中南大学测试技术在线作业一讲解
- 格式:doc
- 大小:1.09 MB
- 文档页数:15
《测试技术》复习资料试题:一、直流电桥的结构如图,电桥的平衡是什么概念?推导电桥的平衡条件。
(30分)二、整流检波解调的工作原理与特点是什么?(30分)三、压电式传感器输出方式与特点是什么?(40分)试题:一、直流电桥的结构如图,电桥的平衡是什么概念?推导电桥的平衡条件。
(30分)电桥的概念:用比较法测量各种量(如电阻、电容、电感等)的仪器。
最简单的是由四个支路组成的电路。
各支路称为电桥的“臂”。
四边形的一个对角线连有检流计,称为“桥”,电桥电路中,桥支路的两个顶点的电势相等时,检流计中无电流通过,称为电桥达到平衡。
电桥的平衡条件二、整流检波解调的工作原理与特点是什么?(30分)整流检波解调的工作原理:对调制信号进行偏置,使其大于零,再对载波进行调制。
将该调制波进行整流(半波或全波)、滤波并消除直流偏置即可恢复原信号。
如图1所示。
图1整流检波解调的全过程在整流检波解调中,若所加的偏置电压未能使信号电压都在零线一侧,则对调幅波简单整流不能恢复原调制信号。
如图2所示。
图2调制信号加偏置的调制波三、压电式传感器输出方式与特点是什么?(40分)1.压电力传感器:图1压电力传感器的结构简图特点:两片石英晶体采用并联方式,利用其纵向压电效应, 实现力--电转换。
典型的力传感器的非线性度1%。
刚度(2×107N/m ~ 2×109N/m)。
固有频率(10kHz~300kHz)。
适合于动态力测量。
2.压电加速度传感器:图2压电加速度传感器的结构简图与力学模型特点:压电片用高压电系数的压电陶瓷制成。
两个压电片并联。
质量块用高比重的金属块,对压电元件施加预载荷。
阻尼比很小(约0.01),固有频率十分高。
电路中增加一级或两级积分电路,则可测出构件的速度或位移量。
3.阻抗头:特点:●压电力传感器和压电加速度传感器组合一体的双重传感器。
●前端为力传感器,后面为测量激振点的响应的加速度计。
●用于同时测量同一点的力和响应。
(一) 单选题1. A/D转换器是将模拟信号信号转换成()信号的装置。
(A)随机信号(B)模拟信号(C)周期信号(D)数字信号参考答案:(D)2.(A)150(B) 1000(C) 600(D) 300参考答案:(C)3. 磁带记录一个最高频率分量为500Hz的信号,用上限频率为300Hz的放大器作回放信号的放大,为了使放大后的信号不失真,应采用方法是( )。
(A)快录慢放(B)慢录快放(C)录放速度不作变化(D)参考答案:(A)4. 滤波器的-3dB频率即截止频率,是指信号幅值衰减为输入幅值的()处的频率。
(A)(B) 1(C)(D) 1/2参考答案:(C)5. 把连续时间信号进行离散化时产生混叠的主要原因是()。
(A)记录时间太长(B)采样间隔太宽(C)记录时间太短(D)采用间隔太窄参考答案:(B)6.信号的自功率谱密度函数是()。
(A)的傅氏变换(B) 的自相关函数的傅氏变换(C) 与的幅值谱相等参考答案:(B)7. 两个正弦信号间存在下列关系:不同频()相关。
(A)一定(B) 不一定(C) 一定不参考答案:(C)8. 将两个中心频率与截止频率均相同的带通滤波器串联,可以()。
(A)使分析频带扩大(B) 使滤波器的选择性变好,但使相移增加(C) 幅频、相频都得到改善参考答案:(B)9. 抗混滤波器是一种()滤波器。
(A)低通滤波器(B)高通滤波器(C)带通滤波器(D)带阻滤波器参考答案:(A)10. 重复频率为1000Hz的方波,经过一截止频率为1800Hz的理想低通滤波器后的输出量为()。
