安徽省蚌埠二中2015-2016学年高一数学上学期期中试题
- 格式:doc
- 大小:266.50 KB
- 文档页数:5
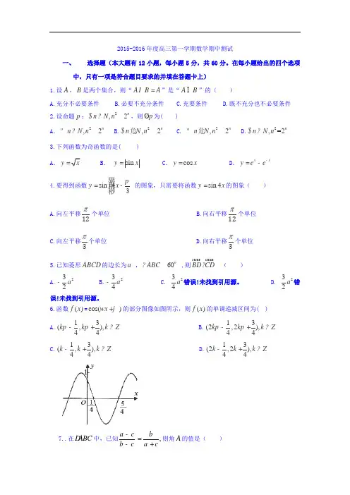
2015-2016年度高三第一学期数学期中测试一、选择题(本大题有12小题,每小题5分,共60分。
在每小题给出的四个选项中,只有一项是符合题目要求的并填在答题卡上)1.设A ,B 是两个集合,则“AB A =”是“A B Í”的( )A.充分不必要条件B.必要不充分条件C.充要条件D.既不充分也不必要条件 2.设命题p :2,2n n N n $?,则p Ø为( )A .2,2n n N n"? B.2,2n n N n $危 C. 2,2n n N n "危 D.2,=2n n N n $?3.下列函数为奇函数的是( )A .y =B .sin y x = C .cos y x = D .x x y e e -=-4.要得到函数sin 43y x p骣琪=-琪桫的图象,只需要将函数sin 4y x =的图象( ) A.向左平移12π个单位 B.向右平移12π个单位C.向左平移3π个单位 D.向右平移3π个单位 5.已知菱形ABCD 的边长为a ,60ABC ? ,则BD CD ?( )A.232a -B.234a -C. 234a 错误!未找到引用源。
D. 232a 错误!未找到引用源。
6.函数()f x =cos()x w j +的部分图像如图所示,则()f x 的单调递减区间为( ) A.13(,),44k k k Z p p -+? B.13(2,2),44k k k Z p p -+? C.13(,),44k k k Z -+? D.13(2,2),44k k k Z -+?7..在ABC D中,已知,a c bb c a c-=-+则角A 的值是( )A . 30B .60C .120D .1508.设函数211log (2),1,()2,1,x x x f x x -ì+-<ï=í³ïî,2(2)(log 12)f f -+=( )A .3B .6C .9D .12 9.若非零向量a ,b 满足|a ||b |,且(a -b )^(3a +2b ),则a 与b 的夹角为 ( ) A.4πB.2πC.34πD.π 10.已知定义在R 上的函数()21x mf x -=- (m 为实数)为偶函数,记()()0.52(log 3),log 5,2a f b f c f m === ,则,,a b c 的大小关系为( )A.a b c <<B.a c b <<C.c a b <<D.c b a << 11.已知符号函数1,0,sgn 0,0,1,0.x x x x ì>ïï==íï-<ïî ()f x 是R 上的增函数,()()()(1)g x f x f ax a =->,则( )A .sgn[()]sgn g x x =B .sgn[()]sgn g x x =-C .sgn[()]sgn[()]g x f x =D .sgn[()]sgn[()]g x f x =-12.设函数'()f x 是奇函数()()f x x R Î的导函数,(1)0f -=,当0x >时,'()()0xf x f x -<,则使得()0f x >成立的x 的取值范围是( )A .(,1)(0,1)-? B .(1,0)(1,)-+? C .(,1)(1,0)-?- D .(0,1)(1,)+?二、填空题(本大题有4小题,每小题5分,共20分。
2015-2016年度高三第一学期数学期中测试一、选择题(本大题有12小题,每小题5分,共60分。
在每小题给出的四个选项中,只有一项是符合题目要求的并填在答题卡上)1.设A ,B 是两个集合,则“AB A =”是“A B Í”的( )A.充分不必要条件B.必要不充分条件C.充要条件D.既不充分也不必要条件 2.设命题p :2,2n n N n $?,则p Ø为( )A .2,2n n N n"? B.2,2n n N n $危 C. 2,2n n N n "危 D.2,=2n n N n $?3.下列函数为奇函数的是( )A .y =B .sin y x = C .cos y x = D .x x y e e -=-4.要得到函数sin 43y x p骣琪=-琪桫的图象,只需要将函数sin 4y x =的图象( ) A.向左平移12π个单位 B.向右平移12π个单位C.向左平移3π个单位 D.向右平移3π个单位 5.已知菱形ABCD 的边长为a ,60ABC ? ,则BD CD ?( )A.232a -B.234a -C. 234aD. 232a 6.函数()f x =cos()x w j +的部分图像如图所示,则()f x 的单调递减区间为( )A.13(,),44k k k Z p p -+?B.13(2,2),44k k k Z p p -+? C.13(,),44k k k Z -+? D.13(2,2),44k k k Z -+?7..在ABC D 中,已知,a c bb c a c-=-+则角A 的值是( )A . 30B .60C .120D .1508.设函数211log (2),1,()2,1,x x x f x x -ì+-<ï=í³ïî,2(2)(log 12)f f -+=( )A .3B .6C .9D .12 9.若非零向量a ,b 满足|a ||b |,且(a -b )^(3a +2b ),则a 与b 的夹角为 ( ) A.4πB.2πC.34πD.π 10.已知定义在R 上的函数()21x mf x -=- (m 为实数)为偶函数,记()()0.52(log 3),log 5,2a f b f c f m === ,则,,a b c 的大小关系为( )A.a b c <<B.a c b <<C.c a b <<D.c b a << 11.已知符号函数1,0,sgn 0,0,1,0.x x x x ì>ïï==íï-<ïî ()f x 是R 上的增函数,()()()(1)g x f x f ax a =->,则( )A .sgn[()]sgn g x x =B .sgn[()]sgn g x x =-C .sgn[()]sgn[()]g x f x =D .sgn[()]sgn[()]g x f x =-12.设函数'()f x 是奇函数()()f x x R Î的导函数,(1)0f -=,当0x >时,'()()0xf x f x -<,则使得()0f x >成立的x 的取值范围是( )A .(,1)(0,1)-? B .(1,0)(1,)-+? C .(,1)(1,0)-?- D .(0,1)(1,)+?二、填空题(本大题有4小题,每小题5分,共20分。
2015—2016学年高一上学期期中试题集锦(各科)》》》高一语文人教版高一语文必修一期中试卷高一必修一语文期中考试题及答案高一年级语文期中测试题参赛试卷人教版必修一一中高一语文必修1试题高一必修一期中考试语文试题人教新课标高一语文期中考试试题及答案解析》》》高一数学人教版高一数学必修一期中测试题及答案高中一年级数学必修一期中测试题高一数学期中考试卷人教版高一数学必修1期中测试题八中期中高一数学考试必修一试题及答案高一年级必修1数学期中试卷》》》高一英语人教版高一英语必修一期中阶段试题及答案2015高一英语必修1期中检测题高一英语必修一期中试题及答案高一英语上学期必修一期中考试预测题及答案高一年级英语期中考试预测题2016高一英语必修一期中考试预测题》》》高一生物高中一年级生物期中考试试题及答案高一生物必修一期中考试试题及答案2014年春季期中考试高一生物试卷高一生物必修一期中考试综合试题高一生物必修一期中考试试卷2016高一生物必修一期中考试预测试题》》》高一地理高一地理必修一期中测试卷地理高一期中考试卷(必修一)高一地理上学期期中测试题及答案高一地理必修一期中测试题及答案高一地理必修一期中模块检测试题2014级高一地理必修一试题》》》高一物理高一物理第一学期期中考试试卷及答案高一物理第一学期期中考试卷高一物理必修一期中考试真题高一物理必修一期中考试题2016高一物理必修一期中测试题高一必修一物理期中测试题及答案》》》高一化学高一化学必修1期中测试题高一化学必修一期中测试题及答案解析2014年高一化学必修一期中测试题高一化学第一学期期中化学试题高一化学必修一期中测试题2016高一化学必修一期中预测卷》》》高一政治高一新课标期中质量检查及答案高一政治期中测试题及答案解析太原29中政治必修一期中考试卷真题第一学期高一政治期中试卷高一政治新课标期中测试题(附答案)高一政治期中综合预测题及答案》》》高一历史高一历史必修1期中考试精品试题高一历史必修一期中考试试题新课程高一历史期中试卷(带答案)第一学期期中高一历史试题(带答案解析)高一历史必修1期中测试题2016高一历史必修一期中考试预测题2015-2016学年高一上学期期中试题集锦(各科)就分享到这里了,希望大家认真复习,备战期中考试!高中一年级期中考试复习专题新鲜出炉了,专题包含高一各科期中必备知识点、复习要点、期中试题,快来一起看看吧 ~。
