电磁场与电磁波(第四版)课后答案_谢处方_第二章习题
- 格式:pptx
- 大小:838.01 KB
- 文档页数:39
电磁场与电磁波》(第四版 )答案二章习题解答2.1 一个平行板真空二极管内的电荷体密度为$\rho=-\frac{4\epsilon U}{d}-4\times 10^{-3}x-2\times 10^{-3}$,式中阴极板位于$x=9$,阳极板位于$x=d$,极间电压为$U$。
如果$U=40V$,$d=1cm$,横截面$S=10cm^2$,求:(1)$x$和$x=d$区域内的总电荷量$Q$;(2)$x=d/2$和$x=d$区域内的总电荷量$Q'$。
解(1)$Q=\int\limits_{0}^{9}\rhoSdx+\int\limits_{d}^{9}\rho Sdx=-4.72\times 10^{-11}C(3d)$2)$Q'=\int\limits_{d/2}^{d}\rho Sdx=-0.97\times 10^{-11}C$2.2 一个体密度为$\rho=2.32\times 10^{-7}Cm^3$的质子束,通过$1000V$的电压加速后形成等速的质子束,质子束内的电荷均匀分布,束直径为$2mm$,束外没有电荷分布,试求电流密度和电流。
解:质子的质量$m=1.7\times 10^{-27}kg$,电量$q=1.6\times 10^{-19}C$。
由$1/2mv^2=qU$得$v=2mqU=1.37\times 10^6ms^{-1}$,故$J=\rho v=0.318Am^2$,$I=J\pi (d/2)^2=10^{-6}A$2.3 一个半径为$a$的球体内均匀分布总电荷量为$Q$的电荷,球体以匀角速度$\omega$绕一个直径旋转,求球内的电流密度。
解:以球心为坐标原点,转轴(一直径)为$z$轴。
设球内任一点$P$的位置矢量为$r$,且$r$与$z$轴的夹角为$\theta$,则$P$点的线速度为$v=\omega\times r=e_\phi \omegar\sin\theta$。
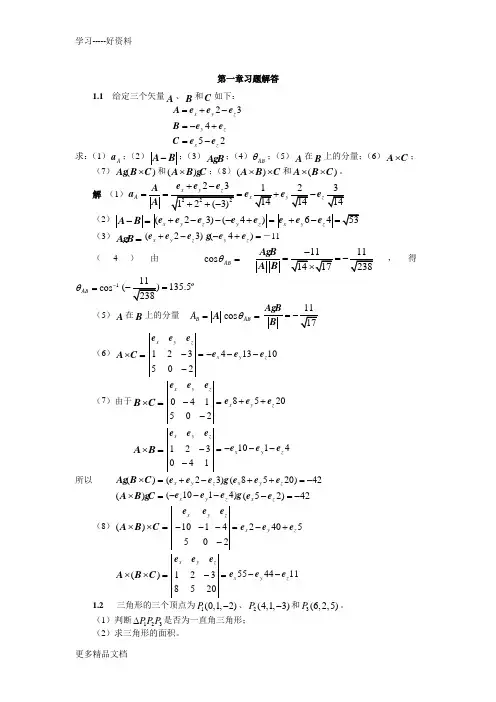
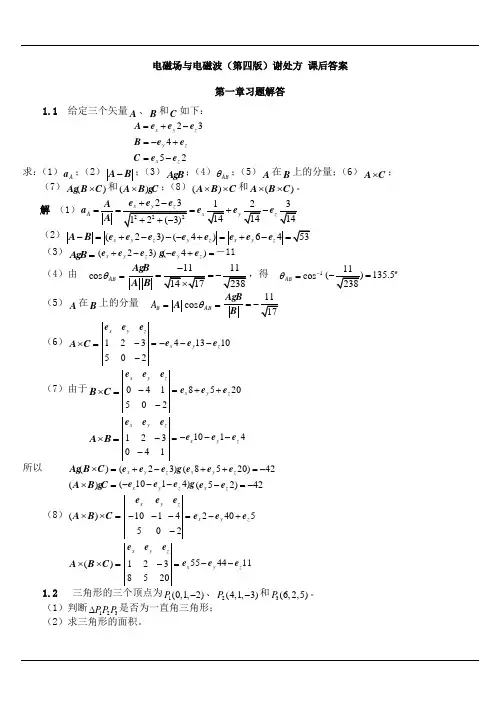
电磁场与电磁波(第四版)谢处方 课后答案第一章习题解答1.1 给定三个矢量A 、B 和C 如下: 23x y z =+-A e e e4y z =-+B e e 52x z =-C e e求:(1)A a ;(2)-A B ;(3)A B g ;(4)AB θ;(5)A 在B 上的分量;(6)⨯A C ;(7)()⨯A B C g 和()⨯A B C g ;(8)()⨯⨯A B C 和()⨯⨯A B C 。
解 (1)23A x y z+-===+-e e e A a e e e A (2)-=A B (23)(4)x y z y z +---+=e e e ee 64x y z +-=e e e (3)=A B g (23)x y z +-e e e (4)y z -+=e e g -11(4)由 cos AB θ===A B A B g ,得 1cos AB θ-=(135.5=o(5)A 在B 上的分量 B A =A cos AB θ==A B B g (6)⨯=A C 123502x y z-=-e e e 41310x y z ---e e e (7)由于⨯=B C 041502xyz-=-e e e 8520x y z ++e e e⨯=A B 123041xyz-=-e e e 1014x y z ---e e e所以 ()⨯=A B C g (23)x y z +-e e e g (8520)42x y z ++=-e e e ()⨯=A B C g (1014)x y z ---e e e g (52)42x z -=-e e(8)()⨯⨯=A B C 1014502xyz---=-e e e 2405x y z -+e e e()⨯⨯=A B C 1238520xy z -=e e e 554411x y z --e e e1.2 三角形的三个顶点为1(0,1,2)P -、2(4,1,3)P -和3(6,2,5)P 。
电磁场 与电磁波(第四版) 课后答案第一章 习 题 解答1.1 给定三个矢量A 、B 和C 如下: 23x y z =+-A e e e4y z =-+B e e 52x z =-C e e求:(1)A a ;(2)-A B ;(3)A B ;(4)AB θ;(5)A 在B 上的 分量;(6)⨯A C ;(7)()⨯A B C 和()⨯A B C ;(8)()⨯⨯A B C 和()⨯⨯A B C 。
