数学分析试题及答案
- 格式:docx
- 大小:202.60 KB
- 文档页数:8
数学分析试题及答案一、选择题(每题5分,共20分)1. 函数f(x)=x^3-3x+1在x=1处的导数是()。
A. 1B. 2C. 3D. 4答案:B2. 极限lim(x→0) (sin x)/x的值是()。
A. 0B. 1C. -1D. 2答案:B3. 函数f(x)=x^2-4x+4的最小值是()。
A. 0B. 1C. 4D. 8答案:A4. 定积分∫(0,1) x^2 dx的值是()。
A. 1/3B. 1/2C. 2/3D. 1答案:B二、填空题(每题5分,共20分)1. 函数f(x)=x^3+2x^2-5x+6的导数是________。
答案:3x^2+4x-52. 函数f(x)=ln(x)的原函数是________。
答案:xln(x)-x3. 函数f(x)=e^x的不定积分是________。
答案:e^x+C4. 函数f(x)=x^2-6x+8在x=3处的值是________。
答案:-1三、解答题(每题10分,共60分)1. 求函数f(x)=x^3-6x^2+11x-6的极值点。
答案:首先求导数f'(x)=3x^2-12x+11,令f'(x)=0,解得x=1或x=11/3。
然后检查二阶导数f''(x)=6x-12,发现f''(1)=-6<0,所以x=1是极大值点;f''(11/3)=2>0,所以x=11/3是极小值点。
2. 求极限lim(x→∞) (x^2+3x+2)/(x^3-4x+1)。
答案:分子和分母同时除以x^3,得到lim(x→∞)(1+3/x+2/x^2)/(1-4/x^2+1/x^3),当x趋向于无穷大时,极限为1。
3. 求定积分∫(0,2) (2x-1) dx。
答案:首先求不定积分∫(2x-1) dx = x^2 - x + C,然后计算定积分∫(0,2) (2x-1) dx = (2^2 - 2) - (0^2 - 0) = 4 - 2 = 2。
大学数学分析试题及答案一、选择题(每题5分,共20分)1. 若函数f(x)在区间(a, b)内连续,则下列说法正确的是:A. f(x)在区间(a, b)内一定有最大值和最小值B. f(x)在区间(a, b)内一定有界C. f(x)在区间(a, b)内不一定有界D. f(x)在区间(a, b)内一定单调答案:B2. 极限lim(x→0) (sin x)/x的值是:A. 0B. 1C. -1D. ∞答案:B3. 设函数f(x)=x^3-3x+1,则f'(x)等于:A. 3x^2-3B. x^2-3x+1C. 3x^2+3D. -3x^2+3答案:A4. 函数y=e^x的导数是:A. e^xB. e^(-x)C. -e^xD. 1/e^x答案:A二、填空题(每题5分,共20分)1. 若函数f(x)在点x=a处可导,则f'(a)表示______。
答案:函数f(x)在点x=a处的导数2. 设函数f(x)=x^2+2x+1,则f(2)的值为______。
答案:93. 若序列{a_n}满足a_1=1,a_{n+1}=2a_n+1,则a_5的值为______。
答案:334. 函数y=ln(x)的定义域是______。
答案:(0, +∞)三、解答题(每题15分,共60分)1. 求函数f(x)=x^2-4x+3在区间[1, 4]上的最大值和最小值。
答案:函数f(x)=x^2-4x+3的导数为f'(x)=2x-4。
令f'(x)=0,解得x=2。
在区间[1, 2)上,f'(x)<0,函数单调递减;在区间(2, 4]上,f'(x)>0,函数单调递增。
因此,最小值为f(2)=-1,最大值为f(1)=0或f(4)=3。
2. 计算极限lim(x→0) (x^2+3x+2)/(x^2-x+1)。
答案:lim(x→0) (x^2+3x+2)/(x^2-x+1) = (0+0+2)/(0-0+1) = 2。
数学分析考研试题及答案一、选择题(每题3分,共30分)1. 下列函数中,哪个不是有界函数?A. f(x) = sin(x)B. f(x) = e^xC. f(x) = x^2D. f(x) = 1/x2. 函数f(x) = x^3在区间(-∞, +∞)上是:A. 单调递增B. 单调递减C. 有增有减D. 常数函数3. 如果函数f(x)在点x=a处连续,那么:A. f(a)存在B. f(a) = 0C. lim(x->a) f(x) = f(a)D. lim(x->a) f(x) 不存在4. 定积分∫(0,1) x^2 dx的值是:A. 1/3B. 1/4C. 1/2D. 2/35. 函数序列fn(x) = x^n在[0, 1]上一致收敛的n的取值范围是:A. n = 1B. n > 1C. n < 1D. n = 26. 级数∑(1/n^2)是:A. 收敛的B. 发散的C. 条件收敛的D. 无界序列7. 如果函数f(x)在区间[a, b]上可积,那么:A. f(x)在[a, b]上连续B. f(x)在[a, b]上一定有界C. f(x)在[a, b]上单调递增D. f(x)在[a, b]上无界8. 函数f(x) = |x|在x=0处:A. 连续B. 可导C. 不连续D. 不可导9. 微分方程dy/dx + y = 0的通解是:A. y = Ce^(-x)B. y = Ce^xC. y = Csin(x)D. y = Ccos(x)10. 函数f(x) = e^x在x=0处的泰勒展开式是:A. f(x) = 1 + x + ...B. f(x) = x + ...C. f(x) = 1 + x^2 + ...D. f(x) = 1 + x^3 + ...二、填空题(每题4分,共20分)11. 极限lim(x->0) (sin(x)/x) 的值是 _______。
12. 函数f(x) = x^3 - 6x^2 + 11x - 6的拐点是 _______。
考研数学分析试题及答案一、选择题(每题3分,共30分)1. 设函数f(x)在区间[a, b]上连续,且f(a) = f(b) = 0,若f(x)在区间(a, b)内至少有一个最大值点,则下列说法正确的是()。
A. f(x)在[a, b]上必有最大值B. f(x)在[a, b]上必有最小值C. 函数f(x)在[a, b]上单调递增D. 函数f(x)在[a, b]上单调递减2. 下列级数中,发散的是()。
A. ∑(-1)^n / nB. ∑1/n^2C. ∑(1/n - 1/(n+1))D. ∑sin(n)3. 已知函数F(x)在点x=c处可导,且F'(c)≠0,那么下列说法中正确的是()。
A. F(x)在x=c处连续B. 函数F(x)在x=c处一定取得最大值或最小值C. 可导性不能保证函数的连续性D. F(x)在x=c处取得极值4. 对于函数f(x) = x^3 - 6x^2 + 9x + 5,其在区间[1, 5]上的最大值是()。
A. 5B. 10C. 15D. 205. 设f(x)在[a, b]上可积,若∫[a, b] f(x) dx = 10,则下列说法中错误的是()。
A. f(x)在[a, b]上非负B. 存在x₀∈[a, b],使得f(x₀) > 0C. 存在x₀∈[a, b],使得f(x₀) = 10/b - aD. f(x)可以是负函数6. 函数f(x) = e^x / (1 + e^x)的值域是()。
A. (-∞, 0)B. (0, 1/2)C. (0, 1)D. (1/2, +∞)7. 下列选项中,不是有界函数的是()。
A. y = sin xB. y = e^xC. y = x^2D. y = 1/x8. 设函数f(x)在点x=1处可导,且f'(1) = 2,那么f(1 + h) - f(1)在h趋近于0时的表达式是()。
A. 2hB. 2h + o(h)C. h^2D. o(h)9. 对于函数f(x) = x^2,其在区间[-1, 1]上满足拉格朗日中值定理的条件,且存在ξ∈(-1, 1),使得()。
