工程流体力学课后习题4 莫乃榕版
- 格式:ppt
- 大小:165.50 KB
- 文档页数:12
第一章绪论1、什么叫流体?流体与固体的区别?流体是指可以流动的物质,包括气体和液体。
与固体相比,流体分子间引力较小,分子运动剧烈,分子排列松散,这就决定了流体不能保持一定的形状,具有较大流动性。
2、流体中气体和液体的主要区别有哪些?(1)气体有很大的压缩性,而液体的压缩性非常小;(2)容器内的气体将充满整个容器,而液体则有可能存在自由液面。
3、什么是连续介质假设?引入的意义是什么?流体充满着一个空间时是不留任何空隙的,即把流体看作是自由介质。
意义:不必研究大量分子的瞬间运动状态,而只要描述流体宏观状态物理量,如密度、质量等。
4、何谓流体的压缩性和膨胀性?如何度量?压缩性:温度不变的条件下,流体体积随压力变化而变化的性质。
用体积压缩系数βp表示,单位Pa-1。
膨胀性:压力不变的条件下,流体体积随温度变化而变化的性质。
用体积膨胀系数βt表示,单位K-1。
5、何谓流体的粘性,如何度量粘性大小,与温度关系?流体所具有的阻碍流体流动,即阻碍流体质点间相对运动的性质称为粘滞性,简称粘性。
用粘度µ来表示,单位N·S/m2或Pa·S。
液体粘度随温度的升高而减小,气体粘度随温度升高而增大。
6、作用在流体上的力怎样分类,如何表示?(1)质量力:采用单位流体质量所受到的质量力f表示;(2)表面力:常用单位面积上的表面力Pn表示,单位Pa。
7、什么情况下粘性应力为零?(1)静止流体(2)理想流体第二章流体静力学1、流体静压力有哪些特性?怎样证明?(1)静压力沿作用面内法线方向,即垂直指向作用面。
证明:○1流体静止时只有法向力没有切向力,静压力只能沿法线方向;○2流体不能承受拉力,只能承受压力;所以,静压力唯一可能的方向就是内法线方向。
(2)静止流体中任何一点上各个方向静压力大小相等,与作用方向无关。
证明:2、静力学基本方程式的意义和使用范围?静力学基本方程式:Z+gP=C 或 Z1+gP1=Z2+gP 2(1)几何意义:静止流体中测压管水头为常数物理意义:静止流体中总比能为常数(2)使用范围:重力作用下静止的均质流体 3、等压面及其特性如何?在充满平衡流体的空间里,静压力相等的各点组成的平面称为等压面。
《工程流体力学》课后习题答案孔珑第四版第2章流体及其物理性质 (4)2-1 (4)2-3 (4)2-4 (6)2-5 (6)2-6 (6)2-7 (7)2-8 (7)2-9 (8)2-11 (8)2-12 (9)2-13 (9)2-14 (10)2-15 (10)2-16 (11)第3章流体静力学 (12)3-1 (12)3-2 (12)3-3 (13)3-5 (13)3-6 (14)3-9 (14)3-10 (15)3-21 (18)3-22 (19)3-23 (20)3-25 (20)3-27 (20)第4章流体运动学及动力学基础 (22)4-2 (22)4-5 (22)4-6 (23)4-8 (23)4-11 (24)4-12 (24)4-14 (25)4-22 (25)4-24 (26)4-26 (27)第6章作业 (28)6-1 (28)6-3 (28)6-7 (29)6-10 (29)6-11 (29)6-12 (30)6-17 (31)第2章流体及其物理性质2-1已知某种物质的密度ρ=2.94g/cm3,试求它的相对密度d。
【2.94】解:ρ=2.94g/cm3=2940kg/m3,相对密度d=2940/1000=2.942-2已知某厂1号炉水平烟道中烟气组分的百分数为,α(CO2)=13.5%α(SO2)=0.3%,α(O2)=5.2%,α(N2)=76%,α(H2O)=5%。
试求烟气的密度。
解:查课表7页表2-1,可知ρ(CO2)=1.976kg/m3,ρ(SO2)=2.927kg/m3,ρ(O2)=1.429kg/m3,ρ(N2)=1.251kg/m3,ρ(H2O)=1.976kg/m3,ρ(CO2)=1.976kg/m3,3ρ=∑i iαρ=341.1kg/m2-3上题中烟气的实测温度t=170℃,实测静计示压强Pe=1432Pa,当地大气压Pa=100858Pa。
试求工作状态下烟气的密度和运动粘度。
第1章 绪论【1-1】500cm 3的某种液体,在天平上称得其质量为0.453kg ,试求其密度和相对密度。
