最新华东师范大学数学分析试题
- 格式:doc
- 大小:164.50 KB
- 文档页数:3
目 录第12章 数项级数12.1 复习笔记12.2 课后习题详解12.3 名校考研真题详解第13章 函数列与函数项级数13.1 复习笔记13.2 课后习题详解13.3 名校考研真题详解第14章 幂级数14.1 复习笔记14.2 课后习题详解14.3 名校考研真题详解第15章 傅里叶级数15.1 复习笔记15.2 课后习题详解15.3 名校考研真题详解第16章 多元函数的极限与连续16.1 复习笔记16.2 课后习题详解16.3 名校考研真题详解第17章 多元函数微分学17.1 复习笔记17.2 课后习题详解17.3 名校考研真题详解第18章 隐函数定理及其应用18.1 复习笔记18.2 课后习题详解18.3 名校考研真题详解第19章 含参量积分19.1 复习笔记19.2 课后习题详解19.3 名校考研真题详解第20章 曲线积分20.1 复习笔记20.2 课后习题详解20.3 名校考研真题详解第21章 重积分21.1 复习笔记21.2 课后习题详解21.3 名校考研真题详解第22章 曲面积分22.1 复习笔记22.2 课后习题详解22.3 名校考研真题详解第23章 向量函数微分学23.1 复习笔记23.2 课后习题详解23.3 名校考研真题详解第12章 数项级数12.1 复习笔记一、级数的收敛性1.相关定义(1)给定一个数列{u n},对它的各项依次用“+”号连接起来的表达式u1+u2+…u n+… (12-1)称为常数项无穷级数或数项级数(也常简称级数),其中u n称为数项级数(12-1)的通项或一般项.数项级数(12-1)也常写作或简单写作∑u n.(2)数项级数(12-1)的前n项之和,记为 (12-2)称它为数项级数(12-1)的第n个部分和,也简称部分和.(3)若数项级数(12-1)的部分和数列{S}收敛于S(即),则称数项级数(12-1)收敛,称S为数项级数(12-1)的和,记作或S=∑u n.若{S n}是发散数列,则称数项级数(12-1)发散.2.重要定理。
第10章 定积分的应用10.1 复习笔记一、平面图形的面积由连续曲线()(0)y f x =≥,以及直线,()x a x b a b ==<和x 轴所围曲边梯形的面积为()b baaA f x dx ydx ==⎰⎰如果()f x 在[,]a b 上不都是非负的,则所围图形的面积为()b baaA f x dx y dx ==⎰⎰一般地,由上、下两条连续曲线2()y f x =与1()y f x =以及两条直线,()x a x b a b ==<所围的平面图形(图l0-1),它的面积计算公式为21[()()]baA f x f x dx =⎰-图10-1二、由平行截面面积求体积 1.立体体积的一般计算公式 设为三维空间中的一立体,它夹在垂直于x 轴的两平面x =a 与x =b 之间(a <b ),称为位于[a,b]上的立体,若在任意一点x∈[a,b]处作垂直于x轴的平面,它截得的截面面积是关于x的函数,记为A(x),并称之为的截面面积函数(见图10-2),设A(x)是连续函数.图10-2 图10-3对[a,b]作分割过各个分点作垂直于x轴的平面x=xi,i=1,2,…,n,它们把分割成n个薄片,i=1,2,…,n任取那么每一薄片的体积(见图10-3)于是由定积分的定义和连续函数的可积性,当时,上式右边的极限存在,即为函数A (x)在[a,b]上的定积分,于是立体的体积定义为2.旋转体的体积a b上的连续函数,Ω是由平面图形设f是[,]≤≤≤≤0|||f(x)|,ay x b绕x轴旋转一周所得的旋转体,那么易知截面面积函数为2()[()],[,]A x f x x a b π=∈得到旋转体Ω的体积公式为2=[()]baV f x dxπ⎰三、平面曲线的弧长与曲率 1.平面曲线的弧长 (1)定义①如果存在有限极限ss T T =→0||||lim即任给0ε>,恒存在0δ>,使得对C 的任意分割T ,只要||||T δ<,就有|s |T s ε-<则称曲线C 是可求长的,并把极限s 定义为曲线C 的弧长.②设曲线AB 是一条没有自交点的闭的平面曲线.在AB 上任取点P ,将AB 分成两段非闭曲线,如果AP 和PB 都是可求长的,则称AB 是可求长的,并把AP 的弧长和PB 的弧长的和定义为AB 的弧长.③设曲线C 由参数方程(),(),[,]x x t y y t t αβ==∈给出.如果(t)x 与()y t 在[,]αβ上连续可微,且'()x t 与'()y t 不同时为零,即''()()0x t y t +≠,],[βα∈t ,则称C 为一条光滑曲线.(2)定理设曲线C 是一条没有自交点的非闭的平面曲线,由参数方程(),(),[,]x x t y y t t αβ==∈ (10-1)给出.若()x t 与()y t 在[,]αβ上连续可微,则C 是可求长的,且弧长为'2'2[()][()]s x t y t dt βα=+⎰ (10-2)(3)性质设AB 是一条没有自交点的非闭的可求长的平面曲线.如果D 是AB 上一点,则和AD 和DB 也是可求长的,并且AB 的弧长等于AD 的弧长与DB 的弧长的和.2.曲率 (1)定义如图10-4,设()t α表示曲线在点((),())P x t y t 处切线的倾角,==()()t t t ααα∆+∆-表示动点由P 沿曲线移至))(),((t t y x t x Q ∆+∆+时切线倾角的增量,若PQ 之长为s ∆,则称||K sα-∆=∆为弧段PQ 的平均曲率.如果存在有限极限|||lim ||lim |00dsd s s K s t ααα=∆∆=∆∆=→∆→∆则称此极限K 为曲线C 在点P 处的曲率.图10-4(2)计算公式设曲线C 是一条光滑的平面曲线,由参数方程(10-1)给出,则曲率的计算公式为2322)(||''''''''y x y x y x K +-=若曲线由()y f x =表示,则相应的曲率公式为2''3'2||(1+y )y K =四、旋转曲面的面积1.