量子力学导论 答案
- 格式:doc
- 大小:415.85 KB
- 文档页数:7
量子力学导论考试题及答案一、选择题(每题2分,共20分)1. 量子力学中,波函数的模平方代表什么?A. 粒子的动量B. 粒子的位置C. 粒子的概率密度D. 粒子的能量2. 海森堡不确定性原理中,哪两个物理量不能同时准确测量?A. 位置和动量B. 能量和时间C. 电荷和质量D. 速度和加速度3. 薛定谔方程是量子力学的哪个基本方程?A. 描述粒子运动的方程B. 描述粒子能量的方程C. 描述粒子自旋的方程D. 描述粒子相互作用的方程4. 以下哪个不是量子力学中的守恒定律?A. 能量守恒B. 动量守恒C. 角动量守恒D. 电荷守恒5. 量子力学中的“量子”一词意味着什么?A. 一个基本粒子B. 一个基本的物理量C. 一个离散的量D. 一个连续的量6. 波粒二象性是量子力学中的一个基本概念,它指的是什么?A. 粒子同时具有波和粒子的特性B. 粒子只能表现为波或粒子C. 粒子在宏观尺度下表现为波,在微观尺度下表现为粒子D. 粒子在宏观尺度下表现为粒子,在微观尺度下表现为波7. 量子纠缠是什么现象?A. 两个或多个粒子之间存在一种特殊的相互作用B. 两个或多个粒子的波函数是相互独立的C. 两个或多个粒子的波函数是相互关联的D. 两个或多个粒子的动量是相互关联的8. 量子隧道效应是指什么?A. 粒子在没有足够能量的情况下也能通过势垒B. 粒子在有足够能量的情况下不能通过势垒C. 粒子在有足够能量的情况下更容易通过势垒D. 粒子在没有足够能量的情况下不能通过势垒9. 以下哪个实验验证了量子力学的波粒二象性?A. 光电效应实验B. 双缝实验C. 康普顿散射实验D. 光电效应实验和康普顿散射实验10. 量子力学中的“叠加态”指的是什么?A. 粒子同时处于多个状态B. 粒子只处于一个状态C. 粒子的状态是随机的D. 粒子的状态是确定的二、简答题(每题10分,共30分)1. 简述量子力学中的波函数坍缩概念。
2. 解释什么是量子力学的测量问题。
第六章 中心力场6.1) 利用6.1.3节中式(17)、(18),证明下列关系式相对动量 ()21121p m p m M r p-==∙μ (1) 总动量 21p p R M P+==∙ (2)总轨迹角动量p r P R p r p r L L L⨯+⨯=⨯+⨯=+=221121 (3)总动能 μ222222222121M P m p m p T +=+= (4)反之,有 ,11r m R r μ+= r m R r22μ-= (5)m p +=21μ,m p -=12μ(6)以上各式中,()212121 ,m m m m m m M +=+=μ证: 212211m m r m r m R ++=, (17) 21r r -=, (18)相对动量 ()21122121211p m p m M r r m m m m r p-=⎪⎪⎭⎫ ⎝⎛-+==∙∙∙μ (1’) 总动量 ()2121221121p p m m r m r m m m R M P+=+++==∙∙∙(2’)总轨迹角动量 221121p r p r L L L⨯+⨯=+=)5(2211p m up m u ⨯⎪⎪⎭⎫⎝⎛-+⨯⎪⎪⎭⎫ ⎝⎛+= ()()2112211p m p m Mp p -⨯++⨯= )2)(1(p r P R ⨯+⨯=由(17)、(18)可解出21,r r,即(5)式;由(1’)(2’)可解出(6)。
总动能()22112262221212222m p P m m p P m m p m p T ⎪⎪⎭⎫⎝⎛-+⎪⎪⎭⎫ ⎝⎛+=+=μμ2122222122112222122222m m u m P m m u m m u m P m m u ⋅-++⋅++=()()⎪⎪⎭⎫⎝⎛+++++=2122221222211112122m m p P m m m P m m mμ2222M P += (4’) [从(17),(18)式可解出(5)式;从(1),(2)式可解出(6)式].6.2) 同上题,求坐标表象中、和的算术表示式r i p ∇-= R i P ∇-= ,p r P R L⨯+⨯=解: ()()211221121r r m m Mi p m p m M ∇-∇-=-=(1) 其中 1111z y x r ∂∂+∂∂+∂∂=∇, 而xX M m x x x X x X x ∂∂+∂∂=∂∂∂∂+∂∂∂∂=∂∂1111, 同理,y Y M m y ∂∂+∂∂=∂∂11zZ M m z ∂∂+∂∂=∂∂11; (利用上题(17)(18)式。
第一章 量子力学的诞生1.1设质量为m 的粒子在一维无限深势阱中运动, ⎩⎨⎧<<><∞=ax ax x x V 0,0,0,)(试用de Broglie 的驻波条件,求粒子能量的可能取值。
解:据驻波条件,有 ),3,2,1(2=⋅=n n a λn a /2=∴λ (1)又据de Broglie 关系 λ/h p = (2) 而能量(),3,2,12422/2/2222222222==⋅===n ma n a m n h m m p E πλ (3)1.2设粒子限制在长、宽、高分别为c b a ,,的箱内运动,试用量子化条件求粒子能量的可能取值。
解:除了与箱壁碰撞外,粒子在箱内作自由运动。
假设粒子与箱壁碰撞不引起内部激发,则碰撞为弹性碰撞。
