2016年北京大学光华管理学院考研录取名单公示
- 格式:docx
- 大小:36.63 KB
- 文档页数:2
北京大学考研班-光华管理学院2015年推荐免试研究生拟录取名单光华管理学院2015年推荐免试研究生拟录取名单,按照专业--层次--姓名排序:序号姓名层次拟录取专业推荐学校复试成绩1陈晓威硕士国民经济学北京大学资源环境与城乡规划管理902丁成硕士国民经济学西南财经大学经济学943方铭硕士国民经济学北京大学金融学专业金融经济学方向924姜静妍硕士国民经济学北京大学金融经济学885李赫然硕士国民经济学北京大学资源环境与城乡规划管理786刘蓝予硕士国民经济学清华大学测试技术与仪器777魏冬硕士国民经济学四川大学金融学788武韶慜硕士国民经济学北京大学政治学、经济学与哲学839赵玮璇硕士国民经济学南开大学经济学8510白惠天直博生国民经济学北京大学金融经济学8911曹光宇直博生国民经济学北京大学金融学8612仇心诚硕士产业经济学北京大学金融经济方向9513冯采硕士产业经济学北京航空航天大学光电通信7514龙鑫硕士产业经济学中央财经大学数理经济与数理金融8715辛星直博生产业经济学北京大学经济学8216陈磊硕士统计学北京师范大学统计学9517郭雪硕士统计学浙江大学统计学9818王雅琼硕士统计学华东师范大学统计与精算学系9719张爽硕士统计学北京大学金融9620陈昱直博生统计学中国人民大学统计学9421李云霞硕士金融学对外经济贸易大学会计学8922林祎露硕士金融学北京大学金融数学系9323罗英华硕士金融学北京大学物理学9024孙常蕾硕士金融学山东大学金融学9225温馨硕士金融学西南财经大学金融工程9226夏李欣泽硕士金融学清华大学工商管理9027延续硕士金融学清华大学经济与金融9028张驰硕士金融学复旦大学金融学9229陈文生直博生金融学武汉大学金融学9430胡亚辉直博生金融学对外经济贸易大学金融学9531许尧直博生金融学西南财经大学金融学(双语实验班)9232包正钰硕士金融北京大学金融数学系8333蔡金旭硕士金融北京大学金融经济82 34柴英楠硕士金融北京大学金融学82 35陈晨硕士金融北京大学金融学82 36陈健雄硕士金融北京大学金融经济82 37程晨硕士金融清华大学经济与金融(国际班)80 38程逸豪硕士金融武汉大学金融学80 39程振宇硕士金融清华大学经济与金融(国际班)81 40段童琳硕士金融清华大学经济与金融80 41范思婕硕士金融浙江大学财务管理81 42封帆硕士金融北京大学金融84 43付英娇硕士金融北京大学金融学80 44黄宇健硕士金融北京大学金融学82 45贾亚楠硕士金融北京大学财政学84 46蒋雅茜硕士金融北京大学国际政治经济学80 47解环宇硕士金融北京大学金融80 48晋睿智硕士金融北京大学金融系84 49李茳淼硕士金融清华大学计算机科学与技术(实验班)85 50李天予硕士金融北京大学微电子81 51梁莹爽硕士金融中山大学金融82 52林毅坤硕士金融中国人民大学金融学81 53刘璟宇硕士金融清华大学经济与金融82 54刘婧硕士金融北京大学金融学84 55刘文哲硕士金融北京大学材料化学80 56刘盈杏硕士金融武汉大学金融学82 57陆维翔硕士金融北京大学金融82 58马保良硕士金融清华大学机械工程及自动化82 59任婧硕士金融清华大学工业工程82 60宋叶青硕士金融清华大学经济与金融84 61苏佳媛硕士金融上海交通大学金融学85 62孙思伟硕士金融北京大学微电子学81 63汤逊硕士金融北京大学金融学83 64宛茹雪硕士金融西南财经大学金融学84 65王康佳硕士金融武汉大学金融工程81 66王梦妍硕士金融复旦大学经济学82 67王鹏飞硕士金融外交学院法学85 68王园晔硕士金融清华大学电子信息科学与技术80 69吴仪扬硕士金融北京大学光华金融经济8570许嘉捷硕士金融复旦大学经济学84 71薛子钊硕士金融北京大学微电子学80 72杨芳音硕士金融北京大学国际政治84 73杨帅硕士金融中国人民大学公共事业管理83 74游景稀硕士金融中山大学财务管理83 75张雨晴硕士金融北京大学金融学83 76张志远硕士金融上海交通大学信息工程84 77章诗琪硕士金融复旦大学国际政治80 78赵晨宇硕士金融北京大学国际政治85 79周洪彬硕士金融北京大学物理80 80朱楠枝硕士金融北京大学会计81 81朱一江硕士金融清华大学经济与金融(国际班)84 82庄睿智硕士金融中国人民大学国民经济管理80 83柴剑彬直博生管理科学与工程厦门大学管理科学90 84李浩直博生管理科学与工程天津大学信息管理与信息系统90 85孙磊直博生管理科学与工程武汉大学统计学86 86肖娴直博生管理科学与工程中国人民大学信息管理与信息系统90 87许睿谦直博生管理科学与工程中央财经大学管理科学90 88杨慧琴直博生管理科学与工程北京交通大学物流管理(实验班)90 89叶丽莎直博生管理科学与工程华中师范大学电子商务80 90周季蕾直博生管理科学与工程北京邮电大学工程管理90 91邓喆硕士会计学北京大学会计学92 92董骄阳硕士会计学北京大学会计学96 93蔺怿霏硕士会计学北京大学会计90 94罗棪心硕士会计学中央财经大学会计学93 95王丹烨硕士会计学北京大学金融95 96王慧硕士会计学南京大学会计学88 97许晓琛硕士会计学北京大学会计学86 98张千玉硕士会计学北京大学会计学89 99周妍硕士会计学北京大学会计91 100姜舒舒直博生会计学浙江大学会计学95 101吴素云直博生会计学武汉大学会计学95 102范云静硕士企业管理中国人民大学人力资源管理70 103管智爽硕士企业管理中国人民大学人力资源管理71 104林子祥硕士企业管理外交学院英语专业73 105齐薪添硕士企业管理北京大学社会学78 106隗青华硕士企业管理中国人民大学工商管理80107易霓虹硕士企业管理北京大学会计73 108张芩珲硕士企业管理北京大学社会学83 109陈启慧直博生企业管理中央财经大学应用心理学86 110姜舒文直博生企业管理北京大学市场营销88 111李世豪直博生企业管理武汉大学市场营销80 112刘欣直博生企业管理中国人民大学劳动与社会保障75 113邵如琛直博生企业管理中南财经政法大学国际商务85 114施浪直博生企业管理中国传媒大学工商管理89 115吴婧瑜直博生企业管理中南财经政法大学农林经济管理83 116吴禹直博生企业管理中国人民大学人力资源管理82 117薛晓诺直博生企业管理中央财经大学社会学95 118袁静婷直博生企业管理中国人民大学农林经济管理84本名单自即日起公示十个工作日。
