《高等数学II》第6章常微分方程练习题
- 格式:doc
- 大小:289.00 KB
- 文档页数:4
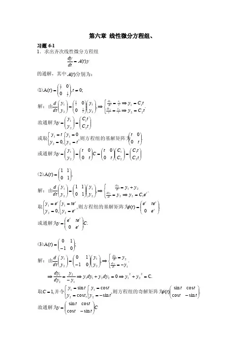
第六章 线性微分方程组、习题6-11.求出齐次线性微分方程组y t A dt dy)(=的通解,其中分别为:)(t A⎪⎪⎭⎫⎝⎛=⎪⎪⎭⎫ ⎝⎛⎪⎪⎭⎫ ⎝⎛=⎪⎪⎭⎫ ⎝⎛=⎪⎪⎭⎫ ⎝⎛=⎪⎪⎭⎫⎝⎛⎩⎨⎧==⎩⎨⎧==⎪⎪⎭⎫⎝⎛=⎪⎪⎭⎫ ⎝⎛=⎩⎨⎧=⇒==⇒=⇒⎪⎪⎭⎫ ⎝⎛⎪⎪⎭⎫ ⎝⎛=⎪⎪⎭⎫ ⎝⎛≠⎪⎪⎭⎫ ⎝⎛=t C t C C C t t C t t y y y t t ty y y t y t C t C y y y tC y t C y y y y y dt d t t t y t dy t y dt dy t t t t 212121212121212211211121110000.00,0,0.,00;0,00)(A .12211或通解为则方程组的基解矩阵为或取故通解为解:由)( .0.0)(,,0.,1011,1011)(A .2212112221212121C e te e y e te e t ey te y y e y eC y y y y y y y y dt d t t t t t tt t t t t dt dy dt dy ⎪⎪⎭⎫⎝⎛=⎪⎪⎭⎫⎝⎛=⎩⎨⎧==⎩⎨⎧==⎩⎨⎧=⇒=+=⇒⎪⎪⎭⎫ ⎝⎛⎪⎪⎭⎫ ⎝⎛=⎪⎪⎭⎫ ⎝⎛⎪⎪⎭⎫⎝⎛=或通解为则方程组的基解矩阵为取解:由)(φCt t t t y t t t t t ty t y t y t y C y y dy y dy y y y dy dy y y y y y y dt d t dt dy dt dy ⎪⎪⎭⎫⎝⎛-=⎪⎪⎭⎫⎝⎛-⎩⎨⎧-==⎩⎨⎧====+⇒=+⇒-=⇒⎩⎨⎧-==⇒⎪⎪⎭⎫ ⎝⎛⎪⎪⎭⎫ ⎝⎛-=⎪⎪⎭⎫ ⎝⎛⎪⎪⎭⎫⎝⎛-=sin cos cos sin .sin cos cos sin )(,sin cos ,cos sin ,1.C 0.,0110;0110)(A .3212122212211122112212121故通解为则方程组的奇解矩阵为并令取解:由)(φ.0000.021000,,1,0,0,,0C ()()(..)()(,001010100,001010100)(A .4321212121313123212223213311133111223321⎪⎪⎪⎭⎫ ⎝⎛+⎪⎪⎪⎭⎫ ⎝⎛-+⎪⎪⎪⎭⎫ ⎝⎛=⎪⎪⎪⎭⎫⎝⎛⎪⎪⎪⎭⎫ ⎝⎛-⎪⎪⎪⎭⎫ ⎝⎛≠=-⎪⎪⎪⎭⎫⎝⎛⎪⎪⎪⎭⎫ ⎝⎛-⎪⎪⎪⎭⎫ ⎝⎛====⎩⎨⎧-==⎩⎨⎧==±=⇒=⇒=+=⇒=⇒=⇒⎭⎬⎫⎪⎩⎪⎨⎧---==⇒=---=⇒⎪⎪⎪⎭⎫ ⎝⎛=⎪⎪⎪⎭⎫ ⎝⎛=----------t t t t t t t t t t t t t t ttt t t tttt t t t t t t ttt t t dt dy tdt dy dtdy e e e C e e C e e C y e e e e e e e e e e e e e e e e e e e e e e e y C y C e y e y e y e y y y y y C y y dy y dy y y y dy dy b a b y eC y y a y y dt dy t 故通解为线性无关即为方程祖的三个解。
计 算 题(每题10分)1、求解微分方程2'22x y xy xe -+=。
2、试用逐次逼近法求方程2y x dxdy+=通过点(0,0)的第三次近似解. 3、求解方程'2x y y y e -''+-=的通解4、求方程组dx dt ydydtx y ==+⎧⎨⎪⎩⎪2的通解5、求解微分方程'24y xy x +=6、试用逐次逼近法求方程2y x dxdy-=通过点(1,0)的第二次近似解。
7、求解方程''+-=-y y y e x '22的通解8、求方程组dxdt x ydydtx y =+=+⎧⎨⎪⎩⎪234的通解9、求解微分方程xy y x '-2=24 10、试用逐次逼近法求方程2y x dxdy-=通过(0,0)的第三次近似解. 11、求解方程''+-=-y y y e x '24的通解12、求方程组dxdtx y dydtx y =+=+⎧⎨⎪⎩⎪2332的通解13、求解微分方程x y y e x (')-=14、试用逐次逼近法求方程22x y dxdy+=通过点(0,0)的第三次逼近解. 15、求解方程''+-=--y y y e x '22的通解16、求解方程x e y y y -=-+''32 的通解17、求方程组⎪⎩⎪⎨⎧-+=-+=yx dt dydtdx x y dt dy dt dx243452的通解 18、解微分方程22(1)(1)0x y dx y x dy -+-= 19、试用逐次逼近法求方程2dyx y dx=-满足初始条件(0)0y =的近似解:0123(),(),(),()x x x x ϕϕϕϕ.20、利用逐次逼近法,求方程22dyy x dx=-适合初值条件(0)1y =的近似解:012(),(),()x x x ϕϕϕ。
高等数学题库常微分方程第6章常微分方程习题一一、填空题: 1、微分方程1sin 2=+''-'''x y y 的阶数为__________。
2、设某微分方程的通解为()xex c c y 221+=,且00==x y,10='=x y 则___________1=c ,_____________2=c 。
3、通解为xce y =(c 为任意常数)的微分方程是___________。
4、满足条件()()=+?dx x f x f x2的微分方程是__________。
5、 y y x 4='得通解为__________。
6、1+=y dxdy的满足初始条件()10=y 的特解为__________。
7、设()n c c c x y y =,,,21是微分方程12=+'-'''y y x y 的通解,则任意常数的个数__________=n 。
8、设曲线()x y y =上任意一点()y x ,的切线垂直于该点与原点的连线,则曲线所满足的微分方程为___________。
二、求下列微分方程满足初始条件的特解: 1、y y x y ln sin =',e y x ==2π2、()0sin 1cos =-+-ydy e ydx x ,40π==x y3、yx ey -='2,00==x y4、xdx y xdy y sin cos cos sin =,4π==x y三、求下列微分方程得通解:1、1222+='y y y x 2、2211y y x -='-3、0ln =-'y y y x4、by ax e dx dy+= 5、022=---'x y y y x 6、xy y dx dy x ln = 四、验证函数xe c x c y 21+=是微分方程()01=-'+''-y y x y x 的通解,并求满足初始条件1,100='-===x x y y的特解。
常微分方程习题及解答一、问答题:1.常微分方程和偏微分方程有什么区别?微分方程的通解是什么含义?答:微分方程就是联系着自变量,未知函数及其导数的关系式。
常微分方程,自变量的个数只有一个。
偏微分方程,自变量的个数为两个或两个以上。
常微分方程解的表达式中,可能包含一个或几个任意常数,若其所包含的独立的任意常数的个数恰好与该方程的阶数相同,这样的解为该微分方程的通解。
2.举例阐述常数变易法的基本思想。
答:常数变易法用来求线性非齐次方程的通解,是将线性齐次方程通解中的任意常数变易为待定函数来求线性非齐次方程的通解。
例:求()()dyP x y Q x dx=+的通解。
首先利用变量分离法可求得其对应的线性齐次方程的通解为()P x dxy c ⎰=l ,然后将常数c 变易为x 的待定函数()c x ,令()()P x dxy c x ⎰=l ,微分之,得到()()()()()P x dxP x dx dy dc x c x P x dx dx⎰⎰=+l l ,将上述两式代入方程中,得到 ()()()()()()()()()P x dxP x dx P x dxdc x c x P x dx c x P x Q x ⎰⎰+⎰=+l l l即()()()P x dx dc x Q x dx-⎰=l 积分后得到()()()P x dxc x Q x dx c -⎰=+⎰%l 进而得到方程的通解()()(())P x dxP x dxy Q x dx c -⎰⎰=+⎰%l l3.高阶线性微分方程和线性方程组之间的联系如何?答:n 阶线性微分方程的初值问题()(1)11(1)01020()...()()()(),(),....()n n n n n nx a t xa t x a t x f t x t x t x t ηηη---'⎧++++=⎪⎨'===⎪⎩ 其中12()(),...(),()n a t a t a t f t ,是区间a tb ≤≤上的已知连续函数,[]0,t a b ∈,12,,...,n ηηη是已知常数。
