数学分析2期末考试题库完整
- 格式:doc
- 大小:1.19 MB
- 文档页数:29
西华师范大学数学分析(2)期末试题课程名称数学分析(Ⅱ)适用时间试卷类别1适用专业、年级、班应用、信息专业一、单项选择题(每小题3分,3×6=18分)1、下列级数中条件收敛的是().A .1(1)nn ∞=−∑B .nn ∞=C .21(1)nn n∞=−∑D .11(1)nn n ∞=+∑2、若f 是(,)−∞+∞内以2π为周期的按段光滑的函数,则f 的傅里叶(Fourier )级数在它的间断点x 处().A .收敛于()f xB .收敛于1((0)(0))2f x f x −++C .发散D .可能收敛也可能发散3、函数)(x f 在],[b a 上可积的必要条件是().A .有界B .连续C .单调D .存在原函数4、设()f x 的一个原函数为ln x ,则()f x ′=()A .1xB .ln x xC .21x −D .xe5、已知反常积分20 (0)1dxk kx +∞>+∫收敛于1,则k =()A .2πB .22πC .2D .24π6、231ln (ln )(ln )(1)(ln )n nx x x x −−+−+−+⋯⋯收敛,则()A .x e<B .x e>C .x 为任意实数D .1e x e−<<二、填空题(每小题3分,3×6=18分)1、已知幂级数1nn n a x∞=∑在2x =处条件收敛,则它的收敛半径为.2、若数项级数1n n u ∞=∑的第n 个部分和21n nS n =+,则其通项n u =,和S =.3、曲线1y x=与直线1x =,2x =及x 轴所围成的曲边梯形面积为.4、已知由定积分的换元积分法可得,10()()bxxaef e dx f x dx =∫∫,则a =,b =.5、数集(1)1, 2 , 3, 1nn n n ⎧⎫−=⎨⎬+⎩⎭⋯的聚点为.6、函数2()x f x e =的麦克劳林(Maclaurin )展开式为.65三、计算题(每小题6分,6×5=30分)1、(1)dxx x +∫.2、2ln x x dx ∫.3、 0(0)dx a >∫.4、 2 0cos limsin xx t dt x→∫.5、dx ∫.四、解答题(第1小题6分,第2、3小题各8分,共22分)1、讨论函数项级数21sin n nxn ∞=∑在区间(,)−∞+∞上的一致收敛性.2、求幂级数1nn x n ∞=∑的收敛域以及收敛区间内的和函数.3、设()f x x =,将f 在(,)ππ−上展为傅里叶(Fourier )级数.五、证明题(每小题6分,6×2=12分)1、已知级数1nn a∞=∑与1nn c∞=∑都收敛,且, 1, 2, 3 n n n a b c n ≤≤=⋯,证明:级数1nn b∞=∑也收敛.2、证明:22 00sin cos nn x dx x dx ππ=∫∫.66试题参考答案与评分标准课程名称数学分析(Ⅱ)适用时间试卷类别1适用专业、年级、班应用、信息专业一、单项选择题(每小题3分,3×6=18分)⒈B⒉B⒊A⒋C⒌D⒍D二、填空题(每小题3分,3×6=18分)⒈2⒉2, =2(1)n u S n n =+⒊ln 2⒋1, a b e ==⒌1±⒍201, (,)!nn x x n ∞=∈−∞+∞∑三、计算题(每小题6分,6×5=30分)1.解111(1)1x x x x=−++∵1(1)dxx x ∴+∫(3分)11(1dxx x=−+∫ ln ln 1.x x C =−++(3分)2.解由分部积分公式得231ln ln 3x xdx xdx =∫∫3311ln ln 33x x x d x =−∫(3分)33111ln 33x x x dx x =−⋅∫3211ln 33x x x dx =−∫3311ln 39x x x C =−+(3分)3.解令sin , [0, ]2x a t t π=∈由定积分的换元积分公式,得0∫2220cos atdtπ=∫(3分)6768220(1cos 2)2a t dtπ=+∫221(sin 2)22a t t π=+2.4a π=(3分)4.解由洛必达(L 'Hospital)法则得200cos limsin xx tdtx →∫20cos x x →=4分)lim cos x x→=1=(2分)5.解=(2分)20 sin cos x x dxπ=−∫4204(cos sin ) (sin cos )x x dx x x dx πππ=−+−∫∫(2分)244(sin cos )(sin cos )x x x x πππ=+−+2.=−(2分)四、解答题(第1小题6分,第2、3小题各8分,共22分)1.解(, ), x n ∀∈−∞∞∀+(正整数)22sin nx n n ≤(3分)而级数211n n ∞=∑收敛,故由M 判别法知,21sin n nxn ∞=∑在区间(,)−∞+∞上一致收敛.(3分)2.解幂级数1nn x n∞=∑的收敛半径111lim nn R n→∞==,收敛区间为(1,1)−.(2分)易知1nn x n ∞=∑在1x =−处收敛,而在1x =发散,故1nn x n∞=∑的收敛域为[1,1)−.(2分)01, (1, 1)1n n x x x ∞==∈−−∑(2分)逐项求积分可得0001, (1,1)1xx nn dt t dt x t ∞==∈−−∑∫∫.即101ln(1), (1,1).1n nn n x x x x n n+∞∞==−−==∈−+∑∑(2分)3.解函数f 及其周期延拓后的图形如下函数f 显然是按段光滑的,故由收敛性定理知它可以展开为Fourier 级数。
数学分析期末考试试题2### 数学分析期末考试试题2一、选择题(每题3分,共15分)1. 函数\( f(x) = \sin x \)在区间[0, \( \pi \)]上的最大值是: - A. 1- B. \( \frac{\pi}{2} \)- C. \( \sqrt{2} \)- D. \( \sqrt{3} \)2. 极限\( \lim_{x \to 0} \frac{\sin x}{x} \)的值是:- A. 0- B. 1- C. \( \frac{1}{2} \)- D. \( \frac{\pi}{2} \)3. 如果\( \int_{0}^{1} f(x) \, dx = 2 \),那么\( \int_{0}^{1} x f(x) \, dx \)的值是:- A. 0- B. 1- C. 2- D. 无法确定4. 函数\( g(x) = x^2 + 3x + 2 \)的导数是:- A. \( 2x + 3 \)- B. \( x^2 + 3 \)- C. \( 2 + 3x \)- D. \( 3x + 2 \)5. 以下哪个序列是收敛的?- A. \( \{ \frac{1}{n} \} \)- B. \( \{ (-1)^n \} \)- C. \( \{ n^2 \} \)- D. \( \{ \frac{1}{n^2} \} \)二、填空题(每题2分,共10分)1. 函数\( f(x) = x^3 - 6x^2 + 11x - 6 \)的极值点是______。
2. 如果\( \lim_{n \to \infty} a_n = L \),则\( \lim_{n \to \infty} \frac{a_1 + a_2 + \ldots + a_n}{n} = \)______。
3. 函数\( h(x) = e^x \)的泰勒展开式在\( x = 0 \)处的前三项是______。
