最新量子力学导论习题答案(曾谨言)(1)
- 格式:doc
- 大小:414.50 KB
- 文档页数:5
量子力学曾谨言练习题答案量子力学是现代物理学的重要分支,研究微观世界的行为规律。
而曾谨言练习题则是量子力学学习过程中的一种重要辅助工具,有助于加深对于量子力学理论的理解和应用。
在这篇文章中,我们将探讨一些量子力学曾谨言练习题的答案,帮助读者更好地理解这一复杂而又神奇的学科。
首先,我们来看一个经典的量子力学练习题:双缝干涉实验。
在这个实验中,一束光通过两个狭缝后形成干涉条纹。
问题是,如果我们只通过其中一个缝让光通过,干涉条纹会发生什么变化?答案是,当只有一个缝让光通过时,干涉条纹会消失。
这是因为双缝干涉实验中的干涉效应依赖于两个缝同时让光通过,以形成干涉图样。
当只有一个缝让光通过时,就无法形成干涉,因此干涉条纹消失。
接下来,我们来看一个更复杂的问题:薛定谔方程。
薛定谔方程是描述量子力学中微观粒子行为的基本方程。
问题是,如何求解薛定谔方程?答案是,薛定谔方程是一个偏微分方程,可以通过一些数值和解析方法进行求解。
数值方法包括有限差分法和有限元法,可以通过离散化空间和时间来近似求解。
解析方法则包括分离变量法和变分法等,可以通过一系列数学技巧来得到解析解。
薛定谔方程的求解是量子力学研究的基础,对于理解和预测微观世界的行为至关重要。
除了理论问题,量子力学还涉及到一些实验上的考察。
例如,光电效应是量子力学的重要实验现象之一。
问题是,为什么在光电效应中,只有光的频率大于某个临界值时,才能引起电子的发射?答案是,光电效应是由光子与金属表面电子的相互作用引起的。
当光子的能量大于金属表面电子的束缚能时,光子能够将电子从金属中解离出来,形成光电子。
而光子的能量与频率有直接关系,即E=hf,其中E为光子的能量,h为普朗克常数,f为光的频率。
因此,只有光的频率大于某个临界值,光子的能量才能够大于金属表面电子的束缚能,从而引起电子的发射。
最后,我们来看一个与量子力学应用相关的问题:量子计算。
量子计算是利用量子力学的特性来进行计算的一种新型计算方式。
曾谨言量子力学练习题答案曾谨言量子力学练习题答案量子力学是现代物理学的重要分支之一,其研究对象是微观粒子的行为规律。
曾谨言是一位著名的物理学家,他在量子力学领域有着杰出的贡献。
在学习量子力学的过程中,我们常常会遇到一些练习题,以下是曾谨言量子力学练习题的答案。
1. 问题:在双缝干涉实验中,光子通过两个狭缝后,在屏幕上形成干涉条纹。
如果将其中一个狭缝完全堵住,干涉条纹会发生什么变化?答案:当一个狭缝被堵住时,干涉条纹会消失,屏幕上只会出现一个单缝的衍射图样。
这是因为双缝干涉实验中,光子通过两个狭缝后会形成波的叠加,产生干涉现象。
而当一个狭缝被堵住时,只有一个光子通过,无法产生干涉。
2. 问题:在量子力学中,什么是波函数?答案:波函数是量子力学中描述微观粒子状态的数学函数。
它可以用来计算粒子在空间中的位置、动量等物理量的概率分布。
波函数的平方模的积分表示了粒子在某一位置的概率密度。
3. 问题:什么是量子纠缠?答案:量子纠缠是量子力学中一种特殊的现象,当两个或多个粒子发生相互作用后,它们的状态将无法被单独描述,而是成为一个整体系统的状态。
即使这些粒子之间距离很远,它们的状态仍然是相互关联的。
这种关联关系在量子通信和量子计算中有着重要的应用。
4. 问题:什么是量子隧穿?答案:量子隧穿是指微观粒子在经典力学中无法通过的势垒或势阱,在量子力学中却有一定概率穿越的现象。
这是由于量子力学中粒子的波粒二象性,粒子具有波动性质,可以在势垒或势阱的两侧存在一定的概率分布。
5. 问题:什么是量子比特?答案:量子比特,简称量子位或qubit,是量子计算中的基本单位。
与经典计算中的比特不同,量子比特可以同时处于多个状态的叠加态,这种叠加态可以通过量子门操作进行处理和控制,从而实现量子计算的优势。
以上是曾谨言量子力学练习题的答案。
量子力学作为一门复杂而又精密的学科,需要我们通过理论和练习来加深对其原理和应用的理解。
希望这些答案能够帮助大家更好地掌握量子力学的知识,并在学习和研究中取得更进一步的突破。
曾谨言量子力学练习题答案量子力学是物理学中描述微观粒子行为的一门基础理论,它在20世纪初由普朗克、爱因斯坦、波尔、薛定谔、海森堡等科学家共同发展起来。
曾谨言教授的量子力学练习题是帮助学生深入理解量子力学概念和计算方法的重要工具。
以下是一些练习题及其答案的示例:练习题1:波函数的归一化某粒子的波函数为 \( \psi(x) = A \sin(kx) \),其中 \( A \) 和\( k \) 是常数。
求波函数的归一化常数 \( A \)。
答案:波函数的归一化条件为 \( \int |\psi(x)|^2 dx = 1 \)。
将\( \psi(x) \) 代入归一化条件中,得到:\[ \int |A \sin(kx)|^2 dx = 1 \]\[ A^2 \int \sin^2(kx) dx = 1 \]利用三角恒等式 \( \sin^2(kx) = \frac{1 - \cos(2kx)}{2} \),积分变为:\[ A^2 \int \frac{1 - \cos(2kx)}{2} dx = 1 \]\[ A^2 \left[ \frac{x}{2} - \frac{\sin(2kx)}{4k} \right] = 1 \]由于波函数在 \( x = 0 \) 到 \( x = \frac{\pi}{k} \) 之间归一化,所以:\[ A^2 \left[ \frac{\pi}{2k} - 0 \right] = 1 \]\[ A = \sqrt{\frac{2k}{\pi}} \]练习题2:薛定谔方程的解考虑一个一维无限深势阱,其势能 \( V(x) = 0 \) 当 \( 0 < x < a \),\( V(x) = \infty \) 其他情况下。