解 (1)23A x y z +-===+-e e e A a e e e A (2)-=A B (23)(4)x y z y z +---+=e e e ee 64x y z +-=e e e (3)=A B (23)x y z +-e e e (4)y z -+=e e -11 (4)由c o sAB θ=11238=A B A B ,得1c o s AB θ-=(135.5= (5)A 在B 上的分 量 B A =A c o s AB θ==A B B (6)⨯=A C 123502xyz-=-e e e 41310x y z ---e e e (7)由于⨯=B C 041502xyz-=-e e e 8520x y z ++e e e⨯=A B 123041xyz-=-e e e 1014x y z ---e e e所以 ()⨯=A B C (23)x y z +-e e e (8520)4x y z ++=-e e e ()⨯=A B C (1014)x y z ---e e e (52)42x z -=-e e (8)()⨯⨯=A B C 1014502xyz---=-e e e 2405x y z -+e e e()⨯⨯=A B C 1238520x y z -=e e e 554411x y z --e e e1.2 三角形的三个顶点 为1(0,1,2)P -、2(4,1,3)P -和3(6,2,5)P 。
电磁场与电磁波课后答案谢处⽅第⼆章习题解答2.1 ⼀个平⾏板真空⼆极管内的电荷体密度为43230049U d x ρε--=-,式中阴极板位于0x =,阳极板位于x d =,极间电压为0U 。
如果040V U =、1cm d =、横截⾯210cm S =,求:(1)0x =和x d =区域内的总电荷量Q ;(2)2x d =和x d =区域内的总电荷量Q '。
解(1) 43230004d ()d 9dQ U d x S x τρτε--==-=??110044.7210C 3U S dε--=-? (2)4320024d ()d 9dd Q U d x S x τρτε--''==-=?11004(10.9710C 3U S d ε--=-? 2.2 ⼀个体密度为732.3210C m ρ-=?的质⼦束,通过1000V 的电压加速后形成等速的质⼦束,质⼦束内的电荷均匀分布,束直径为2mm ,束外没有电荷分布,试求电流密度和电流。
解质⼦的质量271.710kg m -=?、电量191.610C q -=?。
由21mv qU = 得 61.3710v ==? m s 故 0.318J v ρ== 2A m26(2)10I J d π-== A2.3 ⼀个半径为a 的球体内均匀分布总电荷量为Q 的电荷,球体以匀⾓速度ω绕⼀个直径旋转,求球内的电流密度。
解以球⼼为坐标原点,转轴(⼀直径)为z 轴。
设球内任⼀点P 的位置⽮量为r ,且r 与z 轴的夹⾓为θ,则P 点的线速度为sin r φωθ=?=v r e ω球内的电荷体密度为343Qa ρπ=故 333sin sin 434Q Q r r a aφφωρωθθππ===J v e e 2.4 ⼀个半径为a 的导体球带总电荷量为Q ,同样以匀⾓速度ω绕⼀个直径旋转,求球表⾯的⾯电流密度。
解以球⼼为坐标原点,转轴(⼀直径)为z 轴。
第二章习题解答2.1 一个平行板真空二极管内的电荷体密度为43230049U d x ρε--=-,式中阴极板位于0x =,阳极板位于x d =,极间电压为0U 。
如果040V U =、1cm d =、横截面210cm S =,求:(1)0x =和x d =区域内的总电荷量Q ;(2)2x d =和x d =区域内的总电荷量Q '。
解 (1) 43230004d ()d 9dQ U d x S x τρτε--==-=⎰⎰110044.7210C 3U S dε--=-⨯ (2)4320024d ()d 9dd Q U d x S x τρτε--''==-=⎰⎰11004(10.9710C 3U S d ε--=-⨯ 2.2 一个体密度为732.3210C m ρ-=⨯的质子束,通过1000V 的电压加速后形成等速的质子束,质子束内的电荷均匀分布,束直径为2mm ,束外没有电荷分布,试求电流密度和电流。
解 质子的质量271.710kg m -=⨯、电量191.610C q -=⨯。