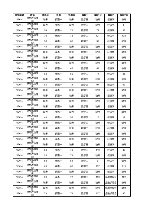
考生编号政治政治分外语外语分科目1科目1分科目2科目2分1E+14思想政治理论缺考英语一缺考数学三缺考经济学缺考1E+14思想政治理论缺考英语一缺考数学三缺考经济学51E+14思想政治理论54英语一76数学三71经济学381E+14思想政治理论70英语一74数学三131经济学1381E+14思想政治理论58英语一63数学三92经济学缺考1E+14思想政治理论49英语一缺考数学三缺考经济学缺考1E+14思想政治理论缺考英语一缺考数学三缺考经济学缺考1E+14思想政治理论缺考英语一缺考数学三缺考经济学缺考1E+14思想政治理论缺考英语一缺考数学三缺考经济学缺考1E+14思想政治理论56英语一65数学三58经济学缺考1E+14思想政治理论62英语一60数学三14经济学251E+14思想政治理论缺考英语一缺考数学三缺考经济学缺考1E+14思想政治理论65英语一73数学三97经济学991E+14思想政治理论缺考英语一缺考数学三缺考经济学缺考1E+14思想政治理论缺考英语一缺考数学三缺考经济学缺考1E+14思想政治理论缺考英语一缺考数学三缺考经济学缺考1E+14思想政治理论缺考英语一缺考数学三缺考经济学缺考1E+14思想政治理论缺考英语一缺考数学三缺考经济学缺考1E+14思想政治理论49英语一59数学三16经济学121E+14思想政治理论缺考英语一缺考数学三缺考经济学缺考1E+14思想政治理论缺考英语一缺考数学三缺考经济学缺考1E+14思想政治理论缺考英语一缺考数学三缺考经济学缺考1E+14思想政治理论缺考英语一缺考数学三缺考经济学缺考1E+14思想政治理论缺考英语一缺考数学三缺考经济学缺考1E+14思想政治理论54英语一76数学三119经济学891E+14思想政治理论55英语一73数学三缺考经济学缺考1E+14思想政治理论58英语一51数学三9经济学缺考1E+14思想政治理论69英语一66数学三137经济学1131E+14论69英语一72数学三139金融学综合1221E+14思想政治理论缺考英语一缺考数学三缺考金融学综合缺考1E+14思想政治理论缺考英语一缺考数学三缺考金融学综合缺考1E+14思想政治理论73英语一79数学三127金融学综合951E+14思想政治理论缺考英语一缺考数学三缺考金融学综合缺考1E+14思想政治理论缺考英语一缺考数学三缺考金融学综合缺考1E+14思想政治理论65英语一63数学三117金融学综合981E+14思想政治理论41英语一73数学三缺考金融学综合缺考1E+14思想政治理论40英语一43数学三缺考金融学综合91E+14思想政治理论缺考英语一缺考数学三缺考金融学综合缺考1E+14思想政治理论44英语一53数学三8金融学综合121E+14思想政治理论缺考英语一缺考数学三缺考金融学综合缺考1E+14思想政治理论缺考英语一缺考数学三缺考金融学综合缺考1E+14思想政治理论60英语一72数学三92金融学综合481E+14思想政治理论缺考英语一缺考数学三缺考金融学综合缺考1E+14思想政治理论61英语一78数学三115金融学综合821E+14思想政治理论44英语一15数学三缺考金融学综合缺考1E+14思想政治理论缺考英语一缺考数学三缺考金融学综合缺考1E+14思想政治理论缺考英语一63数学三缺考金融学综合561E+14思想政治理论64英语一56数学三98金融学综合921E+14思想政治理论73英语一71数学三141金融学综合961E+14思想政治理论60英语一78数学三53金融学综合141E+14思想政治理论42英语一34数学三21金融学综合141E+14思想政治理论51英语一58数学三35金融学综合341E+14思想政治理论缺考英语一缺考数学三缺考金融学综合221E+14思想政治理论缺考英语一缺考数学三缺考金融学综合缺考1E+14思想政治理论42英语一53数学三26金融学综合26思想政治理1E+14论65英语一71数学三148金融学综合1051E+14思想政治理论67英语一76数学三134金融学综合1091E+14思想政治理论缺考英语一缺考数学三缺考金融学综合缺考1E+14思想政治理论69英语一83数学三106金融学综合1151E+14思想政治理论39英语一40数学三缺考金融学综合缺考1E+14思想政治理论缺考英语一缺考数学三缺考金融学综合缺考1E+14思想政治理论64英语一56数学三72金融学综合551E+14思想政治理论59英语一62数学三88金融学综合841E+14思想政治理论49英语一65数学三75金融学综合631E+14思想政治理论66英语一67数学三61金融学综合721E+14思想政治理论缺考英语一缺考数学三缺考金融学综合缺考1E+14思想政治理论65英语一79数学三125金融学综合801E+14思想政治理论52英语一58数学三85金融学综合811E+14思想政治理论缺考英语一缺考数学三缺考金融学综合缺考1E+14思想政治理论64英语一71数学三83金融学综合651E+14思想政治理论58英语一66数学三121金融学综合1081E+14思想政治理论缺考英语一缺考数学三缺考金融学综合缺考1E+14思想政治理论缺考英语一缺考数学三缺考金融学综合缺考1E+14思想政治理论62英语一75数学三138金融学综合1081E+14思想政治理论73英语一79数学三143金融学综合1201E+14思想政治理论58英语一79数学三65金融学综合791E+14思想政治理论61英语一76数学三47金融学综合691E+14思想政治理论53英语