高等数学,数学分析(2)期末考试题库高等数学②期末考试题库目录高等数学②期末考试题(一) (2)高等数学②期末考试题(二) (8)高等数学②期末考试题(三) (16)高等数学②期末考试题(四) (23)高等数学②期末考试题(五) (30)高等数学②期末考试题(六) (36)高等数学②期末考试题(七) (42)高等数学②期末考试题(八) (48)高等数学②期末考试题(九) (55)高等数学②期末考试题(十) (61)高等数学期末考试题(一)一. 解下列各题(每小题6分) 1. .设)ln(),,(22z y x z y x u y ++=, 求zuy u x u ,,及全微分)2,1,(e du . 2. 求曲线32,,t z t y t x =-==的与平面0193=-++z y x 平行的切线方程. 3. 将?+=x x dy yx dx I 222101化为极坐标系下的累次积分, 并计算I 的值.4. 判断级数∑∞=12tan1n nn和∑∞=-+-1)1()1(n n n n 的敛散性.二. 解下列各题(每小题7分)1. 设函数)(u f 具有二阶连续导数, 且)sin (y e f z x =满足方程z e yz x z x22222=??+??, 求)(u f 的表达式. 2. 计算第一类曲面积分??∑=zdS I , 其中∑为锥面22y x z +=在柱体x y x 222≤+内的部分.3. 设)(x S 函数≤<≤<-=ππx xx x f 002)(2的以π2为周期的傅里叶级数展开式的和函数, 求)3(),2(),6(),6(ππS S S S -的值.4. 计算曲线积分?-+=Ldz z xdy dx y I 222, 其中L 是平面2=+z x 与柱面122=+y x 的交线, 若从z 轴正向往负向看去, L 取逆时针方向. 三. (8分)把函数)3(1)(-=x x x f 展成1-x 的幂级数, 并指出收敛域.四. (8分)设V 是由曲面z z y x 2222=++围成的立体, 其上任一点处的密度与该点到原点的距离成正比(比例系数为)k , (1)求V 的质量; (2) 求V 的质心坐标.五.(8分)证明曲面m xyz = 0(≠m 为常数)上任一点的切平面在各坐标轴上的截距之积为常数.六. (8分)求幂级数∑∞=---121)12()1(n nn x n n 的收敛区间及和函数.七. (8分)计算曲面积分,)]([])([333??∑-+++=dxdy yz zf z dzdx y yz yf dydz x I 其中函数f 有连续的导函数, ∑为上半球面221y x z --=的上侧.八. (8分) 设函数)(y f 在+∞<<∞-y 内有连续的导函数, 且y ?,0)(≥y f ,1)1(=f , 已知对右半平面}0,),{(>+∞<<∞-x y y x 内任意一条封闭曲线Γ,都有0)(2=+-?Γy f x xdyydx , 求)(y f 的表达式.答案一. 1.1-=??y yx x u 222ln z y y x x y u y ++=?? 222z y z z u +=?? …………(3分) 1)2,1,(=??e xu52)2,1,(+=??e yu e54)2,1,(=e z u ………….(5分) dz dy e dx du 54)52(+++= ………………(6分)2. }3,1,2{2t t T -=………………..(1分) 由题设03962=+-t t , 即0322=-+t t …………………(2分) 解得1=t , 3-=t .…………………(3分) 切点为 )1,1,1(- 或 )27,3,9(-}3,1,2{=T 或}27,1,6{--=T切线为 311121-=-+=-z y x 或 27271369+=--=--z y x …………….(6分)3. ?=θθπρθ2cos sin 04d d I …………………..(2分`)θθθθπc o s 1c o s s i n 402==?d 4π)12(-= ……………………(6分)4.n n 2tan1~n2……………………….(2分) ∑∞=12n n 发散∑∞=∴12a r c t a n 1n n n 发散……………….(3分)∑∞=-+-1)1()1(n nn n ∑∞=++-=11)1(n nnn ……………………….(4分)n n ++11单调减少且趋于零, ∑∞=-+-∴1)1()1(n n n n 收敛……..(6分)二. 1.y e f x z x sin ?'=?? y e f yzx c o s ?'=?? ……………………….(2分) y e f y e f xz x x s i n s i n2222?'+?''=?? y e f y e f y zx x s i n c o s 2222?'-?''=?? ………………………..(4分)代入已知方程得 0=-''f f …………………………(5分) 012=-r 1±=ru u e C e C u f -+=21)( .………………(7分) 2.. ??+=xyD dxdy y x I 222 ……………………(3分)=θπρρθc o s 2022022d d ………………….(5分)=203c o s 3216πθθd 9232= .………………(7分)3.±=+=<<<<-=ππππx x x x x x S 2101002)(22 ………………(3分) 2)26()6(=-=πS S 2)62()62()6(-=-=-ππS S 1)0()2(==S S π 21)()3(2πππ+==S S ………..(7分)4. 解1 t z t y t x L cos 2,sin ,cos :-=== …………….(2分) dt t t t tI ]sin )cos 2(cos 2sin [(2203--+-=?π ………..………(5分)π2= …………………(7分) 解2 利用斯托克斯公式, 设S 是L 所围平面+-=Sdxdy y I )22( ………………...(3分)-=xyD dxdy y )22(π22==??xyD dxdy …………………….(7分)三.)311(31)(-+-=x x x f …………………..(2分)]211121)1(11[31----+-=x x ……………………..(4分)∑∑∞=∞=-----=00])21(21)1()1([31n n n nn x x ……………(6分) ∑∞=+----=011)1](21)1[(31n n n n x ……………….(7分)由 11<-x 及121<-x 得收敛域)2,0(∈x …………(8分)四. (1) ++=VdV z y x k m 222 ……………..(1分)=?ππ??θcos 2032020sin dr kr d d ……………(3分)58cos sin 8204πππk d k ==? …………….(4分) (2) 0=x 0=y ………………….(5分) ++= VdV z y x zk m z 2221 . ……………(6分) =?ππθc o s 2042020c o s s i n dr rd d m k .………… (7分) 783564cos sin 564206===m k d mk πππ.……………(8分) V 的质心为 )78,0,0(五. 曲面上任一点),,(000z y x P 处的切平面法向量为},,{000000y x z x z y n =…………………….(2分) 切平面 0)()()(00000000=-+-+-z z y x y y z x x x z y ……….(4分) 即 0000000003z y x z y x y z x x z y =++ 在三坐标轴上截距分别为0003,3,3z y x .………………(6分) m z y x z y x 2727333000000==?? ………………..(8分)六. 1)12)(1()12(lim lim1=++-=∞→+∞→n n n n a a n nn n …………………(1分)1=R , 收敛区间 11<<-x ………………….(2分)设∑∞=---=121)12()1()(n nn x n n x S∑∞=----='1121)12()1(2)(n n n xn x S …………………..(3分) . ∑∞=---=''1221)1(2)(n n n x x S …………………..(4分)∑∞=--=112)(2n n x 212x+=………..