北京大学 张怡然-熊澄宇-3.7 文化经济学
- 格式:doc
- 大小:46.00 KB
- 文档页数:11
通识书单 帮助韩茂莉:中国历史地理题名 责任者 出版社 出版年中国历史地理十五讲 韩茂莉 北京大学出版社2015 中国历史地理概述 邹逸麟 上海教育出版社2013 历史地理学的理论与实践侯仁之 上海人民出版社1979 中国历史地图集 谭其骧 地图出版社1982 中国历代疆域的变迁 葛剑雄 商务印书馆1997 中国疆域沿革史 史念海 商务印书馆2004 秦汉政区与边界地理研究辛德勇 中华书局2009 体国经野之道 周振鹤 香港中华书局1990 中国历史人文地理 邹逸麟 科学出版社2001 中国的运河 史念海 陕西人民出版社1988 古代交通与地理文献研究辛德勇 中华书局1996 古代天山历史地理学研究 松田寿男中央民族学院出版社 1987 中国自然地理·历史自然地理 中国科学院中国自然地理》编委会科学出版社1982 千古黄河 邹逸麟中华书局(香港)有限公司1990 千古黄河 邹逸麟 上海辽东出版社2012 黄河史话辛德勇中国大百科全书出版社1998中国历史自然地理 邹逸麟、张修桂科学出版社2013 中国历史农业地理 韩茂莉 北京大学出版社2012 草原帝国 勒内·格鲁塞 商务印书馆1999 中华帝国晚期城市 G·W 施坚雅 中华书局 2000 中国古代都城制度史研究杨宽上海古籍出版社1993王超贤等:大学国文题名责任者 出版社出版年大学国文 漆永祥北京大学出版社 2014大家小集·梁启超集 郑大华、王毅 花城出版社2010 梁启超与中国近代思想 列文森 四川人民出版社 1987 呼兰河传 萧红 人民文学出版社 2001 萧红全集·卷二 章海宁 北京燕山出版社 2014 萧红传葛浩文 复旦大学出版社 2011 透明的红萝卜(小说集) 莫言 当代世界出版社 2004 红高粱家族莫言人民文学出版社 2007莫言研究资料 孔范今、施战军 山东文艺出版社 2006海子的诗 西川 人民文学出版社 1995 扑向太阳之犳 海子评传 燎原 南海出版公司 2001语言问题 赵元任 商务印书馆1980 Relevance: Communication andCognitionSperber, DanHarvard UniversityPress1986An Introduction to FunctionalGrammarHalliday, M. A. K.外语教学与研究出版社2000语文常谈 吕叔湘 三联书店1980 语法修辞讲话 吕叔湘、朱德熙 商务印书馆2013 文言和白话 张中行 中华书局2007 汉语韵律语法研究 冯胜利 北京大学出版社 2005语法答问 朱德熙 商务印书馆1985 语用学教程 索振羽 北京大学出版社 2000乐在其中 王士元教授七十华诞庆祝文集石锋, 沈钟伟 南开大学出版社 2004北京口语语法 赵元任 开明书店1948 当代语用学 姜望琪 北京大学出版社 2003 中文学科论文写作训练 温儒敏 北京大学出版社 2003 元刊本文心雕龙 刘勰 上海古籍出版社 1993 文心雕龙注(上)(下) 刘勰 人民文学出版社 1958 中国文章学史 周振甫 江苏教育出版社 2006 语篇语言学研究 姜望琪 北京大学出版社 2011诗经注析 程俊英、蒋建元 中华书局1991 古诗十九首集释 隋树森 中华书局1995 饮水词笺校 纳兰性德著,赵秀亭、冯统一笺校中华书局2005 清代名家词选讲 叶嘉莹 北京大学出版社 2007陶渊明集笺注 晋陶潜著,袁行霈笺注 中华书局2003 宋诗选注 钱钟书 三联出版社2001 杜甫诗选 杜甫 人民教育出版社 1980先秦汉魏晋南北朝诗 逯钦立 中华书局1983 饮冰室合集 梁启超 中华书局1989 论语译注 杨伯峻 中华书局2009 孟子译注 杨伯峻 中华书局2005 春秋左传注 杨伯峻 中华书局1981 史记 司马迁 中华书局点1962 汉魏六朝赋选 瞿蜕园 上海古籍出版社 1964元代戏曲选注 胡忌 中华书局1983 刘勇强:古代小说名著导读题名 责任者 出版社 出版年 中国小说史略 鲁迅 人民文学出版社 1981 中国古典小说 夏志清 江苏文艺出版社 2008中国小说源流论 石昌渝 三联书店2015中国古代小说史叙论刘勇强北京大学出版社2007中国小说研究论集吴组缃北京大学出版社1998 吴国武:国学经典讲论题名责任者出版社出版年国学讲演录章太炎中华书局2013书于竹帛中国古代的文字记录钱存训上海书店出版社2002 中国古代史籍校读法张舜徽云南人民出版社2004四库提要叙讲疏张舜徽云南人民出版社2004中国古代典籍导读鲁惟一辽宁教育出版社1997四库全书简明目录永瑢华东师范大学出版社2012国学概论钱穆商务印书馆1997 简帛古书与学术源流李零三联书店2008 余嘉锡说文献学余嘉锡上海古籍出版社2001 书林清话叶德辉北京图书馆出版社 2009 中国思想通俗讲话钱穆三联书店2002 文字学概要裘锡圭商务印书馆2013 书目答问补正范希曾上海古籍出版社1983 经子解题吕思勉商务印书馆1930 史籍举要柴德赓北京出版社2011 古诗文要籍叙录金开诚、葛兆光中华书局2005 训诂简论陆宗达北京出版社2002古书字义用法丛刊[清]俞樾、王引之等著北京市中国书店1984古书读法略例孙德谦上海书店1983中国古籍整理体式研究冯浩菲高等教育出版社2003经学常谈屈守元北京出版社2014经典常谈朱自清北京大学出版社2009 吴晓东:中国现代文学经典选讲题名责任者出版社出版年中国现代文学课程学习指导温儒敏北京大学出版社2001筑就我们的国家理查德·罗蒂三联书店2006鲁迅全集鲁迅人民文学出版社2005《野草》二十四讲孙玉石中信出版社出版社2014铁屋中的呐喊李欧梵岳麓书社1999 周作人散文钱理群浙江文艺出版社2002 话说周氏兄弟北大演讲录钱理群九州出版社2013 废名集废名北京大学出版社2009 镜花水月的世界废名《桥》的诗学研读吴晓东广西教育出版社2003 西林独幕剧丁西林上海书店1992 孙庆升文集(下)孙庆升人民日报出版社2014追悼志摩胡适金城出版社2012 编:徐志摩散文全编梁永安学林出版社2010 骆驼祥子老舍人民文学出版社1999 老舍文集第十五卷老舍人民文学出版社1990老舍小说艺术心理研究谢昭新北京十月文艺出版社1994雕虫纪历卞之琳人民文学出版社1984 卞之琳诗艺研究江弱水安徽教育出版社2000 沈从文小说选(上、下)沈从文人民文学出版社2004沈从文传金介甫国际文化出版公司2009沈从文名作欣赏赵园中国和平出版社2010 传奇张爱玲人民文学出版社1986 张爱玲评说六十子通、亦清中国华侨出版社2001 张爱玲名作欣赏黄修己中国和平出版社1998 萧红散文全编萧红著浙江文艺出版社1994 漂泊者萧红林贤治人民文学出版社2009 围城钱钟书人民文学出版社2007 记钱钟书与<围城> 杨绛湖南人民出版社1986 东方睿智学人钱钟书的独特个性与魅力王卫平河北教育出版社1997 中国现当代文学名著导读钱理群北京大学出版社1999 朱孝远:文艺复兴经典名著选读题名责任者出版社出版年神曲·地狱篇但丁人民文学出版社1997 新生但丁上海译文出版社1993 论世界帝国但丁商务印书馆1985 歌集彼特拉克花城出版社2000 秘密彼特拉克广西师范大学出版社2008 但丁传薄伽丘广西师范大学出版社2008 十日谈薄伽丘人民文学出版社1994 愚人颂伊拉斯谟北京图书馆出版社2000 基督君主的教育伊拉斯谟上海人民出版社2003 乌托邦托马斯·莫尔商务印书馆1982 塔中书托马斯·莫尔经济学出版社2013 哥白尼革命西方思想发展中的行星天文学托马斯·库恩北京大学出版社2003 科学革命的结构托马斯·库恩北京大学出版社2003 堂吉诃德塞万提斯译林出版社2012 堂吉诃德塞万提斯人民文学出版社1978 欧洲文艺复兴史·政治卷朱孝远人民出版社2010 佛罗伦萨颂布鲁尼佛罗伦萨史马基雅维利吉林出版集团有限2013责任公司意大利文艺复兴时期的文化 雅各布·布克哈特商务印书馆1979 中世纪的衰落 约翰·赫伊津哈中国美术出版社1997 论家庭 阿尔贝蒂 西安出版社1998 芬奇论绘画 达·芬奇 人民美术出版社1979 艺术哲学 丹纳 人民文学出版社1963 格言集 圭恰迪尼 广西师范大学出版社 2013君主论 马基雅弗利 商务印书馆1985 佛罗伦萨共和国的衰亡 霍文利 经济科学出版社2013 巨人传 拉伯雷 人民文学出版社1956 16世纪的不信教问题 拉伯雷的宗教 费弗尔 上海三联书店2011 妇女城 皮桑 学林出版社2002 廷臣论(the book of the courtier ) 卡斯蒂廖内The waning of the Renaissance Bouwsma Yale University Press 2000从黎明到衰落 西方文化生活五百 巴尔赞 中信出版社2013 欧洲文艺复兴史 文学卷 刘明翰 人民出版社2010 欧洲文艺复兴史 史学卷 刘明翰 人民出版社2010 欧洲文艺复兴史 法学卷 刘明翰 人民出版社2010 欧洲文艺复兴史 经济卷 刘明翰 人民出版社2010 欧洲文艺复兴史 总论卷 刘明翰 人民出版社2010 欧洲文艺复兴史 艺术卷 刘明翰 人民出版社2010 欧洲文艺复兴史 城市与社会生活卷 刘明翰 人民出版社2010 欧洲文艺复兴史 科学技术卷 刘明翰 人民出版社2010 欧洲文艺复兴史 教育卷 刘明翰 人民出版社2010 欧洲文艺复兴史 宗教卷 刘明翰 人民出版社2010 欧洲文艺复兴史 哲学卷 刘明翰 人民出版社2010 近代政治思想的基础 斯金纳 商务印书馆2002 The Earthly republic : Italian humanists on government and society Kohl University ofPennsylvania Press 1978张帆:中国古代史(下)题名 责任者 出版社 出版年祖宗之法 北宋前期政治述略 邓小南 三联书店2006 宋代政治文化史论 张邦炜 人民出版社2005 大变法 宋神宗与十一世纪的改革运动 叶坦 三联书店1996 王安石变法研究史 李华瑞 人民出版社2004 辽朝史稿 任爱君 甘肃民族出版社 2012宋辽关系史研究 陶晋生 中华书局2008 西夏史稿 吴天墀 四川人民出版社 1983 辽金史论 刘浦江 辽宁大学出版社 1999金世宗传 刘肃勇 三秦出版社1986 荒淫无道宋高宗 王曾瑜 河北人民出版社 1999朱熹的历史世界 宋代士大夫政治文化余英时 三联书店2004的研究格鲁赛蒙古帝国史格鲁赛光明日报出版社 2015 天马南牧姚大力长春出版社2005 行省制度研究李治安南开大学出版社 2000 内北国而外中国蒙元史研究萧启庆中华书局2007 元代社会阶级制度蒙思明中华书局1980 马可波罗在中国杨志玖南开大学出版社 1999 两宋经济中心的南移张家驹湖北人民出版社 1957 宋代社会研究朱瑞熙中州书画社1982 朱子学提纲钱穆三联书店2002 朱元璋传吴晗三联书店1965 明太祖礼法之治研究罗冬阳高等教育出版社 1998 明代国家机构研究王天有北京大学出版社 1992 万历十五黄仁宇中华书局2007魏忠贤专权研究苗棣中国社会科学出版社1994郑和研究百论文选王天有、万明主北京大学出版社 2004明末清初私人海上贸易林仁川华东师范大学出版社1987清朝兴起史周远廉吉林文史出版社 1986 南明史顾诚中国青出版社1997 清朝皇位继承制度杨珍学苑出版社2001 雍正传冯尔康人民出版社1985乾隆帝及其时代戴逸中国人民大学出版社1992清代地方政府瞿同祖法律出版社2003叫魂1768 中国妖术大恐慌孔飞力上海三联书店1999不愿打开的中国大门18世纪的外交与中国命运朱雍江西人民出版社 1989 多视角看江南经济史1250-1850 李伯重三联书店2003走出理学姜广辉辽宁教育出版社 1997中国古代简史张帆北京大学出版社 2015 阎步克/邓小南:中国古代政治与文化题名责任者出版社出版年十批判书郭沫若东方出版社1996中国政治思想史先秦卷刘泽华浙江人民出版社1996中国思想史钱穆台湾学生书局1995中国政治思想史第1卷萧公权辽宁教育出版社1998秦汉的方士与儒生顾颉刚上海古籍出版社2005儒学·佛学·玄学汤用彤北京大学出版社1991中古文人生活王瑶北京大学出版社1986魏晋南北朝隋唐史三论唐长孺武汉大学出版社1992唐宋帝国与运河全汉昇中央研究院历史语1995言研究所中国法律与中国社会 瞿同祖 中华书局2003 唐代长安与西域文明 向达 河北教育出版社 2001 中古中国与外来文明 荣新江 三联书店2001 敦煌学十八讲 荣新江 北京大学出版社 2007 丝绸之路与东西文化交流 荣新江 北京大学出版社 2015 日本学者研究中国史论著选译 第一卷刘俊文中华书局1992唐代科举制度研究 吴宗国 北京大学出版社 2010 两汉魏晋南北朝宰相制度研究祝总斌中国社会科学出版社1990盛唐政治制度研究 吴宗国 北京大学出版社 2003 中国古代官僚政治制度研究 吴宗国 