积分公式表,常用积分公式表
- 格式:doc
- 大小:131.50 KB
- 文档页数:6
常用积分公式表·例题和点评⑴d k x kx c =+⎰ (k 为常数)⑵11d (1)1x x x c μμμμ+≠-=++⎰ 特别,211d x c x x =-+⎰, 3223x x c =+, x c =⑶1d ln ||x x c x =+⎰⑷d ln xxaa x c a=+⎰, 特别,e d e x xx c =+⎰ ⑸sin d cos x x x c =-+⎰⑹cos d sin x x x c =+⎰ ⑺221d csc d cot sin x x x x c x ==-+⎰⎰⑻221d sec d tan cos x x x x c x ==+⎰⎰⑼arcsin (0)x x c a a=+>,特别,arcsin x x c =+ ⑽2211d arctan (0)x x c a a a a x =+>+⎰,特别,21d arctan 1x x cx =++⎰⑾2211d ln (0)2a xx c a a a x a x +=+>--⎰或2211d ln (0)2x ax c a a x a x a -=+>+-⎰⑿tan d ln cos x x x c =-+⎰ ⒀cot d ln sin x x x c =+⎰⒁ln csc cot 1csc d d ln tan sin 2x x cx x x xc x ⎧-+⎪==⎨+⎪⎩⎰⎰ ⒂πln sec tan 1sec d d ln tan cos 24x x cx x x x c x ⎧++⎪==⎛⎫⎨++ ⎪⎪⎝⎭⎩⎰⎰131⒃(0)a x >==ln x c ++⒄2(0)arcsin 2a a x x c a >==+⒅x2(ln 2a a x c >==++⒆2222sin cos e sin d e sin cos e cos d e axax ax ax a bx b bx bx x c a b b bx a bx bx x c a b -⎧=+⎪⎪+⎨+⎪=+⎪+⎩⎰⎰⒇12222212123d ()2(1)()2(1)nn n n x n x c a x n a a x n a I I ---==+++-+-⎰(递推公式) 跟我做练习(一般情形下,都是先做恒等变换或用某一个积分法,最后套用某一个积分公式)例24⑴2)x x =-[套用公式⒅]1ln (2)2x =-+⑵[1(24)42x x x =-+⎰⎰2145)22x x x =-++=(请你写出答案)⑶2)x x =-ln (2)x ⎡=-+⎣ [套用公式⒃]⑷12x x =2122x =+=(请你写出答案)⑸2)x x =-232arcsin23x -=+[套用公式⒄]⑹[1(42)42x x x =---⎰⎰214)22x x x =-+-+=(请你写出答案)⑺==[套用公式⑼]2arcsin3x -=⑻(42)4d 12x x --=-2122=+-=(请你写出答案)例25 求原函数41d 1x x +⎰. 解 因为)21)(21()2()1(2)21(1222222424x x x x x x x x x x +-++=-+=-++=+所以令411x =++为待定常数)D C B A ,,,(=从恒等式1)12)(()12)((22≡+++++-+x x D x C x x B Ax (两端分子相等),可得方程组⎪⎪⎩⎪⎪⎨⎧=+=+++-=++-=+(三次项系数)(二次项系数)(一次项系数)常数项0022022)(1C A D C B A D C B A D B 解这个方程组(在草纸上做),得21,221,21,221=-===D C B A . 因此, 41d 1x x+⎰x x =+右端的第一个积分为13314x x x==+2211d4xx+⎛+⎝⎭⎰(套用积分公式)21)1)x+++类似地,右端的第二个积分为21)1)x x=+-⎰所以41d1xx+⎰1)1)+-=+(见下注)【注】根据tan tantan()1tan tanαβαβαβ++=-⋅,则tan1)1)⎡⎤++-===⎣⎦因此,21)1)arctan1x++-=-例26 求d(01)1cosxxεε<<-⎰. [关于d(01)1cosxxεε<<+⎰,见例17]解令tan2xt=(半角替换),则2222222cos cos sin2cos111222sec1tan22x x xxx x=-=-=-=-+2211tt-=+22d d(2arctan)d1x t tt==+于是,222d12dd211cos1(1)(1)11x tttx t ttεεεε==--+-++-+⎰⎰⎰22d11ttεεε=+++⎰c =+2xc =+【点评】求初等函数的原函数的方法虽然也有一定的规律,但不像求它们的微分或导数那样规范化.这是因为从根本上说,函数()y y x =的导数或微分可以用一个“构造性”的公式()()()limh y x h y x y x h→+-'= 或d ()d y y x x '=确定下来,可是在原函数的定义中并没有给出求原函数的方法.积分法作为微分法的逆运算,其运算结果有可能越出被积函数所属的函数类.譬如,有理函数的原函数可能不再是有理函数,初等函数的原函数可能是非初等函数(这就像正数的差有可能是负数、整数的商有可能是分数一样).有的初等函数尽管很简单,可是它的原函数不能表示成初等函数 ,譬如21e sin ed ,d ,d ,d ln xx xx x x x xxx-⎰⎰⎰⎰等 都不能表示成初等函数.因此,一般说来求初等函数的原函数要比求它们的微分或导数困难得多.我们用上面那些方法能够求出原函数的函数,只是初等函数中的很小一部分.尽管如此,我们毕竟可以求出足够多函数的原函数,而这些正好是应用中经常遇到的函数.因此,读者能够看懂前面那些例题并能够基本完成各节后的练习就足够了.。
