2019华中师范大学数学与统计学学院硕士研究生拟录取名单
- 格式:docx
- 大小:19.00 KB
- 文档页数:3
2019华中师范大学统计学考研初试科目、参考书目、报录比汇总本文将由新祥旭徐老师全方位的对华中师范大学统计学考研进行解析,主要有以下几个板块:学院介绍,专业情况介绍,2019录取情况分析,考研科目介绍,专业课参考书目等几大方面。
一、学院介绍数学与统计学学院成立于2002年12月,她的前身数学系创建于二十世纪五十年代初期,由当时的华中大学理学院数学组和湖北省教育学院数学科合并成立。
学院下设三个系:数学与应用数学系、统计学系、信息与计算科学系;拥有三个本科专业,其中数学与应用数学专业为国家特色专业、湖北省品牌专业,举办有数学—物理直博班和数学—经济学交叉培养实验班;拥有数学一级学科博士学位授权点和一级学科硕士学位授权点,统计学一级学科博士学位授权点和一级学科硕士学位授权点,并设有数学博士后科研流动站;拥有教育硕士(数学)、应用统计硕士及高校教师专业硕士(应用数学)等专业学位授权点。
数学物理湖北省重点实验室和《数学通讯》编辑部挂靠于学院。
学院主要的研究方向有偏微分方程、代数及其应用、动力系统、统计和大数据。
近五年来,学院取得了一批高水平的研究成果,在国际顶尖数学期刊Invent.Math等SCI期刊发表论文500余篇,出版专著、教材30余部。
学院还承担了一大批科研项目,其中,国家杰出青年科学基金3项,国家自然科学基金重点项目3项,教育部“新世纪优秀人才支持计划”项目7项。
获得各种科研奖项10多项,其中教育部自然科学奖二等奖2项,湖北省自然科学奖一等奖2项。
二、考试科目统计学:①101思想政治理论②201英语一③717数学分析④879 概率论基础应用统计:①101思想政治理论②204 英语二③303 数学三④432 统计学三、专业课参考书目 :717、879:《数学分析》:华东师范大学数学系,《数学分析》(上、下册),高等教育出版社李贤平《概率论基础》(第二版),高等教育出版社432:《统计学》贾俊平、何晓群、金勇进,中国人民大学出版,第三版《概率论与数理统计教程》茆诗松、程依明(第三版)高等教育出版社(注:来源于网络,仅做参考)四、2019招生计划:统计学计划招生11人,拟接收推免生5人,其中数理统计方向5人,应用统计学方向6人;应用统计专硕计划招生16人,拟接收推免生3人。
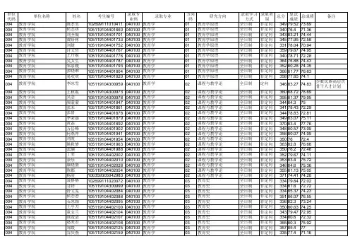
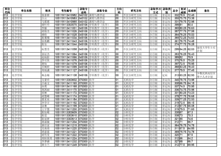
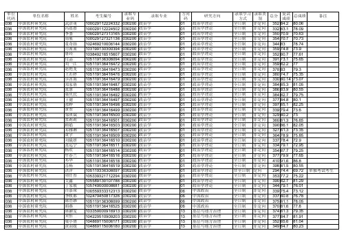
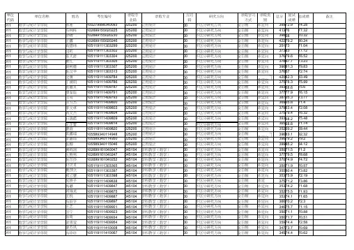
(完整版)20xx华中师范大学数学与统计学学院硕士研究生拟录取名单.doc单位单位名称姓名代码011 数学与统计学学院弥密011 数学与统计学学院马林梓011 数学与统计学学院余晴011 数学与统计学学院王露011 数学与统计学学院肖惜玮011 数学与统计学学院闫昕011 数学与统计学学院陈天舒011 数学与统计学学院秦红011 数学与统计学学院黄柯薇011 数学与统计学学院张汉平011 数学与统计学学院沈勇011 数学与统计学学院丁婧玥011 数学与统计学学院张嘉贝011 数学与统计学学院缪家佳011 数学与统计学学院汪奇011 数学与统计学学院田方杰011 数学与统计学学院李文卓011 数学与统计学学院刘文杰011 数学与统计学学院石晟懿011 数学与统计学学院王芷萱011 数学与统计学学院曹雨011 数学与统计学学院陈露瑶011 数学与统计学学院李嘉琦011 数学与统计学学院张柳011 数学与统计学学院顾鸣洲011 数学与统计学学院王胜男011 数学与统计学学院张莎莎011 数学与统计学学院时贝贝011 数学与统计学学院姚预立011 数学与统计学学院郑云慧011 数学与统计学学院吴娇子011 数学与统计学学院高璐011 数学与统计学学院刘福龙011 数学与统计学学院王悦011 数学与统计学学院马辰宇011 数学与统计学学院王艺011 数学与统计学学院田宁011 数学与统计学学院弥琦011 数学与统计学学院梁雪莹011 数学与统计学学院廖苏凤011 数学与统计学学院冯珍珍录取专考生编号业码100279998340093025200102699155020225025200102699155020230025200102699155020246025200105119111303302025200 105119111303304025200 105119111303305025200 105119111303307025200 105119111303313025200 105119111409784025200 105119111409786025200 105119111409787025200 105119111409791025200 105119111409793025200 