………(6分) x x S a r c t a n 2)(=' …………………(7分) )1l n(a r c t a n 2)(2x x x x S +-= …………………(8分)七. 设0,1:22=≤+z y x S , 利用高斯公式-+++-=+dxdy yz zf z dzdx y yz yf dydz x I S)]([])([333∑ …….….(2分)0)(3222-++=VdV z y x ……………………..(4分)=1042020s i n 3dr r d d ??θππ ……………………(6分)=1420s i n6dr r d ππ56π= ……………………(8分)八. 222)]([)(y f x y f x x Y +-=?? 222)]([)()(y f x y f y y f x y X +'-+=………..(4分) 由y X x Y ??=?? 得 222)]([)(y f x y f x +-222)]([)()(y f x y f y y f x +'-+=即)(2)(y f y f y =' ……………………(5分)ydyy f y df 2)()(=……………………(6分) 1ln 2)(ln C y y f += 2)(Cy y f = ………………….(7分) 由 1)1(=f 得1=C 2)(y y f =∴ …………………..(8分)高等数学期末考试题(二)一、求解下列各题(每小题6分)1. 已知直线3221:+==-z m y x L 与平面02:=++-D z y x π平行,且L 到π的距离为6, 求m 与D 的值.3. 计算第二类曲线积分dy y xdx y x I L ?+= 2 ,其中L 是曲线x y =上从点)1 , 1(A 到点)2 , 4(B 的弧段. 4. 设有级数)11ln(1)1(11n nn pn +-∑∞=-, 指出p 在什么范围内取值时级数绝对收敛, 在什么范围内取值时级数条件收敛, 在什么范围内取值时级数发散(要说明理由).二、解下列各题(每小题7分)1. 已知n是曲面1222=+-z y x 在点)1 , 2 , 2(处指向z 增大方向的单位法向量, z z xy u ln 2-=, 求)1 , 2 , 2(nu.2. 将函数231)(2++=x x x f 展开成)1(-x 的幂级数, 并求收敛区间及)1()5(f 的值.3. 计算三重积分Ω=zdV x I 2, 其中Ω是由柱面2x y =与平面1=y , 0=z ,2=z所围成的立体.4.求二元函数y x y x x y x f z 293),(223+---==的极值点与极值.三、(8分) 设1)(2+=x x f ,ππ≤≤-x , 将)(x f 展开成以π2为周期的傅里叶级数.四、(8分)设V 是由曲面222y x z --=与22y x z +=围成的立体, 求V 的表面积.五、(8分) 计算第二类曲面积分??++=Sdxdy dzdx y dydz x I 33, 其中S 是曲面22y x z += )10(≤≤z 的下侧.六、(8分)求幂级数∑∞=+12)(n n x n n 的收敛域与和函数.七、(8分) 已知在半平面0>x 内dy y x y x dx y x y x λλ))(())((2222++++-为二元函数),(y x f 的全微分. (1) 求λ的值; (2) 求 )0 , 2()3 , 1(f f -的值.八、(8分)设}|),,{()(2222t z y x z y x t ≤++=Ω,其中0>t . 已知)(x f 在), 0[∞+。
数学分析(2)期末试题课程名称 数学分析(Ⅱ) 适 用 时 间 试卷类别 1 适用专业、年级、班 应用、信息专业一、单项选择题(每小题3分,3×6=18分)1、 下列级数中条件收敛的是( ).A .1(1)nn ∞=-∑ B . 1nn ∞=∑ C .21(1)nn n ∞=-∑ D . 11(1)nn n ∞=+∑2、 若f 是(,)-∞+∞内以2π为周期的按段光滑的函数, 则f 的傅里叶(Fourier )级数在它的间断点x 处 ( ).A .收敛于()f xB .收敛于1((0)(0))2f x f x -++ C . 发散 D .可能收敛也可能发散3、函数)(x f 在],[b a 上可积的必要条件是( ).A .有界B .连续C .单调D .存在原函数4、设()f x 的一个原函数为ln x ,则()f x '=( )A .1x B .ln x x C . 21x- D . x e 5、已知反常积分20 (0)1dxk kx +∞>+⎰收敛于1,则k =( )A . 2πB .22πC .D . 24π6、231ln (ln )(ln )(1)(ln )n nx x x x --+-+-+L L 收敛,则( )A . x e <B .x e >C . x 为任意实数D . 1e x e -<<二、填空题(每小题3分,3×6=18分)1、已知幂级数1nn n a x∞=∑在2x =处条件收敛,则它的收敛半径为 .2、若数项级数1n n u ∞=∑的第n 个部分和21n nS n =+,则其通项n u = ,和S = . 3、曲线1y x=与直线1x =,2x =及x 轴所围成的曲边梯形面积为 . 4、已知由定积分的换元积分法可得,10()()bxxaef e dx f x dx =⎰⎰,则a = ,b = .5、数集(1)1, 2 , 3, 1nn n n ⎧⎫-=⎨⎬+⎩⎭L 的聚点为 . 6、函数2()x f x e =的麦克劳林(Maclaurin )展开式为 .65三、计算题(每小题6分,6×5=30分) 1、(1)dx x x +⎰. 2、2ln x x dx ⎰.3、 0(0)dx a >⎰. 4、 2 0cos limsin xx t dt x→⎰.5、dx ⎰.四、解答题(第1小题6分,第2、3 小题各8分,共22分)1、讨论函数项级数21sin n nxn ∞=∑在区间(,)-∞+∞上的一致收敛性. 2、求幂级数1nn x n ∞=∑的收敛域以及收敛区间内的和函数.3、设()f x x =, 将f 在(,)ππ-上展为傅里叶(Fourier )级数.五、证明题(每小题6分,6×2=12分)1、已知级数1nn a∞=∑与1nn c∞=∑都收敛,且, 1, 2, 3 n n n a b c n ≤≤=L ,证明:级数1nn b∞=∑也收敛.2、证明:22 0sin cos nn x dx x dx ππ=⎰⎰.66。
数学分析第二学期考试题一、 单项选择题(从给出的四个答案中,选出一个最恰当的答案填入括号内,每小题4分,共32分)1、函数)(x f 在[a,b ]上可积的必要条件是( b )A 、连续B 、有界C 、无间断点D 、有原函数2、函数)(x f 是奇函数,且在[-a,a ]上可积,则( b ) A 、⎰⎰=-aa a dx x f dx x f 0)(2)(B 、0)(=⎰-aa dx x f C 、⎰⎰-=-aaa dx x f dx x f 0)(2)(D 、)(2)(a f dx x f aa =⎰-3、下列广义积分中,收敛的积分是( a )A 、 ⎰11dx xB 、 ⎰∞+11dx xC 、 ⎰+∞sin xdxD 、⎰-1131dx x4、级数∑∞=1n n a 收敛是∑∞=1n n a 部分和有界且0lim =∞→n n a 的( c ) A 、充分条件 B 、必要条件 C 、充分必要条件 D 、无关条件5、下列各积分中可以直接运用牛顿-莱布尼兹公式求值的是( a )A 、10arcsin xdx ⎰ B 、11ln eedx x x ⎰C 、1-⎰D 、10sin xdx x⎰ 6、下面结论错误的是( b )A 、若)(x f 在],[b a 上可积,则)(x f 在],[b a 上必有界;B 、若)(x f 在),(b a 内连续,则 )(dx x f ba ⎰存在;C 、 若)(x f 在],[b a 上可积,则)(x f 在],[b a 上必可积;D 、 若)(x f 在],[b a 上单调有界,则)(x f 在],[b a 上必可积。