一51数学三57金融学综合331E+14思想政治理论缺考英语一缺考数学三缺考金融学综合缺考1E+14思想政治理论54英语一65数学三93金融学综合751E+14思想政治理论缺考英语一缺考数学三缺考金融学综合缺考1E+14思想政治理论63英语一58数学三106金融学综合73思想政治理1E+14论缺考英语一缺考数学三缺考金融学综合缺考1E+14思想政治理论69英语一64数学三117金融学综合1001E+14思想政治理论66英语一66数学三117金融学综合971E+14思想政治理论66英语一84数学三131金融学综合1121E+14思想政治理论72英语一71数学三38金融学综合411E+14思想政治理论64英语一81数学三126金融学综合1191E+14思想政治理论72英语一78数学三128金融学综合941E+14思想政治理论41英语一74数学三110金融学综合01E+14思想政治理论58英语一55数学三88金融学综合481E+14思想政治理论75英语一84数学三148金融学综合1211E+14思想政治理论58英语一79数学三48金融学综合571E+14思想政治理论69英语一62数学三124金融学综合811E+14思想政治理论62英语一66数学三79金融学综合691E+14思想政治理论69英语一78数学三135金融学综合1011E+14思想政治理论缺考英语一缺考数学三缺考金融学综合缺考1E+14思想政治理论46英语一76数学三9金融学综合171E+14思想政治理论68英语一71数学三132金融学综合1121E+14思想政治理论59英语一62数学三71金融学综合391E+14思想政治理论缺考英语一缺考数学三缺考金融学综合缺考1E+14思想政治理论缺考英语一缺考数学三缺考金融学综合缺考1E+14思想政治理论缺考英语一缺考数学三缺考金融学综合171E+14思想政治理论54英语一63数学三15金融学综合341E+14思想政治理论54英语一67数学三73金融学综合541E+14思想政治理论61英语一81数学三142金融学综合931E+14思想政治理论73英语一82数学三112金融学综合1091E+14思想政治理论缺考英语一缺考数学三缺考金融学综合缺考1E+14思想政治理论74英语一88数学三143金融学综合100思想政治理1E+14论48英语一72数学三8金融学综合291E+14思想政治理论缺考英语一缺考数学三缺考金融学综合缺考1E+14思想政治理论61英语一83数学三119金融学综合1031E+14思想政治理论缺考英语一缺考数学三缺考金融学综合缺考1E+14思想政治理论63英语一81数学三123金融学综合861E+14思想政治理论缺考英语一缺考数学三缺考金融学综合缺考1E+14思想政治理论缺考英语一缺考数学三缺考金融学综合缺考1E+14思想政治理论43英语一39数学三76金融学综合941E+14思想政治理论43英语一74数学三77金融学综合571E+14思想政治理论缺考英语一68数学三缺考金融学综合151E+14思想政治理论66英语一73数学三130金融学综合911E+14思想政治理论缺考英语一缺考数学三缺考金融学综合缺考1E+14思想政治理论66英语一79数学三146金融学综合1161E+14思想政治理论75英语一84数学三147金融学综合1061E+14思想政治理论58英语一77数学三86金融学综合781E+14思想政治理论缺考英语一缺考数学三缺考金融学综合缺考1E+14思想政治理论68英语一81数学三127金融学综合941E+14思想政治理论缺考英语一缺考数学三缺考金融学综合缺考1E+14思想政治理论59英语一46数学三14金融学综合511E+14思想政治理论缺考英语一缺考数学三缺考金融学综合缺考1E+14思想政治理论48英语一66数学三103金融学综合1061E+14思想政治理论74英语一81数学三128金融学综合921E+14思想政治理论缺考英语一缺考数学三缺考金融学综合缺考1E+14思想政治理论60英语一77数学三82金融学综合871E+14思想政治理论缺考英语一缺考数学三缺考金融学综合缺考1E+14思想政治理论缺考英语一缺考数学三缺考金融学综合缺考1E+14思想政治理论缺考英语一缺考数学三缺考金融学综合缺考思想政治理1E+14思想政治理论53英语一55数学三72金融学综合301E+14思想政治理论66英语一84数学三138金融学综合971E+14思想政治理论69英语一73数学三143金融学综合971E+14思想政治理论缺考英语一缺考数学三缺考金融学综合缺考1E+14思想政治理论76英语一79数学三130金融学综合1011E+14思想政治理论69英语一78数学三99金融学综合831E+14思想政治理论缺考英语一缺考数学三缺考金融学综合缺考1E+14思想政治理论71英语一88数学三126金融学综合1151E+14思想政治理论65英语一74数学三116金融学综合901E+14思想政治理论缺考英语一缺考数学三缺考金融学综合缺考1E+14思想政治理论缺考英语一缺考数学三缺考金融学综合缺考1E+14思想政治理论缺考英语一缺考数学三缺考金融学综合缺考1E+14思想政治理论61英语一85数学三95金融学综合781E+14思想政治理论缺考英语一缺考数学三缺考金融学综合缺考1E+14思想政治理论缺考英语一缺考数学三缺考金融学综合缺考1E+14思想政治理论缺考英语一缺考数学三缺考金融学综合缺考1E+14思想政治理论缺考英语一缺考数学三缺考金融学综合缺考1E+14思想政治理论56英语一61数学三67金融学综合431E+14思想政治理论59英语一67数学三121金融学综合911E+14思想政治理论70英语一84数学三133金融学综合1091E+14思想政治理论72英语一79数学三144金融学综合1081E+14思想政治理论57英语一70数学三53金融学综合481E+14思想政治理论缺考英语一缺考数学三缺考金融学综合缺考1E+14思想政治理论53英语一76数学三103金融学综合851E+14思想政治理论缺考英语一缺考数学三缺考金融学综合缺考1E+14思想政治理论51