集装箱船舶-F.CAMELLIA稳性计算表
- 格式:xls
- 大小:634.50 KB
- 文档页数:22
船舶稳性和吃水差计算船舶稳性和吃水差计算Ship stability and trim calculations1.总则General rules保证船舶稳性和强度在任何时候都保持在船级社认可的稳性计算书规定范围内,防止因受载不当,产生应力集中造成船体结构永久性变形或损伤。
Ensure stability and strength of the ship at all times to maintain stability within stability calculations approved by the classification societies in order to prevent due to load improperly resulting in stress concentration which will cause the ship structure permanent deformation or subversion.2.适用范围Sphere of application公司所属和代管船舶的稳性、强度要求To satisfy the requirement of company owned and managed ships stability and strength3.责任Responsibility3.1.大副根据本船《装载手册》或《稳性计算手册》等法定装载资料,负责合理配载或对相关部门提供的预配方案进行核算,确保船舶稳性及强度处于安全允许值范围。
Based on the ship "loading manual" or "stability calculations manual" and other legal loading information, the chief officer is responsible for making reasonable stowage plan or adjust accounts of the pre plan from relevant departments to ensure stability and strength of the ship in a safe range of allowed values.3.2.船长负责审批大副确认的配载方案和稳性计算。
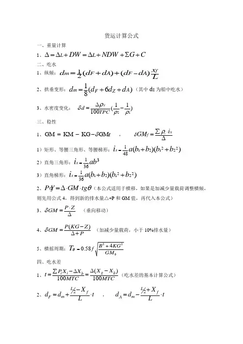
货运计算公式一、重量计算1、C G NDW DWL L +∑++∆=+∆=∆ 二、吃水1、纵倾:12()()fm F A F A x d d d d d L -=++ 2、拱垂变形:)6(81A Z F md d d d ++=(其中d z 为船中吃水) 3、水密度变化:2111()100S d δρρρ∆=- 三、稳性 1、f GM KM KG GM δ=-- , i x fGM i δρ⋅∑=∆ 1)矩形、等腰三角形、等腰梯形:))((222121481b b b b a x i ++=2)直角三角形:3361ab x i =3)直角梯形:))((222121361b b b b a x i ++=2、P Y GM tg θ⋅=∆⋅⋅ (本公式适用于横移,如果是加减少量载荷调整横倾,则先用公式4,得到新的排水量△+P 和GM 值,再代入本公式)3、P Z GMδ⋅=∆ (垂向移动) 4、()P KG Z GM Pδ-=∆+ (加减少量载荷,小于10%排水量) 5、横摇周期:022458.0GM KG B f T +=θ四、吃水差1、()100100g i i b b X X PX X MTC MTCt ∆-∑-∆==(吃水差的基本计算公式) 2、2L fm F X d d t L -=+⋅ , 2L fm A X d d t L +=-⋅3()100i i f P X X t MTC δ∑-=,210100L f i F F X P d d t L TPCδ-∑=++⋅,210100L f i A A X P d d t L TPC δ+∑=+-⋅(加减少量载荷) 4、吃水差调整(1)100t P XN MTC ⋅=⋅⋅ (纵向移动,精确计算) (2)()100t f P X X N MTC -=⋅⋅ (加减少量载荷,近似计算,因为没有考虑MT C 随着排水量变化)5、舷外水密度变化引起的吃水差的变化ρδδd x x t MTCTPC f b )(-= 五、重大件装卸1、吊卸()b b P Y P Y tg P Z GM θ⋅+⋅=⋅∆-∆排水量不变。
船名:编写:何杰 QQ:78160000 安全、简便、高效,用科技改变生活,让一切变的更简单!柜内进行操**6666**1**BAY 19BAY 21BAY 23BAY 25111111111111111111116611111111111111111111666******66666111116***111111*666666*****66666***666116333236666*****66666***36NO.2 HOLDBAY 09BAY 11BAY 13BAY 15111111BAY 171111111111111111111111166661*****1111111666****1666*666*6666********166666集 装 箱 船 装 载 计 划 (分多层重量精确计算法,无高平柜分)新海绣 轮航次:1003N 装货港:黄埔卸货港:上海日期:2010-1-22NO.1 HOLD BAY 01BAY 03BAY 05BAY 07666661**6**6666*******66***11BAY 27111111使用说明:注:考虑到目前超高柜较多的在计算时假设甲板柜一二层全三四层为平柜,尽可能保证安分港添色说明,按要求给只能在11020E 20DF 20DE 