积分公式表
- 格式:doc
- 大小:123.00 KB
- 文档页数:3
2.基本积分公式表(1)∫0d x=C(2)=ln|x|+C(3)(m≠-1,x>0)(4)(a>0,a≠1)(5)(6)∫cos x d x=sin x+C(7)∫sin x d x=-cos x+C(8)∫sec2x d x=tan x+C(9)∫csc2x d x=-cot x+C(10)∫sec x tan x d x=sec x+C(11)∫csc x cot x d x=-csc x+C(12)=arcsin x+C(13)=arctan x+C注.(1)不是在m=-1的特例.(2)=ln|x|+C,ln后面真数x要加绝对值,原因是(ln|x|)' =1/x.事实上,对x>0,(ln|x|)' =1/x;若x<0,则(ln|x|)' =(ln(-x))' =.(3)要特别注意与的区别:前者是幂函数的积分,后者是指数函数的积分.下面我们要学习不定积分的计算方法,首先是四则运算.6. 复合函数的导数与微分大量初等函数含有复合函数的成分,它们的导数与微分计算法则具有特别重要的意义.定理.(链锁法则)设z=f(y),y=ϕ(x)分别在点y0=ϕ(x0)与x0可导,则复合函数z=f[ϕ(x)]在x0可导,且或(f oϕ)' (x0)=f '(y0)⋅ϕ'(x0).证.对应于自变量x0处的改变量∆x,有中间变量y在y0=ϕ(x0)处的改变量∆y及因变量z在z0=f(y0)处的改变量∆z,(注意∆y可能为0).现∆z=f'(y0)∆⋅y+v,∆y='ϕ(x0)∆x+u,且令,则v=∆αy,(注意,当∆y=0时,v=∆αy仍成立).y在x 0可导又蕴含y在x0连续,即∆y=0.于是=f '(y0)⋅ϕ '(x0)+0⋅ϕ'(x0)=f'(y0)⋅ϕ'(x0)为理解与记忆链锁法则,我们作几点说明:(1) 略去法则中的x=x0与y=y0,法则成为公式,其右端似乎约去d y后即得左端,事实上,由前面定理的证明可知,这里并不是一个简单的约分过程.(2) 计算复合函数的过程:x→−y →−z复合函数求导的过程:z→−y →−x:各导数相乘例2.3.15求y=sin5x的导数.解.令u=5x,则y=sin u.于是y' ==cos u⋅5=5cos5x.例2.3.16求y=lncos x的导数.解.令u=cos x,则y=ln u.于是.y'=例2.3.17求幂函数y=x m的导数,m为任意实数.解.因y=,令u=m ln x,则y=e u.y' ==e u⋅m⋅m是正整数n时,即例2.3.2.(3) 链锁法则可以推广到多层次中间变量的复合函数:复合函数的求值:x→−y→−z→−u…v→−w复合函数的求导:w→−v…u→−z→−y→−x:各导数相乘(4) 在熟练掌握链锁法则以后,为简便写法,中间变量v,u,z,y等可不必写出,只要做到心中有数.例2.3.18求的导数解.=.(5) 链锁法则的微分形式是:d f(ϕ(x))=f'(ϕ(x))dϕ(x)例2.3.19求函数y=的微分解.d y =dsin2x=⋅2sin x dsin x=⋅2sin x cos x d x=⋅sin2x d x.思考题.请你仔细研究例2.3.18的解题过程,函数的构成除由基本初等函数复合之外还包含四则运算,因此求导的过程也应遵循四则运算与链锁法则,两个方面必须同时考虑.5. 导数与微分的四则运算设u=u(x),v=v(x)为可导函数,c是常数,则有公式(1) (u±v)' = u'±v',d(u±v) = d u±d v.公式(2) (uv)' = u' v+uv',d(uv) = v d u+u d v.公式(3) (cu)' = cu',d(cu) = c d u.公式(4),(v≠0).点击此处看公式(1)-(4)的证明.例2.3.11求y=tan x的导数解.(tan x)' ===sec2x.同理可得(cot x)' =-csc2x.例2.3.12求y=sec x的导数.解.(sec x)' ==sec x tan x.同理可得(csc x)' =-csc x cot x.例2.3.13求y=(1+4x)(2x2-3x3)的导数.解一.y' =(1+4x)'(2x2-3x3)+(1+4x)(2x2-3x3)'=4(2x2-3x3)+(1+4x)(2⋅2x-3⋅3x2)=8x2-12x3+4x-9x2+16x2-36x3=4x+15x2-48x3解二.因y =2x2+5x3-12x4,故y' =2⋅2x+5⋅3x2-12⋅4x3=4x+15x2-48x3.例2.3.14求函数y=(x+sin x)ln x的微分.解.d y=ln x d(x+sin x)+(x+sin x)dln x=ln x(d x+dsin x)+(x+sin x)d x=ln x⋅(d x+cos x d x)+d x=d x.2. 导数的定义从曲线的切线斜率以及其他有关函数变化速度问题,我们抽象出函数的导数概念.定义.设函数y=f(x)在包含点x0的一个开区间X(这样的开区间称为x0的邻域)内有定义,y0=f(x0).如果x∈X-x0,我们称∆x=x-x00(∆读作delta)为自变量的改变量,∆y=f(x)-f(x0)为函数的(对应)改变量,比值为函数的差商或平均变化率.如果极限存在,则称函数y=f(x)在点x0可导(或可微),该极限称为函数y=f(x)在x0点关于自变量x的导数(或微商).记作.因∆x=x-x0,x=x0+∆x,故还有.此时,曲线y=f(x)在点(x0,f(x0))的切线方程是.注意.∆x可正可负,依x大于或小于x0而定.根据定义求已知函数y=f(x)在给定点x0的导数的步骤是:(1)计算函数在自变量x0+∆x处的函数值f(x0+∆x);(2)计算函数的改变量∆y=f(x0+∆x)-f(x0);(3)写出函数的差商;(4)计算极限,即导数值.例2.3.1求常数函数y=c的导数.解.因∆y=y(x+∆x)-y(x)=c-c=0,差商=0,故=0.此处x可为任意实数,即常数函数y=c在任意点x处的导数为0.例2.3.2设n是正整数,求幂函数y=x n在点x处的导数.解.因y(x+∆x)=(x+∆x)n=x n+,∆y=y(x+∆x)-y(x)=,故=.特别,当n=1时,函数y=x在任意点x处的导数为1.例2.3.3求曲线y=x3在点(2,8) 处的切线方程.解.在上例中取n=3可知函数y=x3在点x处的导数为3x2,于是在点(2,8)处的切线斜率是:y'(2)=3⋅22=12,故曲线y=x3在(2,8)处的切线方程是y-8=12⋅(x-2) ⇔ 12x-y-16=0.注.(1)从上述例子我们看到,一般情况下,给定函数y=f(x)在某个区间X内每一点都可导,这样可求出X内每一点的导数y'(x),x∈X .于是y'(x)成为X内有定义的一个新函数,我们称它为给定函数y=f(x)的导函数,且常常省略定义中的字样“在x点处关于自变量的”,甚至简称f(x)的导数.例如我们说常数函数y=c的导数是0,y=x的导数是1,y=x n的导数是等等,分别记作c' =0,x' =1,(x n)' =等等.(2)关于改变量的记号∆,应把它与其后面的变量x或y看作一个整体量,就象sin x 中的sin一样,绝不能把∆x看成∆与x的乘积,特别,为避免误解,我们用(∆x)2来表示∆x的平方而不写∆x2 .