英语一64数学三133金融学综合441E+14思想政治理论缺考英语一缺考数学三缺考金融学综合缺考1E+14思想政治理论64英语一78数学三110金融学综合100思想政治理1E+14思想政治理论缺考英语一缺考数学三缺考金融学综合缺考1E+14思想政治理论68英语一88数学三134金融学综合921E+14思想政治理论54英语一73数学三130金融学综合971E+14思想政治理论缺考英语一缺考数学三缺考金融学综合缺考1E+14思想政治理论缺考英语一缺考数学三缺考金融学综合缺考1E+14思想政治理论60英语一70数学三118金融学综合641E+14思想政治理论缺考英语一缺考数学三缺考金融学综合缺考1E+14思想政治理论59英语一46数学三64金融学综合811E+14思想政治理论缺考英语一缺考数学三缺考金融学综合缺考1E+14思想政治理论71英语一71数学三130金融学综合851E+14思想政治理论缺考英语一缺考数学三缺考金融学综合缺考1E+14思想政治理论61英语一63数学三95金融学综合701E+14思想政治理论缺考英语一缺考数学三缺考金融学综合缺考1E+14思想政治理论缺考英语一缺考数学三缺考金融学综合缺考1E+14思想政治理论48英语一67数学三12金融学综合321E+14思想政治理论缺考英语一缺考数学三缺考金融学综合缺考1E+14思想政治理论缺考英语一缺考数学三缺考金融学综合缺考1E+14思想政治理论缺考英语一缺考数学三缺考金融学综合缺考1E+14思想政治理论缺考英语一缺考数学三缺考金融学综合缺考1E+14思想政治理论68英语一84数学三146金融学综合891E+14思想政治理论50英语一59数学三43金融学综合01E+14思想政治理论75英语一66数学三117金融学综合831E+14思想政治理论64英语一86数学三134金融学综合1151E+14思想政治理论56英语一55数学三30金融学综合71E+14思想政治理论62英语一74数学三121金融学综合1021E+14思想政治理论67英语一77数学三126金融学综合931E+14思想政治理论69英语一75数学三73金融学综合601E+14思想政治理论65英语一71数学三83金融学综合81思想政治理1E+14思想政治理论64英语一62数学三122金融学综合791E+14思想政治理论缺考英语一缺考数学三缺考金融学综合缺考1E+14管理类联考综合能力104英语二731E+14管理类联考综合能力缺考英语二缺考1E+14管理类联考综合能力缺考英语二缺考1E+14管理类联考综合能力122英语二381E+14管理类联考综合能力缺考英语二缺考1E+14管理类联考综合能力缺考英语二缺考1E+14管理类联考综合能力100英语二651E+14管理类联考综合能力133英语二821E+14管理类联考综合能力116英语二631E+14管理类联考综合能力88英语二231E+14管理类联考综合能力缺考英语二缺考1E+14管理类联考综合能力130英语二841E+14管理类联考综合能力129英语二671E+14管理类联考综合能力103英语二731E+14管理类联考综合能力120英语二701E+14管理类联考综合能力102英语二631E+14管理类联考综合能力115英语二491E+14管理类联考综合能力95英语二581E+14管理类联考综合能力缺考英语二缺考1E+14管理类联考综合能力136英语二671E+14管理类联考综合能力158英语二851E+14管理类联考综合能力117英语二771E+14管理类联考综合能力131英语二841E+14管理类联考综合能力153英语二791E+14管理类联考综合能力141英语二791E+14管理类联考综合能力117英语二56管理类联考1E+14综合能力缺考英语二缺考1E+14管理类联考综合能力88英语二791E+14管理类联考综合能力缺考英语二缺考1E+14管理类联考综合能力96英语二621E+14管理类联考综合能力144英语二841E+14管理类联考综合能力110英语二741E+14管理类联考综合能力149英语二851E+14管理类联考综合能力121英语二411E+14管理类联考综合能力缺考英语二缺考1E+14管理类联考综合能力111英语二811E+14管理类联考综合能力95英语二351E+14管理类联考综合能力103英语二421E+14管理类联考综合能力138英语二861E+14管理类联考综合能力141英语二821E+14管理类联考综合能力110英语二731E+14管理类联考综合能力缺考英语二缺考1E+14管理类联考综合能力113英语二811E+14管理类联考综合能力缺考英语二缺考1E+14管理类联考综合能力96英语二621E+14管理类联考综合能力缺考英语二缺考1E+14管理类联考综合能力92英语二661E+14管理类联考综合能力115英语二751E+14管理类联考综合能力144英语二851E+14管理类联考综合能力85英语二471E+14管理类联考综合能力104英语二811E+14管理类联考综合能力缺考英语二缺考1E+14管理类联考综合能力111英语二56管理类联考1E+14综合能力103英语二751E+14管理类联考综合能力109英语二791E+14管理类联考综合能力118英语二751E+14管理类联考综合能力缺考英语二缺考1E+14管理类联考综合能力133英语二691E+14管理类联考综合能力158英语二751E+14管理类联考综合能力102英语二781E+14管理类联考综合能力106英语二651E+14管理类联考综合能力117英语二731E+14管理类联考综合能力缺考英语二缺考1E+14管理类联考综合能力130英语二761E+14管理类联考综合能力117英语二441E+14管理类联考综合能力156英语二831E+14管理类联考综合能力75英语二621E+14管理类联考综合能力81英语二411E+14管理类联考综合能力98英语二491E+14管理类联考综合能力120英语二661E+14管理类联考综合能力133英语二731E+14管理类联考综合能力78英语二441E+14管理类