7、下列命题正确的是( d ) A 、)(1x a n n ∑∞=在[a ,b ]绝对收敛必一致收敛B 、)(1x a n n ∑∞=在[a ,b ] 一致收敛必绝对收敛C 、 若0|)(|lim =∞→x a n n ,则)(1x a n n ∑∞=在[a ,b ]必绝对收敛 D 、)(1x a n n ∑∞=在[a ,b ] 条件收敛必收敛8、∑∞=++-012121)1(n n nx n 的和函数为( c )A 、x eB 、x sinC 、)1ln(x +D 、x cos 二、计算题:(每小题7分,共28分) 9、⎰=914)(dx x f ,求⎰+22)12(dx x xf 。
数学分析II(山东联盟)智慧树知到期末考试答案章节题库2024年齐鲁师范学院1.答案:02.答案:3.答案:发散4.答案:5.答案:6.答案:7.答案:8.答案:充分不必要9.答案:条件收敛10.答案:收敛11.答案:收敛12.答案:013.答案:14.答案:收敛15.答案:116.答案:117.答案:18.答案:19.答案:20.答案:充要21.答案:22.答案:单调减少且小于零23.答案:1224.答案:25.答案:26.答案:27.答案:28.答案:0 29.答案:30.答案:31.答案:收敛32.答案:33.答案:34.答案:收敛35.答案: 36.答案:37.答案:38.答案:条件收敛39.答案:必要非充分40.下列数项级数中发散的是();答案:41.答案:42.答案:绝对收敛43.答案:44.答案:45.答案:46.答案:247.答案:收敛48.答案: 49.答案:50.答案:收敛51.答案:52.答案: 53.答案:54.答案:55.答案:56.答案:057.答案:58.答案:发散59.答案:60.答案:61.答案:262.答案:有关63.答案:必要非充分64.答案:365.答案:发散66.答案: 67.答案: 68.答案: 69.答案: 70.答案:71.答案:2 72.答案:073.答案:74.答案:可能收敛也可能发散75.答案:76.答案:收敛77.答案:78.答案:79.答案:80.答案:收敛81.答案:82.答案:必要非充分83.答案:发散84.答案:85.答案:错86.答案:错87.答案:错88.答案:对89.答案:对90.答案:错91.答案:对92.答案:错93.答案:对94.孤立点一定是界点;()答案:对95.任给一个函数,都可以写出它的傅里叶展开式。
()答案:错96.答案:对97.答案:对98.答案:对99.答案:对100.答案:错101.答案:对102.设 .w68205758251s .brush0 { fill:rgb(255,255,255); } .w68205758251s .pen0 { stroke: rgb(0,0,0); stroke-width: 1; stroke-linejoin: round; } .w68205758251s .font0 { font-style: italic;font-size: 406px; font-family: "Times New Roman",serif; } .w68205758251s .font1 { font-weight: bold; font-size: 76px; font-family: System, sans-serif; } f 在点 .w68205758236s .brush0 { fill:rgb(255,255,255); } .w68205758236s .pen0 { stroke: rgb(0,0,0); stroke-width: 1; stroke-linejoin: round; } .w68205758236s .font0 { font-size: 262px;font-family: "Times New Roman", serif; } .w68205758236s .font1 { font-style: italic; font-size: 406px; font-family: "Times New Roman",serif; } .w68205758236s .font2 { font-weight: bold; font-size: 76px; font-family: System, sans-serif; } 0 x 具有任意阶导数,那么 .w68205758217s .brush0 { fill:rgb(255,255,255); } .w68205758217s .pen0 { stroke: rgb(0,0,0); stroke-width: 1; stroke-linejoin: round; } .w68205758217s .font0 { font-style: italic;font-size: 406px; font-family: "Times New Roman",serif; } .w68205758217s .font1 { font-weight: bold; font-size: 76px; font-family: System, sans-serif; } f 在区间 .w68205758201s .brush0 { fill:rgb(255,255,255); } .w68205758201s .pen0 { stroke: rgb(0,0,0); stroke-width: 1; stroke-linejoin: round; } .w68205758201s .font0 { font-size: 473px; font-family: Symbol, serif; } .w68205758201s .font1 { font-style: italic; font-size: 406px; font-family: "Times New Roman", serif; } .w68205758201s .font2 { font-size: 373px; font-family: Symbol, serif; } .w68205758201s .font3 { font-size: 262px; font-family: "Times New Roman", serif; } .w68205758201s .font4 { font-size: 406px; font-family: "Times New Roman",serif; } .w68205758201s .font5 { font-weight: bold; font-size: 76px; font-family: System, sans-serif; } ( ) r x r x + - 0 0 , 内等于它的泰勒级数的和函数的充分条件是:对一切满足不等式 .w68205758185s .brush0 { fill:rgb(255,255,255); } .w68205758185s .pen0 { stroke: rgb(0,0,0); stroke-width: 1; stroke-linejoin: round; } .w68205758185s .pen1 { stroke: rgb(0,0,0); stroke-width: 16; stroke-linejoin: round; } .w68205758185s .font0 { font-style: italic; font-size: 406px; font-family: "Times New Roman",serif; } .w68205758185s .font1 { font-size: 373px; font-family: Symbol, serif; } .w68205758185s .font2 { font-size: 262px; font-family: "Times New Roman", serif; } .w68205758185s .font3 { font-weight: bold; font-size: 76px; font-family: System, sans-serif; } r x x < - 0 的 .w68205758230s .brush0 { fill: rgb(255,255,255); } .w68205758230s .pen0 { stroke: rgb(0,0,0); stroke-width: 1; stroke-linejoin: round; } .w68205758230s .font0 { font-style: italic; font-size: 406px; font-family: "Times New Roman",serif; } .w68205758230s .font1 { font-weight: bold; font-size: 76px; font-family: System, sans-serif; } x ,有 .w68205758212s .brush0 { fill:rgb(255,255,255); } .w68205758212s .pen0 { stroke: rgb(0,0,0); stroke-width: 1; stroke-linejoin: round; } .w68205758212s .font0 { font-size: 473px; font-family: Symbol, serif; } .w68205758212s .font1 { font-size: 406px; font-family: "Times New Roman", serif; } .w68205758212s .font2 { font-size:373px; font-family: Symbol, serif; } .w68205758212s .font3 { font-size: 242px; font-family: Symbol, serif; } .w68205758212s .font4 { font-style: italic; font-size: 406px; font-family: "Times New Roman", serif; } .w68205758212s .font5 { font-style: italic; font-size: 262px; font-family: "Times New Roman",serif; } .w68205758212s .font6 { font-weight: bold; font-size: 76px; font-family: System, sans-serif; } ( ) 0 lim = ¥ ® x R n n ,这里 .w68205758196s .brush0 { fill:rgb(255,255,255); } .w68205758196s .pen0 { stroke: rgb(0,0,0); stroke-width: 1; stroke-linejoin: round; } .w68205758196s .font0 { font-size: 473px; font-family: Symbol, serif; } .w68205758196s .font1 { font-style: italic; font-size: 406px; font-family: "Times New Roman", serif; } .w68205758196s .font2 { font-style: italic; font-size: 262px; font-family: "Times New Roman",serif; } .w68205758196s .font3 { font-weight: bold; font-size: 76px; font-family: System, sans-serif; } ( ) x R n 是 .w68205758375s .brush0 { fill:rgb(255,255,255); } .w68205758375s .pen0 { stroke: rgb(0,0,0); stroke-width: 1; stroke-linejoin: round; } .w68205758375s .font0 { font-style: italic; font-size: 406px; font-family: "Times New Roman",serif; } .w68205758375s .font1 { font-weight: bold; font-size: 76px; font-family: System, sans-serif; } f 在 .w68205758359s .brush0 { fill:rgb(255,255,255); } .w68205758359s .pen0 { stroke: rgb(0,0,0); stroke-width: 1; stroke-linejoin: round; } .w68205758359s .font0 { font-size: 262px;font-family: "Times New Roman", serif; } .w68205758359s .font1 { font-style: italic; font-size: 406px; font-family: "Times New Roman",serif; } .w68205758359s .font2 { font-weight: bold; font-size: 76px; font-family: System, sans-serif; } 0 x 的泰勒公式余项。
《数学分析(二)》题库及答案一、填空1、⎰=+11- 251dx xx ____________。
2、⎰∞+-= 02dx xe x ____________。
3、=++++⋅+⋅ )1(1321211n n ___________。
4、⎰∞+∞=+ - 2______1xdx。
5、_______)15)(45(11161611=++-++⋅+⋅ n n 。
6、幂级数∑∞=--11)1(n nn nx 的收敛域为______ 。
二、单项选择题1、设)(x f 是),(b a 上的连续函数,则在),(b a 上)(x f 必有___________。
A .导函数 B .原函数 C .最大值 D .最小值2、设)(x f 在),(+∞-∞上有连续的的导数)(x f ',则___________。
A .⎰+='c x f dx x f )2(21)2( B .⎰+='c x f dx x f )2()2( C .⎰+='c x f dx x f )()2( D . ⎰=')2(2))2((x f dx x f3、设)(x f 是),(+∞-∞上非零的连续奇函数,则⎰=xdt t f x F 0)()(是___________。
A .奇函数B .偶函数C .非奇非偶函数D .可能是奇,也可能是偶函数 4、设函数)(x f 在],[b a 上可积,则)(x f 在],[b a 上______ 。
A .存在原函数B .有界C .连续D .可导 5、若0lim =∞→n n a ,则数项级数∑∞=1n na______ 。
A .收敛B .发散C .收敛且和为零D .可能收敛,也可能发散 6、若反常积分⎰∞+ 12)(dx x f 收敛,则⎰∞+ 1)(dx x f ______ 。
A .发散B .条件收敛C .绝对收敛D .可能收敛,也可能发散。
三.判断对错1.若)(x f 在(a 、b )内可微,则⎰+=c x f x df )()(。
《数学分析(II )》试题2004.6一.计算下列各题:1.求定积分∫+e x x dx 12)ln 2(;2.求定积分; ∫−222),1max(dx x3.求反常积分dx x x ∫∞++021ln ;4.求幂级数()∑∞=−+1221n n n x n n 的收敛域;5.设,求du 。