27282940F140F240F340E 40HE 40DF 40FE****151630313233港口1234567891011121314尚余箱型编码040F240F340E 40HE 40DF 40FE 20F120F21718192021222324252640F1装载批示区上海34353620F120F220E 20DF 20DE 40F140F240F340E 40HE 40DF 40FE 20F120F220E 20DF 20DE 分港添色稳性值平均吃水首吃水184稳性核算夏季载重热带载重吃水差底锁扭锁-0.3510装DGE 23天津0**1515合计:2723887767.811612185.65001总排水量2526.2舷外水密度改变后状态**Dm港序港口统计0000001515011640'00卸GF自然柜TEUE HE DGF DGE E DGF 上海011111272F 10107767.8标准海水中5241.6比例32.5%67.5%由排水量查表上限下限GM 011111003880**1NO.3 HOLD11116666661111111*11**666666666*666*116611*********66666*6*****6***66***66666****6666666**6*NO1底压(P)212NO1底压(S)212货物统计(T)甲板改变前水密度1111120'-0.358020F NO2底压(P)5NO2底压(S)5NO3底压(P)5NO1边压(P)NO1边压(S)NO2边压(P)NO2边压(S)NO3边压(P)NO3边压(S)222222NO1压(P)NO1压(S)NO4边压(P)2NO4边压(S)2舱内NO2淡水(S)冷却水舱55船舶实1 6.79&d &t Md 甲板一层加物对稳111*1g /cm 376881390此表中摇摆IMO给6.93-0.27甲板二层加物对稳此表中摇摆周期和稳性的关系根据法定规则给出0.150.08船舶实际状态参考估算稳性平均吃水t Df'17.33g /cm 3摇摆周期摇摆系数自由液面**NO3底压(S)5211二层一层三层平均下沉吃水差变化平均吃水吃水差首吃水尾吃水船舶各水舱数据Df 1空船3479.4851重量合计天津上海艏尖舱5艉尖舱(P)0艉尖舱(S)0NO1淡水(P)10舱内改变后水密度000重量7767.8船舶总体状态参考区0.566.786.78DaT 吃水差尾吃水摇摆周期12221.112116.30.566.78-0.356.60甲板箱位四层甲板三层加物对稳7.06Da'116.95出口箱量统计区需要在配载中说明的重要备注甲板各层标67总载重常数 1.025188t 877767.81160港序港口装卸重1重220E DF DE 重1重2重3E HE DF DE 清单分港重量单重20E 20D 40F 40E 40D 自然柜TEU 重量统计单重29.227428.8三层二层一层0.0272388150150.00.00.00.0NO1淡水(S)100NO2淡水(P)21重量合计2############0.00.0####0.00.00.00.00.00.00.00.00.00.00.00.0右开锁左开锁坏锁可用总量需求量富余量392392208184锁具清点及航次所需锁具量显示注:当富余量为红色显示时锁具可能数量不够!清点日期2009-11-5240240需求量富余量16080底锁航次需求量统计扭锁航次需求量统计2NO1轻油日用NO2轻油日用NO1燃油溢油NO2燃油溢油033污油舱残油舱轻油沉淀舱NO6边压(P)2NO6边压(S)2NO2压(P)NO2压(S)NO5边压(P)2NO5边压(S)2辅机滑油储存燃油日用舱轻油舱 P S 舱内箱位污水舱5552727767.8151116船舶各油舱数据在船标箱在船总箱全船总箱90780020主机滑油循环01小计:700上海15151163887767.8TEU重量NO1燃油舱40主机滑油储存6NO2燃油舱燃油沉淀舱港口20F 20E 20D 40F 40E 40D 合计15150116003887767.80000000000000388单重7.57.561.45正常断把锁坏锁可用总量3重量合计00.00.00.00.00.00.00.00.00.00.00.00.000装港卸港箱型代码编码待装已装尚余单重合计分港在船重量20F1F 1150150029.2438020F2F22110272720E E 355042020DF DF 40000020DEDE 50000040F1F 6116116028.8334140F2F 70000040F380000040E E 90000040HE 100000040DF DF 110000040DE 120000020F1JF 130000020F2140000020E E 150000020DF D 160000020DE170000040F1JY 180000040F2H 190000040F3H200000040E 210000040HE 220000040DF 230000040DE240000020F1DX 250000020F2260000020E 270000020DF 280000020DE290000040F1DX 300000040F231内进行数据输入操作***1**BOX总箱量2总重量1*11较多的情况下,现二层全为超高柜,保证安全要求给字体加色合计标柜TEU天津上海40FE 7767.80007767.836216箱位总计216船标箱位船总箱重船总箱位3885297767.8。
油船稳性计算书1. 概述本船为国内近海航区一级油船。
本计算书根据2004年版《非国际航行海船法定检验技术规则》第四篇第7章完整稳性(以下简称《规则》)的有关规定对本船的满载出港、满载到港、压载出港、压载到港、满载出港加结冰、半载出港、半载到港、半载出港加结冰八种装载情况进行计算与校核。
