn x n∞=∑的收敛域为[1,1)-.(2分) 01, (1, 1)1n n x x x ∞==∈--∑(2分) 逐项求积分可得0001, (1,1)1xx nn dt t dt x t ∞==∈--∑⎰⎰. 即101ln(1), (1,1).1n nn n x x x x n n+∞∞==--==∈-+∑∑(2分)3. 解 函数f 及其周期延拓后的图形如下函数f 显然是按段光滑的,故由收敛性定理知它可以展开为Fourier 级数。
(十四)《数学分析II 》考试题一填空(共15分,每题5分):1 设 E = {x — [x] I x e 则 s upE = 1 , inf E = 0"'(5) = 2,则鳏今若警=竺,sin ax, x < 0,ln(l + x) +。
在"。
处可导,灿 Jb= o二计算下列极限:(共20分,每题5分)1 1 1 11 lim (1 + — + — + ----------- F —)〃 ; ,一823 n故 lim (1 + 土 + ! + 〃一>8 2 3]+ + —2 hm ------------- ---------- :— (V/?)解:由Stolz 定理, 「 1 + A /2 + — yfn..lim ----------- — --------- = lim —。
/_____ 今〃f° (而)3 f (如)一(J. — 1)=lim____ _____________〃一8( — — 1)(〃 + 一 1) + 〃 一 1)=lim"*(〃 —(〃一 1))(2” + — 1)—1)1 + J1--2=怛 I ------------ " 1=32 +、)F ),,小 1 1解:由于1<(1 + 5 +氏+・…+上是沽,又limS = l,n〃一>81 1+ —)〃 = lony/n(y/n + y/n — 1)「sinx —sin6f3 lim ------------------------L x — ac x + a ・ x — a「 sin X —sin Q 2cos -------------------------- sin ----------- 解:lim ------------------- = Um -------------- 2 ---------X* x — a — x — a . X — Usin ----------=lim cos ------------------------ =—— = cost/.2X — Cl ~~2~4 lim(l + 2x) ve .X —()解:lim(l + 2x)' = lim (l + 2x)A —>0X —>Qi2x2=e 2三计算导数(共15分,每题5分): 1 /(x) = Vx 2 + 1 — ]n(x + J-? +1), '(x); 2x 1 + _ _____解:e)=玉 _ 2«.『+l=^2 Jx? + 1 X ++ 1 yjx 1 +1 yjx 2 + 1 」X’ + 1 x-1 表示的函数的二阶导数 y = “sin t(“sin ,)' 3〃sirr ,cos , - —- = z ----------------- = -tanf, dx (acos t) — 3ocos~fsin ,d^y — sec" t sec 、 ~ o dx~ (t/cos ,)' 3“cosUsin ,3 设 y = (3x2 _ 2)sin2x,求y (I(x,)o 2 求由方程! 解: 解:由Leibniz 公式 y <,00) =C 1%(sin2x)<100)(3x 2 -2) + C l l 00(sin 2x)(99>(3x 2 -2y + C^(sin 2x)(98)(3x 2 -2/ =2,0° sin(2x + 衅)(3子一 2) +100 ・ 2的 siii(2x + 哗)6x + 悴298 sin(2x + 哗)• 6= 2,00(3x 2 - 2)sin 2x - 600 • 2W xcos 2x - 29700 x 2<?8 sin 2x = 2*12/ -229708 )sin 2.s 1200xcos2炸四(12分)设u>0, {%}满足:X 。