由21mv qU = 得 61.3710v ==⨯ m s 故 0.318J v ρ== 2A m26(2)10I J d π-== A2.3 一个半径为a 的球体内均匀分布总电荷量为Q 的电荷,球体以匀角速度ω绕一个直径旋转,求球内的电流密度。
解 以球心为坐标原点,转轴(一直径)为z 轴。
设球内任一点P 的位置矢量为r ,且r 与z 轴的夹角为θ,则P 点的线速度为sin r φωθ=⨯=v r e ω球内的电荷体密度为343Qa ρπ=故 333sin sin 434Q Q r r a aφφωρωθθππ===J v e e 2.4 一个半径为a 的导体球带总电荷量为Q ,同样以匀角速度ω绕一个直径旋转,求球表面的面电流密度。
解 以球心为坐标原点,转轴(一直径)为z 轴。
设球面上任一点P 的位置矢量为r ,且r 与z 轴的夹角为θ,则P 点的线速度为sin a φωθ=⨯=v r e ω球面的上电荷面密度为24Q a σπ=故 2sin sin 44S Q Q a a aφφωσωθθππ===J v e e 2.5 两点电荷18C q =位于z 轴上4z =处,24C q =-位于y 轴上4y =处,求(4,0,0)处的电场强度。
第一章习题解答1.1 给定三个矢量A 、B 和C 如下: 23x y z =+-A e e e4y z =-+B e e52x z =-C e e求:(1)A a ;(2)-A B ;(3)A B g ;(4)AB θ;(5)A 在B 上的分量;(6)⨯A C ; (7)()⨯A B C g 和()⨯A B C g ;(8)()⨯⨯A B C 和()⨯⨯A B C 。
解 (1)23A x y z+-===-e e e A a e e e A (2)-=A B (23)(4)x y z y z +---+=e e e ee 64x y z +-e e e (3)=A B g (23)x y z +-e e e (4)y z -+=e e g -11 (4)由cos AB θ===A B A B g ,得1cos ABθ-=(135.5=o (5)A 在B 上的分量 B A =A cos AB θ==A B B g (6)⨯=A C 123502xy z-=-e e e 41310x y z ---e e e (7)由于⨯=B C 041502x yz-=-e e e 8520x y z ++e e e ⨯=A B 123041xyz-=-e e e 1014x y z ---e e e所以 ()⨯=A B C g (23)x y z +-e e e g (8520)42x y z ++=-e e e ()⨯=A B C g (1014)x y z ---e e e g (52)42x z -=-e e(8)()⨯⨯=A B C 1014502x y z---=-e e e 2405x y z -+e e e()⨯⨯=A B C 1238520x y z -=e e e 554411x y z --e e e1.2 三角形的三个顶点为1(0,1,2)P -、2(4,1,3)P -和3(6,2,5)P 。
欧阳治创编 2021.03.10 第一章习题解答1.1 给定三个矢量A 、B 和C 如下: 求:(1)A a ;(2)-A B ;(3)A B ;(4)AB θ;(5)A 在B 上的分量;(6)⨯A C ;(7)()⨯A B C 和()⨯A B C ;(8)()⨯⨯A B C 和()⨯⨯A BC 。
解 (1)23A x y z +-===+-e e e A a e e e A()-=A B (23)(4)xy z y z +---+=e e e e e 64x y z +-=e e e (3)=A B (23)x y z +-e e e (4)y z -+=e e -11(4)由 cos AB θ=14==⨯A B A B ,得1cosAB θ-=(135.5= (5A 在B 上的分量欧阳治创编 2021.03.10 B A =A cos AB θ=17=-A B B (6)⨯=A C 123502xyz-=-e e e 41310x y z ---e e e (7)由于⨯=B C 041502x yz-=-e e e 8520x y z ++e e e所以()⨯=A B C (23)x y z +-e e e (8520)42x y z ++=-e e e(8)()⨯⨯=A B C 1014502xyz---=-e e e 2405x y z -+e e e1.2 三角形的三个顶点为1(0,1,2)P -、2(4,1,3)P -和3(6,2,5)P 。
(1)判断123PP P ∆是否为一直角三角形;(2)求三角形的面积。