【解】液体的密度3340.4530.90610 kg/m 510m V ρ-===⨯⨯ 相对密度330.906100.9061.010w ρδρ⨯===⨯ 【1-2】体积为5m 3的水,在温度不变的条件下,当压强从98000Pa 增加到4.9×105Pa 时,体积减少1L 。
求水的压缩系数和弹性系数。
【解】由压缩系数公式10-1510.001 5.110 Pa 5(4.91098000)p dV V dP β-=-==⨯⨯⨯- 910111.9610 Pa 5.110pE β-===⨯⨯ 【1-3】温度为20℃,流量为60m 3/h 的水流入加热器,如果水的体积膨胀系数βt =0.00055K -1,问加热到80℃后从加热器中流出时的体积流量变为多少? 【解】根据膨胀系数1t dV V dtβ=则2113600.00055(8020)6061.98 m /ht Q Q dt Q β=+=⨯⨯-+= 【1-4】用200升汽油桶装相对密度0.70的汽油。
罐装时液面上压强为98000Pa 。
封闭后由于温度变化升高了20℃,此时汽油的蒸汽压力为17640Pa 。
若汽油的膨胀系数为0.0006K -1,弹性系数为13.72×106Pa ,(1)试计算由于压力温度变化所增加的体积,(2)问灌装时汽油的体积最多不应超过桶体积的百分之多少?【解】(1)由1β=-=P pdV Vdp E可得,由于压力改变而减少的体积为6200176400.257L 13.7210⨯∆=-===⨯P p VdP V dV E 由于温度变化而增加的体积,可由1β=tt dV V dT得 0.000620020 2.40L β∆===⨯⨯=t t t V dV VdT(2)因为∆∆tp V V ?,相比之下可以忽略由压力变化引起的体积改变,则由 200L β+=t V V dT得1198.8%200110.000620β===++⨯t V dT 【1-5】图中表示浮在油面上的平板,其水平运动速度为u =1m/s ,δ=10mm ,油品的粘度μ=0.9807Pa ·s ,求作用在平板单位面积上的阻力。
第二章2-1.已知某种物质的密度ρ=cm3,试求它的相对密度d。
解:d=ρ/ρw=(g/cm3)/1(g/cm3)=2-2.已知某厂1号炉水平烟道中烟气组分的百分数为α(co2)=%,a(SO2)=%,a(O2)=%,a(N2)=76%,a(H2O)=5%。
试求烟气的密度。
2-3.上题中烟气的实测温度t=170℃,实测静计压强Pe=1432Pa,当地大气压强Pa=10058Pa。
试求工作状态下烟气的密度和运动粘度。
2-4.当压强增量为50000Pa时,某种液体的密度增长%,试求该液体的体积模量。
2-5.绝对压强为×10^5Pa的空气的等温体积模量和等熵体积模量各等于多少?2-6. 充满石油的油槽内的压强为×10^5Pa,今由槽中排出石油40kg,使槽内压强降到×10^4Pa,设石油的体积模量K=×10^9 Pa。
试求油槽的体积。
2-7. 流量为50m3/h,温度为70℃的水流入热水锅炉,经加热后水温升到90℃,而水的体胀系数αV=℃,问从锅炉中每小时流出多少立方米的水?2-8. 压缩机压缩空气,绝对压强从×104Pa升高到×105Pa,温度从20℃升高到78℃,问空气体积减少了多少?2-9. 动力粘度为×10^-4Pa·S,密度为678kg/m3的油,其运动粘度等于多少?解:V=u/ρ=×10^-4/678=×10^-7m²/s2-10. 设空气在0℃时的运动粘度ν0=×10-6m2/s,密度ρ0=m3。
试求在150℃时空气的动力粘度。
2-11. 借恩氏粘度计测得石油的粘度为,如石油的密度为ρ=850kg/m3,试求石油的动力粘度。
2-12. 一平板距离另一固定平板,两板间充满液体,上板在每平方米上有2N的力作用下以s的速度移动,试求该液体的粘度。
2-13. 已知动力滑动轴承的轴直径d=,转速 n=2830r/min,轴承内径 D=,宽度 l=,润滑油的动力粘度=·s,试求克服摩擦阻力所消耗的功率。
第1章 绪论【1-1】500cm 3的某种液体,在天平上称得其质量为0.453kg ,试求其密度和相对密度。