安徽省蚌埠市第二中学2015-2016学年高一上学期期中考试数学试题一、选择题(本大题共12小题,每小题5分,共60分.) 1、设{}2M =,{}2,3N =,则下列表示不正确的是( )A .⊂M N ≠B .M ⊆NC .2∈ND .2⊂N ≠2、已知集合{R x x A =∈<,{}1,2,3,4B =,则()R AB ð等于( )A .{}1,2,3,4B .{}2,3,4C .{}3,4D .{}4 3、下列函数()f x 与()g x 表示同一函数的是( )A .()211x f x x -=-和()1g x x =+ B .()1f x =和()0g x x =C .()1f x x =+和()g x =D .()f x x =和()ln x g x e =4、如果一个函数()f x 满足:(1)定义域为R ;(2)任意1x 、2R x ∈,若120x x +=,则()()120f x f x +=;(3)任意R x ∈,若0t >,则()()f x t f x +>,则()f x 可以是( )A .31y x =+B .3xy = C .3y x = D .2y x =5、设m ,p , q 均为正数,且133log m m =,31log 3p p ⎛⎫= ⎪⎝⎭,131log 3qq ⎛⎫= ⎪⎝⎭,则( )A .m p q >>B .p m q >>C .m q p >>D .p q m >> 6、下列函数中值域为()0,+∞的是( )A .113xy -⎛⎫= ⎪⎝⎭B .21x y x +=- C .212x y += D.y = 7、已知0ab >,下面四个等式中:①()lg lg lg ab a b =+;②lg lg lg a a b b =-;③21lg lg 2a a b b⎛⎫= ⎪⎝⎭;④()1lg log 10ab ab =.其中正确命题的个数为( )A .0B .1C .2D .3 8、下列函数中既是奇函数又在区间[]1,1-上单调递减的是( ) A .()f x x = B .()1f x x =-+ C .()()12x x f x e e -=+ D .()2ln 2xf x x-=+9、已知函数()2015112,012log ,1x x f x x x ⎧--≤≤⎪=⎨⎪>⎩,若直线y m =与函数()y f x =有三个不同交点的横坐标依次为1x ,2x ,3x ,且123x x x <<,则3x 的取值范围是( )A .()2,2015B .()1,2015C .()2,2016D .()1,2014 10、函数ln 1xy ex =--的图象大致是( )A .B .C .D .11、若定义在R 上的函数()f x 满足:对任意的1x ,2R x ∈都有()()()12121f x x f x f x +=++,则下列说法一定正确的是( )A .()f x 为奇函数B .()f x 为偶函数C .()1f x +为奇函数D .()1f x +为偶函数 12、设定义在区间(),b b -上的函数()1lg 12axf x x+=-是奇函数(a ,R b ∈,且2a ≠-),则b a 的取值范围是( )A.(B.(C.( D.(二、填空题(本大题共4小题,每小题4分,共16分.)13、已知幂函数()()229919m f x m m x -=-+,且图象不过原点,则m = .14、已知()f x 是定义在R 上的奇函数,且当0x >时,()221f x x x =+-,则()f x 在R 上的解析式为 .15、已知函数())ln31f x x =-+,则()1lg 2lg 2f f ⎛⎫+= ⎪⎝⎭.16、下面命题:①幂函数图象不过第四象限;②0y x =图象是一条直线;③若函数2xy =的定义域是{}0x x ≤,则它的值域是{}1y y ≤;④若函数1y x=的定义域是{}2x x >,则它的值域是12y y ⎧⎫<⎨⎬⎩⎭;⑤若函数2y x =的值域是{}04y y ≤≤,则它的定义域一定是{}22x x -≤≤.其中不正确命题的序号是 .三、解答题(本大题共6小题,共74分.)17、(12分)设全集U R =,{}R 2x a x A =∈≤≤,{}2R 3840x x x B =∈-+≤. (1)若1a =,求AB ,()UC A B ;(2)若B ⊆A ,求实数a 的取值范围.18、(12分)化简、求值:(1)()20.5233274920.0088925--⎛⎫⎛⎫-+⨯ ⎪⎪⎝⎭⎝⎭ ;(219、(12分)对于函数()()212log 23f x x ax =-+,解答下述问题:(1)若函数的定义域为R ,求实数a 的取值范围; (2)若函数的值域为(],1-∞-,求实数a 的值.20、(12分)两个重要城市之间人员交流频繁,为了缓解交通压力,特修一条专用铁路,用一列火车作为交通车.已知该火车每日往返的次数y 是车头每次拖挂车厢节数x 的一次函数.若车头拖挂4节车厢,则每日能往返16次;若车头每次拖挂7节车厢,则每日能往返10次. (1)求此一次函数;(2)求这列火车每天运营的车厢总节数S 关于x 的函数;(3)若每节车厢能载旅客110人,求每次车头拖挂多少节车厢可使每天运送的旅客人数最多,并求出每天最多运送旅客人数.21、(12分)已知函数()1f x x ax =++(R a ∈). (1)当0a =,2时,分别画出函数()f x 的图象;(2)若函数()f x 是R 上的单调函数,求实数a 的取值范围.22、(14分)设函数()xxf x ka a-=-(0a >且1a ≠)是奇函数.(1)求常数k 的值;(2)若1a >,试判断函数()f x 的单调性,并加以证明; (3)若()813f =,且函数()()222x xg x a a mf x -=+-在区间[)1,+∞上的最小值为2-,求实数m 的值.:。
高一数学期中试卷一、选择题(每题5分)1. 下列说法正确的是()A. 任何一个集合必有两个子集B. 无限集的真子集可以是无限集C. 我校建校以来毕业的所有优秀学生可以构成集合D. 函数是两个非空集合构成的映射【答案】B【解析】由于空集只有它本身一个子集,故选项A错;选项B显然正确;由“优秀学生”标准不统一,概念不明确,故选项C错;由函数概念知,函数是两个非空数集构成的映射,故选项D错,所以答案选B.2. 下列说法不正确的是()A. 定义域和对应关系都相同,则两个函数相同B. 定义域不同,则两个函数不同C. 定义域和值域都分别相同,则两个函数相同D. 对应关系相同,则两个函数可能不同【答案】C【解析】由两个函数相同的定义:如果两个函数的定义域相同,并且对应关系完全一则是称两个函数相同,因此,说法C不正确,故选C.3. 下列四类函数中,具有性质“对任意的,函数满足”的是()A. 幂函数B. 对数函数C. 指数函数D. 一次函数【答案】B【解析】在选项A中,取,则,而,显然不满足题意;在选项B中,取,则,而,显然满足题意;选项C中,取,则,而,显然不满足题意;选项D 中,取,则,而,显然不满足题意.故选B.4. 已知的单调递增区间为,则的取值是()A. B. C. D.【答案】B【解析】由已知,函数的对称轴为,且开口向上,则,解得,故选B.5. 下列说法正确的是()A. 幂函数一定是奇函数或偶函数B. 图像不经过(-1,1)的幂函数一定不是偶函数C. 任意两个幂函数都有两个以上交点D. 奇函数的图像一定过坐标原点【答案】B【解析】说法A中,取幂函数,则函数既不是奇函数也不是偶函数;说法B中,由幂函数的解析式,又过点,则可知为偶数,故此时为偶函数;说法C中,由幂函数与无交点;说法D中,由为奇函数,但其图象不过原点.故选B.6. 已知,,则的大小关系是()A. B. C. D....【答案】A【解析】由已知得,,,,所以.故选A.7. 函数的定义域为()A. B. C. D.R【答案】D8. 函数的值域为()A. B. C. D.【答案】C【解析】令,由,则,所以,又,所以函数的值域为,故选C.9. 下列说法正确的是()A. 函数的零点就是图像与轴的交点B. 函数在有零点,则C. 函数满足,则在有零点D. 函数满足,则在可以有零点【答案】D【解析】说法A中,函数的零点是图像与轴交点的横坐标,所以A错;说法B中,要确定函数是连续不断的曲线情况下才成立,所以B错;说法C与B犯同样的错;说法D显然正确,故选D.点睛:此题主要考查函数的零点的存在性的判断,属于中档题型,也是常考知识点.在应用函数零点的存在性定理中,要注意前提条件函数必须是连续不断,而且定理并不是存在零点的充要条件,判断函数零点的存在往往涉及到函数的单调性、奇偶性、极值等各方面的知识.10. 是定义在R上的函数,若均为奇函数则下列说法不正确的是()A. 一定是奇函数B. 不可能是偶函数C. 可以是偶函数D. 不可能是非奇非偶函数【答案】B【解析】选项A中,当,时,则既是奇函数也是偶函数;选项B中,两个奇函数的和不能成为偶函数,显然成立;则选项C、D均不正确,故选B.点睛:此题主要考查两个函数的和的奇偶性判断,属于中高档题型,也是常考知识点.函数的奇偶性的判断应从两个方面来进行,一是看函数的定义域是否关于原点对称(这是判断奇偶性的必要性),二是看与的关系,对于两个函数的和或差的奇偶性的判断,需要对特殊情况进行考虑,如解析中的两个函数等.二、填空题(每题5分)11. ,则=________________【答案】【解析】由题意知,,又,所以,因此.12. =_____________________________【答案】...【解析】由题意,因为,所以,又,所以,原式.13. 函数单调递增区间为_________________________【答案】【解析】由题意,函数在上为单调递增函数,而函数的单调递增区间为,所以函数的单调递增区间为.点睛:此题主要考查了复合函数单调区间的求解运算,属于中档题型,也是常考知识点.一般由函数和所构成的函数称为复合函数,首先分别求两个函数的单调区间,再根据复合函数“同增异减”的复合原则,即两个函数的单调性相同则复合函数为增,若两个函数单调性不同则复合函数为减,从而得出所求复合函数的单调区间.14. 若定义在R上的奇函数和偶函数满足则=___________________【答案】【解析】由题意知,,两式相减得.点睛:此题主要考查如何利用函数的奇偶性求函数的解析式,属于中档题型,也是常考题型.在此类问题中可将两个函数、视作两个未知数,利用两个函数的奇偶性(为奇函数,为偶函数),与原等式建立方程组,通过解方程组从而求得函数解析式.15. 设二次函数,如果,则=_________________【答案】-2【解析】由题意知,因为,所以.点睛:此题主要考查二次函数的对称性等方面的知识,属于中档题型,二次函数关于轴对称这一性质很重要,也是常考知识点,对于二次函数其对称轴为,二次函数的单调性、最值等都与对称轴的位置均有关,在本题中由于二次函数在对称两侧的单调性相反,故此时有.三、解答题(16、17、18、19各12分,20、21分别13分和14分)16. 证明:函数在上单调递减。