北京大学出版社 2004 邓广铭治史丛稿 邓广铭 北京大学出版社 1997宋明理学陈来华东师范大学出版社2003朱熹的思维世界·绪论 田浩(Tillman ,Hoyt )陕西师范大学出版社2002 剑桥中国隋唐史 崔瑞德中国社会科学出版社1990 祖宗之法 北宋前期政治述略 邓小南 三联书店2006 元史 周良霄、顾菊英著 上海人民出版社 2003中国古都和文化 史念海 中华书局1998 《清明上河图》与清明上河学 周宝珠著 河南大学出版社 1997 中国历史文化区域研究 周振鹤 复旦大学出版社 1997 波峰与波谷 秦汉魏晋南北朝的政治文明阎步克北京大学出版社2012从爵本位到官本位 阎步克 三联书店2009 品位与职位 阎步克 中华书局2002 二十等爵制西嶋定生中国国际文化出版公司1992士大夫政治演生史稿 阎步克 北京大学出版社 1995 士与中国文化 余英时 上海人民出版社 1987 士与中国文化 余英时 上海人民出版社 2002中国思想通史 侯外庐等 人民出版社1957 东晋门阀政治 田余庆 北京大学出版社 2005 中古文学史论 王瑶 北京大学出版社 1986国史大纲(修订本) 钱穆 商务印书馆1994 唐代政治史述论稿 陈寅恪 三联书店2001 隋唐制度渊源略论稿 陈寅恪 三联书店2001 隋唐五代简史 吴宗国 福建人民出版社 2006 宋史 陈振 上海人民出版社 2003 朱熹的历史世界 宋代士大夫的政治文化余英时三联书店2004蒙元入侵前夜的中国日常生活谢和耐江苏人民出版社1998 元朝史韩儒林人民出版社1986明史新编傅衣凌、杨国桢、陈支平人民出版社1993明清史讲义孟森中华书局1984 杨立华:《四书》精读题名责任者出版社出版年四书章句集注朱熹中华书局2011四书或问朱熹中华书局2001朱子语类朱熹中华书局1986论语集释程树德中华书局2013论语新解钱穆三联书店2005论语译注杨伯峻中华书局2006孟子正义焦循中华书局1957孟子译注杨伯峻中华书局1960国史大纲钱穆商务印书馆2011孔子传钱穆三联书店2002礼记正义郑玄上海古籍出版社1990中国哲学简史冯友兰北京大学出版社2010中国哲学十九讲牟宗三三联书店1997 吴国盛:科学通史题名责任者出版社出版年世界科学技术通史麦克莱伦三世上海科技教育出版社2007科学的历程吴国盛北京大学出版社2003技术与文明芒福德中国建筑工业出版社2009西方科学的起源林德伯格湖南科技出版社2013近代科学在中世纪的基础格兰特湖南科技出版社2010科学革命普林西比译林出版社2013 周学农:坛经题名责任者出版社出版年坛经对勘郭朋齐鲁书社1981旅顺博物馆藏敦煌本六祖坛经郭富纯、王振芬上海古籍出版2011六祖坛经敦煌《坛经》读本邓文宽辽宁教育出版社2005坛经校释郭朋中华书局1983新版敦煌新本六祖坛经杨曾文宗教文化出版社2001六祖坛经研究(全五册)释如禅中国大百科全书出版社2003六祖坛经研究论集张曼涛大乘文化出版社1976 中国禅学研究入门龚隽、陈继东复旦大学出版社2009 唐五代禅宗史杨曾文中国社会科学出版社1999 坛经笺注丁福保财团法人佛陀教育基2002金会坛经译注魏道儒中华书局2010吴飞:西方政治思想(中世纪)题名责任者出版社出版年政治学亚里士多德商务印书馆1934君主论马基雅维里北京出版社2007干春松:现代中国的建立:制度、思潮与人物题名责任者出版社出版年天朝的崩溃茅海建三联书店2005康有为思想研究萧公权中国人民大学出版社2014我史鉴注茅海建三联书店2009 保教立国干春松三联书店2015晚清七十唐德刚远流出版事业股份有限公司1998中西体用之间丁伟志中国社会科学出版社1995政教存续与文教转型——近代学术史上的张之洞学人圈陆胤北京大学出版社2015 劝学篇张之洞华夏出版社2002 章太炎全集(第四卷)章太炎上海人民出版社1982 现代中国思想的兴起(下)汪晖三联书店2015 新民说梁启超辽宁人民出版社1994 欧游心影录梁启超东方出版社2006 梁启超与中国思想的过渡张灏江苏人民出版社1995 梁启超启蒙思想的东学背景郑匡民著郑匡民上海书店出版社2009 军绅政权陈志让三联书店1980 中国近百政治史李剑农上海人民出版社2015 三民主义孙中山东方出版社2014 五四运动史周策纵岳麓书社1999 陈独秀著作选编第一卷上海人民出版社2014 乡村建设理论梁漱溟上海人民出版社2011最后的儒家艾恺外语教学与研究出版社2013戴季陶集桑兵华中师范大学出版社1990中国古代社会研究郭沫若人民出版社1954 读书杂志与中国社会史论战赵庆河稻禾出版社1995 新民主主义论毛泽东人民出版社1976 中国革命与中国共产党毛泽东光华书局1949 什麼是新啟蒙運動張申府著张申府生活書店1939 历史与意志:毛泽东思想的哲学透视魏斐德贵州人民出版社1994 论十大关系毛泽东人民出版社1976 政道与治道牟宗三广西师范大学出版2006社中国历代政治的得失 钱穆 九州出版社2012 道德理想主义 牟宗三 吉林出版集团有限责任公司2010学术与政治之间 徐复观 华东师范大学出版社 2009中国现代思想史论 李泽厚 生活·读书·新知三联书店2008河殇苏晓康等 现代出版社1988 八十 代访谈录 查建英 生活·读书·新知三联书店2006孔夫子与现代中国 陈来 北京大学出版社 2011 通三统甘阳生活·读书·新知三联书店2014孙庆伟:考古学与古史重建题名 责任者 出版社出版年 中国史叙论 梁启超 中华书局1988 新史学 梁启超 中华书局1988 史家与史学王家范广西师范大学出版社2007傅斯 全集 第三卷 傅斯 湖南教育出版社 2000 傅斯 全集 第二卷 傅斯 湖南教育出版社 2000 李济文集 李济 上海人民出版社 2003 新学术之路 中央研究院历史语言研究所七十周 纪念文集 杜正胜中央研究院历史语言研究所1998中国古史的传说时代 徐旭生 广西师范大学出版社2003中国文明起源新探 苏秉琦 三联书店1998 史记·五帝本纪 司马迁 中华书局2010 大戴礼记·五帝德 帝系姓 三秦出版社2005 中国上古史研究讲义 顾颉刚 中华书局2002 顾颉刚古史论文集 顾颉刚 中华书局2011 中国远古时代苏秉琦上海人民出版社 2010 追寻五帝 揭幕中国历史纪元的开篇 郭大顺 辽宁人民出版社 2010史记·夏本纪 司马迁 中华书局2010 楚辞·天问屈原 中华书局2015 古本竹书纪 夏代部分 辽宁教育出版社 1997 二里头中国社会科学院考古研究所文物出版社2014 夏商周考古学论文集 邹衡 文物出版社1980 追迹三代 孙庆伟 上海古籍出版社 2015史记·殷本纪 司马迁 中华书局2010 商代史论纲宋镇豪 中国社会科学出2011版社史记·周本纪司马迁中华书局2010 史记·鲁周公世家司马迁中华书局2010 夏商周考古西周部分王立新、井中伟科学出版社2013 史记·秦本纪司马迁中华书局2010 战国时代的东西差别梁云文物出版社2008 秦文化王学理、梁云文物出版社2001 秦文化从封国到帝国的考古学观察滕铭予学苑出版社2003夏商周断代工程阶段性成果·简本夏商周断代工程专家组世界知识出版社2000周飞舟:中国社会:结构与变迁题名责任者出版社出版年中国社会应星中国人民大学2015乡土中国费孝通北京出版社2011中国士绅费孝通生活.读书.新知三联书店2009亲属法大纲陶希圣商务印书馆1928 中国文化要义梁漱溟上海人民出版社2005中国社会学文选应星、周飞舟、渠敬东中国人民大学出版社2011中国农村经济社会变迁陈吉元山西经济出版社1993 共产社会的新传统主义华尔德牛津大学出版社1996大河移民上访的故事应星生活.读书.新知三联书店2001姚洋:中国经济改革与发展题名责任者出版社出版年作为制度创新过程的经济改革姚洋格致出版社2008自由的未来法里德·扎卡里亚著上海译文出版社2014正义论罗尔斯著何怀宏, 何包钢,廖申白译中国社会科学出版社1988张鸣:唐宋诗词名篇精读题名责任者出版社出版年北大中国语言文学系第一课漆永祥北京大学出版社2013词与音乐关系研究施议对中国社会科学出版社1985迦陵论词丛稿叶嘉莹上海古籍出版社1980 李清照词集李清照上海古籍出版社2014 历代名篇赏析集成袁行霈高等教育出版社2009立雪集北京大学诗歌中心人民文学出版社2005名家讲宋词中华书局2013 名家解读宋词刘扬忠山东人民出版社1999全宋词中的乐舞资料金千秋人民音乐出版社1990 诗词散论缪钺上海古籍出版社1982 宋词辨谢桃坊上海古籍出版社1999宋代都市文化与文学风景张鸣北京语言大学出版社2013宋代歌舞剧曲录要刘永济中华书局2007 唐宋词汇评·两宋卷吴熊和浙江教育出版社2004 唐宋词汇评·唐五代卷王兆鹏浙江教育出版社2004 唐宋词鉴赏集人民文学出版社1983 唐宋词流派史刘扬忠福建人民出版社1999 唐宋词社会文化学研究沈松勤浙江大学出版社2000 唐宋词史杨海明江苏古籍出版社1987 唐宋词史的还原与建构王兆鹏湖北人民出版社2005 唐宋词通论吴熊和浙江古籍出版社1985 唐宋词选释俞平伯人民文学出版社1979 唐宋词与唐宋歌妓制度李剑亮浙江大学出版社1999 唐宋名家词选龙榆生上海古籍出版社1980 戏曲演唱论著辑释周贻白中国戏曲出版社1962 中国古典戏曲论著集成·第一集中国戏剧出版社1959 中国诗歌艺术研究袁行霈北京大学出版社1987。
北大经济学院推免生情况公示自北大经济学院推免生情况公示一览表发布之日起公示10个工作日。
电子邮箱地址:shasha@。
北大经济学院推免生情况公示一览表:北大经济学院推免生姓名北大经济学院推免生毕业学校北大经济学院推免生毕业专业北大经济学院推免生申请学位北大经济学院推免生拟录取专业名称北大经济学院推免生复试总成绩北大经济学院推免生是否初取北大经济学院推免生特殊类别陈剑隽北京大学金融学系硕士金融硕士87.6Y陈明熙北京大学环境、资源与发展经济学硕士金融硕士86.6Y戴骊颖北京大学经济方向金融学系硕士金融硕士90.4Y元培计划范雯琪北京大学经济学硕士金融硕士90.4Y方涵之中国人民大学数学与应用数学硕士金融硕士91.7Y葛艺璇北京大学风险管理与保险硕士金融硕士88.2Y郭科琪北京大学经济学系硕士金融硕士89.2Y胡东北京大学金融学硕士金融硕士89.8Y元培计划胡淑颖北京大学风险管理与保险学系硕士金融硕士86.8Y姜宁馨北京大学金融系硕士金融硕士89.4Y蒋欣芯北京大学金融学硕士金融硕士92.6Y元培计划李思婕北京大学金融学系硕士金融硕士87.2Y李婉婧北京大学发展经济学系硕士金融硕士87.2Y李文广上海财经大学经济学(基地班)硕士金融硕士81.65Y李治琴北京大学发展经济学硕士金融硕士90.2Y刘云恒南开大学金融学专业硕士金融硕士84Y卢宇轩北京大学经济学硕士金融硕士87.2Y吕瑞石北京大学哲学硕士金融硕士85Y学工选留吕苑章北京大学金融学硕士金融硕士88.6Y唐晟博北京大学材料化学硕士金融硕士86.95Y王成北京大学金融学硕士金融硕士86Y王申北京大学经济学系硕士金融硕士80Y学工选留王思凯北京大学金融系硕士金融硕士92Y王小溪北京大学考古学硕士金融硕士83Y学工选留王晓蕾北京大学经济学硕士金融硕士87.6Y王颖青北京大学经济学硕士金融硕士87Y闫日中山大学经济学硕士金融硕士85.9Y 杨懿北京大学金融数学硕士金融硕士80.95Y 殷无弦中央财经大学金融学硕士金融硕士86.95Y张菁窈中国人民大学公共事业管理硕士金融硕士78.65Y张霖梅北京大学金融学硕士金融硕士86.6Y 张婷北京大学经济学系硕士金融硕士88.6Y张逸昕北京大学资源环境与城乡规划管理硕士金融硕士81.2Y赵小萌对外经济贸易大学金融学硕士金融硕士82.8Y郑淦林北京大学化学硕士金融硕士82.8Y 周虹先北京大学财政学硕士金融硕士87.2Y 周缘南京大学金融工程硕士金融硕士88.9Y 陈同舟中国人民大学会计学硕士税务硕士81.75Y杜岩松北京大学国际经济与贸易硕士税务硕士86.8Y高鸣北京大学财政学系硕士税务硕士86.3Y郭宇宸北京大学国际经济与贸易硕士税务硕士80.4Y胡超北京大学经济学硕士税务硕士85Y学工选留黄青北京大学财政学硕士税务硕士83Y荆旗北京大学财政学硕士税务硕士88.7Y孔蕊中国人民大学财政学硕士税务硕士81.5Y赖旖虹对外经济贸易大学会计学硕士税务硕士83.75Y李锦晔南开大学国际会计硕士税务硕士86.5Y钱丛艺复旦大学财政学硕士税务硕士82.75Y苏莉西南财经大学财务管理硕士税务硕士82Y孙琪松北京大学历史学硕士税务硕士85Y支教团王昱杰北京大学概率统计硕士税务硕士85Y熊磊北京大学经济学硕士税务硕士83.2Y杨柳婷西南财经大学会计学硕士税务硕士81.25Y余臻武汉大学会计学(ACCA)硕士税务硕士83.5Y詹媛媛北京大学经济学硕士税务硕士84.6Y 张惟佳北京大学财政学系硕士税务硕士86.7Y 张瑶北京大学经济学硕士税务硕士84.6Y 周奕纯上海财经大学税务硕士税务硕士86.25Y 宗韶晖北京大学资源环境与硕士税务硕士75.4Y发展经济学陈广北京工商大学保险硕士保险硕士74.65Y 