渐开线齿轮公法线快速计算
- 格式:xlsx
- 大小:12.15 KB
- 文档页数:1
渐开线标准直齿轮几何尺寸计算公式渐开线标准直齿轮几何尺寸计算公式基本参数名称符号公式分度圆直径 d 齿顶高 h a齿根高 h f 全齿高 h 齿顶圆直径 d a (参照注释1) 齿根圆直径 d f (参照注释1) 基圆直径 d b 齿距 p齿厚 s槽宽 e中心距 a (参照注释1) 顶隙 c基圆齿距 p b (参照注释2) 法向齿距 p n注释:1、上面的符号用于外齿轮,下面的符号用于内齿轮;中心距计算公式上面符号用于外啮合齿轮传动,下面符号用于内啮合齿轮传动。
2、因为,所以。
齿轮基本参数:螺纹计算公式1、齿数Z闭式齿轮传动一般转速较高,为了提高传动的平稳性,减小冲击振动,以齿数多一些为好,小一些为好,小齿轮的齿数可取为z1=20~40。
开式(半开式)齿轮传动,由于轮齿主要为磨损失效,为使齿轮不致过小,故小齿轮不亦选用过多的齿数,一般可取z1=17~20。
为使齿轮免于根切,对于α=20o的标准支持圆柱齿轮,应取z1?17。
Z2=u?z1。
2、压力角α rb=rcosα=1/2mzcosα在两齿轮节圆相切点P处,两齿廓曲线的公法线(即齿廓的受力方向)与两节圆的公切线(即P点处的瞬时运动方向)所夹的锐角称为压力角,也称啮合角。
对单个齿轮即为齿形角。
标准齿轮的压力角一般为20”。
在某些场合也有采用α,14.5? 、15? 、22.50?及25?等情况。
3、模数m=p/ π齿轮的分度圆是设计、计算齿轮各部分尺寸的基准,而齿轮分度圆的周长,πd,z p模数m是决定齿轮尺寸的一个基本参数。
齿数相同的齿轮模数大,则其尺寸也大。
4、齿顶高系数和顶隙系数—h*a 、C*两齿轮啮合时,总是一个齿轮的齿顶进入另一个齿轮的齿根,为了防止热膨胀顶死和具有储成润滑油的空间,要求齿根高大于齿顶高。
为次引入了齿顶高系数和顶隙系数。
正常齿:h*a =1; C*=0.25 短齿:h*a =0.8; C*=0.3一般的直齿圆柱齿轮,啮合的条件是:模数相等,压力角相等一、 60?牙型的外螺纹中径计算及公差(国标GB 197/196)a. 中径基本尺寸计算:螺纹中径的基本尺寸=螺纹大径-螺距×系数值公式表示:d/D-P×0.6495例:外螺纹M8螺纹中径的计算8-1.25×0.6495=8-0.8119?7.188b.常用的6h外螺纹中径公差(以螺距为基准)上限值为”0”下限值为P0.8-0.095 P1.00-0.112 P1.25-0.118 P1.5-0.132 P1.75-0.150 P2.0-0.16 P2.5-0.17上限计算公式即基本尺寸,下限值计算公式d2-hes-Td2即中径基本尺寸-偏差-公差M8的6h级中径公差值:上限值7.188 下限值:7.188-0.118=7.07C常用的6g级外螺纹中径基本偏差: (以螺距为基准)P 0.80-0.024 P 1.00-0.026 P1.25-0.028 P1.5-0.032P1.75-0.034 P2-0.038 P2.5-0.042 上限值计算公式d2-ges即基本尺寸-偏差下限值计算公式d2-ges-Td2即基本尺寸-偏差-公差例M8的6g级中径公差值:上限值7.188-0.028=7.16下限值:7.188-0.028-0.118=7.042 注:?以上的螺纹公差是以粗牙为准,对细牙的螺纹公差相应有些变化,但均只是公差变大,所以按此控制不会越出规范界限,故在上述中未一一标出.?