求粒子的能级。
答案:在无限深势阱中,薛定谔方程为:\[ -\frac{\hbar^2}{2m} \frac{d^2\psi(x)}{dx^2} = E\psi(x) \]设 \( \psi(x) = \sin(kx) \),其中 \( k = \frac{n\pi}{a} \),\( n \) 为正整数。
第九章 力学量本征值问题的代数解法9—1)在8.2节式(21)中给出了自旋(21)与轨迹角动量(l )耦合成总角动量j 的波函数jljm φ,这相当于21,21===s j l j 的耦合。
试由8.2节中式(21)写出表9.1(a )中的CG 系数 jm m m j 21121解:8.2节式(21a )(21b ): ()21),0( 21+=≠-=m m l l j jjljm φ⎪⎪⎭⎫ ⎝⎛-+++=+11121lm lm Y m l Y m l l ()⎪⎪⎪⎭⎫⎝⎛-++---+=+=21,2121,212121,21j j m j j m j j Y m j Y m j j m j m l j (21a ) ()21-=j ljljm φ⎪⎪⎭⎫⎝⎛++---=+11121lm lm Y m l Y m l l ()⎪⎪⎪⎭⎫⎝⎛+++--+++-++=≠-=21,2121,211122121),0( 21j j m j j m j j Y m j Y m j j m j m l l j (21b )()21++j l此二式中的l 相当于CG 系数中的1j ,而212==s j ,21,~,,~21±=m m m m j 。
因此,(21a )式可重写为jm ∑=222112211m jm m j m j m j m j212121212121212111111111--+=m j jm m j m j jm m j ⎪⎪⎪⎪⎪⎪⎭⎫⎝⎛-⎪⎪⎭⎫ ⎝⎛++-⎪⎪⎭⎫ ⎝⎛++++=+=212112212121122111211111211121121),21(m j j m j m j j m j j l j a (21a ’) 对照CG 系数表,可知:当21121+=+=j j j j ,212=m 时 ,21111112212121⎪⎪⎭⎫ ⎝⎛++=+j m j jm m j 而212-=m 时,21111112212121⎪⎪⎭⎫ ⎝⎛+-=-+j m j jm m j 对于21211-=-=j l j 的(21b )式,有21111111221,212121⎪⎪⎭⎫ ⎝⎛+--=-+j m j m j m j21111111221,212121⎪⎪⎭⎫ ⎝⎛++=--+j m j m j m j9-2)设两个全同粒子角动量21j j j ==,耦合成总角动量J ,JMj2ψ()()21212121jm jm m m JM m j jm ψψ∑=(1)利用CG 系数的对称性,证明()JMjJj JM j p 22212ψψ--=由此证明,无论是Bose 子或Fermi 子,J 都必须取偶数证:由式(1),JM j p 212ψ()()12212121jm jm m m JM jm jm ψψ∑=把21m m ↔, ()()12122112jm jm m m JM jm jm ψψ∑=利用CG 系数的对称性 ()()()21212112212jm jm m m Jj JM m j m j ψψ∑--=()JMjJj 22ψ--= (2)对于Fermi 子,=j 半奇数,=j 2奇数,但要求ψψ-=12p , 即要求()12-=--Jj ,所以J 必须为偶数。
第一章量子力学的诞生1.1设质量为m 的粒子在谐振子势2221)(x m x V ω=中运动,用量子化条件求粒子能量E 的可能取值。
提示:利用 )]([2,,2,1,x V E m p n nh x d p -===⋅⎰)(x V解:能量为E 的粒子在谐振子势中的活动范围为 a x ≤ (1) 其中a 由下式决定:2221)(a m x V E a x ω===。
a - 0 a x 由此得 2/2ωm E a =, (2)a x ±=即为粒子运动的转折点。
有量子化条件h n a m a m dx x a m dx x m E m dx p aaaa==⋅=-=-=⋅⎰⎰⎰+-+-222222222)21(22πωπωωω得ωωπm nm nh a 22==(3) 代入(2),解出 ,3,2,1,==n n E n ω (4)积分公式:c au a u a u du u a ++-=-⎰arcsin 22222221.2设粒子限制在长、宽、高分别为c b a ,,的箱内运动,试用量子化条件求粒子能量的可能取值。
解:除了与箱壁碰撞外,粒子在箱内作自由运动。
假设粒子与箱壁碰撞不引起内部激发,则碰撞为弹性碰撞。
动量大小不改变,仅方向反向。
选箱的长、宽、高三个方向为z y x ,,轴方向,把粒子沿z y x ,,轴三个方向的运动分开处理。
利用量子化条件,对于x 方向,有()⎰==⋅ ,3,2,1,x x xn h n dx p即 h n a p x x =⋅2 (a 2:一来一回为一个周期)a h n p x x 2/=∴,同理可得, b h n p y y 2/=, c h n p z z 2/=,,3,2,1,,=z y x n n n粒子能量⎪⎪⎭⎫ ⎝⎛++=++=222222222222)(21c n b n a n mp p p m E zy x z y x n n n zy x π ,3,2,1,,=z y x n n n1.3设一个平面转子的转动惯量为I ,求能量的可能取值。
第一章 量子力学的诞生1.1设质量为m 的粒子在一维无限深势阱中运动, ⎩⎨⎧<<><∞=ax ax x x V 0,0,0,)(试用de Broglie 的驻波条件,求粒子能量的可能取值。