课程编号:100171019 北京理工大学2021-2022学年第二学期2021级数学分析(II )期终考试试题A 卷解答1.(23分)求下列函数的偏导数或全微分 (1)设cos xyz e=,求dz .(2)设(,)z z x y =由方程zx y z e ++=所确定的隐函数,求z x ∂∂和22zx∂∂.(3)设1()()z f xy yg x y x=++,其中f 和g 在R 上有连续的二阶导数,求z x ∂∂,z y ∂∂和2zy x∂∂∂ 解:(1)cos (cos )xy dz e d xy =cos (sin )()xy e xy d xy =−cos sin ()xy xye ydx xdy =−+.(2)方程关于x 求导,y 是常数,z 是x 的函数,1z x x z e z +=,11x zz e =−. 23(1)(1)z zx xx z ze z e z e e =−=−−−. 方法二. zzxx x x xx z e z z e z =+,221(1)z zx xx z ze z e z e e =−=−−−. (3)//211()()()z f xy f xy y yg x y x x x∂=−+⋅++∂ //21()()()yf xy f xy yg x y x x =−+++,//1()()()z f xy x g x y yg x y y x∂=⋅++++∂ //()()()f xy g x y yg x y =++++,2/////()()()zf xy yg x y yg x y y x∂=⋅++++∂∂ /////()()()yf xy g x y yg x y =++++.2.(15分)(1)求二重积分22Dy I dxdy x=⎰⎰,其中D 为由1,2,y y y x x ===所围的区域. (2)求三重积分I x dxdydz Ω=⎰⎰⎰,其中Ω由0,0,0,21x y z x y z ===++=所围成.(3)求第一型曲面积分()MI x y z dS =++⎰⎰,其中M为上半球面:z =222x y R +≤(0)R >. 解:(1)2221221y y Dy y I dxdy dy dx x x==⎰⎰⎰⎰22111()yyy dy x =−⎰2223111()()y y dy y y dy y=−=−⎰⎰ 94=. 方法二. 22212221122212x x Dy y y I dxdy dx dy dx dy x xx ==+⎰⎰⎰⎰⎰⎰.(2)设D 为xy −平面上由0,0,21x y x y ==+=所围成区域.I x dxdydz Ω=⎰⎰⎰120x yDdxdy xdz −−=⎰⎰⎰(12)Dx x y dxdy =−−⎰⎰[]11(1)20(1)2x dx x x xy dy −=−−⎰⎰12011(1)448x x dx =−=⎰. 方法二. 对任意的[0,1]x ∈,x D 为yz −平面上由0,0,21y z y z x ==+=−所围成区域.I x dxdydz Ω=⎰⎰⎰1xD dx xdydz =⎰⎰⎰12011(1)448x x dx =−=⎰(3) x z =y z =,()MI x y z dS =++⎰⎰221(x y x y +≤=++⎰⎰221(x y x y +≤=++⎰⎰221x y Rdxdy +≤=⎰⎰3R π=.3.(8分)设(,)z z x y =在2R 有连续偏导数,并且322cos(2)3cos(2)dz axy x y dx x y b x y dy ⎡⎤⎡⎤=+++++⎣⎦⎣⎦其中,a b 是常数,求,a b 的值和(,)z z x y =的表达式. 解:由条件3cos(2)x z axy x y =++,223cos(2)y z x y b x y =++, 则232sin(2)xy z axy x y =−+,26sin(2)yx z xy b x y =−+. 因为xy z 和yx z 都连续,所以xy yx z z =, 232sin(2)axy x y −+26sin(2)xy b x y =−+, 取,02x y π==,解得2b =,进而得出2a =.再由32cos(2)x z xy x y =++,23(,)sin(2)()z x y x y x y y ϕ=+++, 22/32cos(2)()y z x y x y y ϕ=+++, 于是/()0y ϕ=,()y C ϕ=.故23(,)sin(2)z x y x y x y C =+++.4.(10分)求幂级数211(1)(21)!n n n n x n +∞−=−+∑的收敛域及和函数的表达式.解:记21(1)()(21)!n n n n u x x n −−=+. 对任意的0x ≠,21()0,()2(23)n n u x xn u x n n +=→→+∞+, 则211(1)(21)!n n n n x n +∞−=−+∑收敛. 即得211(1)(21)!n n n n x n +∞−=−+∑的收敛域为(,)−∞+∞. 记211(1)()(21)!n n n n S x x n +∞−=−=+∑,定义域为(,)−∞+∞.容易求得(0)0S =. 