蚌埠市第二中学2015高三上学期期中考试数学(理)试题注意事项:注意:本试卷包含Ⅰ、Ⅱ两卷。
第Ⅰ卷为选择题,所有答案必须用2B 铅笔涂在答题卡中相应的位置。
第Ⅱ卷为非选择题,所有答案必须填在答题卷的相应位置。
答案写在试卷上均无效,不予记分。
第I 卷(选择题)1.复数(i 为虚数单位)的虚部是()A.B.C.D.2.当0时,则下列大小关系正确的是()A.B.C.D.3.下列给出的四个命题中,说法正确的是()A.命题“若,则x=1”的否命题是“若,则x”;B.“x=‐1”是“”的必要不充分条件;C.命题“存在x,使得”的否定是“对任意x,均有”;D.命题“若x=y,则”的逆否命题为真.4.设A=,B=,若A,则实数t 的取值范围是()A.t B.t C.t D.t5.若不等式对于一切非零实数x均成立,则实数a 的取值范围是()A.2 B.1 C.1 D.16.阅读右面的程序框图,运行相应的程序,输出的结果()为A.B.C.D.7.已知直线ax+by+1=0 中的a,,b 是取自集合{‐3,‐2,‐1,0,1,2}中的2 个不同的元素,并且直线的倾斜角大于60°,那么符合这些直线的条数共有()A.8 条B.11条C.13条D.16条8.在△ABC中,角A、B、C 的对边分别为a、b、c,如果,那么三边长a、b、c 之间满足的关系是()A.2ab B.C.2bc D.9.已知点A.B.C.D,则向量在方向上的投影为()A.B.C.D.10.已知双曲线的右焦点为F,设A,B 为双曲线上关于原点对称的两点,AF 的中点为M,BF的中点为N,若原点O 在以线段MV为直径的圆上,直线AB 的斜率为,则双曲线的离心率为()A.B.C.2 D.4第II 卷(非选择题)11.已知某个三棱锥的三视图如图所示,其中正视图是等边三角形,侧视图是直角三角形,俯视图是等腰直角三角形则此三棱锥的体积等于.12.已知a=,则展开式中的常数项为___________.13.已知,则z=xy 的最大值是________.14.在数列中,,等于除以3的余数,则的前89项的和等于________.15.定义在上函数f(x)满足对任意x,y,都有xyf(xy)=xf(x)+yf(y),记数列,有以下命题:①f(1)=0;②;③令函数g(x)=xf(x),则g(x)+g()=0;④令数列,则数列为等比数列,其中真命题的为16.已知函数f(x)=m 的最大值为2,且x=是相邻的两对称轴方程.(1)求函数f(x)在上的值域;(2)中,f=4,角A,B,C 所对的边分别是a,b,c,且C=,c=3,求的面积.17.如图,四棱锥P—ABCD 中,四边形ABCD 为矩形,为等腰三角形,,平面PAD,且AB=1,AD=2,E,F 分别为PC和BD 的中点.(Ⅰ)证明:EF//平面PAD;(Ⅱ)证明:平面PDC 平面PAD;(Ⅲ)求四棱锥P—ABCD 的体积.18.甲、乙两人参加某种选拔测试.在备选的10 道题中,甲答对其中每道题的概率都是,乙能答对其中的 5 道题.规定每次考试都从备选的10 道题中随机抽出 3 道题进行测试,答对一题加10 分,答错一题(不答视为答错)减5 分,得分最低为0 分,至少得15分才能入选.(Ⅰ)求乙得分的分布列和数学期望;(Ⅱ)求甲、乙两人中至少有一人入选的概率.19.已知椭圆C:的离心率为,椭圆的短轴端点与双曲线的焦点重合,过点P(4,0)且不垂直于x 轴直线l与椭圆C 相交于A、B两点.(Ⅰ)求椭圆C的方程;(Ⅱ)求的取值范围.20.已知数列满足,.(1)求证:数列是等比数列;(2)设,求数列的前n项和;(3)设,数列的前n项和为,求证:(其中).21.已知函数f(x)=⑴求证函数f(x)在上的单调递增;⑵函数y=有三个零点,求t的值;⑶对恒成立,求a的取值范围。
安徽省蚌埠市高一上学期数学期中考试试卷姓名:________ 班级:________ 成绩:________一、选择题 (共12题;共24分)1. (2分) (2015高一下·兰考期中) 集合A={α|α=kπ+ ,k∈Z}与集合B={α|α=2kπ± ,k∈Z}的关系是()A . A=BB . A⊆BC . B⊆AD . 以上都不对2. (2分)已知集合,则下列不正确的是()A .B .C .D .3. (2分) (2016高一上·晋江期中) 下列四组函数中表示同一个函数的是()A . f(x)=|x|与B . f(x)=x0与g(x)=1C . 与D . 与4. (2分)函数的定义域是()A . (0,2]B . (1,2]C .D .5. (2分)(2019·广东模拟) 下列函数为偶函数的是()A .B .C .D .6. (2分)设集合,,则()A .B .C .D .7. (2分) (2017高一上·定州期末) 已知函数f(x)=a2﹣x(a>0且a≠1),当x>2时,f(x)>1,则f(x)在R上()A . 是增函数B . 是减函数C . 当x>2时是增函数,当x<2时是减函数D . 当x>2时是减函数,当x<2时是增函数8. (2分) (2018高三上·汕头期中) 函数的图象大致是()A .B .C .D .9. (2分)已知函数的定义域是,则实数取值范围是()A .B .C .D .10. (2分) (2018高二下·衡阳期末) 设,,,则()A .B .C .D .11. (2分) (2020高一上·石景山期末) 下列函数中,既是偶函数又在区间(0,+∞)上单调递减的是()A .B .C .D .12. (2分) (2016高一上·河北期中) 定义在R上的奇函数f(x),满足f()=0,且在(0,+∞)上单调递减,则xf(x)>0的解集为()A .B .C .D .二、填空题 (共4题;共4分)13. (1分) (2019高二上·德惠期中) 函数在处的切线方程是,则________.14. (1分) (2017高三上·邯郸模拟) 若log2(log3x)=log3(log2y)=2,则x+y=________.15. (1分)幂函数y=(m2﹣m+1)x5m﹣3在x∈(0,+∞)时为减函数,则m的值为________16. (1分) (2019高一上·郏县期中) 设函数的最大值为,最小值为,那么 ________三、解答题 (共7题;共65分)17. (10分) (2019高一上·吴忠期中) 已知:函数是上的增函数,且过和两点,集合,关于的不等式的解集为 .(1)求集合A;(2)求使成立的实数的取值范围.18. (10分) (2019高一上·高台期中) 已知对数函数f(x)=(m2–m–1)logm+1x.(1)求m的值;(2)求f(27).19. (10分) (2016高一上·南京期中) 设集合A={x|y=log2(x﹣1)},B={y|y=﹣x2+2x﹣2,x∈R}(1)求集合A,B;(2)若集合C={x|2x+a<0},且满足B∪C=C,求实数a的取值范围.20. (15分) (2016高一上·荔湾期中) 已知二次函数(,,均为实数),满足,对于任意实数都有恒成立.(1)求 f ( 1 ) 的值.(2)求的解析式.(3)当时,讨论函数在上的最大值.21. (5分)如图,已知四边形ABCD是矩形,AB=1,BC=2,P D⊥平面ABCD,且PD=3,PB的中点E,求异面直线AE与PC所成角的大小.(用反三角表示)22. (10分) (2016高一上·南昌期中) 计算:(1) 0.027 ﹣(﹣)﹣2+256 ﹣3﹣1+(﹣1)0;(2).23. (5分)设函数y=f(x)在[﹣3,3]上是奇函数,且对任意x,y都有f(x+y)=f(x)+f(y),当x>0时,f(x)<0,f(1)=﹣2:(Ⅰ)求f(2)的值;(Ⅱ)判断f(x)的单调性,并证明你的结论;(Ⅲ)求不等式f(x﹣1)>4的解集.参考答案一、选择题 (共12题;共24分)1-1、2-1、3-1、4-1、5-1、6-1、7-1、8-1、9-1、10-1、11-1、12-1、二、填空题 (共4题;共4分)13-1、14-1、15-1、16-1、三、解答题 (共7题;共65分) 17-1、17-2、18-1、18-2、19-1、19-2、20-1、20-2、20-3、21-1、22-1、22-2、23-1、第11 页共11 页。