解:据驻波条件,有 ),3,2,1(2=⋅=n n a λn a /2=∴λ (1)又据de Broglie 关系 λ/h p = (2) 而能量(),3,2,12422/2/2222222222==⋅===n ma n a m n h m m p E πλ (3)1.2设粒子限制在长、宽、高分别为c b a ,,的箱内运动,试用量子化条件求粒子能量的可能取值。
解:除了与箱壁碰撞外,粒子在箱内作自由运动。
假设粒子与箱壁碰撞不引起内部激发,则碰撞为弹性碰撞。
动量大小不改变,仅方向反向。
选箱的长、宽、高三个方向为z y x ,,轴方向,把粒子沿z y x ,,轴三个方向的运动分开处理。
利用量子化条件,对于x 方向,有()⎰==⋅ ,3,2,1,x x xn h n dx p即 h n a p x x =⋅2 (a 2:一来一回为一个周期)a h n p x x 2/=∴,同理可得, b h n p y y 2/=, c h n p z z 2/=,,3,2,1,,=z y x n n n粒子能量 ⎪⎪⎭⎫ ⎝⎛++=++=222222222222)(21c n b n a n mp p p m E z y x z y x n n n zy x π ,3,2,1,,=z y x n n n1.3设质量为m 的粒子在谐振子势2221)(x m x V ω=中运动,用量子化条件求粒子能量E 的可能取值。
提示:利用 )]([2,,2,1,x V E m p n nh x d p -===⋅⎰)(x V解:能量为E 的粒子在谐振子势中的活动范围为 a x ≤ (1) 其中a 由下式决定:221()2x a E V x m a ω===。
目次第二章:波函数与波动方程………………1——25 第三章:一维定态问题……………………26——80 第四章:力学量用符表达…………………80——168 第五章:对称性与守衡定律………………168——199 第六章:中心力场…………………………200——272 第七章:粒子在电磁场中的运动…………273——289 第八章:自旋………………………………290——340 * * * * * 参考用书1.曾谨言编著:量子力学上册 科学。
1981 2.周世勋编:量子力学教程 人教。
19793.L .I .席夫著,李淑娴,陈崇光译:量子力学 人教。
19824.D .特哈尔编,王正清,刘弘度译:量子力学习题集 人教。
1981 5.列维奇著,李平译:量子力学教程习题集 高教。
1958 6.原岛鲜著:初等量子力学(日文) 裳华房。
19727.N.F.Mott.I.N.Sneddon:Wave Mechanics and its Applications 西联影印。
1948 8.L.Pauling.E.B.Wilson:Introduction to Quantum- Mechanics(有中译本:陈洪生译。
科学) 19519. A.S.Davydov: Quantum Mechanics Pergamon Press 1965 10. SIEGFRIED.Fluegge:Practical Quantum- Mechanics(英译本) Springer Verlag 197311. A.Messian:Quantum Mechanics V ol I.North.Holland Pubs 1961 ndau,E.Lifshitz:Quantum-Mechanics1958 量子力学常用积分公式 (1)dx e x an e x a dx e x axn ax n ax n ∫∫−−=11 )0(>n (2) )cos sin (sin 22bx b bx a ba e bxdx e axax−+=∫ (3) =∫axdx e axcos )sin cos (22bx b bx a ba e ax++ (4)ax x a ax a axdx x cos 1sin 1sin 2−=∫(5) =∫axdx x sin 2ax a xaax a x cos )2(sin 2222−+(6)ax a xax aaxdx x sin cos 1cos 2+=∫ (7) ax aa x ax a x axdx x sin )2(cos 2cos 3222−+=∫))ln(2222c ax x a ac c ax x ++++ (0>a ) (8)∫=+dx c ax 2)arcsin(222x c a ac c ax x −−++ (a<0) ∫20sin πxdx n2!!!)!1(πn n − (=n 正偶数)(9) =∫20cos πxdx n!!!)!1(n n − (=n 正奇数) 2π(0>a )(10)∫∞=0sin dx xax2π− (0<a )(11))1!+∞−=∫n n ax an dx x e (0,>=a n 正整数) (12)adx e ax π2102=∫∞− (13) 121022!)!12(2++∞−−=∫n n ax n an dx e x π(14)1122!2+∞−+=∫n ax n an dx e x (15)2sin 022adx xax π∫∞= (16)∫∞−+=222)(2sin b a abbxdx xe ax (0>a )∫∞−+−=022222)(cos b a b a bxdx xeax(0>a )第一章量子力学的诞生1.1设质量为m 的粒子在谐振子势2221)(x m x V ω=中运动,用量子化条件求粒子能量E 的可能取值。
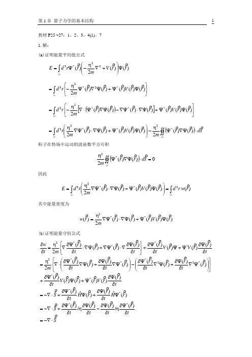
