电磁场与电磁波(电磁场理论)第二章.
- 格式:ppt
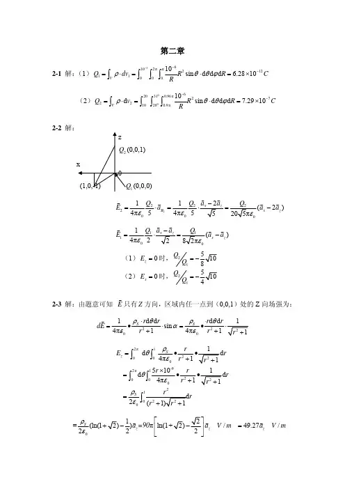
- 大小:1.51 MB
- 文档页数:37
《电磁场理论与电磁波》课后思考题第一章 P301.1 如果A B =A C ,是否意味着B =C ?为什么?答:否。
1.2 如果⨯⨯A B =A C ,是否意味着B =C ?为什么?答:否。
1.3 两个矢量的点积能是负的吗?如果是,必须是什么情况?答:能。
当两个矢量的夹角θ满足(,]2πθπ∈时。
1.4 什么是单位矢量?什么是常矢量?单位矢量是否是常矢量?答:单位矢量:模为1的矢量;常矢量:大小和方向均不变的矢量(零矢量可以看做是特殊的常矢量);单位矢量不一定是常矢量。
例如,直角坐标系中,坐标单位矢量,,x y z e e e 都是常矢量;圆柱坐标系中,坐标单位矢量,ρφe e 不是常矢量,z e 是常矢量;球坐标系中,坐标单位矢量,,r θφe e e 都不是常矢量。
1.5 在圆柱坐标系中,矢量ρφz a b c =++A e e e ,其中a 、b 、c 为常数,则A 能是常矢量吗?为什么?答:否。
因为坐标单位矢量,ρφe e 的方向随空间坐标变化,不是常矢量。
1.6 在球坐标系中,矢量cos sin r θa θa θ=-A e e ,其中a 为常数,则A 能是常矢量吗?为什么?答:是。
对cos sin r θa θa θ=-A e e 转换为直角坐标系的表示形式,化简可得22(cos sin )z z a θθe ae ==+=A 。
1.7 什么是矢量场的通量?通量的值为正、负或0分别表示什么意义?答:通量的概念:d d d n SSψψF S F e S ==⋅=⋅⎰⎰⎰(曲面S 不是闭合)d d n SSF S F e S =⋅=⋅⎰⎰ψ(曲面S 是闭合)通过闭合曲面有净的矢量线穿出S 内有正通量源<ψ有净的矢量线进入,S内有负通量源进入与穿出闭合曲面的矢量线相等,S内没有通量源1.8 什么是散度定理?它的意义是什么?答:散度定理:d d SVF S F V ⋅=∇⋅⎰⎰意义:面积表示的通量=体积表示的通量1.9 什么是矢量场的环流?环流的值为正、负或0分别表示什么意义?答:环流的概念:Γ(,,)d CF x y z l =⋅⎰环流的值为正、负或0分别表示闭合曲线C 内有正旋涡源、负旋涡源和无旋涡源。
电磁场与电磁波第二章电磁场的基本规律笔记下载提示:该文档是本店铺精心编制而成的,希望大家下载后,能够帮助大家解决实际问题。
文档下载后可定制修改,请根据实际需要进行调整和使用,谢谢!本店铺为大家提供各种类型的实用资料,如教育随笔、日记赏析、句子摘抄、古诗大全、经典美文、话题作文、工作总结、词语解析、文案摘录、其他资料等等,想了解不同资料格式和写法,敬请关注!Download tips: This document is carefully compiled by this editor. I hope that after you download it, it can help you solve practical problems. The document can be customized and modified after downloading, please adjust and use it according to actual needs, thank you! In addition, this shop provides you with various types of practical materials, such as educational essays, diary appreciation, sentence excerpts, ancient poems, classic articles, topic composition, work summary, word parsing, copy excerpts, other materials and so on, want to know different data formats and writing methods, please pay attention!第一节电磁场的基本概念。
