线性代数第二章答案
- 格式:doc
- 大小:546.50 KB
- 文档页数:19
第二章 矩阵及其运算1 已知线性变换⎪⎩⎪⎨⎧++=++=++=3213321232113235322y y y x y y y x y y y x 求从变量x 1 x 2 x 3到变量y 1 y 2 y 3的线性变换 解 由已知⎪⎪⎭⎫ ⎝⎛⎪⎪⎭⎫ ⎝⎛=⎪⎪⎭⎫ ⎝⎛221321323513122y y y x x x故 ⎪⎪⎭⎫ ⎝⎛⎪⎪⎭⎫ ⎝⎛=⎪⎪⎭⎫ ⎝⎛-3211221323513122x x x y y y ⎪⎪⎭⎫ ⎝⎛⎪⎪⎭⎫ ⎝⎛----=321423736947y y y ⎪⎩⎪⎨⎧-+=-+=+--=321332123211423736947x x x y x x x y x x x y2 已知两个线性变换⎪⎩⎪⎨⎧++=++-=+=32133212311542322y y y x y y y x y y x ⎪⎩⎪⎨⎧+-=+=+-=323312211323z z y z z y z z y 求从z 1 z 2 z 3到x 1 x 2 x 3的线性变换 解 由已知⎪⎪⎭⎫ ⎝⎛⎪⎪⎭⎫ ⎝⎛-=⎪⎪⎭⎫ ⎝⎛221321514232102y y y x x x ⎪⎪⎭⎫⎝⎛⎪⎪⎭⎫ ⎝⎛--⎪⎪⎭⎫ ⎝⎛-=321310102013514232102z z z ⎪⎪⎭⎫⎝⎛⎪⎪⎭⎫ ⎝⎛----=321161109412316z z z所以有⎪⎩⎪⎨⎧+--=+-=++-=3213321232111610941236z z z x z z z x z z z x3 设⎪⎪⎭⎫ ⎝⎛--=111111111A ⎪⎪⎭⎫⎝⎛--=150421321B 求3AB 2A 及A T B解 ⎪⎪⎭⎫⎝⎛---⎪⎪⎭⎫ ⎝⎛--⎪⎪⎭⎫ ⎝⎛--=-1111111112150421321111111111323A AB⎪⎪⎭⎫⎝⎛----=⎪⎪⎭⎫ ⎝⎛---⎪⎪⎭⎫ ⎝⎛-=2294201722213211111111120926508503⎪⎪⎭⎫⎝⎛-=⎪⎪⎭⎫ ⎝⎛--⎪⎪⎭⎫ ⎝⎛--=092650850150421321111111111B A T4 计算下列乘积(1)⎪⎪⎭⎫⎝⎛⎪⎪⎭⎫ ⎝⎛-127075321134解 ⎪⎪⎭⎫ ⎝⎛⎪⎪⎭⎫ ⎝⎛-127075321134⎪⎪⎭⎫ ⎝⎛⨯+⨯+⨯⨯+⨯-+⨯⨯+⨯+⨯=102775132)2(71112374⎪⎪⎭⎫ ⎝⎛=49635(2)⎪⎪⎭⎫⎝⎛123)321(解 ⎪⎪⎭⎫⎝⎛123)321((132231)(10)(3))21(312-⎪⎪⎭⎫⎝⎛解 )21(312-⎪⎪⎭⎫⎝⎛⎪⎪⎭⎫ ⎝⎛⨯-⨯⨯-⨯⨯-⨯=23)1(321)1(122)1(2⎪⎪⎭⎫ ⎝⎛---=632142(4)⎪⎪⎪⎭⎫ ⎝⎛---⎪⎭⎫ ⎝⎛-20413121013143110412解 ⎪⎪⎪⎭⎫⎝⎛---⎪⎭⎫ ⎝⎛-20413121013143110412⎪⎭⎫ ⎝⎛---=6520876(5)⎪⎪⎭⎫ ⎝⎛⎪⎪⎭⎫ ⎝⎛321332313232212131211321)(x x x a a a a a a a a a x x x 解⎪⎪⎭⎫ ⎝⎛⎪⎪⎭⎫ ⎝⎛321332313232212131211321)(x x x a a a a a a a a a x x x (a 11x 1?a 12x 2?a 13x 3 a 12x 1?a 22x 2?a 23x 3 a 13x 1?a 23x 2?a 33x 3)⎪⎪⎭⎫⎝⎛321x x x 322331132112233322222111222x x a x x a x x a x a x a x a +++++=5 设⎪⎭⎫⎝⎛=3121A ⎪⎭⎫ ⎝⎛=2101B 问(1)ABBA 吗 解 ABBA 因为⎪⎭⎫⎝⎛=6443AB ⎪⎭⎫ ⎝⎛=8321BA 所以ABBA(2)(AB )2?A 22ABB 2吗 解 (AB )2?A 22ABB 2 因为⎪⎭⎫ ⎝⎛=+5222B A⎪⎭⎫ ⎝⎛⎪⎭⎫ ⎝⎛=+52225222)(2B A ⎪⎭⎫ ⎝⎛=2914148但⎪⎭⎫ ⎝⎛+⎪⎭⎫ ⎝⎛+⎪⎭⎫ ⎝⎛=++43011288611483222B AB A ⎪⎭⎫ ⎝⎛=27151610所以(AB )2?A 22ABB 2 (3)(AB )(AB )A 2B 2吗 解 (AB )(AB )A 2B 2 因为⎪⎭⎫ ⎝⎛=+5222B A ⎪⎭⎫ ⎝⎛=-1020B A⎪⎭⎫ ⎝⎛=⎪⎭⎫ ⎝⎛⎪⎭⎫ ⎝⎛=-+906010205222))((B A B A而⎪⎭⎫ ⎝⎛=⎪⎭⎫ ⎝⎛-⎪⎭⎫ ⎝⎛=-718243011148322B A故(AB )(AB )A 2B 26 举反列说明下列命题是错误的(也可参考书上的答案) (1)若A 20 则A 0 解 取⎪⎭⎫⎝⎛=0010A 则A 20 但A 0 (2)若A 2?A 则A 0或AE 解 取⎪⎭⎫⎝⎛=0011A 则A 2?A 但A 0且AE (3)若AXAY 且A 0 则XY 解 取⎪⎭⎫ ⎝⎛=0001A ⎪⎭⎫ ⎝⎛-=1111X ⎪⎭⎫ ⎝⎛=1011Y则AXAY 且A 0 但XY7 设⎪⎭⎫ ⎝⎛=101λA 求A 2? A 3 A k 解⎪⎭⎫ ⎝⎛=⎪⎭⎫ ⎝⎛⎪⎭⎫ ⎝⎛=12011011012λλλA⎪⎭⎫ ⎝⎛=⎪⎭⎫ ⎝⎛⎪⎭⎫ ⎝⎛==1301101120123λλλA A A⎪⎭⎫ ⎝⎛=101λk A k8 设⎪⎪⎭⎫⎝⎛=λλλ001001A 求A k解 首先观察⎪⎪⎭⎫ ⎝⎛⎪⎪⎭⎫ ⎝⎛=λλλλλλ0010010010012A ⎪⎪⎭⎫ ⎝⎛=222002012λλλλλ⎪⎪⎭⎫ ⎝⎛=⋅=3232323003033λλλλλλA A A⎪⎪⎭⎫ ⎝⎛=⋅=43423434004064λλλλλλA A A⎪⎪⎭⎫ ⎝⎛=⋅=545345450050105λλλλλλA A A⎝⎛=kA kk kk k k k k k k λλλλλλ02)1(121----⎪⎪⎪⎭⎫用数学归纳法证明当k 2时 显然成立 假设k 时成立,则k 1时,⎪⎪⎭⎫ ⎝⎛⎪⎪⎪⎪⎭⎫ ⎝⎛-=⋅=---+λλλλλλλλλ0010010002)1(1211k k k k k k k k k k k k A A A ⎪⎪⎪⎪⎭⎫ ⎝⎛+++=+-+--+11111100)1(02)1()1(k k k k k k k k k k λλλλλλ 由数学归纳法原理知⎪⎪⎪⎪⎭⎫ ⎝⎛-=---k k k k k k k k k k k A λλλλλλ0002)1(121 (也可提取公因式,变成书上的答案)9 设A B 为n 阶矩阵,且A 为对称矩阵,证明B T AB 也是对称矩阵 证明 因为A T A 所以 (B T AB )T B T (B T A )T B T A T BB T AB 从而B T AB 是对称矩阵10 设A B 都是n 阶对称矩阵,证明AB 是对称矩阵的充分必要条件是ABBA 证明 充分性 因为A T A B T B 且ABBA 所以 (AB )T (BA )T A T B T AB 即AB 是对称矩阵必要性 因为A T A B T B 且(AB )T AB 所以 AB (AB )T B T A T BA11 求下列矩阵的逆矩阵 (1)⎪⎭⎫⎝⎛5221解⎪⎭⎫ ⎝⎛=5221A |A |1 故A 1存在 因为⎪⎭⎫ ⎝⎛--=⎪⎭⎫ ⎝⎛=1225*22122111A A A A A故*||11A A A =-⎪⎭⎫ ⎝⎛--=1225(2)⎪⎭⎫ ⎝⎛-θθθθcos sin sin cos解 ⎪⎭⎫ ⎝⎛-=θθθθcos sin sin cos A |A |10 故A 1存在 因为 ⎪⎭⎫ ⎝⎛-=⎪⎭⎫ ⎝⎛=θθθθcos sin sin cos *22122111A A A A A所以*||11A A A =-⎪⎭⎫ ⎝⎛-=θθθθcos sin sin cos(3)⎪⎪⎭⎫⎝⎛---145243121解 ⎪⎪⎭⎫⎝⎛---=145243121A |A |20 故A 1存在 因为⎪⎪⎭⎫ ⎝⎛-----=⎪⎪⎭⎫ ⎝⎛=214321613024*332313322212312111A A A AA A A A A A所以 *||11A A A =-⎪⎪⎪⎭⎫⎝⎛-----=1716213213012(4)⎪⎪⎪⎭⎫ ⎝⎛n a a a O 0021(a 1a 2 a n 0)解⎪⎪⎪⎭⎫ ⎝⎛=n a a a A O 0021由对角矩阵的性质知⎪⎪⎪⎪⎪⎪⎭⎫ ⎝⎛=-n a a a A 10011211O12 解下列矩阵方程 (1)⎪⎭⎫ ⎝⎛-=⎪⎭⎫⎝⎛12643152X解 ⎪⎭⎫ ⎝⎛-⎪⎭⎫ ⎝⎛=-126431521X ⎪⎭⎫ ⎝⎛-⎪⎭⎫ ⎝⎛--=12642153⎪⎭⎫ ⎝⎛-=80232(2)⎪⎭⎫ ⎝⎛-=⎪⎪⎭⎫ ⎝⎛--234311111012112X解 1111012112234311-⎪⎪⎭⎫ ⎝⎛--⎪⎭⎫ ⎝⎛-=X ⎪⎪⎭⎫ ⎝⎛---⎪⎭⎫ ⎝⎛-=03323210123431131 ⎪⎪⎭⎫⎝⎛---=32538122 (3)⎪⎭⎫ ⎝⎛-=⎪⎭⎫ ⎝⎛-⎪⎭⎫ ⎝⎛-101311022141X 解11110210132141--⎪⎭⎫⎝⎛-⎪⎭⎫ ⎝⎛-⎪⎭⎫ ⎝⎛-=X⎪⎭⎫ ⎝⎛⎪⎭⎫ ⎝⎛-⎪⎭⎫ ⎝⎛-=210110131142121⎪⎭⎫ ⎝⎛⎪⎭⎫ ⎝⎛=21010366121⎪⎪⎭⎫ ⎝⎛=04111 (4)⎪⎪⎭⎫ ⎝⎛---=⎪⎪⎭⎫ ⎝⎛⎪⎪⎭⎫ ⎝⎛021102341010100001100001010X解 11010100001021102341100001010--⎪⎪⎭⎫ ⎝⎛⎪⎪⎭⎫ ⎝⎛---⎪⎪⎭⎫ ⎝⎛=X⎪⎪⎭⎫ ⎝⎛⎪⎪⎭⎫ ⎝⎛---⎪⎪⎭⎫ ⎝⎛=010100001021102341100001010⎪⎪⎭⎫ ⎝⎛---=20143101213 利用逆矩阵解下列线性方程组(1)⎪⎩⎪⎨⎧=++=++=++3532522132321321321x x x x x x x x x解 方程组可表示为⎪⎪⎭⎫⎝⎛=⎪⎪⎭⎫ ⎝⎛⎪⎪⎭⎫ ⎝⎛321153522321321x x x故 ⎪⎪⎭⎫ ⎝⎛=⎪⎪⎭⎫ ⎝⎛⎪⎪⎭⎫ ⎝⎛=⎪⎪⎭⎫ ⎝⎛-0013211535223211321x x x 从而有 ⎪⎩⎪⎨⎧===001321x x x(2)⎪⎩⎪⎨⎧=-+=--=--05231322321321321x x x x x x x x x解 方程组可表示为⎪⎪⎭⎫⎝⎛=⎪⎪⎭⎫ ⎝⎛⎪⎪⎭⎫ ⎝⎛-----012523312111321x x x故 ⎪⎪⎭⎫ ⎝⎛=⎪⎪⎭⎫ ⎝⎛⎪⎪⎭⎫ ⎝⎛-----=⎪⎪⎭⎫ ⎝⎛-3050125233121111321x x x 故有⎪⎩⎪⎨⎧===305321x x x14 设A k O (k 为正整数) 证明(EA )1EAA 2 A k 1 证明 因为A k O 所以EA k E 又因为 E ?A k (EA )(EAA 2 A k 1) 所以 (EA )(EAA 2 A k 1)E 由定理2推论知(EA )可逆 且 (EA )1EAA 2 A k 1证明 一方面 有E (EA )1(EA ) 另一方面 由A k O 有 E (EA )(AA 2)A 2 A k 1(A k 1A k ) (EAA 2? A k 1)(EA ) 故 (EA )1(EA )(EAA 2 A k 1)(EA ) 两端同时右乘(EA )1 就有(EA )1(EA )EAA 2 A k 115 设方阵A 满足A 2?A 2EO 证明A 及A 2E 都可逆 并求A 1及(A 2E )1 证明 由A 2?A 2EO 得 A 2?A 2E 即A (AE )2E或E E A A =-⋅)(21 由定理2推论知A 可逆 且)(211E A A -=- 由A 2?A 2EO 得A 2?A 6E 4E 即(A 2E )(A 3E )4E 或E A E E A =-⋅+)3(41)2(由定理2推论知(A 2E )可逆 且)3(41)2(1A E E A -=+-证明 由A 2?A 2EO 得A 2?A 2E 两端同时取行列式得 |A 2?A |2 即 |A ||AE |2 故 |A |0所以A 可逆 而A 2EA 2 |A 2E ||A 2||A |20 故A 2E 也可逆 由 A 2?A 2EO A (AE )2E A 1A (AE )2A 1E )(211E A A-=- 又由 A 2?A 2EO (A 2E )A 3(A 2E )4E (A 2E )(A 3E )4 E 所以 (A 2E )1(A 2E )(A 3E )4(A 2 E )1)3(41)2(1A E E A -=+-16 设A 为3阶矩阵 21||=A 求|(2A )15A *|解 因为*||11A A A =- 所以|||521||*5)2(|111----=-A A A A A |2521|11---=A A|2A 1|(2)3|A 1|8|A |1821617 设矩阵A 可逆 证明其伴随阵A *也可逆 且(A *)1(A 1)* 证明 由*||11A A A =- 得A *|A |A 1 所以当A 可逆时 有 |A *||A |n |A 1||A |n 10 从而A *也可逆因为A *|A |A 1 所以 (A *)1|A |1A 又*)(||)*(||1111---==A A A A A 所以 (A *)1|A |1A |A |1|A |(A 1)*(A 1)*18 设n 阶矩阵A 的伴随矩阵为A * 证明 (1)若|A |0 则|A *|0 (2)|A *||A |n 1 证明(1)用反证法证明 假设|A *|0 则有A *(A *)1E 由此得 AA A *(A *)1|A |E (A *)1O所以A *O 这与|A *|0矛盾,故当|A |0时 有|A *|0 (2)由于*||11A A A =- 则AA *|A |E 取行列式得到 |A ||A *||A |n 若|A |0 则|A *||A |n 1若|A |0 由(1)知|A *|0 此时命题也成立 因此|A *||A |n 119 设⎪⎪⎭⎫⎝⎛-=321011330A ABA 2B 求B解 由ABA 2E 可得(A 2E )BA 故⎪⎪⎭⎫ ⎝⎛-⎪⎪⎭⎫ ⎝⎛---=-=--321011330121011332)2(11A E A B ⎪⎪⎭⎫ ⎝⎛-=01132133020 设⎪⎪⎭⎫⎝⎛=101020101A 且ABEA 2B 求B解 由ABEA 2B 得 (AE )BA 2E 即 (AE )B (AE )(AE )因为01001010100||≠-==-E A 所以(AE )可逆 从而⎪⎪⎭⎫⎝⎛=+=201030102E A B21 设A diag(1 2 1) A *BA 2BA 8E 求B 解 由A *BA 2BA 8E 得 (A *2E )BA 8E B 8(A *2E )1A 1 8[A (A *2E )]1 8(AA *2A )1 8(|A |E 2A )1 8(2E 2A )1 4(EA )14[diag(2 1 2)]1)21 ,1 ,21(diag 4-= 2diag(12 1)22 已知矩阵A 的伴随阵⎪⎪⎪⎭⎫⎝⎛-=8030010100100001*A 且ABA 1BA 13E 求B解 由|A *||A |38 得|A |2 由ABA 1BA 13E 得 ABB 3AB 3(AE )1A 3[A (EA 1)]1A11*)2(6*)21(3---=-=A E A E⎪⎪⎪⎭⎫ ⎝⎛-=⎪⎪⎪⎭⎫⎝⎛--=-103006060060000660300101001000016123 设P 1AP 其中⎪⎭⎫⎝⎛--=1141P ⎪⎭⎫ ⎝⎛-=Λ2001 求A 11解 由P 1AP 得APP 1 所以A 11? A =P 11P 1. |P |3⎪⎭⎫ ⎝⎛-=1141*P ⎪⎭⎫ ⎝⎛--=-1141311P而⎪⎭⎫ ⎝⎛-=⎪⎭⎫ ⎝⎛-=Λ11111120 012001故⎪⎪⎪⎭⎫⎝⎛--⎪⎭⎫ ⎝⎛-⎪⎭⎫ ⎝⎛--=31313431200111411111A ⎪⎭⎫ ⎝⎛--=6846832732273124 设APP 其中⎪⎪⎭⎫⎝⎛--=111201111P ⎪⎪⎭⎫ ⎝⎛-=Λ511 求(A )A 8(5E 6AA 2) 解 ()8(5E 62)diag(1158)[diag(555)diag(6630)diag(1125)] diag(1158)diag(1200)12diag(100) (A )P ()P 1*)(||1P P P Λ=ϕ⎪⎪⎭⎫⎝⎛------⎪⎪⎭⎫ ⎝⎛⎪⎪⎭⎫ ⎝⎛---=1213032220000000011112011112⎪⎪⎭⎫⎝⎛=111111111425 设矩阵A 、B 及AB 都可逆 证明A 1B 1也可逆 并求其逆阵 证明 因为A 1(AB )B 1B 1?A 1?A 1B 1而A 1(AB )B 1是三个可逆矩阵的乘积 所以A 1(AB )B 1可逆 即A 1B 1可逆 (A 1B 1)1[A 1(AB )B 1]1B (AB )1A26 计算⎪⎪⎪⎭⎫ ⎝⎛---⎪⎪⎪⎭⎫⎝⎛30003200121013013000120010100121 解 设⎪⎭⎫ ⎝⎛=10211A ⎪⎭⎫ ⎝⎛=30122A ⎪⎭⎫ ⎝⎛-=12131B ⎪⎭⎫ ⎝⎛--=30322B 则 ⎪⎭⎫ ⎝⎛⎪⎭⎫ ⎝⎛2121B O B E A O E A ⎪⎭⎫ ⎝⎛+=222111B A O B B A A而 ⎪⎭⎫ ⎝⎛-=⎪⎭⎫ ⎝⎛--+⎪⎭⎫ ⎝⎛-⎪⎭⎫ ⎝⎛=+4225303212131021211B B A ⎪⎭⎫ ⎝⎛--=⎪⎭⎫ ⎝⎛--⎪⎭⎫ ⎝⎛=90343032301222B A 所以 ⎪⎭⎫ ⎝⎛⎪⎭⎫ ⎝⎛2121B O B E A O E A ⎪⎭⎫ ⎝⎛+=222111B A O B B A A ⎪⎪⎪⎭⎫⎝⎛---=9000340042102521 即 ⎪⎪⎪⎭⎫ ⎝⎛---⎪⎪⎪⎭⎫ ⎝⎛30003200121013013000120010100121⎪⎪⎪⎭⎫ ⎝⎛---=9000340042102521 (最后一行的-9也可除以-1变成9,从而变成书上的答案) 27 取⎪⎭⎫⎝⎛==-==1001D C B A 验证|||||||| D C B A D C B A ≠ 解4100120021010*********0021010010110100101==--=--=D C B A 而01111|||||||| ==D C B A 故 |||||||| D C B A D C B A ≠28 设⎪⎪⎪⎭⎫ ⎝⎛-=22023443O O A 求|A 8|及A 4 解 令⎪⎭⎫ ⎝⎛-=34431A ⎪⎭⎫ ⎝⎛=22022A 则 ⎪⎭⎫ ⎝⎛=21A O O A A故 8218⎪⎭⎫ ⎝⎛=A O O A A ⎪⎭⎫ ⎝⎛=8281A O O A1682818281810||||||||||===A A A A A⎪⎪⎪⎭⎫⎝⎛=⎪⎭⎫ ⎝⎛=464444241422025005O O A O O A A29 设n 阶矩阵A 及s 阶矩阵B 都可逆 求 (1)1-⎪⎭⎫⎝⎛O B A O解 设⎪⎭⎫ ⎝⎛=⎪⎭⎫ ⎝⎛-43211C C C C O B A O 则⎪⎭⎫ ⎝⎛O B A O ⎪⎭⎫ ⎝⎛4321C C C C ⎪⎭⎫ ⎝⎛=⎪⎭⎫ ⎝⎛=s n E O O E BC BC AC AC 2143 由此得⎪⎩⎪⎨⎧====s n E BC O BC O AC E AC 2143⎪⎩⎪⎨⎧====--121413B C O C O C A C 所以 ⎪⎭⎫ ⎝⎛=⎪⎭⎫ ⎝⎛---O A B O O B A O 111(2)1-⎪⎭⎫ ⎝⎛B C O A解 设⎪⎭⎫ ⎝⎛=⎪⎭⎫ ⎝⎛-43211D D D D B C O A 则⎪⎭⎫ ⎝⎛=⎪⎭⎫ ⎝⎛++=⎪⎭⎫ ⎝⎛⎪⎭⎫ ⎝⎛s n E O O E BD CD BD CD AD AD D D D D B C O A 4231214321 由此得⎪⎩⎪⎨⎧=+=+==s nE BD CD O BD CD OAD E AD 423121⎪⎩⎪⎨⎧=-===----14113211B D CA B D O D A D 所以 ⎪⎭⎫ ⎝⎛-=⎪⎭⎫ ⎝⎛-----11111B CA B O A BC O A30 求下列矩阵的逆阵(1)⎪⎪⎪⎭⎫⎝⎛2500380000120025 解 设⎪⎭⎫ ⎝⎛=1225A ⎪⎭⎫ ⎝⎛=2538B 则⎪⎭⎫ ⎝⎛--=⎪⎭⎫ ⎝⎛=--5221122511A ⎪⎭⎫ ⎝⎛--=⎪⎭⎫ ⎝⎛=--8532253811B于是 ⎪⎪⎪⎭⎫⎝⎛----=⎪⎭⎫ ⎝⎛=⎪⎭⎫ ⎝⎛=⎪⎪⎪⎭⎫⎝⎛----850032000052002125003800001200251111B A B A(2)⎪⎪⎪⎭⎫ ⎝⎛4121031200210001解 设⎪⎭⎫ ⎝⎛=2101A ⎪⎭⎫ ⎝⎛=4103B ⎪⎭⎫ ⎝⎛=2112C 则⎪⎭⎫ ⎝⎛-=⎪⎭⎫ ⎝⎛=⎪⎪⎪⎭⎫⎝⎛------1111114121031200210001B CA B O A BC O A⎪⎪⎪⎪⎪⎪⎭⎫⎝⎛-----=411212458103161210021210001。