教材P25 ~27:1、2、3、4(1)、7 1.解:(a)证明能量平均值公式()[]()⎰⎰⎰⎰⎰⎰∞∞∞∞∞⋅ψ∇ψ-⎪⎪⎭⎫ ⎝⎛ψψ+ψ∇⋅ψ∇=⎭⎬⎫⎩⎨⎧ψψ+ψ∇⋅ψ∇-ψ∇ψ⋅∇-=⎭⎬⎫⎩⎨⎧ψψ+ψ∇ψ-=ψ⎪⎪⎭⎫ ⎝⎛+∇-ψ=sd r r m r r V r r r m r d r r V r r r r r m r d r r V r r r m r d r r V m r r d E)()(2)()()()()(2)()()()()()()(2)()()()()(2)()(2)(*2**23***23*2*2322*3粒子在势场中运动的波函数平方可积()0)()(2*2=⋅ψ∇ψ⎰⎰∞s d r r m因此)()()()()()(23**23r w r d r r V r r r m r d E⎰⎰∞∞=⎪⎪⎭⎫ ⎝⎛ψψ+ψ∇⋅ψ∇= 其中能量密度为)()()()()(2)(**2r r V r r r mr wψψ+ψ∇⋅ψ∇=(b)证明能量守恒公式S tr i t r t r i t r S r H t r r H t r S tr r V r r r V t r r t r r t r r t r r t r m tr r V r V t r t r r r t r m t w⋅-∇=∂ψ∂∂ψ∂-∂ψ∂∂ψ∂+⋅-∇=ψ∂ψ∂+ψ∂ψ∂+⋅-∇=∂ψ∂ψ+ψ∂ψ∂+⎭⎬⎫⎩⎨⎧⎪⎪⎭⎫ ⎝⎛ψ∇∂ψ∂+ψ∇∂ψ∂-⎪⎪⎭⎫ ⎝⎛ψ∇∂ψ∂+ψ∇∂ψ∂⋅∇=∂ψ∂ψ+ψ∂ψ∂+⎭⎬⎫⎩⎨⎧∂ψ∂∇⋅ψ∇+ψ∇⋅∂ψ∂∇=∂∂)()()()()(ˆ)()(ˆ)()()()()()()()()()()()()()()(2)()()()()()()()(2*******22***2****2即0=⋅∇+∂∂S tw这表明能量守恒,其中能流密度为⎪⎪⎭⎫ ⎝⎛ψ∇∂ψ∂+ψ∇∂ψ∂-=)()()()(2**2r t r r t r mS2.解:(a)证明概率不守恒{}{}()()⎰⎰⎰⎰⎰⎰⎰⎰⎰⎰⎰+⋅∇-∇-=+∇-∇⋅∇-=+∇-∇-=-=⎭⎬⎫⎩⎨⎧∂∂+∂∂==τττττττττψψψψψψψψψψψψψψψψψψψψψψψψψψψψρ2*3**2*3**32*3*22*3***3**3*33222222)ˆ(ˆ1)(V r dS d imV r dr d im V r dr d im H H r d i t t r d r d dtdr r d dt dS⎰⎰⎰⎰⎰ψψ+⋅∇-=ψψ+⋅-=τττ2*332*322V r dj r d V r d S d j S⎰=τρ)(3r r d dtd⎰⎰+⋅∇-ττψψ2*332V r dj r d即022*≠ψψ=⋅∇+∂∂V j tρ这表明概率不守恒。
量子力学曾谨言练习题答案量子力学是一门研究微观粒子行为的物理学分支,它与经典力学有着根本的不同。
曾谨言教授的《量子力学》教材是许多学生和学者学习量子力学的重要参考书籍。
以下是一些量子力学练习题的答案,供参考:1. 波函数的归一化条件:波函数的归一化条件是为了保证概率的守恒。
一个归一化的波函数满足以下条件:\[ \int |\psi(x)|^2 dx = 1 \]这意味着粒子在空间中任意位置出现的概率之和等于1。
2. 薛定谔方程:薛定谔方程是量子力学中描述粒子波函数随时间演化的基本方程。
对于一个非相对论性的单粒子系统,薛定谔方程可以写为:\[ i\hbar \frac{\partial \psi}{\partial t} = -\frac{\hbar^2}{2m}\nabla^2 \psi + V\psi \]其中,\( \hbar \) 是约化普朗克常数,\( m \) 是粒子质量,\( V \) 是势能,\( \nabla^2 \) 是拉普拉斯算子。
3. 不确定性原理:海森堡不确定性原理表明,粒子的位置和动量不能同时被精确测量。
其数学表达式为:\[ \Delta x \cdot \Delta p \geq \frac{\hbar}{2} \]这里,\( \Delta x \) 和 \( \Delta p \) 分别是位置和动量的不确定性。
4. 氢原子的能级:氢原子的能级是量子化的,并且可以用以下公式表示:\[ E_n = -\frac{13.6 \text{ eV}}{n^2} \]其中,\( n \) 是主量子数,\( E_n \) 是对应于 \( n \) 能级的能级能量。
5. 泡利不相容原理:泡利不相容原理指出,一个原子中的两个电子不能具有完全相同的四个量子数。
这意味着在同一个原子中,没有两个电子可以同时具有相同的主量子数、角量子数、磁量子数和自旋量子数。
6. 量子隧道效应:量子隧道效应是指粒子在经典力学中不可能穿越的势垒下,由于量子效应,粒子有一定的概率穿越势垒。
第二章:函数与波动方程P69 当势能)(r V 改变一常量C 时,即c r V r V +→)()(,粒子的波函数与时间无关部分变否?能量本征值变否?(解)设原来的薛定谔方程式是0)]([2222=-+ψψx V E mdx d将方程式左边加减相等的量ψC 得:0]})([]{[2222=+-++ψψC x V C E mdx d这两个方程式从数学形式上来说完全相同,因此它们有相同的解)(x ψ, 从能量本征值来说,后者比前者增加了C 。
(证)E =υT = = =用高斯定理 中间一式的第一项是零,因为ψ假定满足平方可积条件,因而0>T 因此 V V T E >+=,能让能量平均值V V min >因此V E min >令ψψn=(本征态)则EnE =而VE nmin>得证2.1设一维自由粒子的初态()/00,x ip ex =ψ, 求()t x ,ψ。
解: () /2200,⎪⎪⎭⎫ ⎝⎛-=t m p x p i et x ψ2.2对于一维自由运动粒子,设)()0,(x x δψ=求2),(t x ψ。