2014-2015学年安徽省蚌埠一中高三(上)期中数学试卷(文科)一.选择题:本大题共12小题,在每小题给出的四个选项中,只有一项是符合题目要求的..每小题5分,总分60分1.(5分)已知全集U=R,集合A={x|2x>1},B={x|﹣4<x<1},则A∩B等于()A.(0,1) B.(1,+∞)C.(﹣4,1)D.(﹣∞,﹣4)2.(5分)若将函数f(x)=sin2x+cos2x的图象向右平移φ个单位,所得图象关于y轴对称,则φ的最小正值是()A.B.C. D.3.(5分)已知曲线y=﹣3lnx的一条切线的斜率为﹣,则切点的横坐标为()A.3 B.2 C.1 D.4.(5分)“φ=”是“函数y=sin(x+φ)为偶函数的”()A.充分不必要条件 B.必要不充分条件C.充要条件D.既不充分也不必要条件5.(5分)在索契冬奥会跳台滑雪空中技巧比赛赛前训练中,甲、乙两位队员各跳一次.设命题p是“甲落地站稳”,q是“乙落地站稳”,则命题“至少有一位队员落地没有站稳”可表示为()A.p∨q B.p∨(¬q)C.(¬p)∧(¬q)D.(¬p)∨(¬q)6.(5分)若a=30.5,b=ln2,c=logπsin,则()A.b>a>c B.a>b>c C.c>a>b D.b>c>a7.(5分)已知函数f(x)的定义域是(0,1),那么f(2x)的定义域是()A.(0,1) B.(﹣∞,1)C.(﹣∞,0)D.(0,+∞)8.(5分)已知f(x)为偶函数,当x≥0时,f(x)=,则不等式f(x﹣1)≤的解集为()A.[,]∪[,]B.[﹣,﹣]∪[,]C.[,]∪[,]D.[﹣,﹣]∪[,]9.(5分)若函数f(x)=ka x﹣a﹣x,(a>0,a≠1)在(﹣∞,+∞)上既是奇函数,又是增函数,则g(x)=log a(x+k)的是()A.B.C.D.10.(5分)若幂函数的图象不过原点,且关于原点对称,则m的取值是()A.m=﹣2 B.m=﹣1 C.m=﹣2或m=﹣1 D.﹣3≤m≤﹣111.(5分)已知函数f(x)=sinx+λcosx的图象的一个对称中心是点(,0),则函数g(x)=λsinxcosx+sin2x的图象的一条对称轴是直线()A.x=B.x=C.x=D.x=﹣12.(5分)若a,b为非零实数,则以下不等式中恒成立的个数是()①;②;③;④.A.4 B.3 C.2 D.1二、填空题:本大题共4小题,每小题4分,共16分.把答案填写在横线相应位置上.13.(4分)集合M={x||x2﹣2x|+a=0}有8个子集,则实数a的值为.14.(4分)已知函数f(x)=e x﹣2x+a有零点,则a的取值范围是.15.(4分)已知函数f(x)=则f(f())=.16.(4分)已知x≥0,y≥0,且x+y=1,则的最小值为.三.解答题:本大题共6小题,共74分.解答应写文字说明、证明过程或演算步骤.解答过程写在答题卷上的指定区域内.17.(11分)对于定义域为[0,1]的函数f(x),如果同时满足以下三个条件:①对任意的x∈[0,1],总有f(x)≥0②f(1)=1③若x1≥0,x2≥0,x1+x2≤1,都有f(x1+x2)≥f(x1)+f(x2)成立;则称函数f(x)为理想函数.试证明下列三个命题:(1)若函数f(x)为理想函数,则f(0)=0;(2)函数f(x)=2x﹣1(x∈[0,1])是理想函数;(3)若函数f(x)是理想函数,假定存在x0∈[0,1],使得f(x0)∈(0,1),且f[f(x0)]=x0,则f(x0)=x0.18.(12分)已知定义域为R的函数f(x)=是奇函数.(Ⅰ)求a,b的值;(Ⅱ)若对任意的t∈R,不等式f(t2﹣2t)+f(2t2﹣k)<0恒成立,求k的取值范围.19.(13分)已知函数.(Ⅰ)设x∈[﹣,],求f(x)的值域;(Ⅱ)在△ABC中,角A,B,C所对的边分别为a,b,c.已知c=1,f(C)=+1,且△ABC的面积为,求边a和b的长.20.(12分)设函数f(x)=2|x﹣1|+x﹣1,g(x)=16x2﹣8x+1,记f(x)≤1的解集为M,g(x)≤4的解集为N.(Ⅰ)求M;(Ⅱ)当x∈M∩N时,求函数h(x)=x2f(x)+x[f(x)]2的最大值.21.(12分)已知函数f(x)=sin(ωx+φ)(ω>0,0≤φ≤π)为偶函数,且其图象上相邻两对称轴之间的距离为π.(Ⅰ)求函数f(x)的表达式.(Ⅱ)若sinα+f(α)=,求的值.22.(14分)已知函数f(x)=,a∈R.(1)若函数y=f(x)在x=1处取得极值,求a的值;(2)若函数y=f(x)的图象上存在两点关于原点对称,求a的范围.2014-2015学年安徽省蚌埠一中高三(上)期中数学试卷(文科)参考答案与试题解析一.选择题:本大题共12小题,在每小题给出的四个选项中,只有一项是符合题目要求的..每小题5分,总分60分1.(5分)已知全集U=R,集合A={x|2x>1},B={x|﹣4<x<1},则A∩B等于()A.(0,1) B.(1,+∞)C.(﹣4,1)D.(﹣∞,﹣4)【解答】解:由A中的不等式变形得:2x>1=20,解得:x>0,即A=(0,+∞),∵B=(﹣4,1),∴A∩B=(0,1).故选:A.2.(5分)若将函数f(x)=sin2x+cos2x的图象向右平移φ个单位,所得图象关于y轴对称,则φ的最小正值是()A.B.C. D.【解答】解:函数f(x)=sin2x+cos2x=sin(2x+)的图象向右平移φ的单位,所得图象是函数y=sin(2x+﹣2φ),图象关于y轴对称,可得﹣2φ=kπ+,即φ=﹣,当k=﹣1时,φ的最小正值是.故选:C.3.(5分)已知曲线y=﹣3lnx的一条切线的斜率为﹣,则切点的横坐标为()A.3 B.2 C.1 D.【解答】解:由y=﹣3lnx,得,设斜率为﹣的切线的切点为(x0,y0),则.由,解得:x0=﹣3或x0=2.∵函数的定义域为(0,+∞),∴x0=2.故选:B.4.(5分)“φ=”是“函数y=sin(x+φ)为偶函数的”()A.充分不必要条件 B.必要不充分条件C.充要条件D.既不充分也不必要条件【解答】解:因为φ=⇒函数y=sin(x+φ)=cosx为偶函数,所以“φ=”是“函数y=sin(x+φ)为偶函数”充分条件,“函数y=sin(x+φ)为偶函数”所以“φ=kπ+,k∈Z”,所以“φ=”是“函数y=sin(x+φ)为偶函数”的充分不必要条件.故选:A.5.(5分)在索契冬奥会跳台滑雪空中技巧比赛赛前训练中,甲、乙两位队员各跳一次.设命题p是“甲落地站稳”,q是“乙落地站稳”,则命题“至少有一位队员落地没有站稳”可表示为()A.p∨q B.p∨(¬q)C.(¬p)∧(¬q)D.(¬p)∨(¬q)【解答】解:设命题p是“甲落地站稳”,q是“乙落地站稳”,则命题“至少有一位队员落地没有站稳”表示¬p与¬q至少一个发生,即¬p与¬q至少一个发生,表示为(¬)p∨(¬q).故选:D.6.(5分)若a=30.5,b=ln2,c=logπsin,则()A.b>a>c B.a>b>c C.c>a>b D.b>c>a【解答】解:∵a=30.5>30=1,0<ln1<b=ln2<lne=1,c=logπsin<logπ1=0,∴a>b>c.故选:B.7.(5分)已知函数f(x)的定义域是(0,1),那么f(2x)的定义域是()A.(0,1) B.(﹣∞,1)C.(﹣∞,0)D.(0,+∞)【解答】解:∵函数f(x)的定义域是(0,1),∴0<2x<1,解得x<0,故选:C.8.(5分)已知f(x)为偶函数,当x≥0时,f(x)=,则不等式f(x﹣1)≤的解集为()A.[,]∪[,]B.[﹣,﹣]∪[,]C.[,]∪[,]D.[﹣,﹣]∪[,]【解答】解:当x∈[0,],由f(x)=,即cosπx=,则πx=,即x=,当x>时,由f(x)=,得2x﹣1=,解得x=,则当x≥0时,不等式f(x)≤的解为≤x≤,(如图)则由f(x)为偶函数,∴当x<0时,不等式f(x)≤的解为﹣≤x≤﹣,即不等式f(x)≤的解为≤x≤或﹣≤x≤﹣,则由≤x﹣1≤或﹣≤x﹣1≤﹣,解得≤x≤或≤x≤,即不等式f(x﹣1)≤的解集为{x|≤x≤或≤x≤},故选:A.9.(5分)若函数f(x)=ka x﹣a﹣x,(a>0,a≠1)在(﹣∞,+∞)上既是奇函数,又是增函数,则g(x)=log a(x+k)的是()A.B.C.D.【解答】解:∵函数f(x)=ka x﹣a﹣x,(a>0,a≠1)在(﹣∞,+∞)上是奇函数则f(﹣x)+f(x)=0即(k﹣1)(a x﹣a﹣x)=0则k=1又∵函数f(x)=ka x﹣a﹣x,(a>0,a≠1)在(﹣∞,+∞)上是增函数则a>1则g(x)=log a(x+k)=log a(x+1)函数图象必过原点,且为增函数故选:C.10.(5分)若幂函数的图象不过原点,且关于原点对称,则m的取值是()A.m=﹣2 B.m=﹣1 C.m=﹣2或m=﹣1 D.﹣3≤m≤﹣1【解答】解:由题意,m2+3m+3=1∴m2+3m+2=0∴m=﹣1或m=﹣2当m=﹣1时,幂函数为y=x﹣4,图象不过原点,且关于y轴对称,不合题意;当m=﹣2时,幂函数为y=x﹣3,图象不过原点,且关于原点对称,符合题意;故选:A.11.