联考综合能力113英语二761E+14管理类联考综合能力124英语二801E+14管理类联考综合能力缺考英语二缺考1E+14管理类联考综合能力39英语二191E+14管理类联考综合能力94英语二661E+14管理类联考综合能力缺考英语二缺考1E+14管理类联考综合能力146英语二761E+14管理类联考综合能力87英语二61管理类联考1E+14综合能力91英语二561E+14管理类联考综合能力113英语二741E+14管理类联考综合能力缺考英语二缺考1E+14管理类联考综合能力108英语二521E+14管理类联考综合能力126英语二781E+14管理类联考综合能力97英语二581E+14管理类联考综合能力109英语二571E+14管理类联考综合能力126英语二701E+14管理类联考综合能力120英语二571E+14管理类联考综合能力缺考英语二缺考1E+14管理类联考综合能力缺考英语二缺考1E+14管理类联考综合能力缺考英语二缺考1E+14管理类联考综合能力114英语二491E+14管理类联考综合能力109英语二621E+14管理类联考综合能力缺考英语二缺考1E+14管理类联考综合能力缺考英语二缺考1E+14管理类联考综合能力138英语二581E+14管理类联考综合能力120英语二841E+14管理类联考综合能力157英语二841E+14管理类联考综合能力140英语二801E+14管理类联考综合能力141英语二771E+14管理类联考综合能力125英语二671E+14管理类联考综合能力109英语二791E+14管理类联考综合能力缺考英语二缺考1E+14管理类联考综合能力93英语二731E+14管理类联考综合能力110英语二851E+14管理类联考综合能力缺考英语二缺考管理类联考1E+14综合能力缺考英语二缺考1E+14管理类联考综合能力113英语二641E+14管理类联考综合能力138英语二701E+14管理类联考综合能力96英语二211E+14管理类联考综合能力92英语二381E+14管理类联考综合能力缺考英语二缺考1E+14管理类联考综合能力141英语二791E+14管理类联考综合能力缺考英语二缺考1E+14管理类联考综合能力缺考英语二缺考1E+14管理类联考综合能力136英语二781E+14管理类联考综合能力148英语二691E+14管理类联考综合能力92英语二711E+14管理类联考综合能力106英语二631E+14管理类联考综合能力136英语二911E+14管理类联考综合能力112英语二631E+14管理类联考综合能力132英语二861E+14管理类联考综合能力96英语二441E+14管理类联考综合能力缺考英语二缺考1E+14管理类联考综合能力129英语二411E+14管理类联考综合能力114英语二421E+14管理类联考综合能力缺考英语二缺考1E+14管理类联考综合能力缺考英语二缺考1E+14管理类联考综合能力86英语二511E+14管理类联考综合能力缺考英语二缺考1E+14管理类联考综合能力103英语二691E+14管理类联考综合能力112英语二771E+14管理类联考综合能力120英语二77管理类联考1E+14综合能力134英语二771E+14管理类联考综合能力130英语二611E+14管理类联考综合能力125英语二701E+14管理类联考综合能力102英语二361E+14管理类联考综合能力114英语二491E+14管理类联考综合能力133英语二591E+14管理类联考综合能力137英语二751E+14管理类联考综合能力缺考英语二缺考1E+14管理类联考综合能力68英语二201E+14管理类联考综合能力149英语二831E+14管理类联考综合能力74英语二431E+14管理类联考综合能力136英语二601E+14管理类联考综合能力112英语二751E+14管理类联考综合能力125英语二761E+14管理类联考综合能力95英语二611E+14管理类联考综合能力95英语二681E+14管理类联考综合能力102英语二381E+14管理类联考综合能力112英语二891E+14管理类联考综合能力缺考英语二缺考1E+14管理类联考综合能力142英语二701E+14管理类联考综合能力112英语二851E+14管理类联考综合能力143英语二761E+14管理类联考综合能力缺考英语二缺考1E+14管理类联考综合能力118英语二601E+14管理类联考综合能力缺考英语二缺考1E+14管理类联考综合能力118英语二591E+14管理类联考综合能力146英语二84管理类联考1E+14综合能力112英语二551E+14管理类联考综合能力131英语二801E+14管理类联考综合能力缺考英语二缺考1E+14管理类联考综合能力134英语二701E+14管理类联考综合能力67英语二471E+14管理类联考综合能力98英语二841E+14管理类联考综合能力120英语二621E+14管理类联考综合能力98英语二641E+14管理类联考综合能力缺考英语二缺考1E+14管理类联考综合能力缺考英语二缺考1E+14管理类联考综合能力缺考英语二缺考1E+14管理类联考综合能力89英语二751E+14管理类联考综合能力140英语二801E+14管理类联考综合能力缺考英语二缺考1E+14管理类联考综合能力139英语二751E+14管理类联考综合能力137英语二811E+14管理类联考综合能力113英语二561E+14管理类联考综合能力40英语二131E+14管理类联考综合能力缺考英语二缺考1E+14管理类联考综合能力96英语二281E+14管理类联考综合能力缺考英语二缺考1E+14管理类联考综合能力148英语二781E+14管理类联考综合能力118英语二751E+14管理类联考综合能力71英语二771E+14管理类联考综合能力缺考英语二缺考1E+14管理类联考综合能力缺考英语二缺考1E+14管理类联考综合能力103英语二61管理类联考1E+14综合能力72英语二121E+14管理类联考综合能力107英语二641E+14管理类联考综合能力缺考英语二缺考1E+14管理类联考综