2. 主要要素长 L 117.01 m 总OA两柱间长 Lpp 106.80 m型宽 B 15.00 m型深 D 7.90 m设计吃水 T 6.40 m方型系数 C 0.7732 b3 计算工况八种工况:满载出港、满载到港、压载出港、压载到港、满载出港结冰、半载出港、半载到港、半载出港加结冰。
13.1满载出港表1 满载出港装载情况表垂向坐标纵向坐标横向坐标序号项目重量力臂重量矩力臂重量矩力臂重量矩(t) (m) (t.m) (m) (t.m) (m) (t.m) 1 1756.880 6.060 10646.693 -4.700 -8257.336 0.000 0.000 空船2 2.000 11.200 22.400 -43.000 -86.000 0.000 0.000 船员及行李3 1.000 11.200 11.200 -43.000 -43.000 0.000 0.000 备品4 190.000 7.000 1330.000 -55.000 -10450.000 0.000 0.000 淡水5 240.000 4.800 1152.000 -38.800 -9312.000 0.000 0.000 燃油9 5750.000 4.900 28175.000 2.680 15410.000 0.000 0.000 货油舱5.198 42240.255 -2.502 -20334.211 0.000 0.000 8125.755满载出港表2 满载出港工况稳性计算与衡准表满载出港3797.295 797.295排水量D,t, 型排水体积V(m)2.360 9.0 平均吃水d (m) 型宽B (m)1.4812.731 重心垂向高度KG(m) 初稳性高GM (m) O静、动稳性曲线:横倾角(deg) 静稳性力臂L(m) 动稳性力臂Ld(m)0.000 0.000 010 0.458 0.24420 0.629 0.40430 0.665 0.48740 0.638 0.50550 0.563 0.54460 0.455 0.539稳性衡准:θ(deg) 横摇角自摇周期T(s) 3.457 33.869 1θ动稳性力臂Ld(m) 风压倾斜力臂Lf (m) 0.124 0.011最大静稳性力臂L (m) 稳性衡准K=Ld/Lf 10.833 0.665进水角θ(deg) 16.02 j3.2满载到港表3满载到港装载情况表序号项目重量垂向坐标纵向坐标横向坐标2力臂重量矩力臂重量矩力臂重量矩(t) (m) (t.m) (m) (t.m) (m) (t.m) 1 1756.880 6.060 10646.693 -4.700 -8257.336 0.000 0.000 空船2 2.000 11.200 22.400 -43.000 -86.000 0.000 0.000 船员及行李3 1.000 11.200 11.200 -43.000 -43.000 0.000 0.000 备品4 24.000 1.800 43.200 -38.800 -931.200 0.000 0.000 10%燃油5 14.000 1.500 21.000 -37.900 -530.600 0.000 0.000 10%轻油6 1.588 9.200 14.610 -49.000 -77.812 0.000 0.000 10%滑油7 19.000 5.500 104.500 -55.000 -1045.000 0.000 0.000 10%淡水8 30.000 2.460 73.800 -50.400 -1512.000 0.000 0.000 艉轴水舱9 5750.000 4.900 28175.000 2.680 15410.000 0.000 0.000 货油舱5.147 39112.402 0.385 2927.052 0.000 0.000 7598.468满载到港表4 满载到港工况稳性计算与衡准表满载到港3785.865 785.865排水量D,t, 型排水体积V(m)9.0 平均吃水d (m) 型宽B (m) 2.3291.4572.782 重心垂向高度KG(m) 初稳性高GM (m) O静、动稳性曲线:横倾角(deg) 静稳性力臂L(m) 动稳性力臂Ld(m)0.000 0.000 010 0.475 0.25220 0.667 0.42230 0.713 0.51440 0.689 0.56250 0.611 0.58060 0.499 0.576稳性衡准:θ(deg) 横摇角自摇周期T(s) 3.455 33.869 1θ动稳性力臂Ld(m) 风压倾斜力臂Lf (m) 0.144 0.013最大静稳性力臂L (m) 稳性衡准K=Ld/Lf 10.857 0.713进水角θ(deg) 19.01 j3.3压载出港表5压载出港装载情况表序号项目重量垂向坐标纵向坐标横向坐标3力臂重量矩力臂重量矩力臂重量矩(t) (m) (t.m) (m) (t.m) (m) (t.m) 1 1756.880 6.060 10646.693 -4.700 -8257.336 0.000 0.000 空船2 2.000 11.200 22.400 -43.000 -86.000 0.000 0.000 船员及行李3 1.000 11.200 11.200 -43.000 -43.000 0.000 0.000 备品4 190.000 7.000 1330.000 -55.000 -10450.000 0.000 0.000 淡水5 240.000 4.800 1152.000 -38.800 -9312.000 0.000 0.000 燃油6 140.000 4.800 672.000 -37.900 -5306.000 0.000 0.000 轻油舱柜7 15.875 9.900 157.163 -49.000 -777.875 0.000 0.000 滑油舱柜8 30.000 2.460 73.800 -50.400 -1512.000 0.000 