105119111409800025200 105119111409803025200 105119111409804025200 105119111409809025200 105119111409814025200 105119111409820025200 105589340114948025200 105589340114950025200 105589340115046025200 102699161040047045104 102699161040247045104 102699161040252045104 105119111303365045104 105119111303397045104 105119111303398045104 105119111409838045104 105119111409847045104 105119111409875045104 105119111409887045104105119111409901045104 105119111409923045104 105119111409934045104 105119111409954045104 105119111410008045104 105119111410067045104录取专业方向研究方向录取学习录取类码方式别应用统计00 不区分研究方向全日制非定向应用统计00 不区分研究方向全日制非定向应用统计00 不区分研究方向全日制非定向应用统计00 不区分研究方向全日制非定向应用统计00 不区分研究方向全日制非定向应用统计00 不区分研究方向全日制非定向应用统计00 不区分研究方向全日制非定向应用统计00 不区分研究方向全日制非定向应用统计00 不区分研究方向全日制非定向应用统计00 不区分研究方向全日制非定向应用统计00 不区分研究方向全日制非定向应用统计00 不区分研究方向全日制非定向应用统计00 不区分研究方向全日制非定向应用统计00 不区分研究方向全日制非定向应用统计00 不区分研究方向全日制非定向应用统计00 不区分研究方向全日制非定向应用统计00 不区分研究方向全日制非定向应用统计00 不区分研究方向全日制非定向应用统计00 不区分研究方向全日制非定向应用统计00 不区分研究方向全日制非定向应用统计00 不区分研究方向全日制非定向应用统计00 不区分研究方向全日制非定向应用统计00 不区分研究方向全日制非定向应用统计00 不区分研究方向全日制非定向学科教学(数学)00 不区分研究方向全日制非定向学科教学(数学)00 不区分研究方向全日制非定向学科教学(数学)00 不区分研究方向全日制非定向学科教学(数学)00 不区分研究方向全日制非定向学科教学(数学)00 不区分研究方向全日制非定向学科教学(数学)00 不区分研究方向全日制非定向学科教学(数学)00 不区分研究方向全日制非定向学科教学(数学)00 不区分研究方向全日制非定向学科教学(数学)00 不区分研究方向全日制非定向学科教学(数学)00 不区分研究方向全日制非定向学科教学(数学)00 不区分研究方向全日制非定向学科教学(数学)00 不区分研究方向全日制非定向学科教学(数学)00 不区分研究方向全日制非定向学科教学(数学)00 不区分研究方向全日制非定向学科教学(数学)00 不区分研究方向全日制非定向学科教学(数学)00 不区分研究方向全日制非定向学科教学(数学)00 不区分研究方向全日制非定向总分复试总成绩备注成绩399 72.9 74.28413 76 77.32398 68 70.32422 79.2 80.24 351 73 71.04 373 83 77.12 376 79.6 76.52 378 67.7 73.23 396 81.3 79.83 376 67 72.74 420 82.3 83.49 375 78.3 75.99 393 68.6 75.6 377 77.9 76.15 387 65.3 73.77 369 65.8 71.4 379 63.4 72.08 375 79.4 76.32 393 68.2 75.48 365 68.8 71.74 352 69.2 69.44 396 83.1 82.32 396 79.2 79.2 399 85.2 84.12 350 71.5 71.2 377 79.5 78.68 370 74.9 74.72 350 71.9 70.57 355 80.4 73.82 353 75.9 72.19 375 71.2 73.86 353 74.2 71.68 352 75.5 71.93353 74.1 71.65366 70.2 72.3346 75.7 71.15350 71.1 70.88350 71.7 70.51359 74.4 72.58347 73.7 70.69345 74.4 70.62单位单位名称姓名代码011 数学与统计学学院庞媛011 数学与统计学学院李秋晨011 数学与统计学学院王于月011 数学与统计学学院江红011 