数学软件与建模1-1矩阵基本运算
- 格式:pdf
- 大小:370.04 KB
- 文档页数:25
matlab 矩阵代数计算【原创版】目录一、矩阵的基本概念1.矩阵的定义2.矩阵的行和列3.矩阵的转置4.矩阵的加减法5.矩阵的乘法6.矩阵的左除7.矩阵的右除8.矩阵的点运算二、MATLAB 中的矩阵运算1.MATLAB 中如何实现矩阵的加减法2.MATLAB 中如何实现矩阵的乘法3.MATLAB 中如何实现矩阵的左除4.MATLAB 中如何实现矩阵的右除5.MATLAB 中如何实现矩阵的点运算三、如何用 MATLAB 计算一个矩阵和大量矩阵1.使用 for 循环2.使用 cellfun 函数正文一、矩阵的基本概念矩阵是数学中的一个重要概念,它由一定数量的行和列组成。
矩阵的每一个元素都可以用一个有序的二元组表示,例如:mx(m,n) 表示一个位于第 m 行第 n 列的元素。
1.矩阵的定义矩阵是一个由数字或函数组成的矩形阵列,通常用大写字母表示,如A、B 等。
矩阵的每一个元素都是一个向量,它可以是一个标量、向量或矩阵。
2.矩阵的行和列矩阵的行数和列数决定了矩阵的大小,通常用“m×n 矩阵”表示一个具有 m 行 n 列的矩阵。
3.矩阵的转置矩阵的转置是将矩阵的行和列互换,用 a"表示矩阵 a 的转置。
4.矩阵的加减法矩阵的加减法是将两个矩阵的对应元素相加或相减,结果是一个新的矩阵。
例如,ca-b 表示矩阵 c 减去矩阵 b。
5.矩阵的乘法矩阵的乘法是将两个矩阵的对应行和列元素相乘,结果是一个新的矩阵。
例如,dab 表示矩阵 a 和矩阵 b 的乘积。
6.矩阵的左除矩阵的左除是用“/”符号表示,它表示求解方程 ax=b 的解。
7.矩阵的右除矩阵的右除是用“”符号表示,它表示求解方程 xb=a 的解。
8.矩阵的点运算矩阵的点运算是对两个矩阵的对应元素进行运算,例如,ca.b 表示矩阵 c 和矩阵 b 的对应元素相乘。
二、MATLAB 中的矩阵运算MATLAB 是一种广泛使用的数学软件,它可以方便地实现矩阵的代数运算。
matlab 矩阵语法MATLAB是一种高级的数学计算软件,支持矩阵运算。
矩阵是MATLAB中最基本的数据类型之一,它可以用来存储和处理数字、字符和逻辑数据。
在MATLAB中,矩阵有着非常重要的作用,因为它们可以用来表示向量、多项式、转换矩阵、图像等等。
一、MATLAB矩阵的定义在MATLAB中,可以使用以下方式来定义一个矩阵:1. 使用方括号[] 来创建一个矩阵,并使用逗号或空格来分隔每个元素。
例如:A = [1, 2, 3; 4, 5, 6; 7, 8, 9]这将创建一个3x3的矩阵A,其中第一行为1、2、3,第二行为4、5、6,第三行为7、8、9。
2. 使用内置函数来创建特殊类型的矩阵。
例如:- zeros(m,n):创建一个m×n全零矩阵- ones(m,n):创建一个m×n全1矩阵- eye(n):创建一个n×n的单位矩阵- rand(m,n):创建一个m×n随机数矩阵例如:B = zeros(3,4)这将创建一个3x4全零矩阵B。
二、MATLAB矩阵的索引在MATLAB中,可以使用以下方式来访问矩阵中的元素:1. 使用下标索引。
例如:A(1,2)这将返回矩阵A中第一行第二列的元素。
2. 使用冒号运算符:来访问某个范围内的元素。
例如:A(1:2, 2:3)这将返回矩阵A中第一行到第二行,第二列到第三列的元素。
三、MATLAB矩阵的运算在MATLAB中,可以对矩阵进行多种类型的运算,包括加减乘除、转置、求逆等等。
1. 加减乘除运算使用加减乘除运算符可以对两个矩阵进行相应的操作。
例如:C = A + B这将对两个矩阵A和B进行相加,并将结果存储在新的矩阵C中。