动量大小不改变,仅方向反向。
选箱的长、宽、高三个方向为z y x ,,轴方向,把粒子沿z y x ,,轴三个方向的运动分开处理。
利用量子化条件,对于x 方向,有()⎰==⋅ ,3,2,1,x x xn h n dx p即 h n a p x x =⋅2 (a 2:一来一回为一个周期)a h n p x x 2/=∴,同理可得, b h n p y y 2/=, c h n p z z 2/=,,3,2,1,,=z y x n n n粒子能量 ⎪⎪⎭⎫ ⎝⎛++=++=222222222222)(21c n b n a n mp p p m E z y x z y x n n n zy x π ,3,2,1,,=z y x n n n1.3设质量为m 的粒子在谐振子势2221)(x m x V ω=中运动,用量子化条件求粒子能量E 的可能取值。
提示:利用 )]([2,,2,1,x V E m p n nh x d p -===⋅⎰)(x V解:能量为E 的粒子在谐振子势中的活动范围为 a x ≤ (1) 其中a 由下式决定:221()2x a E V x m a ω===。
第六章 中心力场6.1) 利用6.1.3节中式(17)、(18),证明下列关系式相对动量 ()21121p m p m M r p-==∙μ (1) 总动量 21p p R M P+==∙ (2)总轨迹角动量p r P R p r p r L L L⨯+⨯=⨯+⨯=+=221121 (3)总动能 μ222222222121M P m p m p T +=+= (4)反之,有 ,11r m R rμ+= r m R r22μ-= (5) p P m p +=21μ,p P m p -=12μ(6)以上各式中,()212121 ,m m m m m m M +=+=μ证: 212211m m r m r m ++=, (17) 21r r r -=, (18)相对动量 ()21122121211p m p m M r r m m m m r p-=⎪⎪⎭⎫ ⎝⎛-+==∙∙∙μ (1’) 总动量 ()2121221121p p m m r m r m m m R M P+=+++==∙∙∙ (2’)总轨迹角动量 221121p r p r L L L⨯+⨯=+=)5(2211p r m uR p r m u R ⨯⎪⎪⎭⎫⎝⎛-+⨯⎪⎪⎭⎫ ⎝⎛+= ()()2112211p m p m Mr p p R -⨯++⨯= )2)(1(⨯+⨯=由(17)、(18)可解出21,r r,即(5)式;由(1’)(2’)可解出(6)。
总动能()22112262221212222m p P m m p P m m p m p T ⎪⎪⎭⎫⎝⎛-+⎪⎪⎭⎫ ⎝⎛+=+=μμ2122222122112222122222m m pP u m p m m u m m p P u m p m m u⋅-++⋅++=()()⎪⎪⎭⎫⎝⎛+++++=2122221222211112122m m p P m m m P m m m μ2222M P += (4’) [从(17),(18)式可解出(5)式;从(1),(2)式可解出(6)式].6.2) 同上题,求坐标表象中p 、和的算术表示式r i ∇-= R i ∇-= ,p r P R L⨯+⨯=解: ()()211221121r r m m Mi p m p m M p ∇-∇-=-=(1) 其中 1111z y x r ∂∂+∂∂+∂∂=∇, 而x X M m x x x X x X x ∂∂+∂∂=∂∂∂∂+∂∂∂∂=∂∂1111, 同理,y Y M m y ∂∂+∂∂=∂∂11zZ M m z ∂∂+∂∂=∂∂11; (利用上题(17)(18)式。
第四章力学量用算符表达与表象变换1 14.1 )设A 与B 为厄米算符,则—AB BA 和 AB 一 BA 也是厄米算符。
由此证明,任何一个算符2 2i分解为F =F . • iFF 与F_均为厄米算符,且证:i)1AB BA1 -AB BA 为厄米算符。
1 1 1二—B A - A B 二 丄 BA - AB 二丄 AB - BA -2i 2i 2i二1(AB - BA )也为厄米算符。
iii )令 F 二 AB ,则 F 二 AB = B A ;= BA ,由i ) ,ii )得F . = F , F_ = F_,即卩F 和F_皆为厄米算符。
则由(1)式,不难解得F iF4.2)设F (x, p )是x, p 的整函数,证明整函数是指F(X, p)可以展开成F(X,p) = v C mn X m p n 。
m,n =0证: (1)先证 p,x m L -mi x m 4, X, p n]二 ni pn/。
p,xm ] =x m4 lp,x 「p, x m4 xi x m4 x m ^ ip,xk p,x m Q x 2 --2i x m4 x m : b, x 殳2 b,x m ; x 3=-3i x m4 ■ 'p,x m ^x 3 二… =-m -1i 乂心■ b,x m —z x m _ --m -1 i x m4 -i x m J 二 mi x m4同理,F 均可1 ^2i F -F1F =2 F F ,1 11 B A A B BA AB AB BAii)扌 AB 一 BA 且定义F T F「F(1)'p,F:xX, p n .1 - p n二X, p Z- X, p n J Ip=i*p n' + p n~ IX, p】p + X, p n~ 】p2= 2i%n」+ k, p n,】p 2=n卷p n」现在,Ip,F ]= |P, hC mn X”=送C mn b,X m Ip"Q QC mn -mi x mJ p nm,n兰:F 7而-i ——C mn -mi x mJ p n。