数学与统计学学院王雨莹011 数学与统计学学院陈海燕011 数学与统计学学院宋子涵011 数学与统计学学院韩丹妮011 数学与统计学学院崔志颖011 数学与统计学学院蒋隆财011 数学与统计学学院刘强011 数学与统计学学院万紫君011 数学与统计学学院刘春晓011 数学与统计学学院张戈011 数学与统计学学院任艳红011 数学与统计学学院王欢乐011 数学与统计学学院黄凯011 数学与统计学学院问仕鑫011 数学与统计学学院付康011 数学与统计学学院李宗霖011 数学与统计学学院李记辉011 数学与统计学学院单沥莹011 数学与统计学学院张丽011 数学与统计学学院郑莹兰011 数学与统计学学院刘玉惠011 数学与统计学学院薛小艺011 数学与统计学学院王赛011 数学与统计学学院程晓玉011 数学与统计学学院刘小庆011 数学与统计学学院邱小波011 数学与统计学学院林韶涵011 数学与统计学学院高玉洁011 数学与统计学学院陈红011 数学与统计学学院李林华011 数学与统计学学院陈婷011 数学与统计学学院郝婵011 数学与统计学学院郎济莉011 数学与统计学学院王荣011 数学与统计学学院徐艳立011 数学与统计学学院陶慧君011 数学与统计学学院王艳艳录取专考生编号业码105119111410223045104 105119111410233045104 105119111303405070100 105119111303407070100 105119111303411070100 105119111410263070100 105119111410265070100 105119111410269070100 105119111410277070100 105119111410292070100 105119111410299070100 105119111410300070100 105119111410303070100 105119111410306070100 105119111410311070100 105119111410313070100 105119111410335070100 105119111410348070100 105119111410355070100 105119111303434070100 105119111303440070100 105119111303442070100 105119111303446070100 105119111303458070100 105119111410368070100 105119111410379070100 105119111410394070100 105119111410402070100 105119111410403070100105119111410404070100 105119111410414070100 105119111410415070100 105119111410424070100 105119111410426070100 105119111410430070100 105119111410432070100 105119111410434070100 105119111410437070100 105119111410439070100 105119111410441070100 105119111410443070100录取专业方向研究方向录取学习录取类码方式别学科教学(数学)00 不区分研究方向全日制非定向学科教学(数学)00 不区分研究方向全日制非定向数学01 基础数学全日制非定向数学01 基础数学全日制非定向数学01 基础数学全日制非定向数学01 基础数学全日制非定向数学01 基础数学全日制非定向数学01 基础数学全日制非定向数学01 基础数学全日制非定向数学01 基础数学全日制非定向数学01 基础数学全日制非定向数学01 基础数学全日制非定向数学01 基础数学全日制非定向数学01 基础数学全日制非定向数学01 基础数学全日制非定向数学01 基础数学全日制非定向数学01 基础数学全日制非定向数学02 计算数学全日制非定向数学03 概率论与数理统计全日制非定向数学04 应用数学全日制非定向数学04 应用数学全日制非定向数学04 应用数学全日制非定向数学04 应用数学全日制非定向数学04 应用数学全日制非定向数学04 应用数学全日制非定向数学04 应用数学全日制非定向数学04 应用数学全日制非定向数学04 应用数学全日制非定向数学04 应用数学全日制非定向数学04 应用数学全日制非定向数学04 应用数学全日制非定向数学04 应用数学全日制非定向数学04 应用数学全日制非定向数学04 应用数学全日制非定向数学04 应用数学全日制非定向数学04 应用数学全日制非定向数学04 应用数学全日制非定向数学04 应用数学全日制非定向数学04 应用数学全日制非定向数学04 应用数学全日制非定向数学04 应用数学全日制非定向总分复试总成绩备注成绩365 79.5 74.95 