积分常用公式一.基本不定积分公式:1. C x dx +=⎰2. ) 3.111++=⎰αααx dx x 1(-≠αC x dx x+=⎰ln 14.5.C aa dx a xx+=⎰ln )1,0(≠>a a C e dx e xx+=⎰6. 7.C x xdx +-=⎰cos sin C x xdx +=⎰sin cos 8.9.C x dx x xdx +==⎰⎰tan cos 1sec 22Cx dx x xdx +-==⎰⎰cot sin 1csc 2210. 11.C x xdx x +=⋅⎰sec tan sec Cx xdx x +-=⋅⎰csc cot csc 12.(或)C x dx x+=-⎰arcsin 11212arccos 11C x dx x+-=-⎰13.(或)C x dx x +=+⎰arctan 11212cot 11C x arc dx x +-=+⎰14.15.C x xdx +=⎰cosh sinh Cx xdx +=⎰sinh cosh 二.常用不定积分公式和积分方法:1.2.C x xdx +-=⎰cos ln tan Cx xdx +=⎰sin ln cot 3.4.C axa x a dx +=+⎰arctan 122C a x ax a ax dx ++-=-⎰ln 21225. 6.C x x xdx ++=⎰tan sec ln sec C x x xdx +-=⎰cot csc ln csc 7.8.C axx a dx +=-⎰arcsin22Ca x x a x dx +±+=±⎰2222ln 9.C a x a x a x dx x a ++-=-⎰arcsin 222222210.Ca x x a a x xdx a x +±+±±=±⎰2222222ln 2211.第一类换元积分法(凑微分法):Cx F x t x d x f dx x x f dx x g +=='=⎰⎰⎰)]([)(])([)]([)()]([)(ϕϕϕϕϕϕ为为为为为为为为为为为为12.第二类换元积分法(典型代换:三角代换、倒代换、根式代换):Cx F C t F dt t f dt t t g t x dxx g +=+=='=-⎰⎰⎰)]([)()()()]([)()(1ϕϕϕϕ为注:要求代换单调且有连续的导数,且“换元须还原”)(t ϕ13.分部积分法(典型题特征:被积函数是两类不同函数的乘积,且任何一个函数不能为另一个函数凑微分)⎰⎰-=vduuv udv 14.万能置换公式(针对三角有理函数的积分。
定积分公式大全24个1.基本积分公式:∫ x^n dx = (x^(n+1))/(n+1) + C, 其中n≠-1∫ 1/x dx = ln,x, + C∫ e^x dx = e^x + C∫ a^x dx = (a^x)/ln(a) + C,其中a为正实数且不等于1∫ sin(x) dx = -cos(x) + C∫ cos(x) dx = sin(x) + C∫ sec^2(x) dx = tan(x) + C∫ csc^2(x) dx = -cot(x) + C∫ sec(x)tan(x) dx = sec(x) + C∫ csc(x)cot(x) dx = -csc(x) + C2.反常积分公式:∫ 1/x dx = ln,x, + C, 其中x取区间(-∞, 0)或(0, +∞)∫ e^x dx = e^x + C, 区间为(-∞, +∞)∫ a^x dx = (a^x)/ln(a) + C,其中a为正实数且不等于1,区间为(-∞, +∞)∫ sin(x) dx = -cos(x) + C, 区间为(-∞, +∞)∫ cos(x) dx = sin(x) + C,区间为(-∞, +∞)3.分部积分法公式:∫ u dv = uv - ∫ v du,其中u, v是关于x的函数4.和差积分公式:∫ (f(x) ± g(x)) dx = ∫ f(x) dx ± ∫ g(x) dx5.一些特殊函数的积分:∫ e^(x^2) dx = √π*erf(x)/2 + C∫ ln(x) dx = x(ln(x) - 1) + C∫ sin^2(x) dx = (x - sin(x)cos(x))/2 + C6.换元法公式:∫ f(g(x))g'(x) dx = ∫ f(u) du,其中u=g(x)7.可以通过递推关系求解的积分:∫ sin^n(x) dx = -1/n * sin^(n-1)(x) * cos(x) + (n-1)/n * ∫ sin^(n-2)(x) dx∫ cos^n(x) dx = 1/n * cos^(n-1)(x) * sin(x) + (n-1)/n * ∫ cos^(n-2)(x) dx8.积分的对称性:∫ f(x) dx = ∫ f(a+b-x) dx,其中a和b为常数以上是定积分的一些基本公式。
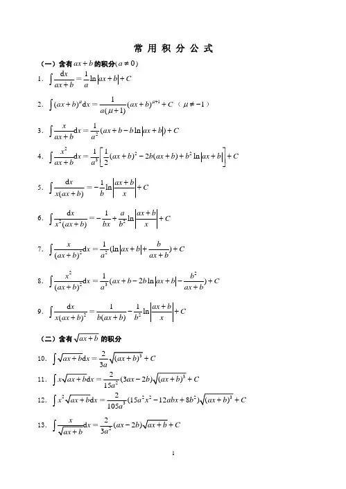
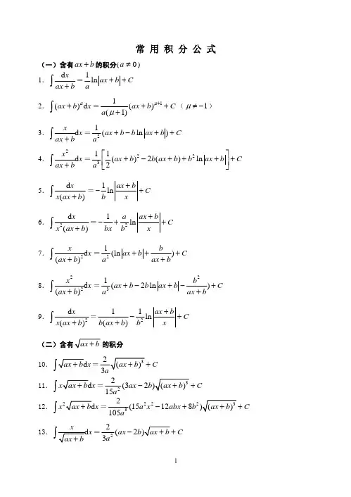
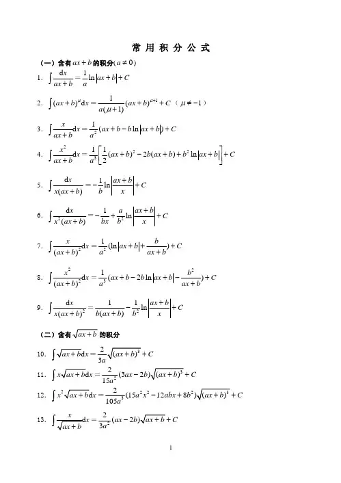