对任意的0x ≠,利用幂级数的性质,2/11(1)()()2(21)!nn n S x x n +∞=−=+∑/211(1)2(21)!n n n x n +∞=⎛⎫−= ⎪+⎝⎭∑/21111(1)2(21)!n n n x x n +∞+=⎛⎫−= ⎪+⎝⎭∑/11(sin )2x x x⎛⎫=− ⎪⎝⎭ 2cos sin 2x x xx−=.5.(10分)设()f x 是以2π为周期的函数,它在区间(,]ππ−上的表达式为00()20x f x x ππ−<≤⎧=⎨<≤⎩. (1)求()f x 的Fourier 级数;(2)求()f x 的Fourier 级数的和函数在区间[0,2]π上的表达式;(3)求11(1)21n n n −+∞=−−∑.解:(1)先计算()f x 的Fourier 系数, 01()a f x dx πππ−=⎰122dx ππ==⎰,1()cos n a f x nxdx πππ−=⎰12cos 0nxdx ππ==⎰,1,2,n =,1()sin n b f x nxdx πππ−=⎰ ()0122sin 1(1)n nxdx n πππ==−−⎰2421(21)n k n k k π=⎧⎪=⎨=−⎪−⎩,1,2,k =.()f x 的Fourier 级数为()01cos sin 2n n n a a nx b nx +∞=++∑ 14sin(21)121k k xk π+∞=−=+−∑. (2) 12(0,)4sin(21)10(,2)2110,,2k x k x x k x ππππππ+∞=∈⎧−⎪+=∈⎨−⎪=⎩∑. (3)令2x π=,1411sin (21)2212k k k ππ+∞=⎛⎫+−= ⎪−⎝⎭∑,解得11(1)214n n n π−+∞=−=−∑.6.(12分)(1)判别下列广义积分的收敛性,若收敛,是绝对收敛还是条件收敛?(a) 30411dx +∞−⎰ (b) 20sin x dx +∞⎰ (2)设()af x dx +∞⎰收敛,并且lim ()x f x L →+∞=.证明:0L =.解:(1)(a) 0,1x x ==为瑕点, 考虑30411dx +∞−⎰1122133330122444411111111dx dx dx dx +∞=+++−−−−⎰⎰⎰⎰.因为330004411lim lim111x x x →+→+==−−,3431141lim 111x x x →→−⋅==−,31342433441lim lim111x x xxx +→+∞→+∞⋅==−−,而其中1351244+=>,所以112213333012244441111,,,1111dx dx dx dx +∞−−−−⎰⎰⎰⎰都收敛,于是30411dx +∞−⎰收敛,又被积函数非负,故是绝对收敛.(b)0x =不是瑕点,20sin x dx +∞⎰与21sin x dx +∞⎰具有相同的收敛性,只讨论21sin x dx +∞⎰即可.令2t x =,则2111sin 2x dx +∞+∞=⎰⎰, 1+∞⎰条件收敛. 那么20sin x dx +∞⎰条件收敛.(2)假设0L ≠,不妨设0L >.由lim ()x f x L →+∞=,根据极限性质,存在0X >,使得当x X >时,()2Lf x >.则A X ∀>,()()()A X AaaXf x dx f x dx f x dx =+⎰⎰⎰()()2X aLf x dx A X >+−⎰, 由此推出lim()A aA f x dx →+∞=+∞⎰,与()af x dx +∞⎰收敛矛盾.假设不成立,即0L =.7.(12分)(1)证明:函数项级数1nx n ne +∞−=∑在[,)(0)δδ+∞>一致收敛,但在(0,)+∞不一致收敛.(2)证明:1()nx n f x ne +∞−==∑在区间(0,)+∞上连续且可导.证:(1)对任意的[,)x δ∈+∞和任意的正整数n ,0nx n ne ne δ−−<<, 而1,e n δδ−−=→<→+∞,说明1nn neδ+∞−=∑收敛,根据M 判别法,函数项级数1nx n ne +∞−=∑在[,)(0)δδ+∞>一致收敛.记()nx n u x ne −=,对任意的正整数n ,取1(0,)n x n=∈+∞, 1()0,n n u x ne n −=→+∞,则()nxn u x ne−=在(0,)+∞不一致收敛于0.故函数项级数1nx n ne +∞−=∑在(0,)+∞不一致收敛. (2) (0,)x ∀∈+∞,存在0δ>,使得(,)x δ∈+∞.因为()nxn u x ne−=在(0,)+∞连续(1,2,)n =,利用(1),函数项级数1nx n ne +∞−=∑在[,)(0)δδ+∞>一致收敛,所以和函数1()nx n f x ne +∞−==∑在[,)δ+∞上连续,于是它在x 连续.