设平面光滑曲线C 的方程为(),[,]y f x x a b =∈(不妨设()0f x ≥),这段曲线绕x 轴旋转一周得到旋转曲面的面积为2(baS f x π=⎰2.如果光滑曲线C 由参数方程(),(),[,]x x ty y t t αβ==∈给出,且()0y t ≥,那么由弧微分知识推知曲线C 绕x 轴旋转所得旋转曲面的面积为2(S y t βαπ=⎰五、定积分的近似计算 1.梯形法公式121()(...)22bn n ay y b a f x dx y y y n --=+++++⎰2.抛物线法公式(辛普森Simpsom 公式)021*******()[4(...y )2(...)]6bn n n ab af x dx y y y y y y y n---≈+++++++++⎰10.2 课后习题详解§1 平面图形的面积1.求由抛物线y =x 2与y =2-x 2所围图形的面积.解:该平面图形如图10-1所示.两条曲线的交点为(-1,1)和(1,1),所围图形的面积为图10-12.求由曲线与直线所围图形的面积.解:该平面图形如图10-2所示.所围图形的面积为。
数学分析课本(华师大三版)-习题及答案第八章第八章不定积分一. 填空题1.若x e f x+='1)(,则=)(x f ___________2.设)(x f 的一个原函数为xxe ,则='?dx x f x )(_____________ 3.若xe-是)(x f 的一个原函数,则?=dx x xf )(________________4.若[]1)(3='x f ,则=)(x f ____________ 5.?=dx x x ),max(2___________________6.若)(x f 有原函数x x ln ,则?=''dx x f x )(_______________ 7.? =dx xx 2sin)ln(sin ________________8.若?+++=+xdx B xx A x dx cos 21cos 21sin )cos 21(2,则=A __________,=B __________9.设C x dx x xf +=?arcsin )(,则?=)(x f dx _________10.?=-)4(x x dx _________________11.?=-dx xx 21ln _________________12.[]=-?dx xx x a n)cos(ln )sin(ln ________________ 13.[]?='+dxx f x x f )()(________________14.?=+xedx 1_____________15.?=+dx x xex 2)1(_____________________16.=++?dx xx x x cos 2sin cos 3sin 4______________ 17.已知x x x f 22tansin )cos 2(+=+',则=)(x f _______________ 18.[]=+'dx x f x f 2)(1)(______________19. 若?+=C x F dx x f )()(,而),(x u ?=则?=du u f )(___________. 20设函数)(x f 的二阶导数)(x f ''连续,那么?=''__________)(dx x f x . 21设)(x f 的原函数是xx sin ,则?='__________)(dx x f x .22已知曲线)(x f y =上任一点的切线斜率为6332--x x ,且1-=x 时,211=y 是极大值,则)(x f __________=;)(x f 的极小值是__________.23已知一个函数的导数为211)(xx f -=,并且当1=x 时,这个函数值等于π23,则这个函数为__________)(=x F . 24 设)1(cos )(sin22<='x x x f ,则)(x f __________=.25 若)(x f 为连续函数,且)()(x f x f =',则?=__________)(dx x f . 26 若?='x dx x f ln ))((,则)(x f __________=. 27 已知2xe -是)(xf 的一个原函数,则?=__________sec )(tan 2xdx x f .28='__________)2(1dx x f x. 29 设C xxdx x f ++-=?11)(,则)(x f __________=.30 在积分曲线族?dx xx 1中,过(1,1)点的积分曲线是__________=y .二、选择填空题 1.设dx e e I xx+-=11,则=I ( )A.C e x++)1ln( B.C x e x+-+)1ln(2 C.C e x x++-)1ln(2 D.C e x+-)1ln(2.设)(x f 是连续的偶函数,则期原函数)(x F 一定是( ) A.偶函数B.奇函数 C.非奇非偶函数 D.有一个是奇函数3.设?+=++=)1(,)1(121u u du I dx xe x x I x,则存在函数)(x u u =,使( )A.x I I +=21B.x I I -=21C.12I I -=D.12I I = 4.当1-≠n 时,?=xdx x n ln ( ) A.C nx nxn+-)1(ln B.C n x n xn +----)11(ln 11C.C n x xn n ++-++)11(ln 111D.C x n xn +++ln 117.?=+dx x x )2sin2(cos ( )A.C x x +-)2cos2(sin 2 B.C x x +-)2sin2(cos2C.C xx +-2cos 2sin D.C x x +-2sin 2cos8.?=++dx xxx cos 1sin ( )A.C x x +2cotB.C x x +2tanC.C x x+cot 2 D.C x x +2tan 29.若)(x f 的导函数是x e xcos +-,则)(x f 的一个原函数为( )A.x excos -- B.x exsin +-- C.x e xcos --- D.x exsin +-10.若)(x f 是以l 为周期的连续函数,则其原函数( )。