从导数的定义我们还可以导出其它一些初等函数的导数公式:(点击此处看例2.3.4,例2.3.5,例2.3.6证明)例2.3.4y=sin x的导数是(sin x)' =cos x,y=cos x的导数是(cos x)' =-sin x .例2.3.5 y=log a x(0<a≠1)的导数是(log a x)' =.特别,(ln x)' =1/x.例2.3.6指数函数y=a x(0<a≠1)的导数是(a x)' =a x ln a .特别,(e x)' =e x.8. 导数的导数--二阶导数一般来说,函数y=f(x)的导数还是以x为自变量的函数:y' =f '(x),如果它还可导,我们又可得f '(x)的导数:(y' )' =[f '(x)]' ,称为y=f(x)的二阶导数,记作y'' =f '' (x),或=.如果它还可导,我们就可继续逐次求三阶,四阶,…的导数,对任意正整数n,n阶导数被定义为y(n)=(y(n-1))' ,n=2,3,…统称为函数y的高阶导数.例2.3.22求y=sin x的n阶导数.解.y' =cos x =sin,用归纳法不难求出y(n)=sin.例2.3.23若s =s(t)为质点运动的路程函数,则s' (t)=v(t)是运动速度.又,二阶导数s''(t)=v' (t)=a(t)则是运动的加速度.例2.3.24求y =arc tan x的二阶导数y'' .解.y' =,y'' =-(1+x2)-2(1+x2)' =.思考题.对于可导函数y=f(x)来说,导数f ' (x)表示曲线的切线斜率,请你考虑,如果f ' (x)还可导,那么f '' (x)的正或负,反映函数y=f(x)的图像的什么性态.实验题.选择不同的函数,使二阶导数取正或负值,然后作出函数的图像,观察二阶导数对函数图像的影响.7. 基本初等函数的导数与微分公式=' =-' =-x=x=x=例2.3.20 求y=arcsin 的微分.解..例2.3.21求y=+arctan e x的导数.解..12.二元函数的导数与微分(选学)设z=f(x,y)是两个自变量x与y的函数,x与y的变化都会引起函数z的变化,实际问题中有时需考虑单个自变量的变化引起的函数变化,即将另一自变量固定不变,看作常数,此时函数就像一元函数了.函数z关于一个变量x的导数就称为z关于x的偏导数.记作,事实上,按导数定义,应该是=,同理,z关于变量y的偏导数是=.我们也记.若z=f(x,y)有连续的偏导数f'x(x,y),f'y(x,y),则自变量x与y的改变量∆x与∆y 的线性表达式f'x(x,y)∆x+f'y(x,y)∆y称为z=f(x,y)在(x,y)处对应于∆x,∆y的全微分,记作d z=f'x(x,y)∆x+f'y(x,y)∆y.由于自变量的微分等于自变量的改变量:d x=∆x,d y=∆y,于是二元函数的微分公式是d z=.例2.3.30设f(x,y)=xy+x2-2 y3,求.解.=y+2x (把y看作常数,对x求导数).=x-6y2(把x看作常数,对y求导数).例2.3.31求z=e x sin y的全微分.解.d z=sin y d e x+e x dsin y=sin y e x d x+e x cos y d y=e x(sin y d x+cos y d y).例2.3.32设x+2y+2z-2=0确定二元函数z=z(x,y),求.解.对方程x+2y+2z-2=0两边求微分,则左端得d x+2d y+2d z-2d右端的微分是0,于是解得d z =,由此得,.13.分段函数的导数(选学)我们通过分段函数在衔接点处导数的研究,了解函数的可导性与连续性的关系.函数y=f(x)在点x0的导数被定义为极限,这等价于=0 ,记,则=0,由此f(x0+∆x)-f(x0)=[u(∆x)+f’(x0)]∆x,于是[f(x0+∆x)-f(x0)]=[u(∆x)+f’(x0)]∆x=0 ,即f(x0+∆x) = f(x0).如果记x=x0+∆x,则得f(x)= f(x0) .这表明函数f(x)在x0连续.因此有定理.若函数y=f(x)在x0可导,则f(x)在x0连续.因此,连续性是函数可导性的必要条件.但上述命题的逆是不正确的.请看下例.例2.3.33 讨论函数在点x=0的连续性与可导性.解.因,,故,且f(0)=e0=1.由此可见f(x)在x=0连续.其次,为讨论f '(0),我们需计算极限.为方便计,用x代替 x,为此我们研究极限.现在,,.由此可见,极限不存在,即f(x)在x=0不可导.你能看到,在函数y =f(x)的图像上点(1,0)处没有切线,因为在其左边有一条“半切线”,斜率是1,但在其右边有一条“半切线”,斜率是0定义.设函数y =f(x)定义在区间(a,b)内,x0(a,b),如果极限存在,则称此极限为f(x)在点x0处的右导数,记作f+'(x0)=.类似地,f(x)在点x0的左导数是f-'(x0)=.只有f+'(x0)与f-'(x0)都存在且相等时,f(x)在点x0才可导,且f '(x0)=f+'(x0)=f-'(x0).即有定理.设函数f(x)在区间(a,b)内有定义,x0(a,b).则f '( x)存在f-'( x0)与f+'( x0)都存在且相等.左导数与右导数统称为单侧导数.例2.3.34讨论函数在x=0的可导性.解.首先讨论f(x)在x=0 的连续性.因,,f(0)=0,故f(x)在x=0连续.其次,因,,故f(x)在x=0可导,且f'(0)=-1.注.上例中求左右导数或讨论分段函数衔接点处可导性的方法,必须首先研究函数在该点的连续性,在连续的前提下才可使用此方法,否则会出现错误.例如考虑函数此时g(x)在x=0不连续,更不可导.如果你用上例方法求左右导数:g'+(0)=-1,g'-(0)=-1,得出g'(0)=-1,那就大错特错了.事实上, 上图中的原点并不属于函数g(x)的图像,因此,原点右侧的“半切线”是不存在的,也就是说,原点处的右导数是不存在的.1. 曲线的切线斜率我们知道,圆的切线定义为与圆相交于唯一点的直线.但对于一般曲线,切线是不能这样定义的.例如右下图中曲线在P点处的切线, 除P点外还交曲线于Q点.为确切表达切线的含义,需应用极限的思想.请看下面的动画.说明:点P(x0,f(x0))=P(x0,y0)是曲线y=f(x)上的给定点.点Q(x,y)=Q(x,f(x))是曲线上的动点, 可在P的两侧:在右侧时x>x0;在左侧时x<x0.动直线PQ是曲线的割线.如果动点Q无限地逼近定点P时, 动直线PQ有一个极限位置T, 即极限则称PT为曲线在P点的切线.为确定切线PT的位置, 或建立PT的方程, 只需确定其斜率.由于PT是PQ的极限, 从而PT的斜率是PQ斜率的极限, 极限过程是由Q→P产生的.而Q→P即x→x0.设PT对于x轴的倾角(即x轴正向逆时针旋转至PT经过的角)为α, PT的斜率为k=tanα.现在割线PQ的斜率为:.而切线PT的斜率为:(PQ的斜率)=,由此得切线PT的方程是:y-f(x0)=k( x-x0).。
高等数学积分公式大全高等数学是一门非常重要的学科,在很多领域都有应用。
其中,积分学是高等数学中的一个重要章节。
积分可以理解为求解曲线图形下面的面积,不同类型的积分公式有着不同的概念和应用,下面,就为大家整理了一份高等数学积分公式大全,让大家对这个知识点有一个更全面的认识。