【解】液体的密度3340.4530.90610 kg/m 510m V ρ-===⨯⨯ 相对密度330.906100.9061.010w ρδρ⨯===⨯ 【1-2】体积为5m 3的水,在温度不变的条件下,当压强从98000Pa 增加到4.9×105Pa 时,体积减少1L 。
求水的压缩系数和弹性系数。
【解】由压缩系数公式10-1510.001 5.110 Pa 5(4.91098000)p dV V dP β-=-==⨯⨯⨯- 910111.9610 Pa 5.110pE β-===⨯⨯ 【1-3】温度为20℃,流量为60m 3/h 的水流入加热器,如果水的体积膨胀系数βt =0.00055K -1,问加热到80℃后从加热器中流出时的体积流量变为多少?【解】根据膨胀系数1t dVV dtβ=则2113600.00055(8020)6061.98 m /ht Q Q dt Q β=+=⨯⨯-+= 【1-4】用200升汽油桶装相对密度0.70的汽油。
罐装时液面上压强为98000Pa 。
封闭后由于温度变化升高了20℃,此时汽油的蒸汽压力为17640Pa 。
若汽油的膨胀系数为0.0006K -1,弹性系数为13.72×106Pa ,(1)试计算由于压力温度变化所增加的体积,(2)问灌装时汽油的体积最多不应超过桶体积的百分之多少?【解】(1)由1β=-=P pdV Vdp E可得,由于压力改变而减少的体积为6200176400.257L 13.7210⨯∆=-===⨯P p VdP V dV E 由于温度变化而增加的体积,可由1β=t t dV V dT得 0.000620020 2.40L β∆===⨯⨯=t t t V dV VdT(2)因为∆∆tp VV ,相比之下可以忽略由压力变化引起的体积改变,则由 200L β+=tV V dT得1198.8%200110.000620β===++⨯t V dT 【1-5】图中表示浮在油面上的平板,其水平运动速度为u =1m/s ,δ=10mm ,油品的粘度μ=0.9807Pa ·s ,求作用在平板单位面积上的阻力。
第二章2-1.已知某种物质的密度ρ=cm3,试求它的相对密度d。
解:d=ρ/ρw=(g/cm3)/1(g/cm3)=2-2.已知某厂1号炉水平烟道中烟气组分的百分数为α(co2)=%,a(SO2)=%,a(O2)=%,a(N2)=76%,a(H2O)=5%。
试求烟气的密度。
2-3.上题中烟气的实测温度t=170℃,实测静计压强Pe=1432Pa,当地大气压强Pa=10058Pa。
试求工作状态下烟气的密度和运动粘度。
2-4.当压强增量为50000Pa时,某种液体的密度增长%,试求该液体的体积模量。
2-5.绝对压强为×10^5Pa的空气的等温体积模量和等熵体积模量各等于多少?2-6. 充满石油的油槽内的压强为×10^5Pa,今由槽中排出石油40kg,使槽内压强降到×10^4Pa,设石油的体积模量K=×10^9 Pa。
试求油槽的体积。
2-7. 流量为50m3/h,温度为70℃的水流入热水锅炉,经加热后水温升到90℃,而水的体胀系数αV=℃,问从锅炉中每小时流出多少立方米的水?2-8. 压缩机压缩空气,绝对压强从×104Pa升高到×105Pa,温度从20℃升高到78℃,问空气体积减少了多少?2-9. 动力粘度为×10^-4Pa·S,密度为678kg/m3的油,其运动粘度等于多少?解:V=u/ρ=×10^-4/678=×10^-7m2/s2-10. 设空气在0℃时的运动粘度ν0=×10-6m2/s,密度ρ0=m3。
试求在150℃时空气的动力粘度。
2-11. 借恩氏粘度计测得石油的粘度为,如石油的密度为ρ=850kg/m3,试求石油的动力粘度。
2-12. 一平板距离另一固定平板,两板间充满液体,上板在每平方米上有2N的力作用下以s的速度移动,试求该液体的粘度。
2-13. 已知动力滑动轴承的轴直径d=,转速 n=2830r/min,轴承内径 D=,宽度 l=,润滑油的动力粘度=·s,试求克服摩擦阻力所消耗的功率。
工程流体力学练习题第一章1-1解:设:柴油的密度为ρ,重度为γ;40C 水的密度为ρ0,重度为γ0。