华东师大数学分析答案完整版一、填空题1. 极限的定义是当自变量趋近于某个值时,函数的值趋近于另一个确定的值。
2. 函数在某一点连续的充分必要条件是左极限、右极限和函数值在该点相等。
3. 无穷小量与无穷大量的关系是无穷小量的倒数是无穷大量,无穷大量的倒数是无穷小量。
4. 函数的导数表示函数在某一点的瞬时变化率。
5. 微分表示函数在某一点的微小变化量。
6. 函数的积分表示函数在某个区间上的累积变化量。
7. 变限积分的导数是原函数的导数。
8. 无穷级数的收敛性可以通过比较判别法、比值判别法等方法进行判断。
9. 函数的泰勒级数表示函数在某一点的幂级数展开。
10. 傅里叶级数表示周期函数的三角级数展开。
二、选择题1. 下列函数中,连续的是(A)。
A. f(x) = x^2B. f(x) = 1/xC. f(x) = sin(x)D. f(x) = |x|2. 下列极限中,存在的是(B)。
A. lim(x→0) 1/xB. lim(x→∞) x^2C. lim(x→0) sin(x)/xD. lim(x→∞) e^(x)3. 下列函数中,可导的是(A)。
A. f(x) = x^3B. f(x) = |x|C. f(x) = sin(1/x)D. f(x) = x^(1/3)4. 下列积分中,收敛的是(C)。
A. ∫(1/x) dxB. ∫(1/x^2) dxC. ∫(e^(x)) dxD. ∫(1/x^3) dx5. 下列级数中,收敛的是(B)。
A. ∑(1/n)B. ∑(1/n^2)C. ∑(1/n^3)D. ∑(1/n^4)三、解答题1. 求函数 f(x) = x^3 3x + 2 在 x = 1 处的导数。
解答:f'(x) = 3x^2 3,代入 x = 1,得 f'(1) = 0。
2. 求不定积分∫(e^x) dx。
解答:∫(e^x) dx = e^x + C,其中 C 为任意常数。
第一章 实数集与函数习题§1实数1、 设a 为有理数,x 为无理数。
证明: (1)a+ x 是无理数;(2)当a ≠0时,ax 是无理数。
2、 试在数轴上表示出下列不等式的解:(1)x (2x -1)>0;(2)|x-1|<|x-3|;(3)1-x -12-x ≥23-x 。
3、 设a 、b ∈R 。
证明:若对任何正数ε有|a-b|<ε,则a = b 。
4、 设x ≠0,证明|x+x1|≥2,并说明其中等号何时成立。
5、 证明:对任何x ∈R 有(1)|x-1|+|x-2|≥1;(2)|x-1|+|x-2|+|x-3|≥2。
6、 设a 、b 、c ∈+R (+R 表示全体正实数的集合)。
证明|22b a +-22c a +|≤|b-c|。
你能说明此不等式的几何意义吗?7、 设x>0,b>0,a ≠b 。
证明xb x a ++介于1与ba 之间。
8、 设p 为正整数。
证明:若p 不是完全平方数,则p 是无理数。
9、 设a 、b 为给定实数。
试用不等式符号(不用绝对值符号)表示下列不等式的解: (1)|x-a|<|x-b|;(2)|x-a|< x-b ;(3)|2x -a|<b 。
§2数集、确界原理 1、 用区间表示下列不等式的解:(1)|1-x|-x ≥0;(2)| x+x1|≤6;(3)(x-a )(x-b )(x-c )>0(a ,b ,c 为常数,且a<b<c ); (4)sinx ≥22。
2、 设S 为非空数集。
试对下列概念给出定义: (1)S 无上界;(2)S 无界。
3、 试证明由(3)式所确定的数集S 有上界而无下界。
4、 求下列数集的上、下确界,并依定义加以验证:(1)S={x|2x <2};(2)S={x|x=n !,n ∈+N };(3)S={x|x 为(0,1)内的无理数};(4)S={x|x=1-n21,n ∈+N }。
第四章函数的连续性第一节连续性概念1.按定义证明下列函数在其定义域内连续:(1); (2)。
x x f 1)(=x x f =)( 证:(1)的定义域为,当时,有xx f 1)(= ),0()0,(+∞-∞=D D x x ∈0,由三角不等式可得: ,0011x x x x x x -=-00x x x x --≥ 故当时,有00x x x <-002011x x x x x x x x ---≤- 对任意给的正数,取则,当 且时,ε,01020>+=x x εεδ0x <δD x ∈δ<-0x x 有ε<-=-0011)()(x x x f x f 可见在连续,由的任意性知:在其定义域内连续。
)(x f 0x 0x )(x f (2) 的定义域为对任何的,由于x x f =)(),,(+∞-∞),(0+∞-∞∈x,从而对任给正数,取,当时,00x x x x -≤-εεδ=δ<-0x x 有 =-)()(0x f x f 00x x x x -≤-ε< 故在连续,由的任意性知,在连续。
)(x f 0x 0x )(x f ),(+∞-∞2.指出函数的间断点及类型: (1); (2); (3);=)(x f xx 1+=)(x f x x sin =)(x f ]cos [x (4); (5);=)(x f x sgn =)(x f )sgn(cos x (6);(7)=)(x f ⎩⎨⎧-为无理数为有理数x x x x ,,=)(x f ⎪⎪⎩⎪⎪⎨⎧+∞<<--≤≤--<<∞-+x x x x x x x 1,11sin )1(17,7,71解: (1)在间断,由于不存在,故是的第二类间断点。
)(x f 0=x 1(lim xx x +∞→0=x )(x f(2)在间断,由于 ,)(x f 0=x 1sin lim )(lim 0==++→→xxx f x x故是的跳跃间断点。