1. 常数积分公式$$\int kdx=kx+C$$2. 幂函数积分公式$$\int x^ndx=\frac{x^{n+1}}{n+1}+C$$3. 指数函数积分公式$$\int e^xdx=e^x+C$$4. 对数函数积分公式$$\int \frac{1}{x}dx=\ln|x|+C$$5. 三角函数积分公式$$\int \sin xdx=-\cos x+C$$$$\int \cos xdx=\sin x+C$$6. 反三角函数积分公式$$\int \frac{1}{\sqrt{1-x^2}}dx=\arcsin x+C$$$$\int \frac{1}{1+x^2}dx=\arctan x+C$$$$\int \frac{1}{\sqrt{x^2-1}}dx=\ln|x+\sqrt{x^2-1}|+C$$7. 换元法积分公式$$\int f(u)du=\int f(u(x))\frac{du}{dx}dx$$8. 分部积分公式$$\int u(x)v'(x)dx=u(x)v(x)-\int v(x)u'(x)dx$$9. 定积分公式$$\int_a^bf(x)dx=F(b)-F(a)$$10. 积分中值定理$$\int_a^bf(x)dx=f(c)(b-a)$$这便是几种高等数学积分公式的介绍,这些公式是数学中不可或缺的知识点,掌握这些公式不仅有助于学生学好数学,还对应用数学的工作有相当多的帮助。
除了这些基本的积分公式之外,高等数学还涉及到一些比较复杂的积分公式,如多重积分、线性代数积分、微积分方程等等。
1. 多重积分公式多重积分是指对多元函数的积分,通常被用于几何问题、概率论问题和物理学问题中。
常用积分公式表·例题和点评⑴d k x kx c =+⎰ (k 为常数)⑵11d (1)1x x x c μμμμ+≠-=++⎰ 特别,211d x c x x =-+⎰, 3223x x c =+, x c =⑶1d ln ||x x c x =+⎰⑷d ln xxaa x c a=+⎰, 特别,e d e x xx c =+⎰ ⑸sin d cos x x x c =-+⎰⑹cos d sin x x x c =+⎰ ⑺221d csc d cot sin x x x x c x ==-+⎰⎰⑻221d sec d tan cos x x x x c x ==+⎰⎰⑼arcsin (0)x x c a a=+>,特别,arcsin x x c =+ ⑽2211d arctan (0)x x c a a a a x =+>+⎰,特别,21d arctan 1x x cx =++⎰⑾2211d ln (0)2a xx c a a a x a x +=+>--⎰或2211d ln (0)2x ax c a a x a x a -=+>+-⎰⑿tan d ln cos x x x c =-+⎰ ⒀cot d ln sin x x x c =+⎰⒁ln csc cot 1csc d d ln tan sin 2x x cx x x xc x ⎧-+⎪==⎨+⎪⎩⎰⎰ ⒂πln sec tan 1sec d d ln tan cos 24x x cx x x x c x ⎧++⎪==⎛⎫⎨++ ⎪⎪⎝⎭⎩⎰⎰131⒃(0)a x >==ln x c ++⒄2(0)arcsin 2a a x x c a >==+⒅x2(ln 2a a x c >==++⒆2222sin cos e sin d e sin cos e cos d e axax ax ax a bx b bx bx x c a b b bx a bx bx x c a b -⎧=+⎪⎪+⎨+⎪=+⎪+⎩⎰⎰⒇12222212123d ()2(1)()2(1)nn n n x n x c a x n a a x n a I I ---==+++-+-⎰(递推公式) 跟我做练习(一般情形下,都是先做恒等变换或用某一个积分法,最后套用某一个积分公式)例24⑴2)x x =-[套用公式⒅]1ln (2)2x =-+⑵[1(24)42x x x =-+⎰⎰2145)22x x x =-++=(请你写出答案)⑶2)x x =-ln (2)x ⎡=-+⎣ [套用公式⒃]⑷12x x =2122x =+=(请你写出答案)⑸2)x x =-232arcsin23x -=+[套用公式⒄]⑹[1(42)42x x x =---⎰⎰214)22x x x =-+-+=(请你写出答案)⑺==[套用公式⑼]2arcsin3x -=⑻(42)4d 12x x --=-2122=+-=(请你写出答案)例25 求原函数41d 1x x +⎰. 解 因为)21)(21()2()1(2)21(1222222424x x x x x x x x x x +-++=-+=-++=+所以令411x =++为待定常数)D C B A ,,,(=从恒等式1)12)(()12)((22≡+++++-+x x D x C x x B Ax (两端分子相等),可得方程组⎪⎪⎩⎪⎪⎨⎧=+=+++-=++-=+(三次项系数)(二次项系数)(一次项系数)常数项0022022)(1C A D C B A D C B A D B 解这个方程组(在草纸上做),得21,221,21,221=-===D C B A . 因此, 41d 1x x+⎰x x =+右端的第一个积分为13314x x x==+2211d4xx+⎛+⎝⎭⎰(套用积分公式)21)1)x+++类似地,右端的第二个积分为21)1)x x=+-⎰所以41d1xx+⎰1)1)+-=+(见下注)【注】根据tan tantan()1tan tanαβαβαβ++=-⋅,则tan1)1)⎡⎤++-===⎣⎦因此,21)1)arctan1x++-=-例26 求d(01)1cosxxεε<<-⎰. [关于d(01)1cosxxεε<<+⎰,见例17]解令tan2xt=(半角替换),则2222222cos cos sin2cos111222sec1tan22x x xxx x=-=-=-=-+2211tt-=+22d d(2arctan)d1x t tt==+于是,222d12dd211cos1(1)(1)11x tttx t ttεεεε==--+-++-+⎰⎰⎰22d11ttεεε=+++⎰c =+2xc =+【点评】求初等函数的原函数的方法虽然也有一定的规律,但不像求它们的微分或导数那样规范化.这是因为从根本上说,函数()y y x =的导数或微分可以用一个“构造性”的公式()()()limh y x h y x y x h→+-'= 或d ()d y y x x '=确定下来,可是在原函数的定义中并没有给出求原函数的方法.积分法作为微分法的逆运算,其运算结果有可能越出被积函数所属的函数类.譬如,有理函数的原函数可能不再是有理函数,初等函数的原函数可能是非初等函数(这就像正数的差有可能是负数、整数的商有可能是分数一样).有的初等函数尽管很简单,可是它的原函数不能表示成初等函数 ,譬如21e sin ed ,d ,d ,d ln xx xx x x x xxx-⎰⎰⎰⎰等 都不能表示成初等函数.因此,一般说来求初等函数的原函数要比求它们的微分或导数困难得多.我们用上面那些方法能够求出原函数的函数,只是初等函数中的很小一部分.尽管如此,我们毕竟可以求出足够多函数的原函数,而这些正好是应用中经常遇到的函数.因此,读者能够看懂前面那些例题并能够基本完成各节后的练习就足够了.。