yz x u =二.设变量代换可把方程⎩⎨⎧+=−=ay x v y x u ,20622222=∂∂−∂∂∂+∂∂y z y x z x z 简化为02=∂∂∂v u z ,求常数。
a三.平面点集(){}⎭⎬⎫⎩⎨⎧=⎟⎠⎞⎜⎝⎛L U ,2,11sin ,10,0n n n是否为紧集?请说明理由。
四.函数项级数n nn n x x n +⋅−∑∞=−1)1(11在上是否一致收敛?请说明理由。
]1,0[五.设函数在上连续,且满足)(x f ),(∞+−∞1)1(=f 和)arctan(21)2(20x dt t x tf x =−∫。
求。
∫21)(dx x f六.设函数在上具有连续导数,且满足)(x f ),1[∞+1)1(=f 和22)]([1)(x f x x f +=′,+∞<≤x 1。
证明:存在且小于)(lim x f x +∞→41π+。
七.设如下定义函数:dt t t x f x x t1sin 21)(2∫⎟⎠⎞⎜⎝⎛+=,。
1>x 判别级数∑∞=2)(1n n f 的敛散性。
八.设∫=40cos sin πxdx x I n n (L ,2,1,0=n )。
求级数的和。
∑∞=0n n I《数学分析(II )》试题(答案)2004.6一.1.421π⋅; 2.320; 3.; 4. 0)2/1,2/1(−; 5.⎟⎠⎞⎜⎝⎛++=xdz y xdy z dx x yz x dz yz ln ln 。
二.。
3=a 三. 是紧集。
四.一致收敛。
五.43。
六.因为,所以单调增加,因此0)(>′x f )(x f 1)1()(=>f x f 。
2020-2021《数学分析》(二)期末课程考试试卷A一、 填空题(3分⨯5=15分).1.(ln )[1(ln )]f x dx x f x '=+⎰ln (ln )1f x c ++ .2.45522[sin cos ]x x x dx ππ-+=⎰8/15 . 3.22limarcsin x x x e dxx x--->⎰=1 .4.设()f x C =+⎰则 )(x f ''= .5. 2()xf x e -=的麦克劳林级数为()f x = 0(1)2!nnn n x n ∞=-∑二、 选择题(3分⨯5=15分).1.若反常积分1a xx e dx +∞-⎰收敛,则 ( A ).(A )0>a , (B) R a ∈, (C) 1>a , (D) 0<a . 2. 若反常积分011(1)adx x -⎰收敛,则 ( D ).(A )0>a , (B) R a ∈, (C) 1>a , (D) 1<a . 3. 若反常积分1sin axdx x +∞⎰绝对收敛,则 ( C ). (A )0>a , (B) R a ∈, (C) 1>a , (D) 0<a .4. 若级数∑∞=+-031)1(n annn 条件收敛,则 ( D ). (A )0>a , (B) R a ∈, (C) 1>a , (D) 2/3>3/1>a .5. 设函数()f x =⎪⎩⎪⎨⎧-11 ππ<≤<≤-x x 00以2T π=为周期,其傅里叶级数的和函数为()S x ,则(6)4S ππ+=( B ).(A )-1 , (B) 1 , (C) 0 , (D)不存在.三、计算题(6分⨯5=30分)1.求ln(1)x dx +⎰. 解:原式=ln(1)1xx x dx x +-+⎰-------------------4分 =ln(1)ln(1)x x x x C +-+++-----------------6分 2.求312x xdx -⎰.解:原式=21(2)x x dx -⎰+32(2)x x dx -⎰--------------2分=43--------------6分 3.求)1sin 2sin (sin 1lim πππn n n n n n -+++∞>- .解:原式=n k n n k n π)1(sin 1lim 1-∑=∞>-=⎰1sin xdx π-------------2分院系 班级 序号 姓名 装 订 线=10)cos (1x -π-------------4分=2/π-------------6分4.求21⎰.解:原式=22sin cos cos ttdx tπ⎰-------4分=4π-------6分5. 求反常积分211(1)dx x x +∞+⎰的值. 解:因为211(1)dx x x +∞+⎰21111111dx dx dx x x x +∞+∞+∞=-++⎰⎰⎰------------4分 1ln 2=--------------6分四、(1)求由曲线2y x =与直线0,1,1x x y ===-所围图形的面积. (2)求上述图形绕直线1y =-旋转一周而得立体体积. (10分).解:(1)120413s x dx =+=⎰--------------------5分(2)122028(1)15v x dx ππ=+=⎰--------------------10分 五、证明:若级数∑∞=12n n a 收敛,)0(1>∑∞=n n na na 也收敛. (4分) 证明:因为级数 ∑∞=121n n,∑∞=12n na收敛------------2分所以)1(212n n a n +∑∞=收敛,又(21≤n a n )122n a n+ 则)0(1>∑∞=n n na n a 也收敛. ----------------4分 六、求幂级数0(1)1n nn x n ∞=-+∑的收敛半径、收敛域与和函数,又求01(1)(1)2n nn n ∞=-+∑的 和(10分)解: 令 =)(x s ∑∞=+-01)1(n n n x n=)(x xs ∑∞=+-+01)1(1n n n x n , ])(['x xs =∑∞=-0)1(n n n x =x+11,)1,1(-∈x=)(x xs ⎰+=+xx dx x 0)1ln(11=)(x s xx )1ln(+0≠x0)(,0==x s x ------------------4分收敛半径为1 ,收敛域为(-1,1]。
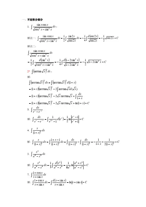
一、不定积分问题1.设x x ln 为()x f 的一个原函数,则积分()='⎰2e e dx x f x 1212--ee .解: 由原函数概念可得()2ln 1ln x x x x x f -='⎪⎭⎫ ⎝⎛=,因此()()221,0e e f e f -==,于是积分()()()121ln 122222--=--=-='⎰⎰e e xxdx x f x xf dx x f x e ee eee e e. 2. 已知()x f 的一个原函数为x x sin ,设0≠a ,则=⎪⎭⎫⎝⎛⎰dx a x f C a x x a +⎪⎭⎫ ⎝⎛sin 2 .解C a x x a C a x a x a a x d a x f a dx a x f +⎪⎭⎫⎝⎛=+⎪⎭⎫ ⎝⎛⎪⎭⎫ ⎝⎛=⎪⎭⎫ ⎝⎛⎪⎭⎫ ⎝⎛=⎪⎭⎫ ⎝⎛⎰⎰sin sin 2.3. 已知21x x f =⎪⎭⎫⎝⎛',则()=x f C x+-1. 4. 已知()x f '的一个原函数为2sin x ,常数0≠a ,则()=+'⎰dx b ax f ()()C b ax ab ax +++2cos 2. 5. 设()0,1ln >+='x x x f ,则()=x f C e x x++ .6.⎰=dx x arctan()C x x x +-+arctan 1(注:用分部积分法⎰⎰⎪⎭⎫⎝⎛+--=x d x x x dx x 111arctan arctan ) 7.⎰=+-+dx x x x 13652()C x x x +-++-23arctan 4136ln 212(注: ()()⎰⎰⎰+-++-+-=+-+43826262113652222x dxx x x x d dx x x x ) 8.