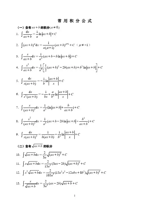
常 用 积 分 公 式(一)含有ax b +的积分(0a ≠) 1.d x ax b +∫=1ln ax b C a ++2.()d ax b x μ+∫=11()(1)ax b C a μμ++++(1μ≠−)3.d x x ax b +∫=21(ln )ax b b ax b C a +−++4.2d x x ax b +∫=22311()2()ln 2ax b b ax b b ax b C a ⎡⎤+−++++⎢⎥⎣⎦5.d ()x x ax b +∫=1ln ax b C b x+−+6.2d ()x x ax b +∫=21ln a ax bC bx b x+−++ 7.2d ()xx ax b +∫=21(ln b ax b C a ax b++++ 8.22d ()x x ax b +∫=231(2ln )b ax b b ax b C a ax b +−+−++ 9.2d ()x x ax b +∫=211ln ()ax b C b ax b b x+−++的积分10.x =C +11.x ∫=22(3215ax b C a −+12.x x ∫=22232(15128105a x abx b C a−+13.x=22(23ax b C a −+14.2x=22232(34815a x abx b C a −++15.=(0)(0)C b C b ⎧+>+<16.2a bx b −− 17.d x x ∫=b +18.2d x x ∫=2a x −+∫(三)含有22x a ±的积分 19.22d x x a +∫=1arctan xC a a+20.22d ()n x x a +∫=2221222123d 2(1)()2(1)()n n x n xn a x a n a x a −−−+−+−+∫21.22d x x a −∫=1ln 2x a C a x a−++(四)含有2(0)ax b a +>的积分22.2d x ax b +∫=(0)(0)x C b Cb +>+<23.2d x x ax b +∫=21ln 2ax b C a ++24.22d x x ax b +∫=2d x b xa a axb −+∫25.2d ()x x ax b +∫=221ln2x C b ax b++ 26.22d ()x x ax b +∫=21d a xbx b ax b −−+∫ 27.32d ()x x ax b +∫=22221ln 22ax b a C bx bx +−+ 28.22d ()x ax b +∫=221d 2()2x xb ax b b ax b +++∫(五)含有2ax bx c ++(0)a >的积分29.2d x ax bx c ++∫=22(4)(4)C b ac C b ac +<+> 30.2d x x ax bx c ++∫=221d ln 22b x ax bx c a a ax bx c++−++∫(0)a >的积分31.=1arshxC a+=ln(x C ++ 32.C +33.xC +34.x=C +35.2x 2ln(2a x C −++36.2x =ln(x C ++37.1ln aC a x −+38.=2C a x −+39.x 2ln(2a x C +++40.x =2243(25ln(88x x a a x C ++++41.x ∫C +42.xx ∫=422(2ln(88x a x a x C +−++43.d x x ∫ln a a C x −++44.2d x x ∫=ln(x C x−+++(0)a >的积分45.=1arch x xC x a+=ln C + 46.C +47.x C48.x =C +49.2x 22a C ++50.2x =C ++51.1arccos aC a x+52.=2C a x +53.x 22a C −+54.x =2243(25ln 88x x a a C −++55.x ∫C +56.xx ∫=422(2ln 88x a x a C −+57.d x x ∫arccos aa C x +58.2d x x ∫=C x−++(0)a >的积分 59.=arcsinxC a + 60.C +61.x =C +62.x C +63.2x =2arcsin 2a x C a ++64.2x C +65.1ln a C a x −+66.=2C a x −+67.x 2arcsin 2a x C a++68.x =2243(52arcsin 88x x a x a C a −++69.x ∫=C +70.xx ∫=422(2arcsin 88x a x x a C a−+71.d x x ∫ln a a C x −++72.2d x x ∫=arcsin xC x a−−+(0)a >的积分73.C +74.x2C ++75.xC −+76.