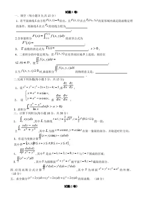
试题(1卷)一.填空(每小题3分,共15分)1.若平面曲线L 由方程0),(=y x F 给出,且),(y x F 在点),(000y x P 的某邻域内满足隐函数定理的条件,则曲线L 在点0P 的切线方程为 ; 2.含参量积分⎰=)()(),()(x d x c dyy x f x F 的求导公式为=')(x F ;3。
Γ函数的表达式为 =Γ)(s ,0>s ;4。
二重积分的中值定理为:若),(y x f 在有界闭区域D 上连续,则存在D ∈),(ηξ,使⎰⎰=Dd y x f σ),( ;5.当0),,(≥z y x f 时,曲面积分⎰⎰S dSz y x f ),,(的物理意义是: 。
二.完成下列各题(每小题5分,共15分)1。
设5422222=-+-++z y x z y x ,求y z x z ∂∂∂∂,; 2。
设 ⎩⎨⎧-=+=,cos ,sin v u e y v u e x u u 求 x v x u ∂∂∂∂, ;3. 求积分)0(ln 1>>-⎰a b dx x x x ab .三。
计算下列积分(每小题10分,共50分)1。
⎰L xyzds,其中L 为曲线)10(21,232,23≤≤===t t z t y t x 的一段;2.⎰+-Ly x xdxydy 22,其中L 为圆t a y t a x sin ,cos ==在第一象限的部分,并取逆时针方向;3.作适当变换计算⎰⎰-+D dxdyy x y x )sin()(, 其中D }{ππ≤-≤≤+≤=y x y x y x 0,0),(; 4。
⎰⎰⎰+Vy x dxdydz22,其中V 是由x y z x x ====,0,2,1与y z =围成的区域;5.dSy xS)(22⎰⎰+,其中S 为圆锥面222z y x =+被平面1,0==z z 截取的部分。
四.应用高斯公式计算dxdy z dzdx y dydz x S333++⎰⎰,其中S 为球面2222a z y x =++的外侧。
自考数学分析试题及答案一、选择题(每题3分,共30分)1. 下列函数中,哪一个是周期函数?A. y = sin(x)B. y = e^xC. y = ln(x)D. y = x^2答案:A2. 函数f(x) = x^3 + 2x在区间(-∞, +∞)上是:A. 单调递增B. 单调递减C. 有增有减D. 常数函数答案:A3. 极限lim (sin(x))/x 当x→0时的值是:A. 1B. -1C. 0D. 2答案:A4. 以下哪个选项是洛必达法则的应用?A. 0/0 型不定式B. ∞/∞ 型不定式C. 0•∞ 型不定式D. ∞ - ∞ 型不定式答案:B5. 函数f(x) = 1/x在x=0处是:A. 连续的B. 可导的C. 有界的D. 无界的答案:D6. 以下哪个序列是收敛的?A. 1, 1/2, 1/3, ...B. 2, 2, 2, ...C. -1, 1, -1, 1, ...D. -1, -2, -3, ...答案:B7. 如果函数f(x)在点x=a处可导,那么f'(a)表示:A. 函数在该点的斜率B. 函数在该点的切线方程C. 函数在该点的值D. 函数在该点的二阶导数答案:A8. 以下哪个选项是泰勒级数的基本形式?A. f(x) = Σ[(-1)^n * x^(2n+1) / (2n+1)!]B. f(x) = Σ[f^(n)(a) * (x-a)^n / n!]C. f(x) = Σ[f^(n)(0) * x^n / n!]D. f(x) = Σ[f(a) * (x-a)^n]答案:C9. 以下哪个选项是定积分的几何意义?A. 曲线下的面积B. 曲线上的点的集合C. 曲线的长度D. 曲线的斜率答案:A10. 以下哪个选项是微分方程dy/dx = y/x的一个解?A. y = x^2B. y = e^xC. y = xD. y = 1/x答案:D二、填空题(每题4分,共20分)11. 函数f(x) = x^2 + 3的最小值是______。
数学分析试题及答案4(总8页) -CAL-FENGHAI.-(YICAI)-Company One1-CAL-本页仅作为文档封面,使用请直接删除(十四) 《数学分析Ⅱ》考试题一 填空(共15分,每题5分):1 设=∈-=E R x x x E sup ,|][{则 1 , =E inf 0 ;2 设=--='→5)5()(lim,2)5(5x f x f f x 则54;3 设⎩⎨⎧>++≤=0,)1ln(,0,sin )(x b x x ax x f 在==a x 处可导,则0 1 , =b 0 。
二 计算下列极限:(共20分,每题5分)1 n n n1)131211(lim ++++∞→ ; 解: 由于,n n n n 11)131211(1≤++++≤ 又,1lim =∞→nn n故 。
1)131211(lim 1=++++∞→nn n2 3)(21limn nn ++∞→;解: 由stolz 定理,3)(21limn n n ++∞→33)1()(lim --=∞→n n nn )1)1()(1(lim-+-+--=∞→n n n n n n nn)1)1(2))(1(()1(lim--+---+=∞→n n n n n n n n n.32)1)11(2111lim2=--+-+=∞→nn nn 3 ax a x a x --→sin sin lim;解: ax ax a x --→sin sin lim ax ax a x ax --+=→2sin 2cos2lim.cos 22sin2coslim a a x a x a x ax =--+=→ 4 xx x 1)21(lim +→。
解: xx x 10)21(lim +→.)21(lim 22210e x xx =⎥⎦⎤⎢⎣⎡+=→ 三 计算导数(共15分,每题5分):1 );(),1ln(1)(22x f x x x x f '++-+=求解: 。
数学分析期末试题A答案doc2024年数学分析期末试题A及答案一、选择题1、以下哪个函数在 x = 0 处连续? A. $f(x) = x^2$ B. $f(x) = \frac{1}{x}$ C. $f(x) = sin x$ D. $f(x) = e^x$ 答案:D解析:在 x = 0 处,只有选项 D 中的函数 e^x 是连续的。
因此,答案为 D。
2、设 $f(x) = x^2$,则 $f(3x - 2) =$ __________。
A. $x^2$ B. $(3x - 2)^2$ C. $(3x - 2)^3$ D. $(3x - 2)^2 + 1$ 答案:B解析:将 $x$ 替换为 $3x - 2$,得 $f(3x - 2) = (3x - 2)^2$。
因此,答案为 B。
3、下列等式中,错误的是: A. $\int_{0}^{1}x^2dx =\frac{1}{3}x^3|{0}^{1}$ B. $\int{0}^{\pi}\sin xdx = \cosx|{0}^{\pi}$ C. $\int{0}^{2\pi}\sin xdx = 0$ D.$\int_{0}^{1}(2x + 1)dx = (x^2 + x)|_{0}^{1}$ 答案:A解析:等式两边取极限,只有 A 选项等式两边不相等,因此 A 选项是错误的。
4、下列哪个导数是常数函数? A. $y = x^3$ B. $y = \sin x$ C. $y = e^x$ D. $y = log_a(x)$ 答案:C解析:常数函数的导数为零。
在选项中,只有 C 中的函数 e^x 的导数为常数函数,其导数为 $e^x$。
因此,答案为 C。
高一生物期末考试试题及答案doc高一生物期末考试试题及答案doc高一生物期末考试是一次重要的学业水平测试,旨在考察学生在本学期学习生物课程的效果。
以下是本次考试的部分试题及其答案,供大家参考。