(解)题给条件太简单,可以假设一些合理的条件,既然是自由运动,可设粒子动量是p ,能量是E ,为了能代表一种最普遍的一维自由运动,可以认为粒子的波函数是个波包(许多平面波的叠加),其波函数: p d ep t x i E px ip )()(21),(-∞-∞=⎰=φπψ (1)这是一维波包的通用表示法,是一种福里哀变换,上式若令0=t 应有 ex px i∞)0,(ψx δ)(将(2)(3(ψ,代入(4)(ψ p d eet x p i mx p m it timx ⎰∞-∞=--=)2(22221),(πψ利用积分απξαξ=⎰∞∞--d e 2: ti m et x ti m x ππψ221),(22=写出共轭函数(前一式i 变号):ti m et x timx -=-ππψ221),(22 t mt m t x πππψ22)2(1),(22=⨯=本题也可以用Fresnel 积分表示,为此可将(6)式积分改为:dp tmx p m t i dp t mx p m t 22)](2[sin )](2[cos ---⎰⎰∞∞-∞∞-用课本公式得timxetm i t x t x 2*2)1(21),(),(ππψψ=,两者相乘,可得相同的结果。
曾谨言量子力学第五版答案【篇一:量子力学第四版卷一 (曾谨言著)习题答案】量子力学的诞生1m?2x2中运动,用量子化条件求粒子能量e的可能取值。
2p?2m[e?v(x)]v()n?1,2,?,解:能量为e的粒子在谐振子势中的活动范围为 x?a(1)其中a 由下式决定:e?v(x)x?a?由此得a?1m?2a2。
?a 0 a x 22e/m?2 ,(2)x??a即为粒子运动的转折点。
有量子化条件p?得a?2a2?nh代入( enx,y,z轴三个xxx即 px?2a?nxh(2a:一来一回为一个周期)pxnxh/2a,同理可得, py?nyh/2b, pz?nzh/2c,nx,ny,nz?1,2,3,?粒子能量enxnynz1?2?2222?(px?py?pz)?2m2m222??nxnyn?? ?2?z22??abc??nx,ny,nz?1,2,3,?1.3设一个平面转子的转动惯量为i,求能量的可能取值。
提示:利用2?2p?d??nh,n?1,2,?, p?是平面转子的角动量。
转子的能量e?p?/2i。
解:平面转子的转角(角位移)记为?。
它的角动量p??i?(广义动量),p?是运动惯量。
按量子化条件 .2?p?dx?2?p?mh,m1,2,3,因而平面转子的能量p??mh,2em?p?/2i?m2?2/2i,m?1,2,3,?1.4有一带电荷e质量m的粒子在平面内运动,b,求粒子能量允许值.,设圆半径是r,线速度是v,用高斯制单bevc又利用量子化条件,令电荷角动量转角2?pdq??mrvd??2?mrv?nh (2)12be?nmv? 22mc即 mrv?nh(3) 由(1)(2)求得电荷动能=再求运动电荷在磁场中的磁势能,按电磁学通电导体在磁场中的势能 v磁矩*场强电流*线圈面积*场强ev*?r2*b=,v是电荷的旋转频率, v?,代入前式得2?rcccbe?n(符号是正的) 2mcbe?n点电荷的总能量=动能+磁势能=e= ( n?1,2,3)2mc运动电荷的磁势能=1.5,1.6未找到答案1.7(1)试用fermat最小光程原理导出光的折射定律nsin??nsin?112(2)光的波动论的拥护者曾向光的微粒论者提出下述非难:如认为光是粒子,则其运动遵守最小作用量原理射定律0这将导得下述折nsin??nsin?1331媒质到另一种媒质e仍不变,仍有?e是粒子能量,从一种?pdl?0a到定点b的i?n设ai?n1122又ab沿界面的投影c也是常数,因而,?12存在约束条件:atg?1?btg?2?c(2)求(1)的变分,而将,12看作能独立变化的,有以下极值条件in1asec1tg1d1n2bsec2tg2d20 (3)再求(2)的变分asec22bsec1d12d2c0(3)与(4)消去d和d?1222得nsin??nsin?1(5)[乙法]见同一图,取x为变分参数,取0为原点,则有: i?n1a2?x2?n2b2?(c?x2)求此式变分,令之为零,有: ?i?x?x1a?x22(c?x)?x2(cx)22这个式子从图中几何关系得知,就是(5).(2)按前述论点光若看作微粒则粒子速度v应等于光波的群速度 vg光程原理作?,依前题相速vpc2v,而vgc2gvcn,n是折射率,n是波前阵面更引起的,vp,这样最小作用p量原理仍可以化成最小光程原理.ndl?0前一非难是将光子的传播速度v看作相速度vp的误解.1.8对高速运动的粒子(静质量m)(3).计算速度并证明它大于光速.(解)根据(3)式来组成哈氏正则方程式组:qih,本题中iqiv,p?p,因而im2c4?c2p2?v??pc2pmc?cp2422(4)从前式解出p(用v表示)即得到(2).又若将(2)代入(3),就可得到(1)式. 其次求粒子速度v和它的物质波的群速度vg间的关系.运用德氏的假设: p??k于(3)式右方, 又用e于(3)式左方,遍除h:m2c422ck??(k) 2按照波包理论,波包群速度vg是角频率丢波数的一阶导数:vg?k=m2c422ck 2c2kmc22ck224c2pmc?cp2422最后一式按照(4)式等于粒子速度v,因而又按一般的波动理论,波的相速度vgv。
第十章 定态问题的常用近似方法10-1) 设非简谐振子的Hamilton 量表为'0H H H +=222220212x u dx d u H ω+-= 3'x H β=(β为实常数)用微扰论求其能量本征值(准到二级近似)和本征函数(准到一级近似)。
解:已知)0()0(0n n n E H ψψ=,()x H e N n x n n αψα2)0(22-=,()ω 21)0(+=n E n ,ωαu =()[]11121+-++=n n n n n x x ψψαψ ()()()()()[]22222112121+-++++++=n n n n n n n n n x x ψψψαψ()()()()()()()[]311333321113321221++--++++++++--=n n n n n n n n n n n n n n n x x ψψψψαψ计算一级微扰:n n n H E ψψ')1(=03==n n x ψψβ。