()=+⎰dx x e x 221tan C x e x+tan 2 (注: 原式()⎰+=dx x x e x tan 2sec 22) 9.=+⎰dx x x xln ln 1C x x x +++-+++1ln 11ln 1lnln 12 (注: 令t x =+ln 1,原式C t t t dt t t ++-=-=⎰11ln 21222)10.()=-⎰dx x x21ln C x xx x +-+-1ln 1ln (注: 原式()⎰---=x x dx x x 11ln ) 11.()=+⎰--dx e xe x x21()C e ex xx++-+-1ln 1 (注: 原式()()⎰⎰⎰++-+=+-+=+=-----x xx x x x ee d e x e dx e x exd 1111111) 12. =⎰dx x x2sin sin ln C x x x x +---cot sin ln cot (注: 原式()⎰-=x xd cot sin ln )13.()=-⎰dx x x xln 1ln 1C x +ln arcsin 214. ()=++⎰dx xe x x x11C xe xe x x ++1ln(注: 原式()()()()()⎰⎰⎰⎰⎪⎭⎫ ⎝⎛+-=+=+=++=du u u u u du xe x e xe d dx xe x e x e x x x x x x 1111111) 15*()=+⎰dx xx 1ln ()C x x x x +-++arctan 41ln 2(注: 原式()⎰⎰⎰⎰⎪⎪⎭⎫⎝⎛+--+=+-+=+-+=+=x x d dx x x x x xd x x dx x x x x x d x 141ln 21221ln 2121ln 21ln 2 16. ()=+⎰46x x dxC x x ++4ln 24166 (注: 原式⎰⎪⎪⎭⎫ ⎝⎛+-=dx x x x 414165) 17.=⎰dx xx cos tan C x+-cos 218.=+⎰dx x csc 1C x +sin arcsin 219. =-⎰xdx x x arcsin 12()C x x x x +⎥⎦⎤⎢⎣⎡+---3arcsin 131323220. 设()34f x dx xx C '=-+⎰,则()f x = 22x x C -+ .21.32sin cos x xdx =⎰4611sin sin 46x x C -+ . 22. 设()ln 1f x x '=+,则()f x xx e C ++ .23. 设()31xf x e '-=,则()f x ()1133x eC ++ .24. 若()21x f x dx x C =+++⎰,则()f x 2l n 21x + .25. 设()()()()()()11,F x f x g x f x f x f x =-=+,若()()2F x g x '=⎡⎤⎣⎦,且14f π⎛⎫= ⎪⎝⎭,则()f x tan x . 26.214dx x =+⎰ 1a r c t a n 22xC + . 27. 设0a ≠,则()100ax b dx +=⎰()1011101ax b C a++ . 28. 设()ln 1f x x '=+,则()f x xe x C ++ . 29. 设0b ≠,则2xdx a bx =+⎰ 21ln 2a bx C b++ . 30.2xxde -=⎰ 2212x x xe e C --++ . 31. ()f x 的一个原函数为1x ,则()f x '= 32x.32.(211x dx -=⎰8 .33. 若函数()f x 是(),-∞+∞上的连续函数,且()()210x x f t dt x +=⎰,则()2f =15. (注:()()210x x f t dt x +=⎰两边对x 求导,得()()221231f x x x x ⎡⎤+⋅+=⎣⎦,令1x =,得()251f ⋅=,所以()125f =)34.若()x f 的原函数为x ln ,则()='⎰dx x f x ln x C -+ 。
数学分析2期末试题库 《数学分析II 》考试试题(1)一、叙述题:(每小题6分,共18分)1、 牛顿-莱不尼兹公式2、∑∞=1n na收敛的cauchy 收敛原理3、 全微分 二、计算题:(每小题8分,共32分)1、4202sin limx dt t x x ⎰→2、求由曲线2x y =和2y x =围成的图形的面积和该图形绕x 轴旋转而成的几何体的体积。
3、求∑∞=+1)1(n nn n x 的收敛半径和收敛域,并求和4、已知zy x u = ,求yx u∂∂∂2三、(每小题10分,共30分)1、写出判别正项级数敛散性常用的三种方法并判别级数2、讨论反常积分⎰+∞--01dx e x x p 的敛散性3、讨论函数列),(1)(22+∞-∞∈+=x n x x S n 的一致收敛性四、证明题(每小题10分,共20分)1、设)2,1(11,01 =->>+n n x x x n n n ,证明∑∞=1n n x 发散 2、证明函数⎪⎩⎪⎨⎧=+≠++=000),(222222y x y x y x xy y x f 在(0,0)点连续且可偏导,但它在该点不可微。
,《数学分析II 》考试题(2)一、叙述题:(每小题5分,共10分)1、 叙述反常积分a dx x f ba,)(⎰为奇点收敛的cauchy 收敛原理2、 二元函数),(y x f 在区域D 上的一致连续 二、计算题:(每小题8分,共40分) 1、)212111(lim nn n n +++++∞→ 2、求摆线]2,0[)cos 1()sin (π∈⎩⎨⎧-=-=t t a y t t a x 与x 轴围成的面积3、求⎰∞+∞-++dx x x cpv 211)(4、求幂级数∑∞=-12)1(n nn x 的收敛半径和收敛域 5、),(y x xy f u =, 求yx u∂∂∂2三、讨论与验证题:(每小题10分,共30分)1、yx y x y x f +-=2),(,求),(lim lim ),,(lim lim 0000y x f y x f x y y x →→→→;),(lim )0,0(),(y x f y x →是否存在?为什么?2、讨论反常积分⎰∞+0arctan dx xxp的敛散性。
3、讨论∑∞=-+133))1(2(n nnn n 的敛散性。
四、证明题:(每小题10分,共20分)1、 设f (x )在[a ,b ]连续,0)(≥x f 但不恒为0,证明0)(>⎰badx x f2、 设函数u 和v 可微,证明grad (uv )=ugradv +vgradu《数学分析II 》考试题(3)五、叙述题:(每小题5分,共15分) 1、定积分 2、连通集3、函数项级数的一致连续性 六、计算题:(每小题7分,共35分) 1、⎰edx x 1)sin(ln2、求三叶玫瑰线],0[3sin πθθ∈=a r 围成的面积3、求52cos12πn n n x n +=的上下极限 4、求幂级数∑∞=+12)1(n nnx 的和 5、),(y x f u =为可微函数, 求22)()(yux u ∂∂+∂∂在极坐标下的表达式 七、讨论与验证题:(每小题10分,共30分)1、已知⎪⎩⎪⎨⎧==≠≠+=0000,01cos1sin )(),(22y x y x yx y x y x f 或,求),(lim )0,0(),(y x f y x →,问),(lim lim ),,(lim lim 0000y x f y x f x y y x →→→→是否存在?为什么?2、讨论反常积分⎰∞++01dx xx qp 的敛散性。
3、讨论]1,0[1)(∈++=x xn nx x f n 的一致收敛性。
八、证明题:(每小题10分,共20分)1、 设f (x )在[a ,+∞)上单调增加的连续函数,0)0(=f ,记它的反函数f --1(y ),证明)0,0()()(010>>≥+⎰⎰-b a abdy y f dx x f ba2、 设正项级数∑∞=1n nx收敛,证明级数∑∞=12n nx也收敛《数学分析》(二)测试题(4)一. 判断题(正确的打“√”,错误的打“×”;每小题3分,共15分):1.闭区间[]b a ,的全体聚点的集合是[]b a ,本身。