一、选择题1、下列哪一种生物不是由细胞构成的? A. 细菌 B. 植物 C. 动物D. 病毒答案:D2、哪一个器官属于消化系统? A. 口腔 B. 食道 C. 胃 D. 大肠答案:C3、在光合作用中,哪一个物质是植物从空气中吸收的? A. 氧气 B. 二氧化碳 C. 葡萄糖 D. 水答案:B二、填空题1、病毒是一种生物,但它不能 _______ 和保持生命活动,必须_______ 在细胞内。
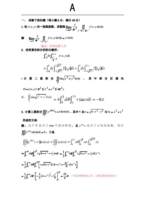
A一、 求解下面问题(每小题6分,满分48分)1.设),(y x f 为一连续函数,求极限.),(122220lim dxdy y x f rr y x r ⎰⎰≤+→+π解 (0,0)),(12222limf dxdy y x f r r y x r =⎰⎰≤+→+π建议:中间过程4分2. 改变累次积分的积分顺序:dy y x f dx x x ),(-21-426-2⎰⎰0820-1(,)(,)ydy f x y dx dy f x y dx---=+⎰⎰⎰⎰3. 计算二重积分dxdy y x D22sin +⎰⎰,其中积分区域为}.4|),{(2222ππ≤+≤=y x y x D解:D⎰⎰4. 计算三重积分dxdydz x y V⎰⎰⎰+)1(2012,其中V 由22--4y x z =与223y x z +=所成的立体.解:由于V 是关于yoz 平面对称的,且x y 2012是关于x 的奇函数,所以02012=⎰⎰⎰d x d y d z x yV,于是23220121()r VVyx dxdydz dxdydz d πθ+==⎰⎰⎰⎰⎰⎰⎰⎰223)r d rdr πθ=⎰2223001)()2r d d r πθ=⎰22220012(4)()62r d r d r πθ⎤=--⎢⎥⎣⎦⎰34222001219(4)6236r d r πθπ⎡=⋅---=⎢⎥⎣⎦⎰ (写出对称性给2分,计算过程适当给分)2204sin 6d r rdr πππθπ==-⎰⎰5. 计算积分2(2)I x z ds Γ=+⎰,其中曲线Γ为2222,0.x y z a x y z ⎧++=⎨++=⎩(利用对称性)解: 利用轮换对称性知2322222212()333a a x ds y ds z ds x y z ds ds πΓΓΓΓΓ===++==⎰⎰⎰⎰⎰1()03zds xds yds x y z ds ΓΓΓΓ===++=⎰⎰⎰⎰ 所以322(2)3a x z ds πΓ+=⎰(建议:两个对称性各3分,写出参数方程直接计算适当给分)6. 计算第一型曲面积分()x y z dS ∑++⎰⎰,其中∑为球面2222x y z a ++=上z h ≥)0(a h <<的部分. (可利用对称性) 解: 利用对称性知0xdS ydS ∑∑==⎰⎰⎰⎰设xy D ={|),(y x 2222x y a h +≤-} 则()x y z dS ∑++⎰⎰=zdS ∑⎰⎰=⎰⎰=aDxydxdy ⎰⎰=22()a a h π-(建议:对称性0xdS ydS∑∑==⎰⎰⎰⎰2分 ,= 1分,zdS ∑⎰⎰计算过程3分)7. 证明向量场))2(),2(),2((z y x xy z y x xz z y x yz F ++++++= 是有势场,并求其势函数.解:先验证有势场0)2()2()2(=++++++=∂∂∂∂∂∂z y x xy z y x xz z y x yz F rot zyxk j故是有势场. ---------3分.)2()2()2(.),,222000000),,(),,(),,(),,(0000000C xyz z xy yz x dz z y x xy dy z y x xz dx z y x z y RdzQdy Pdx s d F z y x zzyy xx z y x z y x z y x z y x +++=++++++++=++==⎰⎰⎰⎰⎰(φ(另一种方法也可(这里略),请判卷的时候注意。
《数学分析》(三)――参考答案及评分标准一. 计算题(共8题,每题9分,共72分)。
1.求函数11(,)f x y y x =在点(0,0)处的二次极限与二重极限。
解:11(,)f x y y x =+=,因此二重极限为0。
……(4分)因为011x y x →+与011y y x→+均不存在,故二次极限均不存在. ……(9分)2. 设(),()y y x z z x =⎧⎨=⎩ 是由方程组(),(,,)0z xf x y F x y z =+⎧⎨=⎩所确定的隐函数,其中f 和F 分别具有连续的导数和偏导数,求dzdx.解: 对两方程分别关于x 求偏导:, ……(4分). 解此方程组并整理得()()()()y y x y z F f x y xf x y F F dz dx F xf x y F '⋅+++-='++。
……(9分)3. 取,μν为新自变量及(,)w w v μ=为新函数,变换方程222z z zz x x y x ∂∂∂++=∂∂∂∂. 设,,22y x y x y w ze μν+-=== (假设出现的导数皆连续)。
解:z 看成是,x y 的复合函数如下:,(,),,22y w x y x yz w w e μνμν+-====. ……(4分) 代人原方程,并将,,x y z 变换为,,w μν。
整理得:2222w ww μμν∂∂+=∂∂∂. ……(9分)4. 要做一个容积为31m 的有盖圆桶,什么样的尺寸才能使用料最省?解: 设圆桶底面半径为r ,高为h ,则原问题即为:求目标函数在约束条件下的最小值,其中目标函数: 222S rh r ππ=+表,()()(1)0x yz dzdy f x y xf x y dx dx dy dz F F F dx dx ⎧'=++++⎪⎪⎨⎪++=⎪⎩约束条件: 21r h π=。
……(3分) 构造Lagrange 函数:22(,,)22(1)F r h rh r r h λππλπ=++-。
数学分析专题研究模拟试题及参考答案一、单项选择题1.A ,B ,C 是三个集合,C B A ⊂,则有( )成立。
A 。
若A x ∈,则B x ∈ B 。
若A x ∈,则C x ∈C 。
若A x ∈,则C B x ∈ D. 若C B x ∈,则A x ∈答案:D2. 设12)(2-+-=x x x f 则R R f →:是( )A. 双射B. 既非单射也非满射 C。
单射而非满射 D . 满射而非单射答案:B3。
下列数集( )不是可列集。
A.自然数集 B 。
整数集 C.有理数集 D.实数集答案:D4。
已知函数)(x f y =在)1,0(内可导,且)(x f '在)1,0(内连续,则)(x f 在)1,0(内( ).A .连续B .间断C 。
有界D 。
无界答案:A5。
有界闭凸集S 上的下凸函数)(x f 的最大值必在S 的( )达到.A .内部B 。
外部C .边界S ∂ D.可能是内部也可能在边界S ∂答案:C二、填空题1.已知},{},,{d c B b a A ==,则________________=⨯A B .答案:)},(),,(),,(),,{(b d a d b c a c2.设R 为X 中的关系,若R 是反身的、对称的、传递的,则称关系R 是 . 答案:等价关系3。
若集合A 能与其任意真子集1A 之间建立一个双射,则集合A 是 . 答案:无限集4.=ix e .答案:x i x sin cos + 5.设n n n x n x f ∑∞=--=11)1()(,则ln(_____))(=x f 。
答案:x +1三、计算题1.已知函数)(x f 满足34)1(2+-=+x x x f ,求)(x f .解:34)1(2+-=+x x x f8)1(6)1(2++-+=x x 故86)(2+-=x x x f2.求函数x x x f 1)(+=的极值. 解 令 011)(2=-='x x f 解得 1±=x 312)(x x f ⋅='',,02)1(>=''f 故1=x 是极小值点,2)1(=f 是极小值 ; ,02)1(<-=-''f 故1-=x 是极大值点,2)1(-=-f 是极大值。