364 73.1 72.89 353 71.6 70.9 354 71.6 71.04 393 76.9 78.09 358 63.4 69.14 368 75.2 74.08 357 79 73.68 361 72 72.14 366 78.2 74.7 376 81.1 76.97 371 80.1 75.97 390 61.7 73.11 362 69.7 71.59 354 71.5 71.01 354 76.3 72.45 348 61.7 67.23 359 86.2 76.12 344 71.2 69.52 362 76.3 73.57 371 69.4 72.76 377 69.1 73.51 364 66.5 70.91 365 79.7 75.01 358 64.8 69.56 345 65.5 67.95 360 77 73.5 364 71.4 72.38355 74.3 71.99374 73.1 74.29358 71 71.42349 73.7 70.97388 65.4 73.94354 61.2 67.92356 68.7 70.45354 70.1 70.59355 71.2 71.06343 61.6 66.5354 62.6 68.34403 84.4 81.74364 71.3 72.35单位单位名称姓名代码011 数学与统计学学院迟自超011 数学与统计学学院何文龙011 数学与统计学学院黄萌萌011 数学与统计学学院杨利011 数学与统计学学院苗书静011 数学与统计学学院闫梦月011 数学与统计学学院李艳011 数学与统计学学院张姝011 数学与统计学学院黄茹雅011 数学与统计学学院朱艳玲011 数学与统计学学院李语同011 数学与统计学学院许舒雯011 数学与统计学学院陈子毅011 数学与统计学学院谭筱011 数学与统计学学院刘慧媛011 数学与统计学学院周易011 数学与统计学学院周梓涵011 数学与统计学学院王雨韵011 数学与统计学学院郭嘉011 数学与统计学学院倪梦莹011 数学与统计学学院胡玉婷011 数学与统计学学院兰嘉枫011 数学与统计学学院张瑜011 数学与统计学学院李瑶011 数学与统计学学院吴艺鑫011 数学与统计学学院唐羽箫011 数学与统计学学院付盼011 数学与统计学学院王雨晴011 数学与统计学学院夏思佳录取专考生编号录取专业105119111410444070100数学105119111410450070100数学105119111410457070100数学105119111410467070100数学105119111410477070100数学105119111410478070100数学105119111410484070100数学105119111410485070100数学105119111410492070100数学105119111410496070100数学105119111410498070100数学105119111410502070100数学105119111410508070100数学105119111410511070100数学105119111410521070100数学105119111410526070100数学105119111303464070100数学100019000840120071400统计学100029111520889071400统计学102729000008625071400统计学105119111303466071400统计学105119111303467071400统计学105119111410543071400统计学105119111303470071400统计学105119111303476071400统计学105119111303479071400统计学105119111303480071400统计学105119111410551071400统计学105119111410555071400统计学研究方向录取学习录取类码方式别04 应用数学全日制非定向04 应用数学全日制非定向04 应用数学全日制非定向04 应用数学全日制非定向04 应用数学全日制非定向04 应用数学全日制非定向04 应用数学全日制非定向04 应用数学全日制非定向04 应用数学全日制非定向04 应用数学全日制非定向04 应用数学全日制非定向04 应用数学全日制非定向04 应用数学全日制非定向04 应用数学全日制非定向04 应用数学全日制非定向04 应用数学全日制非定向05 运筹学与控制论全日制非定向01 数理统计学全日制非定向01 数理统计学全日制非定向01 数理统计学全日制非定向01 数理统计学全日制非定向01 数理统计学全日制非定向01 数理统计学全日制非定向02 应用统计学全日制非定向02 应用统计学全日制非定向02 应用统计学全日制非定向02 应用统计学全日制非定向02 应用统计学全日制非定向02 应用统计学全日制非定向总分复试总成绩备注成绩366 69 71.94347 61.5 