中国食物成分表2017完整版
- 格式:xls
- 大小:1.57 MB
- 文档页数:72
中国食物成分表标准版 2023一、食物种类介绍中国食物成分表标准版 2023收集了五大类食物,包括谷类、豆类及其制品、动物类食品、蔬菜类和水果类。
各类食物中的主要营养成分及含量进行了详细描述。
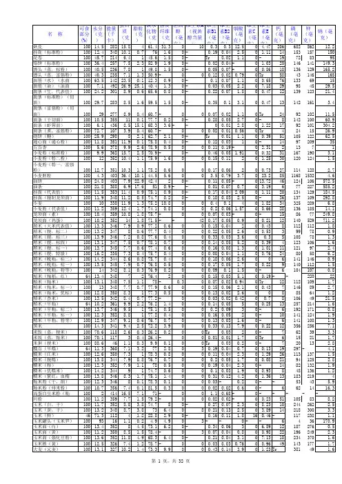
二、食物成分表食物成分表部分包含能量、蛋白质、脂肪、碳水化合物、维生素和矿物质等18个主要营养成分数据。
通过对比分析各类食物成分数据,能够科学评价食物营养价值。
三、食物名称及代码为便于对各类食物进行标识和比较,本标准对所收集的食物进行了统一的代码编制,方便查阅和使用。
四、食物成分标准本标准规定了各类食物中主要营养成分的参考值,为评价食物营养价值提供了依据。
同时,还规定了各类食物中水分、灰分、膳食纤维等成分的限量,确保食物的品质和安全。
五、食物营养价值评价依据食物成分表中的数据和食物成分标准,采用科学的方法对各类食物进行营养价值评价。
评价内容包括营养素的含量、比例以及营养素的生物利用率等方面。
通过评价,为消费者提供科学的食物选择依据。
六、食物营养成分的比较方法为了方便消费者对各类食物进行比较,本标准提供了食物营养成分的比较方法。
消费者可以根据自己的需求,选择合适的比较方法和指标,对各类食物进行全面的比较和评估。
七、营养学基础本部分介绍了营养学的基本概念、原理和方法,为读者提供了必要的营养学基础知识。
通过了解营养学基础,消费者能够更好地理解食物的营养价值和合理搭配,从而科学地进行膳食管理。
八、食品标签与营养标识为了让消费者更加直观地了解食品的营养成分,本部分对食品标签和营养标识的要求进行了说明。
详细介绍了标签上必须标明的营养成分、含量及计算方法,并规范了营养标识的格式和标注位置。
同时,还强调了企业在食品包装上真实标注营养成分的义务,保护消费者的知情权和选择权。
九、食物贮存与加工方式对营养价值的影响本部分探讨了食物贮存与加工方式对营养价值的影响。
通过分析不同贮存和加工方式下食物中营养成分的变化,为消费者提供合理的食物保存和烹饪建议。
中国食物成分表最新权威完整改进版《中国食物成分表最新权威完整改进版》民以食为天,食物是我们生存和发展的基础。
了解食物的成分对于我们合理膳食、保持健康至关重要。
而中国食物成分表则是我们获取食物成分信息的重要依据。
中国食物成分表是对我国各类食物营养成分的详细记录和分析。
它涵盖了丰富多样的食物种类,包括谷类、豆类、蔬菜、水果、肉类、蛋类、奶类等等。
随着科学技术的不断进步和人们对健康需求的日益提高,中国食物成分表也在不断更新和改进。
最新权威完整改进版的中国食物成分表具有诸多重要意义。
首先,对于普通民众来说,它能帮助我们更好地了解所摄入食物的营养成分,从而合理搭配饮食,满足身体对各种营养素的需求。
比如,我们可以通过查看成分表,知道某种水果富含维生素 C,某种谷类富含膳食纤维,进而有针对性地选择食物,预防营养不良或营养过剩。
其次,对于专业的营养师和医生来说,这份成分表是制定个性化饮食方案和治疗疾病的重要工具。
例如,对于患有糖尿病的患者,营养师可以根据成分表中食物的碳水化合物含量,为其设计合理的饮食计划,帮助控制血糖水平。