(也可由()⎰+∞∞-⋅==dx x x H En nn n32')1(βψ0=(奇)直接得出)计算二级微扰,只有下列四个矩阵元不为0:()()',33332122n n n n H n n n x --=--=αβψβψ',1331322n n n n H n n x --=⋅=αβψβψ ()',133111322n n n n H n n x ++=++⋅=αβψβψ ()()()',333332122n n n n H n n n x ++=+++⋅=αβψβψ计算2'knH:()()622',3821αβ--=-n n n Hnn6232',19αβn H n n =- 6232',189αβn H nn =+()()()622',38321αβ+++=+n n n Hnn又ω 3)0(3)0(=--n n E E ,ω =--)0(1)0(n n E E , ω -=-+)0(1)0(n n E E ,ω 3)0(3)0(-=-+n n E E ,∑-++=++=∴kk n knnnnnnnn E E HHEEEEE )0()0(2''')0()2()1()0(43222811303021ωβωu n n n ⋅++-⎪⎭⎫ ⎝⎛+=)0()0()0('')0()1()0(k kkn knnnnn E E H ψψψψψ∑-+=+=()()()()()()⎥⎦⎤⎢⎣⎡+++-+--+---=++--)0(3)0(1)0(1)0(33)0(321311133213122n n n n n n n n n n n n n n n ψψψψωαβψ10-2) 考虑耦合振子,'0H H H += 参 书.下册§9.2()2221222221220212x x u x x u H ++⎪⎪⎭⎫ ⎝⎛∂∂+∂∂-=ω 21'x x H λ-=(λ为实常数,刻画耦合强度) (a )求出0H 的本征值及能级简并度。
量子力学常用积分公式 (1)dx e x an e x a dx e x axn ax n ax n ⎰⎰--=11 )0(>n (2) )cos sin (sin 22bx b bx a ba e bxdx e axax-+=⎰ (3) =⎰axdx e axcos )sin cos (22bx b bx a ba e ax++ (4)ax x a ax aaxdx x cos 1sin 1sin 2-=⎰ (5) =⎰axdx x sin 2ax a xaax a x cos )2(sin 2222-+(6)ax a xax aaxdx x sin cos 1cos 2+=⎰ (7ax a a x ax ax axdx x sin )2(cos 2cos 3222-+=⎰))ln(2222c ax x a ac c ax x ++++ (0>a ) (8)⎰=+dx c ax 2)arcsin(222x c a ac c ax x --++ (a<0) ⎰20sin πxdx n2!!!)!1(πn n - (=n 正偶数)(9) =⎰20cos πxdx n!!!)!1(n n - (=n 正奇数) 2π(0>a ) (10)⎰∞=0sin dx xax2π- (0<a )(11))1!+∞-=⎰n n ax a n dx x e (0,>=a n 正整数) (12)adx e ax π2102=⎰∞-(13) 121022!)!12(2++∞--=⎰n n ax n an dx e x π(14)1122!2+∞-+=⎰n ax n an dx e x (15)2sin 022adx xax π⎰∞= (16)⎰∞-+=222)(2sin b a abbxdx xe ax (0>a )⎰∞-+-=022222)(c o s b a b a b x d x xeax(0>a )第二章:函数与波动方程[1] 试用量子化条件,求谐振子的能量[谐振子势能2221)(x m x V ω=] (解)(甲法)可以用Wilson-Sommerfeld 的量子化条件式:⎰=nh pdq在量子化条件中,令⋅=x m p 为振子动量,x q = 为振子坐标,设总能量E则 22222x m m P E ω+= )2(222x m E m p ω-=代入公式得:nh dx x m E m =-⎰)2(222ω量子化条件的积分指一个周期内的位移,可看作振幅OA 的四倍,要决定振幅a ,注意在A 或B 点动能为0,2221a m E ω=,(1)改写为:nh dx x a m aa=-⎰-222ω (2)积分得:nh a m =πω2遍乘πω21得 ωπω n h E ==2[乙法]也是利用量子化条件,大积分变量用时间t 而不用位移x ,按题意振动角频率为ω,直接写出位移x ,用t 的项表示:t a x q ωsin ==求微分:tdt a dx dq ωωcos == (4) 求积分:t ma x m p ωωcos ==⋅(5) 将(4)(5)代量子化条件:nh tdt ma pdq T==⎰⎰0222cos ωω T 是振动周期,T=ωπ2,求出积分,得 nh a m =πω2 ωπωn n h E ==2 3,2,1=n 正整数#[2]用量子化条件,求限制在箱内运动的粒子的能量,箱的长宽高分别为.,,c b a(解)三维问题,有三个独立量子化条件,可设想粒子有三个分运动,每一分运动是自由运动.