=C +77.x 2C ++78.x =C ++的积分79.x =((x b b a C −+−++80.x =((x b b a C −+−+81.C+()a b <82.x =C ++ ()a b < (十一)含有三角函数的积分 83.sin d x x ∫=cos x C −+84.cos d x x ∫=sin x C + 85.tan d x x ∫=ln cos x C −+ 86.cot d x x ∫=ln sin x C + 87.sec d x x ∫=ln tan()42xC π++=ln sec tan x x C ++ 88.csc d x x ∫=ln tan2xC +=ln csc cot x x C −+ 89.2sec d x x ∫=tan x C + 90.2csc d x x ∫=cot x C −+ 91.sec tan d x x x ∫=sec x C + 92.csc cot d x x x ∫=csc x C −+ 93.2sin d x x ∫=1sin 224x x C −+ 94.2cos d x x ∫=1sin 224x x C ++95.sin d n x x ∫=1211sin cos sin d n n n x x x x n n−−−−+∫ 96.cos d n x x ∫=1211cos sin cos d n n n x x x x n n−−−+∫ 97.d sin n x x ∫=121cos 2d 1sin 1sin n n x n xn x n x −−−−⋅+−−∫ 98.d cos n x x ∫=121sin 2d 1cos 1cos n n x n xn x n x−−−⋅+−−∫ 99.cos sin d m n x x x ∫=11211cos sin cos sin d m n m nm x x x x x m n m n−+−−+++∫ =11211cos sin cos sin d m n m n n x x x x x m n m n+−−−−+++∫ 100.sin cos d ax bx x ∫=11cos()cos()2()2()a b x a b x C a b a b −+−−++−101.sin sin d ax bx x ∫=11sin()sin()2()2()a b x a b x C a b a b −++−++−102.cos cos d ax bx x ∫=11sin()sin()2()2()a b x a b x C a b a b ++−++−103.d sin x a b x +∫tan xa b C ++22()a b >104.d sin x a b x +∫C +22()a b <105.d cos x a b x +∫tan 2xC +22()a b >106.d cos x a b x +∫C +22()a b <107.2222d cos sin x a x b x +∫=1arctan(tan )bx C ab a + 108.2222d cos sin x a x b x −∫=1tan ln 2tan b x aC ab b x a ++−109.sin d x ax x ∫=211sin cos ax x ax C a a −+ 110.2sin d x ax x ∫=223122cos sin cos x ax x ax ax C a a a −+++111.cos d x ax x ∫=211cos sin ax x ax C a a ++112.2cos d x ax x ∫=223122sin cos sin x ax x ax ax C a a a+−+(十二)含有反三角函数的积分(其中0a >)113.arcsin d x x a ∫=arcsin x x C a++114.arcsin d x x x a ∫=C +115.2arcsin d x x x a ∫=3221arcsin (239x x x a C a +++116.arccos d xx a ∫=arccosxx C a−+117.arccos d x x x a ∫=C +118.2arccos d x x x a ∫=3221arccos (239x x x a C a −++119.arctand x x a ∫=22arctan ln()2x a x a x C a −++ 120.arctan d x x x a∫=221()arctan 22x a a x x C a +−+121.2arctan d x x x a ∫=33222arctan ln()366x x a a x a x C a −+++(十三)含有指数函数的积分122.d xa x ∫=1ln xa C a + 123.e d axx ∫=1e ax C a +124.e d ax x x ∫=21(1)e axax C a−+125.e d n axx x ∫=11e e d n ax n ax n x x x a a−−∫126.d xxa x ∫=21ln (ln )x x x a a C a a −+ 127.d nxx a x ∫=11d ln ln n x n xn x a x a x a a −−∫ 128.e sin d axbx x ∫=221e (sin cos )ax a bx b bx C a b −++ 129.e cos d ax bx x ∫=221e (sin cos )axb bx a bx C a b+++130.e sin d ax n bx x ∫=12221e sin (sin cos )ax n bx a bx nb bx a b n−−+ 22222(1)e sin d ax n n n b bx x a b n −−++∫131.e cos d ax n bx x ∫=12221e cos (cos sin )ax n bx a bx nb bx a b n−++ 22222(1)e cos d ax n n n b bx x a b n−−++∫ (十四)含有对数函数的积分132.ln d x x ∫=ln x x x C −+ 133.d ln x x x ∫=ln ln x C +134.ln d n x x x ∫=111(ln )11n x x C n n +−+++ 135.