合能力缺考英语二缺考1E+14管理类联考综合能力缺考英语二缺考1E+14管理类联考综合能力128英语二701E+14管理类联考综合能力113英语二631E+14管理类联考综合能力133英语二841E+14管理类联考综合能力134英语二531E+14管理类联考综合能力141英语二741E+14管理类联考综合能力108英语二581E+14管理类联考综合能力缺考英语二缺考1E+14管理类联考综合能力94英语二481E+14管理类联考综合能力144英语二791E+14管理类联考综合能力157英语二811E+14管理类联考综合能力144英语二791E+14管理类联考综合能力99英语二631E+14管理类联考综合能力125英语二631E+14管理类联考综合能力90英语二421E+14管理类联考综合能力102英语二771E+14管理类联考综合能力缺考英语二缺考1E+14管理类联考综合能力94英语二561E+14管理类联考综合能力缺考英语二缺考1E+14管理类联考综合能力缺考英语二缺考1E+14管理类联考综合能力缺考英语二缺考1E+14管理类联考综合能力141英语二751E+14管理类联考综合能力132英语二63管理类联考1E+14综合能力112英语二671E+14管理类联考综合能力109英语二511E+14管理类联考综合能力119英语二791E+14管理类联考综合能力缺考英语二缺考1E+14管理类联考综合能力92英语二391E+14管理类联考综合能力105英语二461E+14管理类联考综合能力82英语二371E+14管理类联考综合能力143英语二711E+14管理类联考综合能力104英语二651E+14管理类联考综合能力96英语二181E+14管理类联考综合能力118英语二861E+14管理类联考综合能力缺考英语二缺考1E+14管理类联考综合能力80英语二321E+14管理类联考综合能力缺考英语二缺考1E+14管理类联考综合能力缺考英语二缺考1E+14管理类联考综合能力121英语二741E+14管理类联考综合能力95英语二761E+14管理类联考综合能力缺考英语二缺考1E+14管理类联考综合能力109英语二431E+14管理类联考综合能力147英语二861E+14管理类联考综合能力122英语二811E+14管理类联考综合能力104英语二491E+14管理类联考综合能力122英语二771E+14管理类联考综合能力127英语二801E+14管理类联考综合能力125英语二381E+14管理类联考综合能力135英语二711E+14管理类联考综合能力缺考英语二缺考管理类联考。
光华管理学院2016年硕士研究生(国民经济学、产业经济学、金融硕士)招生复试工作方案根据北京大学研究生院的工作安排,并结合我院的具体情况,现将2016年硕士研究生复试、录取阶段的工作方案说明如下:一、组织管理:我院成立复试与录取领导小组由学院主管领导任组长,各专业负责人为小组成员。
各专业(或方向)成立5人以上的专家复试小组,每一小组设组长一名、秘书一人,负责复试记录以及协调安排相关事宜。
二、复试细则:经济学硕士复试分数线:北京大学2016年经济学门类基础分数线总分为370分,英语、政治不低于55分,数学、专业课不低于90分;我院经济学硕士复试分数线总分为400分,英语、政治不低于55分,数学、专业课不低于90分。
金融硕士复试分数线:我院金融硕士复试分数线由学院根据招生名额自主划定,今年的复试分数线总分为400分,英语、政治不低于60分,数学、专业课不低于90分。
复试仍将采取差额复试方式(差额比例,依据教育部有关规定及我院实际生源情况而定)。
进入复试范围的最低总分分数并列的考生,可一同进入复试。
复试名单原则上按照上线考生总分由高到低的原则进行确定。
港澳台、留学生报考金融硕士、国民经济学、产业经济学硕士研究生的考生资格审查和复试,将在3月中旬与内地硕士研究生复试工作一并进行。
三、复试程序:1、我院拟定的复试名单经北京大学研究生院审核通过后,与复试规则一并在网上公示(网址:/graduate/index.html)并以E-mail或者电话方式通知所有有资格参加复试的考生。
2、考生参加复试应携带以下材料:本人有效身份证件原件、报名登记表、个人陈述(在北京大学研究生教育招生网主页下载)、大学正式成绩单、英语水平证明、毕业证书和学位证书原件及其复印件(应届生提供学生证)、班级成绩排名证明(应届生)。
同时,考生还可提供科研成果等可证明其研究潜能的各种背景材料。
报考“少数民族高层次骨干人才计划”考生还需同时提交《报考2016年少数民族骨干人才计划硕士(博士)研究生考生登记表》。
北京大学光华管理学院金融硕士考研真题金融硕士-光华管理学院学费:2年12.8万分数线:2015年400报录比1:40考试科目:政治英语一数学三431金融学综合招生人数:本专业拟招收45人,其中拟接收推荐免试生35人左右。
但是大致每年招生在25人左右(出去推免)参考书目:431金融学综合中包括三部分:微观经济学、统计学、金融学(含证券投资学、公司财务、货币金融),每部分各75分,考生须任选两部分作答。
初试参考书目微观:《微观经济学:现代观点》范里安《微观经济学十八讲》平新乔《微观经济学基本原理与扩展》尼克尔森《博弈论与信息经济学》张维迎《高级微观经济学》蒋殿春统计:《概率论与数理统计》茆诗松《商务与经济统计》戴维安德森《计量经济学基础》伍德里奇《计量经济学导论》古扎拉蒂《应用回归分析》何晓群金融学:1、罗斯《公司理财》2、米什金《货币金融学》3、博迪《投资学》4、光华出版的《证券投资学》曹凤岐《货币银行学》姚长辉《公司财务》刘力等,与上三本类似。
复试参考书目金融学米仕金公司理财罗斯证券投资学曹凤岐金融工程微观:范里安《现代观点》打基础,-------尼克尔森《微观原理》-----------《十八讲》做题:《十八讲》课后题很经典,尼的题也得做,再做一些中微或者真题做一下。
高微:蒋殿春和范里安(视情况而定)博弈论:张维迎(完全信息部分)吉本斯《博弈论》微观重思路,统计重数理。