设粒子与器壁作弹性碰撞,则每碰一次时,与此壁正交方向的分动量变号(如ppxx-→),其余分动量不变,设想粒子从某一分运动完成一个周期,此周期中动量与位移同时变号,量子化条件:p p n q p xax xxxadx h d 220===⎰⎰ (1)ppn q p yby y yyb dy h d 220===⎰⎰ (2)p pn q p zcz z zzc dz hd 220===⎰⎰(3)p p p zyx,,都是常数,总动量平方222z y x p p p p ++=总能量是:)(2122222z y x p p p mm p E ++===])2()2()2[(21222ch b h a h m n n n z y x ++ =])()()[(82222cb a m h n n n z y x ++ 但3,2,1,,=n n n z y x 正整数.#[3] 平面转子的转动惯量为I ,求能量允许值.(解)解释题意:平面转子是个转动体,它的位置由一坐标(例如转角ϕ)决定,它的运动是一种刚体的平面平行运动.例如双原子分子的旋转.按刚体力学,转子的角动量I ω,但⋅=ϕω是角速度,能量是221ωI =E 利用量子化条件,将p 理解成为角动量,q 理解成转角ϕ,一个周期内的运动理解成旋转一周,则有nh d pdq =I =I =⎰⎰ωπϕωπ220(1)(1) 说明ω是量子化的(2) I=I =n nh πω2 (3,2,1=n ……..) (2) (3) 代入能量公式,得能量量子化公式:I=I I =I =2)(2212222 n n E ω (3)#[4]有一带电荷e 质量m 的粒子在平面内运动,垂直于平面方向磁场是B,求粒子能量允许值.(解)带电粒子在匀强磁场中作匀速圆周运动,设圆半径是r ,线速度是v ,用高斯制单位,洛伦兹与向心力平衡条件是:rm v c Bev 2= (1) 又利用量子化条件,令=p 电荷角动量 =q 转角ϕnh mrv mrvd pdq ===⎰⎰πϕπ220(2)即 nh mrv = (3) 由(1)(2)求得电荷动能=mcnBe mv 2212 = 再求运动电荷在磁场中的磁势能,按电磁学通电导体在磁场中的势能=cBr ev c c *****2π==场强线圈面积电流场强磁矩,v 是电荷的旋转频率, r v v π2=,代入前式得运动电荷的磁势能=mcnBe 2 (符号是正的) 点电荷的总能量=动能+磁势能=E=mcnBe 2 ( 3,2,1=n )#[5]对高速运动的粒子(静质量m )的能量和动量由下式给出:2221c v mc E -=(1)2221c v mv p -=(2)试根据哈密顿量 2242p c c m E H +== (3)及正则方程式来检验以上二式.由此得出粒子速度和德布罗意的群速度相等的关系.计算速度并证明它大于光速.(解)根据(3)式来组成哈氏正则方程式组:pqiiH ∂∂=⋅,本题中v qi=⋅,p p i=,因而224222242pc c m p c p c c m pv +=+∂∂= (4)从前式解出p (用v 表示)即得到(2).又若将(2)代入(3),就可得到(1)式. 其次求粒子速度v 和它的物质波的群速度vG间的关系.运用德氏的假设: k p =于(3)式右方, 又用ω =E 于(3)式左方,遍除h :)(22242k k c c m ωω=+=按照波包理论,波包群速度vG是角频率丢波数的一阶导数:22242k c c m kv G +∂∂==22422222422pc c m p c k c c m k c +=+最后一式按照(4)式等于粒子速度v ,因而v vG=。
第九章 力学量本征值问题的代数解法9—1) 在8.2节式(21)中给出了自旋(21)与轨迹角动量(l )耦合成总角动量j 的波函数j ljm φ,这相当于21,21===s j l j 的耦合。
试由8.2节中式(21)写出表9.1(a )中的CG 系数jm m m j 21121解:8.2节式(21a )(21b ):()21),0( 21+=≠-=m ml l j jjljm φ⎪⎪⎭⎫ ⎝⎛-+++=+11121lm lm Y m l Y m l l ()⎪⎪⎪⎭⎫⎝⎛-++---+=+=21,2121,212121,21j j m j j m j j Y m j Y m j j m j m l j (21a )()21-=j ljljm φ⎪⎪⎭⎫⎝⎛++---=+11121lm lm Y m l Y m l l ()⎪⎪⎪⎭⎫⎝⎛+++--+++-++=≠-=21,2121,211122121),0( 21j j m j j m j j Y m j Y m j j m j m l l j (21b )()21++j l此二式中的l 相当于CG 系数中的1j ,而212==s j ,21,~,,~21±=m m m m j 。
因此,(21a )式可重写为jm ∑=222112211m jm m j m jm j m j212121212121212111111111--+=m j jm m j m j jm m j ⎪⎪⎪⎪⎪⎪⎭⎫⎝⎛-⎪⎪⎭⎫ ⎝⎛++-⎪⎪⎭⎫ ⎝⎛++++=+=212112212121122111211111211121121),21(m j j m j m j j m j j l j a (21a ’) 对照CG 系数表,可知:当21121+=+=j j j j ,212=m时 ,21111112212121⎪⎪⎭⎫ ⎝⎛++=+j m j jm m j 而212-=m 时,21111112212121⎪⎪⎭⎫ ⎝⎛+-=-+j m j jm m j 对于21211-=-=j l j 的(21b )式,有21111111221,212121⎪⎪⎭⎫ ⎝⎛+--=-+j m j m j m j21111111221,212121⎪⎪⎭⎫ ⎝⎛++=--+j m j m j m j9-2)设两个全同粒子角动量21j j j ==,耦合成总角动量J ,JMj2ψ()()21212121jm jm m m JM m j jm ψψ∑=(1)利用CG 系数的对称性,证明()JMjJj JM j p 22212ψψ--=由此证明,无论是Bose 子或Fermi 子,J 都必须取偶数证:由式(1),JM j p 212ψ()()12212121jm jm m m JM jm jm ψψ∑=把21m m ↔, ()()12122112jm jm m m JM jm jm ψψ∑=利用CG 系数的对称性 ()()()21212112212jm jm m m Jj JM m j m j ψψ∑--=()JMjJj 22ψ--= (2)对于Fermi 子,=j 半奇数,=j 2奇数,但要求ψψ-=12p , 即要求()12-=--Jj ,所以J 必须为偶数。
