华东师大数学分析习题解答1
- 格式:doc
- 大小:693.00 KB
- 文档页数:10
第四章函数的连续性第一节 连续性概念1.按定义证明下列函数在其定义域内连续:(1)x x f 1)(=; (2)x x f =)(。
证:(1)xx f 1)(=的定义域为 ),0()0,(+∞-∞=D ,当D x x ∈0,时,有0011x x x x x x -=- 由三角不等式可得:00x x x x --≥ , 故当00x x x <-时,有02011x x x x x x x x ---≤-对任意给的正数ε,取,01020>+=x x εεδ则0x <δ,当 D x ∈ 且δ<-0x x 时, 有 ε<-=-0011)()(x x x f x f 可见)(x f 在0x 连续,由0x 的任意性知:)(x f 在其定义域内连续。
(2) x x f =)(的定义域为),,(+∞-∞对任何的),(0+∞-∞∈x ,由于 00x x x x -≤-,从而对任给正数ε,取εδ=,当δ<-0x x 时, 有 =-)()(0x f x f 00x x x x -≤-ε< 故)(x f 在0x 连续,由0x 的任意性知,)(x f 在),(+∞-∞连续。
2.指出函数的间断点及类型: (1)=)(x f x x 1+; (2)=)(x f xx sin ; (3)=)(x f ]cos [x ; (4)=)(x f x sgn ; (5)=)(x f )sgn(cos x ;(6)=)(x f ⎩⎨⎧-为无理数为有理数x x x x ,,;(7)=)(x f ⎪⎪⎩⎪⎪⎨⎧+∞<<--≤≤--<<∞-+x x x x x x x 1,11sin )1(17,7,71解: (1))(x f 在0=x 间断,由于)1(lim xx x +∞→不存在,故0=x 是)(x f 的第二类间断点。
(2))(x f 在0=x 间断,由于 1sin lim )(lim 00==++→→xxx f x x , 1sin lim )(lim 00-=-=--→→xxx f x x 故0=x 是)(x f 的跳跃间断点。
《数学分析选论》习题解答第 一 章 实 数 理 论1.把§1.3例4改为关于下确界的相应命题,并加以证明. 证 设数集S 有下确界,且S S ∉=ξinf ,试证: (1)存在数列ξ=⊂∞→n n n a S a lim ,}{使;(2)存在严格递减数列ξ=⊂∞→n n n a S a lim ,}{使.证明如下:(1) 据假设,ξ>∈∀a S a 有,;且ε+ξ<'<ξ∈'∃>ε∀a S a 使得,,0.现依 次取,,2,1,1Λ==εn n n 相应地S a n ∈∃,使得Λ,2,1,=ε+ξ<<ξn a n n .因)(0∞→→εn n ,由迫敛性易知ξ=∞→n n a lim .(2) 为使上面得到的}{n a 是严格递减的,只要从2=n 起,改取Λ,3,2,,1min 1=⎭⎬⎫⎩⎨⎧+ξ=ε-n a n n n ,就能保证Λ,3,2,)(11=>ε+ξ≥ξ-+ξ=--n a a a n n n n . □2.证明§1.3例6的(ⅱ).证 设B A ,为非空有界数集,B A S ⋃=,试证:{}B A S inf ,inf m in inf =.现证明如下.由假设,B A S ⋃=显然也是非空有界数集,因而它的下确界存在.故对任何B x A x S x ∈∈∈或有,,由此推知B x A x inf inf ≥≥或,从而又有{}{}B A S B A x inf ,inf m in inf inf ,inf m in ≥⇒≥.另一方面,对任何,A x ∈ 有S x ∈,于是有S A S x inf inf inf ≥⇒≥;同理又有S B inf inf ≥.由此推得{}B A S inf ,inf m in inf ≤.综上,证得结论 {}B A S inf ,inf m in inf =成立. □3.设B A ,为有界数集,且∅≠⋂B A .证明: (1){}B A B A sup ,sup m in )sup(≤⋂; (2){}B A B A inf ,inf m ax )(inf ≥⋂. 并举出等号不成立的例子.证 这里只证(2),类似地可证(1).设B A inf ,inf =β=α.则应满足:β≥α≥∈∈∀y x B y A x ,,,有.于是,B A z ⋂∈∀,必有{}βα≥⇒⎭⎬⎫β≥α≥,max z z z , 这说明{}βα,max 是B A ⋂的一个下界.由于B A ⋂亦为有界数集,故其下确界存在,且因下确界为其最大下界,从而证得结论{}{}B A B A inf ,inf m ax inf ≥⋂成立.上式中等号不成立的例子确实是存在的.例如:设)4,3(,)5,3()1,0(,)4,2(=⋂⋃==B A B A 则,这时3)(inf ,0inf ,2inf =⋂==B A B A 而,故得{}{}B A B A inf ,inf m ax inf >⋂. □ 4.设B A ,为非空有界数集.定义数集{}B b A a b a c B A ∈∈+==+,,证明:(1)B A B A sup sup )sup(+=+; (2)B A B A inf inf )(inf +=+.证 这里只证(2),类似地可证(1).由假设,B A inf ,inf =β=α都存在,现欲证β+α=+)(inf B A .依据下确界定义,分两步证明如下:1)因为,,,,β≥α≥∈∈∀y x B y A x 有所以B A z +∈∀,必有β+α≥+=y x z .这说明B A +β+α是的一个下界.2)B y A x ∈∈∃>ε∀00,,0,使得2,200ε+β>ε+α>y x .从而ε+β+α>+∈+=∃)(,0000z B A y x z 使得,故B A +β+α是的最大下界.于是结论 B A B A inf inf )(inf +=+ 得证. □5.设B A ,为非空有界数集,且它们所含元素皆非负.定义数集{}B b A a ab c AB ∈∈==,,证明:(1)B A AB sup sup )sup(⋅=; (2)B A AB inf inf )(inf ⋅=. 证 这里只证(1),类似地可证(2).⎪⎩⎪⎨⎧⋅≤≤≤=≥≥∈∈∃∈∀,sup sup ,sup ,sup ,,)0,0(,,)(B A c B b A a ab c b a B b A a AB c 且使由于因此B A sup sup ⋅是AB 的一个上界.另一方面,B b A a ∈∈∃>ε∀00,,0,满足ε->ε->B b A a sup ,sup 00,故)(000AB b a c ∈=∃,使得εε-+-⋅>])sup sup ([sup sup 0B A B A c .由条件,不妨设0sup sup >+B A ,故当ε足够小时,εε-+=ε'])sup sup ([B A 仍为一任意小正数.这就证得B A sup sup ⋅是AB 的最小上界,即 B A AB inf inf )(inf ⋅= 得证. □*6.证明:一个有序域如果具有完备性,则必定具有阿基米德性.证 用反证法.倘若有某个完备有序域F 不具有阿基米德性,则必存在两个正元素F ∈βα,,使序列}{αn 中没有一项大于β.于是,}{αn 有上界(β就是一个),从而由完备性假设,存在上确界λ=α}sup{n .由上确界定义,对一切正整数n ,有α≥λn ;同时存在某个正整数0n ,使α-λ>α0n .由此得出α+<λ≤α+)1()2(00n n ,这导致与0>α相矛盾.所以,具有完备性的有序域必定具有阿基米德性. □7.试用确界原理证明区间套定理. 证 设{}],[n n b a 为一区间套,即满足:0)(lim ,1221=-≤≤≤≤≤≤≤≤∞→n n n n n a b b b b a a a ΛΛΛ.由于{}n a 有上界k b ,{}n b 有下界k a (+∈N k ),因此根据确界原理,存在{}{}β≤α=β=α且,inf ,sup n n b a .倘若β<α,则有Λ,2,1,0=>λ=α-β≥-n a b n n ,而这与0)(lim =-∞→n n n a b 相矛盾,故ξ=β=α.又因Λ,2,1,=≤β=α≤n b a n n ,所以ξ是一切],[n n b a 的公共点.对于其他任一公共点Λ,2,1,],[=∈ηn b a n n ,由于∞→→-≤η-ξn a b n n ,0 ,因此只能是η=ξ,这就证得区间套{}],[n n b a 存在惟一公共点. □8.试用区间套定理证明确界原理.证 设S 为一非空有上界的数集,欲证S 存在上确界.为此构造区间套如下:令 ],[],[011M x b a =,其中M S S x ,)(0∅≠∈Θ为S 的上界.记2111b a c +=,若1c 是S 的上界,则令],[],[1122c a b a =;否则,若1c 不是S 的上界,则令],[],[1122b c b a =.一般地,若记2nn n b a c +=,则令 Λ,2,1,,,],[,,],[],[11=⎩⎨⎧=++n S c b c S c c a b a n n n n nn n n 的上界不是的上界当是.如此得到的{}],[n n b a 显然为一区间套,接下来证明这个区间套的惟一公共点ξ即为S 的上确界.由于上述区间套的特征是:对任何+∈Νn ,n b 恒为S的上界,而n a 则不为S 的上界,故S x ∈∀,有n b x ≤,再由ξ=∞→n n b lim ,便得ξ≤x ,这说明ξ是S 的一个上界;又因ξ=∞→n n a lim ,故ε-ξ>∃>ε∀n a ,0,由于n a 不是S 的上界,因此ε-ξ更加不是S 的上界.根据上确界的定义,证得S sup =ξ.同理可证,若S 为非空有下界的数集,则S 必有下确界. □ 9.试用区间套定理证明单调有界定理.证 设{}n x 为递增且有上界M 的数列,欲证{}n x 收敛.为此构造区间套如下:令],[],[111M x b a =;类似于上题那样,采用逐次二等分法构造区间套{}],[n n b a ,使n a 不是{}n x 的上界,n b 恒为{}n x 的上界.由区间套定理,],[n n b a ∈ξ∃,且使ξ==∞→∞→n n n n b a lim lim .下面进一步证明 ξ=∞→n n x lim .一方面,由∞→≤k b x k n 取,的极限,得到Λ,2,1,lim =ξ=≤∞→n b x k k n .另一方面,ε-ξ>∈∃>ε∀+K a K 使,,0Ν;由于K a 不是{}n x 的上界,故K N a x >∃;又因{}n x 递增,故当N n >时,满足N n x x ≥.于是有N n x x a n N K >ξ≤<<<ε-ξ,,这就证得ξ=∞→n n x lim .同理可证{}n x 为递减而有下界的情形. □ 10*.试用区间套定理证明聚点定理.证 设S 为实轴上的一个有界无限点集,欲证S 必定存在聚点.因S 有界,故0>∃M ,使得M x ≤,S x ∈∀.现设],[],[11M M b a -=,则],[11b a S ⊂.然后用逐次二等分法构造一区间套{}],[n n b a ,使得每次所选择的],[n n b a 都包含了S 中的无限多个点.由区间套定理,],[n n b a ∈ξ∃,n ∀.最后应用区间套定理的推论,,0>ε∀当n 充分大时,使得],[n n b a );εξ⊂(U ;由于],[n n b a 中包含了S 的无限多个点,因此);(εξU 中也包含了S 的无限多个点,根据聚点定义,上述ξ即为点集S 的一个聚点. □ 11*.试用有限覆盖定理证明区间套定理.证 设{}],[n n b a 为一区间套,欲证存在惟一的点Λ,2,1,],[=∈ξn b a n n . 下面用反证法来构造],[11b a 的一个无限覆盖.倘若{}],[n n b a 不存在公共点ξ,则],[11b a 中任一点都不是区间套的公共点.于是,∈∀x ],[11b a ,使,],[n n b a ∃],[n n b a x ∉.即);(x x U δ∃与某个],[n n b a 不相交( 注:这里用到了],[n n b a 为一闭区间 ).当x 取遍],[11b a 时,这无限多个邻域构成],[11b a 的一个无限开覆盖:{}],[);(11b a x x U H x ∈δ=.依据有限覆盖定理,存在],[11b a 的一个有限覆盖:{}H N i x U U H i x i i ⊂=δ==,,2,1);(~Λ,其中每个邻域N i b a U ii n n i ,,2,1,],[Λ=∅=⋂.若令{}N n n n K ,,,max 21Λ=,则N i b a b a i i n n K K ,,2,1,],[],[Λ=⊂,从而N i U b a i K K ,,2,1,],[Λ=∅=⋂. (Ж) 但是Y Ni iU 1=覆盖了],[11b a ,也就覆盖了],[K K b a ,这与关系式(Ж)相矛盾.所以必定存在Λ,2,1,],[=∈ξn b a n n .(有关ξ惟一性的证明,与一般方法相同.) □12.设S 为非空有界数集.证明:S S y x Sy x inf sup ||sup ,-=-∈.证 设η<ξ=η=ξ且,sup ,inf S S ( 若η=ξ,则S 为单元素集,结论显然成立 ).记{}Sy x y x E ∈-=,||,欲证ξ-η=E sup .首先,S y x ∈∀,,有ξ-η≤-⇒η≤ξ≥||,y x y x ,这说明ξ-η是E 的一个上界.又因2,0ε-η>ε∀ ⎪⎭⎫ ⎝⎛ε+ξ2不再是S 的上()下界,故S y x ∈∃00,,使ε-ξ-η≥-⇒⎪⎭⎪⎬⎫ε+ξ<ε-η>)(||220000y x y x , 所以ξ-η是E 的最小上界,于是所证结论成立. □13.证明:若数集S 存在聚点ξ,则必能找出一个各项互异的数列{}S x n ⊂,使ξ=∞→n n x lim .证 依据聚点定义,对S U x ⋂εξ∈∃=ε);(,1111ο.一般地,对于⎭⎬⎫⎩⎨⎧-ξ=ε-1,1m in n n x n ,Λο,3,2,);(=⋂εξ∈∃n S U x n n .如此得到的数列{}S x n ⊂必定满足:Λ,3,2,||||11=≠⇒ξ-<ξ---n x x x x n n n n ;ξ=⇒∞→→<ξ-∞→n n n x n n x lim )(01||. □ 41*.设S 为实轴上的一个无限点集.试证:若S 的任一无限子集必有属于S 的聚点,则(1)S 为有界集;(2)S 的所有聚点都属于S .证 (1)倘若S 无上界,则对1111,,1M x S x M >∈∃=使;一般地,对于{}Λ,3,2,,,,max 1=>∈∃=-n M x S x x n M n n n n n 使.这就得到一个各项互异的点列{}∞=⊂∞→n n n x S x lim ,使.S 的这个无限子集没有聚点,与题设条件相矛盾,所以S 必有上界.同理可证S 必有下界,故S 为有界集.(2)因S 为有界无限点集,故必有聚点.倘若S 的某一聚点S ∉ξ0,则由聚点的性质,必定存在各项互异的数列{}0lim ,ξ=⊂∞→n n n x S x 使.据题设条件,{}n x 的惟一聚点0ξ应属于S ,故又导致矛盾.所以S 的所有聚点都属于S . □51*.证明:{}{}n n a a ∉ξ=sup ,则必有ξ=∞→n n a lim .举例说明,当上述ξ属于{}n a 时,结论不一定成立.证 利用§1.3 例4,{}{}n n a a k ⊂∃,使ξ=∞→k n n a lim ,这说明ξ是{}n a 的一个聚点.