第五章 导数与微分一、填空题1.设)()()(x a x x f n ϕ-=,其中函数)(x ϕ在点a 的某邻域内具有1-n 阶导数,则=)()(a fn ____________2.若⎩⎨⎧==mty t x ln ,则=n ndx y d _________ 3.若x x x y )(sin +=,则='y ___________4.已知)100()2)(1()(x x x x x f ---= ,且!982)('⨯=a f ,则=a _______ 5.设)(x f 是可导函数,x ∆是自变量在点x处的增量,则=∆-∆+→∆xx f x x f x )()(lim22__________6.已知)(x f 在a x =处可导,且)0()('≠=k k a f ,则=--→tt a f t a f t )5()3(lim__________7.设函数)(x f 二阶可导,且2)0(,1)(lim 0=''=→f xx f x ,则=-→2)(limxx x f x ______8.设函数)(x f 处处可导,且有1)0('=f ,并对任何实数x 和h ,恒有hx h f x f h x f 2)()()(++=+,则=)('x f __________9.设)(x f 是可导函数,且4)0()],1[sin(sin )('2=+=f x x f ,)(x f 的反函数是)(x y ϕ=,则=)('x ϕ__________ 10.若nn n x n x f ⎪⎪⎭⎫⎝⎛-=∞→2sin lim )(,则=)('x f __________ 11.设xe xf y 2sin)(==,则=)(sin2x d dy __________12.设132=++y xy x ,则==122x dxy d ____________13.若⎪⎩⎪⎨⎧=≠=0,00,1sin )()(x x xx g x f 0)0(')0(==g g ,则=)0('f __________14.若x x x f 2cos )(2=,则=)0()20(f__________15.设⎩⎨⎧>≤+=1,1,)(2x x x b ax x f ,在1=x 处可导,则_____________,==b a16.已知)()(x f x f -=-且0)('0≠=-m x f ,则=)('0x f _________ 16.设)()(ln y f e x f y =,其中f 可微,则=dy _________18.若⎩⎨⎧=为有理数时,当为无理数时当x x x x f 0,)(2,则=(0)'f _______19.曲线xy 1=在点)1 ,1(处切线的斜率是 ;20.曲线x y sin =在点π=x 处的切线斜率是 ;21.若函数)(x f y =在点0x 处可导,则它所对应的曲线在点))(,(00x f x 处的切线方程是 ; 22.过原点且斜率为x 2的曲线方程是 ;23.若抛物线2x y =与3x y =的切线平行,则=x ; 24.若2ax y =与x y ln =相切,则=a 25.曲线53)12()25(+=+x y 在点)51 ,0(-处的切线方程是 ;26.设函数x y cos ln =,则='y ;27.设奇函数)(x f 在点0x 处可导,且k x f =')(0,则=-')(0x f ; 28.设)()()(x a x x f ϕ-=在a x =处可导,且)(x ϕ在a x =处连续,则=')(0x f ;29.当x 很小时,≈xe ;30.当x 很小时,≈x sin ; 二、选择填空题1.设函数⎪⎩⎪⎨⎧=≠=0,00,1sin )(2x x xx x f ,则)(x f 在点0=x 处( )A.极限不存在B.极限存在但不连续C.连续但不可导D.可导2.设函数⎪⎩⎪⎨⎧=≠--=1,21,11)(2x x x x x f ,则在点1=x 处函数)(x f ,( )A.不连续B.连续但不可导C.可导但导数不连续D.可导且导数连续3.设函数)(x f 在区间()8,8-内有定义,若当()8,8-∈x 时恒有2)(x x f ≤,则0=x 必是)(x f 的( )A.间断点B.连续而不可导的点C.可导的点,且0)0('=fD.可导的点,且0)0('≠f4.两曲线b ax y xy +==2,1在点⎪⎭⎫⎝⎛21,2处相切,则( )A.43,161=-=b a B.41,161==b a C.29,1=-=b a D.27,1-==b a5.设函数x x x x f 233)(+=,则)0()(n f不存在的最小正整数n 必为( )A.1B.2C.3D.46.设周期函数)(x f 在()+∞∞-,内可导,周期为4,又12)1()1(lim 0-=--→xx f f x ,则曲线)(x f y =在点())5(,5f 处的切线的斜率为( )A.21 B.0 C.1- D.2-7.若x x x f sin )(=,则( )A.)0(f ''不存在B.0)0(=''fC.∞='')0(fD.π='')0(f8.若()4,0},,2max{)(3∈=x x x x f ,且知)('a f 不存在,()4,0∈a ,则必有( )A.1=aB.2=aC.3=aD.21=a9.若函数⎪⎩⎪⎨⎧=≠+=0,10,2sin )(x x x x xx f ,则)('x f 在点0=x 处( )A.存在但不连续B.不存在C.不仅存在而且连续D.无穷大10.若函数)(x f 对任意实数21,x x 均满足关系式2121()()(x f x f x x f =+,且2)0('=f ,则必有( )A.0)0(=fB.2)0(=fC.1)0(=fD.1)0(-=f 11.函数x x x xx f ---=32)2()(不可导的点的个数为( )A.3B.2C.1D.012.若)(x f 在0x 点可导,则)(x f 在0x 点处( ) A.必可导 B.连续但不一定可导 C.不可导 D.不连续13.设)()(x a x x f ϕ-=,而)(x ϕ在a x =处连续但不可导,则)(x f 在a x =处( ) A.连续但不可导 B.可能可导 C.仅有一阶导数 D.可能有二阶导数14.)