螺纹的光杆坯径尺寸在生产实际中根据设计要求的精度和螺纹加工设备的挤压力的不同而相应比设计螺纹中径尺寸加大0.04—0.08之间,为螺纹光杆坯径值,例我们公司的M8外螺纹6g级的螺纹光杆坯径实在7.08—7.13即在此范围.?考虑到生产过程的需要外螺纹在实际生产的未进行热处理和表面处理的中径控制下限应尽量保持在6h级为准二、 60?内螺纹中径计算及公差(GB 197 /196)a. 6H级螺纹中径公差(以螺距为基准)上限值:P0.8+0.125 P1.00+0.150 P1.25+0.16 P1.5+0.180P1.25+0.00 P2.0+0.212 P2.5+0.224 下限值为”0”,上限值计算公式2+TD2即基本尺寸+公差例:M8-6H内螺纹中径为:7.188+0.160=7.348 上限值:7.188为下限值b. 内螺纹的中径基本尺寸计算公式与外螺纹相同即D2=D-P×0.6495即内螺纹中径螺纹大径-螺距×系数值c. 6G级螺纹中径基本偏差E1(以螺距为基准)P0.8+0.024 P1.00+0.026 P1.25+0.028 P1.5+0.032P1.75+0.034 P1.00+0.026 P2.5+0.042例:M8 6G级内螺纹中径上限值:7.188+0.026+0.16=7.374下限值:7.188+0.026=7.214上限值公式2+GE1+TD2即中径基本尺寸+偏差+公差下限值公式2+GE1即中径尺寸+偏差三、外螺纹大径的计算及公差(GB 197/196)a. 外螺纹的6h大径上限值即螺纹直径值例M8为φ8.00上限值公差为”0”b. 外螺纹的6h级大径下限值公差(以螺距为基准)P0.8-0.15 P1.00-0.18 P1.25-0.212 P1.5-0.236 P1.75-0.265P2.0-0.28 P2.5-0.335大径下限计算公式:d-Td 即螺纹大径基本尺寸-公差例:M8外螺纹6h大径尺寸:上限为φ8,下限为φ8-0.212=φ7.788c. 外螺纹6g级大径的计算与公差6g级外螺纹的基准偏差(以螺距为基准)P0.8-0.024 P1.00-0.026 P1.25-0.028 P1.5-0.032 P1.25-0.024 P1.75 –0.034 P2.0-0.038 P2.5-0.042上限计算公式 d-ges 即螺纹大径基本尺寸-基准偏差下限计算公式 d-ges,Td 即螺纹大径基本尺寸-基准偏差-公差例: M8 外螺纹6g级大径上限值φ8-0.028=φ7.972下限值φ8-0.028-0.212=φ7.76注:?螺纹的大径是由螺纹光杆坯径及搓丝板/滚丝轮的牙型磨损程度来决定的,而且其数值在同样毛坯及螺纹加工工具的基础上与螺纹中径成反比出现即中径小则大径大,反之中径大则大径小.?对需进行热处理和表面处理等加工的零件,考虑到加工过程的关系实际生产时应将螺纹大径控制在6h级的下限值加0.04mm以上,如M8的外螺纹在搓(滚)丝的大径应保证在φ7.83以上和7.95以下为宜.四、内螺纹小径的计算与公差a. 内螺纹小径的基本尺寸计算(D1)径基本尺寸=内螺纹基本尺寸-螺距×系数例:内螺纹M8的小径基本尺寸 8-1.25×1.0825=6.646875?6.647b. 内螺纹6H级的小径公差(以螺距为基准)及小径值计算P0.8 +0. 2 P1.0 +0. 236 P1.25 +0.265 P1.5 +0.3 P1.75 +0.335P2.0 +0.375 P2.5 +0.48内螺纹6H级的下限偏差公式D1+HE1即内螺纹小径基本尺寸+偏差注:6H级的下偏值为“0”内螺纹6H级的上限值计算公式=D1+HE1+TD1即内螺纹小径基本尺寸+偏差+公差例:6H级M8内螺纹小径的上限值 6.647+0=6.6476H级M8内螺纹小径的下限值 6.647+0+0.265=6.912c. 