1.1 电磁场的概念。
电磁场与电磁波电子教案第一章:电磁场的基本概念1.1 电荷和电场介绍电荷的性质和分类解释电场的概念和电场线电场强度的定义和计算电场的叠加原理1.2 磁场和磁力介绍磁铁和磁性的概念解释磁场的概念和磁感线磁感应强度的定义和计算磁场的叠加原理1.3 电磁感应介绍法拉第电磁感应定律解释感应电动势和感应电流的产生电磁感应的实验现象和应用第二章:电磁波的基本性质2.1 电磁波的产生和传播介绍麦克斯韦方程组和电磁波的理论基础解释电磁波的产生和传播过程电磁波的波动方程和波长、频率、速度的关系2.2 电磁波的能量和动量介绍电磁波的能量密度和能量传递解释电磁波的动量和动量传递电磁波的辐射压和辐射阻力的概念2.3 电磁波的偏振和反射、折射介绍电磁波的偏振现象和偏振光的性质解释电磁波在介质中的反射和折射现象反射定律和折射定律的原理及应用第三章:电磁波的传播和辐射3.1 电磁波在自由空间中的传播介绍自由空间中电磁波的传播特性解释电磁波的辐射和天线原理电磁波的辐射强度和辐射功率的概念3.2 电磁波在介质中的传播介绍电磁波在介质中的传播规律解释介质的折射率和介电常数的概念电磁波在介质中的衰减和色散现象3.3 电磁波的辐射和天线原理介绍天线的分类和基本原理解释天线的辐射特性和发展电磁波的辐射模式和天线的设计方法第四章:电磁波的应用4.1 电磁波在通信技术中的应用介绍电磁波在无线通信中的应用解释无线电波的传播和传播损耗电磁波在移动通信和卫星通信中的应用4.2 电磁波在雷达技术中的应用介绍雷达技术的基本原理和组成解释雷达方程和雷达的探测距离电磁波在雷达系统和雷达导航中的应用4.3 电磁波在医疗技术中的应用介绍电磁波在医学影像诊断中的应用解释磁共振成像(MRI)的原理和应用电磁波在放射治疗和电磁热疗中的应用第五章:电磁波的防护和辐射安全5.1 电磁波的辐射和防护原理介绍电磁波的辐射对人体健康的影响解释电磁波的防护原理和防护措施电磁屏蔽和电磁兼容的概念5.2 电磁波的辐射标准和法规介绍国际和国内电磁波辐射的标准和法规解释电磁波辐射的限制和测量方法电磁波辐射管理的政策和监管措施5.3 电磁波的辐射安全和防护措施介绍电磁波辐射的安全距离和防护措施解释电磁波辐射的个人防护和公共场所的防护措施电磁波辐射的环保意识和公众宣传的重要性第六章:电磁波在电力系统中的应用6.1 电磁波在电力传输中的应用介绍高压输电线路中的电磁干扰问题解释输电线路的屏蔽和接地措施电磁波在特高压输电技术中的应用6.2 电磁波在电力系统监测与控制中的应用介绍电力系统中的电磁场监测和测量技术解释电磁波在电力系统状态监测和故障诊断中的应用电磁波在智能电网和分布式发电系统中的应用6.3 电磁波在电力设备中的影响及防护分析电磁波对电力设备的干扰和影响解释电磁兼容性设计在电力设备中的应用电磁波防护措施在电力设备中的实施方法第七章:电磁波在交通领域的应用7.1 电磁波在铁路交通中的应用介绍铁路信号系统和电磁波在信号传输中的应用解释铁路通信和列车无线通信系统中电磁波的应用电磁波在铁路自动控制系统中的应用7.2 电磁波在汽车交通中的应用介绍汽车电子设备和电磁波的应用解释车载通信系统和电磁波在车辆导航中的应用电磁波在智能交通系统中的应用7.3 