(x f 在a x =处为二阶可导函数,则=--+→na f na f n a f n )(')()(lim( )A.2)(a f '' B.)(a f '' C.)(2a f '' D.)(a f ''-15.若函数)(x f 对任意x 均满足)(2)1(x f x f =+且有1)0(=f ,C f =)0(',则( )A.0)1('=fB.C f =)1('C.)1('f 不存在D.C f 2)1('=7.曲线x x y 33-=与直线L 相切,L 平行于x 轴,则L 与曲线x x y 33-=的切点是( ))(A )2,1(- )(B )2,1( )(C )2,1(-- )(D )0,0(8.设xx ee y -+=,则=)(n y( ))(A xxee -+ )(B xxee--)(C xnxee--+)1( )(D xn xee ---+1)1(9.抛物线2x y =上的点)41,21(-处的切线( ); )(A 平行于x 轴 )(B 垂直于x 轴 )(C 与x 轴正向的夹角为4π)(D 与x 轴正向的夹角为43π10.若函数)(x f y =在点0x 可导,则=∆-∆-→∆xx f x x f x )()(lim000( ); )(A )('0x f - )(B )('0x f )(C 0 )(D 不存在11.过曲线xx y -+=44上一点)3,2(的切线斜率是( );)(A 2- )(B 2 )(C 1- )(D 112.设x y sin 3=,则'y =( );)(A 3ln sin x3 )(B x xc o s s i n 3)(C 3ln cos sin x x3)(D x x s i n 1s i n -313.设5ln 5+=x y ,则=dy ( );)(A dx x x 15-⋅ )(B d x x x )515(1+⋅-)(C dx x)515ln 5(+ )(D dx x5ln 514.下列函数中,在1=x 处连续但不可导的函数是( );)(A 11-=x y )(B 1-=x y)(C )1ln(2-=x y )(D 2)1(-=x y15.设函数)(x f 可微,则=-+→h x f h x f h )()2(lim( );)(A )('x f - )(B)('21x f)(C )('2x f )(D )('3x f16.=)]'[cos(2x ( );)(A )sin(2x )(B )sin(2x - )(C )sin(22x x )(D )s i n (22xx - 17.设函数)(x f 可微,则在点 x 处,dy y -∆是关于x ∆的( )无穷小)(A 高阶 )(B 等价 )(C 低阶 )(D 同阶(不等价)18.函数在点0x 处连续是在该点处可微的( )条件)(A 充分但非必要 )(B 必要但非充分)(C 充分必要 )(D 既非充分也非必要19.两条曲线y =x1和b ax y +=2在点(2,21)处相切,则常数b a 、为( )(A)a =161,b =43 (B) a = - 161,b =43 (C) a =161,b =41 (D) a =-161,b =4120.设x x f arctan)(=,则=--→hx f h x f h )()(lim000( ))(A11x + )(B 011x +-)(C )1(2100x x +-)(D012x x +21.若⎩⎨⎧=+≠=02sin 0)(x x b x e x f ax 在0=x 处可导,则b a ,的值应为( ))(A 1,2==b a )(B 2,1==b a )(C 1,2=-=b a )(D 1,2-==b a22.设)()()(x a x x f ϕ-=,而)(x ϕ在a x =处连续但不可导,则)(x f 在a x =处( ))(A 连续但不可导 )(B 可能可导,也可能不可导 )(C 仅有一阶导数 )(D 可能有二阶导数23.可导的周期函数其导数( ))(A 一定仍是周期函数,但周期不一定相同 )(B 一定仍是周期函数,且周期相同 )(C 一定不是周期函数 )(D 不一定是周期函数25.已知x y sin =,则=)10(y( ))(A x sin )(B x s i n - )(C x c o s )(D x c o s -26.已知x x y ln =,则=)10(y( ))(A 91x-)(B 91x)(C 9!8x)(D 9!8x-27.已知)(x f ey =,则=''y ( ))(A )(x f e )(B )()(x f ex f '')(C )]()([)(x f x f ex f ''+' )(D )}()]({[2)(x f x f ex f ''+'28.设若xyy x =,则='y ( ))(A xy yx x y 22 )(B x xy x y xy y ln ln 22--)(C )1(ln )1(ln --x x y y )(D yy x x x y ln ln29.设⎪⎩⎪⎨⎧>≤=1132)(23x x x x x f ,则)(x f 在1=x 处( ))(A 左、右导数都存在 )(B 左导数存在,但右导数不存在 )(C 左导数不存在,但右导数存在 )(D 左、右导数都不存在三、计算题3.设()()4x f ,0x f 00='=,试求极限()xx x f lim 00x ∆∆+→∆。
数学分析课本(华师大三版)-习题及答案02第二章数列极限习题§1数列极限概念1、设n a =nn)1(1-+,n=1,2,…,a=0。
(1)对下列ε分别求出极限定义中相应的N :1ε=0.1,2ε=0.01,3ε=0.001;(2)对1ε,2ε,3ε可找到相应的N ,这是否证明了n a 趋于0?应该怎样做才对;(3)对给定的ε是否只能找到一个N ? 2、按ε—N 定义证明:(1)∞→n lim 1+n n =1;(2)∞→n lim 2312322=-+n n n ;(3)∞→n lim n n n !;(4)∞→n lim sinn π=0;(5)∞→n lim n an=0(a >0)。