内螺纹6G级的小径基本偏差(以螺距为基准)及小径值计算P0.8 +0.024 P1.0 +0.026 P1.25 +0.028 P1.5 +0.032 P1.75 +0.034P2.0 +0.038 P2.5 +0.042内螺纹6G级的小径下限值公式=D1+GE1即内螺纹基本尺寸+偏差例: 6G级M8内螺纹小径的下限值 6.647+0.028=6.6756G级M8内螺纹小径的上限值公式D1+GE1+TD1即内螺纹基本尺寸+偏差+公差例: 6G级M8内螺纹小径的上限值是6.647+0.028+0.265=6.94注:?内螺纹的牙高直接关系到内螺纹的承载力矩的大小,故在毛坯生产中应尽量在其6H级上限值以内?在内螺纹的加工过程中,内螺纹小径越小会给加工具——丝锥的使用效益有所影响.从使用的角度讲是小径越小越好,但综合考虑时一般采用小径的在中限至上限值之间,如果是铸铁或铝件时应采用小径的下限值至中限值之间 ?内螺纹6G级的小径在毛坯生产中可按6H级执行,其精度等级主要考虑螺纹中径的镀层,故只在螺纹加工时考虑丝锥的中径尺寸而不必考虑光孔的小径。
渐开线标准直齿圆柱齿轮的主要参数及几何尺寸计算齿轮各部分名称及符号此主题相关图片如下:此主题相关图片如下:此主题相关图片如下:此主题相关图片如下:渐开线标准直齿圆柱齿轮的基本参数及几何尺寸计算1 模数齿轮圆周上轮齿的数目称为齿数,用z表示。
根据齿距的定义知此主题相关图片如下:2 压力角此主题相关图片如下:此主题相关图片如下:3 齿数4 齿顶高系数h a=h a*m (h a*=1)5 顶隙系数c=c*m (c*= h f=(h a*+c*)m全齿高h=h a+h f=(2h a*+c*)m此主题相关图片如下:标准齿轮是指模数、压力角、齿顶高系数和顶隙系数均为标准值,且分度圆上的齿厚等于齿槽宽的齿轮。
表12-2 标准直齿圆柱齿轮的几何尺寸计算公式此主题相关图片如下:4. 内齿轮与齿条图示为一内齿圆柱齿轮,内齿轮的轮齿是分布在空心圆柱体的内表面上。
与外齿轮相比有下列几个不同点:1)内齿轮的齿厚相当于外齿轮的齿槽宽,内齿轮的齿槽宽相当于外齿轮的齿厚。
2)内齿轮的齿顶圆在它的分度圆之内,齿根圆在它的分度圆以外。
图示为一齿条,它可以看作齿轮的一种特殊型式。
与齿轮相比有下列两个主要特点:1)由于齿条的齿廓是直线,所以齿廓上各点的法线是平行的;传动时齿条是直线移动的,故各点的速度大小和方向均相同;齿条齿廓上各点的压力角也都相同,等于齿廓的倾斜角。
2)与分度线相平行的各直线上的齿距都相等。
此主题相关图片如下:渐开线直齿圆柱齿轮的任意圆周上齿厚的计算此主题相关图片如下:5.公法线长度测量齿轮公法线长度是检验齿轮精度常用的方法之一。
它具有测量方便、准确和易于掌握的优点。
测量齿轮公法线长度的原理:公法线长度是指渐开线齿轮上两反向齿廓间的基圆切线长度。
此主题相关图片如下:此主题相关图片如下:此主题相关图片如下:K为跨齿数(证明略)。
渐开线标准直齿轮几何尺寸计算公式1 、上面的符号用于外齿轮,下面的符号用于内齿轮;中心距计算公式上面符号用于外啮合齿轮传动,下面符号用于内啮合齿轮传动。
、因为—',所以応=TOKCOS £Z。
渐开线齿轮参数测量实验、实验目的1 •综合利用各种方法(计算法、查表法等),对渐开线齿轮进行测量,从而判定其原设计基本参数。