12max -=j J ,(j J 2max =情况,只能构成交换对称态,为什么?)因此()()0,2,32,12Λ--=j j J可验证:态JMj 2ψ的总数为()12+j j 。
[()()1212120+=+∑-=j j J j J ]。
对于Bose 子,=j 整数,=j 2偶数,但要求ψψ=12p 即()12=--Jj ,故J 也必须为偶数0,2,22,2Λ-=j j J9-3)设原子中有两个价电子,处于nl E 能级上,按LS 耦合方案,L L L =+21,s s s =+21,J s L =+(总角动量)证明: (a )s L +必为偶数;(b )s L s L J -+=,,Λ。
当0=s 时,L J =(偶); 1=s 时,1,,1-+=L L L J ,J 可以为奇,也可以为偶。
证: 自旋的耦合:2121==s s ,⎩⎨⎧=).(0).(1反对称,单态对称,三重态s轨迹角动量的耦合:l l l ==21,.0,1,,12,2Λ-=l l L其中=L 偶是对称态,=L 奇是反对称态,总的波函数(对于交换全部坐标,包括自旋)要求反对称,所以0=s 时,.0,,22,2Λ-=l l L 1=s 时,.1,,12,2Λ-=l l L在两种情况下,s L +都为偶数,但s L s L J -+=,,Λ对于0=s ,==L J 偶;1=s ,1,,1-+=L L L J 。
J 可以为奇,也可以为偶[讨论本题结论与题9-2有无矛盾?(按jj 耦合方案,似乎J 必为偶数)。
提示:在本题中,若用jj 耦合来分析,=j ?是否只有一个j 值?两种耦合方案得出的态数是否相等?]9-4)大小相等的两个角动量耦合成角动量为0的态00jj ψ,证明z z j j 21-=j j j --=,,1,Λ的几率却相等,即()121+j 。
提示:利用()1200+-=--j m jmj mj (P235,式(23)) 证:Dirac 符号表示,有 00jj ψJM j j 21=00jj =,JM JM j j =21∑=122112211m JM m j m j m j m j (1)在本题的情况下,j j j ==21,0==M J ,m m m 令21-=。
则(1)成为 00jj ∑--=mm jmj m jmj 00 (2)其中00m jmj -即为耦合表象中的态00jj 用无耦合表象基矢展开时的展开式系数—CG 系数,其模即表示体系处于00jj 态时,测得z j 1取值m (同时z J 2取值m -,m 取j j j --,,1,Λ各可能值)的几率。
由提示,()1200+-=--j m jmj mj (3)121002+=-∴j m jmj (4) 即,对于给定的j j j ==21所合成的态00jj ψ,z zj j 21-=j j j --=,,1,Λ的几率与m 的具体取值无关,皆为)121+j 。
9-5)设J J =+21,在jm j j 21态下,证明(取1=η)02211====y x y x j j j j ,()()()()1211122111++-+++=j j j j j j j j mj z()()()()1211111222++-+++=j j j j j j j j mj z zj m 1-=证:(参剖析,8.68等)9-6)在()z L L ,2表象(以为lm 基矢)中,1=l 的子空间的维数为3,求x L 在此三维空间中的矩阵表示,再利用矩阵方法求出x L 的本征值和本征态解:在()z L L ,2表象中,1=l 的子空间中的基矢为lm m 1=,1,0,1-=m 。
由于()()11±+±=±m j m j m j jm J μ()()m j m j jm J m j x -++=+1211 ()()m j m j jm J m j x ++-=-1211()121-++=J J J x 。
对于本题,以上方式中l j →,x x L J →,±±→L J ,()z z L J →不难求得()()()()()()01111110011'======----x x x x x mmx L L L L L L()()()()2210011010====--x x x x L L L L 。
∴ x L 在此三维空间中的矩阵表示为[()z L L ,2表象]⎪⎪⎪⎭⎫⎝⎛=010********x L (1)设x L 的本征值为λ()1=η,本征矢为⎪⎪⎪⎭⎫ ⎝⎛=c b a φ,则本征方程为02102121021=⎪⎪⎪⎪⎪⎪⎭⎫ ⎝⎛⎪⎪⎪⎪⎪⎪⎪⎭⎫ ⎝⎛---c b a λλλ (2)此方程有非平庸解的条件为系数行列式等于零,由此可解得本征值:(),012=-λλ1,0,1-=λ. (3)将1=λ代入(2),可得02=+-ba , 022=+-cb a, 02=-c b。
由此得 2b c a ==,⎪⎪⎪⎭⎫ ⎝⎛=⎪⎪⎪⎭⎫ ⎝⎛∴1212 b c b a归一化()112122=++b ,取 21=b 。
⎪⎪⎪⎭⎫⎝⎛=∴12121 1φ 1~+=λ (4)同理,将1,0-=λ分别代入(2),可求得⎪⎪⎪⎭⎫ ⎝⎛-=∴12121 2φ 0~=λ ;⎪⎪⎪⎭⎫⎝⎛-=121213φ 1~-=λ 。