(A)1000Hz失真的方波(B)1000Hz的正弦波(C)2000Hz的正弦波(D)不知是什么波形参考答案:(B)11. 若甲滤波器=2.5,乙滤波器=3.5,则滤波器的选择性()。
(A)甲比乙好(B) 乙比甲好(C) 不能进行比较参考答案:(A)12.如果一信号的自相关函数呈现一定周期的不衰减,则说明该信号()。
(一) 单选题1. 为消除压电传感器电缆分布电容变化对输出灵敏度的影响,可采用( )。
(A)电压放大器(B)电荷放大器(C)前置放大器(D)前置滤波器参考答案:(B)2. 为提高电桥的灵敏度,可采取的方法是( )。
(A)半桥双臂各串联一片电阻应变片(B) 半桥双臂各并联一片电阻应变片(C) 适当提高电桥的电源电压(D) 增大应变片的初始电阻值参考答案:(C)3. 电容式传感器中,灵敏度最高的是( )。
(A)面积变化型(B) 介质变化型(C) 极距变化型参考答案:(C)4. 半导体应变片在测量构件的应变时,电阻的相对变化主要由( )来决定的。
(A)贴片位置的温度变化(B) 电阻丝几何尺寸的变化 (C) 电阻丝材料的电阻率变化参考答案: (C)5. 磁电式绝对振动速度传感器的动态数学模型是一个( )。
(A) 一阶环节(B) 二阶环节 (C) 比例环节参考答案: (B)6. 调频式电涡流传感器的解调电路是( )。
(A) 整流电路(B) 相敏检波电路 (C) 鉴频器参考答案: (C)7. 极距变化型电容传感器适宜于测量微小位移量是因为( )。
(A)电容量微小影响灵敏度(B) 灵敏度与极距的平方成反比,间距变化大则产生非线性误差(C) 非接触测量(D)参考答案: (B)8. 压电式加速度计,其压电片串联时可提高( )。
(A)电压灵敏度(B)电荷灵敏度(C)电压和电荷灵敏度参考答案:(A)9. 下列传感器中( )是基于压阻效应的。
(A)金属应变片(B) 半导体应变片(C) 压敏电阻参考答案:(D)10. 要使RC低通滤波器的通带加宽,则RC值应( )。
(A)增加(B) 减少(C) 不变参考答案:(B)11. 电涡流传感器是利用( )材料的电涡流效应工作的。
(A)金属导电(B)半导体(C)非金属(D)PVF参考答案:(A)12.交流电桥的供桥电压频率为,输入信号的最高频率为fm。
它们之间关系应满足( )。
(A)(B)(C)(D)参考答案:(D)13. 石英晶体沿机械轴受到正应力时,则会在垂直于( )的表面上产生电荷量。
2014年第二学习阶段《测试技术》复习资料一、直流电桥的结构如图,电桥的平衡是什么概念?推导电桥的平衡条件(30分)二、整流检波解调的工作原理与特点是什么?(30分)三、压电式传感器输出方式与特点是什么?(40分)一、直流电桥的平衡是什么概念?推导电桥的平衡条件答:1、直流电桥的平衡:R1、R2、R3和R4叫电桥的臂,检流计G接于CD之间称为“桥”。
一般情况下R1、R3两端的电压不相等,即C、D两点间的电势不等,G中有电流通过。
改变R1、R3的大小,可以使UAC=UAD,这时G中无电流通过。
当G中无电流时叫做“电桥平衡”。
当R1XR4 = R2XR3,对角线支路中电流为零,电桥处于平衡状态。
2、电桥的平衡条件:二、整流检波解调的工作原理与特点:整流是利用二极管的单向导电性将正负变化的交流电压变为单向脉动电压的电路。
在交流电源的作用下,整流二极管周期性地导通和截止,使负载得到脉动直流电。
在电源的正半周,二极管导通,使负载上的电流与电压波形形状完全相同;在电源电压的负半周,二极管处于反向截止状态,承受电源负半周电压,负载电压几乎为零。