2. 转置运算使用单引号 ' 或者函数transpose可以对一个矩阵进行转置操作。
例如:D = A'这将把矩阵A进行转置,并将结果存储在新的矩阵D中。
3. 求逆运算使用函数inv可以对一个方阵求逆。
矩阵的运算及其运算规则在数学和计算机科学等领域中,矩阵是一种非常重要的工具,它有着广泛的应用。
要深入理解和运用矩阵,就必须掌握矩阵的运算及其运算规则。
矩阵的加法是矩阵运算中较为基础的一种。
两个矩阵相加,只有当它们的行数和列数都分别相等时才能进行。
比如说,有矩阵 A 和矩阵B ,若它们都是 m 行 n 列的矩阵,那么它们的和C 就是对应的元素相加。
即 C 中第 i 行第 j 列的元素等于 A 中第 i 行第 j 列的元素加上 B 中第 i 行第 j 列的元素。
矩阵的减法与加法类似,只不过是对应元素相减。
接下来是矩阵的数乘运算。
如果有一个矩阵 A ,用一个实数 k 去乘这个矩阵,得到的新矩阵 B 中每个元素都是矩阵 A 中对应元素乘以 k 。
矩阵乘法是矩阵运算中比较复杂但也非常重要的一种运算。
两个矩阵能相乘,要求第一个矩阵的列数等于第二个矩阵的行数。
假设矩阵A 是 m 行 n 列,矩阵B 是 n 行 p 列,那么它们的乘积C 是一个 m 行 p 列的矩阵。
矩阵 C 中第 i 行第 j 列的元素是矩阵 A 的第 i 行元素与矩阵B 的第 j 列对应元素相乘之和。
比如说,有矩阵 A = 1 2; 3 4 ,矩阵 B = 5 6; 7 8 ,那么 A 乘以 B ,先计算 C 的第一行第一列的元素,就是 A 的第一行 1 2 与 B 的第一列5; 7 对应元素相乘相加,即 1×5 + 2×7 = 19 。
需要注意的是,矩阵乘法一般不满足交换律,也就是说,通常情况下,AB 不等于 BA 。
矩阵的转置也是一种常见的运算。
将矩阵 A 的行换成同序数的列得到的新矩阵,叫做 A 的转置矩阵,记作 A^T 。
比如矩阵 A = 1 2 3; 4 5 6 ,那么它的转置矩阵 A^T = 1 4; 2 5; 3 6 。
矩阵的逆运算是在方阵(行数和列数相等的矩阵)中定义的。
对于一个 n 阶方阵 A ,如果存在另一个 n 阶方阵 B ,使得 AB = BA = I (其中 I 是单位矩阵,主对角线元素为 1 ,其余元素为 0 的方阵),那么矩阵 B 就称为矩阵 A 的逆矩阵,记作 A^(-1) 。
矩阵的基本运算矩阵是数学中非常重要的一个概念,它在各个领域都有着广泛的应用。
矩阵的基本运算包括矩阵的加法、减法、数乘和矩阵的乘法等。
本文将围绕这些基本运算展开讨论。
首先,我们来讲解矩阵的加法。
如果两个矩阵A和B的维数相同,即都是m行n列的矩阵,那么它们可以相加。
矩阵的加法运算是将对应位置的元素相加得到新的矩阵。
即若A=(a_{ij}),B=(b_{ij}),则A+B=(a_{ij}+b_{ij})。
例如,给定两个矩阵A和B如下:A = [1 2 3][4 5 6]B = [7 8 9][10 11 12]则A与B的和C为:C = [1+7 2+8 3+9][4+10 5+11 6+12]简化运算后,C的结果为:C = [8 10 12][14 16 18]接下来我们讨论矩阵的减法。
矩阵的减法运算与加法类似,也是将对应位置的元素相减得到新的矩阵,即若A=(a_{ij}),B=(b_{ij}),则A-B=(a_{ij}-b_{ij})。
例如,给定两个矩阵A和B如下:A = [1 2 3][4 5 6]B = [7 8 9][10 11 12]则A与B的差D为:D = [1-7 2-8 3-9][4-10 5-11 6-12]简化运算后,D的结果为:D = [-6 -6 -6][-6 -6 -6]矩阵的数乘是指将一个矩阵的每个元素都乘以一个实数。