2.函数 ()1ln 2-+x x 是112-x 在区间()∞+,1的原函数。
3.若()x f 在[]b a ,上有界,则()x f 在[]b a ,上必可积。
4.若()x f 为连续的偶函数,则 ()()dt t f x F x ⎰=0亦为偶函数。
5.正项级数 ()∑∞=+1!110n nn 是收敛的。
二.填空题(每小题3分,共15分):1.数列 ()⎭⎬⎫⎩⎨⎧+-131n n n的上极限为 ,下极限为 。
2.=⎪⎭⎫ ⎝⎛++++++∞→2222222211lim n n n n n n 。
3.=⎰x tdt e dx d tan 0。
4.幂级数∑∞=⋅13n nnn x 的收敛半径=R 。
5.将函数 ()()ππ<<-=x x x f 展开成傅里叶级数,则=0a ,=n a , =n b 。
三.计算题(每小题7分,共28分):1.⎰+-x x e e dx; 2.⎰e dx x x 0ln ; 3.dx x x⎰∞++041; 4.⎰-211x xdx四.解答题(每小题10分,共30分):1.求由抛物线 x y 22= 与直线 4-=x y 所围图形的面积。
2.判断级数()∑∞=-11tan 1n nn是否收敛,若收敛,是绝对收敛还是条件收敛? 3.确定幂级数 ∑∞=--11212n n n x 的收敛域,并求其和函数。
五.证明题(12分):证明:函数 ()∑∞==14sin n n nxx f 在()∞+∞-,上有连续的二阶导函数,并求()x f ''。
《数学分析》(二)测试题(5)二. 判断题(正确的打“√”,错误的打“×”;每小题3分,共15分):1.设a 为点集E 的聚点,则E a ∈。
2.函数 ()1ln 2++x x 是112+x 在()∞+∞-,的原函数。
3.有界是函数可积的必要条件。
4.若()x f 为连续的奇函数,则 ()()dt t f x F x ⎰=0亦为奇函数。
5.正项级数 ∑∞=122n n n 是收敛的。
二.填空题(每小题3分,共15分):1.数列 (){}n12-+ 的上极限为 ,下极限为 。
2.=⎪⎭⎫ ⎝⎛++++++∞→2222221lim n n n n n n n n 。
3.=⎰x tdt e dxd sin 0 。
4.幂级数∑∞=+1214n nn x n 的收敛半径=R 。
5.将函数 ()()ππ<<-=x x x f 展开成傅里叶级数,则=0a ,=n a ,=n b 。
三.计算题(每小题7分,共28分):1.dx xx ⎰+239; 2.⎰10dx e x;3.⎰∞+-+222x x dx ; 4.⎰-1021x xdx四.解答题(每小题10分,共30分):1.求由两抛物线 2x y = 与 22x y -= 所围图形的面积。
2.判断级数()∑∞=+-11ln 1n n nn 是否收敛,若收敛,是绝对收敛还是条件收敛? 3.确定幂级数 ∑∞=-11n n xn 的收敛域,并求其和函数。
五.证明题(12分):证明:函数 ()22121n x n e nx f -∞=∑= 在 [)∞+,0 上连续。
《数学分析》(二)测试题(6)一.判断(2*7=14分)( )1. 设[]b a x f x ,)(0在为上的极值点,则0)(0='x f( )2.若在[]b a ,)()(],,[),()(),()(x g x f b a x b g b f x g x f ≤∈∀='≥'有则对 ( )3.若A x A x ∈的聚点,则必有为点集 ( )4. 若()C x F dx x F x F +='⎰)()()(则连续,( )5.若[][])()(,,,(22x f dt t f b a x b a x f x a ='⎪⎭⎫⎝⎛∈⎰则上连续,)在( )6.若必发散)+(则,发散收敛,∑∑∑n n n n b a b a ( )7.若∑∑必收敛收敛,则32n n a a二.填空(3*7=21分)1. 已知()____________)(,2)(ln =-='x f x x f 则 2.___________)1ln(sin 2=+⎰dx x x ππ-3.⎰=->≤⎩⎨⎧=202________)1(,)0()0(dx x f x x ex x f x 则)(设4 .求⎰=→xx dt t x 023sin 1lim________________5.求(_______)123的拐点坐标+-=x x y 6.用定积分求________12111lim =⎪⎭⎫ ⎝⎛++++++∞→n n n n n7.幂级数nnx n ∑⨯21的收敛半径R = 三 . 计算 (4*7=28分)(要有必要的计算过程)1. ⎰dx xe x2. dx x x⎰-1123.dx x ⎰10arcsin4.求曲线所围成的图形的面积与x y x y =-=22四.判别级数的敛散性(2*9=18分)(要有必要的过程) 1 .∑∞=⋅1!2n nn nn2 .判别∑∞=+-122)1(n nxn n 在)(∞+∞-,上是否一致收敛,为什么五.证明:(9+10=19分)1.设级数∑2n a 与∑2n b 都收敛,证明:∑n n b a 绝对收敛2.设[]b a x f ,)(在上二阶可导,0)()(='='b f a f ,证明:存在 一点),(b a ∈ξ,使得 )()()(4)(2a fb f a b f --≥''ξ《数学分析》(二)测试题(7)一.判断(2*7=14分)( )1. 设0)(0='x f ,则)(0x f x 必为的极值点( )2.若在[]b a ,)()(],,[),()(),()(x g x f b a x b g b f x g x f ≥∈∀='≥'有则对 ( )3.若A x A x 可能不属于的聚点,则为点集( )4. 若()C x F dx x F x F +='⎰)()()(则连续,( )5.若[][])()(,,,(x f dt t f a b x b a x f b x -='⎪⎭⎫ ⎝⎛--∈⎰-则上连续,)在( )6.若收敛则级数,∑<=+∞→n nn n u l u u 1lim1( )7.∑至少存在一个收敛点幂级数n n x a二.填空(3*7=21分)1. 已知()____________)(,2)1(2=-='x f x x f 则+2.___________1cos ,1cos 14114=+=+⎰⎰dx x x A dx x x 则已知-3.⎰=->≤⎩⎨⎧+=202________)1(,)0()0(1dx x f x x xx x f 则)(设 4 .求⎰=-→x x dt ttx 00cos 11lim ________________ 5.求_____(__)12131)(23=+-=f x x x f 的极大值为 6.用定积分求________211lim =⎪⎪⎭⎫ ⎝⎛+++∞→n n n n n n 7.幂级数nn x n∑2的收敛半径R =三 . 计算 (4*7=28分)(要有必要的计算过程)1. ⎰xdx x ln2. dx x x⎰-1123.dx x x ⎰10arctan4.求曲线的弧长到从103===x x x y四.判别级数的敛散性(2*9=18分)(要有必要的过程) 1 .∑∞=⎪⎭⎫⎝⎛+12121n n n n n 2 .判别∑∞=+-122)1(n nxn n 在)(∞+∞-,上是否一致收敛,为什么五.证明:(9+10=19分)1.设级数∑2n a 与∑2n b 都收敛,证明:∑+2)(n n b a 收敛2.[][]b a x x f dx x f x f b a x f b a,0)(,0)(,0)(,)(∈≡=≤⎰,证明:上连续,在若《数学分析》(二)测试题(8)三. 判断题(正确的打“√”,错误的打“×”;每小题3分,共15分):1.开区间(),a b 的全体聚点的集合是(),a b 本身。