67.03368 73.7 73.63374 74.6 74.74386 73.4 76.06369 86.5 77.61385 87.8 80.24388 84.8 79.76361 70.6 71.72393 74.3 77.31389 74.8 76.9340 73.1 69.53362 61.9 69.25362 67.9 71.05350 70.8 70.24345 69.2 69.06338 77.3 70.51365 73.2 73.16360 82.1 80.08363 78.4 77.24337 81 71.48323 86 71.02341 95 76.24363 81.4 75.24 323 78.8 68.86 372 97 81.18 391 80.7 78.95 341 74.1 69.97 351 82.1 73.77。
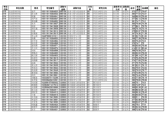
019信息管理学院袁芹105119119304833095136农业工程与信息技术00不区分研究方向全日制非定向37377.2775.67 019信息管理学院张文林105119119304834095136农业工程与信息技术00不区分研究方向全日制非定向36077.0374.01 019信息管理学院张颖105119119304841095136农业工程与信息技术00不区分研究方向全日制非定向34986.5376.49 019信息管理学院刘严冰105119119304847095136农业工程与信息技术00不区分研究方向全日制非定向37782.1278.09 019信息管理学院黄徐麟105119119304852095136农业工程与信息技术00不区分研究方向全日制非定向36174.7173.2 019信息管理学院朱杰105119119413607095136农业工程与信息技术00不区分研究方向全日制非定向36576.4874.39 019信息管理学院张姣105119119413608095136农业工程与信息技术00不区分研究方向全日制非定向37786.379.76 019信息管理学院郑仕晟105119119413609095136农业工程与信息技术00不区分研究方向全日制非定向35676.1873.19 019信息管理学院何维105119119413612095136农业工程与信息技术00不区分研究方向全日制非定向37885.5779.59 019信息管理学院杜维新105119119413613095136农业工程与信息技术00不区分研究方向全日制非定向34774.3671.38 019信息管理学院李元璋104879000101611120100管理科学与工程00不区分研究方向全日制非定向39182.7381.82 019信息管理学院张璐105119119304853120100管理科学与工程00不区分研究方向全日制非定向39977.3978.84 019信息管理学院彭雪莹105119119304864120100管理科学与工程00不区分研究方向全日制非定向36575.2573.9 019信息管理学院张倍思105119119304868120100管理科学与工程00不区分研究方向全日制非定向37674.775 019信息管理学院童科博105119119304871120100管理科学与工程00不区分研究方向全日制非定向35083.6575.46 019信息管理学院许小庆105119119304874120100管理科学与工程00不区分研究方向全日制非定向41481.9182.44 019信息管理学院刘旭105119119304899120100管理科学与工程00不区分研究方向全日制非定向36876.5974.8 019信息管理学院谭琳洁105119119304900120100管理科学与工程00不区分研究方向全日制非定向38283.5379.25 019信息管理学院姚月娇105119119304903120100管理科学与工程00不区分研究方向全日制非定向35188.1477.38 019信息管理学院杜娇丹105119119413615120100管理科学与工程00不区分研究方向全日制非定向37376.2975.28 019信息管理学院高晓娜105119119413617120100管理科学与工程00不区分研究方向全日制非定向37477.6575.94 019信息管理学院汤成105119119413622120100管理科学与工程00不区分研究方向全日制非定向37175.7674.82 019信息管理学院姜元培105119119413635120100管理科学与工程00不区分研究方向全日制非定向36182.0176.12 019信息管理学院李冰洁105119119413642120100管理科学与工程00不区分研究方向全日制非定向36475.9174.04 019信息管理学院张流源105119119413649120100管理科学与工程00不区分研究方向全日制非定向39379.0378.77 