即若A=(a_{ij})是一个m行n列的矩阵,k是一个实数,那么kA=(ka_{ij})。
例如,给定一个矩阵A和一个实数k如下:A = [1 2 3][4 5 6]k = 2则kA的结果为:kA = [2*1 2*2 2*3][2*4 2*5 2*6]简化运算后,kA的结果为:kA = [2 4 6][8 10 12]最后我们来讨论矩阵的乘法。
矩阵的乘法运算是指矩阵与矩阵之间进行乘法运算,得到一个新的矩阵。
矩阵的乘法有一定的规则,即若A是一个m行n列的矩阵,B是一个n行p列的矩阵,那么它们可以相乘,得到一个m行p列的矩阵C。
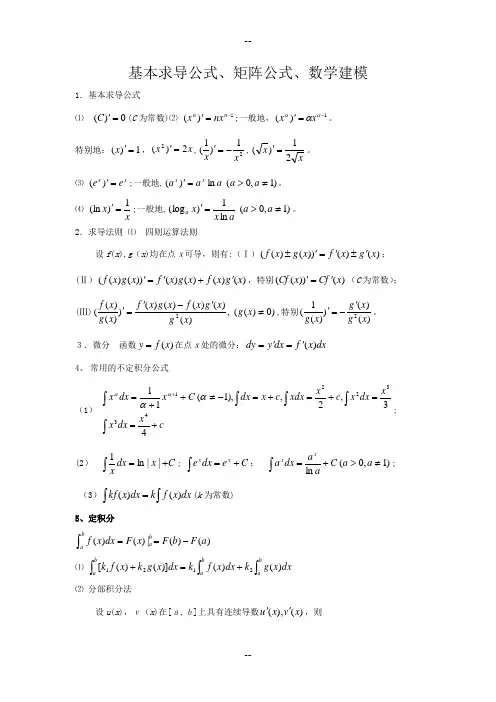
基本求导公式、矩阵公式、数学建模1.基本求导公式⑴ 0)(='C (C 为常数)⑵ 1)(-='n nnxx ;一般地,1)(-='αααxx 。
特别地:1)(='x ,x x 2)(2=',21)1(x x -=',xx 21)(='。
⑶ x x e e =')(;一般地,)1,0( ln )(≠>='a a a a a xx 。
⑷ x x 1)(ln =';一般地,)1,0( ln 1)(log ≠>='a a ax x a 。
2.求导法则 ⑴ 四则运算法则设f (x ),g (x )均在点x可导,则有:(Ⅰ))()())()((x g x f x g x f '±'='±; (Ⅱ))()()()())()((x g x f x g x f x g x f '+'=',特别)())((x f C x Cf '='(C 为常数); (Ⅲ))0)(( ,)()()()()())()((2≠'-'='x g x g x g x f x g x f x g x f ,特别21()()()()g x g x g x ''=-。
3.微分 函数()y f x =在点x处的微分:()dy y dx f x dx ''== 4、 常用的不定积分公式(1) ⎰⎰⎰⎰⎰+==+=+=-≠++=+c x dx x x dx x c x xdx c x dx C x dx x 43,2,),1( 11433221αααα; (2) C x dx x+=⎰||ln 1; C e dx e x x +=⎰;)1,0( ln ≠>+=⎰a a C a a dx a xx;(3)⎰⎰=dx x f k dx x kf )()((k 为常数) 5、定积分()()|()()bb a af x dx F x F b F a ==-⎰⑴⎰⎰⎰+=+bab abadx x g k dx x f k dx x g k x f k )()()]()([2121⑵ 分部积分法设u (x ),v(x )在[a,b]上具有连续导数)(),(x v x u '',则⎰⎰-=bab abax du x v x v x u x dv x u )()()()()()(6、线性代数 特殊矩阵的概念(1)、零矩阵 ,000022⎥⎦⎤⎢⎣⎡=⨯O (2)、单位矩阵⎥⎥⎥⎥⎦⎤⎢⎢⎢⎢⎣⎡=100010001 n I 二阶,100122⎥⎦⎤⎢⎣⎡=⨯I (3)、对角矩阵⎥⎥⎥⎥⎦⎤⎢⎢⎢⎢⎣⎡=n a a a A 000000021 (4)、对称矩阵⎥⎥⎥⎦⎤⎢⎢⎢⎣⎡---==752531212,A a a ji ij (5)、上三角形矩阵⎥⎥⎥⎥⎦⎤⎢⎢⎢⎢⎣⎡=nn n n a a a a a a A 000022211211 下三角形矩阵⎥⎥⎥⎥⎦⎤⎢⎢⎢⎢⎣⎡=n a a a A 000000021 (6)、矩阵转置⎥⎥⎥⎥⎦⎤⎢⎢⎢⎢⎣⎡=nn n n n n a a a a a a a a a A 212222111211转置后⎥⎥⎥⎥⎦⎤⎢⎢⎢⎢⎣⎡=nn n nn n T a a a a a a a a a A 2122212121116、矩阵运算 ⎥⎦⎤⎢⎣⎡++++=⎥⎦⎤⎢⎣⎡+⎥⎦⎤⎢⎣⎡=+h d g c f b e a h g f ed c b a B A ⎥⎦⎤⎢⎣⎡++++=⎥⎦⎤⎢⎣⎡⎥⎦⎤⎢⎣⎡=dh cf dg ce bh af bg ae h gf ed c b a AB 7、MA TLA B软件计算题例6 试写出用M ATLA B软件求函数)e ln(2x x x y ++=的二阶导数y ''的命令语句。
矩阵的基本运算矩阵是现代数学中一种重要的数学工具,广泛应用于各个领域。
矩阵的基本运算是我们学习矩阵的第一步,本文将介绍矩阵的基本运算方法和性质。
一、矩阵的定义与表示方法矩阵可以用来表示一组数按照矩形顺序排列而成的数表。
一个矩阵由m行n列的元素构成,通常用大写字母表示矩阵,如A。
矩阵的元素通常用小写字母表示,如a_ij表示位于第i行第j列的元素。
例如,下面是一个3行2列的矩阵A:A = [a_11 a_12a_21 a_22a_31 a_32]二、矩阵的加法与减法给定两个相同维度的矩阵A和B,它们的加法和减法运算定义如下:加法:C = A + B,C的每个元素等于A和B对应位置上元素的和。
减法:C = A - B,C的每个元素等于A和B对应位置上元素的差。
例如,给定矩阵A和B:A = [1 23 4]B = [5 67 8]则A + B = [6 810 12]A -B = [-4 -4-4 -4]三、矩阵的数乘给定一个矩阵A和一个实数c,矩阵A的数乘定义如下:C = cA,C的每个元素等于A对应位置上元素乘以c。
例如,给定矩阵A和实数c:A = [1 23 4]c = 2则2A = [2 46 8]四、矩阵的乘法矩阵的乘法是矩阵运算中最重要的一部分,给定矩阵A和B,它们的乘法运算定义如下:C = AB,C的第i行第j列元素等于矩阵A的第i行元素与矩阵B 的第j列元素的乘积之和。
例如,给定矩阵A和B:A = [1 23 4]B = [5 67 8]则AB = [19 2243 50]注意,矩阵的乘法不满足交换律,即AB未必等于BA。
五、矩阵的转置给定一个矩阵A,它的转置定义如下:B = A^T,B的第i行第j列元素等于A的第j行第i列元素。
例如,给定矩阵A:A = [1 23 4]则A^T = [1 32 4]六、矩阵的逆对于一个可逆矩阵A,存在一个矩阵B,满足AB = BA = I,其中I 为单位矩阵。
在Matlab中如何进行矩阵运算矩阵运算是数学中一个非常重要的概念,它在多个学科领域得到广泛应用,如物理、工程、经济等。
而Matlab作为一种强大的数学软件,提供了丰富的函数和工具,方便了用户进行矩阵运算。
在本文中,我们将介绍在Matlab中如何进行矩阵的基本运算、特殊运算和高级运算,以帮助读者更好地理解和应用矩阵运算。
一、矩阵的基本运算1. 矩阵的定义和创建在Matlab中,可以通过一维数组或二维数组的方式来定义和创建矩阵。
例如,我们可以通过以下代码创建一个3×3的矩阵A:A = [1 2 3; 4 5 6; 7 8 9];这样就创建了一个3×3的矩阵A,其中每个元素的值由空格或分号进行分隔。
2. 矩阵的加法和减法在Matlab中,矩阵的加法和减法可以通过直接对两个矩阵进行加减操作来实现。
例如,我们可以通过以下代码实现矩阵A和矩阵B的加法和减法:C = A + B;D = A - B;其中矩阵C和矩阵D分别表示A与B的加法运算结果和减法运算结果。