量子力学答案完整版周世勋第三版找了好久才找到的,希望能给大家带来帮助量子力学习题及解答第一章量子理论基础1.1 由黑体辐射公式导出维恩位移定律:能量密度极大值所对应的波长m λ与温度T 成反比,即m λ T=b (常量);并近似计算b 的数值,准确到二位有效数字。
解根据普朗克的黑体辐射公式dv e chv d kThv v v 11833-?=πρ,(1)以及c v =λ,(2)λρρd dv v v -=,(3)有,118)()(5-?=?=??-=-=kThc v v ehc cd c d d dv λλλπλλρλλλρλρρ这里的λρ的物理意义是黑体内波长介于λ与λ+d λ之间的辐射能量密度。
本题关注的是λ取何值时,λρ取得极大值,因此,就得要求λρ 对λ的一阶导数为零,由此可求得相应的λ的值,记作m λ。
但要注意的是,还需要验证λρ对λ的二阶导数在m λ处的取值是否小于零,如果小于零,那么前面求得的m λ就是要求的,具体如下:01151186'=?-?+--?=-kT hc kT hc e kT hc e hc λλλλλπρ ? 0115=-?+--kT hce kThc λλ ? kThce kT hc λλ=--)1(5 如果令x=kThcλ ,则上述方程为x e x =--)1(5第一章绪论这是一个超越方程。
首先,易知此方程有解:x=0,但经过验证,此解是平庸的;另外的一个解可以通过逐步近似法或者数值计算法获得:x=4.97,经过验证,此解正是所要求的,这样则有xkhc T m =λ 把x 以及三个物理常量代入到上式便知K m T m ??=-3109.2λ这便是维恩位移定律。
据此,我们知识物体温度升高的话,辐射的能量分布的峰值向较短波长方面移动,这样便会根据热物体(如遥远星体)的发光颜色来判定温度的高低。
1.2 在0K 附近,钠的价电子能量约为3eV ,求其德布罗意波长。
第十章 定态问题的常用近似方法10-1) 设非简谐振子的Hamilton 量表为'0H H H +=222220212x u dx d u H ω+-= 3'x H β=(β为实常数)用微扰论求其能量本征值(准到二级近似)和本征函数(准到一级近似)。
解:已知)0()0(0n n n E H ψψ=,()x H e N n x n n αψα2)0(22-=,()ω 21)0(+=n E n ,ωαu =()[]11121+-++=n n n n n x x ψψαψ ()()()()()[]22222112121+-++++++=n n n n n n n n n x x ψψψαψ()()()()()()()[]311333321113321221++--++++++++--=n n n n n n n n n n n n n n n x x ψψψψαψ计算一级微扰:n n n H E ψψ')1(=03==n n x ψψβ。
(也可由()⎰+∞∞-⋅==dx x x H En nn n32')1(βψ0=(奇)直接得出)计算二级微扰,只有下列四个矩阵元不为0:()()',33332122n n n n H n n n x --=--=αβψβψ',1331322n n n n H n n x --=⋅=αβψβψ ()',133111322n n n n H n n x ++=++⋅=αβψβψ ()()()',333332122n n n n H n n n x ++=+++⋅=αβψβψ计算2'knH:()()622',3821αβ--=-n n n Hnn6232',19αβn H n n =- 6232',189αβn H nn =+()()()622',38321αβ+++=+n n n Hnn又ω 3)0(3)0(=--n n E E ,ω =--)0(1)0(n n E E , ω -=-+)0(1)0(n n E E ,ω 3)0(3)0(-=-+n n E E ,∑-++=++=∴kk n knnnnnnnn E E HHEEEEE )0()0(2''')0()2()1()0(43222811303021ωβωu n n n ⋅++-⎪⎭⎫ ⎝⎛+=)0()0()0('')0()1()0(k kkn knnnnn E E H ψψψψψ∑-+=+=()()()()()()⎥⎦⎤⎢⎣⎡+++-+--+---=++--)0(3)0(1)0(1)0(33)0(321311133213122n n n n n n n n n n n n n n n ψψψψωαβψ10-2) 考虑耦合振子,'0H H H += 参 书.下册§9.2()2221222221220212x x u x x u H ++⎪⎪⎭⎫ ⎝⎛∂∂+∂∂-=ω 21'x x H λ-=(λ为实常数,刻画耦合强度) (a )求出0H 的本征值及能级简并度。