董博复旦大学保险系硕士保险硕士75.5Y 冯可北京大学经济系硕士保险硕士83Y冯月北京大学风险管理与保险硕士保险硕士90.2Y元培计划符妍舢北京大学金融学系硕士保险硕士85.6Y高原首都经济贸易大学经济学(实验班)硕士保险硕士77.75Y高子涵北京大学风险管理与保险硕士保险硕士85.72Y郭楠中央财经大学保险专业硕士保险硕士72.55Y廖君君对外经济贸易大学风险管理与保险硕士保险硕士77.4Y刘雨桐国际关系学院信息管理与信息系统(信息安全方向)硕士保险硕士74.1Y牛晓雨北京大学经济学硕士保险硕士89.6Y元培计划芮思佳北京大学风险管理与保险硕士保险硕士87.05Y申思北京大学风险管理与保险学系硕士保险硕士85Y石瑞琳北京大学风险管理与保险学系硕士保险硕士89.75Y田露露北京大学金融系硕士保险硕士80.2Y王方舟南开大学风险管理与保险硕士保险硕士84.1Y王开吉林大学经济学(国家经济学基础人才培养基地)硕士保险硕士73.5Y王越北京航空航天大学金融工程硕士保险硕士68.4Y肖羽莎南开大学保险硕士保险硕士76.6Y 叶明中央财经大学保险硕士保险硕士79.15Y袁运凯北京大学风险管理与保险学硕士保险硕士86.19Y张疏竹北京大学经济学硕士保险硕士84Y 朱杨昆北京大学金融学硕士保险硕士82Y 邹舜北京大学金融学硕士保险硕士80.6Y吴敬云北京大学风险管理与保险专业硕士保险硕士85.6y元培计划郭婷西北大学经济学基地班直博政治经济学79.5Y呼倩中国人民大学国民经济管理直博政治经济学74.55Y韩伟男北京大学经济学系直博经济史83.7Y 余航中国人民大学经济学直博西方经济学87.55Y 周泽宇中国人民大学经济学直博西方经济学88.8Y吴群锋南开大学国际经济与贸易直博世界经济71.5Y张玲玉厦门大学经济学本科国际化试点班直博人口、资源与环境经济学76.6Y张宁川武汉大学财政学直博财政学75.5Y冯凤荻南开大学电子信息科学与技术直博金融学79.8Y刘俊玮西安电子科技大学数学与应用数学直博金融学87.9Y杨铭北京师范大学经济学(实验班)直博金融学79.6Y刘淑彦北京大学应用数学直博应用经济学(风险管理与保险学)83.6Y刘子宁武汉大学数理经济与金融试验班经济学直博应用经济学(风险管理与保险学)79.4Y如果对北大经济学院推免表有疑问可以拨打电话:62751466,62757178,及时询问。
北京大学2019年教育学院拟录取推荐免试硕士研究生公示名单拟录取专业姓名复试成绩推荐学校本科专业备注高等教育学陈方舟95北京大学哲学冯静94中山大学外国语言文学类柴亦林93华东师范大学会计学刘雪婷92北京大学社会学倪晓畅90厦门大学社会学莫子又90中国人民大学英语马静雅88北京大学新闻学李波85北京大学外国语言与外国历史退役大学生士兵专项计划罗林瑶84北京大学行政管理教育技术学荣赛波 95北京大学广告学刘晋阳94北京大学化学姚智超93北京大学信息管理与信息系统唐曼云92南京师范大学教育技术学王钰茹91北京师范大学教育技术学王静89北京师范大学电子信息科学与技术周铭翩84中南财经政法大学信息管理与信息系统教育经济与管理冯沁雪95北京大学经济与金融钟泽凯95华南师范大学国际经济与贸易李孟泽95北京大学历史学丁传磊94山东大学市场营销陈得春93北京大学国际政治张涵露93北京大学资源、环境与产业经济学洪志玥93北京大学金融学曹宇莲92北京师范大学金融学朱婧92北京大学财政学詹婧91北京大学汉语言文学秦国浩90北京师范大学学前教育王婧玫90西南财经大学金融学张语菡89北京大学政治、经济与哲学施悦89北京大学城市管理田明周89北京师范大学经济学张孟夏86华东师范大学金融学张赵乐85北京大学汉语言文学退役大学生士兵专项计划赵雪松85北京大学法学学工直升姚张卓玥85北京大学汉语言文学学工直升何丽琼85北京大学广告学学工选留龙媛85北京大学艺术学理论类学工选留司哲85北京大学社会学学工选留韩耕85北京大学历史学学工选留黄剑英85北京大学生物科学支教团范一筱84中国人民大学会计学。
村落。
在当前的发展背景下,也面临着被破坏和同化的风险。
针对这种现象,艺术介入凭借自身的优势成为解决当前难题的有效手段,生态美学思想作为艺术介入传统村落中的指导理论,试图总结传统村落建设的有效策略,探索传统村落更新和可持续发展路径,为传统村落注入活力。
2研究现状2.1生态美学随着现代化的发展,技术文明在给人类社会带来了进步的同时,也带来了生态问题。
生态问题是当今社会的主要问题,传统村落可持续发展中的生态问题是保护生态环境的一个重要环节。
继20世纪90年代提出“可持续发展”方针后,我国近年来又提出了“建设环境友好型社会”和“生态文明建设”的发展目标。
生态美学是在时代和现实的需要下产生的。
它对人、自然和社会之间的关系进行交叉研究,以人、自然、社会三者之间的生态审美关系为研究对象,从而探索地域生态环境的应用,促进传统村落的可持续发展。
2.2艺术介入从20世纪60年代开始,艺术介入作为一种艺术实践逐渐渗透到社会的各个方面。
它的表现形式多样,以公共艺术、绘画艺术、环境艺术、多媒体艺术等多种形式介入乡村建设中。
艺术介入传统村落可持续发展的过程中,以传统村落为主体,营造乡村环境的舒适性和文化认同感,真正实现传统村落的美丽与富裕,使传统村落成为人们自觉自主选择的居住栖息地。
摘要 艺术介入传统村落,处理人与人、人与自然和人与社会之间关系的问题,生态美学注重在人、自然、社会三者之间的共生系统中追求生态关系之美。
对于传统村落的可持续发展,艺术介入作为手段,生态美学思想作为艺术介入传统村落的指导方法,以云南城子古村为例,分析传统村落中所蕴含的生态智慧,最后从村落自然环境、文化环境、社会环境三个方面,通过艺术介入的方式为传统村落的可持续发展提供策略,实现传统村落的复兴。
关键词 生态美学;艺术介入;传统村落;可持续发展中图分类号 TU982文献标识码 ADOI 10.19892/ki.csjz.2023.10.02Abstract The intervention of art in traditional villages is to dealwith the relationship between people, between people and nature, and between people and society. Ecological aesthetics focuses on the pursuit of the beauty of ecological relations in the symbiotic system among people, nature and society. For the sustainable development of traditional villages, art intervention is used as a means, and ecological aesthetics is used as a guiding method for art intervention in traditional villages. Taking Chengzi ancient village in Yunnan Province as an example, this paper analyzes the ecological wisdom contained in traditional villages, and finally provides strategies for the sustainable development of traditional villages through art intervention from the three aspects of the natural environment, cultural environment and social environment of the village, so as to realize the revival of traditional villages.Key words ecological aesthetics; artistic intervention; traditional villages; sustainable development1引言城市化的快速发展导致传统村落逐渐消亡,乡村呈现千村一面。
北京大学国家发展研究院(中国经济研究中心)一、本院简介北京大学国家发展研究院(NSD)是在著名的北京大学中国经济研究中心基础上新组建的、一个以综合性社会科学研究为主的科研教学机构,致力于中国社会科学的国际化、规范化、本土化,推进学科体系、学术观点和研究方法的创新。
北京大学中国经济研究中心将作为国家发展研究院的一个机构继续存在。
作为在国内外享有盛名的综合性大学,北京大学学科门类齐全,具有良好的学术气氛和学术传统,为跨学科的综合研究奠定了坚实的基础。
北京大学国家发展研究院致力于推进中国社会科学的综合研究,尝试组织跨学科的研究,培养综合性的国家发展高级人才,以综合性的知识集结服务于我国改革发展和全球新秩序的建设,服务于社会科学的发现与探索。
这也是实现北京大学在新时期创世界一流大学目标的一个重要组成部分。
国家发展研究院将以国家发展为中心议题,立足于中国改革发展与现代化的实践,前瞻性地提出重大的战略、制度、政策和基础理论问题,持续关注全球格局的演变,参与改革发展与建设国际新秩序的高层对话。
按照“小机构、大网络”的原则,组织跨学科的综合研究,培养综合性的国家发展高级人才,成为中国集结高水平综合性知识的一个学界思想库。
国家发展研究院现有博士生导师30名,陈平、宫玉振、龚强、海闻、胡大源、霍德明、雷晓燕、李立行、李玲、梁能、林毅夫、卢锋、马浩、平新乔、沈艳、宋国青、唐方方、汪丁丁、汪浩、巫和懋、鄢萍、姚洋、易纲、余淼杰、曾毅、曾志雄、张黎、赵耀辉、周其仁、朱家祥。
硕士研究生方向包括西方经济学、世界经济、政治经济学、金融学、经济史以及国民经济学等。
二、经济学双学士学位和经济学辅修介绍国家发展研究院经济学双学位(辅修)项目成立于1996年,其目的是为适应新时期我国社会主义现代化建设发展的需要,培养“厚基础、宽口径、高素质”、富有创新精神、跨学科优势的新型人才;以及选拔有志于经济学研究的优秀学生,培养世界一流的中国经济学家,和各行业未来的领军人才。
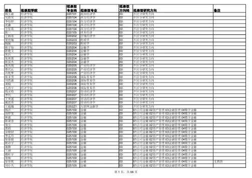
杨玉霜经济学院020101政治经济学00不区分研究方向吴晨笑经济学院020104西方经济学00不区分研究方向李怡婷经济学院020104西方经济学00不区分研究方向沈鑫经济学院020104西方经济学00不区分研究方向全星蓓经济学院020104西方经济学00不区分研究方向陈一经济学院020105世界经济00不区分研究方向王路瑶经济学院020202区域经济学00不区分研究方向夏恺楠经济学院020203财政学00不区分研究方向陶旋经济学院020203财政学00不区分研究方向陈子怡经济学院020204金融学00不区分研究方向陈楚文经济学院020204金融学00不区分研究方向朱沂经济学院020204金融学00不区分研究方向朱奕蓉经济学院020204金融学00不区分研究方向陈雷杰经济学院020204金融学00不区分研究方向郭美霞经济学院020205产业经济学00不区分研究方向蔡兴沁经济学院020205产业经济学00不区分研究方向吉乾梦经济学院020205产业经济学00不区分研究方向崔亚男经济学院020206国际贸易学00不区分研究方向刘思源经济学院020206国际贸易学00不区分研究方向龚娟经济学院020206国际贸易学00不区分研究方向毛浩宇经济学院020206国际贸易学00不区分研究方向钱灵枝经济学院020207劳动经济学00不区分研究方向李代经济学院020207劳动经济学00不区分研究方向王美莲经济学院020207劳动经济学00不区分研究方向戚孜青经济学院020207劳动经济学00不区分研究方向王超越经济学院0202Z1互联网金融学00不区分研究方向韩洪一经济学院025100金融0001公司金融 02资产管理 03金融管理 04数字金融汤舒雯经济学院025100金融0001公司金融 02资产管理 03金融管理 04数字金融林溪经济学院025100金融0001公司金融 02资产管理 03金融管理 04数字金融陈迎香经济学院025100金融0001公司金融 02资产管理 03金融管理 04数字金融周全经济学院025100金融0001公司金融 02资产管理 03金融管理 04数字金融黄政经济学院025100金融0001公司金融 02资产管理 03金融管理 04数字金融余晓妍经济学院025100金融0001公司金融 02资产管理 03金融管理 04数字金融李孟玲经济学院025100金融0001公司金融 02资产管理 03金融管理 04数字金融徐嘉婧经济学院025100金融0001公司金融 02资产管理 03金融管理 04数字金融陈诗宇经济学院025100金融0001公司金融 02资产管理 