由x 的任意性,1()nx n f x ne +∞−==∑在区间(0,)+∞上连续.对任意的0δ>,/22()nx n n u x n e n e δ−−=−≤,[,),1,2,x n δ∀∈+∞=,而1,e n δδ−−=→<→+∞,说明21nn n eδ+∞−=∑收敛,根据M 判别法,函数项级数/1()n n u x +∞=∑在[,)(0)δδ+∞>一致收敛.根据一致收敛的函数项级数的逐项可导性,1()nx n f x ne +∞−==∑在区间[,)(0)δδ+∞>可导. 同理可得,1()nx n f x ne +∞−==∑在区间(0,)+∞上可导.8.(10分)设1α>,10n n a a +<≤,0,1,2,n =.证明:111n n n n n a a a a α+∞−=−−∑收敛. 证:由条件,{}n a 单调递增,则要么{}n a 有上界要么{}n a 趋于+∞. (1)设{}n a 有上界. 则{}n a 收敛,记lim n n A a →+∞=,显然0A >.利用极限性质,存在0N ,当0n N >时, 2n Aa >. 则当01n N >+时,由条件1α>,那么1111120()()()22n n n n n n n n a a a a a a A A a a A ααα+−−−−−−≤<=−. 由于1001(),nk k n k a a a a A a n −=−=−→−→+∞∑,说明11()n n n a a +∞−=−∑收敛. 利用比较判别法,111n n n n n a a a a α+∞−=−−∑收敛.(2) 设{}n a 无上界,即lim n n a →+∞=+∞.利用极限性质,存在0N ,当0n N >时,1n a >. 则当01n N >+时,由条件1α>,那么11111110n n n n n n n n n na a a a a a a a a a α−−−−−−−≤≤=−. 由于 110011111(),nk k k n n a a a a a =−−=−→→+∞∑, 说明1111()n n n a a +∞=−−∑收敛. 利用比较判别法,111n n n n n a a a a α+∞−=−−∑收敛.。
数学分析-2样题(一)1.(4分) 级数1n n u ∞=∑收敛的必要条件是 lim 0;n n u →∞=2. (4分) 级数13121(1)n n n∞-=-∑为( A ).A.绝对收敛;B. 条件收敛;C.发散;D. 收敛性不确定. 3. (4分)幂级数1(1)n nn n ∞-=-∑( D ). A. 2;R = B.1;2R = C.3;R = D.1.3R =一.(各5分,共20分)求下列不定积分与定积分: 1. arctan x x dx ⎰ 2. x e dx -⎰3. ln 0⎰4. 20sin 1cos x xdx xπ+⎰二.(10分)设()f x 是上的非负连续函数, ()0baf x dx =⎰.证明()0f x = ([,])x a b ∈.三. (10分)证明20sin 0xdx xπ>⎰. 四. (15分)证明函数级数0(1)n n x x ∞=-∑在不一致收敛, 在[0,]δ(其中)一致收敛.五. (10分)将函数,0(),0x x f x x x ππππ+ ≤≤⎧=⎨- <≤⎩展成傅立叶级数.六. (10分)设22220(,)0,0xy x y f x y x y ⎧ +≠⎪=⎨⎪ +=⎩证明: (1) (0,0)x f ', (0,0)y f '存在; (2) (,)x f x y ',(,)y f x y '在(0,0)不连续;(3) (,)f x y 在(0,0)可微.七. (10分)用钢板制造容积为V 的无盖长方形水箱,怎样选择水箱的长、宽、高才最省钢板?八. (15分)设01σ<<, 证明111(1)n n n σσ∞=<+∑. 数学分析-2样题(二)一. (各5分,共20分)求下列不定积分与定积分:1.(0)a >2. 1172815714x x dx x x++⎰3. 10arcsin x dx ⎰4. 1000π⎰二. (各5分,共10分)求下列数列与函数极限: 1. 221lim nn k nn k→∞=+∑2. 20lim1xt xx x e dt e →-⎰三.(10分)设函数在[,]a b 连续,对任意[,]a b 上的连续函数()g x , ()()0g a g b ==,有()()0baf xg x dx =⎰.证明()0f x = ([,])x a b ∈.四. (15分)定义[0,1]上的函数列2212,211()22211n n x x n f x n n x x n n x n ⎧ , 0≤≤⎪⎪⎪=- , <≤⎨⎪⎪0 , <≤⎪⎩证明{()}n f x 在[0,1]不一致收敛. 