019信息管理学院董景丽105119119413654120100管理科学与工程00不区分研究方向全日制非定向37374.8974.72 019信息管理学院肖玲105119119413661120100管理科学与工程00不区分研究方向全日制非定向39274.4476.82 019信息管理学院刘曜嘉105339370110299120100管理科学与工程00不区分研究方向全日制非定向40377.5878.18 019信息管理学院朱申俊105339420410361120100管理科学与工程00不区分研究方向全日制非定向39078.8378.66 019信息管理学院刘世颖102699157050002120500图书情报与档案管理01图书馆学全日制非定向36875.174.8 019信息管理学院林晓晴102849211417612120500图书情报与档案管理01图书馆学全日制非定向36574.8774.5 019信息管理学院余俊橙102869420816666120500图书情报与档案管理01图书馆学全日制非定向36883.3881.42 019信息管理学院张小雨105119119304911120500图书情报与档案管理01图书馆学全日制非定向39086.0481.22 019信息管理学院胡皖莹105119119304913120500图书情报与档案管理01图书馆学全日制非定向36686.3278.45 019信息管理学院于果105119119304915120500图书情报与档案管理01图书馆学全日制非定向36485.6577.94 019信息管理学院从光丽105119119413682120500图书情报与档案管理01图书馆学全日制非定向36881.176.59 019信息管理学院李金玲105119119413691120500图书情报与档案管理01图书馆学全日制非定向37783.9878.83 019信息管理学院卓雯斐105119119413692120500图书情报与档案管理01图书馆学全日制非定向36683.6777.39 019信息管理学院明振鑫105119119304924120500图书情报与档案管理02情报学全日制非定向38279.477.6 019信息管理学院陈晓华105119119304925120500图书情报与档案管理02情报学全日制非定向38284.5479.66019信息管理学院弓越105119119304934120500图书情报与档案管理02情报学全日制非定向40380.7280.65 019信息管理学院邵葹甜105119119304936120500图书情报与档案管理02情报学全日制非定向36389.4479.34 019信息管理学院宋若曦105119119304938120500图书情报与档案管理02情报学全日制非定向38387.5880.99 019信息管理学院何树文105119119304941120500图书情报与档案管理02情报学全日制非定向37987.0680.3 019信息管理学院徐彤105119119304946120500图书情报与档案管理02情报学全日制非定向40687.5983.76019信息管理学院王斌清105119119304949120500图书情报与档案管理02情报学全日制非定向29374.6465.02退役大学生士兵计划019信息管理学院代沁泉105119119304954120500图书情报与档案管理02情报学全日制非定向40674.7978.64 019信息管理学院刘星月105119119304959120500图书情报与档案管理02情报学全日制非定向39373.9976.76 019信息管理学院任卫强105119119304964120500图书情报与档案管理02情报学全日制非定向42785.7485.54 019信息管理学院李婷105119119304967120500图书情报与档案管理02情报学全日制非定向38577.6177.24 019信息管理学院龙存钰105119119304969120500图书情报与档案管理02情报学全日制非定向38775.2476.54 019信息管理学院陈健瑶105119119304972120500图书情报与档案管理02情报学全日制非定向39879.9579.74 019信息管理学院余佳琪105119119304973120500图书情报与档案管理02情报学全日制非定向38580.1978.28 019信息管理学院郭诚105119119304974120500图书情报与档案管理02情报学全日制非定向38781.6679.1 019信息管理学院邹晶晶105119119304977120500图书情报与档案管理02情报学全日制非定向39670.775.8 019信息管理学院罗小路105119119304987120500图书情报与档案管理02情报学全日制非定向37387.679.8 019信息管理学院李映萱105119119413700120500图书情报与档案管理02情报学全日制非定向36681.9876.71 