又因ξ又是{}n a 的上界,故{}n a 不可能再有比ξ更大的聚点.所以ξ是{}n a 的上极限.当{}n a ∈ξ时,结论不一定成立.例如,1,111sup ⎭⎬⎫⎩⎨⎧∈=⎭⎬⎫⎩⎨⎧n n 显然不是⎭⎬⎫⎩⎨⎧n 1的上极限. □61*.指出下列数列的上、下极限:(1){}n)1(1-+; (2)⎭⎬⎫⎩⎨⎧+-12)1(n n n; (3)⎪⎭⎪⎬⎫⎪⎩⎪⎨⎧πnn 3cos; (4)⎭⎬⎫⎩⎨⎧π+4sin 12n n n ;(5)⎪⎭⎪⎬⎫⎪⎩⎪⎨⎧π+n n n sin 12. 解(1)0lim ,2lim ,0,2122==≡≡∞→∞→-n n n n k k a a a a 故.(2))(211412,21142122∞→-→---=→+=-k k k a k ka k k ,故21lim ,21lim -==∞→∞→n n n n a a . (3))(13cos211∞→≤π≤←n n nn, 故 1lim lim lim ===∞→∞→∞→n n n n n n a a a .(4)⎪⎪⎪⎪⎪⎩⎪⎪⎪⎪⎪⎨⎧--=+⋅--=+-=+=+++=+⋅=π+=.38,18,12222,8,12,4,0,28,12,38,18,12224sin 12k k n n nk n n n k n k n n n k k n n n n n n a n故2lim ,2lim -==∞→∞→n n n n a a . (5))(sin )1(sin 1222∞→π→ππ⋅+π=π+=n nn nn nn n a n ,故π===∞→∞→∞→n n n n n n a a a lim lim lim . □71*.设{}n a 为有界数列,证明:(1)1lim )(lim =-=-∞→∞→n n n n a a ; (2)n n n n a a ∞→∞→-=-lim )(lim .证 由)(sup )(inf ,)(inf )(sup k nk k nk k nk k nk a a a a ≥≥≥≥-=--=-,令∞→n 取极限,即得结论(1)与(2). □81*.设0lim >∞→n n a ,证明:(1)nn n n a a ∞→∞→=lim 11lim; (2)nn n n a a ∞→∞→=lim 11lim;(3)若11limlim =⋅∞→∞→n n n n a a ,或11lim lim =⋅∞→∞→nn n n a a ,则{}n a 必定收敛.证 由)(sup 11inf ,)(inf 11sup k nk k n k kn k k n k a a a a ≥≥≥≥=⎪⎪⎭⎫ ⎝⎛=⎪⎪⎭⎫ ⎝⎛,令∞→n 取极限,即得结论(1)与(2).若11limlim =⋅∞→∞→n n n n a a ,则由(1)立即得到 n n n n a a ∞→∞→=lim lim ,因此极限n n a ∞→lim 存在,即得结论(3).类似地,若11limlim =⋅∞→∞→nn n n a a ,则由(2)同样可证得(3). □。
数学分析习题选解第一章 实数与函数 §1. 实数 习题Page. 41. 设a 为有理数,x 为无理数,证明:(1). a x +是无理数; (2)当0a ≠时,ax 是无理数。
证明:(用反证法) 3. 设,a b ∈R ,证明:若对任何正数ε有a b ε-<,则a b =。
证明:反证法,如果a b ≠,则取02a b ε-=>,有:a b ε-≥,矛盾。
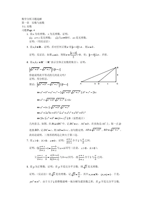
6. 设,,a b c +∈R (+R 表示全体正实数的集合),证明:b c ≤-你能说明此不等式的几何意义吗? 证明:用分析法,b c ≤-22222222a b a c b c b c ⇐+++-≤+-22a cb c⇐≤-22a b c⇐+422242222a a b c bc a a ca bb c⇐++≤+++ 222bc c b ⇐≤+()20b c ⇐-≥(显然成立)几何意义,如图,在R t A B C ∆中,记B C a =,A C b =,在直角边A C 上,取一点D连接B D ,记D C c =,则A D b c =-,由勾股定理,A B =,B D =此结论说明,三角形的两边之和大于第三边。
7. 设0x >,0b >,a b ≠。
证明:a x b x++介于1与a b之间。
证明:1a x a b b xb x+--=++与a b -同号(注意,0x >,0b >);又()()x b a a x a b xbb b x -+-=++与b a -同号,故a x b x++介于1与a b之间。
8. 设p 为正整数,证明:若p证明:(反证法)设m n=,其中,n m ∈N ,(,)1n m =,于是,22p n m =。
由于大于1的整数能唯一地分解为素因数之积,若p 不是完全平方数,ac b D CBA则p 的素因数分解式中,必有r 是p 的具有奇指数的素因数。
则22p n m =的左端有奇数个素因数r ,而右端没有,与分解的唯一性矛盾,证毕 补充题:证明任何二个不同的有理数之间必有无理数。
数学分析课本(华师大三版)-习题及答案01第一章实数集与函数习题§1实数1、设a 为有理数,x 为无理数。
证明:(1)a+ x 是无理数;(2)当a ≠0时,ax 是无理数。
2、试在数轴上表示出下列不等式的解:(1)x (2x -1)>0;(2)|x-1|<|x-3|;(3)1-x -12-x ≥23-x 。
3、设a 、b ∈R 。
证明:若对任何正数ε有|a-b|<ε,则a = b 。
4、设x ≠0,证明|x+x1|≥2,并说明其中等号何时成立。
5、证明:对任何x ∈R 有(1)|x-1|+|x-2|≥1;(2)|x-1|+|x-2|+|x-3|≥2。
6、设a 、b 、c ∈+R (+R 表示全体正实数的集合)。
证明|22b a +-22c a +|≤|b-c|。
你能说明此不等式的几何意义吗7、设x>0,b>0,a ≠b 。
证明x b x a ++介于1与ba 之间。
8、设p 为正整数。
证明:若p 不是完全平方数,则p 是无理数。
9、设a 、b 为给定实数。
试用不等式符号(不用绝对值符号)表示下列不等式的解:(1)|x-a|<|x-b|;(2)|x-a|< x-b ;(3)|2x -a|§2数集、确界原理1、用区间表示下列不等式的解:(1)|1-x|-x ≥0;(2)| x+x1|≤6;(3)(x-a )(x-b )(x-c )>0(a ,b ,c 为常数,且a<b<=""></b(4)sinx ≥22。
2、设S 为非空数集。
试对下列概念给出定义:(1)S 无上界;(2)S 无界。
3、试证明由(3)式所确定的数集S 有上界而无下界。
4、求下列数集的上、下确界,并依定义加以验证:(1)S={x|2x <2};(2)S={x|x=n !,n ∈+N };(3)S={x|x 为(0,1)内的无理数};(4)S={x|x=1-n 21,n ∈+N }。
152P.182 习题1.验证下列等式 (1)C x f dx x f +='⎰)()( (2)⎰+=C x f x df )()(证明 (1)因为)(x f 是)(x f '的一个原函数,所以⎰+='C x f dx x f )()(.(2)因为C u du +=⎰, 所以⎰+=C x f x df )()(.2.求一曲线)(x f y =, 使得在曲线上每一点),(y x 处的切线斜率为x 2, 且通过点)5,2(.解 由导数的几何意义, 知x x f 2)(=', 所以C x xdx dx x f x f +=='=⎰⎰22)()(.于是知曲线为C x y +=2, 再由条件“曲线通过点)5,2(”知,当2=x 时,5=y , 所以有 C +=225, 解得1=C , 从而所求曲线为12+=x y3.验证x x y sgn 22=是||x 在),(∞+-∞上的一个原函数. 证明 当0>x 时, 22x y =, x y ='; 当0<x 时, 22x y -=, x y -='; 当0=x 时, y的导数为02sgn lim 0sgn )2(lim020==-→→x x x x x x x , 所以⎪⎩⎪⎨⎧=<-=>='||0000x x xx x xy 4.据理说明为什么每一个含有第一类间断点的函数都没有原函数?解 由P.122推论3的证明过程可知:在区间I 上的导函数f ',它在I 上的每一点,要么是连续点,要么是第二类间断点,也就是说导函数不可能出现第一类间断点。
因此每一个含有第一类间断点的函数都没有原函数。
5.求下列不定积分⑴C x x x x dx x dx x xdx dx dx x x x +-+-=-+-=-+-⎰⎰⎰⎰⎰-31423233233421)11(153⑵C x x x dx x x x dx xx ++-=+-=-⎰⎰||ln 343)12()1(2332122⑶C gxC x gdx x ggxdx +=+⋅==⎰⎰-22212122121 ⑷⎰⎰⎰+⋅+=+⋅+=+dx dx dx x x x x x x x x)9624()3)32(22()32(222C x x x ++⋅+=9ln 96ln 624ln 4 ⑸C x dx x dx x +=-=-⎰⎰arcsin 23112344322⑹ C x dx x dx x x dx x x +-=+-=+-+=+⎰⎰⎰)arctan 1(31)111(31)1(311)1(322222 ⑺ C x x dx x xdx +-=-=⎰⎰tan )1(sec tan 22 ⑻C x x dx x dx x xdx +-=-=-=⎰⎰⎰)2sin 21(21)2cos 1(2122cos 1sin 2 ⑼ C x x dx x x dx xx x x dx x x x +-=+=--=-⎰⎰⎰cos sin )sin (cos sin cos sin cos sin cos 2cos 22 ⑽C x x dx x x dx x x x x dx x x x +--=-=⋅-=⋅⎰⎰⎰tan cot )cos 1sin 1(sin cos sin cos sin cos 2cos 22222222 ⑾ C C dt dt tt ttt+=+⋅⋅=⋅=⋅⎰⎰90ln 90)910ln()910()910(3102 ⑿C x dx x dx x x x +==⎰⎰81587158⒀C x dx xdx x x x x dx x x x x +=-=--+-+=+-+-+⎰⎰⎰arcsin 212)1111()1111(222154⒁C x x xdx dx dx x dx x x +-=+=+=+⎰⎰⎰⎰2cos 212sin 1)2sin 1()sin (cos 2⒂C x x dx x x xdx x ++=+=⎰⎰)sin 3sin 31(21)cos 3(cos 212cos cos ⒃ C e e e e dx e e e e dx e e x xx x x x x x x x ++--=-+-=------⎰⎰33333313331)33()(P.188 习题1.应用换元积分法求下列不定积分:⑴C x x d x dx x ++=++=+⎰⎰)43sin(31)43()43cos(31)43cos( ⑵ C e x d e dx xe x x x +==⎰⎰222222241)2(41⑶ C x x x d x dx ++=++=+⎰⎰|12|ln 2112)12(2112⑷ C x n x d x dx x n nn +++=++=++⎰⎰1)1(11)1()1()1(⑸Cx x xd xdx x dx xx++=-+-=-+-⎰⎰⎰3arcsin 313arcsin 3)3113131)31131(2222⑹C C x d dx x x x x +=+=+=++++⎰⎰2ln 22ln 22)32(221222323232⑺C x C x x d x dx x +--=+-⋅-=---=-⎰⎰232321)38(92)38(3231)38()38(3138 ⑻C x C x x d x x dx+--=+-⋅-=---=-⎰⎰-3232313)57(103)57(2351)57()57(5157 ⑼C x dx x dx x x +-==⎰⎰2222cos 21sin 21sin ⑽ C x x x d x dx++-=++=+⎰⎰)42cot(21)42(sin )42(21)42(sin 22ππππ155⑾ 解法一:C xxx d x dxx dx+===+⎰⎰⎰2tan2cos 22cos 2cos 122解法二: ⎰⎰⎰⎰-=--=+xxdxx dx x dx x x dx 222sin cos sin cos 1)cos 1(cos 1 C x x xx d x ++-=--=⎰sin 1cot sin sin cot 2⑿解法一:利用上一题的结果,有C x C x x x d x dx +--=+--=-+--=+⎰⎰)24tan()2(21tan )2cos(1)2(sin 1πππ 解法二: C x x xx d x dx x dx x x dx +-=+=--=+⎰⎰⎰⎰cos 1tan cos cos cos sin 1)sin 1(sin 1222 解法三:⎰⎰⎰+⋅=+=+222)12(tan 2cos )2cos 2(sin sin 1x x dxx x dx x dx C x x x d ++-=+=⎰12tan 2)12(tan 2tan 22⒀ 解法一:⎰⎰⎰---=-=)2()2sec()2sec(csc x d x dx x xdx πππC x x C x x ++-=+-+--=|cot csc |ln |)2tan()2sec(|ln ππ解法二:C x x x x d dx x x dx x xdx ++-=-===⎰⎰⎰⎰1cos 1cos ln 211cos cos sin sin sin 1csc 22C x x +-=|cot csc |ln解法三:⎰⎰++=dx x x x x x xdx cot csc )cot (csc csc cscC x x C xx x x d ++-=+++-=⎰|cot csc |ln cot csc )cot (csc解法四:⎰⎰⎰==dx x x xdx x x xdx 2cos2sin 22sin2cos 2sin 21csc 2156C xC x x d x +=+-=-=⎰|2tan |ln |2cot |ln 2cot 2cot 1⒁C x x d x dx x x +--=---=-⎰⎰22221)1(11211 ⒂ C x dx x dx x x +=+=+⎰⎰2arctan 41)(4121422224⒃C x x x d x x dx +==⎰⎰|ln |ln ln ln ln⒄ C x x d x dx x x +-=---=-⎰⎰25535354)1(1101)1()1(151)1( ⒅ C x x C x x dx x dx x x ++-=++-⋅=-=-⎰⎰|22|ln 281|22|ln 221412)(1412444442483⒆C xx C x x dx x x x x dx ++=++-=+-=+⎰⎰|1|ln |1|ln ||ln )111()1( ⒇C x dx xxxdx +==⎰⎰|sin |ln sin cos cot (21)⎰⎰⎰-==x