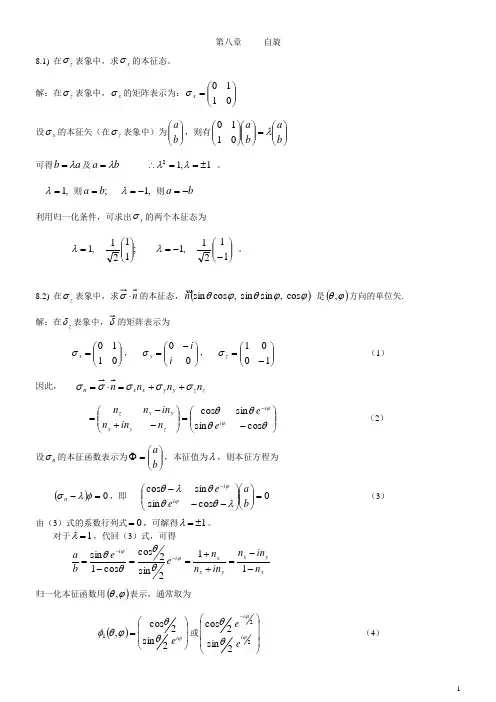
第八章 自旋8.1) 在z σ表象中,求x σ的本征态。
解:在z σ表象中,x σ的矩阵表示为:x σ⎪⎪⎭⎫⎝⎛=0110 设x σ的本征矢(在z σ表象中)为⎪⎪⎭⎫⎝⎛b a ,则有⎪⎪⎭⎫ ⎝⎛=⎪⎪⎭⎫ ⎝⎛⎪⎪⎭⎫⎝⎛b a b a λ0110 可得a b λ=及b a λ= 1,12±==∴λλ 。
,1=λ 则;b a = ,1-=λ 则b a -=利用归一化条件,可求出x σ的两个本征态为,1=λ;1121⎪⎪⎭⎫ ⎝⎛ ,1-=λ ⎪⎪⎭⎫ ⎝⎛-1121 。
8.2) 在z σ表象中,求⋅的本征态,()ϕϕθϕθcos ,sin sin ,cos sin n是()ϕθ,方向的单位矢. 解:在z δ表象中,δ的矩阵表示为x σ⎪⎪⎭⎫⎝⎛=0110, y σ⎪⎪⎭⎫ ⎝⎛-=00i i , z σ⎪⎪⎭⎫⎝⎛-=1001 (1) 因此, z z y y x x n n n n n σσσσ++=⋅=⎪⎪⎭⎫⎝⎛-=⎪⎪⎭⎫ ⎝⎛-+-=-θθθθϕϕcos sin sin cos i i z y x y x ze e n inn in n n (2)设n σ的本征函数表示为Φ⎪⎪⎭⎫⎝⎛=b a ,本征值为λ,则本征方程为()0=-φλσn ,即 0cos sin sin cos =⎪⎪⎭⎫⎝⎛⎪⎪⎭⎫ ⎝⎛----b a e e i i λθθθλθϕϕ (3) 由(3)式的系数行列式0=,可解得1±=λ。
对于1=λ,代回(3)式,可得x y x y x x i i n in n in n n e e b a --=++==-=--112sin 2cos cos 1sin ϕϕθθθθ 归一化本征函数用()ϕθ,表示,通常取为()⎪⎪⎭⎫ ⎝⎛=ϕθθϕθφi e 2sin 2cos ,1或⎪⎪⎪⎭⎫⎝⎛-222sin 2cos ϕϕθθi i ee (4)后者形式上更加对称,它和前者相差因子2ϕi e-,并无实质差别。
第三章一维定态问题3.1)设粒子处在二维无限深势阱中,⎩⎨⎧∞<<<<=其余区域,0,0 ,0),(b y a x y x V 求粒子的能量本征值和本征波函数。
如b a = ,能级的简并度如何?解:能量的本征值和本征函数为mE yx n n 222π =)(2222b n a n yx +,2,1, ,sinsin2==y x y x n n n n byn axn abyxππψ若b a =,则 )(222222y x n n n n maE yx +=π ay n a x n a y x n n yxππψsin sin 2=这时,若y x n n =,则能级不简并;若y x n n ≠,则能级一般是二度简并的(有偶然简并情况,如5,10==y x n n 与2,11''==y x n n )3.2)设粒子限制在矩形匣子中运动,即⎩⎨⎧∞<<<<<<=其余区域 ,0,0,0 ,0),,(c z b y a x z y x V 求粒子的能量本征值和本征波函数。
如c b a ==,讨论能级的简并度。
解:能量本征值和本征波函数为)(222222222cn b n an m n n n E zyxzy x ++=π ,,3,2,1,, ,sin sin sin 8==z y x z y x n n n c z n b y n a x n abc n n n zy x πππψ当c b a ==时,)(2222222z y x n n n man n n E z y x ++=π a y n a y n a x n a n n n z y x z y x πππψsinsin sin 223⎪⎭⎫ ⎝⎛= z y x n n n ==时,能级不简并;z y x n n n ,,三者中有二者相等,而第三者不等时,能级一般为三重简并的。
第九章 力学量本征值问题的代数解法9—1) 在8.2节式(21)中给出了自旋(21)与轨迹角动量(l )耦合成总角动量j 的波函数j ljm φ,这相当于21,21===s j l j 的耦合。
试由8.2节中式(21)写出表9.1(a )中的CG 系数jm m m j 21121解:8.2节式(21a )(21b ):()21),0( 21+=≠-=m ml l j jjljm φ⎪⎪⎭⎫ ⎝⎛-+++=+11121lm lm Y m l Y m l l ()⎪⎪⎪⎭⎫⎝⎛-++---+=+=21,2121,212121,21j j m j j m j j Y m j Y m j j m j m l j (21a ) ()21-=j ljljm φ⎪⎪⎭⎫⎝⎛++---=+11121lm lm Y m l Y m l l ()⎪⎪⎪⎭⎫⎝⎛+++--+++-++=≠-=21,2121,211122121),0( 21j j m j j m j j Y m j Y m j j m j m l l j (21b )()21++j l此二式中的l 相当于CG 系数中的1j ,而212==s j ,21,~,,~21±=m m m m j 。