五. (10分)求幂级数0(1)n n n x ∞=+∑的和函数.六. (10分)用εδ-定义证明2(,)(2,1)lim (43)19x y x y →+=.七. (12分)求函数22(2)(2)(0)u ax x by y ab =-- ≠的极值.八. (13分)设正项级数1n n a ∞=∑收敛,且1()n n a a n N ++≥ ∈.证明lim 0n n na →∞=.B 4. 4.若1(1)n n n a x ∞=-∑在1x =-处收敛,则此级数在2x =处().A . 条件收敛B . 绝对收敛C . 发散D . 敛散性不能确定4. 已知0!n xn x e n ∞==∑,则求xxe -= 10(1)!n n n x n +∞=-∑5.(7分) 求幂级数1(1)(1)nn n x n ∞=--∑的收敛域.6.(7分) 将21()2f x x x=--展开为麦克劳林级数. 21111231212x x x x ⎡⎤⎢⎥⎢⎥=+---⎛⎫⎢⎥+ ⎪⎢⎥⎝⎭⎣⎦2分 ()11316(1)2x x =+-+ 3分 0011(1)362nn n n n x x ∞∞==⎛⎫=+- ⎪⎝⎭∑∑5分 10111(1)32n n n n x ∞+=⎛⎫=+- ⎪⎝⎭∑6分 -1<X<14. (本小题满分7分)将xx f 1)(=展开成3-x 的幂级数,并求收敛域。
《数学分析(二)》题库及答案一、填空1、⎰=+11- 251dx xx ____________。
2、⎰∞+-= 02dx xe x ____________。
3、=++++⋅+⋅ )1(1321211n n ___________。
4、⎰∞+∞=+ - 2______1xdx。
5、_______)15)(45(11161611=++-++⋅+⋅ n n 。
6、幂级数∑∞=--11)1(n nn nx 的收敛域为______ 。
二、单项选择题1、设)(x f 是),(b a 上的连续函数,则在),(b a 上)(x f 必有___________。
A .导函数 B .原函数 C .最大值 D .最小值2、设)(x f 在),(+∞-∞上有连续的的导数)(x f ',则___________。
A .⎰+='c x f dx x f )2(21)2( B .⎰+='c x f dx x f )2()2( C .⎰+='c x f dx x f )()2( D . ⎰=')2(2))2((x f dx x f3、设)(x f 是),(+∞-∞上非零的连续奇函数,则⎰=xdt t f x F 0)()(是___________。
A .奇函数B .偶函数C .非奇非偶函数D .可能是奇,也可能是偶函数 4、设函数)(x f 在],[b a 上可积,则)(x f 在],[b a 上______ 。
A .存在原函数B .有界C .连续D .可导 5、若0lim =∞→n n a ,则数项级数∑∞=1n na______ 。
A .收敛B .发散C .收敛且和为零D .可能收敛,也可能发散 6、若反常积分⎰∞+ 12)(dx x f 收敛,则⎰∞+ 1)(dx x f ______ 。
A .发散B .条件收敛C .绝对收敛D .可能收敛,也可能发散。
三.判断对错1.若)(x f 在(a 、b )内可微,则⎰+=c x f x df )()(。
2021-2022学年第二学期期末《数学分析》一.填空题 ( 每题5分,共30分 )1. 已知势函数 2u x yz =,则其梯度 grad u = ,其梯度的散度 ()div grad u = 。
2. 曲面:ln x z y y ⎛⎫∑=+ ⎪⎝⎭在点0(1,1,1)P 处的单位法向量为 ,在该点处的切平面方程为 .3. 设22()d ,x x u x f x e u -=⎰ 则'()f x = .4. 设Γ是以(0,0),(1,0),(0,1)O A B 为顶点的三角形的边界,则曲线积分()x y ds Γ+⎰ = .5. 设Ω是由锥面z =和上半球面 z = 围成的空间区域, 则三重积分222()d f xy z V Ω++⎰⎰⎰ 在球坐标系下的累次积分为.6. 利用Γ函数和B 函数的性质,可知 2560sin cos d x x x π⎰ = .二. 计算题 (10分) 计算二重积分D,其中 D 是由22221x y a b += 所围的平面区域。