0.000 艉轴水舱9 120.000 3.300 396.000 46.100 5532.000 0.000 0.000 NO1压载舱10 200.000 5.300 1060.000 40.450 8090.000 0.000 0.000 NO2压载舱11 165.000 0.550 90.750 28.900 4768.500 0.000 0.000 NO3压载舱12 219.000 0.540 118.260 13.140 2877.660 0.000 0.000 NO4压载舱13 256.000 0.540 138.240 -5.029 -1287.424 0.000 0.000 NO5压载舱14 200.000 0.550 110.000 -23.000 -4600.000 0.000 0.000 NO6压载舱15 50.000 7.000 350.000 -34.400 -1720.000 0.000 0.000 NO7压载舱16 40.000 8.000 320.000 -0.300 -12.000 0.000 0.000 结冰4.592 16648.505 -6.094 -22095.475 0.000 0.000 3625.755压载出港表6压载出港工况稳性计算与衡准表3159.295 159.295排水量D,t, 型排水体积V(m)平均吃水d (m) 型宽B (m) 0.533 9.02.008 2.105 重心垂向高度KG(m) 初稳性高GM (m) O静、动稳性曲线:横倾角(deg) 静稳性力臂L(m) 动稳性力臂Ld(m)0 0.000 0.00010 1.635 0.88220 2.076 1.40730 2.072 1.62940 1.889 1.72550 1.570 1.73260 1.139 1.645稳性衡准:θ(deg) 横摇角自摇周期T(s) 4.791 15. 284 1θ动稳性力臂Ld(m) 风压倾斜力臂Lf (m) 0.619 0.077最大静稳性力臂L (m) 稳性衡准K=Ld/Lf 8.049 1.739进水角θ(deg) 90.000 j3.4压载到港表7压载到港装载情况表序号项目重量垂向坐标纵向坐标横向坐标4力臂重量矩力臂重量矩力臂重量矩(t) (m) (t.m) (m) (t.m) (m) (t.m) 1 1756.880 6.060 10646.693 -4.700 -8257.336 0.000 0.000 空船2 2.000 11.200 22.400 -43.000 -86.000 0.000 0.000 船员及行李3 1.000 11.200 11.200 -43.000 -43.000 0.000 0.000 备品4 24.000 1.800 43.200 -38.800 -931.200 0.000 0.000 10%燃油5 14.000 1.500 21.000 -37.900 -530.600 0.000 0.000 10%轻油6 1.588 9.200 14.610 -49.000 -77.812 0.000 0.000 10%滑油7 19.000 5.500 104.500 -55.000 -1045.000 0.000 0.000 滑油舱柜8 30.000 2.460 73.800 -50.400 -1512.000 0.000 0.000 艉轴水舱9 120.000 3.300 396.000 46.100 5532.000 0.000 0.000 NO1压载舱10 200.000 5.300 1060.000 40.450 8090.000 0.000 0.000 NO2压载舱11 165.000 0.550 90.750 28.900 4768.500 0.000 0.000 NO3压载舱12 219.000 0.540 118.260 13.140 2877.660 0.000 0.000 NO4压载舱13 256.000 0.540 138.240 -5.029 -1287.424 0.000 0.000 NO5压载舱14 200.000 0.550 110.000 -23.000 -4600.000 0.000 0.000 NO6压载舱15 50.000 7.000 350.000 -34.400 -1720.000 0.000 0.000 NO7压载舱16 40.000 8.000 320.000 -0.300 -12.000 0.000 0.000 结冰4.364 13520.652 0.376 1165.788 0.000 0.000 3098.468压载到港表8 压载到港工况稳性计算与衡准表33098.468 3022.896排水量D,t, 型排水体积V(m)2.613 15.0 平均吃水d (m) 型宽B (m)4.364 3.448 重心垂向高度KG(m) 初稳性高GM (m) O静、动稳性曲线:横倾角(deg) 静稳性力臂L(m) 动稳性力臂Ld(m)0.000 0.000 010 0.482 0.04220 1.021 0.17330 1.494 0.39340 1.692 0.67150 1.580 0.95660 1.255 1.204稳性衡准:横摇角θ(deg) 自摇周期T(s) 7.032 15.079 1θ动稳性力臂Ld(m) 风压倾斜力臂Lf (m) 0.656 0.128最大静稳性力臂L (m) 稳性衡准K=Ld/Lf 5.111 1.692进水角θ(deg) 90.000 j3.5满载出港加结冰表9 满载出港加结冰装载情况表序号项目重量垂向坐标纵向坐标横向坐标5力臂重量矩力臂重量矩力臂重量矩(t) (m) (t.m) (m) (t.m) (m) (t.m) 1 1756.880 6.060 10646.693 -4.700 -8257.336 0.000 0.000 空船2 2.000 11.200 22.400 -43.000 -86.000 0.000 0.000 