2•通过该测量实验,加深对渐开线齿轮参数相互关系及啮合原理的理解。
、实验设备和工具1 •备测齿轮(2)1、2齿轮组成标准齿轮传动;(3)5、6齿轮可组成正传动;(4)7、8齿轮可组成负传动;(5)3、4齿轮可组成高变位传动;(6)5、6、7齿轮可组成角变位传动。
(7)本表中给岀的参数仅供参考。
2 •测量工具(1)齿轮弦齿高弦齿厚卡尺;(2)游标卡尺;3•计算器(自备)4•附表三、实验原理及步骤渐开线齿轮参数测量,就是根据备测齿轮实物通过相应的测量方法,判定出2:m COS ot它的原设计的基本参数。
这些基本参数主要是模数 m (或径节DP )、压力角:•、 齿数Z 、齿顶高系数h a 、顶隙系数C”、变位系数 (移距系数)、齿高变动系数 二y 等。
由于齿轮所采用的标准制度各不相同,有时还遇到采用短齿齿形、变位齿轮, 需要测量的参数很多,所以齿轮测量是一项比较复杂的工作。
但是各种齿轮标准 制度,都是规定以模数(或径节)作为齿轮其他参数和尺寸的计算依据,因此首 先要准确地判定模数(或径节)的大小;同时压力角是决定齿形的基本参数,所 以也要准确判定。
一般齿轮参数测量的步骤大体如下:(1) 数出齿数Z ;(2) 测量模数模数m (或径节DP )、判定压力角a ; (3) 测定齿顶高系数h a ; (4) 测量顶隙系数C ; (5) 测定变位(移距)系数 ; (6) 测定齿咼变动系数~y 。
1 .压力角:-的判定及模数m 的测量 目前国际上通常采用 模数制和径节制这两种齿 轮标准制度。
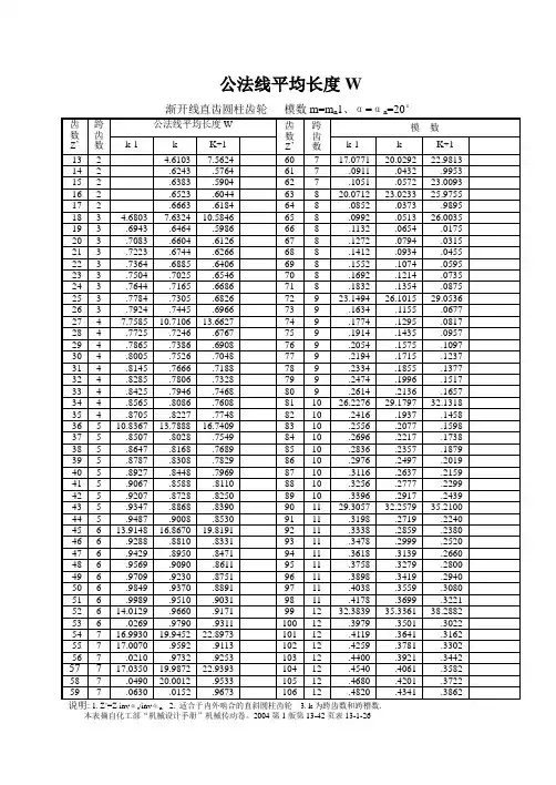
公法线平均长度W
t n
本表摘自化工部“机械设计手册”机械传动卷。
2004第1版第13-42页表13-1-26
变位齿轮的公法线长度的附加量ΔW*
查第一表: 标准齿轮时k=6 Wk=16.881×m=101.286
x的附加量: ΔW*在上表中查得为0.2394×m=1.4364
得总公法线长度为101.286+1.4364=102.7224
假想齿数的小数部分的公法线长度
当m n=1 αn=20°时
齿数小数部分从0~0.99,公法线的长度从0~0.0139
0.1 0.0014 0.2 0.0028 0.3 0.0042 0.4 0.0056 0.5 0.0070 0.6 0.0084 0.7 0.0098 0.8 0.0112 0.9 0.0126 0.99 0.0139
其余可以使用均值法进行计算
内齿轮抗干涉的小径增量
Δda=5.1×m/Z
(摘自设计大典V3齿轮设计部分)
30°模数m=6外花键公法线平均长度W
本表摘自GB/T3476-95《圆柱直齿渐开线花键》
本表摘自GB/T3476-95《圆柱直齿渐开线花键》
本表摘自GB/T3476-95《圆柱直齿渐开线花键》
本表摘自GB/T3476-95《圆柱直齿渐开线花键》
本表摘自GB/T3476-95《圆柱直齿渐开线花键》
本表摘自GB/T3476-95《圆柱直齿渐开线花键》
渐开线函数invαk=tanαk-αk。
齿轮公法线上下偏差计算公式公法线平均长度上偏差Ews=Es*scosа-2e*sinа,公法线平均长度下偏差Ews=Esi*cosа+2e*sinа,公法线平均长度公差:Tw=Ts*cosа-4esinа,1、式中2e为齿轮一转内最大的几何偏心量,为ΔFr2e=ΔFr=KFr,根据国标取K=0.72,式中Fr齿圈径向跳动公差有精度等级和分度圆直径决定(你未给出分度圆直径及应用,所以我没办法给你准确数,你自己查表)。