电磁波在航空和航天领域的应用介绍电磁波在航空通信和导航中的应用解释电磁波在卫星通信和航天器通信中的应用电磁波在航空航天器中的其他应用,如雷达和遥感技术第八章:电磁波在工科领域的应用8.1 电磁波在电子工程中的应用介绍电磁波在无线电发射和接收中的应用解释电磁波在微波器件和天线技术中的应用电磁波在射频识别(RFID)技术中的应用8.2 电磁波在光电子学中的应用介绍电磁波在光纤通信中的应用解释电磁波在激光器和光电器件中的应用电磁波在光电探测和成像技术中的应用8.3 电磁波在生物医学领域的应用介绍电磁波在医学诊断和治疗中的应用解释电磁波在磁共振成像(MRI)和微波热疗中的应用电磁波在其他生物医学技术中的应用,如电疗和电磁屏蔽第九章:电磁波的环境影响和政策法规9.1 电磁波的环境影响分析电磁波对环境和生物的影响,如电磁辐射污染解释电磁波的环境监测和评估方法电磁波环境保护措施和可持续发展策略9.2 电磁波的政策法规介绍国际和国内关于电磁波辐射的政策法规解释电磁波辐射的标准和限制条件电磁波辐射管理的政策和监管措施9.3 电磁波的公众宣传和教育分析电磁波辐射的公众认知和误解解释电磁波辐射的安全性和健康影响电磁波辐射的公众宣传和教育方法第十章:电磁波的未来发展趋势10.1 新型电磁波技术和材料的研究介绍新型电磁波发射和接收技术的研究解释新型电磁波传输材料和超材料的研究进展电磁波技术在未来的应用前景10.2 电磁波在新型能源领域的应用介绍电磁波在太阳能和风能等新型能源领域的应用解释电磁波在智能电网和能源互联网中的应用电磁波在未来能源系统中的作用和挑战10.3 电磁波与物联网和大数据的结合分析电磁波在物联网通信中的应用解释电磁波在大数据传输和处理中的作用电磁波在未来物联网和大数据技术中的挑战和发展趋势重点和难点解析一、电磁场的基本概念:理解电荷、电场、磁场和磁力的基本性质,以及电磁感应的原理。
《电磁场与电磁波》知识点及参考答案第1章 矢量分析1、如果矢量场F 的散度处处为0,即0F∇⋅≡,则矢量场是无散场,由旋涡源所产生,通过任何闭合曲面S 的通量等于0。
2、如果矢量场F 的旋度处处为0,即0F ∇⨯≡,则矢量场是无旋场,由散度源所产生,沿任何闭合路径C 的环流等于0。
3、矢量分析中的两个重要定理分别是散度定理(高斯定理)和斯托克斯定理, 它们的表达式分别是:散度(高斯)定理:SVFdV F dS ∇⋅=⋅⎰⎰和斯托克斯定理:sCF dS F dl∇⨯⋅=⋅⎰⎰。
4、在有限空间V 中,矢量场的性质由其散度、旋度和V 边界上所满足的条件唯一的确定。
( √ )5、描绘物理状态空间分布的标量函数和矢量函数,在时间为一定值的情况下,它们是唯一的。
( √ )6、标量场的梯度运算和矢量场的旋度运算都是矢量。
( √ )7、梯度的方向是等值面的切线方向。
(× )8、标量场梯度的旋度恒等于0。
( √ ) 9、习题1.12, 1.16。
第2章 电磁场的基本规律(电场部分)1、静止电荷所产生的电场,称之为静电场;电场强度的方向与正电荷在电场中受力的方向相同。
2、在国际单位制中,电场强度的单位是V/m(伏特/米)。
3、静电系统在真空中的基本方程的积分形式是:V V sD dS dV Q ρ⋅==⎰⎰和0lE dl ⋅=⎰。
4、静电系统在真空中的基本方程的微分形式是:V D ρ∇⋅=和0E∇⨯=。
5、电荷之间的相互作用力是通过电场发生的,电流与电流之间的相互作用力是通过磁场发生的。
6、在两种媒质分界面的两侧,电场→E 的切向分量E 1t -E 2t =0;而磁场→B 的法向分量B 1n -B 2n =0。
7、在介电常数为的均匀各向同性介质中,电位函数为 2211522x y z ϕ=+-,则电场强度E=5x y zxe ye e --+。
8、静电平衡状态下,导体内部电场强度、磁场强度等于零,导体表面为等位面;在导体表面只有电场的法向分量。