检波是一个频率变换电路,它应由非线性器件构成。
检波器主要有包络检波器和乘积检波器(又称同步检波器)两种类型。
整流检波解调原理是先对调制信号预加一个直流分量A,使原调制信号不再具有正负双向极性,然后再与高频载波相乘得到调幅波,由该调制信号进行调幅后得到的调幅波xm(t)的包络线将具有原调制信号的形状。
解调时,对该调幅波作整流(半波或全波整流)、滤波及去除所加的直流分量A,便可以恢复原调制信号。
三、压电式传感器输出方式与特点:可分为正压电效应和逆压电效应。
正压电效应是指:当晶体受到某固定方压电式传感器向外力的作用时,内部就产生电极化现象,同时在某两个表面上产生符号相反的电荷;当外力撤去后,晶体又恢复到不带电的状态;当外力作用方向改变时,电荷的极性也随之改变;晶体受力所产生的电荷量与外力的大小成正比。
《测试技术》试题考试说明:1.首先下载试题及《标准答卷模版》,完成答题后,答卷从网上提交。
2.答卷电子稿命名原则:学号.doc。
如:11031020512002.doc。
3.网上提交起止时间:2015年5月15日8:00—6月26日00:00。
试题:一、什么是滤波器?有那些种类?(30)二、信号的自相关函数的计算方法与特点是什么?(30分)三、传感器选用原则是什么?(15分)四、简叙高频反射式涡流传感器工作原理。
(25分)《测试技术》答卷试题:一、什么是滤波器?有那些种类?(30)答:滤波器定义:一种选频装置;允许一定频带范围的信号通过,衰减其它频率成分。
滤波器在测试电路中起到消除噪声、干扰信号等作用。
在自动检测、自动控制、信号处理等领域得到广泛的应用。
根据滤波器的选频特性可分为:1.低通滤波器:通频带0 ~ f2;2.高通滤波器:通频带f1 ~ ∞;3.带通滤波器:通频带f1 ~ f2;4.带阻滤波器:通频带0 ~ f1与f2 ~ ∞(阻带:f1~f2)。
二、信号的自相关函数的计算方法与特点是什么?(30分)答:x(t)是某各态历经随机过程的一个样本记录,x(t+τ)是x(t)时移τ后的样本,如下图。
图1 自相关各态历经随机信号自相关函数的定义为:01()lim ()()T x T R x t x t dt T ττ→∞=+⎰x(t)和x(t+τ)的相关系数简记为ρx(τ),与Rx(τ)的关系为:22()()x x x x R τμρτσ-=自相关函数的性质:1.自相关函数值的范围:2222()x x x x x R μστμσ-≤≤+2.自相关函数在τ =0 时为最大值,为随机信号的均方值。
222201(0)lim ()T x x x x T R x t dt T ψμσ→∞===+⎰3.当 τ→∞随机变量x(t)和x(t+τ) 之间不存在内在联系。
()0x ρτ→∞→ 2()x x R τμ→∞→ 4.自相关函数为实偶函数()()x x R R ττ=-。
测试技术第⼀章习题含答案第⼀章习题⼀、选择题1.描述周期信号频谱的数学⼯具是( B )。
.A.相关函数 B.傅⽒级数 C. 傅⽒变换(FT) D.拉⽒变换2. 傅⽒级数中的各项系数是表⽰各谐波分量的( C )。
A.相位B.周期C.振幅D.频率3.复杂的周期信号的频谱是( A )。
离散性谐波性收敛性A .离散的 B.连续的 C.δ函数 D.sinc 函数4.如果⼀个信号的频谱是离散的。
则该信号的频率成分是( C )。
A.有限的B.⽆限的C.可能是有限的,也可能是⽆限的5.下列函数表达式中,( B )是周期信号。