解 (1)三个顶点1(0,1,2)P -、2(4,1,3)P -和3(6,2,5)P 的位置矢量分别为12y z =-r e e ,243x y z =+-r e e e ,3625x y z =++r e e e则12214x z=-=-R r r e e ,欧阳治创编 2021.03.10 233228x y z =-=++R r r e e e ,由此可见故123PP P ∆为一直角三角形。
习题二2.9无限长线电荷通过点(6,8,0)且平行于z轴,线电荷密度为ι,试求点P(x,y,x)处的电场强度E。
解:线电荷沿z方向为无限长,故电场分布与z无关,设P位于z=0的平面上。
则则P点的E为ιιι2.10半径为a的一个半圆环上均匀分布着线电荷ι,如图所示。
试求垂直于半圆环所在轴线的平面上z=a处的电场强度。
解:P(0,0,a)的位置矢量是=电荷元ιι,ι2.12一个很薄的无限大导体带电平面,其上的面电荷密度为。
试证明:垂直于平面的z轴上z=处的电场强度中,有一半是由平面上半径为的圆内的电荷产生的。
解:取面积元,电荷元在处产生的电场强度整个平面在处的电场强度为当时,当时,2.15半径为a的导体球形体积内充满密度为的体电荷。
若已知球形体积内外的电位移分布为式中A为常数,试求电荷密度解:有,得0,此时此时2.22通过电流密度为J的均匀电流的长圆柱体导体中有一平行的圆柱形空腔,其横截面如图所示,试计算各部分的磁感应强度,并证明空腔内的磁场是均匀的。
解:将题所示非对称电流看成两个对称电流的叠加,电流密度为的电流分布在半径为b的圆柱内,电流密度为-的电流分布在半径为a的圆柱内。
根据安培环路定律在半径为b的圆柱体内,当,2,即当2,即在半径为a的圆柱体内,当时,同理可得,=当时,同理可得,圆柱外(),圆柱内的空腔外(,)()空腔内()是到的位置矢量,故空腔内的磁场是均匀的2.23 在平面上沿方向有均匀面电流,如图所示,若将平面视为无限大,求空间任意一点的。
解:作垂直于平面的矩形闭合线abcda,由安培环路定理可得在的区域内,有即在的区域内,同理可得综上所述:,为面电流的外法向单位矢量2.25平行双线与一矩形回路共面,如图所示,设a=0.2m,b=c=d=0.1m,i=0.1cos()A,求回路中的感应电动势。
解:由安培环路定理得,设矩形回路与左线的距离为r,左右方向:垂直纸面向内则左右]左右左右]=V2.30煤质1的电参数为,煤质2的电参数为,,.两种煤质分界面的法向单位矢量为,由煤质2指向煤质1.若已知煤质1内临近分界面的点p处的磁感应强度求p点处下列量的大小:、、、.解:由磁场边界条件得,=由磁场边界条件可知:即:。
电磁场与电磁波(第四版)谢处方 课后答案第一章习题解答1.1 给定三个矢量A 、B 和C 如下: 23x y z =+-A e e e4y z =-+B e e 52x z =-C e e求:(1)A a ;(2)-A B ;(3)A B g ;(4)AB θ;(5)A 在B 上的分量;(6)⨯A C ;(7)()⨯A B C g 和()⨯A B C g ;(8)()⨯⨯A B C 和()⨯⨯A B C 。
解 (1)23A x y z+-===-e e e A a e e e A (2)-=A B (23)(4)x y z y z +---+=e e e ee 64x y z +-=e e e (3)=A B g (23)x y z +-e e e (4)y z -+=e e g -11(4)由 cos AB θ===A B A B g ,得 1cos AB θ-=(135.5=o(5)A 在B 上的分量 B A =A cos AB θ==A B B g (6)⨯=A C 123502x y z-=-e e e 41310x y z ---e e e (7)由于⨯=B C 041502x y z-=-e e e 8520x y z ++e e e⨯=A B 123041xyz-=-e e e 1014x y z ---e e e所以 ()⨯=A B C g (23)x y z +-e e e g (8520)42x y z ++=-e e e ()⨯=A B C g (1014)x y z ---e e e g (52)42x z -=-e e(8)()⨯⨯=A B C 1014502xyz---=-e e e 2405x y z -+e e e()⨯⨯=A B C 1238520xy z -=e e e 554411x y z --e e e1.2 三角形的三个顶点为1(0,1,2)P -、2(4,1,3)P -和3(6,2,5)P 。