则在同一地点的相对密度和比重为:ρρ=d ,0γγ=c30/830100083.0m kg d =⨯=⨯=ρρ30/81348.9100083.0m N c =⨯⨯=⨯=γγ1-2解:336/1260101026.1m kg =⨯⨯=-ρ3/123488.91260m N g =⨯==ργ1-3解:269/106.191096.101.0m N E VVV Vp p V V p p p ⨯=⨯⨯=∆-=∆-=∆⇒∆∆-=ββ 1-4解:N m p V V p /105.21041010002956--⨯=⨯=∆∆-=β 299/104.0105.211m N E pp ⨯=⨯==-β 1-5解:1)求体积膨涨量和桶内压强受温度增加的影响,200升汽油的体积膨涨量为:()l T V V T T 4.2202000006.00=⨯⨯=∆=∆β由于容器封闭,体积不变,从而因体积膨涨量使容器内压强升高,体积压缩量等于体积膨涨量。
故:26400/1027.16108.9140004.22004.2m N E V V V V V V p p T T pTT ⨯=⨯⨯⨯+=∆+∆-=∆+∆-=∆β2)在保证液面压强增量0.18个大气压下,求桶内最大能装的汽油质量。
设装的汽油体积为V ,那么:体积膨涨量为:T V V T T ∆=∆β体积压缩量为:()()T V E p V V E pV T pT p p ∆+∆=∆+∆=∆β1 因此,温度升高和压强升高联合作用的结果,应满足:()()⎪⎪⎭⎫⎝⎛∆-∆+=∆-∆+=p T p T E p T V V T V V 1110ββ ()())(63.197108.9140001018.01200006.0120011450l E p T V V p T =⎪⎪⎭⎫⎝⎛⨯⨯⨯-⨯⨯+=⎪⎪⎭⎫ ⎝⎛∆-∆+=β()kg V m 34.1381063.19710007.03=⨯⨯⨯==-ρ1-6解:石油的动力粘度:s pa .028.01.010028=⨯=μ 石油的运动粘度:s m /1011.39.01000028.025-⨯=⨯==ρμν 1-7解:石油的运动粘度:s m St /1044.01004025-⨯===ν 石油的动力粘度:s pa .0356.010*******.05=⨯⨯⨯==-ρνμ1-8解:2/1147001.01147.1m N u=⨯==δμτ 1-9解:()()2/5.1621196.012.0215.0065.021m N d D uu=-⨯=-==μδμτN L d F 54.85.16214.01196.014.3=⨯⨯⨯=⨯⨯⨯=τπ第二章2-4解:设:测压管中空气的压强为p 2,水银的密度为1ρ,水的密度为2ρ。
第1章绪论【1-1】500cm3的某种液体,在天平上称得其质量为0.453kg,试求其密度和相对密度。
【解】液体的密度相对密度【1-2】体积为5m3的水,在温度不变的条件下,当压强从98000Pa增加到4.9×105Pa时,体积减少1L。
求水的压缩系数和弹性系数。
【解】由压缩系数公式Pa-【1-3】温度为20℃,流量为60m3/h的水流入加热器,如果水的体积膨胀系数βt=0.00055K-1,问加热到80℃后从加热器中流出时的体积流量变为多少?【解】根据膨胀系数Vdt则1【1-4】用200升汽油桶装相对密度0.70的汽油。
罐装时液面上压强为98000Pa。
封闭后由于温度变化升高了20℃,此时汽油的蒸汽压力为17640Pa。
若汽油的膨胀系数为0.0006K-1,弹性系数为13.72×106Pa,(1)试计算由于压力温度变化所增加的体积,(2)问灌装时汽油的体积最多不应超过桶体积的百分之多少?【解】(1)由pdVP1可得,由于压力改变而减少的体积为VdpE由于温度变化而增加的体积,可由1dVtVdT得(2)因为t,相比之下可以忽略由压力变化引起的体积改变,则由得【1-5】图中表示浮在油面上的平板,其水平运动速度为u=1m/s,油品的粘度μ=0.9807Pa·s,求作单位面积上的阻力。
【解】根据牛顿内摩擦定律dudy习题1-5图δ=10mm,用在平板则习题1-6图【1-6】已知半径为R圆管中的流速分布为r2式中c为常数。
试求管中的切应力τ与r的关系。
【解】根据牛顿3第2章流体静力学【2-1】容器中装有水和空气,求A、B、C和D各点的表压力?【解】空气各点压力相同,与空气接触的液面压力即为空气的压力,另外相互连通的同种液体同一高度压力相同,即等压面【2-2】如图所示的U形管中装有水银与水,试求:(1)A、C两点的绝对压力及表压力各为多少?(2)求A、B两点的高度差h?【解】由p a题2-2图,,得(1)+1(2)选取U形管中水银的最低液面为等压面,则得wH题2-3图w13.6【2-3】在一密闭容器内装有水及油,密度分别为ρw及ρo,油层高度为h1,容器底部装有水银液柱压力计,读数为R,水银面与液面的高度差为h2,试导出容器上方空间的压力p与读数R的关系式。