因此,(21a )式可重写为jm ∑=222112211m jm m j m j m j m j212121212121212111111111--+=m j jm m j m j jm m j ⎪⎪⎪⎪⎪⎪⎭⎫⎝⎛-⎪⎪⎭⎫ ⎝⎛++-⎪⎪⎭⎫ ⎝⎛++++=+=212112212121122111211111211121121),21(m j j m j m j j m j j l j a (21a ’) 对照CG 系数表,可知:当21121+=+=j j j j ,212=m 时 ,21111112212121⎪⎪⎭⎫ ⎝⎛++=+j m j jm m j 而212-=m 时,21111112212121⎪⎪⎭⎫ ⎝⎛+-=-+j m j jm m j 对于21211-=-=j l j 的(21b )式,有21111111221,212121⎪⎪⎭⎫ ⎝⎛+--=-+j m j m j m j21111111221,212121⎪⎪⎭⎫ ⎝⎛++=--+j m j m j m j9-2)设两个全同粒子角动量21j j j ==,耦合成总角动量J ,JMj2ψ()()21212121jm jm m m JM m j jm ψψ∑=(1)利用CG 系数的对称性,证明()JMjJj JM j p 22212ψψ--=由此证明,无论是Bose 子或Fermi 子,J 都必须取偶数证:由式(1),JM j p 212ψ()()12212121jm jm m m JM jm jm ψψ∑=把21m m ↔, ()()12122112jm jm m m JM jm jm ψψ∑=利用CG 系数的对称性 ()()()21212112212jm jm m m Jj JM m j m j ψψ∑--=()JMjJj 22ψ--= (2)对于Fermi 子,=j 半奇数,=j 2奇数,但要求ψψ-=12p , 即要求()12-=--Jj ,所以J 必须为偶数。
第十一章 量子跃迁11—1)荷电q 的离子在平衡位置附近作小振动(简谐振动)。
受到光照射而发生跃迁。
设照射光的能量密度为()ωρ,波长较长。
求:(a )跃迁选择定则;(b )设离子原来处于基态,求每秒跃迁到第一激发态的几率。
11—2)氢原子处于基态。
收到脉冲电场的作用()()t t δεε0=。
使用微扰论计算它跃迁到各激发态的几率以及仍然处于基态的几率(取0ε沿z 轴方向来计算)。
解:令()()()∑-=nt iE nn n er t C t rψψ, (6)初始条件(5)亦即 ()10n n C δ=- (5) 用式(6)代入式(4),但微扰项ψ'H 中ψ取初值1ψ(这是微扰论的实质性要点!)即得()t z e H e dtdC i nt iE n nn δψεψψ101'==∑-以*n ψ左乘上式两端并全空间积分,得()tiE n nn e t z e dtdC i -=δε10再对τ积分,由00>→=-t t ,即得()10n n z i e t Cε=()1≠n (7) 因此0>t 时(即脉冲电场作用后)电子已跃迁到n ψ态的几率为[可直接代入 P291式(23)、P321式(15)而得下式]()21202n n n z e t C P ⎪⎭⎫⎝⎛== ε (8) 根据选择定则()0,1=∆=∆m l ,终态量子数必须是()()10n nlm =即电子只能跃迁到各np 态()1=l ,而且磁量子数0=m 。
跃迁到各激发态的几率总和为⎥⎦⎤⎢⎣⎡-⎪⎭⎫ ⎝⎛=⎪⎭⎫ ⎝⎛=∑∑∑n n nn nnz z e z e P 211212021'20'εε (9) 其中 01111==ψψz z (z 为奇宇称)∑∑=nn n n n z z z 1121ψψψψ212112131a r z ===ψψψψ (10)a 为Bohr 半径,代入式(9)即得20'⎪⎭⎫ ⎝⎛=∑ a e P nnε (11) 电场作用后电子仍留在基态的几率为20'11⎪⎭⎫⎝⎛-=-∑ a e P nn ε (12)11—3)考虑一个二能级体系,Hamilton 量0H 表为(能量表象)⎪⎪⎭⎫⎝⎛=21000E E H , 21E E < , 设0=t 时刻体系处于基态,后受微扰'H 作用,⎪⎪⎭⎫ ⎝⎛=βγγα'H , 求t 时刻体系处于激发态的几率。
第六章 中心力场6.1) 利用6.1.3节中式(17)、(18),证明下列关系式相对动量 ()21121p m p m M r p-==∙μ (1) 总动量 21p p R M P+==∙ (2)总轨迹角动量p r P R p r p r L L L⨯+⨯=⨯+⨯=+=221121 (3)总动能 μ222222222121M P m p m p T +=+= (4)反之,有 ,11r m R r μ+= r m R r22μ-= (5)m p +=21μ,m p -=12μ(6)以上各式中,()212121 ,m m m m m m M +=+=μ证: 212211m m r m r m R ++=, (17) 21r r -=, (18)相对动量 ()21122121211p m p m M r r m m m m r p-=⎪⎪⎭⎫ ⎝⎛-+==∙∙∙μ (1’) 总动量 ()2121221121p p m m r m r m m m R M P+=+++==∙∙∙(2’)总轨迹角动量 221121p r p r L L L⨯+⨯=+=)5(2211p m up m u ⨯⎪⎪⎭⎫⎝⎛-+⨯⎪⎪⎭⎫ ⎝⎛+= ()()2112211p m p m Mp p -⨯++⨯= )2)(1(p r P R ⨯+⨯=由(17)、(18)可解出21,r r,即(5)式;由(1’)(2’)可解出(6)。