A. 5cos10()0x t ππ ≥?= ? ≤?当t 0当t 0B.()5sin 2010cos10)x t t t t ππ=+ (-∞<<+∞C .()20cos 20()at x t e t t π-= -∞<<+∞6.多种信号之和的频谱是( C )。
A. 离散的B.连续的C.随机性的D.周期性的7.描述⾮周期信号的数学⼯具是( C )。
A.三⾓函数B.拉⽒变换C.傅⽒变换D.傅⽒级数8.下列信号中,( C )信号的频谱是连续的。
A.12()sin()sin(3)x t A t B t ω?ω?=+++B.()5sin 303sinx t t =+(准周期信号离散频谱) C.0()sin at x t e tω-=? 9.连续⾮周期信号的频谱是( C )。
A.离散、周期的B.离散、⾮周期的C.连续⾮周期的D.连续周期的10.时域信号,当持续时间延长时,则频域中的⾼频成分( C.减少)。
A.不变B.增加C.减少D.变化不定11.将时域信号进⾏时移,则频域信号将会( C )。
A.扩展B.压缩C.不变D.仅有移项12.已知()12sin ,(x t t t ωδ= ,()x t t t ωδ=为单位脉冲函数,则积分()()2x t t dt πδω∞-∞?-?的函数值为( 12 )。
中南大学工程测量_在线作业一总共50题共100分一. 单选题(共22题,共44分)1. 已知直线AB的磁方位角为,磁偏角为,子午线收敛角为,则直线AB的A.B.C.D.A.设计平距减实测平距B.实测平距减设计平距C.设计平距减实测斜距D.实测斜距减设计平距3. 用陀螺经纬仪测得的真北方位角为,计算得点的子午线收敛角,则的坐标方位角()。
(2分)A.B.C.D.4. 已知直线AB的真方位角为,A点的磁偏角为,AB的磁方位角为()。
(2A.B.C.D.A.纵坐标北端起逆时针B.横坐标东端起逆时针C.纵坐标北端起顺时针D.横坐标东端起顺时针6. 盘左盘右观测竖直角可以消除()。
(2分)A.度盘刻划不均匀误差B.竖轴不垂直于横轴的误差C.竖盘指标差D.度盘偏心差A.0°B.60°C.90°D.120°A.随望远镜旋转,竖盘读数指标不动B.不动,竖盘读数指标随望远镜旋转C.不动,竖盘读数指标也不动D.与竖盘读数指标都随望远镜旋转9. 观测某目标的竖直角,盘左读数为101°23′36″,盘右读数为258°36′00″,则指标差为( )。
(2分)A.24″B.-12″C.-24″D.12″10. 某钢尺名义长度为30m,检定时的实际长度为30.012米,用其丈量了一段23.586m的距离,则尺长A.–0.012mB.0.012mC.–0.009mD.0.009mA.天文坐标和大地坐标B.天文坐标和参考坐标C.参考坐标和大地坐标D.三维坐标和二维坐标12. 某站水准测量时,由A点向B点进行测量,测得AB两点之间的高差为0.506m,且B点水准尺的读A.2.882mB.2.345mC.3.456mD.1.870mA.两极地区B.投影带的中心位置C.赤道D.投影带边缘与赤道的交汇处A.水平盘随照准部转动,读数指标不动B.水平盘与读数指标都随照准部转动C.水平盘不动,读数指标随照准部转动D.水平盘与读数指标都不随照准部转动A.既没有圆水准器也没有管水准器B.没有圆水准器C.既有圆水准器也有管水准器D.没有管水准器A.内圆弧的半径大B.其灵敏度低C.气泡整平困难D.整平精度高A.在以10km为半径的范围内可以代替B.在以20km为半径的范围内可以代替C.不论多大距离都可代替D.不能代替18. 地面点到高程基准面的垂直距离称为该点的()。
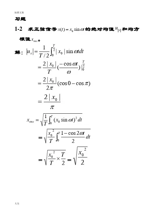