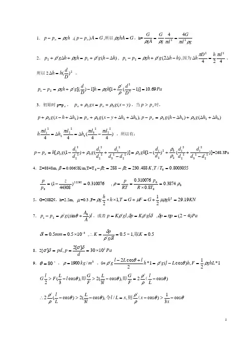
1.gh p p a ρ=- ,(G A p p a =-),所以G ghA =ρ,h=gd Gdg G gAGρππρρ2244==2.)(``12h h g p gh h g p ∆-+=+∆+ρρρ, )2(`21h h g gh p p -∆+=-ρρ,因为42422d h D h ππ=∆、所以22)(D d h h =∆ 。
Pa Dd gh h Dd g gh p p 69.10)]1(`1[]1)[(`2221=-+=-+=-ρρρρρ3.初始时p=p a , )(32y x g p gx p a a -+=+ρρ,当a p p >时,)()(),()(3232232322h h g h h g p p h h y x g p h h x g p a a ∆+∆+∆-=-∆+∆+-+=∆+-+ρρρρ)44(442223322221d d h d h d hππππ-∆=∆= ,所以有:)]()(1[)]()1([22232122212322122223212221322212d d d d d d d gh d d d d d g d d g h p p a -++-=-++-=-ρρρρρ=268.3Pa4.Z=8848m,=β0.0065K/m,T=T 8003055.0/,488.23028800==-=-T T K z z ββ310076.0)443081(2565.50=-=z p p ,0003874.08.0310076.0ρρ=⨯==T R p RTp5,G=20KN ,h=2.5m, μ=0.3 ,F=KN ghG F G T h h g19.2921,122=+=+=⨯⨯μρμρ7.l AA g p p )(sin `021+=-θρ,或者δρδρgl K p gl K p `,`== ,Pa p p )4~2(==ηδ3105.05.0-⨯==mm l δ ,5.0,1~5.0`===∴K lg p K 取δρδ8.2[Pa dp pd 51030][2,]⨯===δσδσ9.80=θ°,3/1900m kg =ρ ,G=1*21,)cos (`1*2cos 2`ghL F h L l g h lL l gρθρθρ=-=+-)c o s `2),cos 3(2),cos 3(2θρρθθ-=->->LlF GlL FG l L F l G(即即θθρρθθρρc o s 31)c o s `,/),cos 3(2)cos (`2->-=->-∴x x x L l l LLl (则令负根舍去)有(4620.0,07.5108215.0,9.1`,cos 31)cos (`22=>--∴=->-x x x x x x ρρθθρρ, 4091.0s i n 4620.0s i n ===θθL l hl 9.Pa pR T m R Pa p T R p 4410735.0,5.0,1047.1,22⨯===⨯== 10.L=0.3m,,h=0.2m,2/5373.6,,s m g lh a lh ga x ga z ===∴-=11.如图坐标轴的原点取在液面的中心,0,cos ,sin =-=--=z y x f g f g a f αα 等压面上ααρcos sin ,0,0)(g g a f f dxdy dy f dx f dz f dy f dx f dp yx y x z y x +-=-==+=++=斜率69,3834.0cos sin ,2,2,cos sin ==+==-=-=-=+-θααβθθπββπθβααg g a tg ctg tg g g a °12.根据旋转抛物面所围体积等于同高同底圆柱体体积的原理,可知自由面恰好经过容器口周边及底面中心,自由面:gR h R r h z r gz 22,2,22222ωω=∴===时,压强分布:2222210),2(r p p z z gr g p p a a ρωωρ=-=-=-时,总压力:F=h R g F Rgh Rhg R rdr p p Ra 222240,2,4,412)(πρωωρωππ=∴==∴=-⎰13.