习 题 二1. 解:(1)⎪⎪⎪⎭⎫ ⎝⎛---=+776491056532B AB (2)⎪⎪⎪⎭⎫ ⎝⎛------=-4332412332E AB T2.解:(1)⎪⎪⎭⎫⎝⎛=⎪⎪⎭⎫ ⎝⎛--⎪⎪⎭⎫ ⎝⎛--000046696432 (2)⎪⎪⎪⎭⎫⎝⎛--=⎪⎪⎪⎭⎫ ⎝⎛-⎪⎪⎪⎭⎫ ⎝⎛834231413121342(3)()⎪⎪⎪⎭⎫ ⎝⎛----=-⎪⎪⎪⎭⎫ ⎝⎛-339226113113321 (4)()2321113-=⎪⎪⎪⎭⎫⎝⎛--(5)⎪⎪⎪⎭⎫⎝⎛-=⎪⎪⎪⎪⎪⎭⎫⎝⎛⎪⎪⎪⎭⎫ ⎝⎛------777468505642531432321234643755467 (6)()⎪⎪⎪⎭⎫ ⎝⎛⎪⎪⎪⎭⎫ ⎝⎛321333231232221131211321x x x a a a a a a a a a x x x()⎪⎪⎪⎭⎫⎝⎛++++++=321333223113332222112331221111x x x x a x a x a x a x a x a x a x a x a)()()(233332233113233222222112133112212111x a x x a x x a x x a x a x x a x x a x x a x a ++++++++=3.解:⎪⎪⎪⎭⎫ ⎝⎛---=210143321TA , ⎪⎪⎭⎫ ⎝⎛=234112T B(1)⎪⎪⎪⎭⎫ ⎝⎛---=⎪⎪⎪⎭⎫ ⎝⎛⎪⎪⎪⎭⎫ ⎝⎛---=112143213142210143321B A T(2)⎪⎪⎭⎫ ⎝⎛---=⎪⎪⎪⎭⎫⎝⎛---⎪⎪⎭⎫ ⎝⎛=124113213142031234112A B T(3)⎪⎪⎭⎫ ⎝⎛--=⎪⎪⎪⎭⎫⎝⎛---⎪⎪⎭⎫ ⎝⎛==1165511210143321234112)(TT T A B AB4.解:从321321,,,,x x x y y y 到的线性变换可表示为:⎪⎪⎪⎭⎫ ⎝⎛=⎪⎪⎪⎭⎫ ⎝⎛321321y y y A x x x ,其中⎪⎪⎪⎭⎫ ⎝⎛---=352143231A ;从321321,,,,y y y z z z 到的线性变换可表示为:⎪⎪⎪⎭⎫ ⎝⎛=⎪⎪⎪⎭⎫ ⎝⎛321321z z z B y y y ,其中⎪⎪⎪⎭⎫ ⎝⎛=231341652B ,所以从321321,,,,x x x z z z 到的线性变换可表示为:=⎪⎪⎪⎭⎫ ⎝⎛=⎪⎪⎪⎭⎫ ⎝⎛321321z z z AB x x x ⎪⎪⎪⎭⎫ ⎝⎛---352143231⎪⎪⎪⎭⎫ ⎝⎛231341652=⎪⎪⎪⎭⎫ ⎝⎛321z z z ⎪⎪⎪⎭⎫ ⎝⎛--312823111⎪⎪⎪⎭⎫ ⎝⎛321z z z 所以,从321321,,,,x x x z z z 到的线性变换为:⎪⎩⎪⎨⎧+-=++=+-=32823 321332123211z z z x z z z x z z z x5.解:(1)E A A A f 43)(2+-=⎪⎪⎭⎫ ⎝⎛--=2321⎪⎪⎭⎫ ⎝⎛--2321-3⎪⎪⎭⎫ ⎝⎛--2321E 4+=⎪⎪⎭⎫ ⎝⎛8008 (2) 2201310111)(2--=--=x x xx x x f=--=E A A A f 22)(2⎪⎪⎭⎫ ⎝⎛0211⎪⎪⎭⎫ ⎝⎛0211⎪⎪⎭⎫ ⎝⎛-02112E 2-⎪⎪⎭⎫⎝⎛---=01216.(1)∵222))(()(B BA AB A B A B A B A +++=++=+ ∴要使2222)(B AB A B A ++=+,则必须AB BA = (2) ∵22))((B BA AB A B A B A -+-=-+∴要使22))((B A B A B A -=-+,则必须0=+-BA AB ,即AB BA = (3) 当AB BA =时,用数学归纳法证明kkkB A AB =)(①1=k 时,显然kkkB A AB =)(2=k 时,222)()()()(B A B AB A B AB A ABAB AB AB k=====,所以kkkB A AB =)(②设n k =时,有kkkB A AB =)(,则1+=n k 时 B BA B A B A B A AB B A AB AB AB AB n n n n n n n n K)()()()()()(1!-+=====B AB BA n n)(1-=21)(B A B A n n -=11)(++===n n n n B A B AB A Λ可见,1+=n k 时,也有kk k B A AB =)(所以,当AB BA =时,对一切正整数k 都有 kkkB A AB =)(7.解:(1) ⎪⎪⎭⎫⎝⎛=⎪⎪⎭⎫⎝⎛----111122221111n n n n n(2) ∵⎪⎪⎭⎫⎝⎛=⎪⎪⎭⎫ ⎝⎛--100123122∴⎪⎪⎩⎪⎪⎨⎧⎪⎪⎭⎫ ⎝⎛--⎪⎪⎭⎫⎝⎛=⎪⎪⎭⎫ ⎝⎛--为奇数为偶数n n n 2312 10012312 (3) ∵⎪⎪⎪⎭⎫⎝⎛=⎪⎪⎪⎭⎫ ⎝⎛1002101211001100112,⎪⎪⎪⎭⎫ ⎝⎛=⎪⎪⎪⎭⎫ ⎝⎛1002101211001100113⎪⎪⎪⎭⎫ ⎝⎛100110011⎪⎪⎪⎭⎫ ⎝⎛=100310331 =⎪⎪⎪⎭⎫ ⎝⎛41001100113100110011⎪⎪⎪⎭⎫ ⎝⎛⎪⎪⎪⎭⎫ ⎝⎛100110011⎪⎪⎪⎭⎫ ⎝⎛=100310331⎪⎪⎪⎭⎫⎝⎛100110011⎪⎪⎪⎭⎫⎝⎛=100410641 ∴⎪⎪⎪⎪⎪⎭⎫ ⎝⎛-=⎪⎪⎪⎭⎫⎝⎛100102)1(1100110011n n n n n8.证明:∵A 、B 为对称矩阵,∴=T A A ,=TB B(1) ∵ AC C C A C AC C TT T T T T T ==)()(∴ AC C T是对称矩阵(2) ∵ ABABA A B A B A ABABA TTTTTT==)( ∴ ABABA 是对称矩阵(3) ∵E E AA T T ==-)(1,=TA A∴==--TTTA A AA )()(11A A E A A T11)(--== ∴ 11)(--=A A T∴ 1-A 是对称矩阵9.解:(1) ∵027342≠= ∴⎪⎪⎭⎫ ⎝⎛--=⎪⎪⎭⎫ ⎝⎛-23477342173421⎪⎪⎭⎫ ⎝⎛--=⎪⎪⎭⎫⎝⎛-23472173421(2) ∵01cos sin sin cos cos sin 22≠=+=-θθθθθθ∴ ⎪⎪⎭⎫ ⎝⎛-=⎪⎪⎭⎫ ⎝⎛--θθθθθθθθsin cos cos sin 11sin cos cos sin 1⎪⎪⎭⎫⎝⎛-=θθθθsin cos cos sin (3) ∵232132643321532r r r r --01320321110≠-=---- ∴⎪⎪⎪⎭⎫⎝⎛643321532可逆 又∵0643211==A , 3633112=-=A , 2432113-==A 2645321=-=A , 3635222-==A , 1433223=-=A1325331-==A , 1315232-=-=A , 1213233==A∴⎪⎪⎪⎭⎫ ⎝⎛-----=⎪⎪⎪⎭⎫ ⎝⎛-=⎪⎪⎪⎭⎫⎝⎛-1121331206433215323323133222123121111A A A A A A A A A(4) ⎪⎪⎪⎭⎫⎝⎛-------=⎪⎪⎪⎭⎫ ⎝⎛=⎪⎪⎪⎭⎫⎝⎛-----11133131121212113123233323133222123121111A A A A A A A A A(5) ⎪⎪⎪⎪⎪⎪⎭⎫ ⎝⎛---=⎪⎪⎪⎭⎫ ⎝⎛----1212335123240634332311(6) 把⎪⎪⎪⎪⎪⎭⎫ ⎝⎛=1000210032104321D 分块为⎪⎪⎭⎫ ⎝⎛B C A 0, 其中⎪⎪⎭⎫ ⎝⎛=1021A ,⎪⎪⎭⎫ ⎝⎛=1021B ,⎪⎪⎭⎫⎝⎛=3243C , 则01≠==B A D ,∴矩阵D 可逆。
第二章习题2-11. 证明:若lim n →∞x n =a ,则对任何自然数k ,有lim n →∞x n +k =a .证:由lim n n x a →∞=,知0ε∀>,1N ∃,当1n N >时,有n x a ε-<取1N N k =-,有0ε∀>,N ∃,设n N >时(此时1n k N +>)有n k x a ε+-<由数列极限的定义得 lim n k x x a +→∞=.2. 证明:若lim n →∞x n =a ,则lim n →∞∣x n ∣=|a|.考察数列x n =(-1)n ,说明上述结论反之不成立.证:lim 0,,.使当时,有n x n x aN n N x a εε→∞=∴∀>∃>-<而 n n x a x a -≤- 于是0ε∀>,,使当时,有N n N ∃>n n x a x a ε-≤-< 即 n x a ε-<由数列极限的定义得 lim n n x a →∞=考察数列 (1)nn x =-,知lim n n x →∞不存在,而1n x =,lim 1n n x →∞=,所以前面所证结论反之不成立。
3. 证明:lim n →∞x n =0的充要条件是lim n →∞∣x n ∣=0.证:必要性由2题已证,下面证明充分性。
即证若lim 0n n x →∞=,则lim 0n n x →∞=,由lim 0n n x →∞=知,0ε∀>,N ∃,设当n N >时,有0 0n n n x x x εεε-<<-<即即由数列极限的定义可得 lim 0n n x →∞=4. 利用夹逼定理证明:(1) lim n →∞222111(1)(2)n n n ⎛⎫+++ ⎪+⎝⎭ =0; (2) lim n →∞2!n =0. 证:(1)因为222222111112(1)(2)n n n n n n n n n n++≤+++≤≤=+而且 21lim0n n →∞=,2lim 0n n→∞=, 所以由夹逼定理,得222111lim 0(1)(2)n n n n →∞⎛⎫+++= ⎪+⎝⎭ . (2)因为22222240!1231n n n n n<=<- ,而且4lim 0n n →∞=, 所以,由夹逼定理得2lim 0!nn n →∞= 5. 利用单调有界数列收敛准则证明下列数列的极限存在. (1) x 1>0,x n +1=13()2n nx x +,n =1,2,…; (2) x 1x n +1,n =1,2,…;(3) 设x n 单调递增,y n 单调递减,且lim n →∞(x n -y n )=0,证明x n 和y n 的极限均存在.证:(1)由10x >及13()2n n nx x x =+知,有0n x >(1,2,n = )即数列{}n x 有下界。
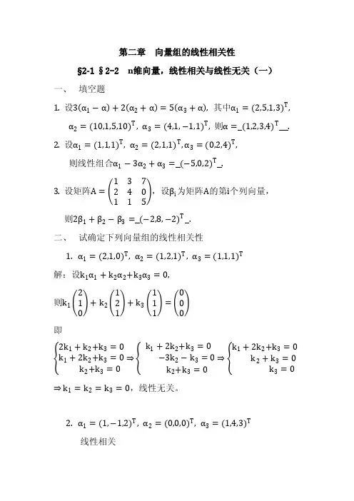
第二章向量组的线性相关性§2-1 §2-2 n维向量,线性相关与线性无关(一)一、填空题1. 设3 α1−α +2 α2+α =5 α3+α , 其中α1=(2,5,1,3)T,α2=(10,1,5,10)T, α3=(4,1,−1,1)T, 则α= (1,2,3,4)T .2. 设α1=(1,1,1)T, α2=(2,1,1)T,α3=(0,2,4)T,则线性组合α1−3α2+α3= (−5,0,2)T .3. 设矩阵A= 137240115 ,设βi为矩阵A的第i个列向量,则2β1+β2−β3= (−2,8,−2)T .二、试确定下列向量组的线性相关性1. α1=(2,1,0)T, α2=(1,2,1)T, α3=(1,1,1)T解:设k1α1+k2α2+k3α3=0,则k1 210 +k2 121 +k3 111 = 000即2k1+k2+k3=0k1+2k2+k3=0k2+k3=0k1+2k2+k3=0−3k2−k3=0k2+k3=0 k1+2k2+k3=0k2+k3=0k3=0 k1=k2=k3=0,线性无关。
2. α1=(1,−1,2)T, α2=(0,0,0)T, α3=(1,4,3)T线性相关三、设有向量组α1=(1,1,0)T, α2=(1,3,−1)T, α3=(5,−3,t)T,问t取何值时该向量组线性相关。
解:设k1α1+k2α2+k3α3=0,则k1 110 +k2 13−1 +k3 5−3t =0即k1+k2+5k3=0k1+3k2−3k3=0−k2+tk3=0k1+k2+5k3=0k2−4k3=0−k2+tk3=0k1+k2+5k3=0k1+3k2−3k3=0(t−4)k3=0所以,t=4, 线性相关; t≠4, 线性无关四、设a1,a2线性无关,a1+b,a2+b线性相关,求向量b用a1,a2线性表示的表示式。
解:因为a1+b,a2+b线性相关,所以存在不全为零的k1,k2,使得k1(a1+b)+k2(a2+b)=0, 即(k1+k2)b=−k1a1−k2a2.又因为a1,a2线性无关,所以k1+k2≠0,于是,b=−k1k1+k2a1−k2k1+k2a2.五、已知向量组α1,α2,⋯,α2n,令β1=α1+α2,β2=α2+α3,⋯,β2n=α2n+α1,求证向量组β1,β2,⋯,β2n线性相关。
习题 二1. 计算下列矩阵的乘积.(1)[]11321023⎡⎤⎢⎥-⎢⎥-⎢⎥⎢⎥⎣⎦=; (2)500103120213⎡⎤⎡⎤⎢⎥⎢⎥-⎢⎥⎢⎥⎢⎥⎢⎥⎣⎦⎣⎦; (3) []32123410⎡⎤⎢⎥⎢⎥⎢⎥⎢⎥⎣⎦; (4)()111213112321222323132333a a a x x x x a a a x a a a x ⎡⎤⎡⎤⎢⎥⎢⎥⎢⎥⎢⎥⎢⎥⎢⎥⎣⎦⎣⎦; (5) 111213212223313233100011001a a a a a a a a a ⎡⎤⎡⎤⎢⎥⎢⎥⎢⎥⎢⎥⎢⎥⎢⎥⎣⎦⎣⎦; (6) 1210131010101210021002300030003⎡⎤⎡⎤⎢⎥⎢⎥-⎢⎥⎢⎥⎢⎥⎢⎥-⎢⎥⎢⎥-⎣⎦⎣⎦. 【解】(1) 32103210;64209630-⎡⎤⎢⎥--⎢⎥⎢⎥-⎢⎥-⎣⎦(2)531⎡⎤⎢⎥-⎢⎥⎢⎥-⎣⎦; (3) (10);(4) 3322211122233312211213311323322311()()()ij iji j a x a x a x a a x x a a x x a a x x a x x==++++++++=∑∑(5)111212132122222331323233a a a a a a a a a a a a +⎡⎤⎢⎥+⎢⎥⎢⎥+⎣⎦; (6) 1252012400430009⎡⎤⎢⎥-⎢⎥⎢⎥-⎢⎥-⎣⎦. 2. 设111111111⎡⎤⎢⎥=-⎢⎥⎢⎥-⎣⎦A ,121131214⎡⎤⎢⎥=-⎢⎥⎢⎥⎣⎦B , 求(1)2-AB A ;(2) -AB BA ;(3) 22()()-=-A+B A B A B 吗?【解】(1) 2422;400024⎡⎤⎢⎥-=⎢⎥⎢⎥⎣⎦AB A (2) 440;531311⎡⎤⎢⎥-=--⎢⎥⎢⎥--⎣⎦AB BA (3) 由于AB ≠BA ,故(A +B )(A -B )≠A 2-B 2.3. 举例说明下列命题是错误的.(1) 若2=A O , 则=A O ; (2) 若2=A A , 则=A O 或=A E ; (3) 若AX =AY ,≠A O , 则X =Y . 【解】(1) 以三阶矩阵为例,取2001,000000⎡⎤⎢⎥==⎢⎥⎢⎥⎣⎦0A A ,但A ≠0(2) 令110000001-⎡⎤⎢⎥=⎢⎥⎢⎥⎣⎦A ,则A 2=A ,但A ≠0且A ≠E (3) 令11021,=,0111210110⎡⎤⎡⎤⎡⎤⎢⎥⎢⎥⎢⎥=≠=⎢⎥⎢⎥⎢⎥⎢⎥⎢⎥⎢⎥-⎣⎦⎣⎦⎣⎦A Y X 0 则AX =AY ,但X ≠Y .4. 设101A λ⎡⎤⎢⎥=-⎢⎥⎢⎥⎣⎦, 求A 2,A 3,…,A k .【解】2312131,,,.010101kk λλλ⎡⎤⎡⎤⎡⎤===⎢⎥⎢⎥⎢⎥⎣⎦⎣⎦⎣⎦A A A L 5. 100100λλλ⎡⎤⎢⎥⎢⎥⎢⎥⎣⎦A =, 求23A ,A 并证明:121(1)2000kk k k kk k k k k k λλλλλλ----⎡⎤⎢⎥⎢⎥⎢⎥⎢⎥⎣⎦A =.【解】2322233223213302,03.0000λλλλλλλλλλλ⎡⎤⎡⎤⎢⎥⎢⎥⎢⎥⎢⎥⎢⎥⎢⎥⎣⎦⎣⎦A =A = 今归纳假设121(1)2000kk k k kk k k k k k λλλλλλ----⎡⎤⎢⎥⎢⎥⎢⎥⎢⎥⎣⎦A =那么11211111(1)1020100000(1)(1)2,0(1)00k k k k k k k k k kk k kk k k k k k k k k λλλλλλλλλλλλλλλ+---+-++=-⎡⎤⎡⎤⎢⎥⎢⎥⎢⎥⎢⎥⎢⎥⎢⎥⎣⎦⎢⎥⎣⎦+⎡⎤+⎢⎥⎢⎥=+⎢⎥⎢⎥⎣⎦A A A= 所以,对于一切自然数k ,都有121(1)2.000kk k k kk k k k k k λλλλλλ----⎡⎤⎢⎥⎢⎥⎢⎥⎢⎥⎣⎦A =6. 已知AP =PB ,其中100100000210001211⎡⎤⎡⎤⎢⎥⎢⎥-⎢⎥⎢⎥⎢⎥⎢⎥-⎣⎦⎣⎦B =,P =求A 及5A .【解】因为|P |= -1≠0,故由AP =PB ,得1100200,611-⎡⎤⎢⎥==⎢⎥⎢⎥--⎣⎦A PBP而51551()()100100100100210000210200.211001411611--==⎡⎤⎡⎤⎡⎤⎡⎤⎢⎥⎢⎥⎢⎥⎢⎥=--==⎢⎥⎢⎥⎢⎥⎢⎥⎢⎥⎢⎥⎢⎥⎢⎥----⎣⎦⎣⎦⎣⎦⎣⎦A PBP PB P A7. 设a b c d ba dc cd a b dcb a ⎡⎤⎢⎥--⎢⎥⎢⎥--⎢⎥--⎣⎦A =,求|A |. 解:由已知条件,A 的伴随矩阵为22222222()()a b c d b a dc a b cd a b c d c d a b dcba *⎡⎤⎢⎥--⎢⎥-+++=-+++⎢⎥--⎢⎥--⎣⎦A =A 又因为*A A =A E ,所以有22222()a b c d -+++A =A E ,且0<A ,即 42222222224()()a b c d a b c d -++++++A =A A =A E 于是有22222()a b c d ==-+++A . 8. 已知线性变换112112212321331233232,3,232,2,45;3,x y y y z z x y y y y z z x y y y y z z =+=-+⎧⎧⎪⎪=-++=+⎨⎨⎪⎪=++=-+⎩⎩ 利用矩阵乘法求从123,,z z z 到123,,x x x 的线性变换. 