习题1-2 求正弦信号t x t x ωsin )(0=的绝对均值x u 和均方根值rms x 。
解:dt t x T u T x ⎰=20sin ||2/1ω 200|)cos (||2Tt T x ωω-=)cos 0(cos 2||20ππ-=x π||20x =⎰=T rmsdt t x T x 020)sin (1ω =⎰-Tdt tTx 02022cos 1ω =220T T x ⨯=220x1-3 求指数函数)0,0()(≥>=-t a Aet x at的频谱解:指数函数为非周期函数,用傅立叶变换求其频谱。
⎰+∞∞---=dt e Ae f X ft j at π2)(⎰+∞+-=)2(dt Aetf j a π∞++-+-=0)2(|2t f j a e fj a A ππ fj a Aπ2+=幅频谱表示式:22)(ωω+=a AA 相频谱表示式:aarctgωωϕ-=)(2-2 用一个时间常数为0.35s 的一阶装置去测量周期分别为1s 、2s 和5s 的正弦信号,问幅值误差将是多少?解:1)一阶系统的频率响应函数为:11)(+=τωωj H幅频表示式:1)(1)(2+=τωωA2)设正弦信号的幅值为x A ,用一阶装置测量正弦信号,测量幅值(即一阶装置对正弦信号的输出)为)(ωA A x幅值相对误差为:)(1)(ωωA A A A A xx x -=- 3)因为T1=ωT=1s 、2s 、5s ,则ω=2π、π、2π/5(rad)则A(ω)分别为:=+⨯1)235.0(12π0.414 673.01)35.0(12=+⨯π915.01)5235.0(12=+⨯π幅值误差分别为:1-0.414=58.6% 1-0.673=32.7% 1-0.915=8.5%2-7 将信号t ωcos 输入一个传递函数为11)(+=s s H τ的一阶装置后,试求包括瞬态过程在的输出y(t)的表达式。
《测试技术》课后习题答案解析解:(1)瞬变信号-指数衰减振荡信号,其频谱具有连续性和衰减性。
(2)准周期信号,因为各简谐成分的频率比为无理数,其频谱仍具有离散性。
(3)周期信号,因为各简谐成分的频率比为无理数,其频谱具有离散性、谐波性和收敛性。
解:x(t)=sin2t f的有效值(均方根值):2/1)4sin41(21)4sin41(21)4cos1(212sin1)(1000022=-=-=-===⎰⎰⎰TffTTtffTTdttfTdttfTdttxTxTTTTrmsππππππ解:周期三角波的时域数学描述如下:(1)傅里叶级数的三角函数展开:0 T0/2-T0/21x(t)t. ... ..⎪⎪⎪⎩⎪⎪⎪⎨⎧+≤≤-≤≤-+=)(2222)(nTtxTttTAAtTtTAAtx21)21(2)(12/2/2/=-==⎰⎰-TTTdttTTdttxTa⎰⎰-==-2/002/2/0cos)21(4cos)(2TTTndttntTTdttntxTaωω⎪⎨⎧===Λ,5,3,142sin422222nnnnπππ,式中由于x(t)是偶函数,tnsinω是奇函数,则tntxsin)(ω也是奇函数,而奇函数在上下限对称区间上的积分等于0。
故=nb0。
因此,其三角函数展开式如下:其频谱如下图所示:(2)复指数展开式复指数与三角函数展开式之间的关系如下:Aϕ⎰-=2/2/0sin)(2TTndttntxTbω∑∞=+=122cos1421)(ntnntxωπ∑∞=++=122)2sin(1421ntnnπωπ(n=1, 3, 5, …)单边幅频谱单边相频谱)( 21=212121n 22000=-===+====nn n e n m n n n n n a barctg C R C I arctg a A b a C a A C φ0 ωI m C nω0 3ω0 5ω0 -ω0 -3ω0 -5ω0虚频谱解:该三角形窗函数是一非周期函数,其时域数学描述如下:用傅里叶变换求频谱。
