4.4龙贝格求积公式
- 格式:ppt
- 大小:559.50 KB
- 文档页数:12
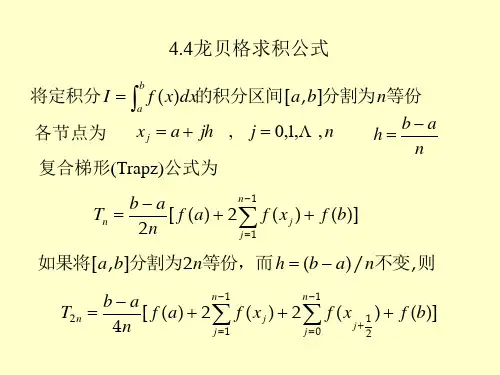
龙贝格积分1. 算法原理采用复化求积公式计算时,为使截断误差不超过ε,需要估计被积函数高阶导数的最大值,从而确定把积分区间[]b a ,分成等长子区间的个数n 。
首先在整个区间[]b a ,上应用梯形公式,算出积分近似值T1;然后将[]b a ,分半,对 应用复化梯形公式算出T2;再将每个小区间分半,一般地,每次总是在前一次的基础上再将小区间分半,然后利用递推公式进行计算,直至相邻两个值之差小于允许误差为止。
实际计算中,常用ε≤-n n T T 2作为判别计算终止的条件。
若满足,则取n T f I 2][≈;否则将区间再分半进行计算,知道满足精度要求为止。
又经过推导可知,∑=-++=ni i i n n x x f h T T 112)2(221,在实际计算中,取kn 2=,则k a b h 2-=,112)1*2(2++--+=+k i i ab i a x x 。
所以,上式可以写为∑=++--+-+=+kk i k k ab i a f a b T T 211122)2)12((2211k开始计算时,取())()(21b f a f ab T +-=龙贝格算法是由递推算法得来的。
由梯形公式得出辛普森公式得出柯特斯公式最后得到龙贝格公式。
根据梯形法的误差公式,积分值n T 的截断误差大致与2h 成正比,因此步长减半后误差将减至四分之一,即有21114n n T T -≈-将上式移项整理,知2211()3n n n T T T -≈-由此可见,只要二分前后两个积分值n T 和2n T 相当接近,就可以保证计算保证结果计算结果2n T 的误差很小,这种直接用计算结果来估计误差的方法称作误差的事后估计法。
按上式,积分值2n T 的误差大致等于21()3n n T T -,如果用这个误差值作为2n T 的一种补偿,可以期望,所得的()222141333n n n n n T T T T T T =+-=-应当是更好的结果。
第4章 数值积分与数值微分1 数值积分的基本概念实际问题当中常常需要计算定积分。
在微积分中,我们熟知,牛顿-莱布尼兹公式是计算定积分的一种有效工具,在理论和实际计算上有很大作用。
对定积分()ba I f x dx =⎰,若()f x 在区间[,]ab 上连续,且()f x 的原函数为()F x ,则可计算定积分()()()baf x dx F b F a =-⎰似乎问题已经解决,其实不然。
如1)()f x 是由测量或数值计算给出数据表时,Newton-Leibnitz 公式无法应用。
2)许多形式上很简单的函数,例如222sin 1(),sin ,cos ,,ln x x f x x x e x x-= 等等,它们的原函数不能用初等函数的有限形式表示。
3)即使有些被积函数的原函数能通过初等函数的有限形式表示,但应用牛顿—莱布尼兹公式计算,仍涉及大量的数值计算,还不如应用数值积分的方法来得方便,既节省工作量,又满足精度的要求。
例如下列积分241arc 1)arc 1)1dx tg tg C x ⎡⎤=+++-+⎣⎦+⎰ 对于上述这些情况,都要求建立定积分的近似计算方法—-数值积分法。
1。
1 数值求积分的基本思想根据以上所述,数值求积公式应该避免用原函数表示,而由被积函数的值决定.由积分中值定理:对()[,]f x C a b ∈,存在[,]a b ξ∈,有()()()baf x dx b a f ξ=-⎰表明,定积分所表示的曲边梯形的面积等于底为b a -而高为()f ξ的矩形面积(图4-1)。
问题在于点ξ的具体位置一般是不知道的,因而难以准确算出()f ξ。
我们将()f ξ称为区间[,]a b 上的平均高度。
这样,只要对平均高度()f ξ提供一种算法,相应地便获得一种数值求积分方法.如果我们用两端的算术平均作为平均高度()f ξ的近似值,这样导出的求积公式[()()]2b aT f a f b -=+ (4—1) 便是我们所熟悉的梯形公式(图4-2)。
河北联合大学第2012-2013-1学期《数值计算方法》教学大纲依据我校章程,特制定了适合我校理工科各专业本科生的《数值计算方法》教学大纲。