总动能()22112262221212222m p P m m p P m m p m p T ⎪⎪⎭⎫⎝⎛-+⎪⎪⎭⎫ ⎝⎛+=+=μμ2122222122112222122222m m u m P m m u m m u m P m m u ⋅-++⋅++=()()⎪⎪⎭⎫⎝⎛+++++=2122221222211112122m m p P m m m P m m mμ2222M P += (4’) [从(17),(18)式可解出(5)式;从(1),(2)式可解出(6)式].6.2) 同上题,求坐标表象中、和的算术表示式r i p ∇-= R i P ∇-= ,p r P R L⨯+⨯=解: ()()211221121r r m m Mi p m p m M ∇-∇-=-=(1) 其中 1111z y x r ∂∂+∂∂+∂∂=∇, 而xX M m x x x X x X x ∂∂+∂∂=∂∂∂∂+∂∂∂∂=∂∂1111, 同理,y Y M m y ∂∂+∂∂=∂∂11zZ M m z ∂∂+∂∂=∂∂11; (利用上题(17)(18)式。
肇第三章一维定态问题 肇3.1)设粒子处在二维无限深势阱中,「0 芄V(x,y)=]0,°°,螁解:能量的本征值和本征函数为蒇这时,右n x = n y ,则能级不简并;若n x = n y ,则能级一般是二度简并的 (有偶然简并情况,如n x -10, n y = 5与 n x =11, ny =2 )肂螂3.2)设粒子限制在矩形匣子中运动,即,广薀V(x, y, z)=丿0,cdOcxca, Ocyvb, Oczcc其余区域芈求粒子的能量本征值和本征波函数。
如 a =b =c ,讨论能级的简并度。
膄解:能量本征值和本征波函数为芁求粒子的能量本征值和本征波函数。
如a =b ,能级的简并度如何?0 x a,0 y ::: b其余区域莀若a = b ,则n x nyn x n-2 2 2二(匹nyb 2二 2 sin亦 sinn x , n y =1,2/n x n y2ma(n ;卄十)厶in 竝^sind葿证明处于定态'■ n (x)的粒子2(x -x )2 爲(1-舌)羅讨论n 》:-的情况,并于经典力学计算结果相比较。
化22m 2(敗 (2a2nyb 2 2+ n z )25cn y nz羈当a = b = c 时,n y nz二 n x x 「8 sin 二 sin abcn x ,n y ,nza= 1,2,3,~n yy .二n z Zsinc2ma2H )2sin 匹sindsind a蒈n x 二n y 二n z 时,能级不简并;螈n x ,n y , n z 三者中有二者相等,而第三者不等时,能级一般为三重简并的。
羃n x ,n y , n z 三者皆不相等时,能级一般为 6度简并的。
书52 +62 +82 =32 +42 +102 莁如 」102 +122 +162 =62 +82 +202(1.7.9) > (1,3,11)(1.5.10) > (3,6,9)袈芅3.3)设粒子处在一维无限深方势阱中,肄V(x, y)=丿 0,oCi0 : : x :: a x 0, x a肅证:设粒子处于第 n 个本征态,其本征函数袃二2 a x 2丄(1—cosjx 0 22羀(1 12莀在经典情况下,在 0, a 区间粒子除与阱壁碰撞(设碰撞时间不计,且为弹性碰撞,即粒子碰撞后仅运动方向改变,但动能、速度不变)外,来回作匀速运动,因此粒子处于衿当n —;弋时,量子力学的结果与经典力学结果一致。
量子力学导论第 5 章答案第五章力学量随时间的变化与对称性5.1)设力学量不显含,为本体系的 Hamilton 量,证明证.若力学量不显含,则有,令则,5.2)设力学量不显含,证明束缚定态,证:束缚定态为::。
在束缚定态,有。
其复共轭为。
5.3)表示沿方向平移距离算符.证明下列形式波函数(Bloch 波函数),是的本征态,相应的本征值为证:,证毕。
5.4)设表示的本征态(本征值为),证明是角动量沿空间方向的分量的本征态。
证:算符相当于将体系绕轴转角,算符相当于将体系绕轴转角,原为的本征态,本征值为,经过两次转动,固定于体系的坐标系(即随体系一起转动的坐标系)的轴(开始时和实验室轴重合)已转到实验室坐标系的方向,即方向,变成了,即变成了的本征态。
本征值是状态的物理属性,不受坐标变换的影响,故仍为。
(还有解法二,参钱..《剖析》.P327)5.5)设 Hamilton 量。
证明下列求和规则。
是的一个分量,是对一切定态求和,是相应于态的能量本征值,。
证:()又,。
不难得出,对于分量,亦有同样的结论,证毕。
5.6)设为厄米算符,证明能量表象中求和规则为(1)证:式(1)左端(2)计算中用到了公式。
由于是厄米算符,有下列算符关系:(3)式(2)取共轭,得到(4)结合式(2)和(4),得证毕。
5.7)证明schrödinger方程变换在 Galileo 变换下的不变性,即设惯性参照系的速度相对于惯性参照系运动(沿轴方向),空间任何一点两个参照系中的坐标满足下列关系:。
(1)势能在两个参照系中的表示式有下列关系(2)证明schrödinger方程在参照系中表为在参照系中表为其中证:由波函数的统计解释,和的意义完全相同。