《测试技术》试题及参考答案一、传感器的分类有哪些?(30分)答:1.按被测量分类:位移、力、温度、压力、流量、速度传感器等。
2.按工作原理分类:机械式、电气式、光学式、流体式等。
3.按信号变换特征分类:物性型:依靠敏感元件本身的物理化学性质的变化实现信号变换。
如水银温度计、压电式传感器等。
结构型:依靠传感器结构参量的变化实现信号转换。
如电容式、电感式传感器等。
4.按能量变换关系分类:能量转换型(无源型传感器):直接由被测对象输入能量使其工作。
如热电偶温度计、弹性压力计、压电式传感器等。
能量转换型传感器存在负载效应。
能量控制型(有源型传感器):由外部辅助能量使其工作,并由被测量控制外部供给能量的变化。
如电桥式电阻应变计等。
能量控制型传感器本身参数的改变(电阻、电容、电感)不起换能作用。
传感器的换能元件可能不止一个(如电容式压力传感器),甚至是一个小型装置(如力反馈式加速度计)。
5.按输出信号分类:模拟式、数字式。
二、直线位移型变阻器式传感器如图,其工作原理与特点是什么?(30分)答:(1)直线位移型变阻器式传感器的工作原理是:如图,当改变触点C的位置时,AC间电阻值:R=kx1传感器灵敏度:k:单位长度内的电阻值。
l当导线均匀分布时,输出(电阻)与输入(位移)成线性关系。
(2)直线位移型变阻器式传感器的特点:优点:结构简单,性能稳定,使用方便,输出信号大,受外界条件影响小。
缺点:分辨力低,一般小于20μm。
因触点与绕线间存在摩擦,动态响应较差。
噪声大。
三、弯曲与轴向拉伸组合载荷下,要求消除轴向拉伸的影响,专门测试弯曲载荷,请布片接桥。
(40分)答:弯曲与轴向拉伸组合载荷下布片接桥如图所示,工作片在上、下表面粘贴,由加减特性可知,这样可以消除轴向拉伸的影响,专门测试弯曲载荷。
其中全桥接法的输出是半桥接法的二倍。
弯曲与轴向拉伸组合载荷下布片接桥示例中南大学网络教育课程考试《测试技术》答卷本人承诺:本试卷确为本人独立完成,若有违反愿意接受处理。
(一) 单选题1. 数字信号的特征是( )。
(A) 时间上离散、幅值上连续(B) 时间、幅值上均离散(C) 时间、幅值上都连续(D) 时间上连续、幅值上量化参考答案:(B)2.瞬变信号,其频谱,则表示( )。
(A) 信号的一个频率分量的能量(B) 信号沿频率轴的能量分布密度(C) 信号的瞬时功率(D) 信号的频率参考答案:(B)3.时间常数为的一阶装置,输入频率为的正弦信号,则其输出与输入间的相位差是( )。
(A)(B)(C)参考答案:(A)4. 如果一个信号的频谱是离散的,则该信号的频率成分是( )。
(A) 有限的(B) 无限的(C) 可能是有限,也可能是无限的(D) 唯一的参考答案:(C)5. 用常系数微分方程描述的系统称为( )系统。
(A) 相似(B) 物理(C) 力学(D) 线性参考答案:(D)6.二阶装置,用相频特性中时所对应的频率参考答案:(B)7.二阶系统的阻尼率越大,则其对阶跃输入时的响应曲线超调量( )。
(A) 越大(B) 越小(C) 不存在(D) 无关参考答案:(B)8. 线性装置的灵敏度是( )。
(A)随机变量 (B) 常数 (C)时间的线性函数 参考答案: (B)9. 不失真测试条件中,要求相频特性为( )。