考试科目: 数学分析(I)一 、求极限、导数或高阶导数(每小题5分,共35分)1.n lim →∞⎛⎫++……解:n n n 11(1)(1)lim lim n n n n →∞++⎛⎫≤+≤……,故原式1=2.2.()222n x x x n x x x x 2x 2lim =lim =lim =lim =022ln 22ln 22n →∞→∞→∞→∞. 3.()42220011-cos 12lim =lim =sin ln 1+2x x xx x x x x x x →→•.4. 11limarcsin()1ln x x x x→--解:111limarcsin()arcsin 1ln 26x x x x π→-==-. 5.设(0)xxy x x =>,求y '.1(ln (ln 1))xx x x y x x x x x -'=++.6. 设函数)(x y y =是由参数方程⎩⎨⎧-=-=)cos 1()sin (t a y t t a x 确定,求2t dydxπ=和t dy dxπ=。
21t dy dxπ==.7. 设函数f 二阶可导,1()1x y f x -=+,22d y dx解:221()(1)1dy x f dx x x -'=++, 22344141()()(1)1(1)1d y x x f f dx x x x x --'''=-+++++.二、解答题(每小题8分,共32分)1. 已知001a <<,)n+1a n 0≥,求证n a 的极限存在并求其极限.解: 易知{}n a 单调增有上界1,故由单调收敛定理及n+1n n lim a =→∞知n n lima =1.→∞2. 讨论函数()211sin x x f x e x-=的间断点及其类型. 解: 0x =为可去间断点,=1x ±为第二类间断点.3. 求函数()(4)f x x =-的极值点与极值。
数学分析竞赛试题及答案试题一:极限计算计算下列极限:\[ \lim_{x \to 0} \frac{\sin x}{x} \]试题二:级数收敛性判断判断下列级数是否收敛:\[ \sum_{n=1}^{\infty} \frac{1}{n^2} \]试题三:函数连续性与可导性若函数 \(f(x) = x^3 - 3x^2 + 2x\),判断其在 \(x=1\) 处的连续性与可导性。
试题四:中值定理应用若函数 \(f(x)\) 在闭区间 \([a, b]\) 上连续,在开区间 \((a, b)\) 内可导,且 \(f(a) = f(b)\),证明在 \((a, b)\) 内至少存在一点 \(c\),使得 \(f'(c) = 0\)。
试题五:积分计算计算下列定积分:\[ \int_{0}^{1} x^2 dx \]答案:试题一:根据极限的定义,我们知道当 \(x\) 趋近于 0 时,\(\sin x\) 与 \(x\) 是等价无穷小,所以极限为 1。
试题二:根据级数的比较判别法,由于 \(\frac{1}{n^2}\) 与\(\frac{1}{n(n+1)}\) 比较,后者的级数是收敛的,因此原级数也收敛。
试题三:函数 \(f(x) = x^3 - 3x^2 + 2x\) 在 \(x=1\) 处的导数为\(f'(x) = 3x^2 - 6x + 2\),代入 \(x=1\) 可得 \(f'(1) = -1\)。
由于 \(f(x)\) 在 \(x=1\) 处的左导数和右导数都存在且相等,所以\(f(x)\) 在 \(x=1\) 处连续且可导。
试题四:根据罗尔定理,由于 \(f(x)\) 在闭区间 \([a, b]\) 上连续,在开区间 \((a, b)\) 内可导,且 \(f(a) = f(b)\),所以必然存在至少一点 \(c \in (a, b)\) 使得 \(f'(c) = 0\)。
《数学分析(II )》试题2004.6一.计算下列各题:1.求定积分∫+e x x dx 12)ln 2(;2.求定积分; ∫−222),1max(dx x3.求反常积分dx x x ∫∞++021ln ;4.求幂级数()∑∞=−+1221n n n x n n 的收敛域;5.设,求du 。
yz x u =二.设变量代换可把方程⎩⎨⎧+=−=ay x v y x u ,20622222=∂∂−∂∂∂+∂∂y z y x z x z 简化为02=∂∂∂v u z ,求常数。
a三.平面点集(){}⎭⎬⎫⎩⎨⎧=⎟⎠⎞⎜⎝⎛L U ,2,11sin ,10,0n n n是否为紧集?请说明理由。
四.函数项级数n nn n x x n +⋅−∑∞=−1)1(11在上是否一致收敛?请说明理由。
]1,0[五.设函数在上连续,且满足)(x f ),(∞+−∞1)1(=f 和)arctan(21)2(20x dt t x tf x =−∫。
求。
∫21)(dx x f六.设函数在上具有连续导数,且满足)(x f ),1[∞+1)1(=f 和22)]([1)(x f x x f +=′,+∞<≤x 1。
证明:存在且小于)(lim x f x +∞→41π+。
七.设如下定义函数:dt t t x f x x t1sin 21)(2∫⎟⎠⎞⎜⎝⎛+=,。
1>x 判别级数∑∞=2)(1n n f 的敛散性。
八.设∫=40cos sin πxdx x I n n (L ,2,1,0=n )。
求级数的和。
∑∞=0n n I《数学分析(II )》试题(答案)2004.6一.1.421π⋅; 2.320; 3.; 4. 0)2/1,2/1(−; 5.⎟⎠⎞⎜⎝⎛++=xdz y xdy z dx x yz x dz yz ln ln 。
二.。
3=a 三. 是紧集。
四.一致收敛。
五.43。
六.因为,所以单调增加,因此0)(>′x f )(x f 1)1()(=>f x f 。
∑⎰ ⎰ ⎰ 2014 ---2015 学年度第二学期《数学分析 2》A 试卷一. 判断题(每小题 3 分,共 21 分)(正确者后面括号内打对勾,否则打叉)1.若 f (x )在[a ,b ]连续,则 f (x )在[a ,b ]上的不定积分⎰ f (x )dx 可表为x f(t )dt + C ( ).a2.若 f (x ), g (x )为连续函数,则⎰ f (x )g (x )dx = [⎰f (x )dx ]⋅ [⎰g (x )dx ().+∞+∞3.若 f (x )dx 绝对收敛, ⎰ g (x )dx 条件收敛,则aa+∞[ f(x )- g (x )]dx 必然条件收敛().a+∞ 4. 若f (x )dx 收敛,则必有级数∑ f (n )收敛( )1n =15. 若{f n }与{g n }均在区间 I 上内闭一致收敛,则{f n + g n }也在区间 I上内闭一致收敛( ).∞6. 若数项级数 a n 条件收敛,则一定可以经过适当的重排使其发散n =1于正无穷大( ).7. 任何幂级数在其收敛区间上存在任意阶导数,并且逐项求导后得到的新幂级数收敛半径与收敛域与原幂级数相同( ). 二. 单项选择题(每小题 3 分,共 15 分)1. 若 f(x )在[a ,b ]上可积,则下限函数af (x )dx 在[a ,b ]上()xA. 不连续B. 连续C.可微D.不能确定⎰ ⎰∞⎰ ⎰ ⎰ ⎰ ∑ 2. 若 g (x )在[a ,b ]上可积,而 f (x )在[a ,b ]上仅有有限个点处与 g (x )不相等,则( )A. f (x )在[a ,b ]上一定不可积;B. f (x )在[a , b ]上一定可积,但是bf (x )dx ≠ bg (x )dx ;aaC. f (x )在[a , b ]上一定可积,并且 b f (x )dx = bg (x )dx ;aaD. f (x )在[a ,b ]上的可积性不能确定.