3. 矩阵的乘法矩阵的乘法在Matlab中可以通过*符号进行实现。
例如,我们可以通过以下代码实现矩阵A和矩阵B的乘法:E = A * B;其中矩阵E表示A与B的乘法运算结果。
需要注意的是,矩阵的乘法要求前一个矩阵的列数等于后一个矩阵的行数,否则会报错。
4. 矩阵的转置在Matlab中,可以通过'符号对矩阵进行转置操作。
例如,我们可以通过以下代码实现矩阵A的转置:F = A';其中矩阵F表示A的转置结果。
转置操作可以将矩阵的行和列进行互换。
二、矩阵的特殊运算1. 矩阵的逆在Matlab中,可以通过inv函数来计算矩阵的逆。
例如,我们可以通过以下代码计算矩阵A的逆:G = inv(A);其中矩阵G表示A的逆矩阵。
需要注意的是,矩阵的逆只存在于方阵中,并且存在逆的矩阵称为可逆矩阵。
2. 矩阵的行列式在Matlab中,可以通过det函数来计算矩阵的行列式。
如何在MATLAB中进行矩阵运算与线性代数操作MATLAB是一种功能强大的数学软件,广泛用于科学和工程领域。
它提供了丰富的矩阵运算和线性代数操作功能,能够帮助用户进行各种数学计算和分析。
矩阵的创建是进行矩阵运算和线性代数操作的第一步。
在MATLAB中,可以使用不同的方式创建矩阵,包括手动输入元素、使用内置函数、导入外部数据等。
一种创建矩阵的方法是手动输入元素。
可以使用矩阵赋值符号(`=`)将元素赋值给矩阵变量。
例如,以下代码创建了一个3x3的矩阵A:```MATLABA = [1 2 3; 4 5 6; 7 8 9];```另一种创建矩阵的方法是使用内置函数。
MATLAB提供了许多内置函数来生成特定类型的矩阵,如零矩阵、单位矩阵、对角矩阵等。
例如,以下代码创建了一个3x3的零矩阵B:```MATLABB = zeros(3, 3);```还可以使用其他内置函数创建特定类型的矩阵。
例如,使用`ones`函数可以创建一个全1矩阵,使用`eye`函数可以创建一个单位矩阵。
进行矩阵运算时,MATLAB提供了许多运算符和函数。
例如,`+`运算符可以用于矩阵的加法,`*`运算符可以用于矩阵的乘法。
此外,MATLAB还提供了其他运算符和函数,如转置运算符(`'`)、矩阵的逆(`inv`函数)、矩阵的转置(`transpose`函数)等。
以下是一些常见的矩阵运算和线性代数操作的示例代码。
1. 矩阵加法:```MATLABA = [1 2; 3 4];B = [5 6; 7 8];C = A + B;```2. 矩阵乘法:```MATLABA = [1 2; 3 4];B = [5 6; 7 8];C = A * B;```3. 矩阵的转置:```MATLABA = [1 2 3; 4 5 6];B = transpose(A);```4. 矩阵的逆:```MATLABA = [1 2; 3 4];B = inv(A);```5. 矩阵的行列式:```MATLABA = [1 2; 3 4];det_A = det(A);```6. 矩阵的特征值和特征向量:```MATLABA = [1 2; 3 4];[eig_vec, eig_val] = eig(A);```此外,MATLAB还提供了许多其他的矩阵运算和线性代数操作的函数,如矩阵的奇异值分解、最小二乘解、QR分解等。
矩阵的运算及其运算规则矩阵是现代数学中的一种重要工具,它在线性代数、图论、物理学等领域中都有广泛的应用。
矩阵的运算是研究矩阵性质和解决实际问题的基础。
本文将介绍矩阵的运算及其运算规则。
(一)矩阵的加法矩阵的加法是指将两个相同大小的矩阵对应位置的元素相加。