对于需要减肥的人群,医生可以依据成分表中食物的热量和营养成分比例,制定科学的减肥食谱。
再者,对于食品行业的研发和生产也具有指导作用。
食品企业可以根据成分表中的数据,开发更符合消费者健康需求的新产品。
同时,在食品标签的标注上,也能依据成分表提供准确、详细的营养信息,让消费者能够做出更明智的购买决策。
在最新的改进版中,食物成分的测定方法更加科学和精确。
采用了先进的检测技术和设备,能够更准确地测定食物中的各种营养素,包括微量营养素。
同时,对于一些新出现的食物种类和加工方式,也进行了详细的成分分析和记录。
此外,改进版的中国食物成分表还增加了更多关于食物中生物活性成分的信息。
例如,某些食物中含有的抗氧化物质、植物化学物等,这些成分对于预防慢性疾病、提高身体免疫力具有重要作用。
为了更好地使用中国食物成分表最新权威完整改进版,我们需要掌握一些基本的方法和技巧。
2017中国居民膳食宝塔,学会健康饮食 每天吃12种食物,谷类为主 在新版指南中着重强调“食物多样,谷类为主。”中国居民平均每天需摄入12种以上的食物,其中全谷物和杂豆类50~150g,薯类50~100g。每天最好能吃50克以上的粗粮。由于这些食物中含有丰富的不可溶性纤维素,有利于保障消化系统正常运转。它与可溶性纤维协同工作,可降低血液中低密度胆固醇和甘油三酯的浓度;增加食物在胃里的停留时间,延迟饭后葡萄糖吸收的速度,降低高血压、糖尿病、肥胖症和心脑血管疾病的风险。而且纤维素有助于抵抗胃癌、肠癌、乳腺癌、溃疡性肠炎等多种疾病。
餐餐有蔬菜,深色蔬菜占1/2 每天要保证摄入300~500g蔬菜,其中深色蔬菜需要占摄入蔬菜量的1/2。 一般来说,叶菜类的叶子颜色愈深,所含钙、铁、胡萝卜素、维生素B2及维生素C也愈多,其中钙和铁的含量深色菜叶比浅色者一般要多1~2倍到数十倍;胡萝卜素、维生素B2及维生素C要多5~10倍或10倍以上。叶菜类的叶片越薄营养成分也越高。这些营养成分有助于身体免收自由基的侵害。
天天吃水果,不要用果汁代替 每天保证摄入200~350g新鲜水果,不要少吃但也不能多吃。另外果汁也不能替代鲜果。 :1、纤维有益美肤 水果的纤维质为果胶物质,有益排便;纤维成分另外还可以促进身体的代谢功能。因为水果可以增加人体的排泄和代谢,因此有益瘦身。 2、维生素让人美丽 水果主要供给的营养素是维生素,其中以维生素C和维生素A最为重要,水果的维生素C不像烹煮蔬菜时会大量流失,因此是维生素C的天然补充食品。维生素C能延缓老化,是美容不可缺乏的营养素。 3、多吃水果有益健康 水果中含有天然色素,能有效预防癌症,而含有β胡萝卜素的部分水果,在吃进人体内会转变成维生素A,可以防止细胞遭受自由基的伤害。另外,在柑橘类水果中的抗癌物质——类生物黄碱素,可以帮助脂溶性致癌物质转化为水溶性,有利排出体外。
每天8杯水,少喝饮料 尽量饮用白开水和茶水,不喝或少喝含糖饮料。除此之外还要做到规律饮水,不要等到口渴才喝。因为当你感觉口渴,已经是缺水的最后一个信号了。 所以我们基本可以遵循以下规律: 早上空腹一杯温开水 9点左右喝一杯 午饭前一小时喝一杯 午饭后一小时喝一杯 下午3点左右喝一杯 晚饭前一小时喝一杯 晚餐后一小时喝一杯 睡觉前喝一杯 多吃奶类和大豆 每天液体奶保证300g,也可以通过吃各种奶制品达到摄入量。经常吃豆制品