(完整word版)积分公式2.基本积分公式表(1)∫0d x=C(2)=ln|x|+C(3)(m≠-1,x>0)(4)(a>0,a≠1)(5)(6)∫cos x d x=sin x+C(7)∫sin x d x=-cos x+C(8)∫sec2x d x=tan x+C(9)∫csc2x d x=-cot x+C(10)∫sec x tan x d x=sec x+C(11)∫csc x cot x d x=-csc x+C(12)=arcsin x+C(13)=arctan x+C注.(1)不是在m=-1的特例.(2)=ln|x|+C,ln后⾯真数x要加绝对值,原因是(ln|x|)' =1/x.事实上,对x>0,(ln|x|)' =1/x;若x<0,则(ln|x|)' =(ln(-x))' =.(3)要特别注意与的区别:前者是幂函数的积分,后者是指数函数的积分.下⾯我们要学习不定积分的计算⽅法,⾸先是四则运算.3.不定积分的四则运算根据微分运算公式d(f(x)±g(x))=d f(x)±d g(x)d(kf(x))=k d f(x)我们得不定积分的线性运算公式(1)∫[f(x)±g(x)]d x=∫f(x)d x±∫g(x)d x(2)∫kf(x)d x=k∫f(x)d x,k是⾮零常数.现在可利⽤这两个公式与基本积分公式来计算简单不定积分.例2.5.4求∫(x3+3x++5sin x-4cos x)d x解.原式=∫x3d x+∫3x d x+7∫d x+5∫sin x d x-4∫cos x d x=+7ln|x|-5cos x-4sin x+C .注.此例中化为五个积分,应出现五个任意常数,它们的任意性使其可合并成⼀个任意常数C,因此在最后写出C即可.例2.5.5求∫(1+)3d x解.原式=∫(1+3+3x+)d x=∫d x+3∫d x+3∫x d x+∫d x=x+3+C=x+2x++C .注.∫d x与∫1d x是相同的,其中1可省略.例2.5.6求解.原式===-x+arctan x+C .注.被积函数是分⼦次数不低于分母次数的分式,称为有理假分式.先将其分出⼀个整式x2-1,余下的分式为有理真分式,其分⼦次数低于分母的次数.例2.5.7求.解.原式==∫csc2x d x-∫sec2x d x=-cot x-tan x+C .注.利⽤三⾓函数公式将被积函数化简成简单函数以便使⽤基本积分公式.例2.5.8求.解.原式==+C .为了得到进⼀步的不定积分计算⽅法,我们先⽤微分的链锁法则导出不定积分的重要计算⽅法??换元法.思考题.被积函数是有理假分式时,积分之前应先分出⼀个整式,再加上⼀个有理真分式,⼀般情形怎样实施这⼀步骤?4.第⼀换元法(凑微分法)我们先看⼀个例⼦:例2.5.9求.解.因(1+x2)' =2x,与被积函数的分⼦只差常数倍数2,如果将分⼦补成2x,即可将原式变形:原式=(令u=1+x2)=(代回u=1+x2).注.此例解法的关键是凑了微分d(1+x2).⼀般地在F'(u)=f(u),u=?(x)可导,且?' (x)连续的条件下,我们有第⼀换元公式(凑微分):u=? (x) 积分代回u=? (x)∫f[?(x)]?' (x)d x=∫f[?(x)]d?(x)=∫f(u)d u=F(u)+C=F[?(x)]+C其中函数?(x)是可导的,且F(u)是f(u)的⼀个原函数.从上述公式可看出凑微分法的步骤:凑微分————→换元————→积分————→再换元' (x)d x=d(x) u=(x) 得F(u)+C得F[?(x)]+C注.凑微分法的过程实质上是复合函数求导的链锁法则的逆过程.事实上,在F'(u)=f(u)的前提下,上述公式右端经求导即得:[F[?(x)]+C]' =F '[?(x)]?' (x)=f[?(x)]?' (x)这就验证了公式的正确性.例2.5.10求∫(ax+b)m d x.(m≠-1,a≠0)解.原式=(凑微分d(ax+b))=(换元u=ax+b)=(积分)=. (代回u=ax+b)例2.5.11求.解.原式=(凑微分d(-x3)=-3x2d x)===(换元u=-x3).注.你熟练掌握凑微分法之后,中间换元u=?(x)可省略不写,显得计算过程更简练,但要做到⼼中有数.例2.5.12求∫tan x d x.解.原式==-ln|cos x|+C .同理可得∫cot x d x=ln|sin x|+C .例2.5.13求(a>0).解.原式==.例2.5.14求(a>0).解.原式==.例2.5.15求.解.原式====.例2.5.16∫sec x d x.解.原式=(换元u=sin x)===(代回u=sin x)===ln|sec x+tan x|+C .公式:∫sec x d x=ln|sec x+tan x|+C .例.2.5.17求∫csc x d x .解.原式===ln|csc x-cot x|+C .公式:∫csc x d x=ln|csc x-cot x|+C .凑微分法是不定积分换元法的第⼀种形式,其另⼀种形式是下⾯的第⼆换元法.5.第⼆换元法不定积分第⼀换元法的公式中核⼼部分是∫f[?(x)]?'(x)d x=∫f(u)d u我们从公式的左边演算到右边,即换元:u=?(x).与此相反,如果我们从公式的右边演算到左边,那么就是换元的另⼀种形式,称为第⼆换元法.即若f(u),u=?(x),?'(x)均连续,u=?(x)的反函数x=?-1(u)存在且可导,F(x)是f[?(x)]?'(x)的⼀个原函数,则有∫f(u)d u=∫f[?(x)]?'(x)d x=F(x)+C=F[?-1(u)]+C .第⼆换元法常⽤于被积函数含有根式的情况.例2.5.18求解.令(此处?(t)=t2).于是原式===(代回t= -1(x)=) 注.你能看到,换元=t的⽬的在于将被积函数中的⽆理式转换成有理式,然后积分.第⼆换元法除处理形似上例这种根式以外,还常处理含有根式,,(a>0)的被积函数的积分.例2.5.19求. (a>0)解.令x=a sec t,则d x=a sec t tan t d t,于是原式==∫sec t d t=ln|sec t+tan t|+C1 .到此需将t代回原积分变量x,⽤到反函数t=arcsec,但这种做法较繁.下⾯介绍⼀种直观的便于实施的图解法:作直⾓三⾓形,其⼀锐⾓为t及三边a,x,满⾜:sec t=由此,原式=ln|sec t+tan t|+C1==.注.C1是任意常数,-ln a是常数,由此C=C1-ln a仍是任意常数.(a>0)例2.5.20求.解.令x=a tan t,则d x=a sec2t d t,于是原式==∫sec t d t=ln|sec t+tan t|+C1 .图解换元得原式=ln|sec t+tan t|+C1=.公式:.例2.5.21求(a>0).解.令x=a sin t,则d x=a cos t d t,于是原式===+C.图解换元得:原式=+C=+C .除了换元法积分外,还有⼀个重要的积分公式,即分部积分公式.思考题.在第⼆换元法公式中,请你注意加了⼀个条件“u=?(x)的反函数x=?1-(u)存在且可导”,你能否作出解释,为什么要加此条件?6.分部积分公式我们从微分公式d(uv)=v d u+u d v两边积分,即∫d(uv)=∫v d u+∫u d v由此导出不定积分的分部积分公式∫u d v=uv -∫v d u下⾯通过例⼦说明公式的⽤法.例2.5.22求∫x2ln x d x解.∫x2ln x d x=(将微分dln x算出)==.例2.5.23求∫x2sin x d x.解.原式=∫x2d(-cos x) (凑微分)=-x2cos x-∫(-cos x)d(x2) (⽤分部积分公式)=-x2cos x+∫2x cos x d x=-x2cos x+2∫x dsin x(第⼆次凑微分)=-x2cos x+2[x sin x-∫sin x d x] (第⼆次⽤分部积分公式)=-x2cos x+2x sin x+2cos x+C .