3、根据例2,例4和例5的结果求出下列极限,并指出哪些是无穷小数列:(1)∞→n limn1;(2)∞→n limn3;(3)∞→n lim 31n ;(4)∞→n lim n 31;(5)∞→n limn21;(6)∞→n limn10;(7)∞→n lim n21。
4、证明:若∞→n lim n a = a ,则对任一正整数k ,有∞→n lim k n a += a 。
5、试用定义1'证明:(1)数列{n1}不以1为极限;(2)数列{n n )1(-}发散。
6、证明定理2.1,并应用它证明数列{nn)1(1-+}的极限是1。
7、证明:若∞→n lim n a = a ,则∞→n lim |n a |= |a|。
当且仅当a 为何值时反之也成立?8、按ε—N 定义证明:(1)∞→n lim )1(n n -+=0;(2)∞→n lim3321n n++++ =0;(3)∞→n lim n a =1,其中,1nn -n 为偶数, n a =nnn +2,n 为奇数。
§2收敛数列的性质1、求下列极限:(1)∞→n lim 32413323++++n n n n ;(2)∞→n lim 221n n +;(3)∞→n lim 113)2(3)2(+++-+-n n nn ;(4)∞→n lim )(2n n n -+;(5)∞→n lim )1021(n n n +++ ;(6)∞→n lim n n31313121212122++++++ 。
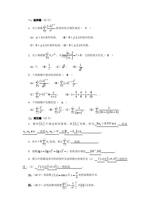
一、选择题(12分) 1.关于级数()111n pn n -∞=-∑收敛性的正确答案是( C )(A )1p >时条件收敛; (B )01p <≤时绝对收敛; (C )01p <≤时条件收敛;(D )01p <≤时发散。
2.关于幂级数21n n n a x ∞=∑,有1lim0n n na l a +→∞=>,它的收敛半径是( D ) (A )l ; (B )1l; (C; (D3.下列级数中绝对收敛的是( B ) (A )111n n -∞=-∑; (B )()31112n n n n ∞-=-∑; (C )()111ln1n n nn ∞-=-+∑; (D )3456146810-+-+-。
4.下列级数中发散的是( A )(A )312nn n ∞=∑; (B )1!n n n n ∞=∑;(C )()11ln nn n ∞=∑; (D )()()113134n n n ∞=++∑。
二、填空题(12分)1.数列{}n S 不满足柯西准则,则{}n S 发散,即为 00,N ε+∃>∀∈,存在+,虽然2.若10,nn a a∞=>∑收敛,那么21nn a∞=∑ 收敛 。
3.级数()()23lg lg lg x x x +++的收敛区域是 ()110,10- 。
4.傅立叶级数逐项可积的条件及逐项微分的条件是(1) ()f x 在[],ππ-上按段光滑 。
(2) ()f x 在[],ππ-上一致收敛 。
三、(10分)求函数()cos f x x =在4x π=处的泰勒展开式。
四、(10分)证明函数项级数2111nn n ∞=⎛⎫+ ⎪⎝⎭∑在1x <连续。
五、(12分)在区间(),ππ-内将函数()2x f x e =展成傅立叶级数。
六、(8分)如果1n n a ∞=∑条件收敛,证明lim1nn nP Q →∞=,其中()()11,22n n n n n n P s Q s σσ=+=-, 这里()11,1,2,nnn nn nk k as a n σ=====∑∑。
华东师范大学数学分析第四版第三章答案一、填空题。
1.同学们做了80朵纸花,如果每5朵扎一束,可以扎( )束,如果每6朵扎一束,可以扎( )束,还剩下( )朵。
2.用46吨水泥去翻新房子,每套房子会用3吨,这些水泥最多能够翻新( )套房子。
3.有40人排队,至少出去( )人就可以平均站成3路纵队,至少增加( )人也可以站成3路纵队。
4.国庆节摆气球,按照“白、徐、蓝、黑、蓝”的顺序摆,一共摆了50个气球,其中第32个气球就是( )色,第50个就是( )色。
5.找规律填数。
(1)85,80,75,70,( ),( )。
(2)2,6,18,54,( ),( )。
(3)96,48,24,( ),( )。
二、选择题。
(把正确答案的序号填在括号里)1.做一套衣服枕头2米,35米短的布最多可以搞( )套这样的衣服。
A.16B.17C.182.某公司存有44吨货物须要装运,每辆车最多可以装3吨,最少须要( )辆这样的汽车。
A.14B.15C.163.某公园门票就是每张4元,82元最多可以卖( )张门票。
A.20B.21C.224.现在存有80个苹果须要放到包装盒里,至少换成( )个苹果就能够并使每个包装盒里的苹果都就是6个。
A.1B.2C.3三、计算题。
1.直接写出得数。
56÷7=32÷4= 20÷5=45÷9=48÷8=18÷3= 42÷7=84÷4=30×5=13×3= 50×4=80×7=2.列竖式计算。
75÷5=50÷4= 47÷3=68÷4=78÷6=92÷7= 85÷6=96÷8=四、解决问题。
1.科学小组的同学养了48条金鱼,每个鱼缸里养3条,需要多少个金鱼缸?2.学校图书馆存有故事书89本,平均值让给4个班级,每个班级可以分给多少本?还剩下多少本?一、1.16 13 22.153.1 24.黄蓝5.(1)65 60 (2)162 486 (3)12 6二、1.B 2.B 3.A 4.B三、1.8 8 4 5 6 6 6 21 150 39 200 5602.15 12......215......217 13 13 (1)14 (112)四、1.48÷3=16(个)。