03金融管理 04数字金融施腾经济学院025100金融0001公司金融 02资产管理 03金融管理 04数字金融王涵经济学院025100金融0001公司金融 02资产管理 03金融管理 04数字金融楼昕宇经济学院025100金融0001公司金融 02资产管理 03金融管理 04数字金融周杨经济学院025100金融0001公司金融 02资产管理 03金融管理 04数字金融徐佳妮经济学院025100金融0001公司金融 02资产管理 03金融管理 04数字金融支教团刘小凡经济学院025100金融0001公司金融 02资产管理 03金融管理 04数字金融白文轩经济学院025100金融0001公司金融 02资产管理 03金融管理 04数字金融支教团段可心经济学院025100金融0001公司金融 02资产管理 03金融管理 04数字金融俞晨翎经济学院025100金融0001公司金融 02资产管理 03金融管理 04数字金融税小琴经济学院025100金融0001公司金融 02资产管理 03金融管理 04数字金融钱菁菁经济学院025100金融0001公司金融 02资产管理 03金融管理 04数字金融卢霞蔚经济学院025100金融0001公司金融 02资产管理 03金融管理 04数字金融姚晨希经济学院025100金融0001公司金融 02资产管理 03金融管理 04数字金融王佳艺经济学院025100金融0001公司金融 02资产管理 03金融管理 04数字金融李可心经济学院025100金融0001公司金融 02资产管理 03金融管理 04数字金融周晨豪经济学院025100金融0001公司金融 02资产管理 03金融管理 04数字金融於飞经济学院025100金融0001公司金融 02资产管理 03金融管理 04数字金融陆晶莹经济学院025100金融0001公司金融 02资产管理 03金融管理 04数字金融卢吟婧经济学院025100金融0001公司金融 02资产管理 03金融管理 04数字金融符林其经济学院025100金融0001公司金融 02资产管理 03金融管理 04数字金融连旭经济学院025100金融0001公司金融 02资产管理 03金融管理 04数字金融支教团郑博文经济学院025100金融0001公司金融 02资产管理 03金融管理 04数字金融杨含经济学院025100金融0001公司金融 02资产管理 03金融管理 04数字金融朱蓝燕经济学院025100金融0001公司金融 02资产管理 03金融管理 04数字金融思政系列朱矜颖经济学院025100金融0001公司金融 02资产管理 03金融管理 04数字金融钱雨欣经济学院025100金融0001公司金融 02资产管理 03金融管理 04数字金融甘燕芬经济学院025100金融0001公司金融 02资产管理 03金融管理 04数字金融陈学宇经济学院025100金融0001公司金融 02资产管理 03金融管理 04数字金融张岩经济学院025100金融0001公司金融 02资产管理 03金融管理 04数字金融思政系列张彤经济学院025100金融0001公司金融 02资产管理 03金融管理 04数字金融危泽华经济学院025100金融0001公司金融 02资产管理 03金融管理 04数字金融邓畅经济学院025100金融0001公司金融 02资产管理 03金融管理 04数字金融林钰婷经济学院025100金融0001公司金融 02资产管理 03金融管理 04数字金融施瑞峰经济学院025100金融0001公司金融 02资产管理 03金融管理 04数字金融蒋佳榛经济学院025100金融0001公司金融 02资产管理 03金融管理 04数字金融陈俊茹经济学院025100金融0001公司金融 02资产管理 03金融管理 04数字金融易际泉经济学院025100金融0001公司金融 02资产管理 03金融管理 04数字金融支教团熊宇潇经济学院025100金融0001公司金融 02资产管理 03金融管理 04数字金融王樱经济学院025100金融0001公司金融 02资产管理 03金融管理 04数字金融夏心怡经济学院025100金融0001公司金融 02资产管理 03金融管理 04数字金融苏晨经济学院025100金融0001公司金融 02资产管理 03金融管理 04数字金融冯雨经济学院025100金融0001公司金融 02资产管理 03金融管理 04数字金融余越经济学院025100金融0001公司金融 02资产管理 03金融管理 04数字金融吴欣宜经济学院025100金融0001公司金融 02资产管理 03金融管理 04数字金融张诗迪经济学院025100金融0001公司金融 02资产管理 03金融管理 04数字金融林雨侬经济学院025100金融0001公司金融 02资产管理 03金融管理 04数字金融陈宥瑾经济学院025300税务00不区分研究方向翁滢超经济学院025300税务00不区分研究方向张丽影经济学院025300税务00不区分研究方向蔡颜经济学院025300税务00不区分研究方向宋知恩经济学院025300税务00不区分研究方向陈梓萱经济学院025300税务00不区分研究方向罗丽东经济学院025300税务00不区分研究方向汪瑾池经济学院025300税务00不区分研究方向黄雄经济学院025400国际商务0001国际贸易与投资 02全球数字贸易毛纪云经济学院025400国际商务0001国际贸易与投资 02全球数字贸易徐舒蕙经济学院025400国际商务0001国际贸易与投资 02全球数字贸易耿学用经济学院025400国际商务0001国际贸易与投资 02全球数字贸易朱程红经济学院025400国际商务0001国际贸易与投资 02全球数字贸易刘一怡经济学院025400国际商务0001国际贸易与投资 02全球数字贸易许堪鑫经济学院025400国际商务0001国际贸易与投资 02全球数字贸易支教团李华胜经济学院025400国际商务0001国际贸易与投资 02全球数字贸易谈词经济学院025400国际商务0001国际贸易与投资 02全球数字贸易杜珂瑶经济学院025400国际商务0001国际贸易与投资 02全球数字贸易单熙哲经济学院025400国际商务0001国际贸易与投资 02全球数字贸易温可威经济学院025400国际商务0001国际贸易与投资 02全球数字贸易支教团彭茹经济学院025400国际商务0001国际贸易与投资 02全球数字贸易诸艺璇经济学院025400国际商务0001国际贸易与投资 02全球数字贸易韩伯元光华法学院030100法学01030101法学理论符镓麒光华法学院030100法学01030101法学理论项程凯光华法学院030100法学01030101法学理论黄钰婕光华法学院030100法学02030102法律史徐云鹏光华法学院030100法学03030103宪法学与行政法学蔡瑜光华法学院030100法学03030103宪法学与行政法学郑君曼光华法学院030100法学03030103宪法学与行政法学洪风光华法学院030100法学03030103宪法学与行政法学祁琦光华法学院030100法学05030105民商法学金微之光华法学院030100法学05030105民商法学马传铮光华法学院030100法学05030105民商法学退役大学生士兵计划齐文熠光华法学院030100法学05030105民商法学刘育成光华法学院030100法学06030106诉讼法学胡小璐光华法学院030100法学06030106诉讼法学张婉琳光华法学院030100法学07030107经济法学郑嘉淇光华法学院030100法学07030107经济法学王卓凡光华法学院030100法学07030107经济法学周冰倩光华法学院030100法学07030107经济法学张俊胡杰光华法学院030100法学07030107经济法学支教团吴楠光华法学院030100法学07030107经济法学涂方琪光华法学院030100法学08030108环境与资源保护法学徐思语光华法学院030100法学09030109国际法学罗响应光华法学院035101法律(非法学)00不区分研究方向谢智莲光华法学院035101法律(非法学)00不区分研究方向何沛珊光华法学院035101法律(非法学)00不区分研究方向胡琪宣光华法学院035101法律(非法学)00不区分研究方向李静光华法学院035101法律(非法学)00不区分研究方向赵雨晴光华法学院035101法律(非法学)00不区分研究方向姚力文光华法学院035101法律(非法学)00不区分研究方向徐白雪光华法学院035101法律(非法学)00不区分研究方向陈忆娴光华法学院035101法律(非法学)00不区分研究方向杨藩维光华法学院035101法律(非法学)00不区分研究方向高水平运动员单独名额许睿真光华法学院035101法律(非法学)00不区分研究方向梁露光华法学院035101法律(非法学)00不区分研究方向左越琪光华法学院035101法律(非法学)00不区分研究方向秦日中光华法学院035101法律(非法学)00不区分研究方向田茜岚光华法学院035101法律(非法学)00不区分研究方向叶子超光华法学院035101法律(非法学)00不区分研究方向黄孝怡光华法学院035101法律(非法学)00不区分研究方向姜卓依光华法学院035101法律(非法学)00不区分研究方向俞凯怡光华法学院035101法律(非法学)00不区分研究方向刘琪光华法学院035101法律(非法学)00不区分研究方向沈峻栗光华法学院035101法律(非法学)00不区分研究方向杨蕊宇光华法学院035101法律(非法学)00不区分研究方向郭子萌光华法学院035101法律(非法学)00不区分研究方向沈陈盼光华法学院035101法律(非法学)00不区分研究方向涂懿敏光华法学院035101法律(非法学)00不区分研究方向周依蝶光华法学院035101法律(非法学)00不区分研究方向姜一凡光华法学院035101法律(非法学)00不区分研究方向孙正光华法学院035101法律(非法学)00不区分研究方向支教团吴小强光华法学院035101法律(非法学)00不区分研究方向陈标杰光华法学院035101法律(非法学)00不区分研究方向朱安琪光华法学院035101法律(非法学)00不区分研究方向周旭晖光华法学院035101法律(非法学)00不区分研究方向杨轶涵光华法学院035101法律(非法学)00不区分研究方向范咪娜光华法学院035101法律(非法学)00不区分研究方向袁铭霞光华法学院035101法律(非法学)00不区分研究方向严琦光华法学院035101法律(非法学)00不区分研究方向胡昕桐光华法学院035101法律(非法学)00不区分研究方向蔡雨宸光华法学院035101法律(非法学)00不区分研究方向张潞艺光华法学院035101法律(非法学)00不区分研究方向李安迪光华法学院035101法律(非法学)00不区分研究方向王凯歌光华法学院035102法律(法学)00不区分研究方向张馨宇光华法学院035102法律(法学)00不区分研究方向邬馨远光华法学院035102法律(法学)00不区分研究方向王瑄光华法学院035102法律(法学)00不区分研究方向陈昶芸光华法学院035102法律(法学)00不区分研究方向邢朝颖光华法学院035102法律(法学)00不区分研究方向邵晓迪教育学院040100教育学01040101教育学原理林晨一教育学院040100教育学01040101教育学原理唐路靖教育学院040100教育学01040101教育学原理蔡小瑛教育学院040100教育学02040102课程与教学论李玥忞教育学院040100教育学02040102课程与教学论黄逸舒教育学院040100教育学02040102课程与教学论周晴雪教育学院040100教育学02040102课程与教学论思政系列吴爽教育学院040100教育学02040102课程与教学论陈怀鹏教育学院040100教育学03040103教育史卢可教育学院040100教育学04040104比较教育学王怡沁教育学院040100教育学04040104比较教育学张玮逸教育学院040100教育学04040104比较教育学王文言教育学院040100教育学05040106高等教育学顾超教育学院040100教育学05040106高等教育学王雅教育学院040100教育学05040106高等教育学徐文文教育学院040100教育学06040110教育技术学侯佩瑶教育学院040300体育学01040301体育人文社会学高涵教育学院040300体育学01040301体育人文社会学刘思琪教育学院040300体育学01040301体育人文社会学肖政教育学院040300体育学01040301体育人文社会学徐勇进教育学院040300体育学02040302运动人体科学戚博特教育学院040300体育学03040303体育教育训练学张雨林教育学院045117科学与技术教育00不区分研究方向陈恬昊教育学院045117科学与技术教育00不区分研究方向崔可心教育学院045117科学与技术教育00不区分研究方向彭馨谊教育学院045201体育教学00不区分研究方向马