∞3. 级数 n =11 + (- 1)n -1 n n2 A. 发散 B.绝对收敛 C.条件收敛 D. 不确定4. 设∑u n 为任一项级数,则下列说法正确的是( )A. 若lim u n →∞= 0 ,则级数∑u n一定收敛;B. 若lim un +1 = < 1,则级数∑u 一定收敛;n →∞ u nC. 若∃ N ,千D. 若∃ N ,千 n > N 千千n > N 千千千u n +1 n< 1,则级数∑u n 一定收敛; u n> 1,则级数∑u n 一定发散;5. 关于幂级数∑ a n x n 的说法正确的是()A. ∑ a n x n 在收敛区间上各点是绝对收敛的;B. ∑ a n x n 在收敛域上各点是绝对收敛的;C. ∑ a n x n 的和函数在收敛域上各点存在各阶导数;千 u n +1u n nx ⎰⎰ D. ∑ a n x n 在收敛域上是绝对并且一致收敛的;三.计算与求值(每小题 5 分,共 10 分) 1. lim 1n (n + 1)(n + 2) (n + n ) n →∞ n2. ln (sin x )dx cos 2 x四. 判断敛散性(每小题 5 分,共 15 分)1. dx 01 + + x 2∞∑2. ∑ n ! n =1 n n∞ 3. n =1(- 1)nn 2n1 + 2n五. 判别在数集 D 上的一致收敛性(每小题 5 分,共 10 分)1. f n(x )= sin nx n, n =1,2 , D = (- ∞,+∞)∑2. n D xn= (- ∞, - 2]⋃[2, + ∞)六.已知一圆柱体的的半径为 R ,经过圆柱下底圆直径线并保持与底圆面300 角向斜上方切割,求从圆柱体上切下的这块立体的体积。
第一章实数集与函数§1实数1、设a 为有理数,x 为无理数,试证明:⑴x a +是无理数.⑵当0≠a 时,ax 是无理数.证: ⑴ 假设x a +是有理数,则x a x a =-+)(是有理数,这与题设x 为无理数相矛盾, 故x a +是无理数.⑵假设ax 是有理数,则x aax=为有理数,这与题设x 为无理数相矛盾 故ax 是无理数.1、 试在数轴上表示出下列不等式的解: ⑴ 0)1(2>-x x ;⑵⑶2、 设a 、R b ∈.证明:若对任何正数ε有ε<-b a ,则b a =. 证:用反证法.倘若结论不成立,则根据实数集有序性,有b a >或b a <; 若b a >,则又由绝对值定义知:b a b a -=-.令b a -=ε,则ε为正数,但这与ε<-=-b a b a 矛盾; 若b a <,则又由绝对值定义知:a b b a -=-.令a b -=ε,则ε为正数,但这与ε<-=-a b b a 矛盾; 从而必有b a =. 3、 设0≠x ,证明21≥+xx ,并说明其中等号何时成立. 证:因x 与x 1同号,从而21211=⋅≥+=+xx x x x x , 等号当且仅当xx 1=,即1±=x 时成立.4、 证明:对任何R x ∈,有⑴ 121≥-+-x x ;⑵2321≥-+-+-x x x 证: ⑴因为21111-=+-≤--x x x ,所以121≥-+-x x .⑵因为21132-+-≤-≤--x x x x , 所以2321≥-+-+-x x x5、 设a 、b 、+∈R c (+R 表示全体正实数的集合),证明:c b c a b a -≤+-+2222证:对任意的正实数a 、b 、c 有)(22222c b a bc a +≤,两端同时加244c b a +,有224222222242c b a c a b a bc a c b a +++≤++, 即))(()(222222c a b a bc a ++≤+bc c a b a a 2))((2222222-≤++-,两端再同加22c b +,则有c b c a b a -≤+-+2222其几何意义为:当c b ≠时,以),(b a ,),(c a ,)0,0(三点为顶点的三角形,其两边之差小于第三边. 当c b =时,此三角形变为以),(c a ,)0,0(为端点的线段,此时等号成立6、 设0,0>>b x ,且b a ≠,证明x b x a ++介于1与ba之间. 证:因为x b a b x b x a +-=++-1,)()(x b b a b x b a x b x a +-=-++,且0,0>>b x 所以当b a >时, b ax b x a <++<1; 当b a <时, 1<++<xb xa b a ; 故x b x a ++总介于1与ba 之间.7、 设p 为正整数,证明:若p 不是完全平方数,则p 是无理数证:假设p 是有理数,则存在正整数m 、n 使nmp =,且m 与n 互素. 于是22m p n =.可见n 能整除2m .由于m 与n 互素,从而它们的最大公因数为1,由辗转相除法知:存在整数u 、v 使1=+nv mu .从而m mnv u m =+2因n 能整除2m ,又能整除mnv ,故能整除其和,于是n 可整除m ,这样1=n 因此2m p =.这与p 不是完全平方数相矛盾, 故p 是无理数8、 设a 与b 为已知实数,试用不等式符号(不用绝对值符号)表示下列不等式的解: ⑴ b x a x -<-;⑵b x a x -<-;⑶b a x <-2.解: ⑴原不等式等价于11<---bx ba 这又等价于20<--<b x b a 即⎩⎨⎧-<-<>b x b a b x 220或⎩⎨⎧->-><b x b a bx 220即⎪⎪⎩⎪⎪⎨⎧>+>>b a b a x b x 2或⎪⎪⎩⎪⎪⎨⎧<+<<ba b a x b x 2故当b a >时,不等式的解为2ba x +>当b a <时,不等式的解为2ba x +<当b a =时,不等式无解.⑵原不等式等价于⎩⎨⎧-<->b x a x b x 且⎩⎨⎧-<->b x x a bx即⎩⎨⎧>>b a b x 且⎪⎩⎪⎨⎧+>>2b a x bx 故当b a >时,21bx +>; 当b a ≤时,不等式无解. ⑶当0≤b 时,显然原不等式无解,当0>b 时原不等式等价于b a x b a +<<-2因此①当0≤+b a 或0≤b 时,无解②当0>+b a 且0>b 时,有解 Ⅰ 如果b a ≥,则解为b a x b a +<<-即b a x b a +<<-或b a x b a +>>--Ⅱ 如果b a <,则解为b a x +< 即b a x b a +<<+-§2数集 确界原理1、 用区间表示下列不等式的解: ⑴01≥--x x ;⑵61≤+xx ; ⑶0))()((>---c x b x a x (a 、b 、c 为常数,且c b a <<)⑷22sin ≥x 解 ⑴原不等式等价于以下不等式组⎩⎨⎧≥--<011x x x 或⎩⎨⎧≥--≥011x x x前一不等式组的解为21≤x ,后一不等式组无解. 所以原不等式的解为⎥⎦⎤ ⎝⎛∞-∈21,x ⑵不等式61≤+xx 等价于616≤+≤-x x这又等价于不等式组⎩⎨⎧≤+≤->x x x x 61602或⎩⎨⎧-≤+≤<xx x x 61602前一不等式组的解为]223,223[+-∈x ,后一不等式组解为]223,223[+---∈x . 因此原不等式解为 ]223,223[]223,223[+-+---∈x⑶令))()(()(c x b x a x x f ---=,则由c b a <<知:⎪⎩⎪⎨⎧∞+∈>-∞∈<= ;),(),(,0;),(),(,0)(c b a x c b a x x f因此0)(>x f 当且仅当 ;),(),(∞+∈c b a x因此原不等式的解为 ),(),(∞+∈c b a x .⑷当]43,4[ππ∈x 时22sin ≥x .由正弦函数的周期性知22sin ≥x 的解是]432,42[ππππ++∈k k x ,其中k 是整数2、设S 为非空数集,试给出下列概念的定义:⑴数集S 没有上界; ⑵数集S 无界.