(5分)已知函数f(x)=sinx+λcosx的图象的一个对称中心是点(,0),则函数g(x)=λsinxcosx+sin2x的图象的一条对称轴是直线()A.x=B.x=C.x=D.x=﹣【解答】解:∵f(x)=sinx+λcosx的图象的一个对称中心是点(,0),∴f()=sin+λcos=+λ=0,解得λ=﹣,∴g(x)=﹣sinxcosx+sin2x=sin2x+=﹣sin(2x+),令2x+=kπ+可得x=+,k∈Z,∴函数的对称轴为x=+,k∈Z,结合四个选项可知,当k=﹣1时x=﹣符合题意,故选:D.12.(5分)若a,b为非零实数,则以下不等式中恒成立的个数是()①;②;③;④.A.4 B.3 C.2 D.1【解答】解:a,b为非零实数,①∵(a﹣b)2≥0,展开可得;②∵(a﹣b)2≥0,展开可得a2+b2≥2ab,∴2(a2+b2)≥(a+b)2,∴;③取a=b=﹣1,则不成立;④取ab<0,则不成立.综上可得:成立的只有①②.故选:C.二、填空题:本大题共4小题,每小题4分,共16分.把答案填写在横线相应位置上.13.(4分)集合M={x||x2﹣2x|+a=0}有8个子集,则实数a的值为﹣1.【解答】解:∵集合M={x||x2﹣2x|+a=0}有8个子集,根据集合中有n个元素,则集合有2n个子集,∴2n=8,解得,n=3,∴集合M={x||x2﹣2x|+a=0}中有3个元素,即|x2﹣2x|+a=0有3个根,∴函数y=|x2﹣2x|与y=﹣a的图象有三个交点,作出y=|x2﹣2x|与y=﹣a的图象如右图所示,∴实数a的值a=﹣1.故答案为:﹣1.14.(4分)已知函数f(x)=e x﹣2x+a有零点,则a的取值范围是(﹣∞,2ln2﹣2] .【解答】解:f′(x)=e x﹣2,可得f′(x)=0的根为x0=ln2当x<ln2时,f′(x)<0,可得函数在区间(﹣∞,ln2)上为减函数;当x>ln2时,f′(x)>0,可得函数在区间(ln2,+∞)上为增函数,∴函数y=f(x)在x=ln2处取得极小值f(ln2)=2﹣2ln2+a,并且这个极小值也是函数的最小值,由题设知函数y=f(x)的最小值要小于或等于零,即2﹣2ln2+a≤0,可得a≤2ln2﹣2,故答案为:(﹣∞,2ln2﹣2].15.(4分)已知函数f(x)=则f(f())=.【解答】解:∵函数f(x)=,∴f()==﹣2,f(f())=f(﹣2)=3﹣2=.故答案为:.16.(4分)已知x≥0,y≥0,且x+y=1,则的最小值为3.【解答】解:∵x≥0,y≥0,且x+y=1,∴0≤x≤1,y=1﹣x.∴==f(x),∴f′(x)==≥0,∴函数f(x)在[0,1]上单调递增.∴当x=0时,f(x)取得极小值即最小值3.故答案为:3.三.解答题:本大题共6小题,共74分.解答应写文字说明、证明过程或演算步骤.解答过程写在答题卷上的指定区域内.17.(11分)对于定义域为[0,1]的函数f(x),如果同时满足以下三个条件:①对任意的x∈[0,1],总有f(x)≥0②f(1)=1③若x1≥0,x2≥0,x1+x2≤1,都有f(x1+x2)≥f(x1)+f(x2)成立;则称函数f(x)为理想函数.试证明下列三个命题:(1)若函数f(x)为理想函数,则f(0)=0;(2)函数f(x)=2x﹣1(x∈[0,1])是理想函数;(3)若函数f(x)是理想函数,假定存在x0∈[0,1],使得f(x0)∈(0,1),且f[f(x0)]=x0,则f(x0)=x0.【解答】解:(1)取x1=x2=0,代入f(x1+x2)≥f(x1)+f(x2),可得f(0)≥f (0)+f(0)即f(0)≤0,由已知∀x∈[0,1],总有f(x)≥0可得f(0)≥0,∴f(0)=0;(2)①显然f(x)=2x﹣1在[0,1]上满足f(x)≥0;②f(1)=1.若x1≥0,x2≥0,且x1+x2≤1,则有f(x1+x2)﹣[f(x1)+f(x2)]=2x1+x2﹣1﹣[(2x1﹣1)+(2x2﹣1)]=(2x2﹣1)(2x1﹣1)≥0,故f(x)=2x﹣1满足条件①②③,故f(x)=2x﹣1为理想函数.(3)由条件③知,任给m、n∈[0,1],当m<n时,由m<n知n﹣m∈[0,1],∴f(n)=f(n﹣m+m)≥f(n﹣m)+f(m)≥f(m).若f(x0)>x0,则f(x0)≤f[f(x0)]=x0,前后矛盾;若:f(x0)<x0,则f(x0)≥f[f(x0)]=x0,前后矛盾.故f(x0)=x0.18.(12分)已知定义域为R的函数f(x)=是奇函数.(Ⅰ)求a,b的值;(Ⅱ)若对任意的t∈R,不等式f(t2﹣2t)+f(2t2﹣k)<0恒成立,求k的取值范围.【解答】解:(Ⅰ)因为f(x)是奇函数,所以f(0)=0,即又由f(1)=﹣f(﹣1)知.所以a=2,b=1.经检验a=2,b=1时,是奇函数.(Ⅱ)由(Ⅰ)知,易知f(x)在(﹣∞,+∞)上为减函数.又因为f(x)是奇函数,所以f(t2﹣2t)+f(2t2﹣k)<0等价于f(t2﹣2t)<﹣f(2t2﹣k)=f(k﹣2t2),因为f(x)为减函数,由上式可得:t2﹣2t>k﹣2t2.即对一切t∈R有:3t2﹣2t﹣k>0,从而判别式.所以k的取值范围是k<﹣.19.(13分)已知函数.(Ⅰ)设x∈[﹣,],求f(x)的值域;(Ⅱ)在△ABC中,角A,B,C所对的边分别为a,b,c.已知c=1,f(C)=+1,且△ABC的面积为,求边a和b的长.【解答】解:(Ⅰ)==.时,值域为.(Ⅱ)因为C∈(0,π),由(1)知.因为△ABC的面积为,所以,于是.①在△ABC中,设内角A、B的对边分别是a,b.由余弦定理得,所以a2+b2=7.②由①②可得或.20.(12分)设函数f(x)=2|x﹣1|+x﹣1,g(x)=16x2﹣8x+1,记f(x)≤1的解集为M,g(x)≤4的解集为N.(Ⅰ)求M;(Ⅱ)当x∈M∩N时,求函数h(x)=x2f(x)+x[f(x)]2的最大值.【解答】解:(Ⅰ)由f(x)=2|x﹣1|+x﹣1≤1 可得①,或②.解①求得1≤x≤,解②求得0≤x<1.综上,原不等式的解集M为[0,].(Ⅱ)由g(x)=16x2﹣8x+1≤4,求得﹣≤x≤,∴N=[﹣,],∴M∩N=[0,].∵当x∈M∩N时,f(x)=1﹣x,h(x)=x2f(x)+x[f(x)]2 =xf(x)[x+f(x)]=﹣(x﹣)2≤,当且仅当x=时,取得最大值.则函数的最大值为.21.(12分)已知函数f(x)=sin(ωx+φ)(ω>0,0≤φ≤π)为偶函数,且其图象上相邻两对称轴之间的距离为π.(Ⅰ)求函数f(x)的表达式.(Ⅱ)若sinα+f(α)=,求的值.【解答】解:(I)∵f(x)为偶函数∴sin(﹣ωx+ϕ)=sin(ωx+ϕ)即2sinωxcosϕ=0恒成立∴cosϕ=0,又∵0≤ϕ≤π,∴(3分)又其图象上相邻对称轴之间的距离为π∴T=2π∴ω=1∴f(x)=cosx(6分)(II)∵原式=(10分)又∵,∴(11分)即,故原式=(12分)22.(14分)已知函数f(x)=,a∈R.(1)若函数y=f(x)在x=1处取得极值,求a的值;(2)若函数y=f(x)的图象上存在两点关于原点对称,求a的范围.【解答】解:(1)当x>0时,f(x)=2e x﹣(x﹣a)2+3,f′(x)=2(e x﹣x+a),∵y=f(x)在x=1处取得极值,∴f′(1)=0,即2(e﹣1+a)=0解得:a=1﹣e,经验证满足题意,∴a=1﹣e.(2)y=f(x)的图象上存在两点关于原点对称,即存在y=2e x﹣(x﹣a)2+3图象上一点(x0,y0)(x0>0),使得(﹣x0,﹣y0)在y=x2+3ax+a2﹣3的图象上则有,∴化简得:,即关于x0的方程在(0,+∞)内有解设(x>0),则∵x>0∴当x>1时,h'(x)>0;当0<x<1时,h'(x)<0即h(x)在(0,1)上为减函数,在(1,+∞)上为增函数∴h(x)≥h(1)=2e,且x→+∞时,h(x)→+∞;x→0时,h(x)→+∞即h(x)值域为[2e,+∞),∴a≥2e时,方程在(0,+∞)内有解∴a≥2e时,y=f(x)的图象上存在两点关于原点对称.赠送—高中数学知识点【2.1.1】指数与指数幂的运算 (1)根式的概念①如果,,,1n x a a R x R n =∈∈>,且n N +∈,那么x 叫做a 的n 次方根.当n 是奇数时,a 的n n a n 是偶数时,正数a 的正的n n a 表示,负的n 次方根用符号n a -0的n 次方根是0;负数a 没有n 次方根.n a n 叫做根指数,a 叫做被开方数.当n 为奇数时,a 为任意实数;当n 为偶数时,0a ≥.③根式的性质:()n n a a =;当n 为奇数时,nn a a =;当n 为偶数时,(0)|| (0)nn a a a a a a ≥⎧==⎨-<⎩. (2)分数指数幂的概念①正数的正分数指数幂的意义是:(0,,,m n m na a a m n N +=>∈且1)n >.0的正分数指数幂等于0.②正数的负分数指数幂的意义是: 11()()(0,,,m m m nn n aa m n N a a-+==>∈且1)n >.0的负分数指数幂没有意义. 注意口诀:底数取倒数,指数取相反数.