紫晨教育学院045202运动训练00不区分研究方向周艺霖教育学院045202运动训练00不区分研究方向滕紫彤教育学院045202运动训练00不区分研究方向李啸虎教育学院045202运动训练00不区分研究方向陈佳嘉教育学院045202运动训练00不区分研究方向张诗琪人文学院010102中国哲学00不区分研究方向接月人文学院010102中国哲学00不区分研究方向柴政雄人文学院010103外国哲学00不区分研究方向金皓清人文学院010103外国哲学00不区分研究方向余梦人文学院010103外国哲学00不区分研究方向张秋霞人文学院010105伦理学00不区分研究方向刘舒敏人文学院010107宗教学00不区分研究方向李梓菲人文学院010108科学技术哲学00不区分研究方向韩敦敏人文学院010108科学技术哲学00不区分研究方向金典卓人文学院010108科学技术哲学00不区分研究方向徐浙凯人文学院050101文艺学00不区分研究方向章懿颖人文学院050101文艺学00不区分研究方向马雯欣人文学院050102语言学及应用语言学00不区分研究方向闫方舟人文学院050103汉语言文字学00不区分研究方向阮惠颖人文学院050103汉语言文字学00不区分研究方向童彤人文学院050103汉语言文字学00不区分研究方向张珍珍人文学院050104中国古典文献学00不区分研究方向谢欣仪人文学院050104中国古典文献学00不区分研究方向罗远人文学院050104中国古典文献学00不区分研究方向杨淼人文学院050104中国古典文献学00不区分研究方向王毅人文学院050105中国古代文学00不区分研究方向王煜栋人文学院050105中国古代文学00不区分研究方向赵辛宜人文学院050105中国古代文学00不区分研究方向胡开灿人文学院050105中国古代文学00不区分研究方向吴灵姝人文学院050105中国古代文学00不区分研究方向陈佳囡人文学院050105中国古代文学00不区分研究方向周沁榕人文学院050106中国现当代文学00不区分研究方向徐云燕人文学院050106中国现当代文学00不区分研究方向陈虎人文学院050106中国现当代文学00不区分研究方向张拓人文学院050106中国现当代文学00不区分研究方向李心怡人文学院050106中国现当代文学00不区分研究方向公言海人文学院050106中国现当代文学00不区分研究方向支教团韩明睿人文学院050108比较文学与世界文学00不区分研究方向高一心人文学院050108比较文学与世界文学00不区分研究方向王牧天人文学院060200中国史01历史地理学戚雅荧人文学院060200中国史03中国古代史郭梦可人文学院060200中国史03中国古代史沈婷人文学院060200中国史03中国古代史黄楠人文学院060200中国史03中国古代史徐洁璐人文学院060200中国史03中国古代史梁诗敏人文学院060200中国史04中国近现代史吴萍人文学院060200中国史04中国近现代史樊世豪人文学院060200中国史04中国近现代史邹郑寅人文学院060200中国史04中国近现代史娄舒楠人文学院060300世界史00不区分研究方向戴佳梦人文学院060300世界史00不区分研究方向张艺瀚人文学院060300世界史00不区分研究方向王晨宇人文学院060300世界史00不区分研究方向龚天婴人文学院060300世界史00不区分研究方向郑羽外国语言文化与国际交流学院050201英语语言文学00不区分研究方向邢佳仪外国语言文化与国际交流学院050201英语语言文学00不区分研究方向倪文君外国语言文化与国际交流学院050201英语语言文学00不区分研究方向张金妹外国语言文化与国际交流学院050201英语语言文学00不区分研究方向欧宝怡外国语言文化与国际交流学院050201英语语言文学00不区分研究方向韩筱艳外国语言文化与国际交流学院050201英语语言文学00不区分研究方向左珈源外国语言文化与国际交流学院050201英语语言文学00不区分研究方向郭松硕外国语言文化与国际交流学院050201英语语言文学00不区分研究方向徐艳外国语言文化与国际交流学院050201英语语言文学00不区分研究方向王云燕外国语言文化与国际交流学院050202俄语语言文学00不区分研究方向杨诗琳外国语言文化与国际交流学院050202俄语语言文学00不区分研究方向胡路外国语言文化与国际交流学院050202俄语语言文学00不区分研究方向戴姿锐外国语言文化与国际交流学院050203法语语言文学00不区分研究方向申奥外国语言文化与国际交流学院050203法语语言文学00不区分研究方向徐寒珂外国语言文化与国际交流学院050204德语语言文学00不区分研究方向韩墨外国语言文化与国际交流学院050204德语语言文学00不区分研究方向王志彤外国语言文化与国际交流学院050205日语语言文学00不区分研究方向江雨欣外国语言文化与国际交流学院050205日语语言文学00不区分研究方向亓达外国语言文化与国际交流学院050211外国语言学及应用语言学00不区分研究方向周欣安外国语言文化与国际交流学院050211外国语言学及应用语言学00不区分研究方向汪义忻外国语言文化与国际交流学院050211外国语言学及应用语言学00不区分研究方向李梅芳外国语言文化与国际交流学院050211外国语言学及应用语言学00不区分研究方向叶子妍外国语言文化与国际交流学院050211外国语言学及应用语言学00不区分研究方向周晨亮外国语言文化与国际交流学院050211外国语言学及应用语言学00不区分研究方向姜悦晴外国语言文化与国际交流学院050211外国语言学及应用语言学00不区分研究方向李楚楠外国语言文化与国际交流学院050211外国语言学及应用语言学00不区分研究方向喻如诗外国语言文化与国际交流学院050211外国语言学及应用语言学00不区分研究方向成翌外国语言文化与国际交流学院050211外国语言学及应用语言学00不区分研究方向郑清颖外国语言文化与国际交流学院050211外国语言学及应用语言学00不区分研究方向陈晓芳外国语言文化与国际交流学院050211外国语言学及应用语言学00不区分研究方向赵柏锜外国语言文化与国际交流学院0502Z1国际组织与国际交流00不区分研究方向颜榕外国语言文化与国际交流学院0502Z1国际组织与国际交流00不区分研究方向魏远虹外国语言文化与国际交流学院0502Z1国际组织与国际交流00不区分研究方向刘雯婷外国语言文化与国际交流学院0502Z1国际组织与国际交流00不区分研究方向郑一然外国语言文化与国际交流学院0502Z1国际组织与国际交流00不区分研究方向柯瑶外国语言文化与国际交流学院0502Z1国际组织与国际交流00不区分研究方向刘雨欣外国语言文化与国际交流学院0502Z1国际组织与国际交流00不区分研究方向吕天悦外国语言文化与国际交流学院0502Z1国际组织与国际交流00不区分研究方向罗天昊外国语言文化与国际交流学院0502Z1国际组织与国际交流00不区分研究方向陈睿璟外国语言文化与国际交流学院0502Z1国际组织与国际交流00不区分研究方向唐满外国语言文化与国际交流学院0502Z1国际组织与国际交流00不区分研究方向巨心怡外国语言文化与国际交流学院0502Z1国际组织与国际交流00不区分研究方向杨慧翘外国语言文化与国际交流学院0502Z1国际组织与国际交流00不区分研究方向郭洺菲外国语言文化与国际交流学院0502Z1国际组织与国际交流00不区分研究方向彭逸外国语言文化与国际交流学院0502Z1国际组织与国际交流00不区分研究方向柳月悦外国语言文化与国际交流学院0502Z1国际组织与国际交流00不区分研究方向高铭君外国语言文化与国际交流学院0502Z1国际组织与国际交流00不区分研究方向蒋冉晨外国语言文化与国际交流学院0502Z1国际组织与国际交流00不区分研究方向宗雨外国语言文化与国际交流学院0502Z1国际组织与国际交流00不区分研究方向苗汇林外国语言文化与国际交流学院0502Z1国际组织与国际交流00不区分研究方向贾青倩外国语言文化与国际交流学院055101英语笔译00不区分研究方向刘欣外国语言文化与国际交流学院055101英语笔译00不区分研究方向吴可凡外国语言文化与国际交流学院055101英语笔译00不区分研究方向刘池恬外国语言文化与国际交流学院055101英语笔译00不区分研究方向魏欢外国语言文化与国际交流学院055101英语笔译00不区分研究方向张涵纳外国语言文化与国际交流学院055101英语笔译00不区分研究方向莫菲菲外国语言文化与国际交流学院055101英语笔译00不区分研究方向张乐怡外国语言文化与国际交流学院055101英语笔译00不区分研究方向常沙外国语言文化与国际交流学院055101英语笔译00不区分研究方向刘那生命科学学院071001植物学00不区分研究方向胡赛燕生命科学学院071001植物学00不区分研究方向马宇南生命科学学院071001植物学00不区分研究方向胡晓舟生命科学学院071001植物学00不区分研究方向王雨璇生命科学学院071001植物学00不区分研究方向张伊露生命科学学院071005微生物学00不区分研究方向雷嘉慧生命科学学院071005微生物学00不区分研究方向韩思睿生命科学学院071005微生物学00不区分研究方向王佳妍生命科学学院071005微生物学00不区分研究方向王熠晗生命科学学院071005微生物学00不区分研究方向王家豪生命科学学院071005微生物学00不区分研究方向周纯生命科学学院071007遗传学00不区分研究方向杨杰程生命科学学院071007遗传学00不区分研究方向肖琳生命科学学院071007遗传学00不区分研究方向黄辛果生命科学学院071007遗传学00不区分研究方向丁雪生命科学学院071007遗传学00不区分研究方向黄民华生命科学学院071007遗传学00不区分研究方向刘丁溪生命科学学院071008发育生物学00不区分研究方向王洁生命科学学院071009细胞生物学00不区分研究方向宫世萌生命科学学院071009细胞生物学00不区分研究方向王锐生命科学学院071009细胞生物学00不区分研究方向。
00931605金东奎双学位00946187董璘娜PPE 1000010070谢哲士双学位1000010313赖戬双学位1000010338王博双学位1000010380周岑溪双学位1000010538喻韵璇双学位1000011331敖日格乐双学位1000011334冯涛双学位1000012401田绍鸿双学位1000012729丁宇辰双学位1000012733左源双学位1000012778李文亮双学位1000012864吕培阳双学位1000013249崔婧靓双学位1000013919方梦琦双学位1000014152杜楠双学位1000014409余德江双学位1000014527霍思伊双学位1000016216杨文韬双学位1000016223苏秦双学位1000016270李洋双学位1000016273和思宇双学位1000016285盛星宇双学位1000016305张熙双学位1000016317任雨晴双学位1000016950何明帅双学位1000017677孙顺杰PPE 1000018402张群双学位1000018506毛蔚双学位1000018508刘欢番双学位1000018608何邦振双学位1000018711王洋双学位1000018817刘頔双学位1010108129李柳霖双学位1010108134井鑫双学位1010113130王麟双学位1100010604曾力玮双学位1100010609赵南双学位1100010626胡越双学位1100010663林祎露双学位1100011068温泽坤双学位1100011090崔静远双学位1100011366马玉林双学位1100011456张亦弛双学位1100011620徐韬双学位1100012158申玉哲双学位1100012404田定方双学位1100012801顾贤强双学位1100013215袁钰莹双学位1100013251袁玉玺双学位1100013533夏凡双学位1100013538李静宜双学位1100013539李秋维双学位1100013713潘歆乐双学位1100013917宾栋双学位1100013939刘怡萍双学位1100013954陈靖夫双学位1100013957岳汀双学位1100014129孙巧智双学位1100014131王青蕾双学位1100014917刘宇明双学位1100014934吕瑞石双学位1100015104张先弛双学位1100015105杨芳音双学位1100015160徐瑞双学位1100015168闫雪怡双学位1100015174洪叶双学位1100015198王天白双学位1100016207杨乐双学位1100016219赵育才双学位1100016220沈若菲双学位1100016236吴天枢双学位1100016245胡啸双学位1100016250胡皓双学位1100016251张锐双学位1100016260黄栋双学位1100016268王军双学位1100016291李园园双学位1100016310贾雪双学位1100016315张顼双学位1100016317闵兆鹏双学位1100016333王晨竹双学位1100016336王逸怡双学位1100016341王鹏双学位1100016611邢竹天双学位1100016634李乐章双学位1100016822牟思浩双学位1100016823张涵双学位1100016841裘一娴双学位1100016916陈楚仪双学位1100016934姚子玄双学位1100016935董红亮双学位1100016947王默儒双学位1100016956陈星月双学位1100017405肖美琳PPE 