假设有两个矩阵A和B,它们的大小都是m行n列,记作A = [aij]m×n,B = [bij]m×n,则矩阵A和B的加法C = A + B定义为C = [cij]m×n,其中cij = aij + bij。
例如,对于矩阵A = [1 2 3; 4 5 6]和矩阵B = [7 8 9; 10 11 12],它们的加法结果为C = [8 10 12; 14 16 18]。
矩阵的加法满足以下运算规则:1. 加法满足交换律,即A + B = B + A。
2. 加法满足结合律,即(A + B) + C = A + (B + C)。
3. 存在一个零矩阵0,使得A + 0 = A。
4. 对于任意矩阵A,存在一个相反矩阵-B,使得A + (-B) = 0。
(二)矩阵的数乘矩阵的数乘是指将一个矩阵的每个元素都乘以一个数。
假设有一个矩阵A和一个实数k,记作kA,则矩阵kA定义为kA = [kaij]m×n。
例如,对于矩阵A = [1 2 3; 4 5 6]和实数k = 2,它们的数乘结果为kA = [2 4 6; 8 10 12]。
矩阵的数乘满足以下运算规则:1. 数乘满足结合律,即k(lA) = (kl)A,其中k和l分别为实数。
2. 数乘满足分配律,即(k + l)A = kA + lA,其中k和l分别为实数。
3. 数乘满足分配律,即k(A + B) = kA + kB,其中k为实数,A和B 为矩阵。
(三)矩阵的乘法矩阵的乘法是指将一个m行n列的矩阵A和一个n行p列的矩阵B 相乘得到一个m行p列的矩阵C。
假设有两个矩阵A和B,它们的大小分别为m行n列和n行p列,记作A = [aij]m×n,B = [bij]n×p,则矩阵A和B的乘法C = AB定义为C = [cij]m×p,其中cij= ∑(ai1 * b1j)。
矩阵基本运算及应用201700060牛晨晖在数学中,矩阵是一个按照长方阵列排列的复数或实数集合。
矩阵是高等代数学中的常见工具,也常见于统计分析等应用数学学科中。
在物理学中,矩阵于电路学、力学、光学和量子物理中都有应用;计算机科学中,三维动画制作也需要用到矩阵。
矩阵的运算是数值分析领域的重要问题.将矩阵分解为简单矩阵的组合可以在理论和实际应用上简化矩阵的运算。
在电力系统方面,矩阵知识已有广泛深入的应用,本文将在介绍矩阵基本运算和运算规则的基础上,简要介绍其在电力系统新能源领域建模方面的应用情况,并展望随机矩阵理论等相关知识与人工智能电力系统的紧密结合。
1矩阵的运算及其运算规则1.1矩阵的加法与减法1。
1.1运算规则设矩阵,,则简言之,两个矩阵相加减,即它们相同位置的元素相加减!注意:只有对于两个行数、列数分别相等的矩阵(即同型矩阵),加减法运算才有意义,即加减运算是可行的.1。
1.2运算性质满足交换律和结合律交换律;结合律.1。
2矩阵与数的乘法1.2.1运算规则数乘矩阵A,就是将数乘矩阵A中的每一个元素,记为或.特别地,称称为的负矩阵.1。
2.2运算性质满足结合律和分配律结合律:(λμ)A=λ(μA);(λ+μ)A =λA+μA.分配律:λ(A+B)=λA+λB.已知两个矩阵满足矩阵方程,求未知矩阵.解由已知条件知1.3矩阵与矩阵的乘法1.3。
1运算规则设,,则A与B的乘积是这样一个矩阵:(1) 行数与(左矩阵)A相同,列数与(右矩阵)B相同,即.(2) C的第行第列的元素由A的第行元素与B的第列元素对应相乘,再取乘积之和.设矩阵计算解是的矩阵.设它为可得结论1:只有在下列情况下,两个矩阵的乘法才有意义,或说乘法运算是可行的:左矩阵的列数=右矩阵的行数;结论2在矩阵的乘法中,必须注意相乘的顺序.即使在与均有意义时,也未必有=成立.可见矩阵乘法不满足交换律;结论3方阵A和它同阶的单位阵作乘积,结果仍为A,即.1。