压强分布:C gr gp p p r r z C z grg p a a +====+-=2,,0,)2(22022ωρωρ时,当所以].)(2[2022z r r gg p p a --=-ωρrdr r r ggrdr p p RRa πωρπσ2)(22)(20202-=-=⎰⎰即22/22/,2/,024)(0220224202=====-=-⎰R r R r Rr Rrdr r r R14.初始时,支管液面在0-0上,则活塞盖自重G 等于G=gx d ρπ421,旋转时,以盖心为原点C z gr g p +-=)2(22ωρ,r=R,z=x+h+H 时,p=p )](2[,22H h x gR g p a a ++-=ωρ所以2/)],()(2[11222d R H h x z R r gg p p a =+++--=-令ωρG=2121221412,2]2)()24(2[2)(1R gx G R H h x R R R gg rdr p p R a πρπωρπ=+++-=-⎰所以02)()24(221221412=++-R H h R R R gω2221212222121222212122)(211822/)/(12/2,)(21,44d d d R gd d R R g h d d h H h d d H+-=+-===⨯ωωππ代入上式得2-14有三种思路:一积分;二把力分成两部分;三根据压力中心的公式来求。
工程流体力学练习题第一章1-1解:设:柴油的密度为ρ,重度为γ;40C 水的密度为ρ0,重度为γ0。
则在同一地点的相对密度和比重为:ρρ=d ,0γγ=c ;30/830100083.0m kg d =⨯=⨯=ρρ30/81348.9100083.0m N c =⨯⨯=⨯=γγ1-2解:336/1260101026.1m kg =⨯⨯=-ρ;3/123488.91260m N g =⨯==ργ1-3解:269/106.191096.101.0m N E V V VVp p V Vp p p⨯=⨯⨯=∆-=∆-=∆⇒∆∆-=ββ1-4解:N m pVVp/105.21041010002956--⨯=⨯=∆∆-=β299/104.0105.211m N E pp ⨯=⨯==-β1-5解:1)求体积膨涨量和桶内压强受温度增加的影响,200升汽油的体积膨涨量为:()l T V V T T 4.2202000006.00=⨯⨯=∆=∆β由于容器封闭,体积不变,从而因体积膨涨量使容器内压强升高,体积压缩量等于体积膨涨量。
故:26400/1027.16108.9140004.22004.2mN E V V V V V V p p TT pTT⨯=⨯⨯⨯+=∆+∆-=∆+∆-=∆β2)在保证液面压强增量0.18个大气压下,求桶内最大能装的汽油质量。
设装的汽油体积为V ,那么:体积膨涨量为:T V V T T ∆=∆β;体积压缩量为:()()T V E p V VE p V T pT pp ∆+∆=∆+∆=∆β1因此,温度升高和压强升高联合作用的结果,应满足:()()⎪⎪⎭⎫ ⎝⎛∆-∆+=∆-∆+=p T pT E p T V V T V V 1110ββ()())(63.197108.9140001018.01200006.012001145l E p T V V p T =⎪⎪⎭⎫⎝⎛⨯⨯⨯-⨯⨯+=⎪⎪⎭⎫ ⎝⎛∆-∆+=β()kg V m 34.1381063.19710007.03=⨯⨯⨯==-ρ1-6解:石油的动力粘度:s pa .028.01.010028=⨯=μ石油的运动粘度:s m /1011.39.01000028.025-⨯=⨯==ρμν1-7解:石油的运动粘度:s m St /1044.01004025-⨯===ν石油的动力粘度:s pa .0356.0104100089.05=⨯⨯⨯==-ρνμ1-8解:2/1147001.01147.1m N u=⨯==δμτ1-9解:()()2/5.1621196.012.0215.0065.021m N d D u u=-⨯=-==μδμτN L d F 54.85.16214.01196.014.3=⨯⨯⨯=⨯⨯⨯=τπ第二章2-4解:设:测压管中空气的压强为p 2,水银的密度为1ρ,水的密度为2ρ。