例2.5.24求∫e x sin x d x.解.∫e x sin x d x=∫sin x d e x (凑微分)=e x sin x-∫e x dsin x(⽤分部积分公式)=e x sin x-∫e x cos x d x(算出微分)=e x sin x-∫cos x d e x(第⼆次凑微分)=e x sin x-[e x cos x-∫e x dcos x] (第⼆次⽤分部积分公式)=e x(sin x-cos x)-∫e x sin x d x(第⼆次算出微分)由此得:2∫e x sin x d x=e x(sin x-cos x)+2C因此∫e x sin x d x=(sin x-cos x)+C .注.(1)此例中在第⼆次凑微分时,必须与第⼀次凑的微分形式相同.否则若将∫e x cos x d x凑成∫e x dsin x,那将产⽣恶性循环,你可试试.(2)积分常数C可写在积分号∫⼀旦消失之后.例2.5.25求∫arctan x d x解.此题被积函数可看作x0arctan x,x0d x=d x,即适合分部积分公式中u=arctan x,v=x.故原式=x arctan x - ∫x d(arctan x) (⽤分部积分公式)=x arctan x - d x(算出微分)=x arctan x - (凑微分)=x arctan x - ln(1+x2)+C .⼩结.(1)分部积分公式常⽤于被积函数是两种不同类型初等函数之积的情形,例如x3arctan x,x3ln x 幂函数与反正切或对数函数x2sin x,x2cos x幂函数与正弦,余弦x2e x幂函数与指数函数e x sin x,e x cos x 指数函数与正弦,余弦等等.(2)在⽤分部积分公式计算不定积分时,将哪类函数凑成微分d v,⼀般应选择容易凑的那个.例如arctan x d,ln x d我们已学习了不定积分的⼏种常⽤⽅法,除了熟练运⽤这些⽅法外,在许多数学⼿册中往往列举了⼏百个不定积分公式,它们不是基本的,不需要熟记,但可以作为备查之⽤,称为积分表.思考题.你仔细观察分部积分公式,掌握其中使⽤的规律,特别是第⼀步凑微分时如何选择微分.7.积分表的使⽤除了基本积分公式之外,在许多数学⼿册中往往列举了⼏百个补充的积分公式,构成了积分表.下⾯列出本节已得到的基本积分公式.(1)∫0d x=C(2)=ln|x|+C(3)(m≠-1,x>0)(4)(a>0,a≠1)(5)(6)∫cos x d x=sin x+C(7)∫sin x d x=- cos x+C(8)∫sec2x d x=tan x+C(9)∫csc2x d x=- cot x+C(10)∫sec x tan x d x=sec x+C(11)∫csc x cot x d x=-csc x+C(12)=arcsin x+C(13)=arctan x+C(14)∫tan x d x=-ln|cos x|+C(15)∫cot x d x=ln|sin x|+C(16)=(a>0)(17)=(a>0)(18)(a>0)(19)=(a>0)(20)∫sec x d x=ln|sec x+tan x|+C(21)∫csc x d x=ln|csc x-cot x|+C利⽤积分表中的公式,可使积分计算⼤⼤简化.积分表的使⽤⽅法⽐较简单,现举⼀例说明之.例2.5.26求解.从积分表中查得公式则将a=3,b=-1,c=4代⼊上式并添上积分常数C即得解答:=.。
24个基本积分公式24个基本积分公式是数学中常用的工具,它能帮助我们快速解决复杂的积分问题。
1.一个公式:恒积分公式,它是所有积分公式中最基本也是最重要的公式,它表示对某一函数$f(x)$的某一闭区间$[a,b]$进行积分,其公式如下:$$int_a^bf(x)dx=F(b)-F(a)$$其中$F(x)$是$f(x)$的上原函数。
2.二个公式:幂积分公式,它也是一种常用的公式,它描述了当变量$x$的幂次为$n$时,$f(x)$的积分的公式如下:$$int x^nf(x)dx=frac{x^{n+1}}{n+1}f(x)-frac{n}{n+1}int x^{n-1}f(x)dx$$3.三个公式:复合公式,有时候积分可能会变得更加复杂,它描述了一种复合积分形式,其公式如下:$$int int_Rf(x,y)dydx=iint_Rf(x,y)dxdy$$其中$R$表示一个积分区域,$f(x,y)$表示函数。
4.四个公式:变量替代公式,当我们积分时,有时可能会用到变量替代的方法。
此时对于积分$int f(x)dx$,用变量$t$替代$x$,变量$t$的关于$x$的函数表达式为$t=t(x)$,当$x$的范围从$[a,b]$变为$[t_a,t_b]$时,这时需要用到变量替代公式,其公式如下:$$int_a^bf(x)dx=int_{t_a}^{t_b}f(t(x))t(x)dx$$ 其中$t(x)$表示$t$关于$x$的微分。
5.五个公式:指数积分公式,当我们积分某一函数$f(x)$关于$x$的幂为$n$时,能够用到指数积分公式,其公式如下:$$int x^ne^xdx=x^ne^x-nint x^{n-1}e^xdx$$6.六个公式:对数积分公式,当我们积分某一函数$f(x)$的流函数是一个对数函数的时候,可以用到对数积分公式,它的公式如下: $$int frac{1}{x}dx=ln|x|+C$$其中$C$是常量。
常见积分公式事实上,所有的不定积分都可以当作积分公式来看,当然我们通常都只关注比较简单的那些,太复杂的也记不住啊。
常用的积分公式,指的是六大基本函数相关的一些不定积分。
首先是常量函数的积分公式。
包括:(1)∫0dx=C; (2)∫1dx=x+C; (3)∫adx=ax+C. a是任意常数。
虽然被积函数都是常量,但0的原函数是任意常数,而非0的常数的原函数却是一次函数.然后是幂函数:(3)∫x^adx=x^(a+1)/(a+1)+C (a≠-1,x>0).你可以对右边求导,就可以得到被积函数。
求导和不定积分可以看作是一个互逆的过程。
x大于0是为了防止偶数次号内有负数,或者分母是0,造成被积函数没有意义。
而a=-1时,却是另外一类不定积分,是原函数为对数函九有关的不定积分。
(4)∫1/xdx=ln|x|+C (x≠0); (5)∫1/(xlna)dx=log_a |x|+C(a>0, a≠1; x≠0);需要注意的是,当x>0时,不需要加绝对值符号。
否则就要加绝对值符号,这一点是很多人容易忽略的。
还有指数函数的不定积分公式:(6)∫e^xdx=e^x+C; (7)∫a^xdx=a^x/lna+C (a>0, a≠1).与三角函数有关的不定积分公式特别多,这里只分享比较简单的一些。
注意,不论是与三角函数有关的不定积分,还是与反三角函数有关的积分,它们一般都是成对出现的,而且两个积分之间总有某种交错对称的关系,注意观察,结合起来才容易记忆。
与三角函数有关的常用积分公式:(1)∫cosaxdx=1/a*sinax+C; ∫sinaxdx=-1/a*cosax+C(a≠0);当a=1时,就有∫cosxdx=sinx+C; ∫sinxdx=-cosx+C;其实所有的积分公式中,x都可以替换成中间变量u=ax,结果在原函数前面乘上一个1/a就可以了。