一、课程计划课程名称:数值计算方法Numerical Calculation Methods开课单位:理学院课程类型:专业必修课开设学期:第五学期讲授学时:共15周,每周4学时,共60学时学时安排:课堂教学44学时+实验教学16学时适用专业:信科、数学、统计理科专业本科生教学方式:讲授(多媒体为主)+上机考核方式:闭卷40% +上机实验20%+课程报告20% +平时成绩10%学分:4学分与其它课程的联系预修课程:数学分析、高等代数、常微分方程、计算机高级语言等。
后继课程:偏微分方程数值解及其它专业课程。
二、课程介绍数值计算方法也称为数值分析,是研究用计算机求解各种数学问题的数值方法及其理论的一门学科。
随着计算科学与技术的进步和发展,科学计算已经与理论研究、科学实验并列成为进行科学活动的三大基本手段,作为一门综合性的新科学,科学计算已经成为了人们进行科学活动必不可少的科学方法和工具。
数值计算方法是科学计算的核心内容,它既有纯数学高度抽象性与严密科学性的特点,又有应用的广泛性与实际实验的高度技术性的特点,是一门与计算机使用密切结合的实用性很强的数学课程。
主要介绍数值计算的误差、插值法、函数逼近与曲线拟合、线性方程组迭代解法、数值积分与数值微分、非线性方程组解法、矩阵特征值与特征向量数值计算以及常微分方程数值解,并特别加强实验环节的训练以提高学生动手能力。
通过本课程的学习,不仅能使学生初步掌握数值计算方法的基本理论知识,了解算法设计及数学建模思想,而且能使学生具备一定的科学计算能力和分析与解决问题的能力,不仅为学习后继课程打下良好的理论基础,也为将来从事科学计算、计算机应用和科学研究等工作奠定必要的数学基础。
教学与实验教学课堂教学实验教学论文报告机动课内学时课外学时学时数44 16 8 2 60 10三、重点难点课程重点:理解各种常用数值计算方法的数学原理和理论分析过程,掌握各种数值计算方法的示范性上机程序,学会设计数值算法的基本思路、一般原理和各种数值算法的程序实现。
龙贝格算法例题详解
龙贝格算法是数值计算中一种用于近似计算积分的方法。
它通过对区间进行逐步细分,将积分问题转化为一个递归的加权求和过程。
下面我们以一个简单的例题来详细解释龙贝格算法的运算过程。
假设我们要计算函数f(x)在区间[a, b]上的积分,首先将区间[a, b]等分为n个小区间。
定义h = (b - a) / n为每个小区间的宽度。
首先,我们计算f(a)和f(b),这两个端点的函数值。
然后,我们计算每个小区间的中点的函数值f((a + b) / 2),并将这些中点的函数值乘以h,得到积分的第一次近似值I1。
接下来,我们计算每个相邻的小区间的中点的函数值f((a + x_i) / 2),其中x_i表示第i个小区间的起点。
对于每个小区间,我们将左右两个中点的函数值相加,并乘以h/2,得到积分的第二次近似值I2。
重复上述过程,我们可以得到更高阶的近似值I3、I4、I5,直到达到所需的精度或者迭代次数。
最后,我们将这些近似值进行逐次求平均,得到最终的积分近似值。
具体的计算公式如下:
I(k+1) = (4^k I(k) - I(k-1)) / (4^k - 1)
其中,k表示迭代次数,I(k)表示第k次迭代得到的近似值。
龙贝格算法的优点是收敛速度快,可以达到较高的精度。
但对于某些函数,可能会出现数值不稳定或发散的情况。
因此,在使用龙贝
格算法时,需要根据具体问题进行调整和判断,选择合适的参数和判据,以确保计算的准确性和稳定性。
龙贝格(Romberg )求积法1.算法理论Romberg 求积方法是以复化梯形公式为基础,应用Richardson 外推法导出的数值求积方法。
由复化梯形公式 )]()(2)([2222b f h a f a f h T +++=可以化为)]()]()([2[212112h a f h b f a f hT +++==)]([21211h a f h T ++一般地,把区间[a,b]逐次分半k -1次,(k =1,2,……,n )区间长度(步长)为kk m a b h -=,其中mk =2k -1。
记k T =)1(k T 由)1(k T =]))12(([21211)1(1∑=---++km j k k k h j a f h T 从而⎰badxx f )(=)1(kT-)(''122k f h a b ξ- (1)按Richardson 外推思想,可将(1)看成关于k h ,误差为)(2k h O 的一个近似公式,因而,复化梯形公式的误差公式为⎰badxx f )(-)1(k T =......4221++k k h K h K =∑∞=12i i k i h K (2)取1+k h =k h 21有 ⎰ba dx x f )(-)1(1+k T =∑∞=+121221i ik ii hK (3)误差为)(2jh O 的误差公式 )(j kT=)1(-j kT+141)1(1)1(------j j k j k T T2.误差及收敛性分析(1)误差,对复化梯形公式误差估计时,是估计出每个子区间上的误差,然后将n 个子区间上的误差相加作为整个积分区间上的误差。