高数答案(全集)第六章参考答案第六章常微分方程1. (1) b,c,d (2) a,c (3) b,d2. (1) 二阶,线性 (2) 一阶,非线性 (3) 一阶,非线性 (4) 一阶,非线性3. (1)-(3)均为微分方程0222=+y dxy d ω的解,其中(2) (3)为通解 4. (1)将变量分离,得dx ydy cos 2= 两边积分得 c x y +=-sin 1通解为,sin 1c x y +-=此外,还有解0=y(2)分离变量,得dx x x y y d xx dx dy y y )111(1)1(2112222+-=+++=+或两边积分,得cx x y ln )1ln(ln )1ln(212++-=+即(1+ 2y )(1+ x)2=c 1 2x(3)将变量分离,得1122=-+-yydy xxdx积分得通解21x -+)20(12还有使因子21x -?012=-y 的四个解.x=(±)11 y -, y=(±)11 x - (4)将方程改写为(1+y 2)ex2dx-[]0)1( )e y +(1y=+-dy yex2dx=dy y y ??++-2y11 (e 积分得--=y e e y x arctan 212)1ln(212y +-21(5)令 z=x+y+1,z dx dz sin 1+=分解变量得到dx zdz=+sin 1………………(*) 为了便于积分,用1-sinz 乘上式左端的分子和分母,得到dz z z z se dz zzdz z z )tan sec (cos sin 1sin 1sin 1222-=-=-- 将(*)两端积分得到tanz-secz=x+c22z-∏)=x+c,将z 换为原变量,得到原方程的通解 X+c=-tan(214++-∏y x )6.令y=ux,则dy=udx+xdu 代入原方程得x 2( u 2-3)(udx+xdu)+2 x 2udx=0分离变量得du x dx 1)-u(u u 22-=,即得y 3=c(2y -2x ) 7. 令xy u =,则原方程化为dx x udu 1=,解得c x u ==ln 212,即,ln 2222cx x x y +=由定解条件得4=c ,故所求特解为,ln 4222x x x y +=8. 将方程化为x y xyy +-='2)(1,令x yu =,得,u u x y +'=代入得dx x du u 1112=- 得c x u ln ln arcsin +=,cx xyln arcsin= 9.化为x e x y dx dy x =+,解得)(1xe c xy +=,代入e y =)1(得0=c 特解x e y x = 10.由公式得1)()(-+=-x ce y x ??11.化为x y x y dx dy ln 2=+为贝努里方程令xyu =,则原方程化为dx dy y dx du 2--= 代入方程的x u x dx du ln 1-=-用公式求得])(ln 21[2x c x u -=解得12])(ln 21[1--=x c x y 另为,0=y 也是原方程的解 12.为贝努里方程令x yu =,则原方程化为322x xu dx du -=+用公式求得122+-=-x ce u x解得1122+-=-x cey x13.23x y yx dx dy =-将上式看成以y 为自变量的贝努里方程令x z 1=有3y yz dxdy-=- 22212+-=-y ce z y ,得通解1)2(2212=+--y cex y14.令x y N x y M +-=-=4,32有xNy M ??==??1,这是全微分方程0=duxy x y dy x y dx x y u y x +--=---=?32),()0,0(22)4()3(,即方程得通解为c y x xy =--232 15.化为0122=+-+xdx yx xdy ydx ,得通解为c x xy xy =+-+211ln 16.该方程有积分因子221y x +,)(arctan ))ln(21(2222x y d y x d y x ydx xdy xdy ydx ++=+-++ 17.1c e xe dx e xe e xd dx xe y xx x xx x+-=-==='?21211)2()(c x c x e c e xe x c e dx c e xe y x x x x x x ++-=+-++-=+-=?18.xx x dx x x y x1ln 32ln 12--=+=''? 2ln ln 213)1ln 3(21---=--='?x x x dx x x x y x 21ln 2223)2ln ln 213(2212+--=---=?x x x x dx x x x y x19.令y z '=,则xz z =-',xx x dxdx e c x c e x e c dx xe e z 111)1(])1([][++-=++-=+??=--?即x e c x y 1)1(++-='得2121c e c x y x ++--=20.令p y =',则dy dp p dx dy dy dp dx dp y =?==''所以0)(2323=+-=+-p p dy dp y p p p dy dp p y 则得p=0或02=+-p p dy dp y,前者对应解,后者对应方程y dy p p dp =-)1(积分得y c pp11=-即y c y c p dx dy 111+==两边积分得21||ln c x y c y '+='+,因此原方程的解是21||ln c x y c y '+='+及y=c 。
习 题 6-11. 求出齐次线性微分方程组 y t A dtdy )(=的通解,其中A (t )分别为: (1)⎪⎪⎭⎫ ⎝⎛=1011)(t A ;(2)⎪⎪⎭⎫ ⎝⎛-=0110)(t A ;(3)⎪⎪⎪⎭⎫ ⎝⎛=000010100)(t A 。
(1)方程组的分量形式为:211y y dt dy += ,22y dtdy = 从后一式容易求出2y 的通解为 t ke y =2 ,其中K 为任意常数,可分别取02=y 和 t e y =2,代入前一式得到两个相应的特解,t e y =1和 t te y =2这样就求得方程组的一个解矩阵为()0tt t e te t e ⎛⎫Φ= ⎪⎝⎭又 2det ()0t t e Φ=≠ 。
因此,)(t Φ是方程组的一个基解矩阵,根据定理6.1 ,方程的通解为⎪⎪⎭⎫ ⎝⎛+⎪⎪⎭⎫ ⎝⎛=⎪⎪⎭⎫ ⎝⎛t t t e te c e c y y 21210(2)方程的分量形式为 ⎪⎩⎪⎨⎧-==1221y dtdy y dt dy 由①、②可和 21120d y y dt += 由观察法知,t y cos 1=,t y sin 1=为此方程的两个特解,将其代入②式可得两个相应的特解,将其代入②式可得两个相应的特解:2sin y t =-,2cos y t =。
这样就求得方程组的一个解矩阵为 cos int ()int cos t s t s t ⎛⎫Φ= ⎪-⎝⎭又 []01)(det ≠=Φ=t ,因此)(t Φ中方程组的一个基解矩阵。
故方程组的通解为1122cos int int cos y t s c c y s t ⎛⎫⎛⎫⎛⎫=+ ⎪ ⎪ ⎪-⎝⎭⎝⎭⎝⎭ ① ②(3)程组的分量形式为:⎪⎩⎪⎨⎧='='='132231y y y y y y 解 ①+③得3131)(y y y y dtd +=+ 解 ①-③得 1313()d y y y y dt -=- 解之得 131132 t t y y ke y y k e --+=-=由④、⑤可得 ()()⎪⎩⎪⎨⎧-=-=+=+=----tt t t t t t t e c e c e k e k y e c e c e k e k y 312.133******** 又由②得 t e c y 22=由此可求得方程组的一个解矩阵⎪⎪⎪⎭⎫ ⎝⎛-=Φ--t t t t te e e e e t 0000)( 显然,[]0)(det ≠-=Φt ze t ,因此)(t Φ是方程组的一个基解矩阵,故方程组的通解为⎪⎪⎪⎭⎫ ⎝⎛-+⎪⎪⎪⎭⎫ ⎝⎛+⎪⎪⎪⎭⎫ ⎝⎛=⎪⎪⎪⎭⎫ ⎝⎛--t t t e t e e c e c e e c y y y 00003213213.试证向量函数组 ⎪⎪⎪⎭⎫ ⎝⎛001 ,⎪⎪⎪⎭⎫ ⎝⎛00x ,⎪⎪⎪⎭⎫ ⎝⎛002x 在任意区间 b x a <<上线性相关,则存在不全为零的三个常数 321,,c c c 使得,000000012321=⎪⎪⎪⎭⎫ ⎝⎛+⎪⎪⎪⎭⎫ ⎝⎛+⎪⎪⎪⎭⎫ ⎝⎛x c x c c 即 b x a x c x c c <<=++02321①而①式之左端是一个不高于二次的多项式,它最多只可能有二个零点,同此这与①式在b x a <<上恒等于零矛盾,从而得证。