1100017437罗莉莎PPE 1100017443钱帅PPE 1100017447杨千叶双学位1100017607白晓旷双学位1100017657张晔双学位1100017682张春晓PPE 1100017689武韶慜PPE 1100017698朱超双学位1100017712吴丁一PPE 1100018213张富双学位1100018807陈敏双学位1100018835于欣田双学位1100061404韩帅斌双学位1100066905张霄宇双学位1110108110程萱双学位1110108116岳梅梅双学位1110113121崔明威双学位1110120117孔令赫双学位1110120126唐尧双学位1110305106朱奕彰双学位1110305115乐晓峰双学位1110305148王一帆双学位1110305150杨子逸双学位1110306111李拂晓双学位1110306117高雅静双学位1110306125刘佳兴双学位1110306208高鹏双学位1110307206傅洪哲双学位1110307315从双晨双学位1110615131张旸双学位1200010642安冬双学位1200010645汪湛双学位1200010715余冰双学位1200010733李勇锋双学位1200011015储成杰双学位1200011021钱伟志双学位1200011067马凯夫双学位1200011068罗建阳双学位1200011076马树灯双学位1200012422马博双学位1200012452于芳博双学位1200012624任悦溪双学位1200012703李美曈双学位1200012796蒋明轩双学位1200012815史默臻双学位1200012857柳毓双学位1200012956徐经纬双学位1200012969张雨思双学位1200013244王梦婷双学位1200013252朱昱玮双学位1200013254李铮铭双学位1200013505邓佳豪双学位1200013520黄越双学位1200013523杨皓哲双学位1200013527谢楠双学位1200013729罗志薇双学位1200013902李彦亮双学位1200013906施佳妍双学位1200013914及桐双学位1200013921金地双学位1200013929蔡畋双学位1200013943何思思双学位1200013947杨若兰双学位1200013967谭东方双学位1200014101王蕊双学位1200014712吴桐双学位1200014909张怡双学位1200014917张晓天双学位1200014954李清明双学位1200015107苑子豪双学位1200015125宋琦双学位1200015156郭澜双学位1200015173严云扬双学位1200015176李鸿献双学位1200015186杨旸双学位1200015188刘思雨双学位1200015193梁俊傑双学位1200016230杨爽双学位1200016259颜欣双学位1200016268王美月双学位1200016290许多双学位1200016314沈莹双学位1200016625王伟佳双学位1200016852庄秋玲双学位1200016955易辉双学位1200017302姜宇双学位1200017305何佩莲双学位1200017310王京晶双学位1200017430连心怡双学位1200017626顾思PPE 1200017634陈启凡PPE 1200017644阿思汗PPE1200018004鲁雨涵双学位1200018103商惟玮双学位1200018208王怡丹双学位1200018507朱雨卉双学位1200018603胡大炜双学位1200018819王小焓双学位1200092904裴廷佑双学位1210108132李星双学位1210113110姜妍馨双学位1210113115谢诗雨双学位1210113126张明宇双学位1210113136贾禹萌双学位1210113138伊欣双学位1210306122李曼双学位1210306123韩冰峰双学位1210306135王蒙双学位1210306205陈正超双学位1210307104贺长栋双学位1210307109孙雪双学位1210307221陈宽双学位90820114庞雨薇双学位W11194134郝园林双学位W11194160邢龙双学位W11194164王珍双学位W12194008刘凯罗双学位W12194011李萌双学位W12194023吴越双学位W12194030黄志杰双学位W12194035杨馨双学位W12194039徐悦来双学位W12194049林忠信双学位W12194057曲衍直双学位W12194058周文武双学位W12194075李丹丹双学位W12194076向立鹤双学位W12194084李阳双学位W12194106高宇曦双学位W12194122付一航双学位W12194124高洁双学位W12194132刘惠民双学位W12194145李恒森双学位W12194150刘威歆双学位W13194010刘文魁双学位W13194011颜韵双学位W13194012苏日娜双学位W13194013黄河福双学位W13194021曹艺丹双学位W13194024薛晗双学位W13194031张力双学位W13194033吴柯双学位W13194034叶辛欧文双学位W13194035杨品澍双学位W13194037王申皓双学位W13194040许珊双学位W13194044薛芬双学位W13194045林添双学位W13194046蒋蓉双学位W13194047王佳倩双学位W13194056沈文轩双学位W13194057张文双学位W13194058常捷双学位W13194059郭旭东双学位W13194062马奥娜双学位W13194069杨宗霖双学位W13194079文赋双学位W13194083王晓爽双学位W13194089王晓光双学位W13194091景思杰双学位W13194097邹佩轩双学位W13194098邱晗双学位W13194105何青秋双学位W13194106王璐双学位W13194107韩润奇双学位W13194116赵晋锋双学位W13194117张梅双学位W13194122崔琳双学位W13194135竺文彬双学位W13194141王邦国双学位W13194143韩颖慧双学位W13194146刘赫双学位W13194147冯显骏双学位W13194148姬昱双学位W13194153季欣双学位W13194158向为双学位W13194159周思蕊双学位W13194160宋阳双学位W13194163马丁双学位W13194166刘乌兰双学位W13194168周于双学位W13194174赵孟灏双学位W13194181蔡倜然双学位W13194183赵明璐双学位1000010206匡超PPE 1100017404施嘉旎PPE1100017420招熙琳PPE 1100017421周俊龙PPE 1100017423栾凯茹PPE 1100017429张宏薇PPE 1100017458翟珮云PPE 1100017681邢伟康PPE 1200014928王艳伟PPE 1200017406魏忠凯PPE 1200017436刘东奇PPE 1200017445吴泽民PPE 1200017448成希希PPE 1200017618曾阳PPE 1200017659罗家胜PPE 1200017692熊延深PPE 1200094611朴宰亨PPE 1200094612徐智明PPE 1300017406李雨晗PPE 1300017419尹含玥PPE 1300017664梁霄PPE P1*******魏诚一旁听p1*******王涵旁听1301110878董涛博士1301111312王淼博士1301210087孙小东硕士1301210294吕明达硕士10917267李颖杰硕士1301210622付万良硕士1201212584俞辉硕士1301212627谷明硕士1201214233苏晓童硕士1301214375鲍石硕士1301214377陈箐箐硕士1301214378邓欢硕士1301214379付雪晴硕士1301214380雷雯硕士1301214381李航硕士1301214382李潇潇硕士1301214383李雪文硕士1301214384李瑶硕士1301214385刘通硕士1301214386陆佳仪硕士1301214387彭雪硕士1301214388饶一博硕士1301214389苏丹硕士1301214390熊婉茹硕士1301214391杨翱翔硕士1301214392杨春雨硕士1301214393叶林涛硕士1301214395胡闳彰硕士1301214396范晶伟硕士1301214397李惠璇硕士1301214398刘泽宇硕士1301214399石森硕士1301214400万洋坤硕士1301214401王晶硕士1301214402徐超硕士1301214403张万硕士1301214404周昱成硕士1301214405蔡昀硕士1301214406关楠硕士1301214407关盼龙硕士1301214408关芮硕士1301214409宿媛媛硕士1301214410张耘昊硕士1101214195刘硕辰硕士1301214518陈水煜硕士1301214588王力华硕士1301214650贺泽亚硕士1301214664文天祚硕士1301214763郭前进硕士1401930008譚雅文交换生。
应用经济学硕士研究生培养方案(学科代码:0202)一、培养目标本学科致力于培养具有严谨求实的学术作风,德、智、体全面发展,具有坚定正确的政治方向,具有扎实的经济学理论基础、合理的知识结构和宽广的知识面,具有独立从事经济研究的能力,能胜任经济类课程的教学,能胜任实际经济工作。
较为熟练地掌握一门外语并能阅读本学科的外文资料;毕业后可承担本学科的教学、科研工作和中高层次的经济管理工作;具有健康的心理和体魄。
二、学科专业1、区域经济学2、数量经济学3、财政学(含税收学)4、产业经济学5、统计学三、学习年限及应修学分全日制硕士研究生的学习年限一般为3年。
在完成培养要求的前提下,对少数学业优秀、科研成果突出的硕士生,可申请提前毕业,提前期一般不超过1年。
如确需延长学习年限的,延长期一般不超过1年。
至少须修满35学分,其中,课程学习32学分,实践环节3学分。
四、课程设置及考核方式(具体见课程设置与教学计划表)实践环节由科研实践和教学实践组成,科研实践必须参加校内外相关学科学术会议1次,撰写心得体会一份(计1学分);选听学科前沿系列讲座1次,至少6学时;撰写相关文献综述一份(计1学分)。
教学实践必须听课30学时,讲课30学时,提交教学大纲一份(计1学分)。
科研实践和教学实践均由导师负责考核。
五、培养方式研究生由导师及导师小组全面负责培养,以导师指导和本学科教师集体培养相结合为原则,建立和完善有利于学术群体作用的培养机制。
课程学习和研究并重;专业课的学习采取系统讲授、重点辅导、讨论讲座以及任课教师制定参考文献、书目,学习阅读后写综述和评论等多种形式。
加强研究生的自学能力、表达能力、写作能力、实际工作能力等的训练和培养。
六、学位(毕业)论文研究生在修完全部学位课程和修满所要求的总学分后,要在导师的指导下,进行学位(毕业)论文的研撰,由硕士研究生独立完成,论文写作时间不少于一年。
论文选题必须经过充分调查研究,查阅相关的文献,了解国内外本领域的研究历史和现状,选择本学科内有重要学术价值和实用价值、研究基础较为薄弱的问题,或能为解决当前、当地经济和社会发展的热点、难点问题以及为政府决策提供借鉴的问题作为论文选题;研究生确定了论文选题后,在论文写作之前,必须撰写开题报告,开题报告应包括论文选题的理由或意义、国内外有关该论题研究的现状及趋势、本人的详细研究计划、写作提纲、主要参考文献等内容。
北京大学文化经济学第五讲整理(2010年3月20日)整理人:郭瑛、李宜轩我们从这周开始进入另外一个话题,文化人类学。
这是比文化经济学更古老的问题。
一、文化人类学的重要性马克思是西方公认的文化人类学家之一。
恩格斯曾经如此评述马克思的奉献:正像达尔文发觉有季节的进展规律一样,马克斯发觉了人类历史的进展规律,即历史为繁茂芜杂的意识形状所掩盖着的一个简单事实:人们必须第一吃,喝,住,穿,然后才能从事政治、科学、技术、宗教等等;因此,直截了当的物质的生活资料的生产,一个民族或一个时代的一定的经济进展时期,便构成为基础,人们的国家制度、法的观念、艺术以至宗教观念,确实是从那个基础上进展起来的,因而,也必须由那个基础来说明,而不是像过去那样做得相反。
他对马克思奉献的概括是十分客观的,是作为一个学者、科学家的判定。
1这段话对我阻碍深刻。