设Γ是任意一条包围着原点(不经过原点)的分段光滑、逆时针定向曲线,试计算曲线积分22.2xdy ydxx y Γ-+⎰四. 计算题 (10分)设∑为曲面 )20(222≤≤+=z y x z 的下侧.计算曲面积分33()d d ()d d 2()d d x y y z y z z x x y z x y ∑++-++-⎰⎰.计算曲线积分22I y dx xdy z dz Γ=-++⎰,其中Γ是平面2y z +=与柱面221x y +=的交线,从Oz 轴正向往下看为逆时针方向.六.计算题 (10分)计算双曲面z xy = 被围在圆柱面222x y a +=内部的面积.设()f x 是[,]a b 上的连续函数,利用二重积分性质证明不等式22()d ()()d b b a a f x x b a f x x ⎡⎤≤-⎢⎥⎣⎦⎰⎰八. 证明题 (10分)设(,)f x u 在[,][,]a b αβ⨯上连续,证明对任意 0[,]u αβ∈,总有0lim (,)d (,)d b baau u f x u x f x u x →=⎰⎰设Ω为闭区域,∂Ω是Ω的边界外侧,n是∂Ω的单位外法向量。
《数学分析(II )》试题2004.6一.计算下列各题:1.求定积分∫+e x x dx 12)ln 2(;2.求定积分; ∫−222),1max(dx x3.求反常积分dx x x ∫∞++021ln ;4.求幂级数()∑∞=−+1221n n n x n n 的收敛域;5.设,求du 。
yz x u =二.设变量代换可把方程⎩⎨⎧+=−=ay x v y x u ,20622222=∂∂−∂∂∂+∂∂y z y x z x z 简化为02=∂∂∂v u z ,求常数。
a三.平面点集(){}⎭⎬⎫⎩⎨⎧=⎟⎠⎞⎜⎝⎛L U ,2,11sin ,10,0n n n是否为紧集?请说明理由。
四.函数项级数n nn n x x n +⋅−∑∞=−1)1(11在上是否一致收敛?请说明理由。
]1,0[五.设函数在上连续,且满足)(x f ),(∞+−∞1)1(=f 和)arctan(21)2(20x dt t x tf x =−∫。
求。
∫21)(dx x f六.设函数在上具有连续导数,且满足)(x f ),1[∞+1)1(=f 和22)]([1)(x f x x f +=′,+∞<≤x 1。
证明:存在且小于)(lim x f x +∞→41π+。
七.设如下定义函数:dt t t x f x x t1sin 21)(2∫⎟⎠⎞⎜⎝⎛+=,。
1>x 判别级数∑∞=2)(1n n f 的敛散性。
八.设∫=40cos sin πxdx x I n n (L ,2,1,0=n )。
求级数的和。
∑∞=0n n I《数学分析(II )》试题(答案)2004.6一.1.421π⋅; 2.320; 3.; 4. 0)2/1,2/1(−; 5.⎟⎠⎞⎜⎝⎛++=xdz y xdy z dx x yz x dz yz ln ln 。
二.。
3=a 三. 是紧集。
四.一致收敛。
五.43。
六.因为,所以单调增加,因此0)(>′x f )(x f 1)1()(=>f x f 。
一. 判断题(每小题3分,共21分)(正确者后面括号内打对勾,否则打叉) 1.若()x f 在[]b a ,连续,则()x f 在[]b a ,上的不定积分()⎰dx x f 可表为()C dt t f xa+⎰( ).2.若()()x g x f ,为连续函数,则()()()[]()[]⎰⎰⎰⋅=dx x g dx x f dx x g x f ( ).3. 若()⎰+∞adx x f 绝对收敛,()⎰+∞adx x g 条件收敛,则()()⎰+∞-adx x g x f ][必然条件收敛( ). 4. 若()⎰+∞1dx x f 收敛,则必有级数()∑∞=1n n f 收敛( )5. 若{}n f 与{}n g 均在区间I 上内闭一致收敛,则{}n n g f +也在区间I 上内闭一致收敛( ).6. 若数项级数∑∞=1n n a 条件收敛,则一定可以经过适当的重排使其发散于正无穷大( ).7. 任何幂级数在其收敛区间上存在任意阶导数,并且逐项求导后得到的新幂级数收敛半径与收敛域与原幂级数相同( ). 二. 单项选择题(每小题3分,共15分)1.若()x f 在[]b a ,上可积,则下限函数()⎰ax dx x f 在[]b a ,上( )A.不连续B. 连续C.可微D.不能确定2. 若()x g 在[]b a ,上可积,而()x f 在[]b a ,上仅有有限个点处与()x g 不相等,则( )A. ()x f 在[]b a ,上一定不可积;B. ()x f 在[]b a ,上一定可积,但是()()⎰⎰≠babadx x g dx x f ;C. ()x f 在[]b a ,上一定可积,并且()()⎰⎰=bab adx x g dx x f ;D. ()x f 在[]b a ,上的可积性不能确定.3.