第八章 不定积分一. 填空题1.若x e f x+='1)(,则=)(x f ___________2.设)(x f 的一个原函数为xxe ,则='⎰dx x f x )(_____________ 3.若xe-是)(x f 的一个原函数,则⎰=dx x xf )(________________4.若[]1)(3='x f ,则=)(x f ____________ 5.⎰=dx x x ),max(2___________________6.若)(x f 有原函数x x ln ,则⎰=''dx x f x )(_______________ 7.⎰=dx xx 2sin)ln(sin ________________8.若⎰⎰+++=+xdx B xx A x dx cos 21cos 21sin )cos 21(2,则=A __________,=B __________9.设C x dx x xf +=⎰arcsin )(,则⎰=)(x f dx _________10.⎰=-)4(x x dx _________________11.⎰=-dx xx 21ln _________________12.[]=-⎰dx xx x a n)cos(ln )sin(ln ________________13.[]⎰='+dxx f x x f )()(________________14.⎰=+xedx 1_____________15.⎰=+dx x xex 2)1(_____________________16.=++⎰dx xx x x cos 2sin cos 3sin 4______________17.已知x x x f 22tansin )cos 2(+=+',则=)(x f _______________18.[]⎰=+'dx x f x f 2)(1)(______________19. 若⎰+=C x F dx x f )()(,而),(x u ϕ=则⎰=du u f )(___________. 20设函数)(x f 的二阶导数)(x f ''连续,那么⎰=''__________)(dx x f x . 21设)(x f 的原函数是xx sin ,则⎰='__________)(dx x f x .22已知曲线)(x f y =上任一点的切线斜率为6332--x x ,且1-=x 时,211=y 是极大值,则)(x f __________=;)(x f 的极小值是__________.23已知一个函数的导数为211)(xx f -=,并且当1=x 时,这个函数值等于π23,则这个函数为__________)(=x F . 24 设)1(cos )(sin22<='x x x f ,则)(x f __________=.25 若)(x f 为连续函数,且)()(x f x f =',则⎰=__________)(dx x f . 26 若⎰='x dx x f ln ))((,则)(x f __________=. 27 已知2xe -是)(xf 的一个原函数,则⎰=__________sec )(tan 2xdx x f .28⎰='__________)2(12dx x f x. 29 设C xxdx x f ++-=⎰11)(,则)(x f __________=.30 在积分曲线族⎰dx xx 1中,过(1,1)点的积分曲线是__________=y .二、选择填空题 1.设dx e e I xx⎰+-=11,则=I ( )A.C e x++)1ln( B.C x e x+-+)1ln(2 C.C e x x++-)1ln(2 D.C e x+-)1ln(2.设)(x f 是连续的偶函数,则期原函数)(x F 一定是( ) A.偶函数 B.奇函数 C.非奇非偶函数 D.有一个是奇函数3.设⎰⎰+=++=)1(,)1(121u u du I dx xe x x I x,则存在函数)(x u u =,使( )A.x I I +=21B.x I I -=21C.12I I -=D.12I I = 4.当1-≠n 时,⎰=xdx x nln ( ) A.C nx nxn+-)1(ln B.C n x n xn +----)11(ln 11C.C n x xn n ++-++)11(ln 111D.C x n xn +++ln 117.⎰=+dx x x )2sin2(cos ( )A.C x x +-)2cos2(sin 2 B.C x x +-)2sin2(cos2C.C xx +-2cos 2sin D.C x x +-2sin 2cos8.⎰=++dx xxx cos 1sin ( )A.C x x +2cotB.C x x +2tanC.C x x+cot 2 D.C x x +2tan 29.若)(x f 的导函数是x e xcos +-,则)(x f 的一个原函数为( )A.x excos -- B.x exsin +-- C.x e xcos --- D.x exsin +-10.若)(x f 是以l 为周期的连续函数,则其原函数( )。
(三十二)数学分析试题(二年级第一学期)一 叙述题(每小题10分,共30分)1 叙述含参变量反常积分⎰+∞adx y x f ),(一致收敛的Cauchy 收敛原理。
2 叙述Green 公式的内容及意义。
3 叙述n 重积分的概念。
二 计算题(每小题10分,共50分)1.计算积分⎰+-=C yx ydx xdy I 2243,其中C 为椭圆13222=+y x ,沿逆时针方向。
2.已知 ),,(y z xz f z -= 其中),(v u f 存在着关于两个变元的二阶连续偏导数,求z 关于y x ,的二阶偏导数。
3.求椭球体1222222=++cz b y a x 的体积。
4.若l 为右半单位圆周,求⎰lds y ||。
5.计算含参变量积分⎰+-=π2)cos 21ln( )(dx a x a a I (1<a )的值。
三 讨论题(每小题10分,共20分)1 若积分在参数的已知值的某邻域内一致收敛,则称此积分对参数的已知值一致收敛。
试讨论积分⎰∞++=0221xa adxI 在每一个固定的a 处的一致收敛性。
2 讨论函数dx yx x yf y F ⎰+=122)()(的连续性,其中)(x f 在]1,0[上是正的连续函数。