【解】已知112233112233210,232415310,201013421124910116x y x y x y y z y z y z ⎡⎤⎡⎤⎡⎤⎢⎥⎢⎥⎢⎥===-⎢⎥⎢⎥⎢⎥⎢⎥⎢⎥⎢⎥⎣⎦⎣⎦⎣⎦-⎡⎤⎡⎤⎡⎤⎢⎥⎢⎥⎢⎥===⎢⎥⎢⎥⎢⎥⎢⎥⎢⎥⎢⎥-⎣⎦⎣⎦⎣⎦-⎡⎤⎢⎥==-⎢⎥⎢⎥--⎣⎦X AY Y Bz X AY ABz z,从而由123,,z z z 到123,,x x x 的线性变换为11232123312342,1249,1016.x z z z x z z z x z z z =-++⎧⎪=-+⎨⎪=--+⎩ 9. 设A ,B 为n 阶方阵,且A 为对称阵,证明:'B AB 也是对称阵.【证明】因为n 阶方阵A 为对称阵,即A ′=A ,所以 (B ′AB )′=B ′A ′B =B ′AB , 故'B AB 也为对称阵.10. 设A ,B 为n 阶对称方阵,证明:AB 为对称阵的充分必要条件是AB =BA . 【证明】已知A ′=A ,B ′=B ,若AB 是对称阵,即(AB )′=AB .则 AB =(AB )′=B ′A ′=BA , 反之,因AB =BA ,则(AB )′=B ′A ′=BA =AB ,所以,AB 为对称阵.11. A 为n 阶对称矩阵,B 为n 阶反对称矩阵,证明: (1) B 2是对称矩阵.(2) AB -BA 是对称矩阵,AB +BA 是反对称矩阵. 【证明】因A ′=A ,B ′= -B ,故(B 2)′=B ′·B ′= -B ·(-B )=B 2;(AB -BA )′=(AB )′-(BA )′=B ′A ′-A ′B ′= -BA -A ·(-B )=AB -BA ;(AB +BA )′=(AB )′+(BA )′=B ′A ′+A ′B ′= -BA +A ·(-B )= -(AB +BA ).所以B 2是对称矩阵,AB -BA 是对称矩阵,AB+BA 是反对称矩阵. 12. 求与A =1101⎡⎤⎢⎥⎣⎦可交换的全体二阶矩阵. 【解】设与A 可交换的方阵为a b c d ⎡⎤⎢⎥⎣⎦,则由1101⎡⎤⎢⎥⎣⎦a b c d ⎡⎤⎢⎥⎣⎦=a b c d ⎡⎤⎢⎥⎣⎦1101⎡⎤⎢⎥⎣⎦, 得a cb d a a bcd c c d +++⎡⎤⎡⎤=⎢⎥⎢⎥+⎣⎦⎣⎦.由对应元素相等得c =0,d =a ,即与A 可交换的方阵为一切形如0a b a ⎡⎤⎢⎥⎣⎦的方阵,其中a,b 为任意数.13. 求与A =100012012⎡⎤⎢⎥⎢⎥⎢⎥-⎣⎦可交换的全体三阶矩阵. 【解】由于A =E +000002013⎡⎤⎢⎥⎢⎥⎢⎥-⎣⎦, 而且由111111222222333333000000,002002013013a b c a b c a b c a b c a b c a b c ⎡⎤⎡⎤⎡⎤⎡⎤⎢⎥⎢⎥⎢⎥⎢⎥=⎢⎥⎢⎥⎢⎥⎢⎥⎢⎥⎢⎥⎢⎥⎢⎥--⎣⎦⎣⎦⎣⎦⎣⎦可得11122233333323232302300023222.023333c b c cb c a b c c b c a a b b c c -⎡⎤⎡⎤⎢⎥⎢⎥-=⎢⎥⎢⎥⎢⎥⎢⎥----⎣⎦⎣⎦由此又可得1113232332322333230,230,20,30,2,3,232,233,c b c a a a c b c b b b c c b c c c =-==-===--=-=-所以2311233230,2,3.a a b c c b c b b ======-即与A 可交换的一切方阵为12332300203a b b b b b ⎡⎤⎢⎥⎢⎥⎢⎥-⎣⎦其中123,,a b b 为任意数. 14. 求下列矩阵的逆矩阵.(1) 1225⎡⎤⎢⎥⎣⎦; (2) 123012001⎡⎤⎢⎥⎢⎥⎢⎥⎣⎦; (3)121342541-⎡⎤⎢⎥-⎢⎥⎢⎥--⎣⎦; (4) 1000120021301214⎡⎤⎢⎥⎢⎥⎢⎥⎢⎥⎣⎦; (5) 5200210000830052⎡⎤⎢⎥⎢⎥⎢⎥⎢⎥⎣⎦; (6) ()1212,,,0nn a a a a a a ⎡⎤⎢⎥⎢⎥≠⎢⎥⎢⎥⎣⎦L O ,未写出的元素都是0(以下均同,不另注). 【解】(1) 5221-⎡⎤⎢⎥-⎣⎦; (2)121012001-⎡⎤⎢⎥-⎢⎥⎢⎥⎣⎦;(3) 12601741632142-⎡⎤⎢⎥--⎢⎥⎢⎥--⎣⎦; (4) 100011002211102631511824124⎡⎤⎢⎥⎢⎥-⎢⎥⎢⎥--⎢⎥⎢⎥⎢⎥--⎢⎥⎣⎦; (5) 1200250000230058-⎡⎤⎢⎥-⎢⎥⎢⎥-⎢⎥-⎣⎦; (6) 12111n a a a ⎡⎤⎢⎥⎢⎥⎢⎥⎢⎥⎢⎥⎢⎥⎢⎥⎢⎥⎢⎥⎣⎦O. 15. 利用逆矩阵,解线性方程组12323121,221,2.x x x x x x x ++=⎧⎪+=⎨⎪-=⎩ 【解】因123111102211102x x x ⎡⎤⎡⎤⎡⎤⎢⎥⎢⎥⎢⎥=⎢⎥⎢⎥⎢⎥⎢⎥⎢⎥⎢⎥-⎣⎦⎣⎦⎣⎦,而1110022110≠- 故112311101111122.02211130122*********x x x -⎡⎤⎡⎤-⎢⎥⎢⎥⎡⎤⎡⎤⎡⎤⎡⎤⎢⎥⎢⎥⎢⎥⎢⎥⎢⎥⎢⎥===⎢⎥⎢⎥⎢⎥⎢⎥⎢⎥⎢⎥---⎢⎥⎢⎥⎢⎥⎢⎥⎢⎥⎢⎥-⎣⎦⎣⎦⎣⎦⎣⎦⎢⎥⎢⎥-⎣⎦⎣⎦16. 证明下列命题:(1) 若A ,B 是同阶可逆矩阵,则(AB )*=B *A *. (2) 若A 可逆,则A *可逆且(A *)-1=(A -1)*. (3) 若AA ′=E ,则(A *)′=(A *)-1. 【证明】(1) 因对任意方阵c ,均有c *c =cc *=|c |E ,而A ,B 均可逆且同阶,故可得|A |·|B |·B *A *=|AB |E (B *A *)=(AB ) *AB (B *A *)=(AB ) *A (BB *)A * =(AB ) *A |B |EA *=|A |·|B |(AB ) *.∵ |A |≠0,|B |≠0, ∴ (AB ) *=B *A *.(2) 由于AA *=|A |E ,故A *=|A |A -1,从而(A -1) *=|A -1|(A -1)-1=|A |-1A . 于是A * (A -1) *=|A |A -1·|A |-1A =E ,所以(A -1) *=(A *)-1. (3) 因AA ′=E ,故A 可逆且A -1=A ′. 由(2)(A *)-1=(A -1) *,得(A *)-1=(A ′) *=(A *)′.17. 已知线性变换11232123312322,35,323,x y y y x y y y x y y y =++⎧⎪=++⎨⎪=++⎩ 求从变量123,,x x x 到变量123,,y y y 的线性变换. 【解】已知112233221,315323x y x y x y ⎡⎤⎡⎤⎡⎤⎢⎥⎢⎥⎢⎥===⎢⎥⎢⎥⎢⎥⎢⎥⎢⎥⎢⎥⎣⎦⎣⎦⎣⎦X AY且|A |=1≠0,故A 可逆,因而1749,637324---⎡⎤⎢⎥==-⎢⎥⎢⎥-⎣⎦Y A X X所以从变量123,,x x x 到变量123,,y y y 的线性变换为112321233123749,637,324,y x x x y x x x y x x x =--+⎧⎪=+-⎨⎪=+-⎩ 18. 解下列矩阵方程.(1) 12461321-⎡⎤⎡⎤⎢⎥⎢⎥⎣⎦⎣⎦X =; (2)211211************--⎡⎤⎡⎤⎢⎥⎢⎥=⎢⎥⎢⎥⎢⎥⎢⎥--⎣⎦⎣⎦X ;(3) 142031121101⎡⎤⎡⎤⎡⎤⎢⎥⎢⎥⎢⎥---⎣⎦⎣⎦⎣⎦X =; (4) 010100043100001201001010120-⎡⎤⎡⎤⎡⎤⎢⎥⎢⎥⎢⎥=-⎢⎥⎢⎥⎢⎥⎢⎥⎢⎥⎢⎥-⎣⎦⎣⎦⎣⎦X .【解】(1) 令A =1213⎡⎤⎢⎥⎣⎦;B =4621-⎡⎤⎢⎥⎣⎦.由于13211--⎡⎤=⎢⎥-⎣⎦A 故原方程的惟一解为13246820.112127----⎡⎤⎡⎤⎡⎤===⎢⎥⎢⎥⎢⎥--⎣⎦⎣⎦⎣⎦X A B同理(2) X =100010001⎡⎤⎢⎥⎢⎥⎢⎥⎣⎦; (3) X =11104⎡⎤⎢⎥⎢⎥⎣⎦; (4) X =210.034102-⎡⎤⎢⎥-⎢⎥⎢⎥-⎣⎦19. 若kA =O (k 为正整数),证明:121()k ---L E A =E +A+A ++A .【证明】作乘法212121()()k k k k k ----=-----=-=E A E +A+A ++A E +A+A ++A A A A A E A E,L L L 从而E -A 可逆,且121()k ---L E A =E +A+A ++A20.设方阵A 满足A 2-A -2E =O ,证明A 及A +2E 都可逆,并求A -1及(A +2E )-1.【证】因为A 2-A -2E =0, 故212().2-=⇒-=A A E A E A E由此可知,A 可逆,且11().2-=-A A E同样地2220,64(3)(2)41(3)(2)4--=--=--+=---+=A A E A A E E,A E A E E,A E A E E. 由此知,A +2E 可逆,且1211(2)(3)().44-+=--=-A E A E A E21. 设423110123⎡⎤⎢⎥⎢⎥⎢⎥-⎣⎦A =,2AB =A+B ,求B . 【解】由AB =A +2B 得(A -2E )B =A .而22310,1102121==-≠---A E即A -2E 可逆,故11223423(2)110110121123143423386.1531102961641232129--⎡⎤⎡⎤⎢⎥⎢⎥=-=-⎢⎥⎢⎥⎢⎥⎢⎥--⎣⎦⎣⎦----⎡⎤⎡⎤⎡⎤⎢⎥⎢⎥⎢⎥==----⎢⎥⎢⎥⎢⎥⎢⎥⎢⎥⎢⎥---⎣⎦⎣⎦⎣⎦B A E A 22. 设1-P AP =Λ. 其中1411--⎡⎤⎢⎥⎣⎦P =,1002-⎡⎤⎢⎥⎣⎦=Λ, 求10A . 【解】因1-P 可逆,且1141,113-⎡⎤=⎢⎥--⎣⎦P 故由1Λ-A =P P 得10110101101012121010()()141410331102113314141033110211331365136412421.34134031242--==⎡⎤⎢⎥---⎡⎤⎡⎤=⎢⎥⎢⎥⎢⎥⎣⎦⎣⎦⎢⎥--⎢⎥⎣⎦⎡⎤⎢⎥--⎡⎤⎡⎤=⎢⎥⎢⎥⎢⎥⎣⎦⎣⎦⎢⎥--⎢⎥⎣⎦⎡⎤-+-+⎡⎤==⎢⎥⎢⎥----⎣⎦⎣⎦A P P P P ΛΛ 23. 设m 次多项式01()m m f x a a x a x =+++L ,记01()mm f a a a =+++L A E A A ,()f A 称为方阵A 的m 次多项式.(1)12λλ⎡⎤⎢⎥⎣⎦A =, 证明12kk k λλ⎡⎤⎢⎥⎣⎦A =,12()()()f f f λλ⎡⎤=⎢⎥⎣⎦A ; (2) 设1-A =P BP , 证明1k k -B =PA P ,1()()f f -=B P A P . 【证明】(1)232311232200,00λλλλ⎡⎤⎡⎤==⎢⎥⎢⎥⎣⎦⎣⎦A A 即k =2和k =3时,结论成立. 今假设120,0kkk λλ⎡⎤=⎢⎥⎣⎦A 那么111111222000,000kk k k k k λλλλλλ+++⎡⎤⎡⎤⎡⎤==⎢⎥⎢⎥⎢⎥⎣⎦⎣⎦⎣⎦AA A = 所以,对一切自然数k ,都有120,0kkk λλ⎡⎤=⎢⎥⎣⎦A 而011101220111012212()1100().()mm mm m m m m m f a a a a a a a a a a a a f f λλλλλλλλλλ=⎡⎤⎡⎤⎡⎤=+⎢⎥⎢⎥⎢⎥⎣⎦⎣⎦⎣⎦⎡⎤+=⎢⎥+⎣⎦⎡⎤=⎢⎥⎣⎦L L L L A E +A++A ++++++ (2) 由(1)与A =P -1BP ,得B =PAP -1.且B k =( PAP -1)k = PA k P -1,又0111011011()()().mm m m mm f a a a a a a a a a f ----=+++=+++=++=B E B B E PAP PA P P E A+A P P A P L L L24. a b c d ⎡⎤⎢⎥⎣⎦A =,证明矩阵满足方程2()0x a d x ad bc -++-=.【证明】将A 代入式子2()x a d x ad bc -++-得222222()()10()()010000.00a d ad bc a b a b a d ad bc c d c d ad bca bc ab bd a ad ab bd ad bc ac cd cb d ac cd ad d -++-⎡⎤⎡⎤⎡⎤=-++-⎢⎥⎢⎥⎢⎥⎣⎦⎣⎦⎣⎦-⎡⎤⎡⎤++++⎡⎤=-+⎢⎥⎢⎥⎢⎥-++++⎣⎦⎣⎦⎣⎦⎡⎤==⎢⎥⎣⎦A A E0 故A 满足方程2()0x a d x ad bc -++-=. 25. 设n 阶方阵A 的伴随矩阵为*A ,证明:(1) 若|A |=0,则|*A |=0;(2) 1n *-=A A .【证明】(1) 若|A |=0,则必有|A *|=0,因若| A *|≠0,则有A *( A *)-1=E ,由此又得 A =AE =AA *( A *)-1=|A |( A *)-1=0,这与| A *|≠0是矛盾的,故当|A | =0,则必有| A *|=0. (2) 由A A *=|A |E ,两边取行列式,得|A || A *|=|A |n ,若|A |≠0,则| A *|=|A |n -1 若|A |=0,由(1)知也有| A *|=|A |n -1.26. 设52003200210045000073004100520062⎡⎤⎡⎤⎢⎥⎢⎥⎢⎥⎢⎥=⎢⎥⎢⎥⎢⎥⎢⎥⎣⎦⎣⎦A =,B . 求(1) AB ; (2)BA ; (3) 1-A ;(4)|A |k (k 为正整数). 【解】(1)2320001090000461300329⎡⎤⎢⎥⎢⎥⎢⎥⎢⎥⎣⎦AB =; (2) 19800301300003314005222⎡⎤⎢⎥⎢⎥⎢⎥⎢⎥⎣⎦BA =;(3) 11200250000230057--⎡⎤⎢⎥-⎢⎥⎢⎥-⎢⎥-⎣⎦A =; (4)(1)k k =-A . 27. 用矩阵分块的方法,证明下列矩阵可逆,并求其逆矩阵.(1)1200025000003000001000001⎡⎤⎢⎥⎢⎥⎢⎥⎢⎥⎢⎥⎢⎥⎣⎦; (2)00310021********-⎡⎤⎢⎥⎢⎥⎢⎥⎢⎥-⎣⎦; (3)20102020130010*******0001⎡⎤⎢⎥⎢⎥⎢⎥⎢⎥⎢⎥⎢⎥⎣⎦.【解】(1) 对A 做如下分块 12⎡⎤=⎢⎥⎣⎦A A A 00其中1230012;,01025001⎡⎤⎡⎤⎢⎥==⎢⎥⎢⎥⎣⎦⎢⎥⎣⎦A A12,A A 的逆矩阵分别为1112100523;,01021001--⎡⎤⎢⎥-⎡⎤⎢⎥==⎢⎥-⎢⎥⎣⎦⎢⎥⎣⎦A A 所以A 可逆,且1111252000210001.000030001000001----⎡⎤⎢⎥-⎢⎥⎡⎤⎢⎥==⎢⎥⎢⎥⎣⎦⎢⎥⎢⎥⎢⎥⎣⎦A A A同理(2)11112121310088110044.110055230055----⎡⎤-⎢⎥⎢⎥⎢⎥⎡⎤⎢⎥⎡⎤===⎢⎥⎢⎥⎢⎥⎣⎦⎣⎦⎢⎥⎢⎥⎢⎥-⎢⎥⎣⎦A A A A A (3)1110012211300222.001000001001-⎡⎤--⎢⎥⎢⎥⎢⎥--⎢⎥=⎢⎥⎢⎥⎢⎥⎢⎥⎣⎦A。
第二章 矩阵及其运算1. 已知线性变换:⎪⎩⎪⎨⎧++=++=++=3213321232113235322y y y x y y y x y y y x , 求从变量x 1, x 2, x 3到变量y 1, y 2, y 3的线性变换. 解 由已知:⎪⎪⎭⎫⎝⎛⎪⎪⎭⎫ ⎝⎛=⎪⎪⎭⎫ ⎝⎛221321323513122y y y x x x ,故 ⎪⎪⎭⎫ ⎝⎛⎪⎪⎭⎫ ⎝⎛=⎪⎪⎭⎫ ⎝⎛-3211221323513122x x x y y y ⎪⎪⎭⎫⎝⎛⎪⎪⎭⎫ ⎝⎛----=321423736947y y y , ⎪⎩⎪⎨⎧-+=-+=+--=321332123211423736947x x x y x x x y x x x y .2. 已知两个线性变换⎪⎩⎪⎨⎧++=++-=+=32133212311542322y y y x y y y x y y x , ⎪⎩⎪⎨⎧+-=+=+-=323312211323z z y z z y z z y ,求从z 1, z 2, z 3到x 1, x 2, x 3的线性变换. 解 由已知⎪⎪⎭⎫ ⎝⎛⎪⎪⎭⎫ ⎝⎛-=⎪⎪⎭⎫ ⎝⎛221321514232102y y y x x x ⎪⎪⎭⎫⎝⎛⎪⎪⎭⎫ ⎝⎛--⎪⎪⎭⎫ ⎝⎛-=321310102013514232102z z z⎪⎪⎭⎫ ⎝⎛⎪⎪⎭⎫ ⎝⎛----=321161109412316z z z ,所以有⎪⎩⎪⎨⎧+--=+-=++-=3213321232111610941236z z z x z z z x z z z x .3. 设⎪⎪⎭⎫ ⎝⎛--=111111111A , ⎪⎪⎭⎫⎝⎛--=150421321B , 求3AB -2A 及A T B .解 ⎪⎪⎭⎫⎝⎛---⎪⎪⎭⎫ ⎝⎛--⎪⎪⎭⎫ ⎝⎛--=-1111111112150421321111111111323A AB⎪⎪⎭⎫⎝⎛----=⎪⎪⎭⎫ ⎝⎛---⎪⎪⎭⎫ ⎝⎛-=2294201722213211111111120926508503, ⎪⎪⎭⎫ ⎝⎛-=⎪⎪⎭⎫ ⎝⎛--⎪⎪⎭⎫ ⎝⎛--=092650850150421321111111111B A T .4. 计算下列乘积:(1)⎪⎪⎭⎫⎝⎛⎪⎪⎭⎫ ⎝⎛-127075321134;解 ⎪⎪⎭⎫ ⎝⎛⎪⎪⎭⎫ ⎝⎛-127075321134⎪⎪⎭⎫ ⎝⎛⨯+⨯+⨯⨯+⨯-+⨯⨯+⨯+⨯=102775132)2(71112374⎪⎪⎭⎫ ⎝⎛=49635.(2)⎪⎪⎭⎫ ⎝⎛123)321(;解 ⎪⎪⎭⎫⎝⎛123)321(=(1⨯3+2⨯2+3⨯1)=(10).(3))21(312-⎪⎪⎭⎫⎝⎛;解 )21(312-⎪⎪⎭⎫⎝⎛⎪⎪⎭⎫ ⎝⎛⨯-⨯⨯-⨯⨯-⨯=23)1(321)1(122)1(2⎪⎪⎭⎫ ⎝⎛---=632142.(4)⎪⎪⎪⎭⎫ ⎝⎛---⎪⎭⎫ ⎝⎛-20413121013143110412 ;解 ⎪⎪⎪⎭⎫⎝⎛---⎪⎭⎫ ⎝⎛-20413121013143110412⎪⎭⎫ ⎝⎛---=6520876.(5)⎪⎪⎭⎫ ⎝⎛⎪⎪⎭⎫ ⎝⎛321332313232212131211321)(x x x a a a a a a a a a x x x ; 解⎪⎪⎭⎫ ⎝⎛⎪⎪⎭⎫ ⎝⎛321332313232212131211321)(x x x a a a a a a a a a x x x =(a 11x 1+a 12x 2+a 13x 3 a 12x 1+a 22x 2+a 23x 3 a 13x 1+a 23x 2+a 33x 3)⎪⎪⎭⎫⎝⎛321x x x322331132112233322222111222x x a x x a x x a x a x a x a +++++=.5. 设⎪⎭⎫⎝⎛=3121A , ⎪⎭⎫ ⎝⎛=2101B , 问:(1)AB =BA 吗? 解 AB ≠BA . 因为⎪⎭⎫⎝⎛=6443AB , ⎪⎭⎫ ⎝⎛=8321BA , 所以AB ≠BA .(2)(A +B )2=A 2+2AB +B 2吗? 解 (A +B )2≠A 2+2AB +B 2. 因为⎪⎭⎫⎝⎛=+5222B A ,⎪⎭⎫ ⎝⎛⎪⎭⎫ ⎝⎛=+52225222)(2B A ⎪⎭⎫ ⎝⎛=2914148,但⎪⎭⎫ ⎝⎛+⎪⎭⎫ ⎝⎛+⎪⎭⎫ ⎝⎛=++43011288611483222B AB A ⎪⎭⎫ ⎝⎛=27151610,所以(A +B )2≠A 2+2AB +B 2. (3)(A +B )(A -B )=A 2-B 2吗? 解 (A +B )(A -B )≠A 2-B 2. 因为⎪⎭⎫⎝⎛=+5222B A , ⎪⎭⎫ ⎝⎛=-1020B A ,⎪⎭⎫ ⎝⎛=⎪⎭⎫ ⎝⎛⎪⎭⎫ ⎝⎛=-+906010205222))((B A B A ,而 ⎪⎭⎫ ⎝⎛=⎪⎭⎫ ⎝⎛-⎪⎭⎫ ⎝⎛=-718243011148322B A , 故(A +B )(A -B )≠A 2-B 2.6. 