微分方程习题课基本概念基本概念一阶方程一阶方程类型1.直接积分法2.可分离变量3.齐次方程4.可化为齐次方程5.线性方程类型1.直接积分法2.可分离变量3.齐次方程4.可化为齐次方程5.线性方程7.伯努利方程7.伯努利方程可降阶方程可降阶方程线性方程解的结构定理1;定理2定理3;定理4线性方程解的结构定理1;定理2定理3;定理4欧拉方程欧拉方程二阶常系数线性方程解的结构二阶常系数线性方程解的结构特征方程的根及其对应项特征方程的根及其对应项f(x)的形式及其特解形式f(x)的形式及其特解形式高阶方程高阶方程待定系数法特征方程法一、主要内容微分方程解题思路一阶方程一阶方程高阶方程高阶方程分离变量法分离变量法全微分方程全微分方程常数变易法常数变易法特征方程法特征方程法待定系数法待定系数法非全微分方程非变量可分离非全微分方程非变量可分离幂级数解法幂级数解法降阶作变换作变换积分因子1、基本概念微分方程凡含有未知函数的导数或微分的方程叫微分方程.微分方程的阶微分方程中出现的未知函数的最高阶导数的阶数称为微分方程的阶.微分方程的解代入微分方程能使方程成为恒等式的函数称为微分方程的解.通解如果微分方程的解中含有任意常数,并且任意常数的个数与微分方程的阶数相同,这样的解叫做微分方程的通解.特解确定了通解中的任意常数以后得到的解,叫做微分方程的特解.初始条件用来确定任意常数的条件.初值问题求微分方程满足初始条件的解的问题,叫初值问题.dxx f dy y g )()(=形如(1) 可分离变量的微分方程解法∫∫=dx x f dy y g )()(分离变量法2、一阶微分方程的解法)(x yf dx dy =形如(2) 齐次方程解法xyu =作变量代换)(111c y b x a c by ax f dxdy++++=形如齐次方程.,01时当==c c ,令k Y y h X x +=+=,(其中h 和k 是待定的常数)否则为非齐次方程.(3) 可化为齐次的方程解法化为齐次方程.)()(x Q y x P dxdy=+形如(4) 一阶线性微分方程,0)(≡x Q 当上方程称为齐次的.上方程称为非齐次的.,0)(≡x Q 当齐次方程的通解为.)(∫=−dxx P Cey (使用分离变量法)解法非齐次微分方程的通解为∫+∫=−∫dx x P dx x P eC dx e x Q y )()(])([(常数变易法)(5) 伯努利(Bernoulli)方程nyx Q y x P dxdy )()(=+形如)1,0(≠n 方程为线性微分方程.时,当1,0=n 方程为非线性微分方程.时,当1,0≠n解法需经过变量代换化为线性微分方程.,1nyz −=令.))1)((()()1()()1(1∫+∫−∫==−−−−c dx e n x Q ez ydxx P n dxx P n n),(),(=+dy y x Q dx y x P 其中dyy x Q dx y x P y x du ),(),(),(+=形如(6) 全微分方程xQ y P ∂∂=∂∂⇔全微分方程注意:解法¦应用曲线积分与路径无关.∫∫+=yy xx dyy x Q x d y x P y x u 0),(),(),(0,),(),(00x d y x P dy y x Q xx yy ∫∫+=.),(c y x u =§用直接凑全微分的方法.通解为3、可降阶的高阶微分方程的解法解法),(x P y =′令特点.y 不显含未知函数),()2(y x f y ′=′′型)()1()(x f yn =接连积分n 次,得通解.型解法代入原方程, 得)).(,(x P x f P =′,P y ′=′′),(x P y =′令特点.x 不显含自变量),()3(y y f y ′=′′型解法代入原方程, 得).,(P y f dydpP =,dydp P y =′′4、线性微分方程解的结构(1)二阶齐次方程解的结构:)1(0)()(=+′+′′y x Q y x P y 形如定理1 如果函数)(1x y 与)(2x y 是方程(1)的两个解,那末2211y C y C y +=也是(1)的解.(21,C C 是常数)定理2:如果)(1x y 与)(2x y 是方程(1)的两个线性无关的特解, 那么2211y C y C y +=就是方程(1)的通解.(2)二阶非齐次线性方程的解的结构:)2()()()(x f y x Q y x P y =+′+′′形如定理 3 设*y 是)2(的一个特解, Y 是与(2)对应的齐次方程(1)的通解, 那么*y Y y +=是二阶非齐次线性微分方程(2)的通解.定理4 设非齐次方程(2)的右端)(x f 是几个函数之和, 如)()()()(21x f x f y x Q y x P y +=+′+′′而*1y 与*2y 分别是方程,)()()(1x f y x Q y x P y =+′+′′ )()()(2x f y x Q y x P y =+′+′′的特解, 那么*2*1y y +就是原方程的特解.5、二阶常系数齐次线性方程解法)(1)1(1)(x f y P y P yP yn n n n =+′+++−−L 形如n 阶常系数线性微分方程=+′+′′qy y p y 二阶常系数齐次线性方程)(x f qy y p y =+′+′′二阶常系数非齐次线性方程解法由常系数齐次线性方程的特征方程的根确定其通解的方法称为特征方程法.2=++q pr r 0=+′+′′qy y p y 特征根的情况通解的表达式实根21r r ≠实根21r r =复根βαi r±=2,1xr x r eC e C y 2121+=xr ex C C y 2)(21+=)sin cos (21x C x C e y xββα+=特征方程为1)1(1)(=+′+++−−y P y P yP yn n n n L 特征方程为0111=++++−−n n n nP r P r P r L 特征方程的根通解中的对应项rk 重根若是rxk k exC x C C )(1110−−+++L β±αj k 复根重共轭若是xk k k k ex xD x D D x xC x C C α−−−−β++++β+++]sin )(cos )[(11101110L L 推广:阶常系数齐次线性方程解法n6、二阶常系数非齐次线性微分方程解法)(x f qy y p y =+′+′′二阶常系数非齐次线性方程型)()()1(x P e x f m xλ=解法待定系数法.,)(x Q e x y m xkλ=设⎪⎩⎪⎨⎧=是重根是单根不是根λλλ2,10k型]sin )(cos )([)()2(x x P x x P e x f n l xωωλ+=],sin )(cos )([)2()1(x x R x x R e x y mmxkωωλ+=设次多项式,是其中m x R x R mm)(),()2()1({}n l m ,max =⎩⎨⎧±±=.1;0是特征方程的单根时不是特征方程的根时ωλωλj j k7、欧拉方程欧拉方程是特殊的变系数方程,通过变量代换可化为常系数微分方程.x t e x tln ==或)(1)1(11)(x f y p y x p yxp yx n n n n n n =+′+++−−−L 的方程(其中n p p p L 21,形如叫欧拉方程.为常数),二、典型例题.)cos sin ()sin cos (dy x yx x y y x dx x y y x y x y −=+求通解例1解原方程可化为),cos sin sin cos (xyx y x y x yx y x y x y dx dy −+=,xyu =令.,u x u y ux y ′+=′=代入原方程得),cos sin sin cos (uu u uu u u u x u −+=′+,cos 2cos sin x dx du u u uu u =−分离变量两边积分,ln ln )cos ln(2C x u u +=−,cos 2xCu u =∴,cos 2x C x y x y =∴所求通解为.cos C xy xy =.32343y x y y x =+′求通解例2解原式可化为,32342y x y xy =+′,3223134x y x y y =+′−−即,31−=y z 令原式变为,3232x z xz =+′−,322x z x z −=−′即对应齐方通解为,32Cx z =一阶线性非齐方程伯努利方程,)(32x x C z =设代入非齐方程得,)(232x x x C −=′,73)(37C x x C ′+−=∴原方程的通解为.73323731x C x y ′+−=−利用常数变易法.212yy y ′+=′′求通解例3解.x 方程不显含,,dy dPP y P y =′′=′令代入方程,得,212y P dydP P +=,112y C P =+解得,,11−±=∴y C P ,11−±=y C dxdy即故方程的通解为.12211C x y C C +±=−.1)1()1(,2=′=−=+′−′′y y e xe y y y xx 求特解例4解特征方程,0122=+−r r 特征根,121==r r 对应的齐次方程的通解为.)(21xe x C C Y +=设原方程的特解为,)(2*xe b ax x y +=,]2)3([)(23*xe bx x b a ax y +++=′则,]2)46()6([)(23*xe b x b a x b a ax y +++++=′′代入原方程比较系数得将)(,)(,***′′′y y y ,21,61−==b a 原方程的一个特解为,2623*xx e x e x y −=故原方程的通解为.26)(2321x x xe x e x e x C C y −++=,1)1(=y Q ,1)31(21=−+∴e C C ,]6)1()([3221xe x x C C C y +−++=′,1)1(=′y Q ,1)652(21=−+∴e C C ,31121+=+e C C ,651221+=+e C C 由解得⎪⎩⎪⎨⎧−=−=,121,61221e C e C 所以原方程满足初始条件的特解为.26])121(612[23x x xe x e x e x e e y −+−+−=).cos (x x y y 2214+=+′′求解方程例5解特征方程,042=+r 特征根,22,1i r ±=对应的齐方的通解为.2sin 2cos 21x C x C Y +=设原方程的特解为.*2*1*y y y +=,)1(*1b ax y +=设,)(*1a y =′则,0)(*1=′′y ,得代入x y y 214=+′′,x b ax 2144=+由,04=b ,214=a 解得,0=b ,81=a ;81*1x y =∴),2sin 2cos ()2(*2x d x c x y +=设,2sin )2(2cos )2()(*2x cx d x dx c y −++=′则,2sin )44(2cos )44()(*2x dx c x cx d y +−−=′′,得代入x y y 2cos 214=+′′故原方程的通解为.2sin 81812sin 2cos 21x x x x C x C y +++=,2cos 212sin 42cos 4x x c x d =−由,04=−c ,214=d 即,81=d ,0=c ;2sin 81*2x x y =∴.)