(3)分数指数幂的运算性质①(0,,)rsr sa a aa r s R +⋅=>∈ ②()(0,,)r s rs a a a r s R =>∈③()(0,0,)r r rab a b a b r R =>>∈【2.1.2】指数函数及其性质 (4)指数函数〖2.2〗对数函数【2.2.1】对数与对数运算(1)对数的定义①若(0,1)xa N a a =>≠且,则x 叫做以a 为底N 的对数,记作log a x N =,其中a 叫做底数,N 叫做真数.②负数和零没有对数.③对数式与指数式的互化:log (0,1,0)x a x N a N a a N =⇔=>≠>. (2)几个重要的对数恒等式log 10a =,log 1a a =,log b a a b =.(3)常用对数与自然对数常用对数:lg N ,即10log N ;自然对数:ln N ,即log e N (其中 2.71828e =…). (4)对数的运算性质 如果0,1,0,0a a M N >≠>>,那么①加法:log log log ()a a a M N MN += ②减法:log log log a a a M M N N-= ③数乘:log log ()n a a n M M n R =∈ ④log a Na N =⑤log log (0,)b n a a nM M b n R b=≠∈ ⑥换底公式:log log (0,1)log b a b NN b b a=>≠且【2.2.2】对数函数及其性质(5)对数函数图象定义域 (0,)+∞值域 R过定点 图象过定点(1,0),即当1x =时,0y =.奇偶性 非奇非偶单调性在(0,)+∞上是增函数在(0,)+∞上是减函数函数值的 变化情况log 0(1)log 0(1)log 0(01)a a a x x x x x x >>==<<<log 0(1)log 0(1)log 0(01)a a a x x x x x x <>==><<变化对 图象的影响在第一象限内,a 越大图象越靠低;在第四象限内,a 越大图象越靠高.x yO(1,0)log a y x=xyO (1,0)log a y x=。
高一数学试题:蚌埠二中期中检测试题解答题你还在为高中数学学习而苦恼吗?别担心,看了高一数学试题:蚌埠二中期中检测试题解答题以后你会有很大的收获:
高一数学试题:蚌埠二中期中检测试题解答题
三、解答题(本大题共6小题,共75分.解答应写出文字说明,证明过程或演算步骤)
16.(本题满分12分)已知,若,求实数的取值范围. 17.(本题满分12分)已知函数
(1)写出的单调区间;(2)解不等式 .
18.(本题满分12分)已知函数f(x)= (a0,a1,a为常数,xR).
(1)若f(m)=6,求f(-m)的值;
(2)若f(1)=3,求f(2)及的值。
19.(本题满分13分)已知函数,求的最小值.
20.(本题满分13分)函数的定义域为(为实数).
(1)若函数在定义域上是减函数,求的取值范围;
(2)若在定义域上恒成立,求的取值范围.
21.(本题满分13分)已知函数y=f(x)= (a,b,cR,a0)是奇函数,当x0时,f(x)有最小值2,其中bN且f(1)
(1)试求函数f(x)的解析式;
(2)问函数f(x)图象上是否存在关于点(1,0)对称的两点,
若存在,求出点的坐标;若不存在,说明理由
通过阅读高一数学试题:蚌埠二中期中检测试题解答题这篇文章,小编相信大家对高中数学的学习又有了更进一步的了解,希望大家学习轻松愉快!。
2016-2017学年度第一学期期中试卷高一数学本试卷分第Ⅰ卷(选择题)和第Ⅱ卷(非选择题)两部分。
满分150分。
考试时间120分钟。
第Ⅰ卷(选择题 共60分)一、选择题(本大题共12个小题,每小题5分,共60分,在每小题给出的四个选项中,只有一项是符号题目要求的。
)1.下列各项中,不可以组成集合的是( )A .所有的正数B .等于2的数C .接近于0的数D .不等于0的偶数 2.若集合{},,M a b c =中的元素是△ABC 的三边长,则△ABC 一定不是( )A .锐角三角形B .直角三角形C .钝角三角形D .等腰三角形3.若全集{}{}0,1,2,32U U C A ==且,则集合A 的真子集共有( )A .3个B .5个C .7个D .8个4.若集合}1,1{-=A ,}1|{==mx x B ,且A B A =⋃,则m 的值为( ) A .1 B .1- C .1或1- D .1或1-或05.函数()y f x =的图象与直线1x =的公共点数目是( ) A .1 B .0 C .0或1 D .1或26.设函数()23,(2)()f x x g x f x =++=,则()g x 的表达式是( ) A .21x + B .21x - C .23x - D .27x +7.已知)0(1)]([,21)(22≠-=-=x x x x g f x x g ,那么)21(f 等于( ) A .15 B .1 C .3 D .308.若)1(,,)1(,1,4,)21(,2522>==-=+====a a y x y x y x y x y y x y xx 上述函数是幂函数的个数是( )A .0个B .1个C .2个D .3个9.函数y x=3与y x=--3的图象关于下列那种图形对称( ) A .x 轴 B .y 轴 C .直线y x = D .原点中心对称10.已知1335a -⎛⎫= ⎪⎝⎭,1235b -⎛⎫= ⎪⎝⎭,1243c -⎛⎫= ⎪⎝⎭,则a ,b ,c 三个数的大小关系是( ). A .c <a <b B .c <b <a C .a <b <c D .b <a <c11.已知3()4f x ax bx =+-其中,a b 为常数,若(2)2f -=,则(2)f 的值等于( ) A .2- B .4- C .6- D .10-12.已知13x x-+=,则3322x x -+值为( )A.-第Ⅱ卷(非选择题 共90分)二、填空题(本大题共4个小题,每小题5分,共20分,把正确答案填在题中横线上)13.函数0y=_____________________。
XXX2015-2016学年高一数学上学期期中考试试卷XXX2015-2016学年高一上学期期中考试数学试卷分为两卷,卷(Ⅰ)100分,卷(Ⅱ)50分,满分共计150分。
考试时间为120分钟。
卷(Ⅰ)一、选择题:本大题共10小题,每小题5分,共50分。
1.如果A={x|x>−1},那么正确的结论是A.A⊆B。
{0}∈A C。
{0}∈C2.函数f(x)=2−2x,则f(1)=A。
0 B.−2 C.2/2 D.−2/23.设全集I={x|x∈Z−3<x<3},A={1,2},B={−2,−1,2},则A∪(I∩B)等于A。
{1} B。
{1,2} C。
{2} D。
{0,1,2}4.与函数y=10lg(x−1)的定义域相同的函数是A。
y=x−1 B。
y=x−1 C。
y=1/(x−1) D。
y=x−15.若函数f(x)=3+3x−x与g(x)=3−3^(−x)的定义域均为R,则A。
f(x)与g(x)均为偶函数 B。
f(x)为偶函数,g (x)为奇函数C。
f(x)与g(x)均为奇函数 D。
f(x)为奇函数,g (x)为偶函数6.设a=log_3(2),b=ln2,c=5,则A。
a<b<XXX<c<a C。
c<a<b D。
c<b<a7.设函数y=x和y=1/2,则y的交点为(x,y),则x所在的区间是A.(,1)B.(1,2)C.(2,3)D.(3,4)8.已知函数f(x)是R上的偶函数,当x≥1时f(x)=x−1,则f(x)<0的解集是A.(−1,∞)B.(−∞,1)C.(−1,1)D.(−∞,−1)∪(1,∞)9.某商店同时卖出两套西服,售价均为168元,以成本计算,一套盈利20%,另一套亏损20%,此时商店A.不亏不盈B.盈利37.2元C.盈利14元D.亏损14元10.设函数f(x)在R上是减函数,则A。
f(a)>f(2a)B。
蚌埠二中2016—2017学年第一学期期中测试高一数学试题(试卷分值:150分 考试时间:120分钟 )第Ⅰ卷(选择题 共60分)一、选择题(本大题共12小题,每小题5分,满分60分)1. 定义集合{}|M N x x M x N -=∈∉且,若{}=1,2,3,4M ,{}=2,3,5N ,则M N -=A.{}1,4 B .{}2,3C .{}1D .{}1,4,52. 函数02(3)2x y x x -=+-+的定义域为A .(2,3)B .(2,3)(3,)+∞UC .(2,3)-D .(2,3)(3,)-+∞U 3. 已知映射2:1f x y x →=-,x M ∈,y N ∈,则下列集合M 和N 中,错误..的是 A .{}1,0,1M =-,{}1,0,1N =- B .{}0,1,2M =,{}1,0,3N =- C .[]1,2M =-,[]0,3N = D .[]2,3M =,[]2,8N =4. 已知函数()f x 的定义域为(0,1),值域为(0,1),则函数(1)f x +的定义域和值域分别为A .(1,2)和(0,1)B .(1,0)-和(1,2)C .(1,2)和(1,0)-D .(1,0)-和(0,1) 5. 已知集合1|2,2P x x k k Z ⎧⎫==+∈⎨⎬⎩⎭, 1|2,2Q x x k k Z ⎧⎫==-∈⎨⎬⎩⎭,1|,2R x x k k Z ⎧⎫==+∈⎨⎬⎩⎭,则A .P Q =B .R P ⊆C .Q R ⊆D .Q R = 6. 