(2)∫(secx)^2dx=tanx+C; ∫(cscx)^2dx=-cotx+C;(3)∫secx·tanxdx=secx+C; ∫cscx·tanxdx=-cscx+C;(4)∫(sinx)^2dx=1/2*(x-sinxcosx)+C;∫(cosx)^2dx=1/2*(x+sinxcosx)+C;(5)∫dx/(1±sinx)=tanx?secx+C; ∫dx/(1±cosx)=-cotx±cscx+C;(6)∫dx/sinxcosx=ln|tanx|+C=ln|csc2x-cot2x|+C;注意,求不定积分的方法有很多,用不同的方法可能会得到不同的形式,所以千万不要一看到形式不同,就认为结果是错误的。
1)—dx cosx—V-dxsin xtan x C cot x Cdx a x 1~2 ------- 2dxx a1 x a2aln|着* 1 C参考医学基本积分表kdx kx C(k 是常数) 1xx dxC, (u 11dx In | x | C xdxsin xdx cosx Csecx tanxdx secx C (1) (2)(3)(4)(5)(6)(7) (8) (9) (10)(11)(⑵(13)(14) (15) (16) (17)cosxdx sinx Ce xdx e xCa x dx-C , (a 0,且 a 1) In ashxdx chx Cchxdx shx Ccscx cot xdx cscx C1arc tan注:由 f[ (x)] '(x)dxf[ (x)]d (x),此步为凑微分过程,所以第类换元法也叫凑微分法。
此方法是非常重要的一种积分法,要运用自如, 务必熟记基本积分表,并掌握常见的凑微分形式及“凑”的技巧。
小结:1常用凑微分公式参考医学(18)arc sin 仝 Ca(19)_1_ _a^x 2<(20)/ 2 2x aIn |x , x a(21) tan xdx ln | cosx | C (22) cot xdx ln |sinx| C (23) secxdx In | secx tanx| (24) cscxdx In | cscx cotx| C C 注:1、 从导数基本公式可得前15个积分公式,(16)-(24)式后几节证。
2、以上公式把x 换成u 仍成立,u 是以x 为自变量的函数。
3、复习三角函数公式: 2 2 2sin x cos x 1,tan x 1 2 2sec x,sin 2x 2sin xcosx, cos x1 cos2xsin 2x1 cos2x 2参考医学积分类型换元公式1.1 f(ax b)dx — af (ax b)d(ax b) (a 0)u ax bf(x )x 1dx -u x2.-f(x )d(x ) ( 0)3. 1f(l nx) —dxx f(ln x)d(ln x) u In x 第 4.. f(e x ) e xdxf(e x)de xuxe5. f(a x ) a xdx — - F(a x )da x换In auxa元 6. f (sin x) cosxdxf (sin x)d sin xu sin x 积u cosx分 7. f (cosx) sin xdxf (cosx)d cosx法 8. f (tan x) sec xdxf (tan x)d tanxu tan x9. 2 f (cot x)csc xdxf (cot x)d cot xu cot x10. 1f (arctanx) --1 x… .、 1 -dx f (arctan x)d (arctanx) u arcta nx 11. 1 jp / __ ■ _ \ u arcsin xf (arcsin x):——dxT (arcsin x)d (arcsin x)(注:表格素材和资料部分来自网络,供参考。
基本积分表(1)kdx kx C =+⎰ (k 是常数)(2)1,1x x dx C μμμ+=++⎰ (1)u ≠- (3)1ln ||dx x C x =+⎰(4)2tan 1dxarl x C x =++⎰(5)arcsin x C =+(6)cos sin xdx x C =+⎰ (7)sin cos xdx x C =-+⎰(8)21tan cos dx x C x =+⎰(9)21cot sin dx x C x=-+⎰(10)sec tan sec x xdx x C =+⎰ (11)csc cot csc x xdx x C =-+⎰ (12)x x e dx e C =+⎰(13)ln xxa a dx C a=+⎰,(0,1)a a >≠且 (14)shxdx chx C =+⎰ (15)chxdx shx C =+⎰(16)2211tan xdx arc C a x a a =++⎰(17)2211ln ||2x adx C x a a x a-=+-+⎰ (18)sinxarc C a=+(19)ln(x C =++(20)ln |x C =+(21)tan ln |cos |xdx x C =-+⎰ (22)cot ln |sin |xdx x C =+⎰ (23)sec ln |sec tan |xdx x x C =++⎰ (24)csc ln |csc cot |xdx x x C =-+⎰注:1、从导数基本公式可得前15个积分公式,(16)-(24)式后几节证。
2、以上公式把x 换成u 仍成立,u 是以x 为自变量的函数。
3、复习三角函数公式:2222sin cos 1,tan 1sec ,sin 22sin cos ,x x x x x x x +=+==21cos 2cos 2xx +=, 21cos 2sin 2xx -=。
注:由[()]'()[()]()f x x dx f x d x ϕϕϕϕ=⎰⎰,此步为凑微分过程,所以第一类换元法也叫凑微分法。
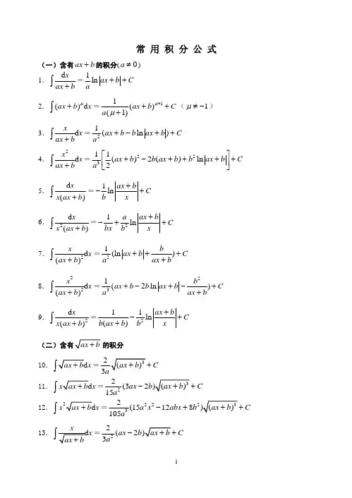
常 用 积 分 公 式(一)含有的积分() ax b +0a ≠1.d x ax b +∫=1ln ax b C a ++2.=()ax b x μ+∫d 11()(1)ax b C a μμ++++(1μ≠−)3.d x x ax b +∫=21(ln )ax b b ax b C a +−++4.2d x x ax b +∫=22311()2()ln 2ax b b ax b b ax b C a ⎡⎤+−++++⎢⎥⎣⎦5.d ()x x ax b +∫=1ln ax bC b x +−+6.2d ()x x ax b +∫=21ln a ax bC bx b x+−++ 7.2d ()x x ax b +∫=21(ln )bax b C a ax ++++b8.22d ()x x ax b +∫=231(2ln b ax b b ax b C a ax b +−+−++9.2d ()x x ax b +∫=211ln ()ax b C b ax b b x+−++的积分10.x ∫C +11.x ∫=22(3215ax b C a −+12.x x ∫=22232(15128105a x abx b C a−++13.x∫=22(23ax b C a −+14.2x ∫=22232(34815a x abx b C a −++15.∫=(0)(0)C b C b ⎧+>+<16.