应用随机过程(第三章)
- 格式:ppt
- 大小:563.00 KB
- 文档页数:48
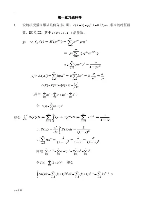
第一章习题解答1. 设随机变量X 服从几何分布,即:(),0,1,2,k P X k pq k ===。
求X 的特征函数,EX 及DX 。
其中01,1p q p <<=-是参数。
解()()jtxjtkk X k f t E eepq ∞===∑()k jtkk p q e∞==∑ =0()1jt kjtk pp qe qe ∞==-∑又200()kkk k q qE X kpq p kq p p p ∞∞======∑∑222()()[()]q D X E X E X P =-=〔其中 00(1)nnn n n n nxn x x ∞∞∞====+-∑∑∑〕令 0()(1)n n S x n x ∞==+∑那么 1000()(1)1xxnn k n xS t dt n t dt x x∞∞+===+==-∑∑⎰⎰22201()()(1)11(1)1(1)xn n dS x S t dt dxx xnx x x x ∞=∴==-∴=-=---⎰∑同理 2(1)2kkkk k k k k k x k x kx x ∞∞∞∞=====+--∑∑∑∑令20()(1)k k S x k x ∞==+∑ 那么211()(1)(1)xkk k k k k S t dt k t dt k xkx ∞∞∞+====+=+=∑∑∑⎰〕2、〔1〕 求参数为(,)p b 的Γ分布的特征函数,其概率密度函数为1,0()0,0()0,0p p bxb x e x p x b p p x --⎧>⎪=>>Γ⎨⎪≤⎩(2) 其期望和方差;(3) 证明对具有一样的参数的b 的Γ分布,关于参数p 具有可加性。
解 〔1〕设X 服从(,)p b Γ分布,那么10()()p jtxp bxX b f t ex e dx p ∞--=Γ⎰ 1()0()p p jt b x b x e dx p ∞--=Γ⎰101()()()()(1)p u p p p p p b e u b u jt b x du jt p b jt b jt b∞----==Γ---⎰ 10(())x p p e x dx ∞--Γ=⎰ 〔2〕'1()(0)X p E X f j b∴== 2''221(1)()(0)X p p E X f j b +== 222()()()PD XE X E X b∴===(4) 假设(,)i i X p b Γ 1,2i = 那么121212()()()()(1)P P X X X X jt f t f t f t b-++==-1212(,)Y X X P P b ∴=+Γ+同理可得:()()iiP X b f t b jt∑=∑-3、设X 是一随机变量,()F x 是其分布函数,且是严格单调的,求以下随机变量的特征函数。
竭诚为您提供优质文档/双击可除应用随机过程学习心得篇一:随机过程知识点总结第一章:考试范围1.3,1.41、计算指数分布的矩母函数.2、计算标准正态分布x~n(0,1)的矩母函数.3、计算标准正态分布x~n(0,1)的特征函数.第二章:1.随机过程的均值函数、协方差函数与自相关函数2.宽平稳过程、均值遍历性的定义及定理3.独立增量过程、平稳增量过程,独立增量是平稳增量的充要条件1、设随机过程Z(t)?x?Yt,t??.若已知二维随机变量(x,Y)的协方差矩阵为??12??,求Z(t)的协方差函数.?22?2、设有随机过程{x(t),t?T}和常数a,Y(t)?x(t?a)?x(t),t?T,计算Y(t)的自相关函数(用Rx(s,t)表示).3、设x(t)?Z1cos?t?Z2sin?t,其中Z1,Z2~n(0,?2)是独立同分布的随机变量,?为实数,证明x(t)是宽平稳过程.4、设有随机过程Z(t)?xsint?Ycost,其中x和Y是相互独立的随机变量,它们都分别以0.5和0.5的概率取值-1和1,证明Z(t)是宽平稳过程.第三章:1.泊松过程的定义(定义3.1.2)及相关概率计算2.与泊松过程相联系的若干分布及其概率计算3.复合泊松过程和条件泊松过程的定义1、设{n(t),t?0}是参数??3的poisson过程,计算:(1).p{n(1)?3};(2).p{n(1)?1,n(3)?3};(3).p{n(1)?2n(1)?1}.2、某商场为调查顾客到来的客源情况,考察了男女顾客来商场的人数.假设男女顾客来商场的人数分别独立地服从每分钟2人与每分钟3人的泊松过程.(1).试求到某时刻t时到达商场的总人数的分布;(2).在已知t时刻有50人到达的条件下,试求其中恰有30位女性的概率,平均有多少个女性顾客?3、某商店顾客的到来服从强度为4人/小时的poisson过程,已知商店9:00开门,试求:(1).在开门半小时中,无顾客到来的概率;(2).若已知开门半小时中无顾客到来,那么在未来半小时中,仍无顾客到来的概率。
3. 正态过程的可加性;
9. 维纳过程的平移不变性;