(ln )d n x x ∫=1(ln )(ln )d n n x x n x x −−∫ 136.(ln )d m n x x x ∫=111(ln )(ln )d 11m n m n n x x x x x m m +−−++∫ (十五)含有双曲函数的积分137.sh d x x ∫=ch x C +138.ch d x x ∫=sh x C +139.th d x x ∫=ln ch x C + 140.2sh d x x ∫=1sh224x x C −++ 141.2ch d x x ∫=1sh224x x C ++ (十六)定积分142.cos d nx x π−π∫=sin d nx x π−π∫=0 143.cos sin d mx nx x π−π∫=0144.cos cos d mx nx x π−π∫=0,,m n m n ≠⎧⎨π=⎩145.sin sin d mx nx x π−π∫=0,,m n m n ≠⎧⎨π=⎩ 146.0sin sin d mx nx x π∫=0cos cos d mx nx x π∫=0,,2m n m n ≠⎧⎪⎨π=⎪⎩ 147. n I =20sin d n x x π∫=20cos d n x x π∫ n I =21n n I n−− 1342253n n n I n n −−=⋅⋅⋅⋅−" (n 为大于1的正奇数),1I =1 13312422n n n I n n −−π=⋅⋅⋅⋅⋅−"(n 为正偶数),0I =2π。
常用积分公式表大全在数学的学习和应用中,积分是一个非常重要的概念和工具。
积分公式就像是一把把钥匙,能够帮助我们打开解决各种问题的大门。
下面就为大家整理一份常用的积分公式表。
一、基本积分公式1、∫kdx = kx + C (k 为常数)这意味着对于任何常数 k,其积分结果是 k 乘以 x 再加上常数 C。
2、∫x^n dx =(1/(n + 1))x^(n + 1) + C (n ≠ -1)当幂次为 n 时,积分结果为(1/(n + 1))乘以 x 的(n + 1)次幂加上常数 C。
3、∫dx/x = ln|x| + C对 1/x 进行积分,结果是自然对数 ln|x|加上常数 C 。
4、∫e^x dx = e^x + C指数函数 e^x 的积分还是它本身 e^x 加上常数 C 。
5、∫a^x dx =(1/ln a)a^x + C (a > 0,a ≠ 1)对于底数为 a 的指数函数 a^x 的积分,结果是(1/ln a)乘以 a^x 加上常数 C 。
6、∫sin x dx = cos x + C正弦函数 sin x 的积分是 cos x 加上常数 C 。
7、∫cos x dx = sin x + C余弦函数 cos x 的积分是 sin x 加上常数 C 。
8、∫tan x dx = ln|cos x| + C正切函数 tan x 的积分是 ln|cos x|加上常数 C 。
9、∫cot x dx = ln|sin x| + C余切函数 cot x 的积分是 ln|sin x|加上常数 C 。
10、∫sec x dx = ln|sec x + tan x| + C正割函数 sec x 的积分是 ln|sec x + tan x|加上常数 C 。
11、∫csc x dx = ln|csc x + cot x| + C余割函数 csc x 的积分是 ln|csc x + cot x|加上常数 C 。
2.基本积分公式表(1)∫0d x=C(2)=ln|x|+C(3)(m≠-1,x>0)(4)(a>0,a≠1)(5)(6)∫cos x d x=sin x+C(7)∫sin x d x=-cos x+C(8)∫sec2x d x=tan x+C(9)∫csc2x d x=-cot x+C(10)∫sec x tan x d x=sec x+C(11)∫csc x cot x d x=-csc x+C(12)=arcsin x+C(13)=arctan x+C注.(1)不是在m=-1的特例.(2)=ln|x|+C,ln后面真数x要加绝对值,原因是(ln|x|)' =1/x.事实上,对x>0,(ln|x|)' =1/x;若x<0,则(ln|x|)' =(ln(-x))' =.(3)要特别注意与的区别:前者是幂函数的积分,后者是指数函数的积分.下面我们要学习不定积分的计算方法,首先是四则运算.3.不定积分的四则运算根据微分运算公式d(f(x)±g(x))=d f(x)±d g(x)d(kf(x))=k d f(x)我们得不定积分的线性运算公式(1)∫[f(x)±g(x)]d x=∫f(x)d x±∫g(x)d x(2)∫kf(x)d x=k∫f(x)d x,k是非零常数.现在可利用这两个公式与基本积分公式来计算简单不定积分.例2.5.4求∫(x3+3x++5sin x-4cos x)d x解.原式=∫x3d x+∫3x d x+7∫d x+5∫sin x d x-4∫cos x d x=+7ln|x|-5cos x-4sin x+C .注.此例中化为五个积分,应出现五个任意常数,它们的任意性使其可合并成一个任意常数C,因此在最后写出C即可.例2.5.5求∫(1+)3d x解.