019信息管理学院彭媛105119119413704120500图书情报与档案管理02情报学全日制非定向39881.0580.18 019信息管理学院平晓亚105119119413706120500图书情报与档案管理02情报学全日制非定向39981.9980.68 019信息管理学院杜瑾105119119413712120500图书情报与档案管理02情报学全日制非定向37982.0878.31 019信息管理学院王珂莹105119119413713120500图书情报与档案管理02情报学全日制非定向38481.7878.79 019信息管理学院刘继月105119119413727120500图书情报与档案管理02情报学全日制非定向38083.2178.88 019信息管理学院顾佳云105119119413733120500图书情报与档案管理02情报学全日制非定向37477.7475.98019信息管理学院何烘105119119413740120500图书情报与档案管理02情报学全日制非定向31074.0566.82退役大学生士兵计划019信息管理学院卢瑞娜105119119413758120500图书情报与档案管理02情报学全日制非定向37678.7876.63 019信息管理学院崔丽丽105119119413770120500图书情报与档案管理02情报学全日制非定向38779.4678.22 019信息管理学院易亚105119119413771120500图书情报与档案管理02情报学全日制非定向40682.4281.69 019信息管理学院沈瑞玲105119119413782120500图书情报与档案管理02情报学全日制非定向37581.0477.42 019信息管理学院刘明105119119413795120500图书情报与档案管理02情报学全日制非定向38684.7380.21 019信息管理学院何俊雨105119119413796120500图书情报与档案管理02情报学全日制非定向38887.1281.41 019信息管理学院王秋博105119119413799120500图书情报与档案管理02情报学全日制非定向38681.979.08 019信息管理学院杨慧娟105119119413806120500图书情报与档案管理02情报学全日制非定向38880.9878.95 019信息管理学院罗思静105119119304989120500图书情报与档案管理03档案学全日制非定向36883.4177.52 019信息管理学院李昕然105119119413821120500图书情报与档案管理03档案学全日制非定向40173.377.44 019信息管理学院何欣欣105119119413827120500图书情报与档案管理03档案学全日制非定向35978.9874.67 019信息管理学院严舞月105119119413832120500图书情报与档案管理03档案学全日制非定向37179.9476.5019信息管理学院凯吴沙·艾斯卡尔100029517407740125500图书情报00不区分研究方向全日制非定向22979.8879.17019信息管理学院谢蓓100029517420530125500图书情报00不区分研究方向全日制非定向22874.3974.71 019信息管理学院李晓岗102849251408431125500图书情报00不区分研究方向全日制非定向23172.1773.14 019信息管理学院李晓静104869104003561125500图书情报00不区分研究方向全日制非定向22378.477.59 019信息管理学院潘港辉104869104012144125500图书情报00不区分研究方向全日制非定向24073.9775.18 019信息管理学院董文慧104869104012170125500图书情报00不区分研究方向全日制非定向22875.9975.99 019信息管理学院刘亚楠104869104012315125500图书情报00不区分研究方向全日制非定向2277575.13 019信息管理学院高娟105119519304997125500图书情报00不区分研究方向全日制非定向23672.1876.07 019信息管理学院徐言瑾105119519304998125500图书情报00不区分研究方向全日制非定向23178.5477.62 019信息管理学院赵艳105119519305009125500图书情报00不区分研究方向全日制非定向22672.0674.02019信息管理学院汪策105119519305010125500图书情报00不区分研究方向全日制非定向18472.965.96退役大学生士兵计划019信息管理学院任芷芸105119519305034125500图书情报00不区分研究方向全日制非定向24775.579.6 019信息管理学院江晨雨105119519305047125500图书情报00不区分研究方向全日制非定向23580.0679.02 