(),(1)()(2此方程的通解(2)的表达式;(1),试求:的齐次方程有一特解为,对应有一特解为设x f x p x xx f y x p y =′+′′例6解(1)由题设可得:⎪⎩⎪⎨⎧=−+=+),()1)((2,02)(223x f xx p x x x p 解此方程组,得.)(,)(331x x f xx p =−=(2)原方程为.313x y x y =′−′′,的两个线性无关的特解程是原方程对应的齐次方显见221,1x y y ==是原方程的一个特解,又xy 1*=由解的结构定理得方程的通解为.1221xx C C y ++=例7求微分方程()423d d 0y x y xy x −+=解原方程变形为23d 3,d x x x y y y−=−即223d 62,d x x y y y−=−此是关于函数的一阶线性非齐次微分方程,()2x f y =的通解.由求解公式得66d d 23e 2ed y y y yx y y C −⎛⎞∫∫=−+⎜⎟⎜⎟⎝⎠∫6463d 2.y y C y Cy y ⎛⎞=−+=+⎜⎟⎝⎠∫再作变换则有方程1,z u −=例8求解方程2d cos cos sin sin .d y y x y y x−=解令则原式为sin ,u y =2d cos .d u u x u x−=⋅此方程为伯努利方程,d cos .d zz x x+=−由积分公式, 得该方程的通解为()1sin cos e .2xz x x C −=−++从而得到原方程的通解()11sin sin cos e .2x y x x C −⎡⎤=−++⎢⎥⎣⎦⑵证明当时满足不等式例9设在时所定义的可微函数满足条件1x>−()g x ()()()()01d 0,011xg x g x g t t g x ′+−==+∫⑴求(),g x ′()e1.xg x −≤≤证⑴原方程变形为()()()()01d .xx g x g x g t t ′++=⎡⎤⎣⎦∫两端求导, 得()g x 0x ≥()()()()()()1,x g x g x g x g x g x ′′′′++++=⎡⎤⎣⎦令则原方程化为(),g x p ′=()()d 120,d px x p x +++=由条件所设即方程⑴()()001,g g ′=−=−01,x p ==−即2d ,1dp x x p x +=−+⑴()1e .1xg x p x −′==−+两端积分, 并由初始条件, 得⑵函数在上满足拉格郎日中值定理的条件, ()g x []0,x ()()()()()e 000,0,1g x g g x x x x ξξξξ−′−=−=−><<+从而有故当时, 又当()()01,g x g <=() 1.g x ≤0x ≥()()1ee e 0,1x x xf xg x x −−−′′=+=−≥+所以当时单调增加, 于是()f x 0x ≥因此时, 令则()()e ,xf xg x −=−()()()()e0010,x f x g x f g −=−≥=−=即综合以上得, 当时有,()e .x g x −≥0x ≥()e 1.x g x −≤≤例12 设()()()0sin d ,x f x x x t f t t =−−∫().f x 解因()()()00sin d d ,x xf x x xf t t tf t t =−+∫∫两边求导, 得()()()()0cos d xf x x f t t xf x xf x ′=−−+∫()0cos d ,xx f t t =−∫再次求导, 得()f x 其中为连续函数, 求()()sin ,f x x f x ′′=−−即()()sin .f x f x x ′′+=−并有初始条件对应的齐次方程的通()()00,0 1.f f ′==12sin cos .y C x C x =+设非齐次方程的特解是()*sin cos ,y x a x b x =+解是由待定系数法得10,.2a b ==121sin cos cos .2y C x C x x x =++由初始条件, 得121,0,2C C ==()11sin cos .22f x x x x =+即即原方程的通解为。
常微分方程试题一、填空题(每小题3分,共39分)1.常微分方程中的自变量个数是________.2.路程函数S(t)的加速度是常数a,则此路程函数S(t)的一般形式是________.3.微分方程=g( )中g(u)为u的连续函数,作变量变换________,方程可化为变量分离方程.4.微分方程F(x,y′)=0中令P=y′,若x、P平面上的曲线F(x,P)=0的参数形式为x= (t),P=ψ(t),t为参数,则方程参数形式的通解为________.5.方程=(x+1)3的通解为________.6.如果函数f(x,y)连续,y= (x)是方程=f(x,y)的定义于区间x0≤x≤x0+h上,满足初始条件 (x0)=y0的解.则y= (x)是积分方程________定义于x0≤x≤x0+h 上的连续解.7.方程=x2+xy,满足初始条件y(0)=0的第二次近似解是________.8.方程+a1(t) +…+a n-1(t) +a n(t)x=0中a i(t) i=1,2,…,n是〔a,b〕上的连续函数,又x1(t),x2(t),…,x n(t)为方程n 个线性无关的解,则其伏朗斯基行列式W(t) 应具有的性质是:________.9.常系数线性方程x(4)(t)-2x″(t)+x(t)=0的通解为________.10.设A(t)是区间a≤t≤b上的连续n×n矩阵,x1(t),x2(t),…,x n(t)是方程组x′=A(t)x的n个线性无关的解向量.则方程组的任一解向量x(t)均可表示为:x(t)=________的形式.11.初值问题(t)+2x″(t)-tx′(t)+3x(t)=e-t,x(1)=1,x′(1)=2,x″(1)=3 可化为与之等价的一阶方程组________.12.如果A是3×3的常数矩阵,-2为A的三重特征值,则方程组x′=Ax的基解矩阵exp A t=________.13.方程组的奇点类型是________.二、计算题(共45分)1.(6分)解方程= .2.(6分)解方程x″(t)+ =0.3.(6分)解方程(y-1-xy)dx+xdy=0.4.(6分)解方程5.(7分)求方程:S″(t)-S(t)=t+1满足S(0)=1, (0)=2的解.6.(7分)求方程组的基解矩阵Φ(t).7.(7分)验证方程:有奇点x1=1, x2=0,并讨论相应驻定方程的解的稳定性.三、证明题(每小题8分,共16分)1.设f(x,y)及连续,试证方程dy-f(x,y)dx=0为线性方程的充要条件是它有仅依赖于x的积分因子.2.函数f(x)定义于-∞<x<+∞,且满足条件|f(x1)-f(x2)|≤N|x1-x2|,其中0<N<1,证明方程x=f(x)存在唯一的一个解.常微分方程试题参考答案一、填空题(每小题3分,共39分)1.12. 2+c1t+c23.u=4. c为任意常数5.y= (x+1)4+c(x+1)26.y=y0+7. (x)=8.对任意t9.x(t)=c1e t+c2te t+c3e-t+c4te-t10.x(t)=c1x1(t)+c2x2(t) +c n x n(t)11. x1(1)=1,x2(1)=2, x3(1)=312.expAt=e-2t[E+t(A+2E)+ ]13.焦点二、计算题(共45分)1.解:将方程分离变量为改写为等式两边积分得y-ln|1+y|=ln|x|-即y=ln 或e y=2.解:令则得=0当0时-arc cosy=t+c1y=cos(t+c1) 即则x=sin(t+c1)+c2当=0时y= 即x3.解:这里M=y-1-xy, N=x令u=xye-xu关于x求偏导数得与Me-x=ye-x-e-x-xye-x 相比有则因此u=xye-x+e-x方程的解为xye-x+e-x=c4.解:方程改写为这是伯努利方程,令z=y1-2=y-1 代入方程得解方程z==于是有或5.特征方程为特征根为对应齐线性方程的通解为s(t)=c1e t+c2e-tf(t)=t+1, 不是特征方程的根从而方程有特解=(At+B),代入方程得-(At+B)=t+1两边比较同次幂系数得A=B=-1故通解为S(t)=c1e t+c2e-t-(t+1)据初始条件得c1=因此所求解为:S(t)=6.解:系数矩阵A=则,而det特征方程det( )=0, 有特征根对对对因此基解矩阵7.解:因故x1=1,x2=0是方程组奇点令X1=x1-1, X2=x2, 即x1=X1+1,x2=X2代入原方程,得化简得*这里R(X)= , 显然(当时)方程组*中,线性部分矩阵det(A- )=由det(A- )=0 得可见相应驻定解渐近稳定三、证明题(每小题8分,共16分)1.证明:若dy-f(x,y)dx=0为线性方程则f(x,y)=因此仅有依赖于x的积分因子反之,若仅有依赖于x的积分因子。