第四章 流体动力学【4-1】直径d =100mm 的虹吸管,位置如图所示。
求流量和2、3点的压力(不计水头损失)。
【解】列1、4点所在断面的伯努利方程,以过4点的水平面为基准面。
24500 0029.8v ++=++⨯得 4 =9.9 m/s v 2234 3.140.19.90.078 m /s 44π==⨯⨯=Q d v列1、2点所在断面的伯努利方程,以过1点的水平面为基准面222000 02p v g gρ++=++ (v 2=v 4)得 2242210009.9 4.910Pa 22ρ⨯=-=-=-⨯v p列1、3点所在断面的伯努利方程,以过1点的水平面为基准面233000 22p v g gρ++=++ (v 3=v 4)得 2439.9298001000 6.8610Pa 2=-⨯-⨯=-⨯p【4-2】一个倒置的U 形测压管,上部为相对密度0.8的油,用来测定水管中点的速度。
若读数△h =200mm ,求管中流速u =?【解】选取如图所示1-1、2-2断面列伯努利方程,以水管轴线为基准线212 0 002w w p p u g g gρρ++=++其中:p 1和p 2分别为1-1、2-2断面轴线上的压力。
设U 形测压管中油的最低液面到轴线的距离为x ,选取U 形测压管中油的最高液面为等压面,则12()w o w p gx g h p g x h ρρρ--∆=-+∆题 4-1图21()w o p p g h ρρ-=-∆则0.885m/s u ===【4-3】图示为一文丘里管和压力计,试推导体积流量和压力计读数之间的关系式。
当z 1=z 2时,ρ=1000kg/m 3,ρH =13.6×103kg/m 3,d 1=500mm ,d 2=50mm ,H =0.4m ,流量系数α=0.9时,求Q =? 【解】列1-1、2-2断面的伯努利方程、以过1-1断面中心点的水平线为基准线。
流体力学练习题第一章1-1解:设:柴油的密度为ρ,重度为γ;40C 水的密度为ρ0,重度为γ0。
则在同一地点的相对密度和比重为:0ρρ=d ,0γγ=c 30/830100083.0m kg d =⨯=⨯=ρρ30/81348.9100083.0m N c =⨯⨯=⨯=γγ1-2解:336/1260101026.1m kg =⨯⨯=-ρ3/123488.91260m N g =⨯==ργ1-3解:269/106.191096.101.0m N E VVV Vp p V V p p p ⨯=⨯⨯=∆-=∆-=∆⇒∆∆-=ββ 1-4解:N m p V V p /105.21041010002956--⨯=⨯=∆∆-=β 299/104.0105.211m N E pp ⨯=⨯==-β 1-5解:1)求体积膨涨量和桶内压强受温度增加的影响,200升汽油的体积膨涨量为:()l T V V T T 4.2202000006.00=⨯⨯=∆=∆β由于容器封闭,体积不变,从而因体积膨涨量使容器内压强升高,体积压缩量等于体积膨涨量。
故:26400/1027.16108.9140004.22004.2m N E V V V V V V p p T T pTT ⨯=⨯⨯⨯+=∆+∆-=∆+∆-=∆β2)在保证液面压强增量个大气压下,求桶内最大能装的汽油质量。
设装的汽油体积为V ,那么:体积膨涨量为:T V V T T ∆=∆β体积压缩量为:()()T V E p V V E pV T pT p p ∆+∆=∆+∆=∆β1 因此,温度升高和压强升高联合作用的结果,应满足:()()⎪⎪⎭⎫⎝⎛∆-∆+=∆-∆+=p T p T E p T V V T V V 1110ββ ()())(63.197108.9140001018.01200006.0120011450l E p T V V p T =⎪⎪⎭⎫⎝⎛⨯⨯⨯-⨯⨯+=⎪⎪⎭⎫ ⎝⎛∆-∆+=β()kg V m 34.1381063.19710007.03=⨯⨯⨯==-ρ1-6解:石油的动力粘度:s pa .028.01.010028=⨯=μ 石油的运动粘度:s m /1011.39.01000028.025-⨯=⨯==ρμν 1-7解:石油的运动粘度:s m St /1044.01004025-⨯===ν 石油的动力粘度:s pa .0356.0104100089.05=⨯⨯⨯==-ρνμ1-8解:2/1147001.01147.1m N u=⨯==δμτ 1-9解:()()2/5.1621196.012.0215.0065.021m N d D uu=-⨯=-==μδμτN L d F 54.85.16214.01196.014.3=⨯⨯⨯=⨯⨯⨯=τπ第二章2-4解:设:测压管中空气的压强为p 2,水银的密度为1ρ,水的密度为2ρ。