级数()∑∞=--+12111n n n nA.发散B.绝对收敛C.条件收敛D. 不确定4.设∑n u 为任一项级数,则下列说法正确的是( ) A.若0lim =∞→n n u ,则级数∑nu 一定收敛;B. 若1lim1<=+∞→ρnn n u u ,则级数∑n u 一定收敛;C. 若1,1<>∃+n n u uN n N ,时有当,则级数∑n u 一定收敛;D. 若1,1>>∃+n n u uN n N ,时有当,则级数∑n u 一定发散;5.关于幂级数∑n n x a 的说法正确的是( ) A. ∑nnxa 在收敛区间上各点是绝对收敛的; B. ∑nnxa 在收敛域上各点是绝对收敛的;C. ∑nn xa 的和函数在收敛域上各点存在各阶导数; D.∑nnxa 在收敛域上是绝对并且一致收敛的;三.计算与求值(每小题5分,共10分)1. ()()()n n n n n n n +++∞→Λ211lim2. ()⎰dx x x 2cos sin ln四. 判断敛散性(每小题5分,共15分)1.dx xx x ⎰∞+++-021132.∑∞=1!n nnn3.()nnn nn21211+-∑∞=五. 判别在数集D 上的一致收敛性(每小题5分,共10分)1.()()+∞∞-===,,2,1,sin D n nnxx f n Λ2. (][)∞+⋃-∞-=∑,22,2D xn n六.已知一圆柱体的的半径为R,经过圆柱下底圆直径线并保持与底圆面030角向斜上方切割,求从圆柱体上切下的这块立体的体积。
数学分析(2)期末试题
课程名称 数学分析(Ⅱ) 适 用 时 间 试卷类别 1 适用专业、年级、班 应用、信息专业
一、单项选择题(每小题3分,3×6=18分)
1、 下列级数中条件收敛的是( ).
A .1(1)n
n ∞
=-∑ B . 1
n n ∞
= C .
2
1(1)n
n n
∞
=-∑ D . 1
1(1)n
n n ∞
=+∑
2、 若f 是(,)-∞+∞内以2π为周期的按段光滑的函数, 则f 的傅里叶(Fourier )级数在
它的间断点x 处 ( ).
A .收敛于()f x
B .收敛于1
((0)(0))2
f x f x -++
C . 发散
D .可能收敛也可能发散
3、函数)(x f 在],[b a 上可积的必要条件是( ).
A .有界
B .连续
C .单调
D .存在原
函数
4、设()f x 的一个原函数为ln x ,则()f x '=( )
A . 1x
B .ln x x
C . 21
x
- D . x e
5、已知反常积分2
0 (0)1dx
k kx +∞>+⎰收敛于1,则k =( )
A . 2
π
B .22π
C . 2
D . 24π
6、231ln (ln )(ln )(1)(ln )n n x x x x --+-+-+收敛,则( )
A . x e <
B .x e >
C . x 为任意实数
D . 1e x e -<<
二、填空题(每小题3分,3×6=18分)
1、已知幂级数1n n n a x ∞
=∑在2x =处条件收敛,则它的收敛半径为 .
2、若数项级数1
n n u ∞
=∑的第n 个部分和21
n n
S n =
+,则其通项n u = ,和S = . 3、曲线1
y x
=
与直线1x =,2x =及x 轴所围成的曲边梯形面积为 . 4、已知由定积分的换元积分法可得,1
()()b
x
x
a
e f e dx f x dx =⎰⎰,则a = ,b = .
5、数集(1) 1, 2 , 3, 1n
n n n ⎧
⎫
-=⎨⎬+⎩
⎭
的聚点为 . 6、函数2
()x f x e =的麦克劳林(Maclaurin )展开式为 .
65
三、计算题(每小题6分,6×5=30分)
1、 (1)dx
x x +⎰. 2、2ln x x dx ⎰.
3、 0
(0)dx a >⎰
. 4、 2 0
cos lim
sin x
x t dt x
→⎰.
5、dx ⎰.
四、解答题(第1小题6分,第2、3 小题各8分,共22分)
1、讨论函数项级数2
1
sin n nx
n ∞
=∑
在区间(,)-∞+∞上的一致收敛性. 2、求幂级数1n
n x n
∞
=∑的收敛域以及收敛区间内的和函数.
3、设()f x x =, 将f 在(,)ππ-上展为傅里叶(Fourier )级数.
五、证明题(每小题6分,6×2=12分)
1、已知级数1
n n a ∞
=∑与1
n n c ∞
=∑都收敛,且
, 1, 2, 3 n n n a b c n ≤≤=,
证明:级数1
n n b ∞
=∑也收敛.
2、证明:
22 0
sin cos n
n x dx x dx π
π
=⎰⎰.