1 常微分方程一、填空题1.微分方程0)(22=+-+x y dxdy dx dy n 的阶数是____________ 答:12.若),(y x M 和),(y x N 在矩形区域R 内是),(y x 的连续函数,且有连续的一阶偏导数,则方程0),(),(=+dy y x N dx y x M 有只与y 有关的积分因子的充要条件是_________________________答:)()1)((y Mx N y M φ=-∂∂-∂∂3._________________________________________ 称为齐次方程.答:形如)(x y g dx dy =的方程4.如果),(y x f ___________________________________________ ,则),(y x f dxdy =存在唯一的解)(x y ϕ=,定义于区间h x x ≤-0上,连续且满足初始条件)(00x y ϕ=,其中=h _______________________ .答:在R 上连续且关于y 满足利普希兹条件),min(mb a h =5.对于任意的),(1y x ,),(2y x R ∈(R 为某一矩形区域),若存在常数)0(>N N 使______________________ ,则称则称),(y x f 在R 上关于y 满足利普希兹条件.答:2121),(),(y y N y x f y x f -≤-6.方程22y x dxdy +=定义在矩形区域R :22,22≤≤-≤≤-y x 上,则经过点)0,0(的解的存在区间是___________________ 答:4141≤≤-x 7.若),.....2,1)((n i t x i=是齐次线性方程的n 个解,)(t w 为其伏朗斯基行列式,则)(t w 满足一阶线性方程___________________________________答:0)(1'=+w t a w8.若),.....2,1)((n i t x i =为齐次线性方程的一个基本解组,)(t x 为非齐次线性方程的一个特解,则非齐次线性方程的所有解可表为_____________________答:x x c x n i i i +=∑=1 9.若)(x ϕ为毕卡逼近序列{})(x n ϕ的极限,则有≤-)()(x x n ϕϕ __________________答:1)!1(++n nh n ML 10.______________________称为黎卡提方程,若它有一个特解)(x y ,则经过变换,则经过变换 ___________________ ,可化为伯努利方程.,可化为伯努利方程.答:形如)()()(2x r y x q y x p dxdy ++=的方程的方程 y z y += 11.一个不可延展解的存在区间一定是.一个不可延展解的存在区间一定是 区间.区间.答:开答:开12.方程1d d +=y x y 满足解的存在唯一性定理条件的区域是满足解的存在唯一性定理条件的区域是. 答:}0),{(2>∈=y R y x D ,(或不含x 轴的上半平面)轴的上半平面)13.方程y x x ysin d d 2=的所有常数解是的所有常数解是 .答:Λ,2,1,0,±±==k k y π14.函数组)(,),(),(21x x x n ϕϕϕΛ在区间I 上线性无关的上线性无关的 条件是它们的朗斯基行列式在区间I 上不恒等于零.上不恒等于零.答:充分答:充分15.二阶线性齐次微分方程的两个解)(),(21x y x y 为方程的基本解组充分必要条件是 .答:线性无关(或:它们的朗斯基行列式不等于零)答:线性无关(或:它们的朗斯基行列式不等于零)16.方程02=+'-''y y y 的基本解组是的基本解组是 .答:x x x e ,e17.若)(x y ϕ=在),(∞+-∞上连续,则方程y x xy )(d d ϕ=的任一非零解的任一非零解 与x 轴相交.轴相交.答:不能答:不能18.在方程0)()(=+'+''y x q y x p y 中,如果)(x p ,)(x q 在),(∞+-∞上连续,那么它的任一非零解在xoy 平面上平面上 与x 轴相切.轴相切.答:不能答:不能19.若)(),(21x y x y ϕϕ==是二阶线性齐次微分方程的基本解组,则它们则它们 共同零点.零点.答:没有答:没有20.方程21d d y xy -=的常数解是的常数解是 . 答:1±=y21.向量函数组)(,),(),(21x x x n Y Y Y Λ在其定义区间I 上线性相关的上线性相关的 条件是它们的朗斯基行列式0)(=x W ,I x ∈.答:必要答:必要22.方程22dd y x x y +=满足解的存在唯一性定理条件的区域是满足解的存在唯一性定理条件的区域是 . 答:答: xoy 平面平面23.方程0d )1(1)d (22=-+-y x y x y x 所有常数解是所有常数解是 .答:1,1±=±=x y24.方程04=+''y y 的基本解组是的基本解组是 .答:x x 2cos ,2sin25.一阶微分方程的通解的图像是.一阶微分方程的通解的图像是 维空间上的一族曲线.维空间上的一族曲线. 答:2二、单项选择题1.n 阶线性齐次微分方程基本解组中解的个数恰好是(阶线性齐次微分方程基本解组中解的个数恰好是( A )个.)个.(A )n (B )n -1 (C )n +1 (D )n +22.如果),(y x f ,y y x f ∂∂),(都在xoy 平面上连续,那么方程),(d d y x f x y =的任一解的存在区间(区间( D ). (A )必为),(∞+-∞ (B )必为),0(∞+(C )必为)0,(-∞ (D )将因解而定)将因解而定3.方程y x x y +=-31d d 满足初值问题解存在且唯一定理条件的区域是(满足初值问题解存在且唯一定理条件的区域是( DD D )). (A )上半平面)上半平面 ((B )xoy 平面平面(C )下半平面)下半平面 ((D )除y 轴外的全平面轴外的全平面4.一阶线性非齐次微分方程组的任两个非零解之差(.一阶线性非齐次微分方程组的任两个非零解之差( C ). (A )不是其对应齐次微分方程组的解)不是其对应齐次微分方程组的解 (B )是非齐次微分方程组的解)是非齐次微分方程组的解 (C )是其对应齐次微分方程组的解)是其对应齐次微分方程组的解 (D )是非齐次微分方程组的通解)是非齐次微分方程组的通解5. 方程21d d y x y -=过点)1,2(π共有(共有(B )个解.)个解. (A )一)一 (B )无数)无数 (C )两)两 (D )三)三 6. 6. 方程方程2dd +-=y x x y ( B B )奇解.)奇解.)奇解. (A )有三个)有三个 ((B )无)无 ((C )有一个)有一个 ((D ) 有两个有两个7.n 阶线性齐次方程的所有解构成一个(阶线性齐次方程的所有解构成一个( A A A )线性空间.)线性空间.)线性空间.(A )n 维 ((B )1+n 维 ((C )1-n 维 ((D )2+n 维8.方程323d d y x y =过点(过点( A A A )). ((A )有无数个解)有无数个解 ((B )只有三个解)只有三个解 ((C )只有解0=y ((D )只有两个解)只有两个解 9. ),(y x f y '连续是保证),(y x f 对y 满足李普希兹条件的(满足李普希兹条件的( B B B )条件.)条件.)条件.(A )充分)充分 ((B )充分必要)充分必要 ((C )必要)必要 ((D )必要非充分)必要非充分1010.二阶线性非齐次微分方程的所有解(.二阶线性非齐次微分方程的所有解(.二阶线性非齐次微分方程的所有解( C C C )). ((A )构成一个2维线性空间维线性空间 ((B )构成一个3维线性空间维线性空间(C )不能构成一个线性空间)不能构成一个线性空间 ((D )构成一个无限维线性空间)构成一个无限维线性空间11.方程y x y =d d 的奇解是(的奇解是( D ). (A )x y = (B )1=y (C )1-=y (D )0=y1212.若.若)(1x y ϕ=,)(2x y ϕ=是一阶线性非齐次微分方程的两个不同特解,则该方程的通解可用这两个解表示为(通解可用这两个解表示为( C C C )). ((A ))()(21x x ϕϕ- ((B ))()(21x x ϕϕ+(C ))())()((121x x x C ϕϕϕ+- ((D ))()(21x x C ϕϕ+1313..),(y x f y '连续是方程),(d d y x f xy =初值解唯一的(初值解唯一的( D D D )条件.)条件.)条件. (A )必要)必要 ((B )必要非充分)必要非充分 ((C )充分必要)充分必要 ((D )充分)充分14.14. 方程方程1dd+=y x y ( C C )奇解.)奇解.)奇解. (A )有一个)有一个 ((B )有两个)有两个 ((C )无)无 ((D )有无数个)有无数个1515.方程.方程323d d y x y =过点过点(0, 0)(0, 0)(0, 0)有(有(有( A A ). (A) (A) 无数个解无数个解无数个解 (B) (B) 只有一个解只有一个解只有一个解 (C) (C) (C) 只有两个解只有两个解只有两个解 (D) (D) 只有三个解只有三个解只有三个解三、求下列方程的通解或通积分1.3yx y dx dy += 解:23y y x y y x dy dx +=+= ,则,则 )(121⎰+⎰⎰=-c dy e y e x dy y dy y 所以所以 cy y x +=23 另外另外 0=y 也是方程的解也是方程的解2.求方程2y x dxdy +=经过)0,0(的第三次近似解的第三次近似解 解:0)(0=x ϕ[]2020121)()(x dx x x x x =+=⎰ϕϕ []52021220121)()(x x dx x x x x +=+=⎰ϕϕ[]81152022316014400120121)()(x x x x dx x x x x +++=+=⎰ϕϕ 3.