我认为,人们在关注的大差不多上马克思的发觉,如无产阶级专政、剩余价值论等,这些事实上与对全人类文化的探究相比,并没有那么重要。
进入21世纪时,美国一家杂志期刊发起了关于“哪几本著作阻碍20世纪人类进展”的评书运动,中国唯独当选的一本书是毛泽东的军事著作。
专门多思想家都认为20世纪的潮流是技术第一,而毛泽东却认为,人的因素是第一的,这种思想越来越受到重视。
毛泽东在著作中否定了专门多西方思想家认为农民落后的看法。
而事实也证明,那些没有受过教育、最卑微的、最没有斗争力的农民,通过毛泽东思想的阻碍,产生了专门强的斗争力,而且改变了传统的军队组织形状。
毛泽东将马克思主义中国化,普遍推行双头政治,将支部建在连上,使得没有武器、没有工业基础的农民军队最终击败了强大的敌军,才有了今天独立自主的新中国。
毛泽东还指出,上层建筑会对历史做出反应,他坚持相互作用论。
这与索罗斯认为的人的预期会阻碍市场有相似的含义。
1恩格斯《在马克思墓前的讲话》《马克思恩格斯选集第三卷》北京人民出版社1972 P574从世界的眼光看来,中国的奉献是专门大的。
课程号课程名课程类别学分教师班号开课单位专业开课年级2530170《资本论》选读专业必修2方敏(副教授)1经济学院经济学112533860博弈论基础任选21经济学院经济学类102534310财政学研究方法任选2袁诚(副教授)1经济学院财政学102534550东亚经济任选2刘群艺(副教授)1经济学院国际经济与贸易112533700动态优化理论任选3张博(教授)1经济学院环境、资源与发展经济学112533430俄罗斯经济任选2孙薇(副教授)1经济学院国际经济与贸易112530150发展经济学专业必修3叶静怡(教授)1经济学院经济学112534950风险管理模型与应用任选2陈凯(讲师)1经济学院保险10 2533390福利经济学任选2唐翔(讲师)1经济学院财政学11130211高等数学(B)(一)习题课专业必修0关启安(讲师)17经济学院经济学类13130211高等数学(B)(一)习题课专业必修0关启安(讲师)18经济学院经济学类13130211高等数学(B)(一)习题课专业必修0唐林(副教授)19经济学院经济学类13130211高等数学(B)(一)习题课专业必修0唐林(副教授)20经济学院经济学类132534420个人财务管谢世清(副2534200风险管理学专业必修3刘新立(副教授)1经济学院保险11经济学院保险102530460财产与责任保险专业必修3朱南军(副教授)12532390保险会计任选3朱南军(副教授)1经济学院保险112533570公司金融专业必修3崔巍(副教授)1经济学院金融学112532510公债管理任选2钱立(副研究员)1经济学院财政学102534100国际宏观经济学任选2唐翔(讲师)1经济学院国际经济与贸易112532440国际金融组织任选2谢世清(副教授)1经济学院金融学102533840国际税收专业必修2刘怡(教授)1经济学院财政学102530071宏观经济学“习题课”专业必修0唐翔(讲师)1经济学院经济学类122533650环境核算与环境会计任选2章政(教授)1经济学院环境、资源与发展经济学112533370环境资源经济学专业必修3曹和平(教授)1经济学院环境、资源与发展经济112530070宏观经济学专业必修3唐翔(讲师)1经济学院经济学类122530090国际贸易专业必修3李权(副教授)1经济学院国际经济与贸易102530480国际经济学专业必修3陶涛(副教授)1经济学院国际经济与贸易112530100国际金融专业必修3施建淮(教授)2经济学院金融学112530100国际金融专业必修3吕随启(副教授)1经济学院金融学112533570公司金融任选3李心愉(教授)2经济学院保险112534710激励理论与经济发展任选3张鹏飞(副教授)1经济学院环境、资源与发展经济学112532240金融经济学导论专业必修3宋芳秀(副教授)1经济学院金融学102533161经济学原理(Ⅰ)讨论课专业必修0平新乔(教授)1经济学院经济学类132533161经济学原理(Ⅰ)讨论课专业必修0平新乔(教授)2经济学院经济学类132533161经济学原理(Ⅰ)讨论课专业必修0平新乔(教授)3经济学院经济学类132533161经济学原理(Ⅰ)讨论课专业必修0平新乔(教授)4经济学院经济学类132533161经济学原理(Ⅰ)讨论课专业必修0平新乔(教授)5经济学院经济学类132533161经济学原理(Ⅰ)讨论课专业必修0平新乔(教授)6经济学院经济学类132533161经济学原理(Ⅰ)讨论课专业必修0平新乔(教授)7经济学院经济学类132533161经济学原理(Ⅰ)讨论课专业必修0平新乔(教授)8经济学院经济学类132533161经济学原理(Ⅰ)讨论课专业必修0平新乔(教授)9经济学院经济学类132533161经济学原理(Ⅰ)讨论课专业必修0平新乔(教授)10经济学院经济学类132533161经济学原理(Ⅰ)讨论课专业必修0平新乔(教授)11经济学院经济学类132533161经济学原理(Ⅰ)讨论课专业必修0平新乔(教授)12经济学院经济学类132533161经济学原理(Ⅰ)讨论课专业必修0平新乔(教授)13经济学院经济学类132533161经济学原理(Ⅰ)讨论课专业必修0平新乔(教授)14经济学院经济学类132530140计量经济学专业必修3李绍荣(教授)1经济学院经济学类112534060货币银行学专业必修3刘宇飞(副教授)1经济学院金融学112534130跨国公司管理任选2王跃生(教授)1经济学院国际经济与贸易11课程号课程名课程类别学分教师班号开课单位专业开课年级2533980美国经济任选2戚自科(副教授)1经济学院国际经济与贸易122533670农村金融学任选2王曙光(教授)1经济学院金融学122534780区域经济学专业必修3张辉(副教授)1经济学院环境、资源与发展经济学112533830商业银行管理任选2李连发(副教授)1经济学院金融学112531080社会保险任选2蒋云赟(副教授)1经济学院财政学112534880社会实践专业必修1叶静怡(教授)1经济学院经济学112534880社会实践专业必修1杜丽群(教授)2经济学院经济学112534880社会实践专业必修1崔小勇(讲师)3经济学院经济学112534880社会实践专业必修1夏庆杰(副教授)4经济学院经济学112534880社会实践专业必修1管汉晖(副教授)5经济学院经济学112533490世界经济史专业必修21经济学院国际经济与贸易112534560世界经济与中国任选2陈仪(讲师)1经济学院国际经济与贸易122532250数理经济学任选3钱立(副研究员)1经济学院财政学112530051统计学专业必修3袁诚(副教授)1经济学院财政学112530340投资学专业必修3胡坚(教授)1经济学院金融学102534470土地经济学任选3张辉(副教授)1经济学院环境、资源与发展经济学102534000生态经济学任选3季曦(副教授)1经济学院环境、资源与发展经济学112534240人寿与健康保险专业必修3姚奕(讲师)1经济学院保险112534540微观计量方法任选2夏庆杰(副教授)1经济学院经济学102530061微观经济学“习题课”专业必修0刘文忻(教授)1经济学院经济学类122530061微观经济学“习题课”专业必修0张元鹏(副教授)2经济学院经济学类122534280卫生经济学限选2锁凌燕(讲师)1经济学院保险112534300现代金融理论简史任选2曹和平(教授)1经济学院环境、资源与发展经济学12131470线性代数(B)习题专业必修0周健(讲师)11经济学院经济学类12131470线性代数(B)习题专业必修0周健(讲师)12经济学院经济学类12131470线性代数(B)习题专业必修0王立中(副教授)13经济学院经济学类12131470线性代数(B)习题专业必修0王立中(副教授)14经济学院经济学类122533950信托与租赁任选2秦春华(研究员)1经济学院经济学类122532260信息经济学专业必修3李绍荣(教授)1经济学院经济学112534380应用经济计量任选2秦雪征(副教授)1经济学院经济学102533690应用时间序列分析任选3赵留彦(副教授)1经济学院金融学102534570中国对外经贸战略任选2薛旭(副教授)1经济学院国际经济与贸易11经济学院经济学类122535020证券投资学任选3崔巍(副教授)12530060微观经济学专业必修3张元鹏(副教授)2经济学院金融学112530060微观经济学专业必修3刘文忻(教授)1经济学院经济学类122532340中国经济史专业必修2管汉晖(副教授)1经济学院经济学112534490中国商业管理思想任选2周建波(教授)1经济学院经济学12上课时间及教室备注1~16周每周周四3~4节一教3041~16周每周周二3~4节文史2011~16周单周周四5~6节文史2011~16周每周周一3~4节三教207Luke Geldermans 全英文授课1~16周每周周三5~6节二教2061~16周双周周四5~6节二教2061~16周每周周一1~21~16周每周周五3~4节文史1151~16周每周周四7~9节三教1061~16周每周周三7~8节三教2031~16周每周周四10~12节电连12 1~16周每周周四10~11节二1~16周双周周三1~2节二教4161~16周每周周四3~4节二教4161~16周每周周一3~4节三教1061~16周每周周三10~11节二1~16周每周周三10~11节二1~16周每周周三10~11节二1~16周每周周三10~11节三1~16周每周周三7~9全英文授课节三教4031~16周双周周一3~4节三教5011~16周每周周三3~4节三教5011~16周每周周四3~4节理教4131~16周每周周三10~11节一1~16周每周周三1~2节一教3021~16周双周周五1~2节一教3021~16周每周周三1~2节二教5011~16周双周周五1~2节二教5011~16周每周周五3~4节二教3141~16周每周周二3~4节文史2191~16周双周周四3~4节文史2191~16周每周周二1~2节理教2091~16周双周周三1~2节理教2091~16周每周周五3~4节理教2151~16周每周周二7~8节二教3131~16周每周周四5~6节二教3131~16周双周周二10~11节理1~16周每周周二3~4节三教1061~16周每周周二1~16周双周周三5~6节三教4061~16周每连12周周三10~12节三1~16周每周周二7~8节二教3091~16周每周周四5~6节二教3091~16周每周周一7~9节三教3031~16周单周周一10~11节文1~16周单周周一10~11节文1~16周单周周一10~11节文1~16周单周周一10~11节文1~16周单周周一10~11节文1~16周单周周一10~11节文1~16周单周周一10~11节文1~16周双周周一10~11节文1~16周双周周一10~11节文1~16周双周周一10~11节文1~16周双周周一10~11节文1~16周双周周一10~11节文1~16周双周周一10~11节文1~16周双周周一上课时间备注及教室1~16周每周周四1~2节理教2041~16周每周周四1~2节二教3191~16周每周周三7~9节三教3081~16周双周周二5~6节二教2021~16周每周周四7~8节二教2021~16周每周周三10~11节一1~16周每周周四7~8节二教3081~16周每周周一3~4节一教1031~16周双周周三3~4节一教1031~16周每周周五1~2吴乐旻节二教5271~16周每周周二7~8节三教5081~16周每周周二7~9节一教3091~16周每周周一7~9节三教4041~16周每周周二7~9节二教4041~16周每周周二7~9连91~16周每周周二3~4节理教4081~16周每周周四7~8节理教4081~16周每周周三7~8节电教1141~16周每周周五3~4节电教1141~16周每周周四10~11节理1~16周每周周四10~11节文1~16周每周周三7~8节理教3181~16周每周周三10~11节理1~16周每周周一10~11节三1~16周每周周一10~11节二1~16周每周周一10~11节二1~16周每周周一10~11节一1~16周每周周五3~4节二教4201~16周每连9周周一7~9节理教4071~16周每全英文授课周周三3~4节三教1061~16周每周周四10~12节理1~16周每周周二1~2节三教407全英文授课1~16周双周周三3~4节三教4071~16周每周周三7~8节理教2091~16周每周周三3~4节理教408。
熊澄宇:学者就是学习的人交谈的过程中,熊澄宇教授自始至终很随和,可是我,作为一个采访者,却不断地触到兴奋点,让我在惊喜之余陷入深深的思索。
熊澄宇教授是清华大学新媒体研究中心主任、教授、博士生导师,清华大学新闻与传播学院副院长,此外,他的头衔还可以列出一大单,如国家信息化战略研究中心主任、中国国际文化交流中心理事等等……但他始终谦逊地强调:“我就是一个学者――学者,本质上就是一个学习的人。