66
试题参考答案与评分标准
课程名称 数学分析(Ⅱ) 适 用 时 间 试卷类别 1 适用专业、年级、班 应用、信息专业
一、 单项选择题(每小题3分,3×6=18分)
⒈ B ⒉ B ⒊ A ⒋ C ⒌ D ⒍ D
二、 填空题(每小题3分,3×6=18分)
⒈ 2 ⒉ 2
, =2(1)
n u S n n =
+ ⒊ ln 2
⒋ 1, a b e == ⒌ 1± ⒍ 201, (,)!
n
n x x n ∞
=∈-∞+∞∑
三、 计算题(每小题6分,6×5=30分)
1. 解
111
(1)1x x x x
=-++
1
(1)dx x x ∴+⎰ (3分)
11()1dx x x =-+⎰
ln ln 1.x x C =-++ (3分)
2. 解 由分部积分公式得
2
31
ln ln 3x xdx xdx =
⎰⎰ 3311
ln ln 33x x x d x =-⎰ (3分) 33111ln 33x x x dx x =-⋅⎰ 3211
ln 33x x x dx =-⎰ 3311
ln 39
x x x C =-+ (3分) 3. 解 令sin , [0, ]2
x a t t π
=∈ 由定积分的换元积分公式,得
⎰
2
220
cos a
tdt π
=⎰
(3分)
67
68
220
(1cos 2)2
a t dt π
=+⎰
2
20
1
(sin 2)22
a t t π=+
2
.4
a π=
(3分)
4. 解 由洛必达(L 'Hospital)法则得
20
cos lim
sin x
x tdt
x →⎰
20cos lim cos x x x →= (4分) 0
limcos x x →=
1= (2分)
5. 解
= (2分)
20
sin cos x xdx π
=-⎰
420
4
(cos sin ) (sin cos )x x dx x x dx π
π
π=-+-⎰⎰ (2分)
2
40
4
(sin cos )
(sin cos )
x x x x ππ
π=+-+
2.= (2分)
四、 解答题(第1小题6分,第2、3小题各8分,共22分)
1. 解 (, ), x n ∀∈-∞∞∀+(正整数)
22
sin 1
nx n n ≤ (3分) 而级数211
n n ∞
=∑收敛,故由M 判别法知,
2
1
sin n nx
n ∞
=∑在区间(,)-∞+∞上一致收敛. (3分)
2. 解 幂级数1n
n x n
∞
=∑的收敛半径1R =
=,
收敛区间为(1,1)-. (2分)
易知1n
n x n ∞
=∑在1x =-处收敛,而在1x =发散,
故1n
n x n
∞
=∑的收敛域为[1,1)-. (2分)
1
, (1, 1)1n n x x x ∞
==∈--∑ (2分) 逐项求积分可得
0001, (1,1)1x
x n
n dt t dt x t ∞==∈--∑⎰⎰. 即101ln(1), (1,1).1n n
n n x x x x n n
+∞
∞
==--==∈-+∑∑ (2分) 3. 解 函数f 及其周期延拓后的图形如下
函数f 显然是按段光滑的,
故由收敛性定理知它可以展开为Fourier 级数。
(2分)
由于()f x 在(,)ππ-为奇函数, 故 0, 0, 1, 2, n a n ==…, 而
1
sin 11
cos cos n b x nxdx
x nx nxdx
n n π
ππ
ππ
πππ
π-
-
=
=-+
-⎰⎰
1(1)2
n n
+-⋅= (4分)
所以在区间(,)ππ-上,
11
sin ()2(1).n n nx
f x x n ∞
+===-∑ (2分)
69
70
五、 证明题(每小题5分,5×2=10分)
1. 证明 由1
n n a ∞
=∑与1
n n c ∞
=∑都收敛知,
级数
1
()n
n n c
a ∞
=-∑也收敛。
(1分)
又由 , 1, 2, 3 n n n a b c n ≤≤=,
可知, 0, 1,2,3,
n n n n b a c a n ≤-≤-=
从而由正项级数的比较判别法知
1
()n
n n b
a ∞
=-∑收敛, (2分)
于是由 (), 1,2,3,n n n n b b a a n =-+=
知级数1
n
n b
∞
=∑收敛. (2分)
2. 证明 令2
x t π
=
-,则2
t x π
=
-. (1分)
由定积分的换元积分公式,得
202
sin sin ()2n n xdx t dt π
ππ
=-⎰⎰- (2分) 2200sin ()cos 2
n
n t dt tdt π
π
π
=-=⎰⎰ 20
cos n xdx π
=⎰ (2分)。