解: ⑴设S 为一非空数集,若对任意的0>M ,总存在S x ∈0,使M x >0,则称数集S 没有上界 ⑵设S 为一非空数集,若对任意的0>M ,总存在S x ∈0,使M x >0,则称数集S 无界3、证明:由(3)式确定的数集有上界,无下界. 证:{}22R x x y y S ∈-==.对任意的R x ∈,222≤-=x y 所以数集S 有上界2而对任意的0>M ,取m x +=31,则S M M x y ∈--=--===1322211, 但M y -<1,因此数集S 无下界4、 求下列数集的上、下确界,并依定义加以验证. ⑴{}22<=x x S⑵{},!为自然数n n x x S ==; ⑶{})1,0(内的无理数为x x S =; ⑷⎩⎨⎧=-==},2,1,211 n x x S n 解: ⑴2sup =S ,2inf -=S ,以下依定义加以验证.由22<x 知22<<-x ,因之对任意的S x ∈,有2<x 且2->x ,即2,2-分别是S 的上、下界.又对任意的0>ε,不妨设22<ε,于是存在220ε-=x ,221ε+-=x使0x 、1x S ∈,但ε->20x ,ε+-<21x ,所以2sup =S ,2inf -=S⑵+∞=S sup ,1inf =S ,以下依定义加以验证. 对任意的S x ∈,+∞<≤x 1,所以1是S 的下界.对任意的自然数n ,+∞<!n ,所以+∞=S sup ;对任意的0>ε,存在S x ∈==1!11,使ε+<11x ,所以1inf =S ⑶1sup =S ,0inf =S ,以下依定义加以验证.对任意的S x ∈,有10<<x ,所以1、0分别是S 的上、下界.又对任意的0>ε,取εη<<0,且使η-1为无理数,则η-1S ∈,εη->-11 所以1sup =S ;由η的取法知η是无理数,S ∈η,εεη+=<0,所以0inf =S⑷1sup =S ,21inf =S ,以下依定义加以验证. 对任意的S x ∈,有121≤≤x ,所以1、21分别是S 的上、下界.对任意的0>ε,必存在自然数k ,使S x k k ∈-=211,且ε->-=1211k k x所以1sup =S又S x ∈=-=21211,ε+<=-=2121211x 所以21inf =S5. 设S 为非空有下界数集.证明:S S S min inf =⇔∈=ξξ证:设S S ∈=inf ξ,则对一切S x ∈有ξ≥x ,而S ∈ξ,故ξ是数集S 中最小的数,即S min =ξ. 设S min =ξ,则S ∈ξ,下面验证S inf =ξ. Ⅰ 对一切S x ∈,有ξ≥x ,即ξ是S 的下界. Ⅱ 对任何ξβ>,只须取S x ∈=ξ0,则β<0x ,从而ξ不是S 的下界,故S inf =ξ.6.设S 为非空数集,定义}{S x x S ∈-=-,证明:⑴S S sup inf -=-⑵S S inf sup -=-证: ⑴设-=S inf ξ,由下确界的定义知,对任意的-∈S x ,有ξ≥x ,且对任意的0>ε,存在-∈S x 0,使εξ+<0x由}{S x x S ∈-=-知, 对任意的S x ∈-,ξ-≤-x ,且存在S x ∈-0,使εξ-->-0x ,由上确界的定义知ξ-=-S sup ,即S S sup inf -=-. 同理可证⑵式成立.7.设B A 、皆为非空有界数集,定义数集},,{B y A x y x z z B A ∈∈+==+. 证明: ⑴B A B A sup sup )sup(+=+ ⑵B A B A inf inf )inf(+=+ 证: ⑴设1sup η=A ,2sup η=B .对任意的B A z +∈,存在A x ∈,B y ∈,使y x z +=. 于是1η≤x ,2η≤y ,从而21ηη+≤z对任意的0>ε,必存在A x ∈0,B y ∈0且210εη->x ,220εη->y ,则存在B A y x z +∈+=000,使εηη-+>)(210z ,所以B A B A sup sup )sup(21+=+=+ηη ⑵同理可证8.设x a a ,1,0≠>为有理数,证明:{{⎪⎩⎪⎨⎧<>=<<,1}inf ,1}sup a r a a r a a rxr r x r x ,当为有理数,当为有理数证: 只证1>a 的情况, 1<a 的情况可以类似地予以证明.设}{x r r a E r<=,为有理数.因为1>a ,r a 严格递增,故对任意的有理数x r <,有x r a a <,即x a 是E 的一个上界.对任意的0>ε,不妨设x a <ε,于是必存在有理数x r <0,使得xr x a a a <<-0ε.事实上,由x a log 递增知:xx a a <-<ε0等价于x a a xa x a =<-log )(log ε取有理数0r ,使得x r a xa <<-0)(log ε.所以E a xsup =,即}{sup 为有理数r aa rxr x<=§4具有某些特征的函数1、证明:21)(x xx f +=是R 上的有界函数. 证: 利用不等式212x x +≤有2112211)(22≤+=+=x x xx x f 对一切的),(∞+-∞∈x 都成立 故21)(x xx f +=是R 上的有界函数2、⑴证明陈述无界函数的定义; ⑵证明:21)(x x f =为)1,0(上的无界函数. ⑶举出函数f 的例子,使f 为闭区间]1,0[上的无界函数.解: ⑴设)(x f 在D 上有定义,若对任意的正数M ,都存在D x ∈0,使M x f >)(0,则称函数)(x f 为D 上的无界函数.⑵对任意的正数M ,存在)1,0(110∈+=M x ,使M M x x f >+==11)(2所以21)(xx f =为)1,0(上的无界函数. ⑶设⎪⎩⎪⎨⎧=∈=0,0]1,0(,1)(x x x x f .下证)(x f 为无界函数0>∀M ,]1,0(110∈+=∃M x ,使得M M x f >+=1)(0 所以⎪⎩⎪⎨⎧=∈=0,0]1,0(,1)(x x x x f 是闭区间[0,1]上的无界函数.3、 证明下列函数在指定区间上的单调性: ⑴13-=x y 在),(∞+-∞内严格递增; ⑵x y sin =在]2,2[ππ-上严格递增;⑶x y cos =在],0[π上严格递减.证: ⑴任取1x 、),(2∞+-∞∈x ,21x x <, 则0)(3)13()13()()(212121<-=---=-x x x x x f x f , 可见)()(21x f x f <,所以13-=x y 在),(∞+-∞内严格递增. ⑵任取1x 、]2,2[2ππ-∈x ,21x x <,则有22221ππ<+<-x x ,02221<-≤-x x π, 因此02cos21>+x x ,02sin 21<-x x , 从而02sin 2cos 2sin sin )()(21212121<-+=-=-x x x x x x x f x f , 故)()(21x f x f <,所以x y sin =在]2,2[ππ-上严格递增.⑶任取1x 、],0[2π∈x ,21x x <,则π<+<2021x x ,02221<-≤-x x π, 从而02sin21>+x x ,02sin 21<-x x 02sin 2sin2cos cos )()(21212121>-+-=-=-x x x x x x x f x f 故)()(21x f x f >,所以x y cos =在],0[π上严格递减.4、 判别下列函数的奇偶性:(1)12)(24-+=x x x f ;(2) x x x f sin )(+=;(3)22)(x e x x f -=; (4))1lg()(2x x x f -+=解(1)因)(121)(2)()(2424x f x x x x x f =-+=--+-=-, 故12)(24-+=x x x f 是偶函数. (2)因),()sin ()sin()()(x f x x x x x f -=+-=-+-=-故x x x f sin )(+=是奇函数.