2、式中α为压力角,标准渐开线圆柱齿轮α=20°3、式中Ess和Esi为齿轮齿厚上偏差和下偏差,通常齿轮副,两齿轮的Ess相同,Ess=fa*tagа+(jn min+J)/2cosа①式中fa为齿轮副中心距极限偏差,②式中jn min为齿轮副公法线方向极限侧隙,叫作法向极限侧隙,jn min=jn1+jn2jn1=a(α1Δt1+α2Δt2)*2sinа(单位mm)a---齿轮副中心距α1,α2---线膨胀系数(45#钢齿:11.5*10^-6,铸铁箱体:10.5*10^-6)Δt---工作温升(相对于20℃)脚注1为齿轮,脚注2为壳体jn2=K*mn (单位um)mn---法向模数系数K---5~10(油池润滑)10(V<10m/s)齿轮线速度(喷油润滑)20(10<V<25)30(25<v<60)30~50(V>60)Esi=Ess+TsTs=(Fr^2+br^2)^1/2*2tagαFr---齿圈径向跳动(查表)br---切齿径向进刀公差(查表)4、小结要得到公法线长度上下偏差必须根据应用环境来确定精度等级,有三组公差精度分别为:运动精度、平稳性精度、接触精度,示例一、7-6-6GM、示例二、7FL 第一个示例表示运动精度7,平稳性精度和接触精度6,G和M代表齿厚上下偏差分别为-6fpt和-20fpt(买本书或下载齿轮手册上面有标准),fpt查表得,它属平稳性精度参数,第二个示例表示三组公差精度都为7,其他同上,只是齿厚公差带偏上一点了,F=-4fpt,L=-16fpt。
渐开线直齿圆柱齿轮齿厚测量方法及其计公算式本文意欲回答读者在查阅设计手册时无从知晓而常常提出来的关于几个基本含义的问题:什么是公法线?什么是量柱距?什么是固定弦和分度圆弦?它们的计算公式是怎样推出来的等等。
渐开线圆柱齿轮常用的齿厚测量方法有公法线长度、量柱(或球)距、分度圆弦齿厚、固定弦齿厚四种方法。
后两种方法是测量单个齿,一般用于大型齿轮。
对于精度要求不太高的齿轮也常用分度圆弦测量法。
公法线长度测量在外齿轮上用得最多,内齿轮也可用;大齿轮测量因受量具限制很少用。
量柱距测量主要用于内齿轮和小模数齿轮。
1. 公法线长度测量(1)公法线及其长度计算式对于渐开线齿廓,根据渐开线的性质,其上任意点的法线总是和基圆相切,因此用两个平行的卡爪卡住几个齿时(见图1),两个卡爪接触点A 、B 的连线必定与基圆相切于某一点C ,这条AB 连线就叫公法线,一般用W k 表示;下标k 表示卡住的齿数。
图1中,根据渐开线的性质,A C =A C ');B C =B C '⌒;A B =A B ''⌒。
A B 是(k-1)个基圆齿距p b和一个基圆齿厚S b 之和,即:(1)(1)cos k b b b W k p S k m S πα=-+=-+……(1-1) 式中,k –跨测齿数;α–压力角(°); m –模数,mm ;分度圆和基圆上的齿厚具有如下关系:22b bs sinv invo r r α+=+ 由上等式可得:(2tan )22b b b r ms xm r inv r παα=++ 图1 公法线长度的测量计算 =1cos 2sin cos 2m xm zm inv παααα++…………(1-2) 将(1-2)式代入(1-1)式,经整理后可得公法线长度计算式为:cos [(0.5)2tan ]k W m zinv k x ααπα=+-+…………(1-3)式中,z –齿轮的齿数; inv α–渐开线函数;x –变位系数;若模数m=1,(1-3)式变为:cos [(0.5)2tan ]k W zinv k x ααπα=+-+cos [(0.5)2sin zinv k x ααπα=+-]+K k W W **=+∆…………(1-4)(1-4)式中第二行的前一项cos (0.5)k W k ααπ*=+-[zinv ]就是m=1的标准齿轮的公法线长度。