d x xdx x xdx sin )sin 1(cos cos cos 2245 C x x x x d x x ++-=+-=⎰5342sin 51sin 32sin sin )sin sin 21((22) 解法一:C x x x x d x x dx +-==⎰⎰|2cot 2csc |ln 2sin )2(cos sin解法二:C x x xd x x xdx x x dx +===⎰⎰⎰|tan |ln tan tan cos sin cos cos sin 2 解法三:⎰⎰+=xx dxx x x x dx cos sin )cos (sin cos sin 22C x x dx xxx x +-=+=⎰|cos |ln |sin |ln )sin cos cos sin (157(23) C e e de e dx e e e dx xx x x x x x+=+=+=+⎰⎰⎰-arctan 1122 (24) C x x x x x x d dx x x x ++-=+-+-=+--⎰⎰|83|ln 83)83(83322222(25) C x x x dx x x x dx x x x dx x x ++-+++=+++-+=+++-+=++⎰⎰⎰2323232)1(2312|1|ln ))1(3)1(211()1(3)1(2)1()1(2(26)⎰+22ax dx解 令t a x tan =, 则C a x x C t t t a tdt a a x dx+++=++==+⎰⎰||ln |tan sec |ln sec sec 221222(27)C a x x a a x x d a a x dx ++=+=+⎰⎰21222212222322)(1)(1)(解法2 令t a x tan =, 则C ax a x C t a tdt a t a tdt a a x dx ++=+===+⎰⎰⎰222223322322sin 1cos 1sec sec )( (28)⎰-dx xx 251解 令t x sin =, 则Cx x x C t t t td t tdt dt t t t dx x x +---+--=+-+-=--===-⎰⎰⎰⎰25223221253225525)1(51)1(32)1(cos 51cos 32cos cos )cos 1(sin cos cos sin 1(29)⎰-dx xx31解 令t x =61, 则6t x =, 56t dx =158Ct t t t t t dt t t t t dt tt t t t dt t t t dt t t dx x x++--+++-=-++++-=-++++-=-+-=-⋅=-⎰⎰⎰⎰⎰|11|ln 26)357(6)11)1((611)1)(1(6111)(61613572246224622422533其中61x t = (30)⎰++-+dx x x 1111解 令t x =+1, 则21t x =+, tdt dx 2=,Cx x x C x x x C t t t dt t t dt t t t tdt t tdt t t dx x x +++++-=+++++-+=+++-=++-=+-=+-=+-=++-+⎰⎰⎰⎰⎰|11|ln 414|11|ln 4141|1|ln 44)1442()142(2)121(21111111122.应用分部积分法求下列不定积分: ⑴C x x x dx x x x x xdx +-+=--=⎰⎰221arcsin 1arcsin arcsin⑵C x x x dx x x x x xdx +-=⋅-=⎰⎰ln 1ln ln⑶Cx x x x x xdx x x x x x xd x x xdx x x x x d x xdx x +-+=-+=+=-==⎰⎰⎰⎰⎰sin 2cos 2sin cos 2cos 2sin cos 2sin sin 2sin sin cos 222222 ⑷ C x x x dx x x x x xd dx x x +--=+-=-=⎰⎰⎰223223412ln 121ln 211ln 21ln ⑸C x x x x x xdx x x dx x ++-=-=⎰⎰2ln 2)(ln ln 2)(ln )(ln 222 ⑹ ⎰⎰⎰+-==dx xx x x xdx xdx x 2222121arctan 21arctan 21arctan C x x x x dx x x x +--=+--=⎰)arctan (21arctan 21)111(21arctan 21222 C x x x +-+=21arctan )1(212159⑺ ⎰⎰⎰+=+dx x dx x dx x x ln 1)ln(ln ]ln 1)[ln(ln C x x dx xdx x x x x x +=+⋅-=⎰⎰)ln(ln ln 1ln 1)ln(ln⑻⎰⎰--=dx xx x x x dx x 2221arcsin 2)(arcsin )(arcsin⎰-+=221arcsin 2)(arcsin x xd x x ⎰----+=dx xx x x x x 22221112arcsin 12)(arcsinC x x x x x +--+=2arcsin 12)(arcsin 22⑼⎰⎰⎰-==xdx x x x x xd xdx 23tan sec tan sec tan sec sec⎰⎰⎰+-=--=xdx xdx x x dx x x x x sec sec tan sec )1(sec sec tan sec 32 |tan sec |ln sec tan sec 3x x xdx x x ++-=⎰所以C x x x x xdx +++=⎰|)tan sec |ln tan sec 21sec 3 ⑽⎰⎰+⋅-+=+dx ax x x a x x dx a x 222222⎰+-+-+=dx ax a a x a x x )(2222222⎰⎰+++-+=dx ax a dx a x a x x 2222222)ln(2222222a x x a dx a x a x x ++++-+=⎰所以C a x x a a x x dx a x +++++=+⎰))ln((212222222 类似地可得C a x x a a x x dx a x +-+--=-⎰))ln((212222222 3.求下列不定积分:160⑴ C x f a x df x f dx x f x f a aa++=='+⎰⎰1)]([11)()]([)()]([ ⑵C x f x df x f dx x f x f +=+=+'⎰⎰)(arctan )()]([11)]([1)(22⑶C x f x f x df dx x f x f +=='⎰⎰|)(|ln )()()()( ⑷ C e x df e dx x f e x f x f x f +=='⎰⎰)()()()()(4.证明:⑴ 若⎰=dx x I n n tan , ,3,2=n ,则21tan 11----=n n n I x n I 证 ⎰⎰⎰----=-=dx x dx x x dx x x I n n n n 22222tan sec tan )1(sec tan22tan tan ---=⎰n n I x d x .因为⎰⎰-----=x d x n x x d x n n n tan tan )2(tan tan tan 212,所以x n x d x n n 12tan 11tan tan ---=⎰. 从而21tan 11----=n n n I x n I . ⑵ 若⎰=dx x x n m I n m sin cos ),(,则当0≠+n m 时,),2(1sin cos ),(11n m I nm m n m x x n m I n m -+-++=+-)2,(1sin cos 11-+-++-=-+n m I nm n n m x x n m , ,3,2,=m n证 ⎰⎰+-+==x d x n dx x x n m I n m nm 11sin cos 11sin cos ),( ]sin cos )1(sin [cos 112211⎰+-+--++=dx x x m x x n n m n m ])cos 1(sin cos )1(sin [cos 112211⎰--++=-+-dx x x x m x x n n m n m ))],(),2()(1(sin [cos 1111n m I n m I m x x n n m ---++=+-161所以),2(1sin cos ),(11n m I n m m n m x x n m I n m -+-++=+-, 同理可得)2,(1sin cos ),(11-+-++-=-+n m I nm n n m x x n m I n mP.199 习题1.求下列不定积分:⑴ ⎰⎰⎰-+++=-+-=-dx x x x dx x x dx x x )111(1111233 C x x x x +-+++=|1|ln 2323 ⑵ 解法一:C x x dx x x dx x x x +--=---=+--⎰⎰|3|)4(ln )3142(127222解法二:⎰⎰⎰+-++--=+--dx x x dx x x x dx x x x 12732112772211272222 ⎰⎰---++-+-=)27(41)27(123127)127(21222x d x x x x x dC x x x x +--++-=34ln 23|127|ln 212 ⑶ 解22311)1)(1(111xx CBx x A x x x x +-+++=+-+=+ 去分母得 )1)(()1(12x C Bx x x A ++++-=令1-=x ,得1=A . 再令0=x ,得1=+C A ,于是32=C . 比较上式两端二次幂的系数得 0=+B A ,从而1-=B ,因此⎰⎰⎰+---+=+dxx x x x dx x dx 2312311311162⎰⎰+-++---+=dx x x dx x x x x 22112111261|1|ln 31⎰+-++--+=dx x x x x 43)21(121)1ln(61|1|ln 3122C x x x x +-++-+=312arctan 311)1(ln 6122 ⑷ 解 ⎰⎰⎰⎰+--++=+--+=+dx xx dx x x dx x x x x dx 42424224112111211)1()1(211 ⎰⎰⎰⎰++-+-=+--++=22222222221)1(211)1(211112111121x x x x d x x x x d dx x x x dx x x x⎰⎰-++-+--=2)1()1(212)1()1(2122xx x x d x x x x d C xx x x x x +++-+--=2121ln 24121arctan221C x x x x x x ++++---=1212ln 8221arctan 42222 ⑸⎰+-22)1)(1(x x dx解 令22222)1(11)1)(1(1++++++-=+-x EDx x C Bx x A x x , 解得41=A , 41-==CB , 21-==E D , 于是 ⎰⎰⎰⎰++-++--=+-dx x x dx x x x dx x x dx 22222)1(1211141141)1)(1(163C x x x x x x x +++-++-+--=)1(arctan 411141arctan 41)1ln(81|1|ln 41222 C x x x x x ++-+-+-=)11arctan 21|1|(ln 4122⑹⎰⎰⎰++-+++=++-dx x x dx x x x dx x x x 222222)122(125)122(2441)122(2 其中1221)122()122()122(24222222++-=++++=+++⎰⎰x x x x x x d dx x x x ⎰⎰⎰+++=++=++)12(]1)12[(12]1)12[(4)122(1222222x d x dx x dx x x)12arctan(1)12(122+++++=x x x 参见教材P.186 例9或P.193关于k I 的递推公式⑺. 于是,有C x x x x x dx x x x ++-+++-++-=++-⎰)12arctan(251)12(1225122141)122(22222 C x x x x ++-+++=)12arctan(25)122(23522.求下列不定积分⑴⎰-x dx cos 35解 令2tan xt =,则C t t t d tdt t dt t t dx x dx+=+=+=++--=-⎰⎰⎰⎰2arctan 21)2(1)2(2141121135cos 3522222 C x+=)2tan 2arctan(21 ⑵⎰⎰⎰⎰+=+=+=+)tan 32(tan cos )tan 32(sin 3cos 2sin 2222222x xd x x dx x x dx x dx164C x x x d +=+=⎰)tan 23arctan(61)tan 231()tan 23(612 ⑶ ⎰⎰⎰++-+=+=+dx xx xx x x x x xdx x dx sin cos cos sin sin cos 21sin cos cos tan 1 )sin cos )cos (sin (21)sin cos cos sin 1(21⎰⎰⎰+++=++-+=x x x x d dx dx x x x x C x x x +++=|)sin cos |ln (21另解:设⎰+=x x xdx I sin cos cos 1,⎰+=x x xdxI sin cos sin 2,则C x dx x x xx I I +=++=+⎰sin cos sin cos 21,C x x x x x x d dx x x x x I I ++=++=+-=-⎰⎰|sin cos |ln sin cos )sin (cos sin cos sin cos 21所以C x x x I x dx +++==+⎰|)sin cos |ln (21tan 11⑷⎰⎰⎰-+++-+-=-+22221)1(11xx dx x dx x x dx xx x⎰⎰⎰-++-++---+-=2221231)12(211x x dxx x dx x dx x x其中(利用教材P.185例7的结果)]1)21(512arcsin 45[21)21(451222x x x x dx x dx x x -+-+-=--=-+⎰⎰ 2222121)1(1)12(x x x x x x d x x dx x -+=-+-+=-++-⎰⎰512arcsin)21(45122-=--=-+⎰⎰x x dxxx dx所以有165⎰-+dx xx x 221C x x x x x x x +-+-+--+-+--=512arcsin 231221]1)21(512arcsin 45[2122C x x x x +-++--=21432512arcsin 87 ⑸C x x x x x d xx dx ++++=-++=+⎰⎰|21|ln 41)21()21(222⑹⎰+-dx xxx 1112 解 令 x x t +-=11,则2211tt x +-=,22)1(4t tdtdx +-=,代入原式得 ⎰⎰⎰⎰---=--=+-⋅⋅⎪⎪⎭⎫ ⎝⎛-+=+-dt t t dt t t dt t t t t t dx x xx 222222222222)1(114)1(4)1(411111⎰⎰⎰⎰-+-++--=---=dt t t t dt t dt t dt t ]12)1(1)1(1[114)1(141142222222C t t t t dt t t dt t +++---+=-++--=⎰⎰1111|11|ln ])1(1)1(1[112222 C xx x x +---+=221|11|ln总 练 习 题求下列不定积分: ⑴C x x x dx x xx dx xx x +--=--=--⎰⎰-4312134541121414334132454)2(12166⑵]11arcsin [21arcsin 21arcsin 2222⎰⎰⎰--==dx x x x x dx x dx x x 其中)2sin 21(2122cos 1cos cos sin 1222t t dt t dt t t t dx x x -=-==-⎰⎰⎰)1(arcsin 212x x x --=所以]11arcsin [21arcsin 222⎰⎰--=dx xx x x dx x xC x x x x x +---=)]1(arcsin 21arcsin [2122 C x x x x x +-+-=22141arcsin 41arcsin 21 ⑶⎰+xdx 1解 令u x =,则udu dx 2=C u u du uu udu xdx ++-=+-=+=+⎰⎰⎰|)1|ln (2)111(2121 C x x ++-=|)1|ln (2⑷⎰⎰⎰⎰===xx x x de x x d x e dx x x e dx x e sin sin sin sin sin 2sin sin 2cos sin 22sin C x e C e x e x d e x e x x x x x +-=+-=-=⎰)1(sin 2)sin (2)sin sin (2sin sin sin sin sin⑸C x e C e u e du u e u x dx e x u u u x+-=+-==⎰⎰)1(2)(22)(令 ⑹C x x d x x x dx x xdx +-=--=-=-⎰⎰⎰1arcsin )1(1111112222 解法二:令t x sec =,C xC t dt t t t t x xdx +=+==-⎰⎰1arccos tan sec tan sec 12167⑺⎰⎰⎰++=+-=+-x x x x d dx x x x x dx x x sin cos )sin (cos sin cos sin cos tan 1tan 1C x x ++=|sin cos |lnC x dx x dx x x +-=-=+-⎰⎰|)4cos(|ln )4tan(tan 1tan 1ππ ⑻ C x x x dx x x x dx x x x +-----=-+-+-=--⎰⎰23232)2(123|2|ln )2(2)2(3)2()2( ⑼C x x x d x xdx x x dx ++=+==⎰⎰⎰32224tan 31tan tan )tan 1(cos sec cos ⑽ ⎰⎰⎰-==dx x dx x dx x 2224)22cos 1()(sin sin⎰⎰++-=+-=dx x x dx x x )24cos 12cos 21(41)2cos 2cos 21(412 C x x x C x x x x ++-=+++-=4sin 3212sin 4183)84sin 22sin (41 ⑾ ⎰+--dx x x x 43523 解⎰⎰-+-=+--dx x x x dx x x x 223)2)(1(5435令22)2(21)2)(1(5-+-++=-+-x C x B x A x x x去分母得:)1()2)(1()2(52++-++-=-x C x x B x A x 解得:32-=A ,32=B ,1-=C 所以⎰⎰⎰⎰---++-=+--dx x dx x dx x dx x x x 223)2(121321132435 C x x x +-++-=21|12|ln 32 ⑿⎰+dx x )1arctan(解 令u x =+1,du u dx )1(2-=168⎰⎰⎰⎰-⋅=-⋅=+du u du u u du u u dx x arctan 2arctan 2)1(2arctan )1arctan(122)1ln(arctan 2]arctan )1[(C u u u u u u +++--+= C x x x x x ++++-+=)22ln()1arctan(⒀ ⎰⎰⎰+-=+-+=+dx x x x dx x x x x dx x x )22(2222433433747 C x x ++-=)2ln(214144 另解:C x x dx x dx x x x dx x x ++-=+-=+⋅=+⎰⎰⎰)2ln(2141)221(4122444443447 ⒁⎰++dx x x x2tan tan 1tan 解 令u x =tan⎰⎰⎰⎰++-+=+++=++du u u du u du u u u u dx x x x 222221111111tan tan 1tanC x x C u u ++-=++-=31tan 2arctan32312arctan32arctan⒂ ⎰⎰-+---=-dx x x x dx x x 10021002)1(1)1(2)1()1( C x x x +-+---=979899)1(971)1(491)1(991 ⒃⎰⎰⎰-+-=-=dx x x xx x d x dx x x 2211arcsin 1arcsin arcsin C xx x x +-+--=|11|ln arcsin 2⒄⎰⎰⎰--+=--+=-+2)]1ln()1[ln(21)]1ln()1[ln(11lndx x x dx x x x dx x x x C x xxx dx x x x x x x ++-+-=-++---+=⎰11ln 21)1111(21)]1ln()1[ln(21222169⒅⎰⎰⎰+==x d xx dx xx dx xx tan tan tan 1cos tan 1cos sin 1247C x x ++=)tan 511(tan 22⒆ ⎰⎰⎰⎰+-++=+-+=+-dx x x e dx x e dx x x x e dx x x e xx x x22222222)1(21)1(21)11( C xe dx x e x e dx x e x d e dx x e x x x x x x ++=+-+++=+++=⎰⎰⎰⎰2222221111111 ⒇ ⎰=dx uv I n n ,x b a u 11+=,x b a v 22+=解 ][221211⎰⎰⎰--===dx v b u n u v b u d v b dx uv I n nn n n ])([2][21122111121⎰⎰---+-=-=dx uv b a b a v b n u v b dx u uv b n u v b n nn n ])([21122111----=n n nI b a b a n I nb u v b 所以])([)12(2112211---+=n n n I b a b a n u v b n I。
第14章幂级数§1幂级数1.求下列幂级数的收敛半径与收敛区域:解:(1)因故收敛半径R=1,收敛区间为(-1,1).又时,级数与级数均发散,故收敛域为(-1,1).(2)因为故收敛半径收敛区间为(-2,2).当时,级数收敛,故收敛域为[-2,2].(3)记所以,则收敛半径R=4.当时,级数为,通项为u故,即时级数发散,故收敛域为(-4,4).(4)因故收敛半径为收敛域为(5)设则故对任取定的x,有<1,故级数的收敛半径为收敛域为(6)设,则故级数收敛半径故,从而收敛区间为当时,原级数可化为对于级数,因为故级数收敛,又收敛,故时,原级数收敛.当时,原级数可化为因级数收敛,而级数发散,故时原级数发散,从而收敛域为(7)设故收敛半径,故时,原级数是发散的,从而收敛域为(-1,1).(8)设,则因此级数在时收敛,时发散,从而可得收敛半径R=1,收敛区域为[-1,1].2.应用逐项求导或逐项求积方法求下列幂级数的和函数(应同时指出它们的定义域):解:(1)设时,级数收敛,故原级数的收敛半径R =1.又当时,原级数可化为发散,从而得收敛域为(-1,1).设内逐项求导,得故和函数(2)记因为所以,收敛区域为(-1,1).因为所以(3)记则收敛区域为(-1,1).因为所以所以,因此3.证明:设在内收敛,若也收敛,则(注意:这里不管在x=R是否收敛),应用这个结果证明:证明:因在内收敛,所以有又x=R时,级数收敛,从而由定理14.6知的和函数在x=R 处左连续,从而又因为内收敛,且级数收敛,所以4.证明:(1)满足方程(2)满足方程证明:(1)设故,从而幂级数的收敛区间为,且y可在内任意阶可导,所以(2)设,故所以幂级数的收敛区间为且和函数y在具有任意阶导数,由,可得所以又由5.证明:设f为幂级数(2)在(-R,R)上的和函数,若f为奇函数,则级数(2)仅出现奇次幂的项,若f为偶函数,则(2)仅出现偶次幂的项.证明:由可得当f(x)为奇函数时,故此时有当f(x)为偶函数时,,故此时有6.求下列幂级数的收敛域:解:(1)设故收敛半径,又当故原幂级数在|x|=R时发散,收敛域为(-R,R).(2)设,则,故收敛半径为时,所以原级数在时发散,故收敛域为7.证明定理14.3并求下列幂级数的收敛半径:证明:对任意的x,据定理12.8推论2可得:。
华东师大数学分析答案完整版一、填空题1. 极限的定义是当自变量趋近于某个值时,函数的值趋近于另一个确定的值。
2. 函数在某一点连续的充分必要条件是左极限、右极限和函数值在该点相等。
3. 无穷小量与无穷大量的关系是无穷小量的倒数是无穷大量,无穷大量的倒数是无穷小量。
4. 函数的导数表示函数在某一点的瞬时变化率。
5. 微分表示函数在某一点的微小变化量。
6. 函数的积分表示函数在某个区间上的累积变化量。
7. 变限积分的导数是原函数的导数。
8. 无穷级数的收敛性可以通过比较判别法、比值判别法等方法进行判断。
9. 函数的泰勒级数表示函数在某一点的幂级数展开。
10. 傅里叶级数表示周期函数的三角级数展开。
二、选择题1. 下列函数中,连续的是(A)。
A. f(x) = x^2B. f(x) = 1/xC. f(x) = sin(x)D. f(x) = |x|2. 下列极限中,存在的是(B)。
A. lim(x→0) 1/xB. lim(x→∞) x^2C. lim(x→0) sin(x)/xD. lim(x→∞) e^(x)3. 下列函数中,可导的是(A)。
A. f(x) = x^3B. f(x) = |x|C. f(x) = sin(1/x)D. f(x) = x^(1/3)4. 下列积分中,收敛的是(C)。
A. ∫(1/x) dxB. ∫(1/x^2) dxC. ∫(e^(x)) dxD. ∫(1/x^3) dx5. 下列级数中,收敛的是(B)。
A. ∑(1/n)B. ∑(1/n^2)C. ∑(1/n^3)D. ∑(1/n^4)三、解答题1. 求函数 f(x) = x^3 3x + 2 在 x = 1 处的导数。
解答:f'(x) = 3x^2 3,代入 x = 1,得 f'(1) = 0。
2. 求不定积分∫(e^x) dx。
解答:∫(e^x) dx = e^x + C,其中 C 为任意常数。
第四章函数的连续性第一节连续性概念1.按定义证明下列函数在其定义域内连续:(1); (2)。
x x f 1)(=x x f =)( 证:(1)的定义域为,当时,有xx f 1)(= ),0()0,(+∞-∞=D D x x ∈0,由三角不等式可得: ,0011x x x x x x -=-00x x x x --≥ 故当时,有00x x x <-002011x x x x x x x x ---≤- 对任意给的正数,取则,当 且时,ε,01020>+=x x εεδ0x <δD x ∈δ<-0x x 有ε<-=-0011)()(x x x f x f 可见在连续,由的任意性知:在其定义域内连续。
)(x f 0x 0x )(x f (2) 的定义域为对任何的,由于x x f =)(),,(+∞-∞),(0+∞-∞∈x,从而对任给正数,取,当时,00x x x x -≤-εεδ=δ<-0x x 有 =-)()(0x f x f 00x x x x -≤-ε< 故在连续,由的任意性知,在连续。
)(x f 0x 0x )(x f ),(+∞-∞2.指出函数的间断点及类型: (1); (2); (3);=)(x f xx 1+=)(x f x x sin =)(x f ]cos [x (4); (5);=)(x f x sgn =)(x f )sgn(cos x (6);(7)=)(x f ⎩⎨⎧-为无理数为有理数x x x x ,,=)(x f ⎪⎪⎩⎪⎪⎨⎧+∞<<--≤≤--<<∞-+x x x x x x x 1,11sin )1(17,7,71解: (1)在间断,由于不存在,故是的第二类间断点。
)(x f 0=x 1(lim xx x +∞→0=x )(x f(2)在间断,由于 ,)(x f 0=x 1sin lim )(lim 0==++→→xxx f x x故是的跳跃间断点。
P.182 习题1.验证下列等式 (1)C x f dx x f +='⎰)()( (2)⎰+=C x f x df )()(证明 (1)因为)(x f 是)(x f '的一个原函数,所以⎰+='C x f dx x f )()(.(2)因为C u du +=⎰, 所以⎰+=C x f x df )()(.2.求一曲线)(x f y =, 使得在曲线上每一点),(y x 处的切线斜率为x 2, 且通过点)5,2(.解 由导数的几何意义, 知x x f 2)(=', 所以C x xdx dx x f x f +=='=⎰⎰22)()(.于是知曲线为C x y +=2, 再由条件“曲线通过点)5,2(”知,当2=x 时,5=y , 所以有 C +=225, 解得1=C , 从而所求曲线为12+=x y3.验证x x y sgn 22=是||x 在),(∞+-∞上的一个原函数. 证明 当0>x 时, 22x y =, x y ='; 当0<x 时, 22x y -=, x y -='; 当0=x 时, y的导数为02sgn lim 0sgn )2(lim020==-→→x x x x x x x , 所以⎪⎩⎪⎨⎧=<-=>='||0000x x xx x xy 4.据理说明为什么每一个含有第一类间断点的函数都没有原函数?解 由P.122推论3的证明过程可知:在区间I 上的导函数f ',它在I 上的每一点,要么是连续点,要么是第二类间断点,也就是说导函数不可能出现第一类间断点。
因此每一个含有第一类间断点的函数都没有原函数。