”传媒正走向尊重个性的分众传播熊澄宇教授的主要研究方向是新媒体传播、媒介史及传播政策,特别是对现代媒体形态的变化,以及由此产生的对人、对社会的影响,有着更为敏感的关注。
熊教授说:“现代媒体形态的变化,对人对社会产生了深远的影响,从前,我们只从科学的角度关注,现在已经开始从人文的角度关注,这还不够,进一步我们还应该从经济学角度来关注。
”说起大众传媒的发展,熊澄宇教授谈到了他的新观点。
他说,媒介从传统划分上可以分为两大类,一类是人际传播媒介,是点对点的,如说话、写信。
人际传播媒介是天然的,是人类在沟通、感情交流的需要中自发的;另一类则是大众传播媒介,而大众传播媒介则带有明显的社会属性。
最早的可以称之为大众传媒的东西就是文字,而文字的产生恰恰是和国家的产生同步的。
四大古国是和最早的文字同时出现,如巴比伦的苏美尔文字、印度的古印度文、埃及的古埃及文,但它们都随着时光的流逝而消亡了,今天,面对雄伟石柱上的雕刻文字,只有专业考古人员才能研究出个大概……而惟独中国,在世界四大古文明中,只有中国的文明没有中断过,一脉相承地发展至今。
大众传媒的最初始是文字,文字是和国家同步出现的,这就体现了大众传媒的基本属性――统一。
它是更多地考虑到总体的、集体的、国家的需求,把个性融于共性。
那么,今天在探讨大众传媒时,我们就要面对一个新的问题:如何在当今多元化的世界中,承认差异,尊重个性?人类已经充分注意并重视了这个问题,在联合国教科文组织的报告里也提到,要“一个世界,多种声音”。
元培计划实验班获得各种奖励情况
市级个人奖励名单:2002~2003年度,沙珧获得北京市三好学生荣誉称号2003~2004年度,乔元华获得北京市优秀学生干部荣誉称号2003~2004年度,尚书连获得北京市三好学生荣誉称号
校级个人奖励奖学金名单:
2001-2002年度元培计划评优名单
三好学生标兵:白真智
三好学生:沙珧、郑士胜、罗嘉元、江媛、殷帆、韩凌
优秀学生干部:张康
学习优秀奖:许诺、孙勇义、王婷
社会工作奖:韩菲、王东升、赵翔、李凡
2001-2002年度元培计划奖学金评定名单
中国石油奖(优秀):尚书连王婷
中国石油奖(优困):高虹远许诺
五四奖学金:韩菲莫莉沙珧
光华奖:李正坤赵翔
靳羽西奖:韩凌
侨心奖:肖云刘璐刘建龙
2003~2004学年度元培计划奖学金评定初评名单。
2010年3月7日文化经济学课堂整理说明:本次录音资料全场120分钟,是由00718082 张怡然同学与00624106熊澄宇同学合作完成,两位同学分别负责前后60分钟的整理(请见分割线)。
本次整理主要是尊重老师课堂口述原意,并做了失当调整和修改。
如有不足,请直接联系:yiran.cheung@ &aliey@一、传统的文化经济学局限传统的文化经济学主张的静态分析是不够的,比如“通俗艺术不赚钱而高雅艺术赚钱”是一条普世定律。
在具体谈这一点之前,我想提一下中国的艺术文化市场。
中国不是被西方化而是被美国化了,西方欧洲国家艺术审美极高,看他们大学生的审美能力就知道。
对比看来,北大这样一个中国顶尖学府,艺术氛围却非常缺乏。
记得我在奥斯丁的时候,每个礼拜六在当地大学都会举办国际民间舞,3个小时中30多种舞蹈竞相登场,几乎没有中国的舞蹈。
其实不禁要问,什么是中国的舞蹈呢?秧歌么?其实很多艺术到中国都是一个“中式化”的进程,不像国外的艺术,在细小的分支也能自成一派。
美国的舞蹈界这几十年变化很大:国际标准舞越来越风靡,不再是指上流社会的宠儿;街舞呢从街头的舞蹈,成为风靡全球的舞蹈竞技。
国标通过地区比赛到国际比赛,从小众发展壮大,从高雅文化到大众追捧,非常活跃,这样的关于艺术在市井与高雅之间相互转化的现象非常有趣。
其实在中国这样的现象也层出不穷,比如二人转,本来是东北最市井、最下里巴人的民间艺术,但是现在却成了春节晚会上的小品宠儿。
说到这里,不得不说中国人民的小品中,老是喜欢以嘲笑农民、女人为主题,这样的艺术一拿到国际舞台上就会挨批。
中国主流媒体的变化,在强调迎合大众审美的同时,其实在冒一个风险。
因为即使是通俗的东西,也需要精英分子来提升、来改变,才能真正能登大雅之堂。
当然了,民歌方面做的其实是比较出色的,但是中国人舞蹈艺术的修养很差。
北大这样的学校就应该提供高雅舞蹈的场地,创造艺术的氛围。
目前的文化经济学研究的领域太窄,一般仅限高雅艺术——歌剧、音乐会、芭蕾舞、博物馆等,忽略了民间艺术、基础科学、现代影像等,这些都没有包涵在内,文化经济学的体系结构就不完整。
当今社会,特别是好莱坞及其相关的文化产业是不能被忽视的,还有奥运会等体育赛事。
比如福娃,塑造这样的形象,其造就的相关产业是非常巨大的。
现在的文化经济学研究,应该充分利用互联网的优势,比以往朝着更加全面、深入的方向来发展。
二、文化经济学的起源:艺术家为何穷困潦倒William Baumol (1966)曾经说过,“Performing arts: the economic dilemma.”解决这个问题,有一种解释简而言之是“市场失败”。
我们举齐白石的作品拍卖的案例。
从时间序列记录发现,投资艺术品是高风险,低回报的投资行为;中国现在经济处于高速发展时期,经济高速增长的经济体的艺术品市场是很有前景的。
辩证分析,艺术品的主要特点是装饰品、奢侈品、公共品。
经济能力强的人,越倾向于艺术品装饰品这个用途。
而将艺术品堪称奢侈品主要是看重其价值和价格。
公共品是谁都想享受却没人愿意为之付钱的东西,艺术品就正是能带来的正的外部性。
由于这三个特点彼此有相互排斥的地方,所以艺术品市场就非常麻烦——市场化最大的问题在于市场的导向与社会发展的导向不吻合。
莫扎特、贝多芬的时代,音乐是属于贵族的高雅艺术,大众是市井的、文化水平低下的。
这样一来,创新就会受到影响,这是由于人类很多灵感来自于画展、音乐会等这些不同领域的艺术的熏陶和启发。
匈牙利科学院,一进门就是女神的巨画,下面就是一个字,inspiration——这就是创新的来源。
为什么是女神象征智慧与灵感呢?因为在西方世界里,知识女性是艺术创新的社会土壤。
严济慈先生留学法国,也常常提到,法国的许多重要的思想,无论文学还是科学,都来自于沙龙中文化与思想的碰撞。
而沙龙的主人正是被称为社会粘合剂的女性。
中国人历来讲究文人相亲,西方人也是如此,比如犹太人有科学的传统。
西方人在沙龙中结交有人,少不了女人的辅佐。
永远追求时尚的女人,好奇心强,而且富有爱心,能够尊重、支持人才。
中国缺乏这样的对女人的态度,中国文人聚会时是官员当道,官员组织的文人聚会是很诡异的。
比如北京论坛的宴会,男士总是聚成一桌,没有女人——这些有魅力、有头脑的粘合剂。
西方沙龙体现他们喜新,中国茶馆则表现而我们爱旧,而艺术是否繁荣是测量女性社会精神地位的指标,中国的艺术若要走向世界则需要更加高雅。
艺术行业都是和历史文化、教育相关的。
中国有悠久的历史文化,但是我们现在很难、很少有人有机会去或者有能力去欣赏昆曲等戏曲节目。
再看看日本,他们虽然历史文化远不及中国,但是在战后,日本经济高速发展的时期,日本的艺术品在美国的艺术品交易市场上非常受欢迎,这都得益于日本产的产品在商品出口上赢得了美国的市场。
日本对美国带来影响的,不仅仅是汽车等工业制品,还有电视剧、动漫、小说等文化艺术产品。
当今中国经济正在崛起,中国的文化人应该不断发现中国文化中的美,将它用国际化的语言告诉世界。
中国文化主流里面,悲的成分太多了,恩恩怨怨的故事太多了。
《红楼梦》是瑰宝,但是很难被西方世界所体味,相比之下,《道德经》、《孙子兵法》更能让国际世界所接受。
我们需要的是国际视野,不应该是永远以悲观的态度来进行无休止的自我批判。
另外一种理论,是从供求出发。
现代经济学的核心就是供给,艺术品市场上,供给是有限的,每件艺术产品,都是一个单独的垄断,这样一来,替代也是有限。
古典经济学一个重要的问题就是一有失业就怪价格刚性,好像一个“价格弹性”就能把什么问题都解决了。
所以,文化经济学中往往是统计数据为主,经济学曲线是不能表达的。
价格理论在艺术产业中不能使用,我们可以说出现了市场缺陷(market gap)。
在民间,小乐队成本很底,市场接受度很高,可以周游巡演,就能够获得很大的收益。
但是这样的经济模式到了高雅艺术就可能不可行,因此在这样多元的艺术市场中,民间的赞助和政府补贴就起到了非常重要的作用。
那么民间为什么愿意赞助?首先,科斯理论是解释不了的。
科斯的理论的核心思想是“边际概念”和“替代概念”,其理论指出,竞争将降低沉本。
省钱的人错过省钱就错过了挣钱的机会,但是投资也有风险,所以需要考虑风险回报。
投资和消费是不同的概念,但是在经济学理论里面界限不清。
科斯理论中的交易成本,商业社会中的商业广告就是一种。
但是比如说一种酒认为酒香不怕巷子深,拒绝做广告,而别的产品大做广告,占领了市场。
这里的广告是花费还是投资呢?物理学中的例子也可以援引。
三、艺术品定价机制边际定价在艺术品交易中是比较罕见。
友人字画的定价可以这样讲,是按照社会地位等边际因素定价的成本加成定价在电影《罗丹的情人》中有很好的体现。
影片让我们看到,艺术品的定价是一个公司的综合运作,有垄断定价的性质,而且非常复杂,有时候甚至还非常黑暗。
罗丹相当于一个包工头的角色,承接政府订单,由一群人完成这个定价的过程。
法国政府和中国的儒家文化控制下的政府是不同的,古代中国的皇帝想要大兴土木,一定会遭到群臣上书反对,所以历史悠久的中国在建筑方面远不及埃及、罗马、希腊等文明古国。
但是法国人则不同,法国政治领袖就想通过修建建筑、艺术馆来来名垂青史。
在那个时代,罗丹就是这样一个实践这个过程的人,他身兼艺术家、科学家、组织家等多重身份,来完成这项浩大的工程。
电影中的艺术品,就是采用的成本加成定价。
当美国的工业逐渐走向外包,制造业方面也不及世界其他新兴国家的时候,美国好莱坞的造梦工厂还是在不断创造奇迹。
好莱坞的梦幻史创于迪士尼的壮举。
曾经一度面临破产的公司,却在迪士尼先生的改造下成为了一个将文化与商业串联的庞大产业。
另一个角度,从MIT的media lab我们也能看到美国电影工业的强大,科学技术为这项艺术工程奠定了雄厚的基础。
在我看来,经济学家所使用的数学是最最蹩脚的,电影工业中蕴含的数学更加有价值。
最近上映的3D巨片《阿凡达》,仅仅简单的故事情节和情感内涵,却在技术的打造下,加上成功的商业运作与气势恢宏的广告营销造势,创造了天神下凡般的票房神话。
另外有一点值得注意的是,为什么哈佛商学院学费如此高昂?为什么歌剧院的上座率不到一半还是坚持原价?这是因为,很多文化产品在出售的更多是一种“身份”。
在十年以前,中国有个成衣品牌叫金利来,在当时中国几乎完全自由竞争的低端服装市场上,大部分商家都是打价格战,但是金利来却坚持高出成本定价,而且凭借这个能上台面的名字“金利来”,深深抓住了中国消费者好面子、讲牌子的心理。
这种价格信号,传达出来的是产品背后所想要体现的身份与地位。
比如领带,本身就不是生活中的必需品,佩戴领带更多的是一种身份的炫耀。
因此现代社会的新贵们,更加倾向于这样的奢侈品消费,他们将歌剧这样的文化享受,也看作是一种对身份的炫耀和标榜。
谈到策略定价,一定要从NBA入手。
NBA球赛的门票永远都是供不应求的,主办方为何情愿让黄牛党倒票也不涨价呢?个人认为,低价是为了制造人气。
人气是对于文化产品最重要的资本,人气高了,广告、赞助经费就会源源不断了。
GOOGLE同样也是运用的这个道理,免费的搜索带来的激增的人气,人气聚拢了,广告资源也就有了。
这也可以解释为什么微软一直容忍盗版的存在,即使是盗版,受众都用,那么自然而然就击垮了Mac的操作系统。
很可惜,中国市场在微软进入之初没有抓住这个机会,在当时完全可以依靠政府势力将微软挡在门外,收购当时岌岌可危的苹果,然后将装载苹果操作系统的中国品牌电脑推向市场。
所以,free有时候是个很致命的王牌,利用雄厚的资本,短期击溃竞争者,取得市场,保持垄断地位。
策略定价中,还应该提到价格歧视,在文化经济学中,可以用非线性价格来定义这种状况。
简单的说,就是批发打折出售,这也是获得垄断的方法。
跨国的超市——沃尔玛、家乐福都是采用的这么方式,薄利多销,占领市场。
很多跨国公司就这样在中国攫取利益,利用中国便宜的劳动力,为他们实现价格歧视奠定基础。
其实,要扭转中国国民贫富收入差距大的趋势,就是限制这些跨国公司的剥削,他们就是在压低中国劳动力的价格。
价格歧视在文化产业中也是很多见的,比如在维也纳,听新年音乐会是开启一年的最好方式。
金碧辉煌的金色大厅,也会出售价格低廉的学生票,为收入不多的学生们制造一个享受顶级听觉盛宴的机会。
但是低价票买到的位臵,就是音乐厅的的站票,但这是一个培养社会上音乐新秀很好的激励方式。
再回过头来看看盗版,美国大学中使用的微软软件也多是盗版,微软罚不治众,于是微软就和学校达成打折协议,低价卖给学生老师使用。
这样的“钓鱼政策”,用低价带来的是人才的培养。
------------------------以上部分系张怡然同学整理,以下是熊澄宇同学整理------------------谈到价格刚性,张五常卖橘,收摊、下雨,边际成本定价可行。