已知0.32a =,0.30.2b =,0.20.3c =,则下列大小关系正确的是A .c b a <<B .b c a <<C .c a b <<D .a b c <<7. 已知函数()()()f x x a x b =--(其中a b >)的图象如下面右图所示,则函数()xg x a b =+的图象是A .B .C .D .f (x )8. 函数22312x x y +-⎛⎫=⎪⎝⎭的单调递减区间为A .(],3-∞-B .(],1-∞-C .[)1,-+∞D .[)1,+∞ 9. 已知(1)2f x x x +=+,则(4)f =A .3B .323+C .8D .1510. 已知函数223y x x =-+在闭区间[]0,m 上有最大值3,最小值2,则m 的取值范围是A .[)1,+∞B .(]0,2C .[]1,2D .(],2-∞ 11. 函数()()2xF x f x =+为奇函数,且()()2g x f x =+,若(1)1f =,则(1)g -= A .1 B .32-C .3D .1212. 已知函数()f x 在R 上单调递增,且满足对任意实数x ,都有(())2xf f x e x e --=+,则(2)f =A .22e + B .23e + C .22e + D .23e +第Ⅱ卷(非选择题 共90分)二、填空题(本大题共4小题,每小题5分,满分20分)13. 已知幂函数()f x 的图象经过点(2,22),则()f x 的解析式为()f x = . 14. 已知定义域和值域均为{}1,2,3的函数()f x 满足((1))3f f =,则((2))f f = . 15. 若不等式20ax bx c ++<的解集为(1,2)-,则20cx bx a ++>的解集为 .16. 设函数22,0(),0x x x f x x x ⎧+<=⎨-≥⎩,若(())2f f a ≤ ,则实数a 的取值范围是 .三、解答题(本大题6小题,满分70分) 17.(本小题满分10分) (1213xy xyxy -⋅(2)求值:1044327()()(23)82121--++--+.18.(本小题满分12分)已知{}|35A x x =≤≤,{}|23B x a x a =≤≤+,全集U R =. (1)当1a =时,求A B I 和A B U ; (2)若()U B C A ⊆,求实数a 的取值范围.19.(本小题满分12分)已知函数()(0)tf x x t x=+>具有如下性质:该函数在(0,t ⎤⎦上单调递减,在),t ⎡+∞⎣上单调递增.(1)当1t =时,用定义法证明:()f x 在[)1,+∞上单调递增;(2)利用上述性质,求函数2412321x x y x --=+在[]0,1x ∈时的值域.20.(本小题满分12分)已知函数2()2xx b f x a-=+是定义域为R 的奇函数.(1)求实数a 和b ,并判断()f x 的单调性(不需要证明);(2)若对任意实数[]1,2x ∈,2()(1)0f x mx f mx -+-≤恒成立,求实数m 的取值范围.21.(本小题满分12分)已知函数2()2f x ax x c =++,其中*,a c N ∈,满足(1)5f =,6(2)11f <<. (1)求函数()f x 的解析式;(2)若函数()f x 在区间[],1m m +上的最小值为()g m ,求()g m 的表达式.22.(本小题满分12分)已知定义在R 上的函数()f x 满足对任意x ,y R ∈,都有()()()1()()f x f y f x y f x f y ++=-,且当0x >时,0()1f x <<.(1)判断并证明()f x 的奇偶性; (2)证明:()f x 是R 上的增函数.蚌埠二中2016—2017学年度高一第一学期期中考试数学参考答案一、选择题(每题5分)1. A2. D3. C4. D5. C6. B7. A8. D9. D 10. C 11. B 12. B 二、填空题13.322 14. 1 15. 1(1,)2- 16. (,2⎤-∞⎦三、解答题17. (本小题满分10分) (1)xy ; (2)233+. 18. (本小题满分12分) (1){}|34A B x x =≤≤I ,{}|25A B x x =≤≤U(2){}|35U C A x x x =<>或,当B =∅时,23a a >+,则3a >;当B ≠∅时,23a a ≤+,则3a ≤,由()U B C A ⊆得,333a a ≤⎧⎨+<⎩或325a a ≤⎧⎨>⎩,解得 0a <或532a <≤, 综上可知,a 的取值范围是5(,0)(,)2-∞+∞U19. (本小题满分12分) (1)任取1x ,[)21,x ∈+∞且12x x >,则1212121212111()()()(1)f x f x x x x x x x x x -=+--=-- 因为120x x ->,121x x >,所以12121()(1)0x x x x -->, 即12()()f x f x >,()f x 在[)1,+∞上单调递增(2)令224123(21)8(21)44()(21)8212121x x x x g x x x x x --+-++===++-+++, 因为[]0,1x ∈,所以[]211,3x +∈,令21m x =+,[]1,3m ∈,则函数 4()8f m m m=+-在[]1,2上单减,在[]2,3上单增,又(1)3f =-, (2)4f =-,11(3)3f =-,故值域为[]4,3-- 20. (本小题满分12分)(1)函数()f x 是定义域为R 的奇函数,则101(0)012(1)(1)2122b a f b b f f a a -⎧=⎪+⎪=⎧⎪⇒⎨⎨---=-⎩⎪=-⎪++⎪⎩, 解得,1a =,1b =,检验,此时,1221()()2112x x xx f x f x -----===-++,成立, 122(21)2()1212121x x xx x f x --+===-+++,则()f x 在R 上单调递减 (2)22()(1)0()(1)(1)f x mx f mx f x mx f mx f mx -+-≤⇒-≤--=-, 由(1)可知,()f x 在R 上单调递减,问题转化为对任意实数[]1,2x ∈,21x mx mx -≥-恒成立,2210x mx -+≥,11()2m x x ≤+,当[]1,2x ∈时,min 1()2x x+=,所以1m ≤ 21. (本小题满分12分)(1)由(1)5f =得 3a c +=,而*,a c N ∈,故12a c =⎧⎨=⎩或21a c =⎧⎨=⎩, 由6(2)11f <<得 247a c <+<,可知12a c =⎧⎨=⎩, 所以2()22f x x x =++ (2)2()22f x x x =++的对称轴为1x =-,当1m >-时,2()()22g m f m m m ==++,当1121m m m ≤-≤+⇒-≤≤-时,()(1)1g m f =-=, 当112m m +<-⇒<-时,22()(1)(1)2(1)245g m f m m m m m =+=++++=++所以,2245,2()1,2122,1m m m g m m m m m ⎧++<-⎪=-≤≤-⎨⎪++>-⎩22.(本小题满分12分)(1)()f x 是奇函数,证明如下:取0x y ==,则22(0)(0)1(0)f f f =-,由于2211(0)f ≠-,所以(0)0f =,用x -替换y ,则()()(0)()01()()f x f x f f x x f x f x +-=-==--,所以()()0f x f x -+=,则()f x 是奇函数. (2)当0x <时,0x ->,由条件,0()1f x <-<,由函数()f x 为奇函数,所以0()1f x <-<,即1()0f x -<<, 所以当0x <时,1()0f x -<<. 任取1x ,2x R ∈,且12x x >, 则1212121212()()()()()1()()1()()f x f x f x f x f x x f x f x f x f x +---==--+函数()f x 的值域为(1,1)-,则121()()0f x f x +>,120x x ->,121212()()()01()()f x f x f x x f x f x --=>+,故12()()0f x f x ->,即12()()f x f x >, 所以()f x 是R 上的增函数.。
高一数学试题:蚌埠二中期中检测试题解答题你还在为高中数学学习而苦恼吗?别担心,看了高一数学试题:蚌埠二中期中检测试题解答题以后你会有很大的收获:
高一数学试题:蚌埠二中期中检测试题解答题
三、解答题(本大题共6小题,共75分.解答应写出文字说明,证明过程或演算步骤)
16.(本题满分12分)已知,若,求实数的取值范围. 17.(本题满分12分)已知函数
(1)写出的单调区间;(2)解不等式 .
18.(本题满分12分)已知函数f(x)= (a0,a1,a为常数,xR).
(1)若f(m)=6,求f(-m)的值;
(2)若f(1)=3,求f(2)及的值。
19.(本题满分13分)已知函数,求的最小值.
20.(本题满分13分)函数的定义域为(为实数).
(1)若函数在定义域上是减函数,求的取值范围;
(2)若在定义域上恒成立,求的取值范围.