5.求下列不定积分⑴C x x x x dx x dx x xdx dx dx x x x +-+-=-+-=-+-⎰⎰⎰⎰⎰-31423233233421)11(⑵C x x x dx x x x dx xx ++-=+-=-⎰⎰||ln 343)12()1(2332122⑶C gxC x gdx x ggxdx +=+⋅==⎰⎰-22212122121 ⑷⎰⎰⎰+⋅+=+⋅+=+dx dx dx x x x x x x x x )9624()3)32(22()32(222 C x x x ++⋅+=9ln 96ln 624ln 4 ⑸C x dx x dx x +=-=-⎰⎰arcsin 23112344322⑹ C x dx x dx x x dx x x +-=+-=+-+=+⎰⎰⎰)arctan 1(31)111(31)1(311)1(322222 ⑺ C x x dx x xdx +-=-=⎰⎰tan )1(sec tan 22 ⑻C x x dx x dx x xdx +-=-=-=⎰⎰⎰)2sin 21(21)2cos 1(2122cos 1sin 2 ⑼ C x x dx x x dx xx x x dx x x x +-=+=--=-⎰⎰⎰cos sin )sin (cos sin cos sin cos sin cos 2cos 22 ⑽C x x dx x x dx x x x x dx x x x +--=-=⋅-=⋅⎰⎰⎰tan cot )cos 1sin 1(sin cos sin cos sin cos 2cos 22222222 ⑾ C C dt dt tt ttt+=+⋅⋅=⋅=⋅⎰⎰90ln 90)910ln()910()910(3102 ⑿C x dx x dx x x x +==⎰⎰81587158⒀C x dx xdx x x x x dx x x x x +=-=--+-+=+-+-+⎰⎰⎰arcsin 212)1111()1111(222⒁C x x xdx dx dx x dx x x +-=+=+=+⎰⎰⎰⎰2cos 212sin 1)2sin 1()sin (cos 2⒂C x x dx x x xdx x ++=+=⎰⎰)sin 3sin 31(21)cos 3(cos 212cos cos ⒃ C e e e e dx e e e e dx e e x xx x x x x x x x ++--=-+-=------⎰⎰33333313331)33()(P.188 习题1.应用换元积分法求下列不定积分:⑴C x x d x dx x ++=++=+⎰⎰)43sin(31)43()43cos(31)43cos( ⑵ C e x d e dx xe x x x +==⎰⎰222222241)2(41⑶ C x x x d x dx ++=++=+⎰⎰|12|ln 2112)12(2112⑷ C x n x d x dx x n nn +++=++=++⎰⎰1)1(11)1()1()1(⑸Cx x xd xdx x dx xx++=-+-=-+-⎰⎰⎰3arcsin 313arcsin 3)3113131)31131(2222⑹C C x d dx x x x x +=+=+=++++⎰⎰2ln 22ln 22)32(221222323232⑺C x C x x d x dx x +--=+-⋅-=---=-⎰⎰232321)38(92)38(3231)38()38(3138 ⑻C x C x x d x x dx+--=+-⋅-=---=-⎰⎰-3232313)57(103)57(2351)57()57(5157 ⑼C x dx x dx x x +-==⎰⎰2222cos 21sin 21sin ⑽ C x x x d x dx++-=++=+⎰⎰)42cot(21)42(sin )42(21)42(sin 22ππππ⑾ 解法一:C xxx d x dxx dx+===+⎰⎰⎰2tan2cos 22cos 2cos 122解法二: ⎰⎰⎰⎰-=--=+xxdxx dx x dx x x dx 222sin cos sin cos 1)cos 1(cos 1 C x x xx d x ++-=--=⎰sin 1cot sin sin cot 2⑿解法一:利用上一题的结果,有C x C x x x d x dx +--=+--=-+--=+⎰⎰)24tan()2(21tan )2cos(1)2(sin 1ππππ 解法二: C x x xx d x dx x dx x x dx +-=+=--=+⎰⎰⎰⎰cos 1tan cos cos cos sin 1)sin 1(sin 1222 解法三:⎰⎰⎰+⋅=+=+222)12(tan 2cos )2cos 2(sin sin 1x x dxx x dx x dxC x x x d ++-=+=⎰12tan 2)12(tan 2tan 22⒀ 解法一:⎰⎰⎰---=-=)2()2sec()2sec(csc x d x dx x xdx πππC x x C x x ++-=+-+--=|cot csc |ln |)2tan()2sec(|ln ππ解法二:C x x x x d dx x x dx x xdx ++-=-===⎰⎰⎰⎰1cos 1cos ln 211cos cos sin sin sin 1csc 22C x x +-=|cot csc |ln解法三:⎰⎰++=dx x x x x x xdx cot csc )cot (csc csc cscC x x C xx x x d ++-=+++-=⎰|cot csc |ln cot csc )cot (csc解法四:⎰⎰⎰==dx x x xdx x x xdx 2cos2sin 22sin2cos 2sin 21csc 2C xC x x d x +=+-=-=⎰|2tan |ln |2cot |ln 2cot 2cot 1⒁C x x d x dx x x +--=---=-⎰⎰22221)1(11211 ⒂ C x dx x dx x x +=+=+⎰⎰2arctan 41)(4121422224⒃C x x x d x x dx +==⎰⎰|ln |ln ln ln ln⒄ C x x d x dx x x +-=---=-⎰⎰25535354)1(1101)1()1(151)1( ⒅ C x x C x x dx x dx x x ++-=++-⋅=-=-⎰⎰|22|ln 281|22|ln 221412)(1412444442483⒆C xx C x x dx x x x x dx ++=++-=+-=+⎰⎰|1|ln |1|ln ||ln )111()1( ⒇C x dx xxxdx +==⎰⎰|sin |ln sin cos cot (21)⎰⎰⎰-==x d x xdx x xdx sin )sin 1(cos cos cos 2245 C x x x x d x x ++-=+-=⎰5342sin 51sin 32sin sin )sin sin 21((22) 解法一:C x x x x d x x dx +-==⎰⎰|2cot 2csc |ln 2sin )2(cos sin解法二:C x x xd x x xdx x x dx +===⎰⎰⎰|tan |ln tan tan cos sin cos cos sin 2 解法三:⎰⎰+=xx dxx x x x dx cos sin )cos (sin cos sin 22C x x dx xxx x +-=+=⎰|cos |ln |sin |ln )sin cos cos sin ((23) C e e de e dx e e e dx xx x x x x x+=+=+=+⎰⎰⎰-arctan 1122 (24) C x x x x x x d dx x x x ++-=+-+-=+--⎰⎰|83|ln 83)83(83322222(25) C x x x dx x x x dx x x x dx x x ++-+++=+++-+=+++-+=++⎰⎰⎰2323232)1(2312|1|ln ))1(3)1(211()1(3)1(2)1()1(2(26)⎰+22ax dx解 令t a x tan =, 则C a x x C t t t a tdt a a x dx+++=++==+⎰⎰||ln |tan sec |ln sec sec 221222(27)C a x x a a x x d a a x dx ++=+=+⎰⎰21222212222322)(1)(1)(解法2 令t a x tan =, 则C ax a x C t a tdt a t a tdt a a x dx ++=+===+⎰⎰⎰222223322322sin 1cos 1sec sec )( (28)⎰-dx xx 251解 令t x sin =, 则Cx x x C t t t td t tdt dt t t t dx x x +---+--=+-+-=--===-⎰⎰⎰⎰25223221253225525)1(51)1(32)1(cos 51cos 32cos cos )cos 1(sin cos cos sin 1(29)⎰-dx xx31解 令t x =61, 则6t x =, 56t dx =C t t t t t t dt tt t t dt tt t t t dt t t t dt t t dx x x++--+++-=-++++-=-++++-=-+-=-⋅=-⎰⎰⎰⎰⎰|11|ln 26)357(6)11)1((611)1)(1(6111)(61613572246224622422533其中61x t = (30)⎰++-+dx x x 1111解 令t x =+1, 则21t x =+, tdt dx 2=,Cx x x C x x x C t t t dt t t dt t t t tdt t tdt t t dx x x +++++-=+++++-+=+++-=++-=+-=+-=+-=++-+⎰⎰⎰⎰⎰|11|ln 414|11|ln 4141|1|ln 44)1442()142(2)121(21111111122.应用分部积分法求下列不定积分: ⑴C x x x dx x x x x xdx +-+=--=⎰⎰221arcsin 1arcsin arcsin⑵C x x x dx x x x x xdx +-=⋅-=⎰⎰ln 1ln ln⑶Cx x x x x xdx x x x x x xd x x xdx x x x x d x xdx x +-+=-+=+=-==⎰⎰⎰⎰⎰sin 2cos 2sin cos 2cos 2sin cos 2sin sin 2sin sin cos 222222 ⑷ C x x x dx x x x x xd dx x x +--=+-=-=⎰⎰⎰223223412ln 121ln 211ln 21ln ⑸C x x x x x xdx x x dx x ++-=-=⎰⎰2ln 2)(ln ln 2)(ln )(ln 222 ⑹ ⎰⎰⎰+-==dx xx x x xdx xdx x 2222121arctan 21arctan 21arctan C x x x x dx x x x +--=+--=⎰)arctan (21arctan 21)111(21arctan 21222 C x x x +-+=21arctan )1(212⑺ ⎰⎰⎰+=+dx x dx x dx x x ln 1)ln(ln ]ln 1)[ln(ln C x x dx xdx x x x x x +=+⋅-=⎰⎰)ln(ln ln 1ln 1)ln(ln⑻⎰⎰--=dx xx x x x dx x 2221arcsin 2)(arcsin )(arcsin⎰-+=221arcsin 2)(arcsin x xd x x ⎰----+=dx xx x x x x 22221112arcsin 12)(arcsinC x x x x x +--+=2arcsin 12)(arcsin 22⑼⎰⎰⎰-==xdx x x x x xd xdx 23tan sec tan sec tan sec sec⎰⎰⎰+-=--=xdx xdx x x dx x x x x sec sec tan sec )1(sec sec tan sec 32 |tan sec |ln sec tan sec 3x x xdx x x ++-=⎰所以C x x x x xdx +++=⎰|)tan sec |ln tan sec 21sec 3 ⑽⎰⎰+⋅-+=+dx ax x x a x x dx a x 222222⎰+-+-+=dx ax a a x a x x )(2222222⎰⎰+++-+=dx ax a dx a x a x x 2222222)ln(2222222a x x a dx a x a x x ++++-+=⎰所以C a x x a a x x dx a x +++++=+⎰))ln((212222222 类似地可得C a x x a a x x dx a x +-+--=-⎰))ln((212222222 3.求下列不定积分:⑴ C x f a x df x f dx x f x f a aa++=='+⎰⎰1)]([11)()]([)()]([ ⑵C x f x df x f dx x f x f +=+=+'⎰⎰)(arctan )()]([11)]([1)(22⑶C x f x f x df dx x f x f +=='⎰⎰|)(|ln )()()()( ⑷ C e x df e dx x f e x f x f x f +=='⎰⎰)()()()()(4.证明:⑴ 若⎰=dx x I n n tan , ,3,2=n ,则21tan 11----=n n n I x n I 证 ⎰⎰⎰----=-=dx x dx x x dx x x I n n n n 22222tan sec tan )1(sec tan22tan tan ---=⎰n n I x d x .因为⎰⎰-----=x d x n x x d x n n n tan tan )2(tan tan tan 212,所以x n x d x n n 12tan 11tan tan ---=⎰. 从而21tan 11----=n n n I x n I . ⑵ 若⎰=dx x x n m I n m sin cos ),(,则当0≠+n m 时,),2(1sin cos ),(11n m I nm m n m x x n m I n m -+-++=+-)2,(1sin cos 11-+-++-=-+n m I nm n n m x x n m , ,3,2,=m n证 ⎰⎰+-+==x d x n dx x x n m I n m nm 11sin cos 11sin cos ),( ]sin cos )1(sin [cos 112211⎰+-+--++=dx x x m x x n n m n m ])cos 1(sin cos )1(sin [cos 112211⎰--++=-+-dx x x x m x x n n m n m ))],(),2()(1(sin [cos 1111n m I n m I m x x n n m ---++=+-所以),2(1sin cos ),(11n m I n m m n m x x n m I n m -+-++=+-, 同理可得)2,(1sin cos ),(11-+-++-=-+n m I nm n n m x x n m I n mP.199 习题1.