原式=∫(1+3+3x+)d x=∫d x+3∫d x+3∫x d x+∫d x=x+3+C=x+2x++C .注.∫d x与∫1d x是相同的,其中1可省略.例2.5.6求解.原式===-x+arctan x+C .注.被积函数是分子次数不低于分母次数的分式,称为有理假分式.先将其分出一个整式x2-1,余下的分式为有理真分式,其分子次数低于分母的次数.例2.5.7求 .解.原式==∫csc2x d x-∫sec2x d x=-cot x-tan x+C .注.利用三角函数公式将被积函数化简成简单函数以便使用基本积分公式.例2.5.8求 .解.原式==+C .为了得到进一步的不定积分计算方法,我们先用微分的链锁法则导出不定积分的重要计算方法 换元法.思考题.被积函数是有理假分式时,积分之前应先分出一个整式,再加上一个有理真分式,一般情形怎样实施这一步骤?4.第一换元法(凑微分法)我们先看一个例子:例2.5.9求 .解.因(1+x2)' =2x,与被积函数的分子只差常数倍数2,如果将分子补成2x,即可将原式变形:原式=(令u=1+x2)=(代回u=1+x2).注.此例解法的关键是凑了微分d(1+x2).一般地在F'(u)=f(u),u=ϕ(x)可导,且ϕ' (x)连续的条件下,我们有第一换元公式(凑微分):u=ϕ (x)积分代回u=ϕ (x)∫f[ϕ(x)]ϕ' (x)d x=∫f[ϕ(x)]dϕ(x)=∫f(u)d u=F(u)+C=F[ϕ(x)]+C其中函数ϕ(x)是可导的,且F(u)是f(u)的一个原函数.从上述公式可看出凑微分法的步骤:凑微分————→换元————→积分————→再换元ϕ' (x)d x=dϕ(x)u=ϕ(x)得F(u)+C得F[ϕ(x)]+C注.凑微分法的过程实质上是复合函数求导的链锁法则的逆过程.事实上,在F'(u)=f(u)的前提下,上述公式右端经求导即得:[F[ϕ(x)]+C]' =F '[ϕ(x)]ϕ' (x)=f[ϕ(x)]ϕ' (x)这就验证了公式的正确性.例2.5.10求∫(ax+b)m d x.(m≠-1,a≠0)解.原式=(凑微分d(ax+b))=(换元u=ax+b)=(积分)=.(代回u=ax+b)例2.5.11求 .解.原式=(凑微分d(-x3)=-3x2d x)==(换元u=-x3)=.注.你熟练掌握凑微分法之后,中间换元u= (x)可省略不写,显得计算过程更简练,但要做到心中有数.例2.5.12求∫tan x d x .解.原式==-ln|cos x|+C .同理可得∫cot x d x=ln|sin x|+C .(a>0)例2.5.13求.解.原式== .例2.5.14求(a>0).解.原式== .例2.5.15求.解.原式====.例2.5.16∫sec x d x.解.原式=(换元u=sin x)===(代回u=sin x)===ln|sec x+tan x|+C .公式:∫sec x d x=ln|sec x+tan x|+C .例.2.5.17求∫csc x d x .解.原式===ln|csc x-cot x|+C .公式:∫csc x d x=ln|csc x-cot x|+C .凑微分法是不定积分换元法的第一种形式,其另一种形式是下面的第二换元法.5.第二换元法不定积分第一换元法的公式中核心部分是∫f[ϕ(x)]ϕ'(x)d x=∫f(u)d u我们从公式的左边演算到右边,即换元:u=ϕ(x).与此相反,如果我们从公式的右边演算到左边,那么就是换元的另一种形式,称为第二换元法.即若f(u),u=ϕ(x),ϕ'(x)均连续,u=ϕ(x)的反函数x=ϕ-1(u)存在且可导,F(x)是f[ϕ(x)]ϕ'(x)的一个原函数,则有∫f(u)d u=∫f[ϕ(x)]ϕ'(x)d x=F(x)+C=F[ϕ-1(u)]+C .第二换元法常用于被积函数含有根式的情况.例2.5.18求解.令(此处ϕ(t)=t2).于是原式===(代回t=ϕ-1(x)=) 注.你能看到,换元=t的目的在于将被积函数中的无理式转换成有理式,然后积分.第二换元法除处理形似上例这种根式以外,还常处理含有根式,,(a>0)的被积函数的积分.例2.5.19求. (a>0)解.令x=a sec t,则d x=a sec t tan t d t,于是原式==∫sec t d t=ln|sec t+tan t|+C1 .到此需将t代回原积分变量x,用到反函数t=arcsec,但这种做法较繁.下面介绍一种直观的便于实施的图解法:作直角三角形,其一锐角为t及三边a,x,满足:sec t=由此,原式=ln|sec t+tan t|+C1==.注.C1是任意常数,-ln a是常数,由此C=C1-ln a仍是任意常数.(a>0)例2.5.20求.解.令x=a tan t,则d x=a sec2t d t,于是原式==∫sec t d t=ln|sec t+tan t|+C1 .图解换元得原式=ln|sec t+tan t|+C1=.公式:.(a>0)例2.5.21求.解.令x=a sin t,则d x=a cos t d t,于是原式===+C.图解换元得:原式=+C =+C .除了换元法积分外,还有一个重要的积分公式,即分部积分公式.思考题.在第二换元法公式中,请你注意加了一个条件“u=ϕ(x)的反函数x=ϕ1-(u)存在且可导”,你能否作出解释,为什么要加此条件?6.分部积分公式我们从微分公式d(uv)=v d u+u d v两边积分,即∫d(uv)=∫v d u+∫u d v由此导出不定积分的分部积分公式∫u d v=uv -∫v d u下面通过例子说明公式的用法.