微观:范的习题册很精妙,题讲究循序渐进的做,但是光华会单独抽出来一问考察。
平的书加了很多数学的内容,比较适合光华的专业课。
朱善利的比较细腻。
高微不要怕,主要是数学,一定要注意思路。
博弈论:张维迎,读懂就好。
金融:罗斯《公司理财》-----博迪《投资学》-------易纲《货币银行学》-------米是金《货币金融学》----姜波克《国际金融新编》曹《证券投资》----刘《公司财务》----姚《货币银行》统计:戴维安德森《商务统计》--------茆诗松《概率论与数理统计》-----伍德里奇《计量经济学》----古扎拉蒂《计量经济学》----何晓群《应用回归分析》一定要做题,不要只看模型,习题可看伍德里奇和古扎拉蒂。
新祥旭.未名堂
∙ 2016年北京大学信息管理系接收推荐免试研究生拟录取名单 ∙
姓名 拟录取专业名称 复试成绩 特殊类别 杨玉宇 图书馆学 89.8 张歌 图书馆学 88.6 孙家璇 图书馆学 86.7 王丹雪 图书馆学 86.5 周菊 图书馆学 86 曾丽莹 图书馆学 85.2 蒋中仪 图书馆学 74.6 陈晨 编辑出版学 84.6 姚玲苗 编辑出版学 81.6 卜宇超 编辑出版学 80.6 王伟 情报学 82 张帆 情报学 79.7 李然 情报学 79 陈润文 情报学 79 赵怡然 情报学 77.9 殷鸽 情报学 77.5 王伟佳 情报学 76.7 娄丹 情报学 75.4 江静怡 情报学 74.6 黄巧芳 情报学 74.6 王慧孜 情报学 74.3 庞江舸 情报学 73.3 曾兰馨 情报学 73 邱勇 情报学 70.7 许人杰 情报学 62.7 学工选留 ∙。
爱考机构-北大考研-光华管理学院研究生导师简介-刘玉珍刘玉珍系别:金融学系职称:教授办公电话:86-10-62757699Email:yjliu@教授简介研究成果当前研究教授课程刘玉珍教授目前任北京大学光华管理学院金融系系主任,研究专长为行为金融学,证券市场与投资学。
曾在国际主要学术期刊如ReviewofFinancialStudies,ManagementScience,JournalofFinancialandQuantitativeAnalysis,Journ alofBankingandFinance,EuropeanFinanceManagement,ReviewofQuantitativeFinanceandAccounti ng,DecisionSupportSystem,JournalofBusiness,FinanceandAccounting,PacificBasinFinanceJournal 等国内外刊物发表数十篇文章。
期刊论文获得美国SandellResearchGrantonRetirement(美国联邦社会安全署支持计划)(2006),研究论文被美国会计师协会文摘,(2004),美国商业周刊(2004),经济学人Economist(2012)等多个期刊介紹。
曾荣获国际多个学术论文研讨会最佳论文奖,并曾获得美国财务年会AmericanFinanceAssociation(AFA)travelgrantTravelGrant,担任国际多个重要期刊的评审委员与中山大学管院杰出校友。
她曾分别担任台湾政治大学与中正大学财务管理学系系主任,政治大学商学院投资人研究中心主任,台湾证券柜台买卖中心独立董事,期交所交易委员,证券商业同业公会顾问,台北市政府特种基金顾问,投资人保护中心调解委员,台湾金融学会理事,台湾经济部国有事业民营化咨询委员,并为台湾多个主要金融学术期刊的编辑委员。
光华管理学院2012年硕士研究生(应用经济学和金融学硕士项目)复试名单公示发布时间:2012-03-13--------------------------------------------------------------------------------准考证号姓名报考专业备注12003106 吴琦国民经济学12003567 黄典产业经济学少数民族骨干计划12003569 缪蒙产业经济学12012341 何献成产业经济学12400423 刘威国民经济学港澳台12003125 蔡青金融学12003131 陈楚盼金融学12003190 高琢金融学12003214 郝慧琦金融学12003255 李冠男金融学12003266 李淼金融学12003267 李明金融学12003286 李志成金融学12003291 梁东权金融学12003295 林威金融学12003338 彭来金融学12003360 是大龙金融学12003396 万姝妍金融学12003409 王华柱金融学12003412 王俊金融学12003448 夏静金融学12003452 熊浠西金融学12003454 徐婷金融学12003493 余倩金融学12003554 周妍金融学12008415 闫清波金融学12010740 李胤康金融学12010755 王明夏金融学12012339 宋成博金融学12012597 吴丕特金融学12014386 王勋金融学12014976 冉毅金融学12015308 张雅君金融学12017152 崔力金融学12018182 李任重金融学12400425 鄧妙然金融学港澳台12400426 何衍銘金融学港澳台12400428 梁家骏金融学港澳台12400430 林依洁金融学港澳台12400432 陶杨金融学港澳台12400437 鍾志明金融学港澳台2012040038 谭泽秋金融学留学生2012040084 金贤益金融学留学生2012040087 AARON Y AN BO ZHANG 金融学留学生2012040128 王心宇金融学留学生2012040137 罗斯金融学留学生2012040141 江月金融学留学生2012040142 黄瑞元金融学留学生2012040153 金昊永金融学留学生2012040165 LI HAIPENG 金融学留学生2012040168 BOSHEN YU 金融学留学生2012040171 黎尔侃金融学留学生2012040176 李和贞金融学留学生2012040284 马丽娜金融学留学生2012040332 CAIYUAN FU 金融学留学生2012040343 高杰金融学留学生。