船员及行李3 1.000 11.200 11.200 -43.000 -43.000 0.000 0.000 备品4 190.000 7.000 1330.000 -55.000 -10450.000 0.000 0.000 淡水5 240.000 4.800 1152.000 -38.800 -9312.000 0.000 0.000 燃油6 140.000 4.800 672.000 -37.900 -5306.000 0.000 0.000 轻油舱柜7 15.875 9.900 157.163 -49.000 -777.875 0.000 0.000 滑油舱柜8 30.000 2.460 73.800 -50.400 -1512.000 0.000 0.000 艉轴水舱9 5750.000 4.900 28175.000 2.680 15410.000 0.000 0.000 货油舱10 40.000 8.000 320.000 -0.300 -12.000 0.000 0.000 结冰5.212 42560.255 -2.492 -20346.211 0.000 0.000 8165.755满载出港加结冰表10 满载出港加结冰工况稳性计算与衡准表满载出港加结冰38165.755 7966.59排水量D,t, 型排水体积V(m)平均吃水d (m) 型宽B (m) 6.466 15.05.212 1.068 重心垂向高度KG(m) 初稳性高GM (m) O静、动稳性曲线:横倾角(deg) 静稳性力臂L(m) 动稳性力臂Ld(m)0.000 0.000 010 0.191 0.01720 0.278 0.05830 0.237 0.10340 0.134 0.13550 -0.005 0.14660 -0.186 0.130稳性衡准:横摇角θ(deg) 自摇周期T(s) 10.591 14.288 1θ动稳性力臂Ld(m) 风压倾斜力臂Lf (m) 0.118 0.010最大静稳性力臂L (m) 稳性衡准K=Ld/Lf 11.273 0.278进水角θ(deg) 60.18 j3.6半载出港表11半载出港装载情况表6垂向坐标纵向坐标横向坐标序号项目重量力臂重量矩力臂重量矩力臂重量矩(t) (m) (t.m) (m) (t.m) (m) (t.m) 1 1756.880 6.060 10646.693 -4.700 -8257.336 0.000 0.000 空船2 2.000 11.200 22.400 -43.000 -86.000 0.000 0.000 船员及行李3 1.000 11.200 11.200 -43.000 -43.000 0.000 0.000 备品4 190.000 7.000 1330.000 -55.000 -10450.000 0.000 0.000 淡水5 240.000 4.800 1152.000 -38.800 -9312.000 0.000 0.000 燃油6 140.000 4.800 672.000 -37.900 -5306.000 0.000 0.000 轻油舱柜7 15.875 9.900 157.163 -49.000 -777.875 0.000 0.000 滑油舱柜8 30.000 2.460 73.800 -50.400 -1512.000 0.000 0.000 艉轴水舱9 2875.000 2.450 7043.750 2.680 7705.000 0.000 0.000 货油舱4.020 21109.005 -5.340 -28039.211 0.000 0.000 5250.755满载出港表12半载出港工况稳性计算与衡准表35250.755 5122.688排水量D,t, 型排水体积V(m)平均吃水d (m) 型宽B (m) 4.439 15.04.020 1.786 重心垂向高度KG(m) 初稳性高GM (m) O静、动稳性曲线:横倾角(deg) 静稳性力臂L(m) 动稳性力臂Ld(m)0.000 0.000 010 0.320 0.02820 0.694 0.11630 1.099 0.27340 1.246 0.47850 1.126 0.68560 0.853 0.857稳性衡准:θ(deg) 横摇角自摇周期T(s) 8.248 7.198 1θ动稳性力臂Ld(m) 风压倾斜力臂Lf (m) 0.546 0.070最大静稳性力臂L (m) 稳性衡准K=Ld/Lf 7.770 1.246进水角θ(deg) 84.43 j3.7半载到港表13半载到港装载情况表7垂向坐标纵向坐标横向坐标序号项目重量力臂重量矩力臂重量矩力臂重量矩(t) (m) (t.m) (m) (t.m) (m) (t.m) 1 1756.880 6.060 10646.693 -4.700 -8257.336 0.000 0.000 空船2 2.000 11.200 22.400 -43.000 -86.000 0.000 0.000 船员及行李3 1.000 11.200 11.200 -43.000 -43.000 0.000 0.000 备品4 24.000 1.800 43.200 -38.800 -931.200 0.000 0.000 10%燃油5 14.000 1.500 21.000 -37.900 -530.600 0.000 0.000 10%轻油6 1.588 9.200 14.610 -49.000 -77.812 0.000 0.000 10%滑油7 19.000 5.500 104.500 -55.000 -1045.000 0.000 0.000 10%淡水8 30.000 2.460 73.800 -50.400 -1512.000 0.000 0.000 艉轴水舱9 2875.000 2.450 7043.750 2.680 7705.000 0.000 0.000 货油舱3.807 17981.152 -1.012 -4777.948 0.000 0.000 4723.468满载到港表14 半载到港工况稳性计算与衡准表34723.468 4608.261排水量D,t, 型排水体积V(m)3.959 15.0 平均吃水d (m) 型宽B (m)3.807 1.955 重心垂向高度KG(m) 初稳性高GM (m) O静、动稳性曲线:横倾角(deg) 静稳性力臂L(m) 动稳性力臂Ld(m)0.000 0.000 010 0.351 0.03120 0.761 0.12830 1.261 0.30440 1.476 0.54350 1.368 0.79160 1.082 1.005稳性衡准:θ(deg) 横摇角自摇周期T(s) 7.588 7.149 1θ动稳性力臂Ld(m) 风压倾斜力臂Lf (m) 0.659 0.077最大静稳性力臂L (m) 稳性衡准K=Ld/Lf 8.568 1.476进水角θ(deg) 89.37 j3.8半载出港加结冰表15 半载出港加结冰装载情况表8垂向坐标纵向坐标横向坐标序号项目重量力臂重量矩力臂重量矩力臂重量矩(t) (m) (t.m) (m) (t.m) (m) (t.m) 1 1756.880 6.060 10646.693 -4.700 -8257.336 0.000 0.000 空船2 2.000 11.200 22.400 -43.000 -86.000 0.000 0.000 船员及行李3 1.000 11.200 11.200 -43.000 -43.000 0.000 0.000 备品4 190.000 7.000 1330.000 -55.000 -10450.000 0.000 0.000 淡水5 240.000 4.800 1152.000 -38.800 -9312.000 0.000 0.000 燃油6 140.000 4.800 672.000 -37.900 -5306.000 0.000 0.000 轻油舱柜7 15.875 9.900 157.163 -49.000 -777.875 0.000 0.000 滑油舱柜8 30.000 2.460 73.800 -50.400 -1512.000 0.000 0.000 艉轴水舱9 2875.000 2.450 7043.750 2.680 7705.000 0.000 0.000 货油舱10 40.000 8.000 320.000 -0.300 -12.000 0.000 0.000 结冰4.050 21429.005 -5.302 -28051.211 0.000 0.000 5290.755满载出港加结冰表16 半载出港加结冰工况稳性计算与衡准表半载出港加结冰35290.755 5161.712 排水量D,t, 型排水体积V(m)平均吃水d (m) 型宽B (m) 4.473 15.04.050 1.763 重心垂向高度KG(m) 初稳性高GM (m) O静、动稳性曲线:横倾角(deg) 静稳性力臂L(m) 动稳性力臂Ld(m)0.000 0.000 010 0.316 0.02820 0.686 0.11530 1.078 0.26940 1.217 0.46950 1.094 0.67160 0.821 0.838稳性衡准:θ(deg) 横摇角自摇周期T(s) 7.741 7.279 1θ动稳性力臂Ld(m) 风压倾斜力臂Lf (m) 0.536 0.069最大静稳性力臂L (m) 稳性衡准K=Ld/Lf 7.726 1.217进水角θ(deg) 84.03 j4.稳性总结9表11 稳性总结表满载序满载满载压载压载项目单位出港号出港到港出港到港加结冰 t 1 排水量 8125.755 3625.755 8165.755 7598.468 3098.468 m 2 平均吃水 6.40 5.933 3.188 2.613 6.466 m 3 初稳性高GM 1.019 0.968 2.784 3.448 1.068 Om 4 最大静稳性臂l 0.311 0.386 1.742 1.906 0.279 deg 5 进水角θ61.66 66.53 90.000 90.000 60.18 jm 6 最小倾覆力臂lq 0.124 0.144 0.619 0.656 0.118 m 7 风压倾斜力臂lf 0.011 0.013 0.077 0.128 0.0108 稳性衡准数K 10.833 10.857 8.049 5.111 11.2739 结论满足满足满足满足满足(续)半载序半载半载项目单位出港号出港到港加结冰t 1 排水量 5250.755 5290.755 4723.468m 3.959 4.473 2 平均吃水 4.439m 1.786 1.955 1.763 3 初稳性高GM Om 1.246 1.479 1.217 4 最大静稳性臂ldeg 84.43 89.37 84.03 5 进水角θ jm 6 最小倾覆力臂lq 0.546 0.659 0.536m 7 风压倾斜力臂lf 0.070 0.077 0.0698 稳性衡准数K 7.770 8.568 7.7269 结论满足满足满足结论:八种装载情况在各种工况下均满足法规要求。
船舶稳性要求计算第一节通则7.1.1 适用范围7.1.1.1 本章适用于在广西内河现有挖砂与运砂的下列船舶: (1) 链斗式挖砂船; (2) 绞吸式挖砂船; (3) 抓斗式挖砂船; (4) 普通货船型运砂船; (5) 设有砂舱的抓斗挖砂船。
7.1.1.2 本章不适用漏斗型砂舱自运自卸砂船。
7.1.2 空船排水量和重心位置的确定7.1.2.2 确因条件限制而难以进行倾斜试验时,可采用造船工程中有关计算方法确定空船排水量和空船重心位置。