渐开线直齿圆柱齿轮齿厚测量方法及其计公算式本文意欲回答读者在查阅设计手册时无从知晓而常常提出来的关于几个基本含义的问题:什么是公法线?什么是量柱距?什么是固定弦和分度圆弦?它们的计算公式是怎样推出来的等等。
渐开线圆柱齿轮常用的齿厚测量方法有公法线长度、量柱(或球)距、分度圆弦齿厚、固定弦齿厚四种方法。
后两种方法是测量单个齿,一般用于大型齿轮。
对于精度要求不太高的齿轮也常用分度圆弦测量法。
公法线长度测量在外齿轮上用得最多,内齿轮也可用;大齿轮测量因受量具限制很少用。
量柱距测量主要用于内齿轮和小模数齿轮。
1. 公法线长度测量(1)公法线及其长度计算式对于渐开线齿廓,根据渐开线的性质,其上任意点的法线总是和基圆相切,因此用两个平行的卡爪卡住几个齿时(见图1),两个卡爪接触点A 、B 的连线必定与基圆相切于某一点C ,这条AB 连线就叫公法线,一般用W k 表示;下标k 表示卡住的齿数。
图1中,根据渐开线的性质,A C =A C ');B C =B C '⌒;A B =A B ''⌒。
A B 是(k-1)个基圆齿距p b和一个基圆齿厚S b 之和,即:(1)(1)cos k b b b W k p S k m S πα=-+=-+……(1-1) 式中,k –跨测齿数;α–压力角(°);m –模数,mm ;分度圆和基圆上的齿厚具有如下关系:22b bs sinv invo r r α+=+ 由上等式可得:(2tan )22b b b r ms xm r inv r παα=++ 图1 公法线长度的测量计算 =1cos 2sin cos 2m xm zm inv παααα++…………(1-2) 将(1-2)式代入(1-1)式,经整理后可得公法线长度计算式为:cos [(0.5)2tan ]k W m zinv k x ααπα=+-+…………(1-3)式中,z –齿轮的齿数; inv α–渐开线函数;x –变位系数;若模数m=1,(1-3)式变为:cos [(0.5)2tan ]k W zinv k x ααπα=+-+cos [(0.5)2sin zinv k x ααπα=+-]+K k W W **=+∆…………(1-4)(1-4)式中第二行的前一项cos (0.5)k W k ααπ*=+-[zinv ]就是m=1的标准齿轮的公法线长度。
齿轮的公法线
1、定义
齿轮公法线是在加工过程中由于各种误差累积,单齿检测精度不能用。
2、详解
(1)公法线W,W=(k×π×m + S + m×Z×0.014904384)÷cos20。
(2)两个曲线或曲面,过特定点,拥有共同的一条垂线,这条垂线就是公法线。
(3)齿轮公法线,是一条与基圆相切,与齿轮异侧渐开线相交的直线。
公法线,也是两个物体接触点各自曲率中心的连线。
(4)模数X 齿数= 分度圆直径,在二齿轮啮合时,理论上把分度圆直径相切处称节圆。
在该处单齿的齿厚度称弦齿厚。
是检测齿轮精度方法之一。
(5)但是在加工过程中由于各种误差累积,单齿检测精度不能保证,而同时采用在节圆处检测多齿间距,称公法线。
(6)齿轮设计者,先通过齿厚来根据公式确定公法线W;
(7)齿轮制造者,通过公法线数值大小来控制实际分度圆上的齿厚。
(8)斜齿轮图纸标注栏为齿厚,用公法线长度测量保证齿厚,所以要标出公法线长度尺寸与跨齿数。