举反列说明下列命题是错误的:(也可参考书上的答案) (1)若A 2=0, 则A =0; 解 取⎪⎭⎫⎝⎛=0010A , 则A 2=0, 但A ≠0. (2)若A 2=A , 则A =0或A =E ;解 取⎪⎭⎫⎝⎛=0011A , 则A 2=A , 但A ≠0且A ≠E . (3)若AX =AY , 且A ≠0, 则X =Y . 解 取⎪⎭⎫ ⎝⎛=0001A , ⎪⎭⎫ ⎝⎛-=1111X , ⎪⎭⎫ ⎝⎛=1011Y ,则AX =AY , 且A ≠0, 但X ≠Y . 7. 设⎪⎭⎫⎝⎛=101λA , 求A 2, A 3, ⋅ ⋅ ⋅, A k . 解⎪⎭⎫ ⎝⎛=⎪⎭⎫ ⎝⎛⎪⎭⎫ ⎝⎛=12011011012λλλA ,⎪⎭⎫ ⎝⎛=⎪⎭⎫ ⎝⎛⎪⎭⎫ ⎝⎛==1301101120123λλλA A A ,⋅ ⋅ ⋅ ⋅ ⋅ ⋅,⎪⎭⎫ ⎝⎛=101λk A k .8. 设⎪⎪⎭⎫⎝⎛=λλλ001001A , 求A k .解 首先观察⎪⎪⎭⎫ ⎝⎛⎪⎪⎭⎫ ⎝⎛=λλλλλλ0010010010012A ⎪⎪⎭⎫ ⎝⎛=222002012λλλλλ,⎪⎪⎭⎫ ⎝⎛=⋅=3232323003033λλλλλλA A A ,⎪⎪⎭⎫ ⎝⎛=⋅=43423434004064λλλλλλA A A ,⎪⎪⎭⎫⎝⎛=⋅=545345450050105λλλλλλA A A ,⋅ ⋅ ⋅ ⋅ ⋅ ⋅,⎝⎛=kA kk kk k kk k k k λλλλλλ02)1(121----⎪⎪⎪⎭⎫ . 用数学归纳法证明: 当k =2时, 显然成立. 假设k 时成立,则k +1时,⎪⎪⎭⎫ ⎝⎛⎪⎪⎪⎪⎭⎫ ⎝⎛-=⋅=---+λλλλλλλλλ0010010002)1(1211k k k k k k k k k k k k A A A ⎪⎪⎪⎪⎭⎫ ⎝⎛+++=+-+--+11111100)1(02)1()1(k k k k k k k k k k λλλλλλ, 由数学归纳法原理知:⎪⎪⎪⎪⎭⎫ ⎝⎛-=---k k k k k k k k k k k A λλλλλλ0002)1(121. (也可提取公因式,变成书上的答案)9. 设A , B 为n 阶矩阵,且A 为对称矩阵,证明B T AB 也是对称矩阵. 证明 因为A T =A , 所以(B T AB )T =B T (B T A )T =B T A T B =B T AB , 从而B T AB 是对称矩阵.10. 设A , B 都是n 阶对称矩阵,证明AB 是对称矩阵的充分必要条件是AB =BA . 证明 充分性: 因为A T =A , B T =B , 且AB =BA , 所以 (AB )T =(BA )T =A T B T =AB , 即AB 是对称矩阵.必要性: 因为A T =A , B T =B , 且(AB )T =AB , 所以 AB =(AB )T =B T A T =BA .11. 求下列矩阵的逆矩阵: (1)⎪⎭⎫ ⎝⎛5221; 解⎪⎭⎫ ⎝⎛=5221A . |A |=1, 故A -1存在. 因为⎪⎭⎫ ⎝⎛--=⎪⎭⎫ ⎝⎛=1225*22122111A A A A A ,故*||11A A A =-⎪⎭⎫ ⎝⎛--=1225.(2)⎪⎭⎫ ⎝⎛-θθθθcos sin sin cos ;解 ⎪⎭⎫ ⎝⎛-=θθθθcos sin sin cos A . |A |=1≠0, 故A -1存在. 因为⎪⎭⎫ ⎝⎛-=⎪⎭⎫ ⎝⎛=θθθθcos sin sin cos *22122111A A A A A ,所以*||11A A A =-⎪⎭⎫ ⎝⎛-=θθθθcos sin sin cos .(3)⎪⎪⎭⎫⎝⎛---145243121;解⎪⎪⎭⎫⎝⎛---=145243121A . |A |=2≠0, 故A -1存在. 因为⎪⎪⎭⎫ ⎝⎛-----=⎪⎪⎭⎫ ⎝⎛=214321613024*332313322212312111A A A A A A A A A A ,所以*||11A A A =-⎪⎪⎪⎭⎫ ⎝⎛-----=1716213213012. (4)⎪⎪⎪⎭⎫ ⎝⎛n a a a 0021(a 1a 2⋅ ⋅ ⋅a n ≠0) .解 ⎪⎪⎪⎭⎫ ⎝⎛=n a a a A 0021, 由对角矩阵的性质知⎪⎪⎪⎪⎪⎪⎭⎫ ⎝⎛=-n a a a A 10011211 .12. 解下列矩阵方程: (1)⎪⎭⎫ ⎝⎛-=⎪⎭⎫⎝⎛12643152X ;解⎪⎭⎫ ⎝⎛-⎪⎭⎫ ⎝⎛=-126431521X ⎪⎭⎫ ⎝⎛-⎪⎭⎫ ⎝⎛--=12642153⎪⎭⎫ ⎝⎛-=80232.(2)⎪⎭⎫ ⎝⎛-=⎪⎪⎭⎫ ⎝⎛--234311111012112X ;解 1111012112234311-⎪⎪⎭⎫ ⎝⎛--⎪⎭⎫ ⎝⎛-=X ⎪⎪⎭⎫ ⎝⎛---⎪⎭⎫ ⎝⎛-=03323210123431131 ⎪⎪⎭⎫⎝⎛---=32538122. (3)⎪⎭⎫ ⎝⎛-=⎪⎭⎫ ⎝⎛-⎪⎭⎫ ⎝⎛-101311022141X ; 解11110210132141--⎪⎭⎫⎝⎛-⎪⎭⎫ ⎝⎛-⎪⎭⎫ ⎝⎛-=X⎪⎭⎫ ⎝⎛⎪⎭⎫ ⎝⎛-⎪⎭⎫ ⎝⎛-=210110131142121⎪⎭⎫ ⎝⎛⎪⎭⎫ ⎝⎛=21010366121⎪⎪⎭⎫ ⎝⎛=04111. (4)⎪⎪⎭⎫ ⎝⎛---=⎪⎪⎭⎫ ⎝⎛⎪⎪⎭⎫ ⎝⎛021102341010100001100001010X .解 11010100001021102341100001010--⎪⎪⎭⎫ ⎝⎛⎪⎪⎭⎫ ⎝⎛---⎪⎪⎭⎫ ⎝⎛=X⎪⎪⎭⎫ ⎝⎛⎪⎪⎭⎫ ⎝⎛---⎪⎪⎭⎫ ⎝⎛=010100001021102341100001010⎪⎪⎭⎫ ⎝⎛---=201431012.13. 利用逆矩阵解下列线性方程组:(1)⎪⎩⎪⎨⎧=++=++=++3532522132321321321x x x x x x x x x ;解 方程组可表示为⎪⎪⎭⎫ ⎝⎛=⎪⎪⎭⎫ ⎝⎛⎪⎪⎭⎫ ⎝⎛321153522321321x x x ,故 ⎪⎪⎭⎫ ⎝⎛=⎪⎪⎭⎫ ⎝⎛⎪⎪⎭⎫ ⎝⎛=⎪⎪⎭⎫ ⎝⎛-0013211535223211321x x x , 从而有 ⎪⎩⎪⎨⎧===001321x x x .(2)⎪⎩⎪⎨⎧=-+=--=--05231322321321321x x x x x x x x x .解 方程组可表示为⎪⎪⎭⎫ ⎝⎛=⎪⎪⎭⎫ ⎝⎛⎪⎪⎭⎫ ⎝⎛-----012523312111321x x x ,故 ⎪⎪⎭⎫ ⎝⎛=⎪⎪⎭⎫ ⎝⎛⎪⎪⎭⎫ ⎝⎛-----=⎪⎪⎭⎫ ⎝⎛-3050125233121111321x x x , 故有 ⎪⎩⎪⎨⎧===305321x x x .14. 设A k =O (k 为正整数), 证明(E -A )-1=E +A +A 2+⋅ ⋅ ⋅+A k -1.证明 因为A k =O , 所以E -A k =E . 又因为 E -A k =(E -A )(E +A +A 2+⋅ ⋅ ⋅+A k -1), 所以 (E -A )(E +A +A 2+⋅ ⋅ ⋅+A k -1)=E , 由定理2推论知(E -A )可逆, 且 (E -A )-1=E +A +A 2+⋅ ⋅ ⋅+A k -1.证明 一方面, 有E =(E -A )-1(E -A ). 另一方面, 由A k =O , 有E =(E -A )+(A -A 2)+A 2-⋅ ⋅ ⋅-A k -1+(A k -1-A k ) =(E +A +A 2+⋅ ⋅ ⋅+A k -1)(E -A ), 故 (E -A )-1(E -A )=(E +A +A 2+⋅ ⋅ ⋅+A k -1)(E -A ), 两端同时右乘(E -A )-1, 就有(E -A )-1(E -A )=E +A +A 2+⋅ ⋅ ⋅+A k -1.15. 设方阵A 满足A 2-A -2E =O , 证明A 及A +2E 都可逆, 并求A -1及(A +2E )-1. 证明 由A 2-A -2E =O 得 A 2-A =2E , 即A (A -E )=2E , 或E E A A =-⋅)(21, 由定理2推论知A 可逆, 且)(211E A A -=-. 由A 2-A -2E =O 得A 2-A -6E =-4E , 即(A +2E )(A -3E )=-4E , 或E A E E A =-⋅+)3(41)2(由定理2推论知(A +2E )可逆, 且)3(41)2(1A E E A -=+-.证明 由A 2-A -2E =O 得A 2-A =2E , 两端同时取行列式得 |A 2-A |=2,即 |A ||A -E |=2, 故 |A |≠0,所以A 可逆, 而A +2E =A 2, |A +2E |=|A 2|=|A |2≠0, 故A +2E 也可逆. 由 A 2-A -2E =O ⇒A (A -E )=2E ⇒A -1A (A -E )=2A -1E ⇒)(211E A A -=-, 又由 A 2-A -2E =O ⇒(A +2E )A -3(A +2E )=-4E ⇒ (A +2E )(A -3E )=-4 E ,所以 (A +2E )-1(A +2E )(A -3E )=-4(A +2 E )-1,)3(41)2(1A E E A -=+-.16. 设A 为3阶矩阵, 21||=A , 求|(2A )-1-5A *|.解 因为*||11A A A =-, 所以|||521||*5)2(|111----=-A A A A A |2521|11---=A A=|-2A -1|=(-2)3|A -1|=-8|A |-1=-8⨯2=-16.17. 设矩阵A 可逆, 证明其伴随阵A *也可逆, 且(A *)-1=(A -1)*. 证明 由*||11A A A =-, 得A *=|A |A -1, 所以当A 可逆时, 有 |A *|=|A |n |A -1|=|A |n -1≠0, 从而A *也可逆.因为A *=|A |A -1, 所以 (A *)-1=|A |-1A . 又*)(||)*(||1111---==A A A A A , 所以 (A *)-1=|A |-1A =|A |-1|A |(A -1)*=(A -1)*.18. 设n 阶矩阵A 的伴随矩阵为A *, 证明: (1)若|A |=0, 则|A *|=0; (2)|A *|=|A |n -1. 证明(1)用反证法证明. 假设|A *|≠0, 则有A *(A *)-1=E , 由此得 A =A A *(A *)-1=|A |E (A *)-1=O ,所以A *=O , 这与|A *|≠0矛盾,故当|A |=0时, 有|A *|=0. (2)由于*||11A A A =-, 则AA *=|A |E , 取行列式得到 |A ||A *|=|A |n . 若|A |≠0, 则|A *|=|A |n -1;若|A |=0, 由(1)知|A *|=0, 此时命题也成立. 因此|A *|=|A |n -1.19. 设⎪⎪⎭⎫⎝⎛-=321011330A , AB =A +2B , 求B .解 由AB =A +2E 可得(A -2E )B =A , 故⎪⎪⎭⎫ ⎝⎛-⎪⎪⎭⎫ ⎝⎛---=-=--321011330121011332)2(11A E A B ⎪⎪⎭⎫⎝⎛-=011321330.20. 设⎪⎪⎭⎫⎝⎛=101020101A , 且AB +E =A 2+B , 求B .解 由AB +E =A 2+B 得 (A -E )B =A 2-E , 即 (A -E )B =(A -E )(A +E ).因为01001010100||≠-==-E A , 所以(A -E )可逆, 从而⎪⎪⎭⎫⎝⎛=+=201030102E A B .21. 设A =diag(1, -2, 1), A *BA =2BA -8E , 求B . 解 由A *BA =2BA -8E 得 (A *-2E )BA =-8E , B =-8(A *-2E )-1A -1 =-8[A (A *-2E )]-1 =-8(AA *-2A )-1 =-8(|A |E -2A )-1 =-8(-2E -2A )-1 =4(E +A )-1=4[diag(2, -1, 2)]-1)21 ,1 ,21(diag 4-= =2diag(1, -2, 1).22. 已知矩阵A 的伴随阵⎪⎪⎪⎭⎫⎝⎛-=8030010100100001*A , 且ABA -1=BA -1+3E , 求B . 解 由|A *|=|A |3=8, 得|A |=2. 由ABA -1=BA -1+3E 得 AB =B +3A ,B =3(A -E )-1A =3[A (E -A -1)]-1A11*)2(6*)21(3---=-=A E A E⎪⎪⎪⎭⎫ ⎝⎛-=⎪⎪⎪⎭⎫⎝⎛--=-1030060600600006603001010010000161.23. 设P -1AP =Λ, 其中⎪⎭⎫⎝⎛--=1141P , ⎪⎭⎫ ⎝⎛-=Λ2001, 求A 11.解 由P -1AP =Λ, 得A =P ΛP -1, 所以A 11= A =P Λ11P -1. |P |=3,⎪⎭⎫ ⎝⎛-=1141*P , ⎪⎭⎫ ⎝⎛--=-1141311P ,而 ⎪⎭⎫ ⎝⎛-=⎪⎭⎫⎝⎛-=Λ11111120 012001,故⎪⎪⎪⎭⎫⎝⎛--⎪⎭⎫ ⎝⎛-⎪⎭⎫ ⎝⎛--=31313431200111411111A ⎪⎭⎫ ⎝⎛--=68468327322731.24. 设AP =P Λ, 其中⎪⎪⎭⎫⎝⎛--=111201111P , ⎪⎪⎭⎫ ⎝⎛-=Λ511,求ϕ(A )=A 8(5E -6A +A 2). 解 ϕ(Λ)=Λ8(5E -6Λ+Λ2)=diag(1,1,58)[diag(5,5,5)-diag(-6,6,30)+diag(1,1,25)] =diag(1,1,58)diag(12,0,0)=12diag(1,0,0). ϕ(A )=P ϕ(Λ)P -1*)(||1P P P Λ=ϕ⎪⎪⎭⎫⎝⎛------⎪⎪⎭⎫ ⎝⎛⎪⎪⎭⎫ ⎝⎛---=1213032220000000011112011112⎪⎪⎭⎫⎝⎛=1111111114.25. 设矩阵A 、B 及A +B 都可逆, 证明A -1+B -1也可逆, 并求其逆阵. 证明 因为A -1(A +B )B -1=B -1+A -1=A -1+B -1,而A -1(A +B )B -1是三个可逆矩阵的乘积, 所以A -1(A +B )B -1可逆, 即A -1+B -1可逆. (A -1+B -1)-1=[A -1(A +B )B -1]-1=B (A +B )-1A .26. 计算⎪⎪⎪⎭⎫ ⎝⎛---⎪⎪⎪⎭⎫⎝⎛30003200121013013000120010100121. 解 设⎪⎭⎫ ⎝⎛=10211A , ⎪⎭⎫ ⎝⎛=30122A , ⎪⎭⎫ ⎝⎛-=12131B , ⎪⎭⎫ ⎝⎛--=30322B ,则⎪⎭⎫ ⎝⎛⎪⎭⎫ ⎝⎛2121B O B E A O E A ⎪⎭⎫ ⎝⎛+=222111B A O B B A A ,而⎪⎭⎫ ⎝⎛-=⎪⎭⎫ ⎝⎛--+⎪⎭⎫ ⎝⎛-⎪⎭⎫ ⎝⎛=+4225303212131021211B B A ,⎪⎭⎫ ⎝⎛--=⎪⎭⎫ ⎝⎛--⎪⎭⎫ ⎝⎛=90343032301222B A , 所以 ⎪⎭⎫ ⎝⎛⎪⎭⎫ ⎝⎛2121B O B E A O E A ⎪⎭⎫ ⎝⎛+=222111B A O B B A A ⎪⎪⎪⎭⎫⎝⎛---=9000340042102521, 即 ⎪⎪⎪⎭⎫ ⎝⎛---⎪⎪⎪⎭⎫⎝⎛30003200121013013000120010100121⎪⎪⎪⎭⎫⎝⎛---=9000340042102521. (最后一行的-9也可除以-1变成9,从而变成书上的答案)27. 取⎪⎭⎫⎝⎛==-==1001D C B A , 验证|||||||| D C B A D C B A ≠. 解4100120021010*********0021010010110100101==--=--=D C B A , 而01111|||||||| ==D C B A , 故 |||||||| D C B A D C B A ≠.28. 设⎪⎪⎪⎭⎫ ⎝⎛-=22023443O O A , 求|A 8|及A 4. 解 令⎪⎭⎫ ⎝⎛-=34431A , ⎪⎭⎫ ⎝⎛=22022A , 则⎪⎭⎫ ⎝⎛=21A O O A A ,故 8218⎪⎭⎫ ⎝⎛=A O O A A ⎪⎭⎫ ⎝⎛=8281A O O A ,1682818281810||||||||||===A A A A A .⎪⎪⎪⎭⎫⎝⎛=⎪⎭⎫ ⎝⎛=464444241422025005O O A O O A A .29. 设n 阶矩阵A 及s 阶矩阵B 都可逆, 求 (1)1-⎪⎭⎫⎝⎛O B A O ;解 设⎪⎭⎫ ⎝⎛=⎪⎭⎫ ⎝⎛-43211C C C C O B A O , 则⎪⎭⎫ ⎝⎛O B A O ⎪⎭⎫ ⎝⎛4321C C C C ⎪⎭⎫ ⎝⎛=⎪⎭⎫ ⎝⎛=s n E O O E BC BC AC AC 2143. 由此得 ⎪⎩⎪⎨⎧====s n E BC O BC O AC E AC 2143⇒⎪⎩⎪⎨⎧====--121413B C O C O C A C ,所以 ⎪⎭⎫ ⎝⎛=⎪⎭⎫ ⎝⎛---O A B O O B A O 111. (2)1-⎪⎭⎫ ⎝⎛B C O A .解 设⎪⎭⎫ ⎝⎛=⎪⎭⎫ ⎝⎛-43211D D D D B C O A , 则⎪⎭⎫ ⎝⎛=⎪⎭⎫ ⎝⎛++=⎪⎭⎫ ⎝⎛⎪⎭⎫ ⎝⎛s n E O O E BD CD BD CD AD AD D D D D B C O A 4231214321.由此得 ⎪⎩⎪⎨⎧=+=+==s nE BD CD O BD CD OAD E AD 423121⇒⎪⎩⎪⎨⎧=-===----14113211B D CA B D O D A D ,所以 ⎪⎭⎫ ⎝⎛-=⎪⎭⎫ ⎝⎛-----11111B CA B O A BC O A .30. 求下列矩阵的逆阵:(1)⎪⎪⎪⎭⎫⎝⎛2500380000120025;解 设⎪⎭⎫⎝⎛=1225A , ⎪⎭⎫ ⎝⎛=2538B , 则⎪⎭⎫ ⎝⎛--=⎪⎭⎫ ⎝⎛=--5221122511A , ⎪⎭⎫ ⎝⎛--=⎪⎭⎫ ⎝⎛=--8532253811B .于是 ⎪⎪⎪⎭⎫ ⎝⎛----=⎪⎭⎫ ⎝⎛=⎪⎭⎫ ⎝⎛=⎪⎪⎪⎭⎫⎝⎛----850032000052002125003800001200251111B A B A .(2)⎪⎪⎪⎭⎫⎝⎛4121031200210001. 解 设⎪⎭⎫ ⎝⎛=2101A , ⎪⎭⎫ ⎝⎛=4103B , ⎪⎭⎫ ⎝⎛=2112C , 则⎪⎭⎫ ⎝⎛-=⎪⎭⎫ ⎝⎛=⎪⎪⎪⎭⎫⎝⎛------1111114121031200210001B CA B O A BC O A ⎪⎪⎪⎪⎪⎪⎭⎫ ⎝⎛-----=411212458103161210021210001.第五章 相似矩阵及二次型1. 试用施密特法把下列向量组正交化:(1)⎪⎪⎭⎫⎝⎛=931421111) , ,(321a a a ;解 根据施密特正交化方法,⎪⎪⎭⎫ ⎝⎛==11111a b , ⎪⎪⎭⎫ ⎝⎛-=-=101],[],[1112122b b b a b a b ,⎪⎪⎭⎫ ⎝⎛-=--=12131],[],[],[],[222321113133b b b a b b b b a b a b .(2)⎪⎪⎪⎭⎫ ⎝⎛---=011101110111) , ,(321a a a .解 根据施密特正交化方法,⎪⎪⎪⎭⎫ ⎝⎛-==110111a b ,⎪⎪⎪⎭⎫ ⎝⎛-=-=123131],[],[1112122b b b a b a b ,⎪⎪⎪⎭⎫ ⎝⎛-=--=433151],[],[],[],[222321113133b b b a b b b b a b a b . 2. 下列矩阵是不是正交阵:(1)⎪⎪⎪⎪⎪⎭⎫ ⎝⎛---121312112131211;解 此矩阵的第一个行向量非单位向量, 故不是正交阵.