例2.5.22求∫x2ln x d x解.∫x2ln x d x=(将微分dln x算出)==.例2.5.23求∫x2sin x d x.解.原式=∫x2d(-cos x) (凑微分)=-x2cos x-∫(-cos x)d(x2) (用分部积分公式)=-x2cos x+∫2x cos x d x=-x2cos x+2∫x dsin x(第二次凑微分)=-x2cos x+2[x sin x-∫sin x d x] (第二次用分部积分公式)=-x2cos x+2x sin x+2cos x+C .例2.5.24求∫e x sin x d x.解.∫e x sin x d x=∫sin x d e x(凑微分)=e x sin x-∫e x dsin x(用分部积分公式)=e x sin x-∫e x cos x d x(算出微分)=e x sin x-∫cos x d e x(第二次凑微分)=e x sin x-[e x cos x-∫e x dcos x] (第二次用分部积分公式)=e x(sin x-cos x)-∫e x sin x d x(第二次算出微分)由此得:2∫e x sin x d x=e x(sin x-cos x)+2C因此∫e x sin x d x=(sin x-cos x)+C.注.(1)此例中在第二次凑微分时,必须与第一次凑的微分形式相同.否则若将∫e x cos x d x凑成∫e x dsin x,那将产生恶性循环,你可试试.(2)积分常数C可写在积分号∫一旦消失之后.例2.5.25求∫arctan x d x解.此题被积函数可看作x0arctan x,x0d x=d x,即适合分部积分公式中u=arctan x,v=x.故原式=x arctan x - ∫x d(arctan x) (用分部积分公式)=x arctan x - d x(算出微分)=x arctan x - (凑微分)=x arctan x - ln(1+x2)+C .小结.(1)分部积分公式常用于被积函数是两种不同类型初等函数之积的情形,例如x3arctan x,x3ln x 幂函数与反正切或对数函数x2sin x,x2cos x幂函数与正弦,余弦x2e x幂函数与指数函数e x sin x,e x cos x指数函数与正弦,余弦等等.(2)在用分部积分公式计算不定积分时,将哪类函数凑成微分d v,一般应选择容易凑的那个.例如arctan x d,ln x d我们已学习了不定积分的几种常用方法,除了熟练运用这些方法外,在许多数学手册中往往列举了几百个不定积分公式,它们不是基本的,不需要熟记,但可以作为备查之用,称为积分表.思考题.你仔细观察分部积分公式,掌握其中使用的规律,特别是第一步凑微分时如何选择微分.7.积分表的使用除了基本积分公式之外,在许多数学手册中往往列举了几百个补充的积分公式,构成了积分表.下面列出本节已得到的基本积分公式.(1)∫0d x=C(2)=ln|x|+C(3)(m≠-1,x>0)(4)(a>0,a≠1)(5)(6)∫cos x d x=sin x+C(7)∫sin x d x=- cos x+C(8)∫sec2x d x=tan x+C(9)∫csc2x d x=- cot x+C(10)∫sec x tan x d x=sec x+C(11)∫csc x cot x d x=-csc x+C(12)=arcsin x+C(13)=arctan x+C(14)∫tan x d x=-ln|cos x|+C(15)∫cot x d x=ln|sin x|+C(16)=(a>0)(17)=(a>0)(18)(a>0)(19)=(a>0)(20)∫sec x d x=ln|sec x+tan x|+C(21)∫csc x d x=ln|csc x-cot x|+C利用积分表中的公式,可使积分计算大大简化.积分表的使用方法比较简单,现举一例说明之.例2.5.26求解.从积分表中查得公式则将a=3,b=-1,c=4代入上式并添上积分常数C即得解答:=.THANKS !!!致力为企业和个人提供合同协议,策划案计划书,学习课件等等打造全网一站式需求欢迎您的下载,资料仅供参考。
积分公式表,常用积分公式表积分公式表1、基本积分公式:(1) (2) (3) (4) (5) (6) (7) (8) (8) (10) (11)2、积分定理:,x,,,,,,ftdt,fx(1) ,,,a,,,bx,,,,,,,,,,,,,,,,ftdtf,,bxbxf,,axax,,(2) ,,,,,ax,,bbf(x)dx,F(x),F(b),F(a)a,a(3)若F(x)是f(x)的一个原函数,则 3、积分方法ax,b,t;设: ,,,,1fx,ax,b22x,asint;设: ,,,,2fx,a,x22 ;设: x,asect,,fx,x,a22x,atant ;设: ,,fx,a,xudv,uv,vdu,,3分部积分法: ,,附:理解与记忆对这些公式应正确熟记.可根据它们的特点分类来记.公式(1)为常量函数0的积分,等于积分常数.公式(2)、(3)为幂函数的积分,应分为与 .当时,,积分后的函数仍是幂函数,而且幂次升高一次.特别当时,有 .当时,公式(4)、(5)为指数函数的积分,积分后仍是指数函数,因为,故 ( , )式右边的是在分母,不在分子,应记清.当时,有 .是一个较特殊的函数,其导数与积分均不变.