《工程流体力学》课后习题答案孔珑第四版第2章流体及其物理性质 (5)2-1 (5)2-3 (5)2-4 (7)2-5 (7)2-6 (8)2-7 (8)2-8 (9)2-9 (9)2-11 (10)2-12 (10)2-13 (11)2-14 (11)2-15 (12)2-16 (13)第3章流体静力学 (14)3-1 (14)3-2 (14)3-3 (15)3-5 (15)3-6 (16)3-10 (17)3-21 (20)3-22 (21)3-23 (22)3-25 (22)3-27 (23)第4章流体运动学及动力学基础 (24)4-2 (24)4-5 (24)4-6 (25)4-8 (25)4-11 (26)4-12 (26)4-14 (27)4-22 (28)4-24 (29)4-26 (30)第6章作业 (31)6-1 (31)6-3 (31)6-7 (32)6-11 (33)6-12 (33)6-17 (34)第2章流体及其物理性质2-1已知某种物质的密度ρ=2.94g/cm3,试求它的相对密度d。
【2.94】解:ρ=2.94g/cm3=2940kg/m3,相对密度d=2940/1000=2.942-2已知某厂1号炉水平烟道中烟气组分的百分数为,α(CO2)=13.5%α(SO2)=0.3%,α(O2)=5.2%,α(N2)=76%,α(H2O)=5%。
试求烟气的密度。
解:查课表7页表2-1,可知ρ(CO2)=1.976kg/m3,ρ(SO2)=2.927kg/m3,ρ(O2)=1.429kg/m3,ρ(N2)=1.251kg/m3,ρ(H2O)=1.976kg/m3,ρ(CO2)=1.976kg/m3,3ρ=∑i iαρ=341kg/m.12-3上题中烟气的实测温度t=170℃,实测静计示压强Pe=1432Pa,当地大气压Pa=100858Pa。
试求工作状态下烟气的密度和运动粘度。
第一章流体及其主要物理性质1-1轻柴油在温度15ºC时相对密度为0.83,求它的密度和重度。
1-2甘油在温度0ºC时密度为1.26g/cm3,求以国际单位表示的密度和重度。
1-3 水的体积弹性系数为1.96×109N/m2,问压强改变多少时,它的体积相对压缩1%?1-4 容积4m3的水,温度不变,当压强增加105N/m2时容积减少1000cm3,求该水的体积压缩系数βp和体积弹性系数E。
1-5 用200L汽油桶装相对密度为0.70的汽油,罐装时液面上压强为1个大气压,封闭后由于温度变化升高了20ºC,此时汽油的蒸气压为0.18大气压。
若汽油的膨胀系数为0.0006ºC-1,弹性系数为14000kg/cm2。
试计算由于压力及温度变化所增减的体积?问灌桶时每桶最多不超过多少公斤为宜?1-6 石油相对密度0.9,粘度28cP,求运动粘度为多少m2/s?1-7 相对密度0.89的石油,温度20ºC时的运动粘度为40cSt,求动力粘度为多少?1-8 图示一平板在油面上作水平运动,已知运动速度u=1m/s,板与固定边界的距离δ=1mm,油的动力粘度μ=1.147Pa·s,由平板所带动的油层的运动速度呈直线分布,求作用在平板单位面积上的粘性阻力为多少?1-9 如图所示活塞油缸,其直径D=12cm,活塞直径d=11.96cm,活塞长度L =14cm,油的μ=0.65P,当活塞移动速度为0.5m/s时,试求拉回活塞所需的力F=?第二章 流体静力学2-1. 如图所示的U 形管中装有水银与水,试求:(1)A 、C 两点的绝对压力及表压各为多少? (2)A 、B 两点的高度差h 为多少?题2-2 题2-32-2. 水银压力计装置如图。
求管中心A 处绝对压力及表压力?(设油品相对密度为0.9) 2-3. 今有U 形管,内装水和四氯化碳(CCl 4),如图所示。