(2)⎪⎪⎪⎪⎪⎭⎫ ⎝⎛------979494949198949891.解 该方阵每一个行向量均是单位向量, 且两两正交, 故为正交阵.3. 设x 为n 维列向量, x T x =1, 令H =E -2xx T , 证明H 是对称的正交阵. 证明 因为H T =(E -2xx T )T =E -2(xx T )T =E -2(xx T )T =E -2(x T )T x T =E -2xx T , 所以H 是对称矩阵. 因为H T H =HH =(E -2xx T )(E -2xx T ) =E -2xx T -2xx T +(2xx T )(2xx T ) =E -4xx T +4x (x T x )x T =E -4xx T +4xx T =E , 所以H 是正交矩阵.4. 设A 与B 都是n 阶正交阵, 证明AB 也是正交阵. 证明 因为A , B 是n 阶正交阵, 故A -1=A T , B -1=B T ,(AB )T (AB )=B T A T AB =B -1A -1AB =E ,故AB 也是正交阵.5. 求下列矩阵的特征值和特征向量:(1)⎪⎪⎭⎫ ⎝⎛----201335212;解 3)1(201335212||+-=-------=-λλλλλE A ,故A 的特征值为λ=-1(三重). 对于特征值λ=-1, 由⎪⎪⎭⎫ ⎝⎛⎪⎪⎭⎫ ⎝⎛----=+000110101101325213~E A ,得方程(A +E )x =0的基础解系p 1=(1, 1, -1)T , 向量p 1就是对应于特征值λ=-1的特征值向量.(2)⎪⎪⎭⎫⎝⎛633312321;解 )9)(1(633312321||-+-=---=-λλλλλλλE A ,故A 的特征值为λ1=0, λ2=-1, λ3=9. 对于特征值λ1=0, 由⎪⎪⎭⎫⎝⎛⎪⎪⎭⎫ ⎝⎛=000110321633312321~A ,得方程A x =0的基础解系p 1=(-1, -1, 1)T , 向量p 1是对应于特征值λ1=0的特征值向量. 对于特征值λ2=-1, 由⎪⎪⎭⎫ ⎝⎛⎪⎪⎭⎫ ⎝⎛=+000100322733322322~E A ,得方程(A +E )x =0的基础解系p 2=(-1, 1, 0)T , 向量p 2就是对应于特征值λ2=-1的特征值向量. 对于特征值λ3=9, 由⎪⎪⎪⎭⎫ ⎝⎛--⎪⎪⎭⎫ ⎝⎛---=-00021101113333823289~E A , 得方程(A -9E )x =0的基础解系p 3=(1/2, 1/2, 1)T , 向量p 3就是对应于特征值λ3=9的特征值向量.(3)⎪⎪⎪⎭⎫⎝⎛0001001001001000.(和书后答案不同,以书后为主,但解题步骤可以参考) 解 22)1()1(01010010100||+-=----=-λλλλλλλE A , 故A 的特征值为λ1=λ2=-1, λ3=λ4=1. 对于特征值λ1=λ2=-1, 由⎪⎪⎪⎭⎫ ⎝⎛⎪⎪⎪⎭⎫⎝⎛=+00000000011010011001011001101001~E A , 得方程(A +E )x =0的基础解系p 1=(1, 0, 0, -1)T , p 2=(0, 1, -1, 0)T , 向量p 1和p 2是对应于特征值λ1=λ2=-1的线性无关特征值向量.对于特征值λ3=λ4=1, 由⎪⎪⎪⎭⎫ ⎝⎛--⎪⎪⎪⎭⎫⎝⎛----=-00000000011010011001011001101001~E A , 得方程(A -E )x =0的基础解系p 3=(1, 0, 0, 1)T , p 4=(0, 1, 1, 0)T , 向量p 3和p 4是对应于特征值λ3=λ4=1的线性无关特征值向量.6. 设A 为n 阶矩阵, 证明A T 与A 的特征值相同. 证明 因为|A T -λE |=|(A -λE )T |=|A -λE |T =|A -λE |,所以A T 与A 的特征多项式相同, 从而A T 与A 的特征值相同.7. 设n 阶矩阵A 、B 满足R (A )+R (B )<n , 证明A 与B 有公共的特征值, 有公共的特征向量.证明 设R (A )=r , R (B )=t , 则r +t <n .若a 1, a 2, ⋅⋅⋅, a n -r 是齐次方程组A x =0的基础解系, 显然它们是A 的对应于特征值λ=0的线性无关的特征向量.类似地, 设b 1, b 2, ⋅⋅⋅, b n -t 是齐次方程组B x =0的基础解系, 则它们是B 的对应于特征值λ=0的线性无关的特征向量.由于(n -r )+(n -t )=n +(n -r -t )>n , 故a 1, a 2, ⋅⋅⋅, a n -r , b 1, b 2, ⋅⋅⋅, b n -t 必线性相关. 于是有不全为0的数k 1, k 2, ⋅⋅⋅, k n -r , l 1, l 2, ⋅⋅⋅, l n -t , 使k 1a 1+k 2a 2+ ⋅⋅⋅ +k n -r a n -r +l 1b 1+l 2b 2+ ⋅⋅⋅ +l n -r b n -r =0.记 γ=k 1a 1+k 2a 2+ ⋅⋅⋅ +k n -r a n -r =-(l 1b 1+l 2b 2+ ⋅⋅⋅ +l n -r b n -r ), 则k 1, k 2, ⋅⋅⋅, k n -r 不全为0, 否则l 1, l 2, ⋅⋅⋅, l n -t 不全为0, 而l 1b 1+l 2b 2+ ⋅⋅⋅ +l n -r b n -r =0,与b 1, b 2, ⋅⋅⋅, b n -t 线性无关相矛盾.因此, γ≠0, γ是A 的也是B 的关于λ=0的特征向量, 所以A 与B 有公共的特征值, 有公共的特征向量.8. 设A 2-3A +2E =O , 证明A 的特征值只能取1或2.证明设λ是A的任意一个特征值,x是A的对应于λ的特征向量,则(A2-3A+2E)x=λ2x-3λx+2x=(λ2-3λ+2)x=0.因为x≠0,所以λ2-3λ+2=0,即λ是方程λ2-3λ+2=0的根,也就是说λ=1或λ=2.9.设A为正交阵,且|A|=-1,证明λ=-1是A的特征值.证明因为A为正交矩阵,所以A的特征值为-1或1.(需要说明)因为|A|等于所有特征值之积,又|A|=-1,所以必有奇数个特征值为-1,即λ=-1是A的特征值.10.设λ≠0是m阶矩阵A m⨯n B n⨯m的特征值,证明λ也是n阶矩阵BA的特征值.证明设x是AB的对应于λ≠0的特征向量,则有(AB)x=λx,于是B(AB)x=B(λx),或BA(B x)=λ(B x),从而λ是BA的特征值,且B x是BA的对应于λ的特征向量.11.已知3阶矩阵A的特征值为1, 2, 3,求|A3-5A2+7A|.解令ϕ(λ)=λ3-5λ2+7λ,则ϕ(1)=3,ϕ(2)=2,ϕ(3)=3是ϕ(A)的特征值,故|A3-5A2+7A|=|ϕ(A)|=ϕ(1)⋅ϕ(2)⋅ϕ(3)=3⨯2⨯3=18.12.已知3阶矩阵A的特征值为1, 2,-3,求|A*+3A+2E|.解因为|A|=1⨯2⨯(-3)=-6≠0,所以A可逆,故A*=|A|A-1=-6A-1,A*+3A+2E=-6A-1+3A+2E.令ϕ(λ)=-6λ-1+3λ+2,则ϕ(1)=-1,ϕ(2)=5,ϕ(-3)=-5是ϕ(A)的特征值,故|A*+3A+2E|=|-6A-1+3A+2E|=|ϕ(A)|=ϕ(1)⋅ϕ(2)⋅ϕ(-3)=-1⨯5⨯(-5)=25.13.设A、B都是n阶矩阵,且A可逆,证明AB与BA相似.证明 取P =A , 则P -1ABP =A -1ABA =BA ,即AB 与BA 相似.14. 设矩阵⎪⎪⎭⎫⎝⎛=50413102x A 可相似对角化, 求x .解 由)6()1(50413102||2---=---=-λλλλλλx E A ,得A 的特征值为λ1=6, λ2=λ3=1.因为A 可相似对角化, 所以对于λ2=λ3=1, 齐次线性方程组(A -E )x =0有两个线性无关的解, 因此R (A -E )=1. 由⎪⎪⎭⎫ ⎝⎛-⎪⎪⎭⎫ ⎝⎛=-00030010140403101)(~x x E A r知当x =3时R (A -E )=1, 即x =3为所求.15. 已知p =(1, 1, -1)T 是矩阵⎪⎪⎭⎫⎝⎛---=2135212b a A 的一个特征向量.(1)求参数a , b 及特征向量p 所对应的特征值; 解 设λ是特征向量p 所对应的特征值, 则(A -λE )p =0, 即⎪⎪⎭⎫ ⎝⎛=⎪⎪⎭⎫ ⎝⎛-⎪⎪⎭⎫ ⎝⎛------0001112135212λλλb a ,解之得λ=-1, a =-3, b =0.(2)问A 能不能相似对角化?并说明理由. 解 由3)1(201335212||--=-------=-λλλλλE A ,得A 的特征值为λ1=λ2=λ3=1. 由⎪⎪⎭⎫ ⎝⎛-⎪⎪⎭⎫ ⎝⎛----=-00011010111325211~r b E A知R (A -E )=2, 所以齐次线性方程组(A -E )x =0的基础解系只有一个解向量. 因此A 不能相似对角化.16. 试求一个正交的相似变换矩阵, 将下列对称阵化为对角阵:(1)⎪⎪⎭⎫⎝⎛----020212022;解 将所给矩阵记为A . 由λλλλ-------=-20212022E A =(1-λ)(λ-4)(λ+2),得矩阵A 的特征值为λ1=-2, λ2=1, λ3=4. 对于λ1=-2, 解方程(A +2E )x =0, 即0220232024321=⎪⎪⎭⎫ ⎝⎛⎪⎪⎭⎫ ⎝⎛----x x x , 得特征向量(1, 2, 2)T , 单位化得T)32 ,32 ,31(1=p .对于λ2=1, 解方程(A -E )x =0, 即0120202021321=⎪⎪⎭⎫⎝⎛⎪⎪⎭⎫ ⎝⎛-----x x x ,得特征向量(2, 1, -2)T , 单位化得T )32 ,31 ,32(2-=p .对于λ3=4, 解方程(A -4E )x =0, 即0420232022321=⎪⎪⎭⎫ ⎝⎛⎪⎪⎭⎫ ⎝⎛-------x x x , 得特征向量(2, -2, 1)T , 单位化得T )31 ,32 ,32(3-=p . 于是有正交阵P =(p 1, p 2, p 3), 使P -1AP =diag(-2, 1, 4).(2)⎪⎪⎭⎫ ⎝⎛----542452222. (和书后答案不同,以书后答案为准,解题步骤可以参考)解 将所给矩阵记为A . 由λλλλ-------=-542452222E A =-(λ-1)2(λ-10),得矩阵A 的特征值为λ1=λ2=1, λ3=10. 对于λ1=λ2=1, 解方程(A -E )x =0, 即⎪⎪⎭⎫ ⎝⎛=⎪⎪⎭⎫ ⎝⎛⎪⎪⎭⎫ ⎝⎛----000442442221321x x x , 得线性无关特征向量(-2, 1, 0)T 和(2, 0, 1)T , 将它们正交化、单位化得T 0) 1, ,2(511-=p , T 5) ,4 ,2(5312=p .对于λ3=10, 解方程(A -10E )x =0, 即⎪⎪⎭⎫⎝⎛=⎪⎪⎭⎫ ⎝⎛⎪⎪⎭⎫ ⎝⎛-------000542452228321x x x , 得特征向量(-1, -2, 2)T , 单位化得T )2 ,2 ,1(313--=p .于是有正交阵P =(p 1, p 2, p 3), 使P -1AP =diag(1, 1, 10).17. 设矩阵⎪⎪⎭⎫⎝⎛------=12422421x A 与⎪⎪⎭⎫ ⎝⎛-=Λy 45相似, 求x , y ; 并求一个正交阵P , 使P -1AP =Λ.解 已知相似矩阵有相同的特征值, 显然λ=5, λ=-4, λ=y 是Λ的特征值, 故它们也是A 的特征值. 因为λ=-4是A 的特征值, 所以0)4(9524242425|4|=-=---+---=+x x E A ,解之得x =4.已知相似矩阵的行列式相同, 因为100124242421||-=-------=A , y y2045||-=-=Λ,所以-20y =-100, y =5.对于λ=5, 解方程(A -5E )x =0, 得两个线性无关的特征向量(1, 0, -1)T , (1, -2, 0)T . 将它们正交化、单位化得T )1 ,0 ,1(211-=p , T )1 ,4 ,1(2312-=p .对于λ=-4, 解方程(A +4E )x =0, 得特征向量(2, 1, 2)T , 单位化得T )2 ,1 ,2(313=p .于是有正交矩阵⎪⎪⎪⎪⎪⎪⎭⎫⎝⎛--=23132212343102313221P , 使P -1AP =Λ. 18. 设3阶方阵A 的特征值为λ1=2, λ2=-2, λ3=1; 对应的特征向量依次为p 1=(0, 1, 1)T ,p 2=(1, 1, 1)T , p 3=(1, 1, 0)T , 求A .解 令P =(p 1, p 2, p 3), 则P -1AP =diag(2, -2, 1)=Λ, A =P ΛP -1. 因为⎪⎪⎭⎫ ⎝⎛---=⎪⎪⎭⎫ ⎝⎛=--11011101101111111011P ,所以⎪⎪⎭⎫ ⎝⎛---⎪⎪⎭⎫ ⎝⎛-⎪⎪⎭⎫ ⎝⎛=Λ=-1101110111000200020111111101P P A ⎪⎪⎪⎭⎫⎝⎛------=244354332. 19. 设3阶对称阵A 的特征值为λ1=1, λ2=-1, λ3=0; 对应λ1、λ2的特征向量依次为p 1=(1, 2, 2)T , p 2=(2, 1, -2)T , 求A .解 设⎪⎪⎭⎫⎝⎛=653542321x x x x x x x x x A , 则A p 1=2p 1, A p 2=-2p 2, 即 ⎪⎩⎪⎨⎧=++=++=++222222122653542321x x x x x x x x x , ---① ⎪⎩⎪⎨⎧=-+-=-+-=-+222122222653542321x x x x x x x x x . ---② 再由特征值的性质, 有x 1+x 4+x 6=λ1+λ2+λ3=0. ---③由①②③解得612131x x --=, 6221x x =, 634132x x -=,642131x x -=, 654132x x +=. 令x 6=0, 得311-=x , x 2=0, 323=x , 314=x , 325=x .因此⎪⎪⎭⎫ ⎝⎛-=022********A . 20. 设3阶对称矩阵A 的特征值λ1=6, λ2=3, λ3=3, 与特征值λ1=6对应的特征向量为p 1=(1, 1, 1)T , 求A .解 设⎪⎪⎭⎫⎝⎛=653542321x x x x x x x x x A .因为λ1=6对应的特征向量为p 1=(1, 1, 1)T , 所以有⎪⎪⎭⎫ ⎝⎛=⎪⎪⎭⎫ ⎝⎛1116111A , 即⎪⎩⎪⎨⎧=++=++=++666653542321x x x x x x x x x ---①. λ2=λ3=3是A 的二重特征值, 根据实对称矩阵的性质定理知R (A -3E )=1. 利用①可推出⎪⎪⎭⎫⎝⎛--⎪⎪⎭⎫ ⎝⎛---=-331113333653542653542321~x x x x x x x x x x x x x x x E A .因为R (A -3E )=1, 所以x 2=x 4-3=x 5且x 3=x 5=x 6-3, 解之得x 2=x 3=x 5=1, x 1=x 4=x 6=4.因此⎪⎪⎭⎫⎝⎛=411141114A .21. 设a =(a 1, a 2, ⋅⋅⋅, a n )T , a 1≠0, A =aa T .(1)证明λ=0是A 的n -1重特征值;证明 设λ是A 的任意一个特征值, x 是A 的对应于λ的特征向量, 则有 A x =λx ,λ2x =A 2x =aa T aa T x =a T a A x =λa T ax , 于是可得λ2=λa T a , 从而λ=0或λ=a T a .设λ1, λ2, ⋅ ⋅ ⋅, λn 是A 的所有特征值, 因为A =aa T 的主对角线性上的元素为a 12, a 22, ⋅ ⋅ ⋅, a n 2, 所以a 12+a 22+ ⋅ ⋅ ⋅ +a n 2=a T a =λ1+λ2+ ⋅ ⋅ ⋅ +λn ,这说明在λ1, λ2, ⋅ ⋅ ⋅, λn 中有且只有一个等于a T a , 而其余n -1个全为0, 即λ=0是A 的n -1重特征值.(2)求A 的非零特征值及n 个线性无关的特征向量. 解 设λ1=a T a , λ2= ⋅ ⋅ ⋅ =λn =0.因为A a =aa T a =(a T a )a =λ1a , 所以p 1=a 是对应于λ1=a T a 的特征向量.对于λ2= ⋅ ⋅ ⋅ =λn =0, 解方程A x =0, 即aa T x =0. 因为a ≠0, 所以a T x =0, 即a 1x 1+a 2x 2+ ⋅ ⋅ ⋅ +a n x n =0, 其线性无关解为p 2=(-a 2, a 1, 0, ⋅⋅⋅, 0)T , p 3=(-a 3, 0, a 1, ⋅⋅⋅, 0)T ,⋅ ⋅ ⋅,p n =(-a n , 0, 0, ⋅⋅⋅, a 1)T . 因此n 个线性无关特征向量构成的矩阵为⎪⎪⎪⎭⎫ ⎝⎛⋅⋅⋅⋅⋅⋅⋅⋅⋅⋅⋅⋅⋅⋅⋅⋅⋅⋅-⋅⋅⋅-=⋅⋅⋅112212100), , ,(a a a aa a a nn n p p p . 22. 设⎪⎪⎭⎫⎝⎛-=340430241A , 求A 100. 解 由)5)(5)(1(340430241||+---=----=-λλλλλλλE A ,得A 的特征值为λ1=1, λ2=5, λ3=-5.对于λ1=1, 解方程(A -E )x =0, 得特征向量p 1=(1, 0, 0)T . 对于λ1=5, 解方程(A -5E )x =0, 得特征向量p 2=(2, 1, 2)T . 对于λ1=-5, 解方程(A +5E )x =0, 得特征向量p 3=(1, -2, 1)T . 令P =(p 1, p 2, p 3), 则P -1AP =diag(1, 5, -5)=Λ,A =P ΛP -1, A 100=P Λ100P -1. 因为Λ100=diag(1, 5100, 5100),⎪⎪⎭⎫ ⎝⎛--=⎪⎪⎭⎫ ⎝⎛-=--1202105055112021012111P ,所以⎪⎪⎭⎫ ⎝⎛--⎪⎪⎭⎫ ⎝⎛⎪⎪⎭⎫ ⎝⎛-=12021050555112021012151100100100A ⎪⎪⎭⎫⎝⎛-=1001001005000501501.23. 在某国, 每年有比例为p 的农村居民移居城镇, 有比例为q 的城镇居民移居农村, 假设该国总人口数不变, 且上述人口迁移的规律也不变. 把n 年后农村人口和城镇人口占总人口的比例依次记为x n 和y n (x n +y n =1).(1)求关系式⎪⎭⎫ ⎝⎛=⎪⎭⎫ ⎝⎛++n n n n y x A y x 11中的矩阵A ;解 由题意知x n +1=x n +qy n -px n =(1-p )x n +qy n , y n +1=y n +px n -qy n = px n +(1-q )y n , 可用矩阵表示为⎪⎭⎫ ⎝⎛⎪⎭⎫ ⎝⎛--=⎪⎭⎫ ⎝⎛++n n n n y x q p q p y x 1111,因此⎪⎭⎫⎝⎛--=q p q p A 11.(2)设目前农村人口与城镇人口相等, 即⎪⎭⎫ ⎝⎛=⎪⎭⎫ ⎝⎛5.05.000y x , 求⎪⎭⎫ ⎝⎛n n y x .解 由⎪⎭⎫ ⎝⎛=⎪⎭⎫ ⎝⎛++n n n n y x A y x 11可知⎪⎭⎫ ⎝⎛=⎪⎭⎫ ⎝⎛00y x A y x n n n . 由)1)(1(11||q p q p qp E A ++--=----=-λλλλλ,得A 的特征值为λ1=1, λ2=r , 其中r =1-p -q .对于λ1=1, 解方程(A -E )x =0, 得特征向量p 1=(q , p )T . 对于λ1=r , 解方程(A -rE )x =0, 得特征向量p 2=(-1, 1)T . 