讨论方程2y dx dy = ,1)1(=y 的解的存在区间的解的存在区间 解:dx ydy =2 两边积分两边积分 c x y+=-1 所以所以 方程的通解为方程的通解为 cx y +-=1 故 过1)1(=y 的解为的解为 21--=x y 通过点通过点 )1,1(的解向左可以延拓到∞-,但向右只能延拓到,但向右只能延拓到 2,2, 所以解的存在区间为所以解的存在区间为 )2,(-∞4. 求方程01)(22=-+y dxdy 的奇解的奇解 解: 利用p 判别曲线得判别曲线得⎩⎨⎧==-+020122p y p 消去p 得 12=y 即 1±=y 所以方程的通解为所以方程的通解为 )sin(c x y += , 所以所以 1±=y 是方程的奇解是方程的奇解5.0)1()1(cos 2=-++dy yx y dx y x 解: y M ∂∂=2--y , xN ∂∂=2--y , y M ∂∂=xN ∂∂ , 所以方程是恰当方程. ⎪⎪⎩⎪⎪⎨⎧-=∂∂+=∂∂211cos y x y y v y x x u 得 )(sin y y x x u ϕ++=)('2y xy y u ϕ+-=∂∂- 所以y y ln )(=ϕ 故原方程的解为故原方程的解为 c y y x x =++ln sin6. x x x y y y 22'sin cos sin 2-=-+解: x x x y y y 22'sin cos sin 2-++-= 故方程为黎卡提方程.它的一个特解为它的一个特解为x y sin = ,令x z y sin += , 则方程可化为2z dx dz -= , c x z +=1 即 c x x y +=-1sin , 故 c x x y ++=1sin 7.0)37()32(232=-+-dy xy dx y xy解: 两边同除以2y 得037322=-+-xdy dy y ydx xdx0732=--yd xy d dx 所以所以 c y xy x =--732, 另外另外 0=y 也是方程的解也是方程的解 8.21d d xxy x y += 解 当0≠y 时,分离变量得时,分离变量得 x x xy yd 1d 2+=等式两端积分得等式两端积分得C x y ln )1ln(21ln 2++= 即通解为即通解为 21x C y +=9. x y xy 2e 3d d =+ 解 齐次方程的通解为齐次方程的通解为 x C y 3e -= 令非齐次方程的特解为令非齐次方程的特解为x x C y 3e)(-=代入原方程,确定出代入原方程,确定出 C x C x +=5e 51)( 原方程的通解为原方程的通解为x C y 3e-=+x2e 51 10. 5d d xy y xy += 解 方程两端同乘以5-y ,得,得x yx y y+=--45d d 令 z y =-4,则x z x y yd d d d 45=--,代入上式,得,代入上式,得 x z x z =--dd 41 通解为通解为41e4+-=-x C z x 原方程通解为原方程通解为41e 44+-=--x C yx11.0)d (d 222=-+y y x x xy 解 因为xN x y M ∂∂==∂∂2,所以原方程是全微分方程.,所以原方程是全微分方程. 取)0,0(),(00=y x ,原方程的通积分为,原方程的通积分为C y y x xy yx =-⎰⎰020d d 2 即 C y y x =-323112. y y x y ln d d = 解:当0≠y ,1≠y 时,分离变量取不定积分,得时,分离变量取不定积分,得 C x y y y +=⎰⎰d ln d 通积分为通积分为 x C ye ln =13.03)(22=+'+''x y y y解 原方程可化为原方程可化为0)(2='+'x y y 于是于是 12d d C x x y y =+积分得通积分为积分得通积分为23123121C x x C y +-= 14.x y x y x y+-=2)(1d d解:令xu y =,则x u x u x y d d d d +=,代入原方程,得,代入原方程,得 21d d u x u x -= 分离变量,取不定积分,得分离变量,取不定积分,得 C xx u uln d 1d 2+=-⎰⎰ (0≠C ) 通积分为:通积分为: Cx x yln arcsin =15. x y x y xy tan d d += 解 令u x y =,则x u x u x y dd d d +=,代入原方程,得,代入原方程,得 u u x u x u tan d d +=+,u x u x tan d d = 当0tan ≠u 时,分离变量,再积分,得时,分离变量,再积分,得C xx u u ln d tan d +=⎰⎰ C x u ln ln sin ln +=即通积分为:即通积分为: Cx xy =sin 16. 1d d +=xy x y 解:齐次方程的通解为解:齐次方程的通解为Cx y = 令非齐次方程的特解为令非齐次方程的特解为x x C y )(=代入原方程,确定出代入原方程,确定出 C x x C +=ln )( 原方程的通解为原方程的通解为Cx y =+x x ln 17. 0d d )e (2=+-y x x y x y解 积分因子为积分因子为 21)(xx =μ 原方程的通积分为原方程的通积分为1012d d )(e C y x x y y x x =+-⎰⎰ 即 1e ,e C C C x y x +==+18.0)(2='+''y y y解:原方程为恰当导数方程,可改写为解:原方程为恰当导数方程,可改写为 0)(=''y y 即1C y y =' 分离变量得分离变量得x C y y d d 1= 积分得通积分积分得通积分21221C x C y += 19.1)ln (='-'y x y解 令p y =',则原方程的参数形式为,则原方程的参数形式为⎪⎩⎪⎨⎧='+=py p p x ln 1 由基本关系式由基本关系式y x y '=d d ,有,有p p p p x y y )d 11(d d 2+-⋅='=p p )d 11(-=积分得积分得 C p p y +-=ln得原方程参数形式通解为得原方程参数形式通解为⎪⎩⎪⎨⎧+-=+=Cp p y p p x ln ln 1 20.022=+'+''x y y y解 原方程可化为原方程可化为0)(2='+'x y y于是于是 12d d C x xyy =+ 积分得通积分为积分得通积分为23123121C x x C y +-= 21. 0)d (d )(3223=+++y y y x x xy x解:由于x N xy y M ∂∂==∂∂2,所以原方程是全微分方程.,所以原方程是全微分方程. 取)0,0(),(00=y x ,原方程的通积分为,原方程的通积分为103023d d )(C y y x xy x y x =++⎰⎰即 C y y x x =++42242 四、计算题1.求方程xy y e 21=-''的通解.的通解. 解 对应的齐次方程的特征方程为:对应的齐次方程的特征方程为:012=-λ特征根为:特征根为: 1,121-==λλ故齐次方程的通解为:故齐次方程的通解为: x x C C y -+=e e 21因为1=α是单特征根.所以,设非齐次方程的特解为是单特征根.所以,设非齐次方程的特解为 xAx x y e )(1=代入原方程,有代入原方程,有 x x x x Ax Ax A e 21e e e 2=-+, 可解出可解出 41=A . 故原方程的通解为故原方程的通解为 x x x x C C y e 41e e 21++=-2.求下列方程组的通解.求下列方程组的通解⎪⎪⎩⎪⎪⎨⎧+=--=y x t y y x t x 43d d 2d d . 解 方程组的特征方程为方程组的特征方程为04321=----=-λλλE A即 0232=+-λλ特征根为特征根为 11=λ,22=λ11=λ对应的解为对应的解为t b a y x e 1111⎥⎦⎤⎢⎣⎡=⎥⎦⎤⎢⎣⎡其中11,b a 是11=λ对应的特征向量的分量,满足对应的特征向量的分量,满足⎥⎦⎤⎢⎣⎡=⎥⎦⎤⎢⎣⎡⎥⎦⎤⎢⎣⎡----0014321111b a 可解得1,111-==b a .同样可算出22=λ对应的特征向量分量为对应的特征向量分量为 3,212-==b a .所以,原方程组的通解为所以,原方程组的通解为⎥⎦⎤⎢⎣⎡-+⎥⎦⎤⎢⎣⎡-=⎥⎦⎤⎢⎣⎡t tt t C C y x 2221e 32e e e 3.求方程x y y 5sin 5='-''的通解.的通解.解:方程的特征根为01=λ,52=λ齐次方程的通解为齐次方程的通解为 x C C y 521e +=因为i i 5±=±βα不是特征根。
应 用 题(每题10分)1、设在上有定义且不恒为零,又存在并对任意恒有()f x (,)-∞∞()f x ',x y ,求。
()()()f x y f x f y +=()f x 2、设,其中函数在内满足以下条件()()()F x fx g x =(),()f x g x (,)-∞∞()(),()(),(0)0,()()2xf xg x g x f x f f x g x e ''===+=(1)求所满足的一阶微分方程;()F x (2)求出的表达式。
()F x 3、已知连续函数满足条件,求。
()f x 320()3x xt f x f dt e ⎛⎫=+ ⎪⎝⎭⎰()f x 4、已知函数在内可导,,且满足()f x (0,)+∞()0,lim ()1x f x f x →+∞>=,求。