(3)因)()()(222)(2x f e x e x x f x x ==-=----,故22)(x e x x f -=是偶函数. (4))()1lg(11lg)1lg())(1lg()(2222x f x x x x x x x x x f -=++-=++=++-=-++-=-故)1lg()(2x x x f -+=是奇函数.5、 求下列函数的周期:(1)x x f 2cos )(=;(2)x x f 3tan )(=;(3)3sin 22cos )(xx x f +=. 解 (1) )2cos 1(21cos )(2x x x f +==,而x 2cos 1+的周期是π,所以x x f 2cos )(=的周期是π. (2))3tan(x 的周期是3π,所以x x f 3tan )(=的周期是3π. (3)2cos x 的周期是π4,3sin x 的周期是π6,所以3sin 22cos )(xx x f +=的周期是π12.6、 设)(x f 为定义在],[a a -上的任一函数,证明: (1) ],[),()()(a a x x f x f x F -∈-+=为偶函数; (2) ],[),()()(a a x x f x f x G -∈--=为奇函数; (3) f 可表示为某个奇函数与某个偶函数之和.证 (1)由已知函数)(x F 的定义域关于原点对称且],,[a a x -∈∀)()()()()()(x F x f x f x f x f x F =-+=+-=-.故)(x F 为],[a a -的偶函数.(2) 由已知函数)(x G 的定义域关于原点对称且],,[a a x -∈∀有)()]()([)()()(x G x f x f x f x f x G -=---=--=-.故)(x G 为],[a a -的奇函数.(3)由(1)(2)知: ),(2)()(x f x G x F =+从而)(21)(212)()()(x G x F x G x F x f +=+=,而)(x F ,)(x G 分别是偶函数和奇函数.显然)(21x F 也是偶函数, )(21x G 也是奇函数.从而f 可表示为某个奇函数与某个偶函数之和.7、 设)(x f ,)(x g 为定义在D 上的有界函数,且对任一)()(,x g x f D x ≤∈,证明:(1))(sup )(sup x g x f Dx D x ∈∈≤;(2) )(inf )(inf x g x f Dx D x ∈∈≤. 证 (1)假设)(sup )(sup x g x f Dx D x ∈∈>. 令))(sup )(sup (21x g x f D x D x ∈∈-=ε,则0>ε 由上确界定义知,存在D x ∈0,))(sup )(sup (21)(sup )(0x g x f x f x f Dx D x D x ∈∈∈+=->ε,又对任意的D x ∈,<)(x g ))(sup )(sup (21)(sup x g x f x g D x D x D x ∈∈∈+=+ε. 由此知)()(0x g x f >,这与题设)()()(D x x g x f ∈∀≤相矛盾,所以)(sup )(sup x g x f D x D x ∈∈≤.(2)同理可证结论成立.8、 设f 为定义在D 上的有界函数,证明:(1) )(inf )}({sup x f x f Dx D x ∈∈-=-;(2) )(sup )}({inf x f x f Dx D x ∈∈-=- 证: (1)令ξ=∈)(inf x f Dx .由下确界的定义知,对任意的D x ∈,ξ≥)(x f ,即ξ-≤-)(x f , 可见ξ-是)(x f -的一个上界;对任意的0>ε,存在D x ∈0,使εξ+<)(0x f ,即εξ-->-)(0x f ,可见ξ-是)(x f -的上界中最小者.所以)(inf )}({sup x f x f Dx D x ∈∈-=-=-ξ(2)同理可证结论成立.9、 证明:函数x x f tan )(=在)2,2(ππ-内为无界函数,但在)2,2(ππ-内任一闭区间[]b a ,上有界.证: (1)对任意的正数M ,取)1arctan(0+=M x , 则220ππ<<-x ,M M M x >+=+=1)1(tan(arctantan 0 所以x x f tan )(=在)2,2(ππ-内是无界函数. (2)任取[]b a ,)2,2(ππ-∈,由于x tan 在[]b a ,上是严格递增的,从而b x a tan tan tan ≤≤对任意的[]b a x ,∈都成立.令}tan ,tan max{a a M =,则对一切的[]b a x ,∈,有M x ≤tan ,所以x x f tan )(=在)2,2(ππ-内任一闭区间[]b a ,上有界.10、 讨论狄利克雷函数⎩⎨⎧=为无理数时当为有理数时当x x x D ,0,1)(的周期性、单调性、有界性。
(二十一)数学分析期终考试题一 叙述题:(每小题5分,共15分)1 开集和闭集2 函数项级数的逐项求导定理3 Riemann 可积的充分必要条件 二 计算题:(每小题7分,共35分)1、⎰-9131dx x x2、求)0()(222b a b b y x ≤<=-+绕x 轴旋转而成的几何体的体积3、求幂级数n n n x n ∑∞=+12)11(的收敛半径和收敛域 4、11lim222200-+++→→y x y x y x5、22),,(yz xy x z y x f ++=,l 为从点P 0(2,-1,2)到点(-1,1,2)的方向, 求f l (P 0) 三 讨论与验证题:(每小题10分,共30分)1、已知⎪⎩⎪⎨⎧==≠+++=0,0001sin )(),(222222y x y x y x y x y x f ,验证函数的偏导数在原点不连续,但它在该点可微2、讨论级数∑∞=-+12211ln n n n 的敛散性。
3、讨论函数项级数]1,1[)1(11-∈+-∑∞=+x n x n x n n n 的一致收敛性。
四 证明题:(每小题10分,共20分)1 若⎰+∞adx x f )(收敛,且f (x )在[a ,+∞)上一致连续函数,则有0)(lim =+∞→x f x2 设二元函数),(y x f 在开集2R D ⊂内对于变量x 是连续的,对于变量y 满足Lipschitz 条件:''''''),(),(y y L y x f y x f -≤-其中L D y x y x ,),(),,('''∈为常数证明),(y x f 在D 内连续。
参考答案一、1、若集合S 中的每个点都是它的内点,则称集合S 为开集;若集合S 中包含了它的所有的聚点,则称集合S 为闭集。
2 设函数项级数∑∞=1)(n nx u满足(1)),2,1)(( =n x u n 在[a ,b]连续可导a)∑∞=1)(n nx u在[a ,b]点态收敛于)(x Sb)∑∞=1')(n x un在[a ,b]一致收敛于)(x σ则)(x S =∑∞=1)(n n x u 在[a ,b] 可导,且∑∑∞=∞==11)()(n n n nx u dx dx u dx d 3、有界函数)(x f 在[a ,b]上可积的充分必要条件是,对于任意分法,当0)(max 1→∆=≤≤i ni x λ时Darboux 大和与Darboux 小和的极限相等二、1、令31x t -=(2分)7468)1(31233913-=--=-⎰⎰-dt t t dx x x (5分) 2、222221,x a b y x a b y --=-+=,(2分)所求的体积为:b a dx y y aa2222212)(ππ=-⎰-(5分) 3、解:由于e n n n n n n nn 1])111(1))111()11(lim[(11=++⨯+++++∞→收敛半径为e 1(4分),当e x 1=时,)(01)1()1()11(2∞→≠→±+n e n n n n ,所以收敛域为)1,1(ee - (3分) 4、2)11(lim )11)(11()11)((lim11lim220022*******222200=+++=+++-++++++=-+++→→→→→→y x y x y x y x y x y x y x y x y x y x (7分)5、解: 设极坐标方程为4)2,1,2(.0)2,1,2(,2)2,1,2(-=-=-=-z y x f f f (4分)136)2,1,2(=-l f (3分)三、1、解、⎪⎩⎪⎨⎧=+≠+++-+=000)1cos 11(sin 22222222222y x y x y x y x y x x f x (4分)由于22221cos 1yx y x ++当趋于(0,0)无极限。