令⎪⎭⎫⎝⎛-==11) ,(21p q P p p , 则 P -1AP =diag(1, r )=Λ, A =P ΛP -1, A n =P Λn P -1. 于是11100111-⎪⎭⎫⎝⎛-⎪⎭⎫ ⎝⎛⎪⎭⎫ ⎝⎛-=p q r p q A n n⎪⎭⎫⎝⎛-⎪⎭⎫ ⎝⎛⎪⎭⎫ ⎝⎛-+=q p r p q q p n 11001111 ⎪⎭⎫ ⎝⎛+--++=n n n n qr p pr p qr q pr q q p 1, ⎪⎭⎫ ⎝⎛⎪⎭⎫ ⎝⎛+--++=⎪⎭⎫ ⎝⎛5.05.01n n n n n n qr p pr p qr q pr q q p y x ⎪⎭⎫ ⎝⎛-+-++=n n r p q p r q p q q p )(2)(2)(21.24. (1)设⎪⎭⎫ ⎝⎛--=3223A , 求ϕ(A )=A 10-5A 9; 解 由)5)(1(3223||--=----=-λλλλλE A ,得A 的特征值为λ1=1, λ2=5.对于λ1=1, 解方程(A -E )x =0, 得单位特征向量T )1 ,1(21. 对于λ1=5, 解方程(A -5E )x =0, 得单位特征向量T )1 ,1(21-.于是有正交矩阵⎪⎭⎫ ⎝⎛-=111121P , 使得P -1AP =diag(1, 5)=Λ,从而A =P ΛP -1, A k =P Λk P -1. 因此 ϕ(A )=P ϕ(Λ)P -1=P (Λ10-5Λ9)P -1 =P [diag(1, 510)-5diag(1, 59)]P -1 =P diag(-4, 0)P -1⎪⎭⎫ ⎝⎛-⎪⎭⎫ ⎝⎛-⎪⎭⎫ ⎝⎛-=1111210004111121⎪⎭⎫ ⎝⎛-=⎪⎭⎫ ⎝⎛----=111122222. (2)设⎪⎪⎭⎫⎝⎛=122221212A , 求ϕ(A )=A 10-6A 9+5A 8.解 求得正交矩阵为⎪⎪⎪⎭⎫ ⎝⎛---=20223123161P , 使得P -1AP =diag(-1, 1, 5)=Λ, A =P ΛP -1. 于是 ϕ(A )=P ϕ(Λ)P -1=P (Λ10-6Λ9+5Λ8)P -1 =P [Λ8(Λ-E )(Λ-5E )]P -1=P diag(1, 1, 58)diag(-2, 0, 4)diag(-6, -4, 0)P -1 =P diag(12, 0, 0)P -1⎪⎪⎭⎫ ⎝⎛---⎪⎪⎭⎫ ⎝⎛⎪⎪⎪⎭⎫ ⎝⎛---=222033211001220223123161⎪⎪⎭⎫⎝⎛----=4222112112.25. 用矩阵记号表示下列二次型: (1) f =x 2+4xy +4y 2+2xz +z 2+4yz ; 解⎪⎪⎭⎫ ⎝⎛⎪⎪⎭⎫ ⎝⎛=z y x z y x f 121242121) , ,(.(2) f =x 2+y 2-7z 2-2xy -4xz -4yz ; 解⎪⎪⎭⎫⎝⎛⎪⎪⎭⎫ ⎝⎛-------=z y x z y x f 722211211) , ,(.(3) f =x 12+x 22+x 32+x 42-2x 1x 2+4x 1x 3-2x 1x 4+6x 2x 3-4x 2x 4.解⎪⎪⎪⎭⎫ ⎝⎛⎪⎪⎪⎭⎫⎝⎛------=432143211021013223111211) , , ,(x x x x x x x x f . 26. 写出下列二次型的矩阵: (1)x x x ⎪⎭⎫ ⎝⎛=1312)(T f ;解 二次型的矩阵为⎪⎪⎭⎫⎝⎛=1222A . (2)x x x ⎪⎪⎭⎫⎝⎛=987654321)(Tf .解 二次型的矩阵为⎪⎪⎪⎭⎫⎝⎛=975753531A .27. 求一个正交变换将下列二次型化成标准形: (1) f =2x 12+3x 22+3x 33+4x 2x 3;解 二次型的矩阵为⎪⎪⎭⎫⎝⎛=320230002A . 由)1)(5)(2(320230002λλλλλλλ---=---=-E A ,得A 的特征值为λ1=2, λ2=5, λ3=1. 当λ1=2时, 解方程(A -2E )x =0, 由⎪⎪⎭⎫ ⎝⎛⎪⎪⎭⎫ ⎝⎛=-0001002101202100002~E A ,得特征向量(1, 0, 0)T . 取p 1=(1, 0, 0)T . 当λ2=5时, 解方程(A -5E )x =0, 由⎪⎪⎭⎫⎝⎛-⎪⎪⎭⎫ ⎝⎛---=-0001100012202200035~E A ,得特征向量(0, 1, 1)T . 取T )21 ,21,0(2=p .当λ3=1时, 解方程(A -E )x =0, 由⎪⎪⎭⎫ ⎝⎛⎪⎪⎭⎫ ⎝⎛=-000110001220220001~E A ,得特征向量(0, -1, 1)T . 取T )21 ,21 ,0(3-=p .于是有正交矩阵T =(p 1, p 2, p 3)和正交变换x =T y , 使f =2y 12+5y 22+y 32.(2) f =x 12+x 22+x 32+x 42+2x 1x 2-2x 1x 4-2x 2x 3+2x 3x 4.解 二次型矩阵为⎪⎪⎪⎭⎫⎝⎛----=1101111001111011A . 由2)1)(3)(1(1101111001111011--+=--------=-λλλλλλλλE A ,得A 的特征值为λ1=-1, λ2=3, λ3=λ4=1.当λ1=-1时, 可得单位特征向量T )21 ,21 ,21 ,21(1--=p .当λ2=3时, 可得单位特征向量T )21 ,21 ,21 ,21(2--=p . 当λ3=λ4=1时, 可得线性无关的单位特征向量T )0 ,21 ,0 ,21(3=p , T )21 ,0 ,21 ,0(4=p .于是有正交矩阵T =( p 1, p 2, p 3, p 4)和正交变换x =T y , 使f =-y 12+3y 22+y 32+y 42.28. 求一个正交变换把二次曲面的方程3x 2+5y 2+5z 2+4xy -4xz -10yz =1化成标准方程.解 二次型的矩阵为⎪⎪⎭⎫⎝⎛----=552552223A .由)11)(2(552552223||---=-------=-λλλλλλλE A , 得A 的特征值为λ1=2,λ2=11, λ3=0, .对于λ1=2, 解方程(A -2E )x =0, 得特征向量(4, -1, 1)T , 单位化得)231 ,231 ,234(1-=p .对于λ2=11, 解方程(A -11E )x =0, 得特征向量(1, 2, -2)T , 单位化得)32 ,32 ,31(2-=p .对于λ3=0, 解方程A x =0, 得特征向量(0, 1, 1)T , 单位化得)21 ,21,0(3=p . 于是有正交矩阵P =(p 1, p 2, p 3), 使P -1AP =diag(2, 11, 0), 从而有正交变换⎪⎪⎭⎫ ⎝⎛⎪⎪⎪⎪⎪⎪⎭⎫⎝⎛--=⎪⎪⎭⎫ ⎝⎛w v u z y x 21322312132231031234,使原二次方程变为标准方程2u 2+11v 2=1.29. 明: 二次型f =x T A x 在||x ||=1时的最大值为矩阵A 的最大特征值. 证明 A 为实对称矩阵, 则有一正交矩阵T , 使得TAT -1=diag(λ1, λ2, ⋅ ⋅ ⋅, λn )=Λ成立, 其中λ1, λ2, ⋅ ⋅ ⋅, λn 为A 的特征值, 不妨设λ1最大. 作正交变换y =T x , 即x =T T y , 注意到T -1=T T , 有 f =x T A x =y T TAT T y =y T Λy =λ1y 12+λ2y 22+ ⋅ ⋅ ⋅ +λn y n 2. 因为y =T x 正交变换, 所以当||x ||=1时, 有||y ||=||x ||=1, 即y 12+y 22+ ⋅ ⋅ ⋅ +y n 2=1.因此f =λ1y 12+λ2y 22+ ⋅ ⋅ ⋅ +λn y n 2≤λ1,又当y 1=1, y 2=y 3=⋅ ⋅ ⋅=y n =0时f =λ1, 所以f max =λ1.30. 用配方法化下列二次形成规范形, 并写出所用变换的矩阵. (1) f (x 1, x 2, x 3)=x 12+3x 22+5x 32+2x 1x 2-4x 1x 3; 解 f (x 1, x 2, x 3)=x 12+3x 22+5x 32+2x 1x 2-4x 1x 3 =(x 1+x 2-2x 3)2+4x 2x 3+2x 22+x 32 =(x 1+x 2-2x 3)2-2x 22+(2x 2+x 3)2.令 ⎪⎩⎪⎨⎧+==-+=323223211222x x y x y x x x y , 即⎪⎪⎩⎪⎪⎨⎧+-==+-=323223211221225y y x y x y y y x , 二次型化为规范形f =y 12-y 22+y 32,所用的变换矩阵为⎪⎪⎪⎪⎪⎭⎫⎝⎛--=12002102251C .(2) f (x 1, x 2, x 3)=x 12+2x 32+2x 1x 3+2x 2x 3; 解 f (x 1, x 2, x 3)=x 12+2x 32+2x 1x 3+2x 2x 3 =(x 1+x 3)2+x 32+2x 2x 3; =(x 1+x 3)2-x 22+(x 2+x 3)2.令 ⎪⎩⎪⎨⎧+==+=32322311x x y x y x x y , 即⎪⎩⎪⎨⎧+-==-+=323223211y y x y x y y y x ,二次型化为规范形f =y 12-y 22+y 32,所用的变换矩阵为⎪⎪⎭⎫⎝⎛--=110010111C .(3) f (x 1, x 2, x 3)=2x 12+x 22+4x 32+2x 1x 2-2x 2x 3. 解 f (x 1, x 2, x 3)=2x 12+x 22+4x 32+2x 1x 2-2x 2x 3.3223222212421)21(2x x x x x x -+++= 232322212)2(21)21(2x x x x x +-++=. 令 ⎪⎪⎩⎪⎪⎨⎧=-=+=333222112)2(21)21(2x y x x y x x y , 即⎪⎪⎩⎪⎪⎨⎧=+=--=33322321121222212121y x y y x y y y x , 二次型化为规范形f =y 12+y 22+y 32,所用的变换矩阵为⎪⎪⎭⎫ ⎝⎛--=10022011121C . 31. 设f =x 12+x 22+5x 32+2ax 1x 2-2x 1x 3+4x 2x 3为正定二次型, 求a .解 二次型的矩阵为⎪⎪⎭⎫⎝⎛--=5212111a a A , 其主子式为 a 11=1, 2111a a a -=, )45(5212111+-=--a a a a . 因为f 为正主二次型, 所以必有1-a 2>0且-a (5a +4)>0, 解之得054<<-a .32. 判别下列二次型的正定性:(1) f =-2x 12-6x 22-4x 32+2x 1x 2+2x 1x 3;。
第二章向量组的线性相关性§2-1 §2-2 维向量,线性相关与线性无关(一)一、填空题1. 设3 α1−α +2 α2+α =5 α3+α , 其中α1=(2,5,1,3)T,α2=(10,1,5,10)T, α3=(4,1,−1,1)T, 则α= (1,2,3,4)T .2. 设α1=(1,1,1)T, α2=(2,1,1)T,α3=(0,2,4)T,则线性组合α1−3α2+α3= (−5,0,2)T .3. 设矩阵A= ,设βi为矩阵A的第i个列向量,则2β1+β2−β3= (−2,8,−2)T .二、试确定下列向量组的线性相关性1. α1=(2,1,0)T, α2=(1,2,1)T, α3=(1,1,1)T解:设k1α1+k2α2+k3α3=0,则k1 210 +k2 121 +k3 111 = 000即2k1+k2+k3=0k1+2k2+k3=0k2+k3=0k1+2k2+k3=0−3k2−k3=0k2+k3=0 k1+2k2+k3=0k2+k3=0k3=0 k1=k2=k3=0,线性无关。
2. α1=(1,−1,2)T, α2=(0,0,0)T, α3=(1,4,3)T线性相关三、设有向量组α1=(1,1,0)T, α2=(1,3,−1)T, α3=(5,−3,t)T,问t取何值时该向量组线性相关。
解:设k1α1+k2α2+k3α3=0,则k1 110 +k2 13−1 +k3 5−3t =0即k1+k2+5k3=0k1+3k2−3k3=0−k2+tk3=0k1+k2+5k3=0k2−4k3=0−k2+tk3=0k1+k2+5k3=0k1+3k2−3k3=0(t−4)k3=0所以,t=4, 线性相关; t≠4, 线性无关四、设a1,a2线性无关,a1+b,a2+b线性相关,求向量b用a1,a2线性表示的表示式。
解:因为a1+b,a2+b线性相关,所以存在不全为零的k1,k2,使得k1(a1+b)+k2(a2+b)=0, 即(k1+k2)b=−k1a1−k2a2.又因为a1,a2线性无关,所以k1+k2≠0,于是,b=−k1k1+k2a1−k2k1+k2a2.五、已知向量组α1,α2,⋯,α2n,令β1=α1+α2,β2=α2+α3,⋯,β2n=α2n+α1,求证向量组β1,β2,⋯,β2n线性相关。
第二章 矩阵及其运算1.已知线性变换: ⎪⎩⎪⎨⎧++=++=++=3213321232113235322yy y x y y y x y y y x 求从变量321,,x x x 到变量321,,y y y 的线性变换。
解由已知:⎪⎪⎪⎭⎫ ⎝⎛⎪⎪⎪⎭⎫ ⎝⎛=⎪⎪⎪⎭⎫ ⎝⎛221321323513122y y y x x x故 ⎪⎪⎪⎭⎫ ⎝⎛⎪⎪⎪⎭⎫ ⎝⎛=⎪⎪⎪⎭⎫ ⎝⎛-3211221323513122x x x y y y ⎪⎪⎪⎭⎫⎝⎛⎪⎪⎪⎭⎫⎝⎛----=321423736947y y y ⎪⎩⎪⎨⎧-+=-+=+--=321332123211423736947xx x y x x x y x x x y2.已知两个线性变换 ⎪⎩⎪⎨⎧++-=++-=+=32133212311542322y y y x y y y x y y x ⎪⎩⎪⎨⎧+-=+=+-=323312211323zz y z z y z z y 求从变量321,,z z z 到变量321,,x x x 的线性变换。
解 由已知⎪⎪⎪⎭⎫ ⎝⎛⎪⎪⎪⎭⎫ ⎝⎛-=⎪⎪⎪⎭⎫ ⎝⎛221321514232102y y y x x x ⎪⎪⎪⎭⎫ ⎝⎛⎪⎪⎪⎭⎫ ⎝⎛--⎪⎪⎪⎭⎫⎝⎛-=321310102013514232102z z z ⎪⎪⎪⎭⎫ ⎝⎛⎪⎪⎪⎭⎫ ⎝⎛----=321161109412316z z z所以有 ⎪⎩⎪⎨⎧+--=+-=++-=3213321232111610941236zz z x z z z x z z z x3.设⎪⎪⎪⎭⎫ ⎝⎛--=111111111A , ⎪⎪⎪⎭⎫ ⎝⎛--=150421321B求B A A AB '-或23. 解A AB 23-⎪⎪⎪⎭⎫ ⎝⎛--⎪⎪⎪⎭⎫ ⎝⎛--=1504213211111111113⎪⎪⎪⎭⎫ ⎝⎛---1111111112⎪⎪⎪⎭⎫ ⎝⎛-=0926508503⎪⎪⎪⎭⎫ ⎝⎛---1111111112⎪⎪⎪⎭⎫ ⎝⎛----=22942017222132 ⎪⎪⎪⎭⎫ ⎝⎛--⎪⎪⎪⎭⎫ ⎝⎛--='150421321111111111B A ⎪⎪⎪⎭⎫ ⎝⎛-=0926508504.计算下列乘积: (1)⎪⎪⎪⎭⎫ ⎝⎛⎪⎪⎪⎭⎫ ⎝⎛-127075321234; (2)()⎪⎪⎪⎭⎫ ⎝⎛123321; (3)()21312-⎪⎪⎪⎭⎫⎝⎛;(4)⎪⎪⎪⎪⎪⎭⎫⎝⎛---⎪⎪⎭⎫ ⎝⎛-20413121013143110412; (5)()⎪⎪⎪⎭⎫ ⎝⎛⎪⎪⎪⎭⎫ ⎝⎛321332313232212131211321x x x a a a a a a a a a x x x ;(6)⎪⎪⎪⎪⎪⎭⎫⎝⎛---⎪⎪⎪⎪⎪⎭⎫⎝⎛30003200121013013000120010100121; 解 (1)⎪⎪⎪⎭⎫ ⎝⎛⎪⎪⎪⎭⎫ ⎝⎛-127075321234⎪⎪⎪⎭⎫⎝⎛⨯+⨯+⨯⨯+⨯-+⨯⨯+⨯+⨯=102775132)2(71112374⎪⎪⎪⎭⎫⎝⎛=49635(2)()⎪⎪⎪⎭⎫ ⎝⎛123321)10()132231(=⨯+⨯+⨯=(3)()21312-⎪⎪⎪⎭⎫ ⎝⎛⎪⎪⎪⎭⎫ ⎝⎛⨯-⨯⨯-⨯⨯-⨯=23)2(321)2(122)2(2⎪⎪⎪⎭⎫⎝⎛---=632142(4)⎪⎪⎪⎪⎪⎭⎫ ⎝⎛---⎪⎪⎭⎫ ⎝⎛-20413121013143110412⎪⎪⎭⎫ ⎝⎛---=6520876 (5)()⎪⎪⎪⎭⎫ ⎝⎛⎪⎪⎪⎭⎫ ⎝⎛321332313232212*********x x x a a a a a a a a a x x x()333223113332222112331221111x a x a x a x a x a x a x a x a x a ++++++= ⎪⎪⎪⎭⎫ ⎝⎛⨯321x x x 322331132112233322222111222x x a x x a x x a x a x a x a +++++= (6) ⎪⎪⎪⎪⎪⎭⎫ ⎝⎛---⎪⎪⎪⎪⎪⎭⎫ ⎝⎛30003200121013013000120010100121⎪⎪⎪⎪⎪⎭⎫ ⎝⎛---=90003400421025215.设⎪⎪⎭⎫ ⎝⎛=0121A ⎪⎪⎭⎫⎝⎛=2101B ,问:(1)BA AB =吗?(2)2222)(B AB A B A ++=+吗? (3)22))((B A B A B A -=-+吗? 解(1)令⎪⎪⎭⎫ ⎝⎛=0121A ⎪⎪⎭⎫⎝⎛=2101B则⎪⎪⎭⎫ ⎝⎛=6443AB ⎪⎪⎭⎫ ⎝⎛=8321BA BA AB ≠∴ (2) ⎪⎪⎭⎫ ⎝⎛⎪⎪⎭⎫ ⎝⎛=+52225222)(2B A ⎪⎪⎭⎫ ⎝⎛=2914148但=++222B AB A ⎪⎪⎭⎫ ⎝⎛+⎪⎪⎭⎫ ⎝⎛+⎪⎪⎭⎫ ⎝⎛43011288611483⎪⎪⎭⎫ ⎝⎛=27151610故2222)(B AB A B A ++≠+(3) =-+))((B A B A =⎪⎪⎭⎫ ⎝⎛⎪⎪⎭⎫ ⎝⎛10205222⎪⎪⎭⎫⎝⎛9060而 =-22B A =⎪⎪⎭⎫ ⎝⎛-⎪⎪⎭⎫ ⎝⎛430111483⎪⎪⎭⎫ ⎝⎛9082故 22))((B A B A B A -=-+6.举反列说明下列命题是错误的: (1)若02=A ,则0=A ;(2)若A A =2,则0=A 或E A =; (2)若AY AX =,且0≠A ,则Y X =.解 (1)取⎪⎪⎭⎫ ⎝⎛=0010A 02=A ,但0≠A (2)取⎪⎪⎭⎫ ⎝⎛=0011A A A =2,但0≠A 且E A ≠ (3)取⎪⎪⎭⎫ ⎝⎛=0001A ⎪⎪⎭⎫ ⎝⎛-=1111X ⎪⎪⎭⎫⎝⎛=1011YAY AX =且0≠A 但Y X ≠7.设⎪⎪⎭⎫ ⎝⎛=101λA ,求kA A A ,,,32 。
第二章矩阵一、知识点复习1、矩阵的定义由m⨯n个数排列成的一个m行n列的表格,两边界以圆括号或方括号,就成为一个m⨯n型矩阵。
例如2 -1 0 1 11 1 1 0 22 5 4 -2 93 3 3 -1 8 是一个4⨯5矩阵.一个矩阵中的数称为它的元素,位于第i行第j列的数称为(i,j)位元素。
元素全为0的矩阵称为零矩阵,通常就记作0。
两个矩阵A和B相等(记作A=B),是指它的行数相等,列数也相等(即它们的类型相同),并且对应的元素都相等。
2、n阶矩阵与几个特殊矩阵行数和列数相等的矩阵称为方阵,行列数都为n的矩阵也常常叫做n阶矩阵。
n阶矩阵的从左上角到右下角的对角线称为主对角线。
下面列出几类常用的n阶矩阵,它们都是考试大纲中要求掌握的.对角矩阵: 对角线外的的元素都为0的n阶矩阵.单位矩阵: 对角线上的的元素都为1的对角矩阵,记作E(或I).数量矩阵: 对角线上的的元素都等于一个常数c的对角矩阵,它就是c E.上三角矩阵: 对角线下的的元素都为0的n阶矩阵.下三角矩阵: 对角线上的的元素都为0的n阶矩阵.对称矩阵: 满足A T=A矩阵,也就是对任何i,j,(i,j)位的元素和(j,i)位的元素总是相等的n阶矩阵.反对称矩阵:满足A T=-A矩阵.也就是对任何i,j,(i,j)位的元素和(j ,i)位的元素之和总等于0的n阶矩阵.反对称矩阵对角线上的元素一定都是0.) 正交矩阵:若AA T=A T A=E,则称矩阵A是正交矩阵。