110()lim ()h x h f x hx e f x →⎛⎫+ ⎪= ⎪⎪⎝⎭()f x 5、设函数在内连续,,且对所有,满足条件()f x (0,)+∞5(1)2f =,(0,)x t ∈+∞,求。
111()()()xt x tf u du t f u du x f u du =+⎰⎰⎰()f x 6、求连续函数,使它满足。
()f x 1()()sin f tx dt f x x x =+⋅⎰7、已知可微函数满足,试求。
()f t 31()()1()xf t dt f x t f t t =-+⎰()f x 8、设有微分方程 , 其中。
试求在内的连续函'2()y y x ϕ-=21()01x x x ϕ<⎧=⎨>⎩(,)-∞∞数使之在和内部满足所给方程,且满足条件。
()y y x =(,1)-∞()1,+∞(0)0y =9、设位于第一象限的曲线过点,其上任一点处的法线与轴()y f x =12⎫⎪⎪⎭(,)P x y y 的交点为Q ,且线段PQ 被轴平分。
《常微分方程》课程习题集一、单选题1. 设函数(,),(,)M x y N x y 连续可微, 则方程(,)(,)0M x y dx N x y dy += 是全微分方程的充分必要条件是 . (A) M N y x ∂∂=∂∂, (B) ,M N x y ∂∂=∂∂ (C) ,M N y x ∂∂≠∂∂ (D) .M N x y ∂∂≠∂∂2. 下面的方程是全微分方程的是 . (A) 0ydx xdy x y-=+, (B) 220y dx x dy +=, (C) 220xy dx x ydy -=, (D)220ydx xdy x y -=-. 3. 设一阶方程2()()(),(()()0)dy p x y q x y r x p x r x dx=++≠,则它是 。
(A )线性非齐次方程; (B )伯努利方程;(C )黎卡堤方程; (D) 克莱洛方程。
4. 设一阶方程()(),(0,1)n dy p x y q x y n dx=+≠,则它是 。
(A )线性非齐次方程; (B )伯努利方程;(C )黎卡堤方程; (D) 克莱洛方程。
5. 形如'(')y xy y ϕ=+的一阶隐式方程称为 。
(A )线性非齐次方程; (B )伯努利方程;(C )黎卡堤方程; (D) 克莱洛方程。
6. 二阶微分方程2100x x x '''++=的通解是 。
(A )12[cos3sin 3]t x e C t C t -=+,(B )312[cos sin ]t x e C t C t -=+,(C )12[cos sin ]t x e C t C t -=+,(D) 312[cos3sin 3]t x e C t C t -=+.7. 二阶微分方程250x x x '''++=的通解是 。
(A )12[cos sin ]t x e C t C t -=+,(B )212[cos sin ]t x e C t C t -=+,(C )12[cos 2sin 2]t x e C t C t -=+,(D) 212[cos 2sin 2]t x e C t C t -=+.8. 二阶微分方程440x x x '''-+=的通解是 。
《高等数学》单元自测题第六章 常微分方程专业 班级 姓名 学号一、填空题:1、微分方程212y x y -='的通解为 C x y +=2arcsin 。
2、微分方程y y x y ln sin ='满足初始条件e y x ==2π的特解为2tan x e y =。
3、微分方程0222=+-y dx dy dxy d 的通解为x x xe C e C y 21+=。
4、已知x y =1,xy 12=是微分方程0222=-'+''y y x y x 的解,则此方程的通解为 xC x C y 121+=。
二、选择题:1、下列微分方程中,通解为)2sin 2cos (21x C x C e y x +=的微分方程是( B )。
A.032=-'-''y y y ;B.052=+'-''y y y ;C.02=-'+''y y y ;D. 0136=+'+''y y y .2、微分方程x xe y y y 265=+'-''的特解形式(其中a ,b 为常数)为( A )。
A. ()x xe b ax y 2*+=;B. ()x e b ax y 2*+=;C. b e ax y x +=22*;D. b ae y x +=2*. 3、微分方程1+=-''x e y y 的特解形式(其中a ,b 为常数)为( B )A. b e a x +;B.b xe a x +;C. x b e a x+; D.x b xe a x +. 三、求解下列微分方程的通解:1、y dxdy x +=⋅1tan ; 解:根据可分离变量的方法,可解得方程的通解为1sin -=x C y 。
2、x yy y sin 1cos +=';解:根据可分离变量的方法,可解得方程的通解为()C x y +=+2sin 1ln .3、xy e dx dy x y +=; 解:令xy u =,可将原方程化为u e x dx du =,根据可分离变量可得 ()x C u ln ln --=, 从而解得通解为()x C x y ln ln --=。
《常微分方程》题库及答案一.求解下列方程1.求方程0sin cos =+x y dxdyx之通解; 2.求方程xx y ax dy cos 1tan =+之通解; 3.解初值问题2(1)20(0)1dy x xy dx y ⎧-+=⎪⎨⎪=⎩; 4.求方程()lndy x yxy x y dx x+-=+ 之通解; 5.求方程 yx xy y dx dy 321++= 的通解; 6. 求方程 0)3()3(2323=-+-dy y x y dx xy x 的通解; 7.求由以xxx x cos ,sin 为基本解组的线性齐次方程; 8.求方程 2)(22x dx dy xdx dy y +-=的通解及奇解; 9.求方程⎰+=+xx y x dt dtt dy 02)(2))((1 的通解; 10. 求方程 0)sin ()2sin (22=-++dy y xy dx x y x 的通解; 11.求由以 x x x ln , 为基本解组的线性齐次方程; 12.求方程 2222)(12dxdy y y dx y d += 的通解. 13.求方程y y dxdyln =之通解。
14.求方程xy dxdyy x 2)(22=+之通解。
15.求方程0)(222=-+dy y x xydx 之通解。
16. 求方程y x e dxdy-=之通解。
17. 求方程0)2(=+---dy xe y dx e yy 之通解。
18. 求方程x x y y sec tan '=+之通解。
二.1.解初值问题⎪⎩⎪⎨⎧-==y x e axdyy 20)1(2.求如下微分方程组之通解:⎪⎪⎪⎩⎪⎪⎪⎨⎧-=++-=--=z x dtdz z y x dtdyz y x dt dx2. 3.求出初值问题的逐次近似解21,0y y y :2(0)0dyx y dxy =+=⎧⎪⎨⎪⎩. 4. 求出微分方程0).().(=+dy y x N dx y x M 有形如)(22y x +=ϕυ的积分因子的充要条件。
常微分方程练习试卷及答案常微分方程练试卷一、填空题。
1.方程d2x/dt2+1=是二阶非线性微分方程。
2.方程xdy/ydx=f(xy)经变换ln|x|=g(xy)可以化为变量分离方程。
3.微分方程d3y/dx3-y2-x=0满足条件y(0)=1,y'(0)=2的解有一个。
4.设常系数方程y''+αy'+βy=γex的一个特解y(x)=e-x+e2x,则此方程的系数α=-1,β=2,γ=1.5.朗斯基行列式W(t)≠0是函数组x1(t),x2(t)。
xn(t)在[a,b]上线性无关的条件。
6.方程xydx+(2x2+3y2-20)dy=0的只与y有关的积分因子为1/y3.7.已知X'=A(t)X的基解矩阵为Φ(t),则A(t)=Φ(t)-1dΦ(t)/dt。
8.方程组x'=[2,5;1,0]x的基解矩阵为[2e^(5t),-5e^(5t);e^(5t),1]。
9.可用变换将伯努利方程y'+p(x)y=q(x)化为线性方程。
10.方程y''-y'+2y=2e^x的通解为y(x)=C1e^x+C2e^2x+e^x。
11.方程y'''+2y''+5y'+y=1和初始条件y(0)=y'(0)=y''(0)=0的唯一解为y(x)=e^-x/2[sin(5^(1/2)x/2)-cos(5^(1/2)x/2)]。
12.三阶常系数齐线性方程y'''-2y''+y=0的特征根是1,1,-1.二、计算题1.设曲线方程为y(x)=kx/(1-k^2),则曲线上任一点处的斜率为y'(x)=k/(1-k^2),切点为(0,0),切线方程为y=kx,点(1,0)的连线斜率为-1/k,因此k=-1,曲线方程为y=-x/(1+x)。