∫2a bx b −−∫17.d x x ∫=b + 18.2d xx ∫=2a x −+ (三)含有22x a ±的积分 19.22d x x a +∫=1arctan xC aa +20.22d ()n x x a +∫=2221222123d 2(1)()2(1)()n n x n n a x a n a x a −−x−+−+−+∫21.22d x x a −∫=1ln 2x a C a x a−++(四)含有的积分2(0ax b a +>)22.2d x ax b +∫=(0)(0)x C b Cb ⎧+>⎪⎪⎨+<23.2d x x ax b +∫=21ln 2ax b C a ++24.22d x x ax b +∫=2d x b xa a axb −+∫25.2d ()x x ax b +∫=221ln 2x C b ax b++26.22d ()x x ax b +∫=21d a xbx b ax b −−+∫ 27.32d ()x x ax b +∫=22221ln 22ax b a C b x bx+−+ 28.22d ()x ax b +∫=221d 2()2x xb ax b b ax b +++∫(五)含有的积分2ax bx c ++(0a >)29.2d x ax bx c ++∫=22(4)(4)C b C b ac +<+>ac 30.2d x x ax bx c ++∫=221d ln 22b x ax bx c a a ax bx c++−++∫(0a >)的积分31.∫=1arshxC a +=ln(x C ++ 32.∫C +33.x ∫C34.x ∫=C +35.2x ∫2ln(2a x −++C36.2x ∫=ln(x C +++37.∫1ln aC a x −+38.∫2C a x −+40.x ∫=2243(25ln(88x x a a x C ++++43.d x x ∫ln a a C x −++44.2d x x∫=ln(x C x −+++(0a >)的积分45.=1arch x xC x a+=C + 46.∫C +47.x ∫C +48.x ∫=C +49.2x ∫22a ++C50.2x ∫=ln C ++51.∫1arccos aC a x+52.∫2C a x +53.x ∫2ln 2a −+C54.x ∫=2243(25ln 88x x a a C −++55.x ∫C +56.xx ∫=422(288x a x a C −−+57.d x x∫arccos aa C x −+58.2d x x ∫=ln C x −++(0a >)的积分 59.∫=arcsinxC a + 60.∫C +61.x ∫=C +62.x ∫C +63.2x ∫=2arcsin 2a x C a ++64.2x ∫C +65.∫1ln a C a x −+66.∫2C a x −+67.∫x 2arcsin 2a C a++x68.∫x =2243(52arcsin 88x x a x a a C −++69.∫x =C +70.x∫x =422(2arcsin 88x a x x a C a−++71.d x x ∫ln a a C x −++72.2d x x∫=arcsin xC x a −−+(0a >)的积分73.∫C +74.x ∫2C ++75.x ∫C −+76.∫=C +77.x ∫2C ++78.x ∫=C ++79.x ∫=((x b b a C −−++80.x ∫=((x b b a C −−+81.∫C+()a b <82.x ∫C ++()a b <(十一)含有三角函数的积分 83.sin d x x ∫=cos x C −+84.cos d x x ∫=sin x C + 85.tan d x x ∫=ln cos x C −+ 86.cot d x x ∫=ln sin x C + 87.sec d x x ∫=ln tan()42xC π++=ln sec tan x x C ++ 88.csc d x x ∫=ln tan2xC +=ln csc cot x x C −+ 89.2sec d x x ∫=tan x C + 90.2csc d x x ∫=cot x C −+ 91.sec tan d x x x ∫=sec x C + 92.csc cot d x x x ∫=csc x C −+93.2sin d x x ∫=1sin 224x x C −+ 94.2cos d x x ∫=1sin 224x x C ++95.sin d n x x ∫=1211sin cos sin d n n n x x x n n−−−−+∫x 96.cos d n x x ∫=1211cos sin cos d n n n x x x n n−−−+∫x 97.d sin n x x ∫=121cos 2d 1sin 1sin n n x n xn x n −−−−⋅+−−∫x 98.d cos n x x ∫=121sin 2d 1cos 1cos n n x n xn x n −−−⋅+−−∫x99.cos sin d m n x x x ∫=11211cos sin cos sin d m n m nm x x x m n m n−+−x x −+++∫ =11211cos sin cos sin d m n m n n x x x m n m n +−−x x −−+++∫100.=sin cos d ax bx x ∫11cos()cos()2()2()a b x a b x C a b a b −+−−++−101.=sin sin d ax bx x ∫11sin()sin()2()2()a b x a b x C a b a b −++−++−102.=cos cos d ax bx x ∫11sin()sin()2()2()a b x a b x C a b a b ++−++−103.d sin xa b x +∫tanxa b C ++22()a b >104.d sin x a b x +∫C+22()a b <105.d cos xa b x +∫)2x C +22()a b >106.d cos x a b x +∫C +22()a b <107.2222d cos sin x a x b x +∫=1arctan(tan )bx C ab a + 108.2222d cos sin x a x b x 1tan ln 2tan b x a C ab b x a +−∫=+−109.sin d x ax x ∫=211sin cos ax x ax C a a −+ 110.2sin d x ax x ∫=223122cos sin cos x ax x ax ax C a a a −+++111.cos d x ax x ∫=211cos sin ax x ax C a a ++112.2cos d x ax x ∫=223122sin cos sin x ax x ax ax C a a a+−+(十二)含有反三角函数的积分(其中)0a >113.arcsin d x x a ∫=arcsin xx C a+114.arcsin d xx x a ∫=C +115.2arcsin d xx x a∫=3221arcsin (239x x x a C a ++116.arccos d xx a ∫=arccosxx C a−+117.arccos d xx x a ∫=C +118.2arccos d xx x a∫=3221arccos (239x x x a C a −++ 119.arctand x x a ∫=22arctan ln()2x a x a x C a −++ 120.arctan d x x x a∫=221()arctan 22x aa x x C a +−+121.2arctan d xx x a∫=33222arctan ln()366x x a a x a x C a −+++ (十三)含有指数函数的积分122.