(A)线性 (B) 常数 (C)是频率的函数 参考答案: (A)10.测试装置传递函数的分母与( )有关。
(A)输入量(B)输入点的位置 (C)装置的结构 参考答案: (C)11. 连续非周期信号的频谱是( )。
(A) 离散、周期的(B)离散、非周期的(C)连续非周期的(D) 连续、周期的参考答案: (C)12.若测试系统由两个环节并联而成,且环节的传递函数分别为,系统总的传统函数为( )。
(A)(B)(C)参考答案:(A)13.对某二阶系统输入周期信号,则其输出信号将保持( )。
(A) 幅值不变,频率、相位改变(B) 相位不变,幅值、频率改变(C) 频率不变,幅值、相位改变参考答案:(C)14. 下列微分方程中( )是线性系统的数学模型。
(A)(B)(C)参考答案:(B)15.若测试系统由两个环节串联而成,且环节的传递函数分别为,系统总的传统函数为( )。
(A) (B) (C)参考答案: (B)16. 测试装置的脉冲响应函数与它的频率响应函数间的关系是( )。
(A) 卷积(B) 傅氏变换对 (C) 拉氏变换对 (D) 微分参考答案: (B)17. 下列函数表达式中,( )是周期信号。
(A)(B)(C)(D)参考答案: (B)18. 复杂周期信号的频谱是( )。
(A) 离散的 (B)连续的(C) 函数 (D)函数参考答案: (A)19. 测试过程中,量值随时间而变化的量称为( )。
(A) 准静态量(B) 随机变量 (C) 动态量 (D) 不变量参考答案: (C)20. 下列信号中,( )信号的频谱是连续的。
(A)(B)(C)参考答案: (C21. 不失真测试条件中,要求幅频特性为( )。
(A)线性 (B) 常数 (C)是频率的函数 参考答案: (B)22.测试装置的频响函数是装置动态特性在( )中的描述。
(A)幅值域 (B) 时域 (C) 频率域 (D)复数域 参考答案:(C)23.两个函数,把运算式称为这两个函数的( )。
(A) 自相关函数(B) 互相关函数(C) 卷积(D) 矢量积参考答案: (C)24. 傅氏级数中的各项系数是表示各谐波分量的( )。
(A)相位 (B) 周期 (C) 振幅 (D)频率 参考答案: (C)25. 描述非周期信号的数学工具是( )。
(A) 三角函数(B) 拉氏变换 (C) 傅氏变换(D) 傅氏级数参考答案: (C)26. 不能用确定函数关系描述的信号是( )。
(A) 复杂周期信号(B) 瞬变信号 (C) 随机信号 (D) 正弦信号参考答案: (C)27. 一般来说,测试系统的灵敏度越高,则其测量范围( )。
(A)越宽 (B) 越窄 (C)不变 参考答案: (B)28. 对不变线性系统的频率响应函数等于( )。
(A)系统的正弦输出与正弦输入之比(B)系统稳态正弦输出的傅氏变换与正弦输入的傅氏变换之比 (C)用虚指数函数表示系统稳态正弦输出与正弦输入之比参考答案: (B)29. 测试装置能检测输入信号的最小变化能力,称为( )。
(A)精度 (B) 灵敏度 (C) 精密度 (D)分辨率 参考答案: (D)30. 线性系统的叠加原理表明( )。
(A)加于线性系统的各个输入量所产生的响应过程互不影响 (B)系统的输出响应频率等于输入激励的频率(C)一定倍数的原信号作用于系统所产生的响应,等于原信号的响应乘以该倍数 (D)2个线性系统叠加成为1个参考答案: (A)(二) 多选题1. Bode 图描述方法,包括有()。
(A) 对数幅频特性曲线(B) 幅频特性曲线 (C) 对数相频特性曲线 (D) 相频特性曲线参考答案: (AC)2. 傅立叶变换的主要特性有()。