第六章 线性微分方程组、习题6-11.求出齐次线性微分方程组y t A dt dy)(= 的通解,其中分别为:)(t A⎪⎪⎭⎫ ⎝⎛=⎪⎪⎭⎫ ⎝⎛⎪⎪⎭⎫ ⎝⎛=⎪⎪⎭⎫ ⎝⎛=⎪⎪⎭⎫ ⎝⎛=⎪⎪⎭⎫⎝⎛⎩⎨⎧==⎩⎨⎧==⎪⎪⎭⎫⎝⎛=⎪⎪⎭⎫ ⎝⎛=⎩⎨⎧=⇒==⇒=⇒⎪⎪⎭⎫ ⎝⎛⎪⎪⎭⎫ ⎝⎛=⎪⎪⎭⎫ ⎝⎛≠⎪⎪⎭⎫ ⎝⎛=t C t C C C t t C t t y y y t t ty y y t y t C t C y y y tC y t C y y y y y dt d t t t y t dy t y dt dy t t 212121212121212211211121110000.00,0,0.,00;0,00)(A .12211或通解为则方程组的基解矩阵为或取故通解为解:由)( .0.0)(,,0.,1011,1011)(A .2212112221212121C e te e y e te e t ey te y y e y eC y y y y y y y y dt d t t t t t tt t t t t dt dy dt dy ⎪⎪⎭⎫⎝⎛=⎪⎪⎭⎫⎝⎛=⎩⎨⎧==⎩⎨⎧==⎩⎨⎧=⇒=+=⇒⎪⎪⎭⎫ ⎝⎛⎪⎪⎭⎫ ⎝⎛=⎪⎪⎭⎫ ⎝⎛⎪⎪⎭⎫⎝⎛=或通解为则方程组的基解矩阵为取解:由)(φCt t t t y t t t t t ty t y t y t y C y y dy y dy y y y dy dy y y y y y y dt d t dt dy dt dy ⎪⎪⎭⎫⎝⎛-=⎪⎪⎭⎫⎝⎛-⎩⎨⎧-==⎩⎨⎧====+⇒=+⇒-=⇒⎩⎨⎧-==⇒⎪⎪⎭⎫ ⎝⎛⎪⎪⎭⎫ ⎝⎛-=⎪⎪⎭⎫ ⎝⎛⎪⎪⎭⎫⎝⎛-=sin cos cos sin .sin cos cos sin )(,sin cos ,cos sin ,1.C 0.,0110;0110)(A .3212122212211122112212121故通解为则方程组的奇解矩阵为并令取解:由)(φ.0000.021000,,1,0,0,,0C ()()(..)()(,001010100,001010100)(A .4321212121313123212223213311133111223321⎪⎪⎪⎭⎫⎝⎛+⎪⎪⎪⎭⎫ ⎝⎛-+⎪⎪⎪⎭⎫ ⎝⎛=⎪⎪⎪⎭⎫⎝⎛⎪⎪⎪⎭⎫ ⎝⎛-⎪⎪⎪⎭⎫ ⎝⎛≠=-⎪⎪⎪⎭⎫⎝⎛⎪⎪⎪⎭⎫ ⎝⎛-⎪⎪⎪⎭⎫ ⎝⎛====⎩⎨⎧-==⎩⎨⎧==±=⇒=⇒=+=⇒=⇒=⇒⎭⎬⎫⎪⎩⎪⎨⎧---==⇒=---=⇒⎪⎪⎪⎭⎫ ⎝⎛=⎪⎪⎪⎭⎫ ⎝⎛=----------t t t t t t t t t t t t t t ttttt tt t t t t t t t t ttt t t dt dy tdt dy dtdy e e e C e e C e e C y e e e e e e e e e e e e e e e e e e e e e e e y C y C e y e y e y e y y y y y C y y dy y dy y y y dy dy b a b y eC y y a y y dt dy t 故通解为线性无关即为方程祖的三个解。
第六章 常微分方程与差分方程
一、单项选择题
1.微分方程0)'()''(3)'''(5423=++-x y y y 阶数是 ( )
A.4阶 B .3阶 C .2阶 D .1阶
2.微分方程222y x dx
dy x +=是 ( ) A.一阶可分离变量方程 B.一阶齐次方程 C.一阶非齐次线性方程 D.一阶齐次线性方程
3.下列方程中,是一阶线性微分方程的是 ( )
A.0'2)'(2=+-x yy y x
B.0'2=-+x yy xy
C.0'2=+y x xy
D.0)()67(=++-dy y x dx y x
4.方程x y xy =-'满足初始条件11==x y 的特解是 ( )
A.x x x y +=ln
B.Cx x x y +=ln
C.x x x y +=ln 2
D.Cx x x y +=ln 2
5.微分方程y y x 2='的通解为 ( )
A .2x y =
B . c x y +=2
C . 2cx y =
D .0=y 6.微分方程y y x ='满足1)1(=y 的特解为 ( )
A.x y =
B. c x y +=
C.cx y =
D.0=y
7.微分方程y xy xy -='是 ( )
A 可分离变量方程
B 齐次方程
C 一阶齐次线性方程 D.一阶非齐次线性方程
8.微分方程05))(sin(2''=+-+x y y xy y 是 ( )
A 一阶微分方程
B 二阶微分方程
C 可分离变量的微分方程
D 一阶线性微分方程
9.微分方程0)()(=++-++dy e e dx e e y y x x y x 为 ( )
A 齐次方程
B 一阶线性齐次方程
C 一阶线性非齐次方程
D 可分离变量的微分方程
10.下列方程中是可分离变量的微分方程的是( )
A x x y x y cos )(tan '2-+=
B 0ln '=--y y y xe
y x C dx
dy xy dx dy x y =+22 D 0)cos 1(cos sin ln '=-+y x y y x xy 11.微分方程02=+'-''y y y 的一个特解是 ( )
A x e x y 2=
B x e y =
C x e x y 3=
D x e y -=
A 0'''=-y y
B 0'''=+y y
C 0''=-y y
D 0''=+y y
13.微分方程052=+'+''y y y 的通解y 等于 ( )
A.x c x c 2sin 2cos 21+
B. )2sin 2cos (21x c x c e x +
C.)2sin 2cos (21x c x c e x +-
D.)2sin 2cos (21x c x c x +
14.微分方程:0''=+y y 满足初始条件2|',1|00====x x y y 的特解为 ( )
A x x y sin cos +=
B x x y sin 2cos +=
C 122++=x x y
D x C x C y sin cos 21+=
15.设21,y y 是二阶常系数微分方程0=+'+''qy y p y 的两个解,则下列说法不正确的是( )
A .21y y +是此方程的一个解 B.21y y -是此方程的一个解
C .2211y c y c +是此方程的通解 (21,c c 为任意常数)
D .若21,y y 线性无关,则2211y c y c +是此方程的通解(21,c c 为任意常数)
16.用待定系数法求微分方程x xe y y 2''=-的一个特解时,应设特解的形式为 ( )
A.x e Bx Ax y )(2*+=
B.x e B Ax y )(*+=
C.B Axe y x +=*
D. x e Ax y 2*=
17.用待定系数法求微分方程x e y y y 396=+'-''的一个特解时,应设特解的形式为( )
A.x e Ax y 32*=
B.x e x y 32*=
C.x Axe y 3*=
D.x Ae y 3*=
18.二阶线性微分方程5y 3y 4y '''=-+对应的齐次方程的特征方程为 ( )
A .5342=-+r r B.0342=-+r r C.534=-+r r D.0342=-+r r r
19.已知722-=x y 是微分方程32"2-=+x y y 的一个特解,则其通解为 ( )
A 72sin cos 221-++=x x c x c x
B 72221-++=-x e
c e c x x x C 72221-++=-x e
c c x x D ()72221-++=x e x c c x x 20.微分方程x xe y y y 2'"44=+-的特解形式为 ( )
A x e
B Ax 2)(+ B x e B Ax x 2)(+
C x e B Ax x 22)(+
D x
e Ax 23 21.下列函数中哪组是是线性无关的 ( )
A.2x ln ,x ln B.x ,x ln C.x 2ln ,x D.2x ln ,x ln
A.0'''=-y y
B.0'''=+y y
C.0''=-y y
D.0''=+y y
二、填空题
1.微分方程()03"')4(3=++y y y y 的阶数为______; 2.微分方程0=+y dx
dy 的通解是_______ ___; 3.微分方程02=+'xy y 的通解是______________; 4.微分方程0e y y x =+'+的通解是_______ ___;
5.微分方程x y sin ''=的通解是________________; 6.微分方程04'4''=+-y y y 的通解为_________;
7.微分方程02'
"=+y y 的通解为_____________; 8.微分方程x e y y 2'=+的通解为____________ 9.求微分方程x x e y y 2''y =+'+的特解的形式为_________________________________;
10.若)(x f 是方程x y dx y d 2sin 42
2=+的一个特解,则方程的通解为__________________; 三.求解下列常微分方程
1.0ln ln =+ydy x xdx y 2.dx
dy xy y dx dy x
=+
3.x e y y =-' 4.0,cos 0sin ==+'=-x x y e x y y
5.0)1()1(2
2=-+-dy x y dx y x 6.()01=+-xdy dx y
7.0'=-y xy 8.
y
2x y 2dx dy -=
9.x e
y y -=+' 10.0)6(22
=-+dy x y ydx
11.1='+''y y 12.x y y +'=''
13.1)1(,12=-=y x dx dy xy
14.02='+''y y
15.1x y y +='+'' 16.02'''=--y y y
17.0y 'y 4''y 4=++ 18.09'6"=++y y y ,1',000====x x y y
19.x e y y y 232'''=-+ 20.233'2"+=--x y y y
四.已知特征方程的两个根为:i r +-=21,i r --=22,求相应的二阶常系数的齐次线性微分方程及其通解。