(1)A是正交矩阵⇔A T=A-1 (2)A是正交矩阵⇔2A=1阶梯形矩阵:一个矩阵称为阶梯形矩阵,如果满足:①如果它有零行,则都出现在下面。
②如果它有非零行,则每个非零行的第一个非0元素所在的列号自上而下严格单调递增。
把阶梯形矩阵的每个非零行的第一个非0元素所在的位置称为台角。
每个矩阵都可以用初等行变换化为阶梯形矩阵,这种运算是在线性代数的各类计算题中频繁运用的基本运算,必须十分熟练。
第二章 矩阵及其运算第一节 矩阵 1.解.,251=x 212=x .2.解. ⎪⎩⎪⎨⎧+--=+-=++-=3213321232111610941236zz z x z z z x z z z x 其系数矩阵为⎪⎪⎪⎭⎫ ⎝⎛----161109412316第二节 矩阵的运算一 填空题:1. ⎪⎪⎭⎫⎝⎛224210 2.3 , ⎪⎪⎪⎭⎫ ⎝⎛1312123323121 , 13-k ⎪⎪⎪⎭⎫ ⎝⎛1312123323121(k 为正整数)。
3. ⎪⎪⎪⎭⎫⎝⎛0000000004.⎪⎪⎪⎭⎫ ⎝⎛10100010001 5. 0二选择题 :CCCCC B三计算:1.(1)⎪⎪⎪⎭⎫⎝⎛---632142(2)10 (3)322331132112233322222111222x x a x x a x x a x a x a x a +++++(4)⎪⎪⎪⎪⎪⎭⎫ ⎝⎛-+++++32155121232272i i i i ii i 2. ()()T T T A I A AA A I A A A T A A I +=+=+=⋅+=⋅+(1)00A A A I A I <⇒-+=+=.3.111101()()2()2000101n T n T n T n A αααααα----⎡⎤⎢⎥===⎢⎥⎢⎥-⎣⎦,则2(2)n n aE A a a -=-. 4.设2222223T T x x xy xz y xy y yz x y z z xz yzy ααααα⎡⎤⎡⎤⎢⎥⎢⎥=⇒=⇒=++=⎢⎥⎢⎥⎢⎥⎢⎥⎣⎦⎣⎦5.02()()()A E A B A B E A E A E B A E A E B E +≠--=⇒+-=+⇒-=112A EB B ⇒-⋅=⇒=. 6.()()⎪⎪⎪⎭⎫ ⎝⎛-=+-1154123600022B A B A7.⎥⎥⎥⎦⎤⎢⎢⎢⎣⎡-012328317 8.-80第三节逆矩阵 一 填空题:1.⎪⎪⎪⎭⎫ ⎝⎛100000031212. ⎪⎪⎭⎫ ⎝⎛--24205100010 3. ⎪⎪⎪⎭⎫ ⎝⎛----611859131320001 4. ⎪⎪⎪⎭⎫ ⎝⎛000000213141 5.⎪⎪⎪⎭⎫ ⎝⎛=123B 6. 541-;7.100122()(2)2()0102100B E AB A B A E B E E A E -⎡⎤-⎢⎥=+⇒--=⇒-==⎢⎥⎢⎥⎣⎦8.21()(2)20B A E A E --⎡⎤=--=⎢⎥⎣⎦. 9.由21224()().22A E A EA A E O A E E A E -+++-=⇒-=⇒-=()()kA lE h A E +=10.由111021()102002AB B A A B B E -⎡⎤⎢⎥⎢⎥⎢⎥-=⇒=-=-⎢⎥⎢⎥⎢⎥⎢⎥⎣⎦. 二.选择题:ACBBD三.计算题:1.(1) ⎪⎪⎪⎪⎪⎪⎭⎫ ⎝⎛--3131002121001 (2) ⎪⎪⎪⎪⎭⎫ ⎝⎛-----17162132130122. 由BA A BA A +=-61得,B E B A +=-61, 所以 E B E A 6)(1=--从而 , 11)(6---=E A B ,⎪⎪⎪⎭⎫ ⎝⎛=-7000400031A ,所以⎪⎪⎪⎭⎫⎝⎛=--6321E A3.11010100001693471582100001010--⎪⎪⎪⎭⎫⎝⎛⎪⎪⎪⎭⎫ ⎝⎛⎪⎪⎪⎭⎫ ⎝⎛=X ⎪⎪⎪⎭⎫ ⎝⎛⎪⎪⎪⎭⎫ ⎝⎛⎪⎪⎪⎭⎫ ⎝⎛=010100001693471582100001010⎪⎪⎪⎭⎫⎝⎛=963852741. 4. 因为)3,2,1(==i i A i i αα,所以⎪⎪⎪⎭⎫⎝⎛=300020001),,(),,(321321ααααααA ,因此 1321321),,(300020001),,(-⎪⎪⎪⎭⎫⎝⎛=ααααααA .又),,(321ααα⎪⎪⎪⎭⎫ ⎝⎛---=212122221,所以1321),,(-ααα⎪⎪⎪⎭⎫ ⎝⎛---=21212222191,故 =A ⎪⎪⎪⎭⎫ ⎝⎛---212122221⎪⎪⎪⎭⎫ ⎝⎛300020001⎪⎪⎪⎭⎫ ⎝⎛---21212222191⎪⎪⎪⎭⎫ ⎝⎛----=622250207315. 由23**0T T ij ij a A A A AA AA A E A A A =⇒=⇒==⇒=⇒=或1A =.又22211111212131311121301A a A a A a A a a a A =++=++≠⇒=.6. 1100200611AP PB A PBP -⎡⎤⎢⎥=⇒==⎢⎥⎢⎥--⎣⎦.5511A PB P PBP A --===. 7.1*11112(3)2233A A A A A A -----=-=-,所以 1*131228116(3)2()332727A A A A A ----=-=-=-⋅=-.或 *1*1***114(3)222333A A A A A A A A ---=-=⋅-=-,则311**3*446416(3)2()332727A A A A A ---=-=-=-⋅=-.8.E BA E BA A A E B A A B -=-=-=--**11||)(,即E E A B =-)(*,因而⎥⎥⎦⎤⎢⎢⎣⎡----=⎥⎥⎦⎤⎢⎢⎣⎡=-=--1030122211763452221)(11E A B *解 1*n A A-=.9.证 (1)由1124(2)(4)28A B B E A E B E E A E -=-⇒-⋅-=⇒-可逆,且 11(2)(4)8A EB E --=-(2)由(1)得102028(4)110002A E B E -⎛⎫⎪=+-=-- ⎪ ⎪-⎝⎭. 四、证明题:1.证:根据伴随矩阵的性质有E A AA =*又E A A =2,所以2A AA =*,再由于A 可逆,便有A A =*.2.证:假设A 可逆,即1-A 存在,以1-A 左乘0=AB 的两边得0=B ,这与B 是n 阶非零矩阵矛盾;类似的,若B 可逆,即1-B 存在,以1-B 右乘0=AB 的两边得0=A ,这与A 是n 阶非零矩阵矛盾,因此,A 和B 都是不可逆的. 第四节 矩阵分块法1. 00011000100000010010010001000010010000100010010010000100011000r ⎡⎤⎡⎤⎢⎥⎢⎥⎢⎥⎢⎥→⎢⎥⎢⎥⎢⎥⎢⎥⎣⎦⎣⎦,所以100010001001000100100010010001000-⎡⎤⎡⎤⎢⎥⎢⎥⎢⎥⎢⎥=⎢⎥⎢⎥⎢⎥⎢⎥⎣⎦⎣⎦. 2. ⎪⎪⎪⎪⎪⎭⎫⎝⎛---31313231000000520021. 3.A ;4.若1A -易求得,由*1A A A -=最简便.显然111,A O C C A B OB ---⎡⎤==⎢⎥⎣⎦1**11*A B A OB A OC C C O A B B O A B ---⎡⎤⎡⎤⇒===⎢⎥⎢⎥⎣⎦⎣⎦. 5. (1) 1()T APQ O A b A ααα-⎛⎫=⎪-⎝⎭. (2) 由(1)得0211()P A TT P Q PQ A b A Q b A αααα=≠--⋅==-=-. 6. 23423422288()40A B A B αβγγγαβγγγ+=+=+=+=.7. 11100100112120(2)01221001001B O B O A I A I O O --⎡⎤⎡⎤⎢⎥⎡⎤⎡⎤⎢⎥⎢⎥-==⇒-==-⎢⎥⎢⎥⎢⎥⎢⎥⎣⎦⎣⎦⎢⎥⎣⎦⎢⎥⎣⎦. 8. (1)m m mnnnO A A O C B OOB =-从第n+1列开始每一列与前n 列逐列交换(1)mn m n A B =-(1)mn ab =-.自测题一.单项选择题:1.D 2.C 3.C 4.A5. B 二、填空题:1. 912.⎥⎥⎥⎦⎤⎢⎢⎢⎣⎡-133 3.⎥⎥⎥⎥⎦⎤⎢⎢⎢⎢⎣⎡---4332211 4.⎪⎪⎪⎪⎪⎭⎫ ⎝⎛----=-11001200005200211A 5. ⎥⎥⎥⎦⎤⎢⎢⎢⎣⎡----O O 21313725 三.计算题1.由B X A =*得,AB X AA =*,即 AB X A = ,因为2-=A , 所以⎪⎪⎪⎭⎫ ⎝⎛⎪⎪⎪⎭⎫⎝⎛-=00021152031000221X ⎪⎪⎪⎭⎫⎝⎛----=020111.2、1) B E B A E A AB E B A B A A B AA ⇒=-⇒+=⇒+=-)|(|||)(1*可逆.2) ⎥⎥⎥⎦⎤⎢⎢⎢⎣⎡=⎥⎥⎥⎦⎤⎢⎢⎢⎣⎡--=-=--1111116166666)8(11A EB .3.111()[()]()()T T T T T T T A E C B C E A C C B C E A C B C C E ----=⇒-=⇒-=1()()()T T T A C B CC E A C B E -⇒-=⇒-=110001100[()]12100121T A C B -⎡⎤⎢⎥-⎢⎥⇒=-=⎢⎥-⎢⎥-⎣⎦. 4.-250;415. 由1113()3ABA BA E E A B E ---=+⇒-=.又3*82A A A ==⇒=,则**160000600()36(2)606010306A E B E B E A A -⎛⎫ ⎪⎪-=⇒=-= ⎪⎪ ⎪- ⎪⎝⎭四.证明题1.证 由**T T A A AA AA A E =⇒==.假设0T A AA O =⇒=.考虑T AA 的主对角线上的元素,令()T ij AA B b ==,则222121200ii i i in i i in b a a a a a a =+++=⇒==== ,即A 的第i 行的元素全为零,由i 的任意性,得A 的元素全为零,即A O =,矛盾. 2.由23202A E A A E A E A ---=⇒⋅=⇒可逆,且12A EA --=.。
第二章A 部分题目参考答案2-1设21112210310,103,0161211132A B C ⎛⎫⎛⎫⎛⎫⎪ ⎪ ⎪==-=- ⎪ ⎪ ⎪ ⎪ ⎪ ⎪---⎝⎭⎝⎭⎝⎭,试求()32A B C -,并验证()()AB C A BC =。
解: 63339301836A ⎛⎫⎪= ⎪ ⎪-⎝⎭,2442206222B ⎛⎫ ⎪=- ⎪ ⎪-⎝⎭,4113211361614A B --⎛⎫⎪-=- ⎪ ⎪-⎝⎭()411107132113601291516143249A B C ---⎛⎫⎛⎫⎛⎫ ⎪⎪ ⎪-=--=- ⎪⎪ ⎪ ⎪⎪ ⎪--⎝⎭⎝⎭⎝⎭21112223831010326961211191011AB ⎛⎫⎛⎫⎛⎫ ⎪⎪ ⎪=-= ⎪⎪ ⎪ ⎪⎪ ⎪--⎝⎭⎝⎭⎝⎭,()23810221326901251291011322412AB C -⎛⎫⎛⎫⎛⎫ ⎪⎪ ⎪=-=- ⎪⎪ ⎪ ⎪⎪ ⎪--⎝⎭⎝⎭⎝⎭1221052103011061113223BC -⎛⎫⎛⎫⎛⎫ ⎪⎪ ⎪=--=- ⎪⎪ ⎪ ⎪⎪ ⎪---⎝⎭⎝⎭⎝⎭,()2115222133101062512612232412A BC --⎛⎫⎛⎫⎛⎫ ⎪⎪ ⎪=-=- ⎪⎪ ⎪ ⎪⎪ ⎪---⎝⎭⎝⎭⎝⎭()()AB C A BC ∴=2-2计算下列乘积:(1)()312321⎛⎫ ⎪ ⎪ ⎪⎝⎭ (2)()21123⎛⎫ ⎪- ⎪ ⎪⎝⎭ (3)()111213112321222323132333a a a x x x x a a a x a a a x ⎛⎫⎛⎫ ⎪⎪ ⎪⎪ ⎪⎪⎝⎭⎝⎭(4)111213212223313233100210001a a a a a a a a a ⎛⎫⎛⎫ ⎪⎪- ⎪⎪ ⎪⎪⎝⎭⎝⎭(5)na b c ⎛⎫⎪- ⎪ ⎪⎝⎭(6)cos sin sin cos nθθθθ⎛⎫ ⎪-⎝⎭(7)0110n⎛⎫⎪-⎝⎭(n 为正整数)解:(1) ()()()3123234310101⎛⎫⎪=++== ⎪ ⎪⎝⎭(2) ()22411212336-⎛⎫⎛⎫ ⎪ ⎪-=- ⎪ ⎪ ⎪ ⎪-⎝⎭⎝⎭(3) ()()111213111232122232111122133121222233131232333231323333a a a x x x x x a a a x a x a x a x a x a x a x a x a x a x x a a a x x ⎛⎫⎛⎫⎛⎫ ⎪⎪⎪=++++++ ⎪⎪ ⎪ ⎪⎪ ⎪⎝⎭⎝⎭⎝⎭222111222333121213132323222a x a x a x a x x a x x a x x =+++++ (4)111213111213212223112112221323313233313233100210222001a a a a a a a a a a a a a a a a a a a a a ⎛⎫⎛⎫⎛⎫ ⎪⎪⎪-=-+-+-+ ⎪⎪ ⎪ ⎪⎪ ⎪⎝⎭⎝⎭⎝⎭(5)2222()nn nnn a a a a b b b b c c c c -⎛⎫⎛⎫⎛⎫⎛⎫⎪ ⎪ ⎪ ⎪-=-==- ⎪⎪ ⎪ ⎪ ⎪ ⎪ ⎪ ⎪⎝⎭⎝⎭⎝⎭⎝⎭(6)令cos sin sin cos nn A θθθθ⎛⎫=⎪-⎝⎭当n=1时,1cos sin sin cos A θθθθ⎛⎫= ⎪-⎝⎭;当n=2时,22cos sin cos 2sin 2sin cos sin 2cos 2A θθθθθθθθ⎛⎫⎛⎫== ⎪⎪--⎝⎭⎝⎭;当n=3时,33cos sin cos3sin 3sin cos sin 3cos3A θθθθθθθθ⎛⎫⎛⎫== ⎪ ⎪--⎝⎭⎝⎭;当n=4时,44cos sin cos 4sin 4sin cos sin 4cos 4A θθθθθθθθ⎛⎫⎛⎫== ⎪ ⎪--⎝⎭⎝⎭;……猜想cos sin sin cos n n n A n n θθθθ⎛⎫= ⎪-⎝⎭下面用数学归纳法证明当n=1时显然成立假设当n=k 时猜想成立即cos sin sin cos k n n A n n θθθθ⎛⎫=⎪-⎝⎭则当n=k+1时()()()()1cos 1sin 1cos sin sin 1cos 1sin cos n n n n A A n n θθθθθθθθ+++⎛⎫⎛⎫==⎪⎪-++-⎝⎭⎝⎭成立故cos sin cos sin sin cos sin cos nn n n n θθθθθθθθ⎛⎫⎛⎫=⎪⎪--⎝⎭⎝⎭(7)令0110nn A ⎛⎫= ⎪-⎝⎭当n=1时,111cos sin 01221011sin cos 22A ππππ⎛⎫ ⎪⎛⎫== ⎪ ⎪-⎝⎭ ⎪- ⎪⎝⎭;当n=2时,210cos sin 01sin cos A ππππ-⎛⎫⎛⎫== ⎪ ⎪--⎝⎭⎝⎭;当n=3时,333cos sin 01221033sin cos 22A ππππ⎛⎫ ⎪-⎛⎫== ⎪ ⎪⎝⎭ ⎪- ⎪⎝⎭;当n=4时,410cos 2sin 201sin 2cos 2A ππππ⎛⎫⎛⎫== ⎪ ⎪-⎝⎭⎝⎭;当n=5时,51155cos sin cos sin 012222101155sin cos sin cos 2222A ππππππππ⎛⎫⎛⎫ ⎪ ⎪⎛⎫===⎪ ⎪ ⎪-⎝⎭ ⎪ ⎪-- ⎪ ⎪⎝⎭⎝⎭,…… 猜想cos sin 012210sin cos 22n n n n A n n ππππ⎛⎫ ⎪⎛⎫==⎪ ⎪-⎝⎭ ⎪- ⎪⎝⎭下面用数学归纳法证明 当n=1时显然成立假设当n=k 时猜想成立即cos sin 22sin cos 22k k k A k k ππππ⎛⎫⎪=⎪ ⎪- ⎪⎝⎭则当n=k+1时k 111cos sin01221011sin cos 22k k k A A k k ππππ+++⎛⎫⎪⎛⎫==⎪ ⎪-++⎝⎭ ⎪- ⎪⎝⎭成立故cos sin 012210sin cos 22n n n n n ππππ⎛⎫ ⎪⎛⎫=⎪ ⎪-⎝⎭ ⎪- ⎪⎝⎭2-3设111213212223313233a a a A a a a a a a ⎛⎫ ⎪= ⎪ ⎪⎝⎭,000000B λμγ⎛⎫ ⎪= ⎪ ⎪⎝⎭,100λβ⎛⎫ ⎪= ⎪ ⎪⎝⎭,200βμ⎛⎫ ⎪= ⎪ ⎪⎝⎭,300βγ⎛⎫⎪= ⎪ ⎪⎝⎭,试求123,,,AB A A A βββ,并验证()123,,AB A A A βββ=解:111213111213212223212223313233313233000000a a a a a a AB a a a a a a a a a a a a λλμγμλμγγλμγ⎛⎫⎛⎫⎛⎫ ⎪⎪⎪== ⎪⎪ ⎪ ⎪⎪ ⎪⎝⎭⎝⎭⎝⎭;111213111212223213132333100a a a a A a a a a a a a a λλβλλ⎛⎫⎛⎫⎛⎫⎪⎪ ⎪== ⎪⎪ ⎪ ⎪⎪ ⎪⎝⎭⎝⎭⎝⎭;111213122212223223132333200a a a a A a a a a a a a a μβμμμ⎛⎫⎛⎫⎛⎫ ⎪⎪ ⎪== ⎪⎪ ⎪ ⎪⎪ ⎪⎝⎭⎝⎭⎝⎭;111213133212223233132333300a a a a A a a a a a a a a γβγγγ⎛⎫⎛⎫⎛⎫ ⎪⎪ ⎪== ⎪⎪ ⎪ ⎪⎪ ⎪⎝⎭⎝⎭⎝⎭; 显然有()123,,AB A A A βββ=2-4设A ,B 都是n 阶矩阵,问下列等式成立的条件是什么?(1)()2222A B A AB B +=++ (2)22()()A B A B A B +-=-解:(1)()()222()()()A B A B A B A A B B A B A AB BA B +=++=+++=+++为使()222222A B A AB BA B A AB B +=+++=++则AB BA =即原等式成立的条件是AB BA =(2)()()22()()A B A B A A B B A B A AB BA B +-=-+-=-+-为使2222()()A B A B A AB BA B A B +-=-+-=-则AB BA = 即原等式成立的条件是AB BA =2-5若AB BA =,AC CA =,证明:A,B,C 是同阶方阵,且有()()A B C B C A +=+,()()A BC BC A =. 证明:设A 是11m n ⨯的矩阵,B 是22m n ⨯的矩阵,C 是33m n ⨯的矩阵。