,是时刻在点找到粒子的几率密度;,是时刻在点找到粒子的几率密度。
但是在给定时刻,给定地点发现粒子的几率应与参照系的选择无关,所以相应的几率应相等,即(6)从(1)式有(6’)由此可以得出,和两个波函数彼此只应差绝对值为 1 的相因子,所以(7)(7)由(1)式,,,(3)式变为:(8)将(7’)代入(8)式,可得(9)选择适当的,使得(9)(4),。
第六章 中心力场6.1) 利用6.1.3节中式(17)、(18),证明下列关系式相对动量 ()21121p m p m Mr p-==∙μ (1)总动量1p p R M P+==∙ (2)总轨迹角动量p r P R p r p r L L L⨯+⨯=⨯+⨯=+=221121 (3)总动能 μ222222222121pMP m p m p T +=+=(4)反之,有 ,11r m R rμ+= r m R r22μ-= (5) p P m p +=21μ,p P m p -=12μ(6)以上各式中,()212121 ,m m m m m m M +=+=μ证: 212211m m r m r m R ++=, (17) 21r r r -=, (18)相对动量 ()21122121211p m p m M r r m m m m r p-=⎪⎪⎭⎫ ⎝⎛-+==∙∙∙μ (1’)总动量 ()2121221121p p m m r m r m m m R M P+=+++==∙∙∙ (2’)总轨迹角动量 221121p r p r L L L⨯+⨯=+=)5(2211p r m u R p r m u R ⨯⎪⎪⎭⎫⎝⎛-+⨯⎪⎪⎭⎫ ⎝⎛+= ()()2112211p m p mMr p p R -⨯++⨯=)2)(1(p r P R ⨯+⨯=由(17)、(18)可解出21,r r,即(5)式;由(1’)(2’)可解出(6)。
总动能()22112262221212222m p P m m p P m m p m p T ⎪⎪⎭⎫⎝⎛-+⎪⎪⎭⎫⎝⎛+=+=μμ2122222122112222122222m m p P u m pP m m um m p P u m pP m m u⋅-++⋅++=()()⎪⎪⎭⎫⎝⎛+++++=2122221222211112122m m p P m m m P m m m μ2222pMP +=(4’)[从(17),(18)式可解出(5)式;从(1),(2)式可解出(6)式].6.2) 同上题,求坐标表象中p 、P 和L 的算术表示式r i p ∇-= R i P ∇-= ,p r P R L⨯+⨯=解: ()()211221121r r m mMi p m p mMp ∇-∇-=-=(1)其中 1111z ky jx ir ∂∂+∂∂+∂∂=∇,而x X M m x x x X x X x ∂∂+∂∂=∂∂∂∂+∂∂∂∂=∂∂1111,同理,y YM m y ∂∂+∂∂=∂∂11zZM m z ∂∂+∂∂=∂∂11;(利用上题(17)(18)式。
)∴ =∇1r r R Mm ∇+∇1;仿此可设 =∇2r r R Mm ∇-∇1 (2)代入(1)中,得 ⎪⎭⎫⎝⎛∇+∇-∇+∇-=r R r R m M m m m M m m M i p 121221 r i ∇-= (3)()2121r r i p p P ∇+∇-=+=)2(Ri ∇-= (4)p r P R L ⨯+⨯=只要将(3)、(4)式中的p 、P 以相应的算符代入即可。
6.3)利用氢原子能级公式,讨论下列体系的能谱: (a )电子偶素(positronium ,指-+-e e 束缚体系) (b )u 原子(muonic atom )(c )u 子偶素(muonium ,指-+-u u 束缚体系) 解:由氢原子光谱理论,能级表达式为:22412nue E n-=, p e p e m m m m u +=。
(a )电子偶素能级 22414n ue E n-=,(2e ee e e m m m m m u =+=)(b )u 原子能级 22412ne u E u n-=,(p u p u u m m m m u +=)(c )u 子偶素能级22414ne m E u n-=,(2u uu u u m m m m m u =+=)6.4)对于氢原子基态,计算p x ∆⋅∆。
解: * 在求坐标系中,空间反演:r r -→(ϕπϕθπθ+→-→-,,r r )。
氢原子基态波函数为 021301001a rea -⎪⎪⎭⎫⎝⎛=πψ (1)宇称为偶。
由于均为奇宇称算符,所以 0 ,0==x p x (2) 由于100ψ各向同性,呈球对称分布,显然有222222223131pp p p r zyxzy x ====== (3)容易算出 ()τψd r r 210022⎰=⎰2-2⎪⎪⎭⎫ ⎝⎛=ϕθθπd d r d r e a r a rs i n 10230203a = (4)=2p ⎰∇-τψψd 10021002()[]⎰∇⋅∇-∇⋅∇-=τψψψψd 1001001001002⎰∇=τψd 21002⎰2⎪⎭⎫ ⎝⎛∂∂=ϕθθψd drd r r sin 21002202a = (5)因此 2x20a =, 022a xx x =-=∆ (6)2223a p x=,0223a p p p xx x =-=∆ (7)3=∆⋅∆x p x (8)测不准关系的普遍结论是 2≥∆⋅∆x p x (9)显然式(8)和(9)式是不矛盾的。