应注意区分幂函数与指数函数的形式,幂函数是底为变量,幂为常数;指数函数是底为常数,幂为变量.要加以区别,不要混淆.它们的不定积分所采用的公式不同.公式(6)、(7)、(8)、(9)为关于三角函数的积分,通过后面的学习还会增加其他三角函数公式.公式(10)是一个关于无理函数的积分公式(11)是一个关于有理函数的积分下面结合恒等变化及不定积分线性运算性质,举例说明如何利用基本积分公式求不定积分.例1 求不定积分 .分析:该不定积分应利用幂函数的积分公式.解:(为任意常数 )例2 求不定积分 .分析:先利用恒等变换“加一减一”,将被积函数化为可利用基本积分公式求积分的形式.解:由于,所以(为任意常数 )例3 求不定积分 .分析:将按三次方公式展开,再利用幂函数求积公式.解:(为任意常数 )例4 求不定积分 .分析:用三角函数半角公式将二次三角函数降为一次.解:(为任意常数 )例5 求不定积分 .分析:基本积分公式表中只有但我们知道有三角恒等式:解:(为任意常数 )同理我们有:为任意常数 ) (例6(为任意常数 )总黄酮生物总黄酮是指黄酮类化合物,是一大类天然产物,广泛存在于植物界,是许多中草药的有效成分。
常用积分公式积分是微积分中的重要概念之一,常用积分公式可以帮助我们解决各种数学问题。
接下来,我将分享一些常用的积分公式。
1. 幂函数积分公式如果a不等于-1,那么∫x^n dx = (x^(n+1))/(n+1) + C,其中C为常数。
这个公式可以用来计算幂函数的积分。
2. 三角函数积分公式(1)∫sin(x) dx = -cos(x) + C(2)∫cos(x) dx = sin(x) + C(3)∫sec^2(x) dx = tan(x) + C(4)∫csc^2(x) dx = -cot(x) + C这些公式可以用来计算常见的三角函数的积分。
3. 指数函数与对数函数积分公式(1)∫e^x dx = e^x + C(2)∫a^x dx = (a^x)/ln(a) + C,其中a是大于0且不等于1的常数(3)∫1/x dx = ln|x| + C(4)∫ln(x) dx = x(ln|x| - 1) + C这些公式可以用来计算指数函数与对数函数的积分。
4. 反三角函数积分公式(1)∫1/√(1-x^2) dx = arcsin(x) + C(2)∫1/(1+x^2) dx = arctan(x) + C这些公式可以用来计算反三角函数的积分。
5. 常用代换公式(1)∫f(g(x)) * g'(x) dx = ∫f(u) du,其中u = g(x)(2)∫f(ax + b) dx = (1/a)∫f(u) du,其中u = ax + b这些代换公式可以帮助我们简化积分运算。
6. 分部积分公式∫u * v dx = uv - ∫v du这个公式可以用来计算两个函数乘积的积分。
以上是一些常用的积分公式,它们在解决数学问题、求解面积、计算曲线长度等方面起到了重要的作用。
熟练掌握这些公式,可以帮助我们更高效地解决各种积分问题。
积分公式表
1、基本积分公式: (1)
(2)
(3)
(4)
(5)
(6)
(7) (8)
(8) (10) (11)
2、积分定理:
(1)()()x f dt t f x a ='⎥⎦⎤⎢⎣⎡⎰ (2)()()()()[]()()[]()x a x a f x b x b f dt t f x b x a '-'='⎥⎦⎤⎢⎣⎡⎰ (3)若F (x )是f (x )的一个原函数,则)()()()(a F b F x F dx x f b
a b a -==⎰
3、积分方法
()()b ax x f +=1;设:t b ax =+
()()222x a x f -=;设:t a x sin =
()22a x x f -=;设:t a x sec =
()22x a x f +=;设:t a x tan =
()3分部积分法:⎰⎰-=vdu uv udv
附:理解与记忆
对这些公式应正确熟记.可根据它们的特点分类来记.
公式(1)为常量函数0的积分,等于积分常数.
公式(2)、(3)为幂函数 的积分,应分为与 . 当 时, ,
积分后的函数仍是幂函数,而且幂次升高一次.
特别当 时,有 .
当 时,
公式(4)、(5)为指数函数的积分,积分后仍是指数函数,因为
,故
( , )式右边的 是在分
母,不在分子,应记清. 当 时,有 .
是一个较特殊的函数,其导数与积分均不变.
应注意区分幂函数与指数函数的形式,幂函数是底为变量,幂为常数;指数函数是底为常数,幂为变量.要加以区别,不要混淆.它们的不定积分所采用的公式不同.
公式(6)、(7)、(8)、(9)为关于三角函数的积分,通过后面的学习还会增加其他三角函数公式.
公式(10)是一个关于无理函数的积分
公式(11)是一个关于有理函数的积分
下面结合恒等变化及不定积分线性运算性质,举例说明如何利用基本积分公式求不定积分.
例1 求不定积分.
分析:该不定积分应利用幂函数的积分公式.
解:
(为任意常数)
例2 求不定积分.
分析:先利用恒等变换“加一减一”,将被积函数化为可利用基本积分公式求积分的形式.
解:由于,所以
(为任意常数)
例3 求不定积分.
分析:将按三次方公式展开,再利用幂函数求积公式.
解:
(为任意常数 )
例4 求不定积分.
分析:用三角函数半角公式将二次三角函数降为一次.
解:
(为任意常数)
例5 求不定积分.
分析:基本积分公式表中只有
但我们知道有三角恒等式:
解:
(为任意常数)
同理我们有:
(为任意常数)
例6
(为任意常数)。