求下列不定积分:⑴ ⎰⎰⎰-+++=-+-=-dx x x x dx x x dx x x )111(1111233 C x x x x +-+++=|1|ln 2323 ⑵ 解法一:C x x dx x x dx x x x +--=---=+--⎰⎰|3|)4(ln )3142(127222解法二:⎰⎰⎰+-++--=+--dx x x dx x x x dx x x x 12732112772211272222 ⎰⎰---++-+-=)27(41)27(123127)127(21222x d x x x x x dC x x x x +--++-=34ln 23|127|ln 212 ⑶ 解22311)1)(1(111xx CBx x A x x x x +-+++=+-+=+ 去分母得 )1)(()1(12x C Bx x x A ++++-=令1-=x ,得1=A . 再令0=x ,得1=+C A ,于是32=C . 比较上式两端二次幂的系数得 0=+B A ,从而1-=B ,因此⎰⎰⎰+---+=+dxx x x x dx x dx 2312311311⎰⎰+-++---+=dx x x dx x x x x 22112111261|1|ln 31⎰+-++--+=dx x x x x 43)21(121)1ln(61|1|ln 3122C x x x x +-++-+=312arctan 311)1(ln 6122 ⑷ 解 ⎰⎰⎰⎰+--++=+--+=+dx xx dx x x dx x x x x dx 42424224112111211)1()1(211 ⎰⎰⎰⎰++-+-=+--++=22222222221)1(211)1(211112111121x x x x d x x x x d dx x x x dx x x x⎰⎰-++-+--=2)1()1(212)1()1(2122xx x x d x x x x d C xx x x x x +++-+--=2121ln 24121arctan221C x x x x x x ++++---=1212ln 8221arctan 42222 ⑸⎰+-22)1)(1(x x dx解 令22222)1(11)1)(1(1++++++-=+-x EDx x C Bx x A x x , 解得41=A , 41-==CB , 21-==E D , 于是 ⎰⎰⎰⎰++-++--=+-dx x x dx x x x dx x x dx 22222)1(1211141141)1)(1(C x x x x x x x +++-++-+--=)1(arctan 411141arctan 41)1ln(81|1|ln 41222 C x x x x x ++-+-+-=)11arctan 21|1|(ln 4122⑹⎰⎰⎰++-+++=++-dx x x dx x x x dx x x x 222222)122(125)122(2441)122(2 其中1221)122()122()122(24222222++-=++++=+++⎰⎰x x x x x x d dx x x x ⎰⎰⎰+++=++=++)12(]1)12[(12]1)12[(4)122(1222222x d x dx x dx x x )12arctan(1)12(122+++++=x x x 参见教材P.186 例9或P.193关于k I 的递推公式⑺. 于是,有C x x x x x dx x x x ++-+++-++-=++-⎰)12arctan(251)12(1225122141)122(22222 C x x x x ++-+++=)12arctan(25)122(23522.求下列不定积分⑴⎰-x dx cos 35解 令2tan xt =,则C t t t d tdt t dt t t dx x dx+=+=+=++--=-⎰⎰⎰⎰2arctan 21)2(1)2(2141121135cos 3522222 C x+=)2tan 2arctan(21 ⑵⎰⎰⎰⎰+=+=+=+)tan 32(tan cos )tan 32(sin 3cos 2sin 2222222x xd x x dx x x dx x dxC x x x d +=+=⎰)tan 23arctan(61)tan 231()tan 23(612 ⑶ ⎰⎰⎰++-+=+=+dx xx xx x x x x xdx x dx sin cos cos sin sin cos 21sin cos cos tan 1 )sin cos )cos (sin (21)sin cos cos sin 1(21⎰⎰⎰+++=++-+=x x x x d dx dx x x x x C x x x +++=|)sin cos |ln (21另解:设⎰+=x x xdx I sin cos cos 1,⎰+=x x xdxI sin cos sin 2,则C x dx x x xx I I +=++=+⎰sin cos sin cos 21,C x x x x x x d dx x x x x I I ++=++=+-=-⎰⎰|sin cos |ln sin cos )sin (cos sin cos sin cos 21所以C x x x I x dx +++==+⎰|)sin cos |ln (21tan 11⑷⎰⎰⎰-+++-+-=-+22221)1(11xx dx x dx x x dx xx x⎰⎰⎰-++-++---+-=2221231)12(211x x dxx x dx x dx x x其中(利用教材P.185例7的结果)]1)21(512arcsin 45[21)21(451222x x x x dx x dx x x -+-+-=--=-+⎰⎰ 2222121)1(1)12(x x x x x x d x x dx x -+=-+-+=-++-⎰⎰512arcsin)21(45122-=--=-+⎰⎰x x dxxx dx所以有⎰-+dx xx x 221C x x x x x x x +-+-+--+-+--=512arcsin 231221]1)21(512arcsin 45[2122C x x x x +-++--=21432512arcsin 87 ⑸C x x x x x d xx dx ++++=-++=+⎰⎰|21|ln 41)21()21(222⑹⎰+-dx xxx 1112 解 令 x x t +-=11,则2211tt x +-=,22)1(4t tdtdx +-=,代入原式得 ⎰⎰⎰⎰---=--=+-⋅⋅⎪⎪⎭⎫ ⎝⎛-+=+-dt t t dt t t dt t t t t t dx x xx 222222222222)1(114)1(4)1(411111⎰⎰⎰⎰-+-++--=---=dt t t t dt t dt t dt t ]12)1(1)1(1[114)1(141142222222C t t t t dt t t dt t +++---+=-++--=⎰⎰1111|11|ln ])1(1)1(1[112222 C xx x x +---+=221|11|ln总 练 习 题求下列不定积分: ⑴C x x x dx x xx dx xx x +--=--=--⎰⎰-4312134541121414334132454)2(12⑵]11arcsin [21arcsin 21arcsin 2222⎰⎰⎰--==dx x x x x dx x dx x x 其中)2sin 21(2122cos 1cos cos sin 1222t t dt t dt t t t dx x x -=-==-⎰⎰⎰)1(arcsin 212x x x --=所以]11arcsin [21arcsin 222⎰⎰--=dx xx x x dx x xC x x x x x +---=)]1(arcsin 21arcsin [2122 C x x x x x +-+-=22141arcsin 41arcsin 21 ⑶⎰+xdx 1解 令u x =,则udu dx 2=C u u du uu udu xdx ++-=+-=+=+⎰⎰⎰|)1|ln (2)111(2121 C x x ++-=|)1|ln (2⑷⎰⎰⎰⎰===xx x x de x x d x e dx x x e dx x e sin sin sin sin sin 2sin sin 2cos sin 22sin C x e C e x e x d e x e x x x x x +-=+-=-=⎰)1(sin 2)sin (2)sin sin (2sin sin sin sin sin⑸C x e C e u e du u e u x dx e x u u u x+-=+-==⎰⎰)1(2)(22)(令 ⑹C x x d x x x dx x xdx +-=--=-=-⎰⎰⎰1arcsin )1(1111112222 解法二:令t x sec =,C xC t dt t t t t x xdx +=+==-⎰⎰1arccos tan sec tan sec 12⑺⎰⎰⎰++=+-=+-x x x x d dx x x x x dx x x sin cos )sin (cos sin cos sin cos tan 1tan 1C x x ++=|sin cos |lnC x dx x dx x x +-=-=+-⎰⎰|)4cos(|ln )4tan(tan 1tan 1ππ ⑻ C x x x dx x x x dx x x x +-----=-+-+-=--⎰⎰23232)2(123|2|ln )2(2)2(3)2()2( ⑼C x x x d x xdx x x dx ++=+==⎰⎰⎰32224tan 31tan tan )tan 1(cos sec cos ⑽ ⎰⎰⎰-==dx x dx x dx x 2224)22cos 1()(sin sin⎰⎰++-=+-=dx x x dx x x )24cos 12cos 21(41)2cos 2cos 21(412 C x x x C x x x x ++-=+++-=4sin 3212sin 4183)84sin 22sin (41 ⑾ ⎰+--dx x x x 43523 解⎰⎰-+-=+--dx x x x dx x x x 223)2)(1(5435令22)2(21)2)(1(5-+-++=-+-x C x B x A x x x 去分母得:)1()2)(1()2(52++-++-=-x C x x B x A x 解得:32-=A ,32=B ,1-=C 所以⎰⎰⎰⎰---++-=+--dx x dx x dx x dx x x x 223)2(121321132435 C x x x +-++-=21|12|ln 32 ⑿⎰+dx x )1arctan(解 令u x =+1,du u dx )1(2-=⎰⎰⎰⎰-⋅=-⋅=+du u du u u du u u dx x arctan 2arctan 2)1(2arctan )1arctan(122)1ln(arctan 2]arctan )1[(C u u u u u u +++--+= C x x x x x ++++-+=)22ln()1arctan(⒀ ⎰⎰⎰+-=+-+=+dx x x x dx x x x x dx x x )22(2222433433747 C x x ++-=)2ln(214144 另解:C x x dx x dx x x x dx x x ++-=+-=+⋅=+⎰⎰⎰)2ln(2141)221(4122444443447 ⒁⎰++dx x x x2tan tan 1tan 解 令u x =tan⎰⎰⎰⎰++-+=+++=++du u u du u du u u u u dx x x x 222221111111tan tan 1tanC x x C u u ++-=++-=31tan 2arctan32312arctan32arctan⒂ ⎰⎰-+---=-dx x x x dx x x 10021002)1(1)1(2)1()1( C x x x +-+---=979899)1(971)1(491)1(991 ⒃⎰⎰⎰-+-=-=dx x x xx x d x dx x x 2211arcsin 1arcsin arcsin C xx x x +-+--=|11|ln arcsin 2⒄⎰⎰⎰--+=--+=-+2)]1ln()1[ln(21)]1ln()1[ln(11lndx x x dx x x x dx x x x C x xxx dx x x x x x x ++-+-=-++---+=⎰11ln 21)1111(21)]1ln()1[ln(21222⒅⎰⎰⎰+==x d xx dx xx dx xx tan tan tan 1cos tan 1cos sin 1247C x x ++=)tan 511(tan 22⒆ ⎰⎰⎰⎰+-++=+-+=+-dx x x e dx x e dx x x x e dx x x e xx x x22222222)1(21)1(21)11( C xe dx x e x e dx x e x d e dx x e x x x x x x ++=+-+++=+++=⎰⎰⎰⎰2222221111111 ⒇ ⎰=dx uv I n n ,x b a u 11+=,x b a v 22+=解 ][221211⎰⎰⎰--===dx v b u n u v b u d v b dx uv I n nn n n ])([2][21122111121⎰⎰---+-=-=dx uv b a b a v b n u v b dx u uv b n u v b n nn n ])([21122111----=n n nI b a b a n I nb u v b 所以])([)12(2112211---+=n n n I b a b a n u v b n I。