而且3很接近式(9)规定的下限2。
6.5)对于氢原子基态,求电子处于经典禁区()a r 2>(即0<-V E )的几率。
解:氢原子基态波函数为 area -⎪⎭⎫⎝⎛=2131001πψ,22uea=,相应的能量 a eue E 222241-=-=动能 ()reaeV E r T 2212+-=-=0<-=V E T 是经典不允许区。
由上式解出为a r 2>。
因此,电子处于经典不允许区的几率为⎰⎰⎰∞-=a ar d d dr r eap 2020223sin 1ππϕθθπ(令a r 2=ξ)⎰∞-⎪⎭⎫ ⎝⎛=423324ξξξd ea a 2381.0134==-e6.6)对于类氢原子(核电荷Ze )的“圆轨迹”(指1,0-==n l n r 的轨迹),计算 (a )最可几半径; (b )平均半径; (c)涨落[]2122rrr -=∆解:类氢原子中电子波函数nlmψ可以表示为()()()()ϕθϕθψ,1,lm l n lm l n nlmY r u rY r R r r == (1)(a ) 最可几半径由径向几率分布的极值条件 ()0=r u d rd l n r (2)决定。
1-=n l 时,0=r n 。
()naZr nn eCr r u --=1,0代入(2)式,容易求得 Z a n r 02=几 (4)这结果和玻尔量子论中圆轨迹的半径公式一致。
(b )在nlmψ态下,各λr 之间有递推关系(Kramers 公式)()()[]01241212222212=-+++-+--λλλλλλrZa l rZa r rn(5)(参 钱伯初、曾谨言《量子力学习题精选与剖析》P197) 在(5)式中令0=λ,注意到10=r 。
可设an Z rnlm21=(6)依次再取2,1=λ,得到()[]aZ l l nrnlm13212+-=)1(22-=⎪⎭⎫ ⎝⎛+=n l a Zn n (7)(c )()[]222213512⎪⎭⎫ ⎝⎛+-+=a Z l l n nr nlm())1(22121-=⎪⎭⎫ ⎝⎛+⎪⎭⎫ ⎝⎛+=n l a Z n n n (8)因此,r 的涨落[]2122rrr -=∆Z an n ⎪⎪⎭⎫ ⎝⎛+=4223 (9)121222+=+=∆n n n n rr (10)可见,n 越大,r r ∆越小,量子力学的结果和玻尔量子轨迹的图像越加接近。
6.7)设电荷为Ze 的原子核突然发生-β衰变,核电荷变成()e Z 1+,求衰变前原子Z 中一个K 电子(s 1轨迹上的电子)在衰变后仍然保持在新的原子()1+Z 的K 轨迹的几率。
解:由于原子核的-β衰变是突然发生的。
可以认为核外的电子状态还来不及变化。
对于原来的K 电子,其波函数仍未 ()aZrea Z r Z -⎪⎭⎫⎝⎛=213100,πψ (1) 而新原子中K 电子的波函数应为 ()()()arZ ea Z r Z 121331001,1+-⎥⎦⎤⎢⎣⎡+=+πψ (2)将()r Z ,100ψ按新原子的能量本征态作线形展开:()()r Z Cr Z nlmnlmnlm,,100∑=ψψ (3)则衰变前的s 1电子在衰变后处于新原子的()r Znlm,1+ψ态的几率为()()210021Z Z C p nlm nlmnlm ψψ+== (4)因此,本题所求的几率为=100p ()()()()()2212262332100100411drr e aZZZ Z a r Z +-+=+ππψψ()6363321111211-⎪⎭⎫ ⎝⎛+⎪⎭⎫ ⎝⎛+=⎪⎭⎫ ⎝⎛++=Z Z Z Z Z(5)展开时保留到第三项当1>>Z ,上式可近似取成 2100431Zp -≈ (5’)例如, 10=Z , 9932.0100≈p ;30=Z , 9992.0100≈p 。
6.8)设碱金属原子中的价电子所受电子实(原子核+满壳电子)的作用近似表为()222ra e rer V λ--=(10<<<λ) (1)a 为Bohr 半径,求价电子的能级。
提示:令()()121''+=-+l l l l λ,解出()212'12812121⎥⎦⎤⎢⎣⎡+-⎪⎭⎫ ⎝⎛++-=l l l λ解:取守恒量完全集为()z L L H ,,2,其共同本征函数为()()()ϕθϕθψ,,,lm Y r R r =()()ϕθ,lm Y rr u =(2)()r u 满足径向方程()Eu u r a e r e ur l l u u =⎥⎦⎤⎢⎣⎡--++-22222"2212λ(3) 令 ()()121''+=-+l l l l λ (4)式(3)就可以化为 ()Eu u r e ur l l u u =⎥⎦⎤⎢⎣⎡-++-222''"2212(3’) 相当于氢原子径向方程中l 换成'l 。
所以式(3’)的求解过程完全类似于氢原子问题。
后者能级为an eE n 222-=, 1++=l n n r , ,2,1,0=r n (5)将l 换成'l ,即得价电子的能级:an eE nl 2'22-=,1''++=l n n r (6)通常令 l l l ∆+='(7)1'+∆++=l r l n n l n ∆+= (8)l ∆称为量子数l 和n 的“修正数”。