(A) 幅频特性(B) 微分特性(C) 积分特性(D)线性叠加性(E) 相频特性参考答案: (BCD)3.周期方波信号如图,正确的说法有()。
(A)幅值为A(B)幅值为2A(C)幅值为0(D) 相位为0(E)相位为参考答案: (AD)4. 是周期信号的有()。
(A) 噪声信号(B) 正弦信号(C) 随机信号(D) 脉冲信号(E) 方波信号参考答案: (BE)5. 二阶系统的主要特征参数有()。
(A)静态灵敏度(B) 输入频率(C) 输出频率(D) 固有频率(E)阻尼率参考答案: (ADE)6. 测试装置的静态特性指标有()。
(A) 灵敏度(B) 测量范围(C)可测量次数(D) 回程误差(E) 非线性度参考答案: (ADE)7.信号x(t)=6sin2,输入=0.5的一阶装置,则该装置的稳态输出正确的有()。
(A)幅值A=3(B) 幅值A=6(C) 频率为2(D) 频率为2(E)相位滞后=-60(F)相位滞后=0 参考答案: (ACE)8. 描述测试装置动态特性的数学模型有()。
(A) 微分方程(B) 测量范围(C) 传递函数(D) 回程误差(E) 频率响应函数参考答案: (ACE)9. 为了求取测试装置本身的动态特性,常用的实验方法有()。
(A)频率响应法(B) 解微分方程法(C) 阶跃响应法(D) 线性叠加法(E) 计算机仿真参考答案: (AC)10. 测试装置的频率响应函数中有()。
(A)静态灵敏度(B) 幅频特性(C) 相频特性(D) 固有频率(E)阻尼率参考答案: (BC) 11.信号x(t)=1-e中,常量有()。
(A) x(B)(C)1(D) e(E)t 参考答案: (BCD)12. 线性系统中的特性有()。
(A) 幅频特性为常数(B) 输出与输入相等(C) 频率保持性(D) 线性叠加性(E) 可测性参考答案: (CD) 13.一阶系统的微分方程中,正确的说法有( )。
(A) 为常数(B) 为变数(C) 为常数(D)为变数参考答案: (AD)14. 描述测试信号的强度的有( )。
(A)有效值(B) 周期(C) 谐波次数(D) 均值(E) 绝对均值(F) 绝对值参考答案: (ADE)15. 周期方波信号的频域描述如下,包含的频率成分有()。
(A) 基频(B)2倍频(C) 3倍频(D) 1/2倍频 (E) 1/3倍频参考答案: (AC)(三) 判断题1. 周期信号是在一定的时间间隔内出现的周期现象。
()(A)对 (B)错 参考答案: (B)2. 信号反映被测系统的状态或特性的某些有用的信息。
一般是随时间变化的物理量。
()(A)对 (B)错 参考答案: (A)3. 均值为零的信号有效值很小。
()(A)对 (B)错 参考答案: (B)4. 对于各态历经的随机信号集合,其时间平均等于集合平均。
()(A) 对(B) 错参考答案:(A)5. 实函数的傅立叶变换还是实函数。
()(A) 对(B) 错参考答案:(B)6. 相频特性和幅频特性至少有1个是复函数。
()(A) 对(B) 错参考答案:(B)7. 峰值用于选择测试仪器的量程。
()(A) 对(B) 错参考答案:(A)8.相频特性是指:定常线性系统在正弦信号激励下,稳态输出信号与输入信号的相位差。
()(A) 对(B) 错参考答案:(A)9. 定常线性系统的输入信号放大时,输出信号也会变大。
()(A) 对(B) 错参考答案:(A)10.只反映系统传输特性,而和系统具体物理结构无关。
即同一形式的频率响应函数可表征具有相同传输特性的不同物理系统。
()(A) 对(B) 错参考答案:(A)。