华东师范⼤学数学分析第8章习题答案第⼋章⼀:不定积分概念与基本积分公式(教材上册P181) 1. 验证下列(1)、(2)等式并与(3)、(4)两试相⽐照: (1)'()()f x dx f x c =+?; (2) ()()df x f x c =+?; (3) [()]'()f x dx f x =?; (4) ()()()d f x d x f x dx =?;解: (1)'0(())''()'()'()()c f x c f x c f x f x dx f x c=∴+=+=∴=+? 与(3)相⽐(1)试求不定积分运算,(2)是求导运算,(1) (3)互为逆运算,不定积分相差⼀个常数但仍为原不定积分,该常数⽤c 表⽰,称为积分常数.(2)()'()()'()()df x f x dxdf x f x dx f x c===+??与(4)相⽐: (2)是先求导再积分,因此包含了⼀个积分常数,(4)是先积分再求导,因此右侧不含积分常数.2. 求⼀曲线y=f (x),使得在曲线上的每⼀点(x,y)处的切线斜率为2x,且通过点(2,5). 解:222dy xdxy dy xdx x c====+??将(x,y)=(2,5)代⼊得: 5=22+cC=1该曲线为21y x =+3. 验证2sgn 2x y x =是|x|在(,)+∞-∞上的⼀个原函数. 解:x>0时,y ’=2()'||2x x x ==x<0时,2'()'||2x y x x =-=-=x=0时,22000sgn 022'lim lim lim 002x x x x x x x y x x ++++→→→-====- 2200sgn 02'lim lim()0||02x x x x x y x x --→→-==-==- 因此'''0||y y y x +-====综上得2'(sgn )'||,(,)2x y x x x ==?∈+∞-∞2sgn 2x y x =是|x|在(,)+∞-∞上的⼀个原函数.4. 据理说明为什么每⼀个含有第⼀类间断点的函数都没有原函数?解: 设0x 是 f (x)的第⼀类间断点,且 f (x)在0()U x 上有原函数 F (x),则0'()(),()F x f x x U x =∈.从⽽由导数极限定理得00lim ()lim '()'()()x x x x f x F x F x f x +++→→=== 同理 000lim ()'()()x x f x F x f x -→==.可见0()f x x 点连续,推出⽭盾.⼆: 换元积分法与部分积分法(教材上册P188) 1. 应⽤换元积分法求下列积分 (1) cos(34)x dx +?; (2) 22xxe dx ?;(3) 21dx x +?; (4) (1)n x dx +?;(5)dx ?; (6) 232x dx +?;(7);(8)(9)2sin x x dx ?; (10) 2sin (2)4dxxx +?;(11) 1cos dx x +?; (12) 1sin dx x+?;(13)csc xdx ?;(14);(15)44xdx x +?; (16)ln dx x x ?;(17) 453(1)x dx x +?; (18) 382x dx x -?;(19)(1)dxx x +?; (20) cot xdx ?; (21) 5cos xdx ?; (22)sin cos dxx x ?;(23)x xdx e e -+?; (24) 22338x dx x x --+?; (25) 252(1)x dx x ++?;(26) (a>0);(27) 223/2(0)()dxa x a >+?;(28) 5;(29)(30).解: (1)34cos(34)cos 3t x t x dx d =++=11sin sin(34)33t c x c =+=++ (2) 22112222()'()22t x x t txe dx e d ==??112211()()()22224t t t t t ed e dt ==?? 221144t x e c e c =+=+ (3)21111ln ||ln |21|21222t x dx t d t c x c x t =+==+=+++??(4)①当1n ≠-时,111(1)(1)11n n t x nnt x x dx t dt c c n n ++=+++== +=+++?? ②当1n =-时,(1)ln |1|n x dx x c +=++?(5)dx =?c =+ (6)232323231212122222ln22ln 22ln2t x x t x x tt dx d c c c ++=++==+=+=+?(7)332222222()(83)3399t t td t dt t c x c -=-=-+=--+?(8)322/31333()(75)551010t t d tdt t c x c t -=-=-+=--+? (9)211112222211sin sin sin sin 22t x x x dx t tdt t t t dt tdt =-===211cos cos 22t c x c =-+=-+ (10)2422111cot cot(2)224sin (2)sin 42t x dxt c x c x t x tdππ=+==-+=-+++?? (11)222(2)12sec tan tan()1cos 1cos 22cos 2t x dx d t x dt tdt t c c x t t =====+=+++ (12) 22 1sin (sec sec tan )tan sec 1sin dx xdx x x x dx x x c x cos x-==-=-++ (13)2111csc sin sin cos tan cos2222xdx dx dx x x x x x ===?α2ln |tan |2tan 2x d x c x ==+? (14)21(1)2x c =--=(15)22242111()arctan()442421()2x x x dx d c x x ==+++??(16)ln 11ln ||ln |ln |ln t x t t dx de dt t c x c x x e t t====+=+ (17)4555253535311111(1)(1)(1)5(1)5(1)10x dx dx d x x c x x x -==--=-++--(18)4344888111|242816112x dx dx d c x x x ===-+----(19)11()ln ||ln |1|ln ||(1)11dx xdx x x c c x x x x x=-=-++=++++?? (20)cos cot ln ||ln |sin |sin xxdx dx t c x c x ==+=+??(21)52224cos (1sin )sin (12sin sin )sin xdx x d x x x d x =-=-+?sin 2sin sin 53x x x c =-++ (22)2cos tan ln |tan |sin cos sin cos tan dx xdx d x x c x x x x x ===+ (23)22arctan 1()1()x xx x x x x dx e de dx e c e e e e -===++++ (24)222223(38)ln(38)3838x d x x dx x x c x x x x --+==-++-+-+?? (25)2221533232(1)223123()(1)t x x t t t dx dt dt dt x t t t t t =++-+-+===-++ 222323 ln ||ln |1|(1)212t t c x x c t x --=+-+=++-+++(26)1()ln |x t ax t c a====+?1ln |ln |x c x c a =+=+(27)令tan x a θ=,sec 22t a tdt ππ-<<223/23322s e c 11c o t s i n ()s e c d xa t d t t d t tx a a t a a ===++??c =+ (28)55sin 42sin sin (cos 2cos 1)cos x d d cos θθθθθθθ===--+??35322121cos cos cos (1)535c xc θθθ=-+-+=--(29)32256642226666111t t t t dt t dt t dt t dt t t t ===-+--- 6 42266661tt t dt t dt t dt dt dt t =---+-?75366126ln ||751t t t t t c t+=----++- 165116661263ln ||751x x x x x c x +=----++- (30)1121t t tdt t -→=+?222(2)44ln |1|1t t dt t t tc t =-+=-++++?14ln |1|x c =+-+ 4ln |1|'x c =-+ 2. 应⽤分部积分法求下列不定积分 (1) arcsin xdx ?; (2) ln xdx ?;(3) 2cos x xdx ?; (4)3ln xdx x ?;(5) 2(ln )x dx ?; (6)tan xarc xdx ?;(7) 1[ln(ln )]ln x dx x+?;(8) 2(arcsin )x dx ? (9)3secxdx ?; (10)(0)a >.解 (1)arcsin arcsin arcsin arcsinxdx x x xd x x x =-=-122arcsin (1)x x x c =+++ (2)1ln ln ln ln ln xdx x x xd x x x xdx x x x c x=-=-=-+(3)222cos sin 2sin sin 2cos x xdx x x x xdx x x xd x =-=+?2sin 2cos 2cos x x x x xdx =+-?2sin 2cos 2sin x x x x x c =+-+(4)2223ln 11ln [ln (ln )]22x dx xdx x x x d x x ---=-=-- 222ln 11(ln 1)244x c x c x x x=--+=-++(5)2221(ln )(ln )2ln (ln )2ln x dx x x x x dx x x xdx x=-=-(参考(2)结果)2(ln )2ln 2x x x x x c =-++(6)2222111tan tan arctan 2221x xarc xdx arc xdx x x dx x ==-+ 221111arctan 2221x x dx dx x =-++?? 2111arctan arctan 222x x x x c =-++(7)11111[ln(ln )]ln(ln )ln(ln )ln ln ln ln x dx x dx dx x x x dx dx x x x x x +=+=-+ ln(ln )x x c =+ (8)12222(arcsin )(arcsin)2arcsin (1)x dx x x x x dx -=--??12222(sin )arcsin (1)(1)x arx x x x d x -=+--?1222(arcsin )2arcsin (1)x x xd x =+-?1222(arcsin )2(1)arcsin 2x x x x dx =+--?1222(arcsin )2(1)arcsin 2x x x x x c =+--+(9) 令3sec I xdx =?s e c t a ns e ct a nt a n s e c I x d x x x x x x d x==-?23sec tan (1cos )sec sec tan sec x x x xdx x x I xdx =--=-+??11sec tan sec 22I x x xdx =+?1(sec tan ln |sec tan |)2x x x x c =+++(10)11222222222(0)()2()I a x x a xdx x a x -=>=±=+-1122222222()()()x x x a I ax x a I a a =±-±=±-±则122222111()()(ln ||)222x I x x a a a x c a =±±=+ 3. 求下列不定积分(1)[()]()'(1)f x f x dx αα≠?; (2)2'()1[()]f x dx f x +?;(3)'()()f x dx f x ?; (4)()'()f x e f x dx ?. 解: (1)11[()]()'[()]()[()]1f x f x dx f x df x f x c αααα+==++?(2)122'()1()arctan[()](arccot[()])1[()]1[()]f x dx df x f x c f x c f x f x ==+=-+++??(3)'()1()ln |()|()()f x dx df x f x c f x f x ==+?? (4)()()()'()()f x f x f x ef x dx e df x e c ==+?三. 有理函数和可化为有理函数的不定积分(教材上册P198) 1. 求下列不定积分(1)31x dx x -?; (2)22712x dx x x --+?;(3)31dx x +?; (4)41dxx +?;(5)22(1)(1)dx x x -+?; (6)222(221)x dx x x -++?;解: (1)3321111111x x x x x x x -+==+++--- 3232111(1)ln |1|1132x dx x x dx x x x x c x x =+++=+++-+--?? (2)2223111712(3)(4)(3)(4)4(3)(4)x x x x x x x x x x x x ---+===+-+-------22211(4)7124712x dx d x dx x x x x x -=-+-+--+211(4)2(27)4(27)d x d x x x =-+---??2ln |4|ln |3|x x c =---+ (3)设321111A Bx Cx x x x +=+++-+ 则21(1)()(1)A x x Bx C x =-++++ 2()()A B x B C A x A C =+++-++, 则⽐较两端系数,得1 21,,333B C A =-== 321121311dx x dx x x x x -??=-++-+221111(1)31311d x d d x =+-+++?221(1)ln 61x c x x +=+-+(4)22422221111()11()21x d x x x x dx dx x x x x x x -+-+===++-+-+11x c -=+2224222211111||1()2x x xdx dx c x x x x x---===++++-则234441111112121x x dx dx dx x x x +-=-+++|c =++ (5)设1122222221(1)(1)11(1)B xC B x C A x x x x x ++=++-+-++ 则22211221(1)()(1)(1)()(1)A x B x C x x B x C x =+++-+++-432111112121212()()(2)()()A B x C B x AC B B x C C B B x A C C=++-+-++++--+-- ⽐较两边系数得到12211111,,,,44422A B C B C ==-=-=-=- 22222111111(1)(1)(1)(1)418141dx d x d x dx x x x x x =--+--+-++ 222221111(1)4(1)2(1) d x dx x x -+-++?? 2222111(1)2(1)21x dx dx x x x =++++?? 222111ln |1|ln(1)arctan (1)(1)482dx x x x x x ∴=--+--+?211(1)4x -++ 211(1)4x x c --++。