数学分析试题(二年级第一学期)答案1一 叙述题(每小题10分,共30分)1 含参变量反常积分⎰+∞adx y x f ),(关于y 在],[d c 上一致收敛的充要条件为:对于任意给定的0>ε, 存在与y 无关的正数0A , 使得对于任意的0,A A A >',],[ ,),(d c y dx y x f A A∈<⎰'ε成立。
2 Green 公式:设D 为平面上由光滑或分段光滑的简单闭曲线所围的单连通区域。
如果函数),(),,(y x Q y x P 在D 上具有连续偏导数,那么⎰⎰∂∂∂-∂∂=+DDdxdy xPx Q Qdy Pdx )(,其中D ∂取正向,即诱导正向。
华东师范大学2004数学分析一、〔30分〕计算题。
1、求2120)2(cos lim x x x x -→ 2、假设)),sin(arctan 2ln x x e y x +=-求'y .3、求⎰--dx x xe x 2)1(. 4、求幂级数∑∞=1n n nx 的和函数)(x f .5、L 为过)0,0(O 和)0,2(πA 的曲线)0(sin >=a x a y ,求⎰+++L dy y dx y x .)2()(3xdx a x da dy x a y cos sin ,sin ===6、求曲面积分⎰⎰++S zdxdy dydz z x )2(,其中)10(,22≤≤+=z y x z ,取上侧..二、〔30分〕判断题〔正确的证明,错误的举出反例〕1、假设},,2,1,{ =n x n 是互不相等的非无穷大数列,则}{n x 至少存在一个聚点).,(0+∞-∞∈x2、假设)(x f 在),(b a 上连续有界,则)(x f 在),(b a 上一致连续.3、假设)(x f ,)(x g 在]1,0[上可积,则∑⎰=∞→=-n i n dx x g x f n i g n i f n 110)()()1()(1lim . 4、假设∑∞=1n n a 收敛,则∑∞=12n n a 收敛.5、假设在2R 上定义的函数),(y x f 存在偏导数),(y x f x ,),(y x f y 且),(y x f x ,),(y x f y 在(0,0)上连续,则),(y x f 在(0,0)上可微.6、),(y x f 在2R 上连续,})()(|),{(),(2202000r y y x x y x y x D r ≤-+-= 假设⎰⎰=>∀∀r D dxdy y x f r y x ,0),(,0),,(00 则.),(,0),(2R y x y x f ∈= 三、〔15分〕函数)(x f 在).,(+∞-∞上连续,且,)(lim A x f x =∞→ 求证:)(x f 在).,(+∞-∞上有最大值或最小值。
华东师范大学2004数学分析试题
华东师范大学2004数学分析
一、(30分)计算题。
1、求21
2
0)2(cos lim x x x x -→ 2、若)),sin(arctan 2ln x x e y x +=-求'y .
3、求⎰--dx x xe x
2)
1(. 4、求幂级数∑∞
=1n n nx 的和函数)(x f .
5、L 为过)0,0(O 和)0,2
(π
A 的曲线)0(sin >=a x a y ,求⎰+++L dy y dx y x .)2()(3 xdx a x da dy x a y cos sin ,sin === 6、求曲面积分⎰⎰++S
zdxdy dydz z x )2(,其中)10(,22≤≤+=z y x z ,取上侧. .
二、(30分)判断题(正确的证明,错误的举出反例)
1、若},,2,1,{ =n x n 是互不相等的非无穷大数列,则}{n x 至少存在一个聚点).,(0+∞-∞∈x
2、若)(x f 在),(b a 上连续有界,则)(x f 在),(b a 上一致连续.
3、若)(x f ,)(x g 在]1,0[上可积,则∑⎰=∞→=-n i n dx x g x f n i g n i f n 1
10)()()1()(1lim . 4、若∑∞=1n n a 收敛,则∑∞=1
2n n a 收敛.
5、若在2R 上定义的函数),(y x f 存在偏导数),(y x f x ,),(y x f y 且),(y x f x ,),(y x f y 在(0,0)上连续,则),(y x f 在(0,0)上可微.
6、),(y x f 在2R 上连续,})()(|),{(),(2202000r y y x x y x y x D r ≤-+-= 若⎰⎰=>∀∀r
D dxdy y x f r y x ,0),(,0),,(00 则.),(,0),(2R y x y x f ∈=
三、(15分)函数)(x f 在).,(+∞-∞上连续,且,)(lim A x f x =∞→ 求证:)(x f 在).,(+∞-∞上有最大值或最小值。
四、(15分)求证不等式:].1,0[,122∈+≥x x x
五、设)(x f n , ,2,1=n 在],[b a 上连续,且)(x f n 在],[b a 上一致收敛于)(x f .若],[b a x ∈∀,0)(>x f .求证:,0,>∃δN 使],[b a x ∈∀,N n >,.)(δ>x f n
六、(15分)设}{n a 满足(1);,2,1,1000 ++=≤≤k k n a a n k (2)级数∑∞=1n n a
收敛.
求证:0lim =∞
→n n na . 七、(15分)若函数)(x f 在),1[+∞上一致连续,求证:x
x f )(在),1[+∞上有界. 八、(15分)设),,(),,,(),,,(z y x R z y x Q z y x P 在3R 有连续偏导数,而且对以任意点),(00,0z y x 为中心,以任意正数r 为半径的上半球面,,)()()(:02202020z z r z z y y x x S r ≥=-+-+- 恒有⎰⎰r S .0),,(),,(),,(=++dxdy z y x R dzdx z y x Q dydz z y x P
求证: .0),,(),,(,0),,(),,,(=+=∀z y x Q z y x P z y x R z y x y x。