(2)收敛性,记h x i =∆,由于∑=++=ni i i n x f x f h f T 01))]()([2)(=))()((21101∑∑-==∆+∆n i ni i i i i x x f x x f上面两个累加式都是积分和,由于)(x f 在区间],[b a 上可积可知,只要],[b a 的分划的最大子区间的长度0→λ时,也即∞→n 时,它们的极限都等于积分值)(f I 。
龙贝格算法 一、问题分析1.1龙贝格积分题目要求学生运用龙贝格算法解决实际问题(塑料雨篷曲线满足函数y(x)=l sin(tx),则给定雨篷的长度后,求所需要平板材料的长度)。
二、方法原理2.1龙贝格积分原理龙贝格算法是由递推算法得来的。
由梯形公式得出辛普生公式得出柯特斯公式最后得到龙贝格公式。
在变步长的过程中探讨梯形法的计算规律。
设将求积区间[a ,b]分为n 个等分,则一共有n+1个等分点,k x a kh =+,0,1,b ah k n-==,n 。
这里用n T 表示复化梯形法求得的积分值,其下标n 表示等分数。
先考察下一个字段[1,k k x x +],其中点()11212k k k xx x ++=+,在该子段上二分前后两个积分值()()112k k hT f x f x +=+⎡⎤⎣⎦ ()()21124k k k h T f x f x f x ++⎡⎤⎛⎫=++⎢⎥ ⎪⎢⎥⎝⎭⎣⎦显然有下列关系2112122k h T T f x +⎛⎫=+⎪⎝⎭将这一关系式关于k 从0到n-1累加求和,即可导出下列递推公式12102122n n n k k h T T fx -+=⎛⎫=+ ⎪⎝⎭∑ 需要强调指出的是,上式中的b ah n-=代表二分前的步长,而 1212k xa k h +⎛⎫=++ ⎪⎝⎭梯形法的算法简单,但精度低,收敛速度缓慢,如何提高收敛速度以节省计算量,自然式人们极为关心的。
根据梯形法的误差公式,积分值n T 的截断误差大致与2h 成正比,因此步长减半后误差将减至四分之一,既有21114n n T T -≈- 将上式移项整理,知2211()3n n n T T T -≈-由此可见,只要二分前后两个积分值n T 和2n T 相当接近,就可以保证计算保证结果计算结果2n T 的误差很小,这种直接用计算结果来估计误差的方法称作误差的事后估计法。
按上式,积分值2n T 的误差大致等于21()3n n T T -,如果用这个误差值作为2n T 的一种补偿,可以期望,所得的()222141333n n n n n T T T T T T =+-=- 应当是更好的结果。
用龙贝格求积方法计算下列积分
1 应用龙贝格求积方法
龙贝格求积方法(Lobatto Quadrature)是在求解积分方程时一
种著名的高精度数值求积方法。
它极大地改善了普通梯形法求积可能
出现的低精度和高误差问题,广泛应用于:地形投影,空间遥感,重
力与磁力场等重要应用领域,使得科研效果更优越。
给定一个函数f,它的定积分方程表示为{N}:
$$\int_{a}^{b}f(x)dx······(1)$$
如果要使用龙贝格数值求积的方法,则可以用如下积分公式来计算:
$$\int_{a}^{b}f(x)dx=-\frac{b-
a}{2}f\left(\frac{a+b}{2}\right)+\frac{b-
a}{6}\left(f(a)+f(b)+4f\left(\frac{a+b}{2}\right)\right)+O(h^ {4})······(2)$$
其中O(h4)表示求积时h每增加一次,误差变小四倍,而f(x)表
示在积分元[a,b]中的函数值。
所以,如果想要准确地计算出积分(1),就可以利用龙贝格求积方法将数学空间上的积分过程转化为算法:
首先,计算出积分(1)的系数f(x),然后将系数放入积分公式(2)中,确定其积分域[a,b],计算出积分值I。
其次,使用洛必达分割法进行精细划分,以降低误差,使积分更加精准。
总而言之,将龙贝格求积方法应用于求解积分方程时,可以有效减少误差,大大提高计算精度。
此外,龙贝格求积的算法具有很强的效率,可以有效地利用有限的运算时间,得到更有效的解。