=d xa x ∫1ln xa C a + 123.e d axx ∫=1e ax C a +124.e d axx x ∫=21(1)e ax ax C a −+125.e d n axx x ∫=11e e n ax n ax n d x x x a a−−∫126.d xxa x ∫=21ln (ln )x xx a a a a C −+ 127.d nxx a x ∫=11d ln ln n x n xn x a x a a a −−∫x 128.=e sin d axbx x ∫221e (sin cos )ax a bx b bx C a b −++ 129.=e cos d ax bx x ∫221e (sin cos )axb bx a bx C a b+++130.=e sin d ax n bx x ∫12221e sin (sin cos )ax n bx a bx nb bx a b n−−+ 22222(1)e sin d ax n n n b bx x a b n−−++∫ 131.=e cos d ax n bx x ∫12221e cos (cos sin )ax n bx a bx nb bx a b n−++ 22222(1)e cos d ax n n n b bx x a b n−−++∫ (十四)含有对数函数的积分132.ln d x x ∫=ln x x x C −+ 133.d ln x x x ∫=ln ln x C +134.ln d n x x x ∫=111(ln )11n x x C n n +−+++ 135.(ln )d n x x ∫=1(ln )(ln )d n n x x n x −−∫x 136.(ln )d m n x x x ∫=111(ln )(ln )d 11m n m n n x x x x m m +−−++∫x (十五)含有双曲函数的积分137.sh d x x ∫=ch x C +138.ch d x x ∫=sh x C +139.th d x x ∫=ln ch x C + 140.2sh d x x ∫=1sh224x x C −++ 141.2ch d x x ∫=1sh224x x C ++ (十六)定积分142.==0 cos d nx x π−π∫sin d nx x π−π∫143.=0 cos sin d mx nx x π−π∫144.= cos cos d mx nx x π−π∫0,,m n m n ≠⎧⎨π=⎩145.= sin sin d mx nx x π−π∫0,,m n m n ≠⎧⎨π=⎩146.==0sin sin d mx nx x π∫0cos cos d mx nx x π∫0,,2m n m n ≠⎧⎪⎨π=⎪⎩ 147. n I =20sin d n x x π∫=20cos d n x x π∫ n I =21n n I n−− 134225n n n I n n −−=⋅⋅⋅⋅−"3(为大于1的正奇数),n 1I =1 13312422n n n I n n −−π=⋅⋅⋅⋅⋅"n (为正偶数),0I =2π −。
基本积分表
(1)kdx kx C =+⎰ (k 是常数)
(2)1
,1
x x dx C μμ
μ+=
++⎰ (1)u ≠- (3)1
ln ||dx x C x =+⎰
(4)2
tan 1dx
arl x C x
=++⎰ (5)
arcsin x C =+⎰
(6)cos sin xdx x C =+⎰ (7)sin cos xdx x C =-+⎰
(8)21
tan cos dx x C x =+⎰
(9)21
cot sin dx x C x
=-+⎰
(10)sec tan sec x xdx x C =+⎰ (11)csc cot csc x xdx x C =-+⎰ (12)x x e dx e C =+⎰
(13)ln x
x
a a dx C a
=+⎰,(0,1)a a >≠且 (14)shxdx chx C =+⎰ (15)chxdx shx C =+⎰
(16)22
11tan x
dx arc C a x a a =++⎰
(17)2
211ln ||2x a
dx C x a a x a
-=+-+⎰
(18)
sin
x
arc C a
=+⎰
(19)
ln(x C =+
(20)
ln |x C =+⎰
(21)tan ln |cos |xdx x C =-+⎰ (22)cot ln |sin |xdx x C =+⎰ (23)sec ln |sec tan |xdx x x C =++⎰ (24)csc ln |csc cot |xdx x x C =-+⎰
注:1、从导数基本公式可得前15个积分公式,(16)-(24)式后几节证。
2、以上公式把x 换成u 仍成立,u 是以x 为自变量的函数。
3、复习三角函数公式:
2222sin cos 1,tan 1sec ,sin 22sin cos ,x x x x x x x +=+==21cos 2cos 2
x
x +=
, 21cos 2sin 2
x
x -=。
注:由[()]'()[()]()f x x dx f x d x ϕϕϕϕ=⎰⎰,此步为凑微分过程,所以第一类换元法也叫凑微分法。
此方法是非常重要的一种积分法,要运用自如,务必熟记基本积分表,并掌握常见的凑微分形式及“凑”的技巧。
小结:
1常用凑微分公式
x
u x
u x u x u x u x u a u e u x u x u b ax u x d x f dx x
x f x d x f dx x
x f x
d x f xdx x f x d x f xdx x f x d x f xdx x f x d x f xdx x f da
a f a dx a a f de
e f dx e e f x d x f dx x
x f x d x
f dx x x f a b ax d b ax f a
dx b ax f x x x
x
x
x
x
x
x
x
arcsin arctan cot tan cos sin ln )(arcsin )(arcsin 11)
(arcsin .11)
(arctan )(arctan 11
)(arctan .10cot )(cot csc )(cot .9tan )(tan sec )(tan .8cos )(cos sin )(cos .7sin )(sin cos )(sin .6)(ln 1
)(.5)()(..4)
(ln )(ln 1
)(ln .3)
0()()(1
)(.2)
0()
()(1)(.12
2
2
21
==========+=-=-=+-==-=⋅=⋅=⋅=⋅=⋅
≠=
≠++=+⎰
⎰
⎰⎰⎰⎰⎰⎰⎰⎰⎰⎰⎰
⎰⎰⎰⎰
⎰⎰⎰
⎰⎰
-μμ
μ
μμμμ
法
分积元换一第换元公式
积分类型。