当计算空船重心距基线的距离KG 0小于下列规定值时,应取下列规定值: (1) 没有设置挖砂设备的运砂船舶:① 深舱型运砂船 KG 0≥0.80DK m② 半舱型运砂船 KG 0≥0.8D (1+0.25)K m③ 甲板型运沙船 KG 0≥1.0DK m式中:KG 0 ——空船重心至基线的垂直距离,m ;K ——系数,按下列规定选取: K =1.0 仅有干舷甲板和顶蓬甲板;DhK =1.02 干舷甲板上有2层甲板室甲板(含顶蓬甲板);K=1.09 干舷甲板上有3层甲板室甲板(含顶蓬甲板); K =1.14 干舷甲板上有4层甲板室甲板(含顶蓬甲板); D ——型深,m ;h ——载货甲板至基线的垂直距离,m 。
(2) 设有竖杆、吊杆和抓斗的自挖自运砂船: ① 深舱型KG 0 =0.93D K m ② 半舱型KG 0=0.93D (1+0.25)K m(3) 链斗挖砂船:KG 0 =1.00D K m (4) 绞吸式挖砂船KG 0 =0.9D K m 式中:各符号含义同上述(1)中规定。
7.1.3 稳性计算7.1.3.1 与稳性有关的所有计算应采用造船工程中可接受的方法,如用计算机计算,应注明计算方法,并提交输入数据和计算结果。
7.1.3.2 设计参数为本章定义的相应参数的中间值时,实取数值用内插法求得。
7.1.3.3 稳性计算完成后应按常规编制“船舶稳性总结表”。
7.1.3.4 船舶稳性计算虽已符合本章要求,但船长仍应注意船舶装载、气象和水文情况,并做好以下安全措施: (1) 严禁超载航行; (2) 砂舱内砂面应平舱; (3) 满载状态下严禁全速回转;(4) 抓斗挖砂船的抓斗斗容应按稳性计算所规定的斗容进行作业。
集装箱船舶计算公式集装箱船舶是一种专门用于运输集装箱的船舶,它们通常具有高度的自动化和大容量的货舱,能够快速、高效地装卸货物。
在设计和运营集装箱船舶时,需要进行各种计算来确保船舶的安全和经济性。
本文将介绍集装箱船舶的一些常见计算公式,以帮助读者更好地理解这一领域。
1. 载重量计算公式。
集装箱船舶的载重量是指船舶能够携带的货物重量,通常以“标准箱单位”(TEU)来计算。
标准箱单位是指20英尺长的集装箱,其标准尺寸为20英尺×8英尺×8英尺6英寸。
集装箱船舶的载重量可以通过以下公式来计算:载重量 = 载重系数×船舶的总货舱容积。
其中,载重系数是指每立方米货舱容积能够携带的标准箱单位数量,通常为0.14-0.16个标准箱单位/立方米。
通过这个公式,船舶设计者可以根据船舶的货舱容积来确定其最大载重量,从而为船舶的设计和运营提供参考。
2. 排水量计算公式。
集装箱船舶的排水量是指船舶在水中排开水的重量,是确定船舶浮力和稳定性的重要参数。
排水量可以通过以下公式来计算:排水量 = 载重量 + 船舶的结构重量。
其中,载重量是指船舶携带货物的重量,船舶的结构重量包括船体、船舱、设备和燃料等重量。
通过这个公式,船舶设计者可以确定船舶的最大排水量,从而为船舶的结构设计和稳性计算提供依据。
3. 船舶稳性计算公式。
船舶的稳性是指船舶在水中的平衡能力,是确保船舶安全航行的重要条件。
船舶的稳性可以通过以下公式来计算:稳性 = 船舶的初始稳性×载重量。
其中,船舶的初始稳性是指船舶在设计状态下的稳定性,通过这个公式可以确定船舶在不同载重条件下的稳定性情况,为船舶的安全航行提供依据。
4. 燃油消耗计算公式。
集装箱船舶在航行过程中需要消耗大量的燃油,燃油消耗的计算对船舶的经济性和环保性具有重要意义。
燃油消耗可以通过以下公式来计算:燃油消耗 = 船舶的航速×航程×燃油消耗率。
其中,船舶的航速是指船舶在航行中的速度,航程是指船舶的航行距离,燃油消耗率是指船舶在单位航程内消耗的燃油量。
Fwd(-)Aft(+)Fwd(-)空船重量3,115.06005.8020常数5.000042.8900(A)共计3,120.0600NO.1货舱–33.0420–NO.2货舱– 1.8000–NO.3货舱–25.4930机舱–44.7580集装箱全船 021,806.0000 4.79508,659.7700集装箱全船 041,430.0000 4.79506,856.8500集装箱全船 061,430.0000 4.79506,856.8500甲板一层 821,958.00001.5520甲板二层 840.0000 1.5520甲板三层 86–1.5520(B)货舱6,624.000022,373.4700轻油舱 P&S 15.000045.6970轻油沉淀柜 P&S 3.000048.9340轻油日用柜 3.000048.2360轻油日用柜3.000047.5370燃油舱 P&S 100.000045.6970重油日用柜 1 3.000048.2360重油日用柜 24.000047.5370重油沉淀柜 (边) 3.000048.9340燃油溢油舱6.000041.2490滑油循环舱 (中) 6.000045.7920滑油循环舱 (尾)0.900052.4247主机滑油舱 5.000039.1500主机沉淀舱 2.000040.7250辅机滑油舱 2.000041.8000(C)共计155.9000NO.1 淡水舱 P&S 52.4380NO.2 淡水舱 P&S 50.000054.8910尾淡水舱 P&S 50.000057.6460(D)共计100.0000首尖舱0.000056.64200.0000NO.1 底压载 P&S 0.000042.86100.0000NO.2 底压载 P&S 460.000024.763011,390.9800NO.3 底压载 P&S 0.00000.75000.0000NO.4 底压载 P&S0.000025.0230(B)货舱(C)油舱(D)淡水(E)压载舱LCG (M)项目重量LongitudinalNO.1 压载舱 P&S0.000045.84400.0000 NO.1 边压载 P&S0.000029.32800.0000 NO.2 边压载 P&S0.00000.750024.9040NO.3 边压载 P&S0.00000.0000(E)共计460.000011,390.9800总计10,459.960033,764.4500稳性高度 KM7.5000重心高度 KG 