第二章 矩阵及其运算1已知线性变换⎪⎩⎪⎨⎧++=++=++=3213321232113235322y y y x y y y x y y y x , 求从变量x 1 x 2 x 3到变量y 1 y 2 y 3的线性变换 解 由已知⎪⎪⎭⎫ ⎝⎛⎪⎪⎭⎫ ⎝⎛=⎪⎪⎭⎫ ⎝⎛221321323513122y y y x x x故 ⎪⎪⎭⎫ ⎝⎛⎪⎪⎭⎫ ⎝⎛=⎪⎪⎭⎫ ⎝⎛-3211221323513122x x x y y y ⎪⎪⎭⎫ ⎝⎛⎪⎪⎭⎫ ⎝⎛----=321423736947y y y⎪⎩⎪⎨⎧-+=-+=+--=321332123211423736947x x x y x x x y x x x y2 已知两个线性变换⎪⎩⎪⎨⎧++=++-=+=32133212311542322y y y x y y y x y y x ⎪⎩⎪⎨⎧+-=+=+-=323312211323z z y z z y z z y求从z 1 z 2z 3到x 1 x 2x 3的线性变换解 由已知⎪⎪⎭⎫ ⎝⎛⎪⎪⎭⎫ ⎝⎛-=⎪⎪⎭⎫ ⎝⎛221321514232102y y y x x x ⎪⎪⎭⎫⎝⎛⎪⎪⎭⎫ ⎝⎛--⎪⎪⎭⎫ ⎝⎛-=321310102013514232102z z z ⎪⎪⎭⎫⎝⎛⎪⎪⎭⎫ ⎝⎛----=321161109412316z z z所以有⎪⎩⎪⎨⎧+--=+-=++-=3213321232111610941236z z z x z z z x z z z x3 设⎪⎪⎭⎫ ⎝⎛--=111111111A ⎪⎪⎭⎫⎝⎛--=150421321B 求3AB 2A 及A TB解 ⎪⎪⎭⎫⎝⎛---⎪⎪⎭⎫ ⎝⎛--⎪⎪⎭⎫ ⎝⎛--=-1111111112150421321111111111323A AB⎪⎪⎭⎫⎝⎛----=⎪⎪⎭⎫ ⎝⎛---⎪⎪⎭⎫ ⎝⎛-=2294201722213211111111120926508503⎪⎪⎭⎫⎝⎛-=⎪⎪⎭⎫ ⎝⎛--⎪⎪⎭⎫ ⎝⎛--=092650850150421321111111111B A T4 计算下列乘积(1)⎪⎪⎭⎫⎝⎛⎪⎪⎭⎫ ⎝⎛-127075321134解 ⎪⎪⎭⎫ ⎝⎛⎪⎪⎭⎫ ⎝⎛-127075321134⎪⎪⎭⎫ ⎝⎛⨯+⨯+⨯⨯+⨯-+⨯⨯+⨯+⨯=102775132)2(71112374⎪⎪⎭⎫ ⎝⎛=49635(2)⎪⎪⎭⎫⎝⎛123)321(解 ⎪⎪⎭⎫⎝⎛123)321((132231)(10)(3))21(312-⎪⎪⎭⎫⎝⎛解 )21(312-⎪⎪⎭⎫⎝⎛⎪⎪⎭⎫ ⎝⎛⨯-⨯⨯-⨯⨯-⨯=23)1(321)1(122)1(2⎪⎪⎭⎫ ⎝⎛---=632142(4)⎪⎪⎪⎭⎫ ⎝⎛---⎪⎭⎫ ⎝⎛-20413121013143110412解 ⎪⎪⎪⎭⎫⎝⎛---⎪⎭⎫ ⎝⎛-20413121013143110412⎪⎭⎫ ⎝⎛---=6520876(5)⎪⎪⎭⎫ ⎝⎛⎪⎪⎭⎫ ⎝⎛321332313232212131211321)(x x x a a a a a a a a a x x x解⎪⎪⎭⎫ ⎝⎛⎪⎪⎭⎫ ⎝⎛321332313232212131211321)(x x x a a a a a a a a a x x x (a 11x 1a 12x 2a 13x 3 a 12x 1a 22x 2a 23x 3 a 13x 1a 23x 2a 33x 3)⎪⎪⎭⎫⎝⎛321x x x 322331132112233322222111222x x a x x a x x a x a x a x a +++++=5 设⎪⎭⎫⎝⎛=3121A ⎪⎭⎫⎝⎛=2101B 问(1)AB BA 吗 解 AB BA因为⎪⎭⎫ ⎝⎛=6443AB ⎪⎭⎫⎝⎛=8321BA 所以AB BA(2)(A B )2A 22AB B 2吗 解 (A B )2A 22AB B 2因为⎪⎭⎫⎝⎛=+5222B A⎪⎭⎫ ⎝⎛⎪⎭⎫⎝⎛=+52225222)(2B A ⎪⎭⎫ ⎝⎛=2914148但 ⎪⎭⎫ ⎝⎛+⎪⎭⎫ ⎝⎛+⎪⎭⎫ ⎝⎛=++43011288611483222B AB A ⎪⎭⎫⎝⎛=27151610所以(A B )2A 22AB B 2(3)(A B )(AB )A 2B 2吗解 (A B )(A B )A 2B 2因为⎪⎭⎫⎝⎛=+5222B A ⎪⎭⎫⎝⎛=-1020B A⎪⎭⎫ ⎝⎛=⎪⎭⎫ ⎝⎛⎪⎭⎫ ⎝⎛=-+906010205222))((B A B A而 ⎪⎭⎫ ⎝⎛=⎪⎭⎫ ⎝⎛-⎪⎭⎫ ⎝⎛=-718243011148322B A 故(A B )(A B )A 2B 26 举反列说明下列命题是错误的(也可参考书上的答案) (1)若A20 则A 0解 取⎪⎭⎫ ⎝⎛=0010A 则A20 但A 0(2)若A2A 则A 0或A E解 取⎪⎭⎫⎝⎛=0011A 则A2A 但A 0且A E(3)若AX AY 且A 0 则X Y解 取⎪⎭⎫⎝⎛=0001A ⎪⎭⎫ ⎝⎛-=1111X⎪⎭⎫⎝⎛=1011Y则AX AY 且A 0 但X Y7 设⎪⎭⎫⎝⎛=101λA 求A 2A 3Ak解 ⎪⎭⎫ ⎝⎛=⎪⎭⎫ ⎝⎛⎪⎭⎫ ⎝⎛=12011011012λλλA ⎪⎭⎫ ⎝⎛=⎪⎭⎫ ⎝⎛⎪⎭⎫ ⎝⎛==1301101120123λλλA A A⎪⎭⎫ ⎝⎛=101λk A k8设⎪⎪⎭⎫ ⎝⎛=λλλ001001A 求Ak解 首先观察⎪⎪⎭⎫ ⎝⎛⎪⎪⎭⎫ ⎝⎛=λλλλλλ0010010010012A ⎪⎪⎭⎫ ⎝⎛=222002012λλλλλ⎪⎪⎭⎫ ⎝⎛=⋅=3232323003033λλλλλλA A A ⎪⎪⎭⎫ ⎝⎛=⋅=43423434004064λλλλλλA A A ⎪⎪⎭⎫ ⎝⎛=⋅=545345450050105λλλλλλA A A⎝⎛=kA kk kk k k k k k k λλλλλλ02)1(121----⎪⎪⎪⎭⎫用数学归纳法证明 当k 2时 显然成立假设k 时成立,则k 1时,⎪⎪⎭⎫ ⎝⎛⎪⎪⎪⎪⎭⎫ ⎝⎛-=⋅=---+λλλλλλλλλ0010010002)1(1211k k k k k k k k k k k k A A A ⎪⎪⎪⎪⎭⎫ ⎝⎛+++=+-+--+11111100)1(02)1()1(k k k k k k k k k k λλλλλλ 由数学归纳法原理知⎪⎪⎪⎪⎭⎫ ⎝⎛-=---k k k k k k k k k k k A λλλλλλ0002)1(121 (也可提取公因式,变成书上的答案)9 设A B 为n 阶矩阵,且A 为对称矩阵,证明B TAB 也是对称矩阵证明 因为A TA 所以(B TAB )TB T (B T A )T B T A T B B T AB从而B TAB 是对称矩阵10 设A B 都是n 阶对称矩阵,证明AB 是对称矩阵的充分必要条件是AB BA证明 充分性 因为A TA B T B 且AB BA 所以(AB )T(BA )TA TB T AB即AB 是对称矩阵 必要性 因为ATA B T B 且(AB )T AB 所以AB (AB )TB T A T BA11 求下列矩阵的逆矩阵 (1)⎪⎭⎫⎝⎛5221解 ⎪⎭⎫⎝⎛=5221A |A |1 故A 1存在 因为⎪⎭⎫ ⎝⎛--=⎪⎭⎫ ⎝⎛=1225*22122111A A A A A故 *||11A A A =-⎪⎭⎫ ⎝⎛--=1225(2)⎪⎭⎫⎝⎛-θθθθcos sin sin cos 解 ⎪⎭⎫ ⎝⎛-=θθθθcos sin sin cos A |A |10 故A 1存在 因为⎪⎭⎫ ⎝⎛-=⎪⎭⎫ ⎝⎛=θθθθcos sin sin cos *22122111A A A A A所以 *||11A A A =-⎪⎭⎫ ⎝⎛-=θθθθcos sin sin cos(3)⎪⎪⎭⎫⎝⎛---145243121解 ⎪⎪⎭⎫⎝⎛---=145243121A |A |20 故A 1存在因为⎪⎪⎭⎫ ⎝⎛-----=⎪⎪⎭⎫ ⎝⎛=214321613024*332313322212312111A A A AA A A A A A所以 *||11A A A =-⎪⎪⎪⎭⎫ ⎝⎛-----=1716213213012(4)⎪⎪⎪⎭⎫ ⎝⎛n a a a 0021(a 1a 2a n0)解 ⎪⎪⎪⎭⎫ ⎝⎛=n a a a A 0021 由对角矩阵的性质知 ⎪⎪⎪⎪⎪⎪⎭⎫ ⎝⎛=-n a a a A 1001121112 解下列矩阵方程 (1)⎪⎭⎫⎝⎛-=⎪⎭⎫⎝⎛12643152X解 ⎪⎭⎫ ⎝⎛-⎪⎭⎫ ⎝⎛=-126431521X⎪⎭⎫ ⎝⎛-⎪⎭⎫ ⎝⎛--=12642153⎪⎭⎫ ⎝⎛-=80232(2)⎪⎭⎫ ⎝⎛-=⎪⎪⎭⎫ ⎝⎛--234311111012112X解 1111012112234311-⎪⎪⎭⎫ ⎝⎛--⎪⎭⎫ ⎝⎛-=X⎪⎪⎭⎫ ⎝⎛---⎪⎭⎫ ⎝⎛-=03323210123431131 ⎪⎪⎭⎫⎝⎛---=32538122 (3)⎪⎭⎫⎝⎛-=⎪⎭⎫ ⎝⎛-⎪⎭⎫⎝⎛-101311022141X解 11110210132141--⎪⎭⎫ ⎝⎛-⎪⎭⎫ ⎝⎛-⎪⎭⎫ ⎝⎛-=X⎪⎭⎫ ⎝⎛⎪⎭⎫ ⎝⎛-⎪⎭⎫ ⎝⎛-=210110131142121⎪⎭⎫ ⎝⎛⎪⎭⎫ ⎝⎛=21010366121⎪⎪⎭⎫ ⎝⎛=04111 (4)⎪⎪⎭⎫ ⎝⎛---=⎪⎪⎭⎫ ⎝⎛⎪⎪⎭⎫ ⎝⎛021102341010100001100001010X解 11010100001021102341100001010--⎪⎪⎭⎫ ⎝⎛⎪⎪⎭⎫ ⎝⎛---⎪⎪⎭⎫ ⎝⎛=X⎪⎪⎭⎫ ⎝⎛⎪⎪⎭⎫ ⎝⎛---⎪⎪⎭⎫ ⎝⎛=010100001021102341100001010⎪⎪⎭⎫ ⎝⎛---=20143101213 利用逆矩阵解下列线性方程组(1)⎪⎩⎪⎨⎧=++=++=++3532522132321321321x x x x x x x x x解 方程组可表示为⎪⎪⎭⎫⎝⎛=⎪⎪⎭⎫ ⎝⎛⎪⎪⎭⎫ ⎝⎛321153522321321x x x故 ⎪⎪⎭⎫ ⎝⎛=⎪⎪⎭⎫ ⎝⎛⎪⎪⎭⎫ ⎝⎛=⎪⎪⎭⎫ ⎝⎛-0013211535223211321x x x从而有 ⎪⎩⎪⎨⎧===001321x x x(2)⎪⎩⎪⎨⎧=-+=--=--05231322321321321x x x x x x x x x解 方程组可表示为⎪⎪⎭⎫⎝⎛=⎪⎪⎭⎫ ⎝⎛⎪⎪⎭⎫ ⎝⎛-----012523312111321x x x故 ⎪⎪⎭⎫ ⎝⎛=⎪⎪⎭⎫ ⎝⎛⎪⎪⎭⎫ ⎝⎛-----=⎪⎪⎭⎫ ⎝⎛-3050125233121111321x x x故有 ⎪⎩⎪⎨⎧===35321x x x14 设A kO (k 为正整数) 证明(E A )1E A A 2A k1证明 因为AkO 所以E A k E 又因为E Ak(E A )(E A A 2A k 1)所以 (E A )(E A A 2 A k 1)E 由定理2推论知(E A )可逆且(E A )1E A A 2A k1证明 一方面 有E (E A )1(EA )另一方面 由A kO 有E (E A )(A A 2)A 2A k1(Ak 1A k )(EA A 2A k 1)(E A )故 (E A )1(E A )(E A A 2A k 1)(E A ) 两端同时右乘(E A )1就有(E A )1(E A )E A A 2A k115 设方阵A 满足A 2A 2E O 证明A 及A 2E 都可逆 并求A 1及(A 2E )1证明 由A 2A 2E O 得A2A 2E 即A (A E )2E或 E E A A =-⋅)(21由定理2推论知A 可逆 且)(211E A A -=-由A2A 2E O 得 A2A 6E4E 即(A2E )(A 3E )4E或 E A E E A =-⋅+)3(41)2( 由定理2推论知(A 2E )可逆且)3(41)2(1A E E A -=+-证明 由A 2A 2E O 得A 2A 2E 两端同时取行列式得 |A2A |2即 |A ||A E |2 故 |A |0所以A 可逆 而A 2E A 2|A 2E ||A 2||A |20 故A 2E 也可逆由 A2A 2E O A (A E )2EA 1A (A E )2A 1E )(211E A A -=-又由 A2A 2E O (A 2E )A 3(A 2E )4E(A 2E )(A 3E )4 E所以 (A 2E )1(A 2E )(A3E )4(A 2 E )1)3(41)2(1A E E A -=+-16 设A 为3阶矩阵 21||=A 求|(2A )15A *|解 因为*||11A A A =- 所以|||521||*5)2(|111----=-A A A A A |2521|11---=A A|2A 1|(2)3|A 1|8|A |1821617 设矩阵A 可逆 证明其伴随阵A *也可逆 且(A *)1(A 1)*证明 由*||11A A A =- 得A *|A |A1所以当A 可逆时 有|A *||A |n|A 1||A |n 1从而A *也可逆 因为A *|A |A1所以(A *)1|A |1A又*)(||)*(||1111---==A A A A A 所以(A *)1|A |1A |A |1|A |(A 1)*(A 1)*18 设n 阶矩阵A 的伴随矩阵为A * 证明 (1)若|A |0 则|A *|(2)|A *||A |n 1证明(1)用反证法证明 假设|A *|0 则有A *(A *)1E 由此得A A A *(A *)1|A |E (A *)1O所以A *O 这与|A *|0矛盾,故当|A |0时 有|A *|0 (2)由于*||11A A A =- 则AA *|A |E取行列式得到|A ||A *||A |n若|A |0 则|A *||A |n 1若|A |0 由(1)知|A *|0 此时命题也成立因此|A *||A |n 119设⎪⎪⎭⎫ ⎝⎛-=321011330A AB A 2B 求B解 由AB A 2E 可得(A 2E )B A 故⎪⎪⎭⎫ ⎝⎛-⎪⎪⎭⎫⎝⎛---=-=--321011330121011332)2(11A E A B ⎪⎪⎭⎫⎝⎛-=01132133020 设⎪⎪⎭⎫⎝⎛=101020101A 且AB EA 2B 求B解 由AB E A 2B 得 (A E )B A 2E即 (A E )B(AE )(A E )因为01001010100||≠-==-E A 所以(A E )可逆从而⎪⎪⎭⎫⎝⎛=+=201030102E A B21 设A diag(1 2 1) A *BA 2BA 8E 求B解 由A *BA 2BA 8E 得(A *2E )BA 8EB 8(A *2E )1A 18[A (A *2E )]18(AA *2A )1 8(|A |E 2A )18(2E2A )14(E A )14[diag(2 1 2)]1)21 ,1 ,21(diag 4-=2diag(1 2 1)22已知矩阵A 的伴随阵⎪⎪⎪⎭⎫⎝⎛-=8030010100100001*A且ABA 1BA13E 求B解 由|A *||A |38 得|A |2由ABA1BA13E 得AB B 3AB 3(A E )1A 3[A (E A 1)]1A11*)2(6*)21(3---=-=A E A E⎪⎪⎪⎭⎫ ⎝⎛-=⎪⎪⎪⎭⎫⎝⎛--=-103006060060000660300101001000016123 设P 1AP 其中⎪⎭⎫ ⎝⎛--=1141P ⎪⎭⎫⎝⎛-=Λ2001求A11解 由P 1AP 得A PP 1所以A 11A =P 11P 1.|P |3 ⎪⎭⎫⎝⎛-=1141*P ⎪⎭⎫⎝⎛--=-1141311P而 ⎪⎭⎫⎝⎛-=⎪⎭⎫ ⎝⎛-=Λ11111120 012001故 ⎪⎪⎪⎭⎫⎝⎛--⎪⎭⎫ ⎝⎛-⎪⎭⎫ ⎝⎛--=31313431200111411111A ⎪⎭⎫ ⎝⎛--=6846832732273124 设AP P其中⎪⎪⎭⎫⎝⎛--=111201111P ⎪⎪⎭⎫⎝⎛-=Λ511求(A )A 8(5E 6A A 2)解 ()8(5E 62)diag(1158)[diag(555)diag(6630)diag(1125)]diag(1158)diag(1200)12diag(100)(A )P ()P 1*)(||1P P P Λ=ϕ⎪⎪⎭⎫⎝⎛------⎪⎪⎭⎫ ⎝⎛⎪⎪⎭⎫ ⎝⎛---=1213032220000000011112011112⎪⎪⎭⎫⎝⎛=111111111425 设矩阵A 、B 及A B 都可逆 证明A 1B 1也可逆 并求其逆阵证明 因为 A 1(A B )B1B1A1A1B1而A 1(A B )B 1是三个可逆矩阵的乘积 所以A 1(A B )B 1可逆 即A1B 1可逆(A 1B 1)1[A 1(A B )B 1]1B (A B )1A26 计算⎪⎪⎪⎭⎫ ⎝⎛---⎪⎪⎪⎭⎫ ⎝⎛30003200121013013000120010100121解 设⎪⎭⎫ ⎝⎛=10211A ⎪⎭⎫ ⎝⎛=30122A ⎪⎭⎫ ⎝⎛-=12131B ⎪⎭⎫ ⎝⎛--=30322B则 ⎪⎭⎫ ⎝⎛⎪⎭⎫ ⎝⎛2121B O B E A O E A ⎪⎭⎫ ⎝⎛+=222111B A O B B A A而 ⎪⎭⎫ ⎝⎛-=⎪⎭⎫ ⎝⎛--+⎪⎭⎫ ⎝⎛-⎪⎭⎫ ⎝⎛=+4225303212131021211B B A ⎪⎭⎫ ⎝⎛--=⎪⎭⎫ ⎝⎛--⎪⎭⎫ ⎝⎛=90343032301222B A所以 ⎪⎭⎫ ⎝⎛⎪⎭⎫ ⎝⎛2121B O B E A OE A ⎪⎭⎫ ⎝⎛+=222111B A O B B A A ⎪⎪⎪⎭⎫⎝⎛---=9000340042102521 即 ⎪⎪⎪⎭⎫ ⎝⎛---⎪⎪⎪⎭⎫⎝⎛30003200121013013000120010100121⎪⎪⎪⎭⎫⎝⎛---=9000340042102521 (最后一行的-9也可除以-1变成9,从而变成书上的答案) 27 取⎪⎭⎫⎝⎛==-==1001D C B A 验证|||||||| D C B A D C B A ≠ 解4100120021010*********0021010010110100101==--=--=D C B A 而01111|||||||| ==D C B A故 |||||||| D C B A D C B A ≠28 设⎪⎪⎪⎭⎫ ⎝⎛-=22023443O O A 求|A 8|及A4解 令⎪⎭⎫ ⎝⎛-=34431A ⎪⎭⎫ ⎝⎛=22022A 则 ⎪⎭⎫ ⎝⎛=21A O O A A故 8218⎪⎭⎫ ⎝⎛=A O O A A ⎪⎭⎫ ⎝⎛=8281A O O A 1682818281810||||||||||===A A A A A⎪⎪⎪⎭⎫ ⎝⎛=⎪⎭⎫ ⎝⎛=464444241422025005O O A O O A A29 设n 阶矩阵A 及s 阶矩阵B 都可逆 求(1)1-⎪⎭⎫ ⎝⎛O B A O解 设⎪⎭⎫ ⎝⎛=⎪⎭⎫ ⎝⎛-43211C C C C O B A O 则⎪⎭⎫⎝⎛O B A O ⎪⎭⎫ ⎝⎛4321C C C C ⎪⎭⎫ ⎝⎛=⎪⎭⎫ ⎝⎛=s n E O O E BC BC AC AC 2143由此得 ⎪⎩⎪⎨⎧====sn E BC O BC O AC E AC 2143⎪⎩⎪⎨⎧====--121413B C O C O C A C所以 ⎪⎭⎫ ⎝⎛=⎪⎭⎫ ⎝⎛---O A B O O B A O 111(2)1-⎪⎭⎫⎝⎛B C O A解 设⎪⎭⎫ ⎝⎛=⎪⎭⎫ ⎝⎛-43211D D D D B C O A 则⎪⎭⎫ ⎝⎛=⎪⎭⎫ ⎝⎛++=⎪⎭⎫ ⎝⎛⎪⎭⎫⎝⎛s n E O O E BD CD BD CD AD AD D D D D B C O A 4231214321由此得 ⎪⎩⎪⎨⎧=+=+==s nE BD CD O BD CD OAD E AD 423121⎪⎩⎪⎨⎧=-===----14113211B D CA B D O D A D所以 ⎪⎭⎫ ⎝⎛-=⎪⎭⎫ ⎝⎛-----11111B CA B O A BC O A30 求下列矩阵的逆阵(1)⎪⎪⎪⎭⎫⎝⎛2500380000120025 解 设⎪⎭⎫ ⎝⎛=1225A ⎪⎭⎫ ⎝⎛=2538B 则⎪⎭⎫ ⎝⎛--=⎪⎭⎫ ⎝⎛=--5221122511A ⎪⎭⎫⎝⎛--=⎪⎭⎫⎝⎛=--8532253811B于是 ⎪⎪⎪⎭⎫ ⎝⎛----=⎪⎭⎫ ⎝⎛=⎪⎭⎫ ⎝⎛=⎪⎪⎪⎭⎫ ⎝⎛----850032000052002125003800001200251111B A B A(2)⎪⎪⎪⎭⎫ ⎝⎛4121031200210001解 设⎪⎭⎫ ⎝⎛=2101A ⎪⎭⎫ ⎝⎛=4103B ⎪⎭⎫ ⎝⎛=2112C 则⎪⎭⎫ ⎝⎛-=⎪⎭⎫ ⎝⎛=⎪⎪⎪⎭⎫⎝⎛------1111114121031200210001B CA B O A B C O A⎪⎪⎪⎪⎪⎪⎭⎫⎝⎛-----=411212458103161210021210001。