019信息管理学院宗莹萍105119519305048125500图书情报00不区分研究方向全日制非定向24881.4482.18 019信息管理学院姚韩105119519305065125500图书情报00不区分研究方向全日制非定向25372.6679.66 019信息管理学院孙丽洁105119519305067125500图书情报00不区分研究方向全日制非定向23573.6476.46 019信息管理学院蒋瑞丽105119519305074125500图书情报00不区分研究方向全日制非定向24280.280.48 019信息管理学院余非凡105119519305076125500图书情报00不区分研究方向全日制非定向23579.4678.78 019信息管理学院雷黄圆105119519305077125500图书情报00不区分研究方向全日制非定向24376.1879.07 019信息管理学院袁芷洁105119519305079125500图书情报00不区分研究方向全日制非定向22972.9674.98 019信息管理学院韩梦晨105119519305081125500图书情报00不区分研究方向全日制非定向23078.3677.34 019信息管理学院赵昕彤105119519413839125500图书情报00不区分研究方向全日制非定向24277.9479.58 019信息管理学院贾超105119519413844125500图书情报00不区分研究方向全日制非定向23376.3677.14 019信息管理学院白庆宇105119519413845125500图书情报00不区分研究方向全日制非定向24374.8678.54 019信息管理学院苗苑105119519413846125500图书情报00不区分研究方向全日制非定向22782.2278.29 019信息管理学院王湘元105119519413864125500图书情报00不区分研究方向全日制非定向2407176.4 019信息管理学院叶诗颖105119519413868125500图书情报00不区分研究方向全日制非定向24376.179.04 019信息管理学院罗伟成105119519413873125500图书情报00不区分研究方向全日制非定向23076.1676.46 019信息管理学院邱玉群105119519413902125500图书情报00不区分研究方向全日制非定向22876.276.08 019信息管理学院朱瑞105119519413903125500图书情报00不区分研究方向全日制非定向23575.8277.33 019信息管理学院李婧雯105119519413908125500图书情报00不区分研究方向全日制非定向22475.975.16 019信息管理学院马新宇105119519413913125500图书情报00不区分研究方向全日制非定向23774.1477.06 019信息管理学院杨苗苗105119519413920125500图书情报00不区分研究方向全日制非定向23870.4675.78 019信息管理学院齐涵涵105119519413925125500图书情报00不区分研究方向全日制非定向2237373.8019信息管理学院陈丽娇105119519413934125500图书情报00不区分研究方向全日制定向23275.0676.42少数民族高层次骨干人才计划019信息管理学院蒋青莹105119519413938125500图书情报00不区分研究方向全日制非定向20772.0870.23退役大学生士兵计划019信息管理学院雷万禄105119519413939125500图书情报00不区分研究方向全日制非定向23276.9677.18019信息管理学院罗慧玉105119519413955125500图书情报00不区分研究方向全日制非定向22875.7675.9 019信息管理学院沈樱洋105119519413958125500图书情报00不区分研究方向全日制非定向2377979 019信息管理学院金鑫105119519413967125500图书情报00不区分研究方向全日制非定向22673.674.64 019信息管理学院李锐105119519413968125500图书情报00不区分研究方向全日制非定向24579.3680.74 019信息管理学院杜紫娟105119519413970125500图书情报00不区分研究方向全日制非定向23877.4878.59 019信息管理学院马晓阳105119519413975125500图书情报00不区分研究方向全日制非定向22477.9675.98019信息管理学院古丽布斯坦·吐尔洪105119519413984125500图书情报00不区分研究方向全日制定向19975.0869.83少数民族高层次骨干人才计划019信息管理学院孟璇105119519413985125500图书情报00不区分研究方向全日制非定向23382.2879.51。