北京大学2019年光华管理学院拟录取推荐免试硕士研究生公示名单拟录取专业姓名复试成绩推荐学校本科专业备注国民经济学翟颖佳98北京大学政治经济哲学贺牛97对外经济贸易大学经济学罗兆勇96北京大学社会学巫曼琳92北京大学城市管理诸宇灵91北京大学经济学金融学刘明辰95北京大学金融学类王铎霖93复旦大学国际经济与贸易朱可彦93北京大学金融学王欣薇92清华大学数学与应用数学宋楚涵92北京大学材料化学肖楷89清华大学经济与金融王子轩89北京大学数学与应用数学金韬89清华大学金融学唐皓昱89北京大学金融学廖雅欣89复旦大学统计学孙国栋89上海交通大学金融学产业经济学谭安然95北京大学资源与环境经济学统计学亓颢博97北京师范大学统计学伍书缘95北京师范大学统计学高昊94北京师范大学数学与应用数学谢昕伶93厦门大学统计学金融硕士徐明港88.6中央财经大学金融实验班陈一丹88.6中国人民大学劳动经济学柯宇琦88.6北京大学工商管理蔡文宇88.4中国人民大学经济学数学双学位实验班曾昱顺88北京大学金融学高田昊88北京大学化学刘珮87中山大学金融学林鹰谷87北京大学法学赵梓博87北京大学金融学王家璇87上海交通大学金融学詹轶蔚86.6中国人民大学理科试验班(信息与数学)张晓宇86.4北京大学金融学张文瀚86北京大学金融学焦婷86南开大学金融学类王思聪86浙江大学交通工程冷文浩86北京大学金融学张凌瑄86北京大学金融学林奎朴86北京大学金融学高天86浙江大学金融学邓妍85.4北京林业大学数学与应用数学蒋瑞华85.4北京大学金融学金融硕士武滨榕85.4南开大学保险学林津85浙江大学金融学陈驰杰84哈尔滨工业大学电子商务秦颖84中国人民大学财政学王文博84北京大学金融学张涵84上海交通大学机械工程张家港84北京大学地质学方新一83上海交通大学金融学朱佳颖83复旦大学财务管理王琳青83清华大学会计学陈格琪83上海交通大学金融学刘钰菁83清华大学外国语言文学类胡坤82.8清华大学工业工程朱攀82北京大学市场营销于曦彤82北京大学地理信息科学倪彦俊82北京大学政治经济与哲学王若愚81北京大学金融学刘冠华81北京大学金融学汤宇琛81北京大学会计学王一迪80清华大学经济与金融姚迁迁80清华大学经济与金融盛夏80北京大学金融学关嘉昊80北京大学工商管理类学工直升丁天80西南财经大学经济学王志远79清华大学测控技术与仪器李旖旎78北京大学西班牙语朱佳铭77北京大学金融学刘艺炜75上海财经大学会计学会计学李烜博95中央财经大学会计学刘筱93南开大学会计学张远哲91南开大学会计学潘定晟89湖南大学会计学张敬檬89湖南大学会计学韦程元87中央财经大学会计学企业管理石颖85上海财经大学工商管理周梓洵85中山大学工商管理会计硕士高亦博89.25北京大学财政学类莫文烨88.88厦门大学会计学李宇恪88.75北京大学会计学高伊宁88.63中南财经政法大学财务管理张捷87.88中山大学会计学刘嫣如87厦门大学会计学温婉86.38武汉大学金融学岳张洋86中央财经大学会计学何炜佳85.5中山大学金融学刘坦行83.88清华大学会计学林思颖83.25南京大学财务管理会计硕士刘葭昌83.13上海财经大学金融学。
2016年北京大学光华管理学院考研录取名单公示
2016年国民经济学、产业经济学和金融硕士专业硕士研究生(大陆内
地、港澳台及留学生)拟录取名单
发布时间:2016-03-30
一、金融硕士
序号申请ID申请专业总成绩备注
1100016000281458金融硕士86.62统考2100016000280098金融硕士86.60统考3100016000280079金融硕士86.00统考4100016000280106金融硕士85.50统考5100016000280175金融硕士85.32统考6100016000280116金融硕士85.28统考7100016000281233金融硕士85.00统考8100016000281582金融硕士84.94统考9100016000281279金融硕士84.64统考10100016000280124金融硕士84.12统考
二、国民经济学、产业经济学专业
序号申请ID申请专业总成绩备注1100016000281101国民经济学85.38统考三、港澳台及留学生
序号申请ID申请专业总成绩备注
1110120160200450金融硕士88港澳台2110120160200271金融硕士86港澳台3110120160200755金融硕士86港澳台4110120160200785金融硕士86港澳台5110120160200665金融硕士86港澳台6110120160200240金融硕士86港澳台
7110120160200075金融硕士86港澳台8110120160200586金融硕士85港澳台9110120160200251金融硕士85港澳台10110120160200647金融硕士85港澳台11110120160200084金融硕士85港澳台12110120160200453金融硕士84港澳台13110120160200239金融硕士83港澳台14110120160200798金融硕士83港澳台15110120160200576金融硕士82港澳台16110120160200195金融硕士82港澳台17110120160200661金融硕士82港澳台182016040173金融硕士88马来西亚192016040103金融硕士88加拿大202016040223金融硕士87朝鲜212016040232金融硕士84加拿大222016040229金融硕士82加拿大232016040292金融硕士81澳大利亚242016040107国民经济学85朝鲜
本名单自即日起公示10个工作日,在此期间,如有异议,请发邮件至
admission@。
光华管理学院
本科研究生项目办公室
2016年3月30
每五个通过考研进入北大的学生,其中就有一个出自新祥旭考研辅导机构!。