6.5391初稳性高度 GM0.9609自由液面修正 GG00.0195稳性高度 G0M0.9415Vert.Moment Momeng ofInertiaAft(+)(t-m)(p-i)18,073.5781 6.445020,076.5617214.450013.790068.950018,288.028120,145.51175.53605.4740– 5.4740–5.50902.61104,715.46605.21707,460.31007.823011,186.89003,038.816011.810023,123.98000.000014.41700.0000–17.02303,038.816046,486.6460685.4550 6.074091.110017.6000146.8020 6.947020.8410 1.3000144.7080 6.925020.7750 1.7000142.6110 6.907020.7210 1.70004,569.7000 4.3700437.000058.0000144.7080 6.925020.7750 1.6500190.1480 6.907027.6280 1.7300146.8020 6.947020.8410 1.4900247.49400.6250 3.7500 3.0700274.75200.6540 3.92400.500047.18220.78800.70920.2700195.7500 6.800034.00000.330081.4500 6.800013.60000.160083.6000 6.800013.60000.17007,101.1622729.274289.67006.71400.00002,744.55007.3680368.400014.50002,882.30007.1960359.800099.50005,626.8500728.2000114.00005.19600.00000.70800.00000.6710308.66000.66900.00000.00000.67600.0000KG(M)inal Momengt2.64200.00003.96600.00000.0000 3.90500.00003.97300.00000.0000308.660034,054.856468,398.2919203.6700。
集装箱的配载、箱位标注、稳性计算【超全干货帖】集装箱船舶配载集装箱船舶配载概述一:集装箱配载的含义与作用1:含义集装箱船舶配载是指把预定装载出口的集装箱,按船舶的运输要求和码头的作业要求而制定的具体装载计划。
2:作用•满足船舶稳性、吃水差、负荷强度等技术规范,保证船舶的安全航行;•满足不同货物的装载要求,保证货物运输的安全质量;•充分利用船舶的运输能力,提高船舶的箱位利用率;•合理安排堆场进箱计划,减少翻箱倒箱,提高堆场的利用率;•有效组织码头装船作业,提高生产作业效率;•码头装船作业签证的原始依据和吞吐量实绩的统计资料。
集装箱配载所需要的资料为了科学合理地做好配载工作,首先应掌握详尽的配载所需的资料,这些资料主要有:集装箱船舶资料1.集装箱船舶箱位容量:是指船舶最大的载箱数量,通常用TEU 表示。
2.船舶堆积负荷强度:包括舱底和甲板所设集装箱底座所允许堆积的集装箱最大重量,又分为20英尺箱和40英尺箱两种,配载时必须注意无论舱内或是舱面,每一列集装箱的总重量不能超过船舶所规定的堆积负荷强度,尤其在同一列配载有较多重箱或超重箱时,更应注意,一面损伤船体。
3.船舶的长度宽度和吃水要求:长度包括总长LOA和两柱间长LBP,总长是靠泊的依据,也是陪在人员决定装卸路数的依据;LBP是配载后计算吃水差的依据。
宽度通常指形宽,是决定使用不同外伸距岸吊的依据,也是计算船舶摇摆周期和初稳性高度的依据。
吃水指的是满载吃水。
4.冷藏箱位和对危险货物箱位的限制:每条船都有自己的最大冷藏箱位数量和危险货物最大箱位数量的限制,不能超过。
5.空船重量和常数。
6.温性和吃水差计算书。
任何船舶都需要配备以用作配载使用。
堆场集装箱资料1.集装箱装箱单(Container Load Plan)是详细记载每一个集装箱内所装货物名称、数量、尺码、重量、标志和箱内货物积载情况的单证,对于特殊货物还应加注特定要求,比如对冷藏货物要注明对箱内温度的要求等。
集装箱船舶稳性强度操作须知目录1目的2适用范围3 职责4 安全须知5安全管理记录编写:海务经理审核:指定人员批准:总经理版本号:1.0 生效日期:2008.04.01 修正号:0.11 目的旨在规范集装箱船舶稳性和强度的操作,确保船舶安全。
2 适用范围适用于集装箱船舶稳性和强度的操作。
3 职责3.1 大副根据《装载手册》或《稳性计算书》和本船航次承运货单,合理配载,使船舶稳性及强度处于安全允许值范围。
3.2 船长负责审批大副制定的配载方案和稳性计算。
4 实施步骤4.1 船舶在每次装卸前后大副应利用配载仪或人工认真进行船舶稳性及强度计算校核,包括装卸前的预算和装卸后的船舶局部强度和应力状况的核算,货箱发生变化后,要重新进行计算。
4.2 开航前,大副应完成初稳性高度的计算。
稳性计算结果应满足hc -⊿h>hL式中:hc:计算的初稳性高度。
⊿h:自由液面修正值。
hL:临界初稳性高度。
计算船舶静水弯矩和剪力不得超过允许值。
4.3 大副要将稳性计算中的重要内容摘录记在《船舶稳性计算记录簿》中,报船长审核确认签字。
4.4 船舶航行中,值班驾驶员应经常测定船体的摇摆周期,核算初稳性高度值,一旦出现摇摆周期超长或摇摆复原过缓等稳性不良状态时,应及时报告船长,船长应迅速采取改善稳性的各种有效措施,确保航行安全。
4.5 船舶在装卸货箱期间,也应保证具有足够的稳性。
5 安全管理记录5.1 《船舶稳性计算记录簿》由公司根据船舶状况统一制作、印刷、下发,由大副负责填写,每本记完后保存三年。
版本号:1.0 生效日期:2008.10.10 修正号:0.2。