《数学分析选论》习题解答第 一 章 实 数 理 论1.把§1.3例4改为关于下确界的相应命题,并加以证明. 证 设数集S 有下确界,且S S ∉=ξinf ,试证: (1)存在数列ξ=⊂∞→n n n a S a lim ,}{使;(2)存在严格递减数列ξ=⊂∞→n n n a S a lim ,}{使.证明如下:(1) 据假设,ξ>∈∀a S a 有,;且ε+ξ<'<ξ∈'∃>ε∀a S a 使得,,0.现依 次取,,2,1,1Λ==εn n n 相应地S a n ∈∃,使得Λ,2,1,=ε+ξ<<ξn a n n .因)(0∞→→εn n ,由迫敛性易知ξ=∞→n n a lim .(2) 为使上面得到的}{n a 是严格递减的,只要从2=n 起,改取Λ,3,2,,1min 1=⎭⎬⎫⎩⎨⎧+ξ=ε-n a n n n ,就能保证Λ,3,2,)(11=>ε+ξ≥ξ-+ξ=--n a a a n n n n . □2.证明§1.3例6的(ⅱ).证 设B A ,为非空有界数集,B A S ⋃=,试证:{}B A S inf ,inf m in inf =.现证明如下.由假设,B A S ⋃=显然也是非空有界数集,因而它的下确界存在.故对任何B x A x S x ∈∈∈或有,,由此推知B x A x inf inf ≥≥或,从而又有{}{}B A S B A x inf ,inf m in inf inf ,inf m in ≥⇒≥.另一方面,对任何,A x ∈ 有S x ∈,于是有S A S x inf inf inf ≥⇒≥;同理又有S B inf inf ≥.由此推得{}B A S inf ,inf m in inf ≤.综上,证得结论 {}B A S inf ,inf m in inf =成立. □3.设B A ,为有界数集,且∅≠⋂B A .证明: (1){}B A B A sup ,sup m in )sup(≤⋂; (2){}B A B A inf ,inf m ax )(inf ≥⋂. 并举出等号不成立的例子.证 这里只证(2),类似地可证(1).设B A inf ,inf =β=α.则应满足:β≥α≥∈∈∀y x B y A x ,,,有.于是,B A z ⋂∈∀,必有{}βα≥⇒⎭⎬⎫β≥α≥,max z z z , 这说明{}βα,max 是B A ⋂的一个下界.由于B A ⋂亦为有界数集,故其下确界存在,且因下确界为其最大下界,从而证得结论{}{}B A B A inf ,inf m ax inf ≥⋂成立.上式中等号不成立的例子确实是存在的.例如:设)4,3(,)5,3()1,0(,)4,2(=⋂⋃==B A B A 则,这时3)(inf ,0inf ,2inf =⋂==B A B A 而,故得{}{}B A B A inf ,inf m ax inf >⋂. □ 4.设B A ,为非空有界数集.定义数集{}B b A a b a c B A ∈∈+==+,,证明:(1)B A B A sup sup )sup(+=+; (2)B A B A inf inf )(inf +=+.证 这里只证(2),类似地可证(1).由假设,B A inf ,inf =β=α都存在,现欲证β+α=+)(inf B A .依据下确界定义,分两步证明如下:1)因为,,,,β≥α≥∈∈∀y x B y A x 有所以B A z +∈∀,必有β+α≥+=y x z .这说明B A +β+α是的一个下界.2)B y A x ∈∈∃>ε∀00,,0,使得2,200ε+β>ε+α>y x .从而ε+β+α>+∈+=∃)(,0000z B A y x z 使得,故B A +β+α是的最大下界.于是结论BA B A inf inf )(inf +=+ 得证. □5.设B A ,为非空有界数集,且它们所含元素皆非负.定义数集{}B b A a ab c AB ∈∈==,,证明:(1)B A AB sup sup )sup(⋅=; (2)B A AB inf inf )(inf ⋅=. 证 这里只证(1),类似地可证(2).⎪⎩⎪⎨⎧⋅≤≤≤=≥≥∈∈∃∈∀,sup sup ,sup ,sup ,,)0,0(,,)(B A c B b A a ab c b a B b A a AB c 且使由于因此B A sup sup ⋅是AB 的一个上界.另一方面,B b A a ∈∈∃>ε∀00,,0,满足ε->ε->B b A a sup ,sup 00,故)(000AB b a c ∈=∃,使得εε-+-⋅>])sup sup ([sup sup 0B A B A c .由条件,不妨设0sup sup >+B A ,故当ε足够小时,εε-+=ε'])sup sup ([B A 仍为一任意小正数.这就证得B A sup sup ⋅是AB 的最小上界,即 B A AB inf inf )(inf ⋅= 得证. □*6.证明:一个有序域如果具有完备性,则必定具有阿基米德性.证 用反证法.倘若有某个完备有序域F 不具有阿基米德性,则必存在两个正元素F ∈βα,,使序列}{αn 中没有一项大于β.于是,}{αn 有上界(β就是一个),从而由完备性假设,存在上确界λ=α}sup{n .由上确界定义,对一切正整数n ,有α≥λn ;同时存在某个正整数0n ,使α-λ>α0n .由此得出α+<λ≤α+)1()2(00n n ,这导致与0>α相矛盾.所以,具有完备性的有序域必定具有阿基米德性. □7.试用确界原理证明区间套定理. 证 设{}],[n n b a 为一区间套,即满足:0)(lim ,1221=-≤≤≤≤≤≤≤≤∞→n n n n n a b b b b a a a ΛΛΛ.由于{}n a 有上界k b ,{}n b 有下界k a (+∈N k ),因此根据确界原理,存在{}{}β≤α=β=α且,inf ,sup n n b a .倘若β<α,则有Λ,2,1,0=>λ=α-β≥-n a b n n ,而这与0)(lim =-∞→n n n a b 相矛盾,故ξ=β=α.又因Λ,2,1,=≤β=α≤n b a n n ,所以ξ是一切],[n n b a 的公共点.对于其他任一公共点Λ,2,1,],[=∈ηn b a n n ,由于∞→→-≤η-ξn a b n n ,0 ,因此只能是η=ξ,这就证得区间套{}],[n n b a 存在惟一公共点. □8.试用区间套定理证明确界原理.证 设S 为一非空有上界的数集,欲证S 存在上确界.为此构造区间套如下:令 ],[],[011M x b a =,其中M S S x ,)(0∅≠∈Θ为S 的上界.记2111b a c +=,若1c 是S 的上界,则令],[],[1122c a b a =;否则,若1c 不是S 的上界,则令],[],[1122b c b a =.一般地,若记2nn n b a c +=,则令 Λ,2,1,,,],[,,],[],[11=⎩⎨⎧=++n S c b c S c c a b a n n n n nn n n 的上界不是的上界当是.如此得到的{}],[n n b a 显然为一区间套,接下来证明这个区间套的惟一公共点ξ即为S 的上确界.由于上述区间套的特征是:对任何+∈Νn ,n b 恒为S的上界,而n a 则不为S 的上界,故S x ∈∀,有n b x ≤,再由ξ=∞→n n b lim ,便得ξ≤x ,这说明ξ是S 的一个上界;又因ξ=∞→n n a lim ,故ε-ξ>∃>ε∀n a ,0,由于n a 不是S 的上界,因此ε-ξ更加不是S 的上界.根据上确界的定义,证得S sup =ξ.同理可证,若S 为非空有下界的数集,则S 必有下确界. □ 9.试用区间套定理证明单调有界定理.证 设{}n x 为递增且有上界M 的数列,欲证{}n x 收敛.为此构造区间套如下:令],[],[111M x b a =;类似于上题那样,采用逐次二等分法构造区间套{}],[n n b a ,使n a 不是{}n x 的上界,n b 恒为{}n x 的上界.由区间套定理,],[n n b a ∈ξ∃,且使ξ==∞→∞→n n n n b a lim lim .下面进一步证明 ξ=∞→n n x lim .一方面,由∞→≤k b x k n 取,的极限,得到Λ,2,1,lim =ξ=≤∞→n b x k k n .另一方面,ε-ξ>∈∃>ε∀+K a K 使,,0Ν;由于K a 不是{}n x 的上界,故K N a x >∃;又因{}n x 递增,故当N n >时,满足N n x x ≥.于是有N n x x a n N K >ξ≤<<<ε-ξ,,这就证得ξ=∞→n n x lim .同理可证{}n x 为递减而有下界的情形. □ 10*.试用区间套定理证明聚点定理.证 设S 为实轴上的一个有界无限点集,欲证S 必定存在聚点.因S 有界,故0>∃M ,使得M x ≤,S x ∈∀.现设],[],[11M M b a -=,则],[11b a S ⊂.然后用逐次二等分法构造一区间套{}],[n n b a ,使得每次所选择的],[n n b a 都包含了S 中的无限多个点.由区间套定理,],[n n b a ∈ξ∃,n ∀.最后应用区间套定理的推论,,0>ε∀当n 充分大时,使得],[n n b a );εξ⊂(U ;由于],[n n b a 中包含了S 的无限多个点,因此);(εξU 中也包含了S 的无限多个点,根据聚点定义,上述ξ即为点集S 的一个聚点. □ 11*.试用有限覆盖定理证明区间套定理.证 设{}],[n n b a 为一区间套,欲证存在惟一的点Λ,2,1,],[=∈ξn b a n n . 下面用反证法来构造],[11b a 的一个无限覆盖.倘若{}],[n n b a 不存在公共点ξ,则],[11b a 中任一点都不是区间套的公共点.于是,∈∀x ],[11b a ,使,],[n n b a ∃],[n n b a x ∉.即);(x x U δ∃与某个],[n n b a 不相交( 注:这里用到了],[n n b a 为一闭区间 ).当x 取遍],[11b a 时,这无限多个邻域构成],[11b a 的一个无限开覆盖:{}],[);(11b a x x U H x ∈δ=.依据有限覆盖定理,存在],[11b a 的一个有限覆盖:{}H N i x U U H i x i i ⊂=δ==,,2,1);(~Λ,其中每个邻域N i b a U ii n n i ,,2,1,],[Λ=∅=⋂.若令{}N n n n K ,,,max 21Λ=,则N i b a b a i i n n K K ,,2,1,],[],[Λ=⊂,从而N i U b a i K K ,,2,1,],[Λ=∅=⋂. (Ж) 但是Y Ni iU 1=覆盖了],[11b a ,也就覆盖了],[K K b a ,这与关系式(Ж)相矛盾.所以必定存在Λ,2,1,],[=∈ξn b a n n .(有关ξ惟一性的证明,与一般方法相同.) □12.设S 为非空有界数集.证明:S S y x Sy x inf sup ||sup ,-=-∈.证 设η<ξ=η=ξ且,sup ,inf S S ( 若η=ξ,则S 为单元素集,结论显然成立 ).记{}Sy x y x E ∈-=,||,欲证ξ-η=E sup .首先,S y x ∈∀,,有ξ-η≤-⇒η≤ξ≥||,y x y x ,这说明ξ-η是E 的一个上界.又因2,0ε-η>ε∀ ⎪⎭⎫ ⎝⎛ε+ξ2不再是S 的上()下界,故S y x ∈∃00,,使ε-ξ-η≥-⇒⎪⎭⎪⎬⎫ε+ξ<ε-η>)(||220000y x y x , 所以ξ-η是E 的最小上界,于是所证结论成立. □13.证明:若数集S 存在聚点ξ,则必能找出一个各项互异的数列{}S x n ⊂,使ξ=∞→n n x lim .证 依据聚点定义,对S U x ⋂εξ∈∃=ε);(,1111ο.一般地,对于⎭⎬⎫⎩⎨⎧-ξ=ε-1,1m in n n x n ,Λο,3,2,);(=⋂εξ∈∃n S U x n n .如此得到的数列{}S x n ⊂必定满足:Λ,3,2,||||11=≠⇒ξ-<ξ---n x x x x n n n n ;ξ=⇒∞→→<ξ-∞→n n n x n n x lim )(01||. □ 41*.设S 为实轴上的一个无限点集.试证:若S 的任一无限子集必有属于S 的聚点,则(1)S 为有界集;(2)S 的所有聚点都属于S .证 (1)倘若S 无上界,则对1111,,1M x S x M >∈∃=使;一般地,对于{}Λ,3,2,,,,max 1=>∈∃=-n M x S x x n M n n n n n 使.这就得到一个各项互异的点列{}∞=⊂∞→n n n x S x lim ,使.S 的这个无限子集没有聚点,与题设条件相矛盾,所以S 必有上界.同理可证S 必有下界,故S 为有界集.(2)因S 为有界无限点集,故必有聚点.倘若S 的某一聚点S ∉ξ0,则由聚点的性质,必定存在各项互异的数列{}0lim ,ξ=⊂∞→n n n x S x 使.据题设条件,{}n x 的惟一聚点0ξ应属于S ,故又导致矛盾.所以S 的所有聚点都属于S . □51*.证明:{}{}n n a a ∉ξ=sup ,则必有ξ=∞→n n a lim .举例说明,当上述ξ属于{}n a 时,结论不一定成立.证 利用§1.3 例4,{}{}n n a a k ⊂∃,使ξ=∞→k n n a lim ,这说明ξ是{}n a 的一个聚点.又因ξ又是{}n a 的上界,故{}n a 不可能再有比ξ更大的聚点.所以ξ是{}n a 的上极限.当{}n a ∈ξ时,结论不一定成立.例如,1,111sup ⎭⎬⎫⎩⎨⎧∈=⎭⎬⎫⎩⎨⎧n n 显然不是⎭⎬⎫⎩⎨⎧n 1的上极限. □61*.指出下列数列的上、下极限:(1){}n)1(1-+; (2)⎭⎬⎫⎩⎨⎧+-12)1(n n n; (3)⎪⎭⎪⎬⎫⎪⎩⎪⎨⎧πnn 3cos; (4)⎭⎬⎫⎩⎨⎧π+4sin 12n n n ;(5)⎪⎭⎪⎬⎫⎪⎩⎪⎨⎧π+n n n sin 12. 解(1)0lim ,2lim ,0,2122==≡≡∞→∞→-n n n n k k a a a a 故.(2))(211412,21142122∞→-→---=→+=-k k k a k ka k k ,故21lim ,21lim -==∞→∞→n n n n a a . (3))(13cos211∞→≤π≤←n n nn, 故 1lim lim lim ===∞→∞→∞→n n n n n n a a a .(4)⎪⎪⎪⎪⎪⎩⎪⎪⎪⎪⎪⎨⎧--=+⋅--=+-=+=+++=+⋅=π+=.38,18,12222,8,12,4,0,28,12,38,18,12224sin 12k k n n nk n n n k n k n n n k k n n n n n n a n故2lim ,2lim -==∞→∞→n n n n a a . (5))(sin )1(sin 1222∞→π→ππ⋅+π=π+=n nn nn nn n a n ,故π===∞→∞→∞→n n n n n n a a a lim lim lim . □71*.设{}n a 为有界数列,证明:(1)1lim )(lim =-=-∞→∞→n n n n a a ; (2)n n n n a a ∞→∞→-=-lim )(lim .证 由)(sup )(inf ,)(inf )(sup k nk k nk k nk k nk a a a a ≥≥≥≥-=--=-,令∞→n 取极限,即得结论(1)与(2). □81*.设0lim >∞→n n a ,证明:(1)nn n n a a ∞→∞→=lim 11lim; (2)nn n n a a ∞→∞→=lim 11lim;(3)若11limlim =⋅∞→∞→n n n n a a ,或11lim lim =⋅∞→∞→nn n n a a ,则{}n a 必定收敛.证 由)(sup 11inf ,)(inf 11sup k nk k n k kn k k n k a a a a ≥≥≥≥=⎪⎪⎭⎫ ⎝⎛=⎪⎪⎭⎫ ⎝⎛,令∞→n 取极限,即得结论(1)与(2).若11limlim =⋅∞→∞→n n n n a a ,则由(1)立即得到 n n n n a a ∞→∞→=lim lim ,因此极限n n a ∞→lim 存在,即得结论(3).类似地,若11limlim =⋅∞→∞→nn n n a a ,则由(2)同样可证得(3). □10 10。