15. 泊松过程的可加性;泊松过程与复合泊松过程;
16. 泊松过程的两个二项分布;
19. 23. 泊松过程的分解;
21. 一些正态过程的性质,P45例题14;
方法:
8,
10,
13,14,
19,
21,
3,4,5,6 维纳过程的几个不变性;
对于齐次Poisson 过程,有
(){}t
s t N s P =
=≤11τ 即在()1=t N 的条件下,1τ为[]t ,0上的均匀分布。
更一般的,有如下定理, 定理:设(){}0,≥t t N 为强度λ的齐次Poisson 过程,在()n t N =的条件下,n 个到达时刻n τττ<<< 21和n 个相互独立同[]t ,0上均匀分布的随机变量n U U U ,,,21 的顺序统计量()()()n U U U <<< 21有相同分布。
即在()n t N =的条件下,()n τττ,,,21 的联合概率密度为:
()⎪⎩⎪⎨⎧≤<<<≤=其他0
0!,,,2121t u u u t n u u u f n n n
方法:
2
19
20。
一、 随机过程简介随机过程这一学科最早起源于对物理学的研究,如吉布斯(美国物理化学家、数学物理学家)、玻尔兹曼(奥地利物理学家)、庞加莱(法国数学家)等人对统计力学的研究,及后来爱因斯坦、维纳(Wiener ,美国数学家,控制论的创始人)、莱维(Levy ,法国数学家)等人对布朗运动的开创性工作。
1907年前后,马尔可夫(Markov)研究了一系列有特定相依性的随机变量,后人称之为马尔可夫链。
1923年维纳给出布朗运动的数学定义,直到今日这一过程仍是重要的研究课题。
随机过程一般理论的研究通常认为开始于20世纪30年代。
1931年,柯尔莫哥洛夫发表了《概率论的解析方法》,1934年辛饮发表了《平稳过程的相关理论》,这两篇著作奠定了马尔可夫过程与平稳过程的理论基础。
1953年,杜布出版了名著《随机过程论》,系统且严格地叙述了随机过程基本理论。
一般认为,随机过程整个学科的理论基础是由柯尔莫哥洛夫(K olmogorov )和杜布(Doob)奠定的。
第一章随机过程的基本概念一、随机过程的定义例1:医院登记新生儿性别,0表示男,1表示女,X n 表示第n 次登记的数字,得到一个序列X 1 , X 2 , ···,记为{X n ,n=1,2, ···},则X n 是随机变量,而{X n ,n=1,2, ···}是随机过程。
例2:在地震预报中,若每半年统计一次发生在某区域的地震的最大震级。
令X n 表示第n 次统计所得的值,则X n 是随机变量。
为了预测该区域未来地震的强度,我们就要研究随机过程{X n ,n=1,2, ···}的统计规律性。
例3:一个醉汉在路上行走,以概率p 前进一步,以概率1-p 后退一步(假设步长相同)。
以X(t)记他t 时刻在路上的位置,则{X(t), t ≥0}就是(直线上的)随机游动。
随机过程作业和答案第三章第三章马尔科夫过程1、将⼀颗筛⼦扔多次。
记X n 为第n 次扔正⾯出现的点数,问{X(n) , n=1,2,3,···}是马尔科夫链吗?如果是,试写出⼀步转移概率矩阵。
⼜记Y n 为前n 次扔出正⾯出现点数的总和,问{Y(n) , n=1,2,3,···}是马尔科夫链吗?如果是,试写出⼀步转移概率矩阵。
解:1)由已知可得,每次扔筛⼦正⾯出现的点数与以前的状态⽆关。
故X(n)是马尔科夫链。
E={1,2,3,4,5,6} ,其⼀步转移概率为:P ij = P ij =P{X(n+1)=j ∣X(n)=i }=1/6 (i=1,2,…,6,j=1,2,…,6) ∴转移矩阵为2)由已知可得,每前n 次扔正⾯出现点数的总和是相互独⽴的。
即每次n 次扔正⾯出现点数的总和与以前状态⽆关,故Y(n)为马尔科夫链。
其⼀步转移概率为其中2、⼀个质点在直线上做随机游动,⼀步向右的概率为p , (0解:由已知可得, 其⼀步转移概率如下:故⼀步转移概率为3、做⼀系列独⽴的贝努⾥试验,其中每⼀次出现“成功”的概率为p ( 0解:由已知得:故为马尔科夫链,其⼀步转移概率为616161616161616161616161616161616161P6,,2,1,6/1,,8,7,,0)1,( i i i j i j i i i j ij n n P 或)1(6,,2,1;6,,2,1, n n n j n n n n i ,,2,1,0 E )(0,1;)0(0,1)1,1(0,,1,,2,1101,1, j P P j P P i i j P q P P P x j j ij i i i i ⽽时,当 1000000 0000000001Pp q p q p qm m m m m m i n X l n X i n X i n X i n X l n X P )(0)()(,,)(,)(0)(2211mm m m m m in X k l n X i n X i n X i n X k l n X P )()()(,,)(,)()(22114、在⼀个罐⼦中放⼊50个红球和50个蓝球。