21.(本题满分13分)已知函数y=f(x)= (a,b,cR,a0)是奇函数,当x0时,f(x)有最小值2,其中bN且f(1)
(1)试求函数f(x)的解析式;
(2)问函数f(x)图象上是否存在关于点(1,0)对称的两点,
若存在,求出点的坐标;若不存在,说明理由
通过阅读高一数学试题:蚌埠二中期中检测试题解答题这篇文章,小编相信大家对高中数学的学习又有了更进一步的了解,希望大家学习轻松愉快!。
高一数学试题:蚌埠二中期中检测试题解答题你还在为高中数学学习而苦恼吗?别担心,看了高一数学试题:蚌埠二中期中检测试题解答题以后你会有很大的收获:
高一数学试题:蚌埠二中期中检测试题解答题
三、解答题(本大题共6小题,共75分.解答应写出文字说明,证明过程或演算步骤)
16.(本题满分12分)已知,若,求实数的取值范围. 17.(本题满分12分)已知函数
(1)写出的单调区间;(2)解不等式 .
18.(本题满分12分)已知函数f(x)= (a0,a1,a为常数,xR).
(1)若f(m)=6,求f(-m)的值;
(2)若f(1)=3,求f(2)及的值。
19.(本题满分13分)已知函数,求的最小值.
20.(本题满分13分)函数的定义域为(为实数).
(1)若函数在定义域上是减函数,求的取值范围;
(2)若在定义域上恒成立,求的取值范围.
21.(本题满分13分)已知函数y=f(x)= (a,b,cR,a0)是奇函数,当x0时,f(x)有最小值2,其中bN且f(1)
(1)试求函数f(x)的解析式;
(2)问函数f(x)图象上是否存在关于点(1,0)对称的两点,
若存在,求出点的坐标;若不存在,说明理由
通过阅读高一数学试题:蚌埠二中期中检测试题解答题这篇文章,小编相信大家对高中数学的学习又有了更进一步的了解,希望大家学习轻松愉快!。
高一数学试题:蚌埠二中期中检测试题解答题你还在为高中数学学习而苦恼吗?别担心,看了高一数学试题:蚌埠二中期中检测试题解答题以后你会有很大的收获:高一数学试题:蚌埠二中期中检测试题解答题三、解答题(本大题共6小题,共75分.解答应写出文字说明,证明过程或演算步骤)16.(本题满分12分)已知,若,求实数的取值范围. 17.(本题满分12分)已知函数(1)写出的单调区间;(2)解不等式.18.(本题满分12分)已知函数f(x)= (a0,a1,a为常数,xR).(1)若f(m)=6,求f(-m)的值;(2)若f(1)=3,求f(2)及的值。
19.(本题满分13分)已知函数,求的最小值.20.(本题满分13分)函数的定义域为(为实数).(1)若函数在定义域上是减函数,求的取值范围;(2)若在定义域上恒成立,求的取值范围.21.(本题满分13分)已知函数y=f(x)= (a,b,cR,a0)是奇函数,当x0时,f(x)有最小值2,其中bN且f(1)(1)试求函数f(x)的解析式;(2)问函数f(x)图象上是否存在关于点(1,0)对称的两点,若存在,求出点的坐标;若不存在,说明理由要练说,先练胆。
说话胆小是幼儿语言发展的障碍。
不少幼儿当众说话时显得胆怯:有的结巴重复,面红耳赤;有的声音极低,自讲自听;有的低头不语,扯衣服,扭身子。
总之,说话时外部表现不自然。
我抓住练胆这个关键,面向全体,偏向差生。
一是和幼儿建立和谐的语言交流关系。
每当和幼儿讲话时,我总是笑脸相迎,声音亲切,动作亲昵,消除幼儿畏惧心理,让他能主动的、无拘无束地和我交谈。
二是注重培养幼儿敢于当众说话的习惯。
或在课堂教学中,改变过去老师讲学生听的传统的教学模式,取消了先举手后发言的约束,多采取自由讨论和谈话的形式,给每个幼儿较多的当众说话的机会,培养幼儿爱说话敢说话的兴趣,对一些说话有困难的幼儿,我总是认真地耐心地听,热情地帮助和鼓励他把话说完、说好,增强其说话的勇气和把话说好的信心。
蚌埠二中2015-2016学年度高一第一学期期中考试
数学试题
时间:120分钟 分值:150分
注意事项:本试卷包含I 卷和II 卷,第1卷为选择题,所有答案必须用2B 铅笔涂在答题卡 中的相应位置;第II 卷为非选择题,所有答案必须用黑色字迹的笔填在答题卷的相应位 置,答案写在试卷上均无效,不予记分,
第I 卷(选择题,共60分)
一、选择题(本大题共12小题,每小题5分,共60分) 1.设M={2},N={2,3),则下列表示不正确的是( ) A. M N B. M N C .2∈N D . 2 N 2.己知集合A={x ∈R|x<
},B={1,2,3,4),则
等于( )
A.{1,2,3,4)}
B.{2,3,4 }
C.{3,4 }
D.{4}
3.下列函数f (x)与g(x)表示同一函数的是( )
A .f (x)= 211
x x --和g (x)=x+1 B .f (x)=1和g (x)=x o
C. f(x)=x+1和
和g(x) =lne x
4.如果一个函数f(x)满足:(1)定义域为R ;(2)任意x 1、x 2∈R ,若x l +x 2=0,则 f(x l )+f(x 2)=0;(3)任意x ∈R ,若t>0,则f(x+t)>f(x),则f (x)可以是( )
A .y= 3x+l
B .y=3x
C .y=x 3
D .y=x 2
5.设m ,p ,q 均为正数,且1313
3
113log ,()log ,()log 3
3
p
m
q
m p q ===,则( )
A. m>p>q
B. p>m>q
C. m>q>p
D. p>q>m 6.下列函数中值域为(0,+ ∞)的是
( )
7. 己知ab >0,下面四个等式中:
其中正确命题的个数为( ) A.0 B.1 C .2 D.3
8.下列函数中既是奇函数又在区间[-1,1]上单调递减的是( ) A .f(x)=x B .f(x)=-|x+l|
C .g (x )=
12 (e x +e 一x
) D .f(x)= 2ln 2x x
-+
9.已知函数f(x)= ,若直线y=m与函数y=f(x)三个不同
交点的横坐标依次为x l,x2,x3且x l<x2<x3,则x3的取值范围是( )
A. (2,2015)
B.(1,2015)
C. (2, 2016)
D.(1,2014)
10.函数y=e|lnx| - |x-1|的图象大致是 ( )
11.若定义在R上的函数f(x)满足:对任意的x1,x2∈R都有
f(x1+x2)=f(x1)+f(x2)+1,则下列说法一定正确的是( )
A.f(x)为奇函数 B.f(x)为偶函数
C.f(x)+1为奇函数 D.f(x)+1为偶函数
12.设定义在区间(一b,b)上的函数f(x)=
1
lg
12
ax
x
+
-
是奇函数,(a,b∈R,且a≠一2),则
a b的取值范围是 ( )
A.(1,] B.(0,] c.(1,) D.(0,)
第II卷(非选择题,共90分)
二、填空题(本大题共4小题,每小题4分,共16分)
13.己知幂函数f(x)=(m2 -9m+19)x2m-9,且图象不过原点,则m= ;
14.己知f(x)是定义在R上的奇函数,且当x>0时,f(x)=x2 +2x-l,则f(x)在 R上的解析式为____
15.己知函数3x)+l,则f(lg2)+f(lg 1
2
]= ;
16.下面命题:①幂函数图象不过第四象限:②y=x o图象是一条直线:③若函数y=2x
的定义域是{x|x≤0),则它的值域是{y| y≤1
x
);④若函数y=三的定义域是{x|x>2},则它的
值域是y|y<1
2
}⑤若函数y =x2的值域是{y|0≤y≤4},则它的定义域一定是{x|-2≤x<2),其
中不正确命题的序号是
三、解答题(本大题共6小题,共74分)
17.(12分)设全集U=R,A={x∈R|a≤x≤2},B={x∈R|3x2—8x+4≤0} (1)若a=l,求AUB,;
(2)若B A,求实数a的取值范围.18. (12分)化简、求值:
(1)
22
0.5
33
27492
()()(0.008)
8925
--
-+⨯; (2)计算
19.(12分)对于函数f(x)=log
1
2
(x2 - 2ax+3),解答下述问题:
(1)若函数的定义域为R,求实数a的取值范围;
(2)若函数的值域为(-∞,-1],求实数a的值;
20.(12分)两个重要城市之间人员交流频繁,为了缓解交通压力,特修一条专用铁路,用
一列火车作为交通车。
已知该火车每日往返的次数v是车头每次拖挂车厢节数x的一次函数。
若车头拖挂4节车厢,则每日能往返16次;若车头每次拖挂7节车厢,则每日能往返10次。
(1)求此一次函数;
(2)求这列火车每天运营的车厢总节数S关于x的函数;
(3)若每节车厢能载旅客110人,求每次车头拖挂多少节车厢可使每天运送的旅客人数
最多,并求出每天最多运送旅客人数。
21.(12分)已知函数f(x)=|x+1|+ax(a∈R).
(1)当a=0,2时,分别画出函数f(x)的图象;
(2)若函数f(x)是R上的单调函数,求实数a的取值范围.
22.(14分)设函数f(x)=ka x-a一x(a>0且a≠1)是奇函数。
(1)求常数k的值;
(2)若a>l,试判断函数f(x)的单调性,并加以证明;
(3)若己知f(1)=8
3
,且函数g(x)=a2x+a-2x-2mf(x)在区间[1,+∞)上的最小值为一2,求实
数m的值。