所以不连续,同理可的y f 也不连续,(2分) 2、解:11211ln lim 222=--+∞→n n n n (5分)∑∞=-1212n n 收敛,所以原级数收敛(5分)3、解:部分和1)(1+-=+n x x x S n n (3分),,0>∀ε 取⎥⎦⎤⎢⎣⎡=ε1N ,N n >时有ε<≤+=-+nn x x x S n n 11)(1,所以级数一致收敛(7分)四、证明题(每小题10分,共20分)1、证明:用反证法若结论不成立,则X x a X >∃∀>∃00,.,0ε ,使得00)(ε≥x f ,(3分)又因为在f (x )在[a ,∞)上一致连续函数,a x x >∀∈∃'''0,),1,0(δ,只要0'''δ<-x x ,有2)()(0'''ε<-x f x f ,(3分)于是1,00+=≥∀A X a A 令,取上述使00)(ε≥x f 的点,0X x >,不妨设0)(0>x f ,则对任意满足00δ<-x x 的x ,有022)()(00>≥->εεx f x f 取A 和A ‘分别等于20δ-x 和20δ+x ,则002)('δε>⎰A Adx x f 有,由Cauchy 收敛定理,⎰+∞adx x f )(不收敛,矛盾(4分)2、证明:D y x ∈∀),(00,由Lipschitz 条件),(),(),(),(),(),(000000y x f y x f y x f y x f y x f y x f -+-≤-),(),(0000y x f y x f y y L -+-≤(1),(6分)又由二元函数),(y x f 在开集2R D ⊂内对于变量x 是连续的,(1)式的极限为0,),(y x f 在),(00y x 连续,因此),(y x f 在D 内连续(4分)(二十二)数学分析期末考试题一 叙述题:(每小题5分,共15分)1 Darboux 和2 无穷限反常积分的Cauchy 收敛原理3 Euclid 空间二 计算题:(每小题7分,共35分)1、nn nn !lim+∞→ 2、求由下列两条曲线围成的平面图形的面积 3、dx x e I n x n ⎰+∞-=(n 是非负整数)4、设f xyz z y x f u ),,(222++=具有二阶连续偏导数,求xz u∂∂∂25、求xe xf =)(的幂级数展开式三 讨论与验证题:(每小题10分,共20分)1、讨论二元函数连续、偏可导、可微之间的关系。
对肯定的结论任选一进行证明;对否定的结论,给出反例2、讨论级数)0(cos 1π<<∑∞=x n nxn p的绝对和条件收敛性。
四 证明题:(每小题10分,共30分)1 f (x )在[0,+∞)上连续且恒有f (x )>0,证明⎰⎰=x xdtt f dt t tf x g 00)()()(在[0,+∞)上单调增加2 设正项级数∑∞=1n nx收敛,{}n x 单调减少,证明0lim =∞→nn nx3 yx yy x f +=2),(,证明:),(lim 00y x f y x →→不存在 参考答案一、1、有界函数)(x f 定义在],[b a 上,给一种分法P,b x x x a n =<<<= 10和记{}{}],[),(inf ,],[),(sup 11i i i i i i x x x f m x x x f M --==,则∑∑==∆=∆=ni ii ni i i x m P S x M P S 11)(,)(分别称为相应于分法P的Darboux 大和和Darboux 小和。
2、a N >∃>∀.0ε使得N n m >>∀,成立ε<⎰nmdx x f )(3、nR 向量空间上定义内积运算n n y x y x ++= 11y x,构成Euclid 空间二、1、由于1ln 1ln lim )ln )ln ((1lim !ln lim 1011-===-=⎰∑∑=∞→=∞→∞→xdx n n i n n i n n n n i n n i n nn (7分)2、解:两曲线的交点为(2,2),(0,0),(2分)所求的面积为:34)22(202=-⎰dx x x (5分) 3、 解:dx x e I n x n ⎰+∞-=0=+∞--0|xnex +dx x e n n x ⎰+∞--01=1-n nI dx x e n x ⎰-1+dx x e n x ⎰+∞-1(6分)!n I n =(1分)4、:xu∂∂=212yzf x f +(3分))2()2(22221212112xyf zf yz yf xyf zf x x z u ++++=∂∂∂(4分) 5、解: 由于余项)(0)!1()(1∞→→+≤+n x n e x r n xn ,(3分)所以++++=!!212n x x x e nx(4分)三、1、解、可微必可偏导和连续,证明可看课本133页(4分),可偏导不一定连续和可微例子可看课本135页(6分)2、解:当1>p 时,级数绝对收敛,(4分)当10≤<p ,由Dirichlet 定理知级数收敛,但p p p p n nx n n nx n nx 22cos 21cos cos 2+=≥,所以∑∞=1|cos |n pn nx 发散,即级数条件收敛(4分),当0≤p 时,级数的一般项不趋于0,所以级数不收敛(2分) 四、证明题(每小题10分,共30分)1 证明:0))(())()(()())(()()()()()(22'>-=-=⎰⎰⎰⎰⎰xxxx xdt t f dtt tf t xf x f dt t f dtt tf x f dt t f x xf x g (8分)所以函数单调增加(2分)2 证明:m n m >∀,,有m n m x x x m n <+<-+ 1)(由此得m n x mn nnx -<,(4分)由级数收敛,故0>∀ε可取定0m 使得ε<0m x ,又1lim=-∞→m n n n ,故0n ∃使得0n n >时,有2<-m n n,(4分)于是当0n n >时,有ε20<<n nx ,得证(2分)3、证明:1lim ),(lim 200=+=→=→x x xy x f x xy x 21lim ),(lim 222002=+=→=→x x x y x f x xy x ,所以),(lim 00y x f y x →→不存在(10分)(二十三)数学分析期末考试题一 叙述题:(每小题5分,共15分)1 微积分基本公式2 无穷项反常积分3 紧几合二 计算题:(每小题7分,共35分)1、]11[214042⎰⎰+++x dxt dt dx d x 2、求由下列两条曲线围成的平面图形的面积 3、求∑∞=+1)2(n nxn n 的收敛半径和收敛域4、设y e xe u z yz++=-,求偏导数和全微分5、xyxy y x 11lim-+→→三 讨论与验证题:(每小题10分,共30分)1 讨论22222)(),(y x y x y x y x f -+=的二重极限和二次极限2 讨论⎰e p xx dx10ln 的敛散性3、讨论函数项)10()(1≤≤-=+x xx x f n nn 的一致收敛性。