定积分公式表
- 格式:doc
- 大小:114.50 KB
- 文档页数:5
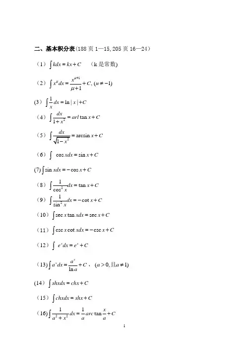
二、基本积分表(188页1—15,205页16—24) (1)kdx kx C =+⎰ (k 是常数)(2)1,1x x dx C μμμ+=++⎰ (1)u ≠- (3)1ln ||dx x C x =+⎰(4)2tan 1dxarl x C x=++⎰ (5)arcsin x C =+⎰(6)cos sin xdx x C =+⎰ (7)sin cos xdx x C =-+⎰(8)21tan cos dx x C x =+⎰(9)21cot sin dx x C x=-+⎰(10)sec tan sec x xdx x C =+⎰ (11)csc cot csc x xdx x C =-+⎰ (12)x x e dx e C =+⎰(13)ln xxa a dx C a=+⎰,(0,1)a a >≠且 (14)shxdx chx C =+⎰ (15)chxdx shx C =+⎰ (16)2211tan xdx arc C a x a a=++⎰(17)2211ln ||2x adx C x a a x a -=+-+⎰ (18)sinxarc C a=+⎰(19)ln(x C =+(20)ln |x C =+⎰(21)tan ln |cos |xdx x C =-+⎰ (22)cot ln |sin |xdx x C =+⎰ (23)sec ln |sec tan |xdx x x C =++⎰ (24)csc ln |csc cot |xdx x x C =-+⎰注:1、从导数基本公式可得前15个积分公式,(16)-(24)式后几节证。
2、以上公式把x 换成u 仍成立,u 是以x 为自变量的函数。
3、复习三角函数公式:2222sin cos 1,tan 1sec ,sin 22sin cos ,x x x x x x x +=+==21cos 2cos 2xx +=, 21cos 2sin 2xx -=。
高数定积分公式大全在高等数学中,定积分是通过积分来求解某一特定函数的不定积分的一种特殊方法,是计算物理量变化,寻找函数极值点以及在区间内求定积分的有效工具。
定积分的定义如下:如果函数f(x)在给定区间[a,b]上可导,那么定积分的定义为:∫a^bf(x)dx = F(b) - F(a)其中F(x)是f(x)的某个不定积分,解析法求解定积分的步骤为:首先将函数f(x)分解为常数、x、x^2、x^n多项式,其次对于每一项分别求解其不定积分,最后再将每一项求得的不定积分相加,即可得出整体定积分的解析解。
定积分中常见的公式有:一、定积分中的基本公式1. 不定积分的基本公式:∫x^ndx = 1/n+1*x^n+1 + C2. 二次方程不定积分的公式:∫x^2dx = 1/3*x^3 + C3.用的其他不定积分的公式:(1)∫sinx dx = -cosx + C(2)∫cosx dx = sinx + C(3)∫1/(1+x^2)dx = arctanx + C(4)∫lnx dx = xlnx - x + C二、高阶定积分的公式1. 一阶定积分:∫ax+b dx = 1/a*(ax+b) + C2. 二阶定积分:∫ax^2 + bx + c dx = 1/3a*x^3 + 1/2b*x^2 + cx + C3.用的其他高阶定积分的公式:(1)∫sinax dx = -1/a*cosax + C(2)∫e^x dx = e^x + C(3)∫lnax dx = xlnax - x + C三、复合定积分的公式定积分可以复合求解,以求解复合定积分为例,复合定积分公式为:∫a^b f(x)dx =a^x f(x)dx +x^b f(x)dx其中f(x)为一个标量函数,[a,b]为被积函数的定积区间,求解步骤如下:1.根据f(x)的表达式求出该函数的不定积分F1(x);2.复合定积分拆分成两部分,先求∫a^x f(x)dx,即F1(x)的定积分,再求∫x^b f(x)dx,即F2(x)的定积分;3.后将两部分求得的结果相加,即可得出复合定积分的解析解,解析解为F1(b) - F1(a) + F2(b) - F2(a)。
(1)(2)(3)(4)(5)(6)(7)(8)(9)(10)(11)对这些公式应正确熟记.可根据它们的特点分类来记.公式(1)为常量函数0的积分,等于积分常数.公式(2)、(3)为幂函数的积分,应分为与.当时,,积分后的函数仍是幂函数,而且幂次升高一次.特别当时,有.当时,公式(4)、(5)为指数函数的积分,积分后仍是指数函数,因为,故(,)式右边的是在分母,不在分子,应记清.当时,有.是一个较特殊的函数,其导数与积分均不变.应注意区分幂函数与指数函数的形式,幂函数是底为变量,幂为常数;指数函数是底为常数,幂为变量.要加以区别,不要混淆.它们的不定积分所采用的公式不同.公式(6)、(7)、(8)、(9)为关于三角函数的积分,通过后面的学习还会增加其他三角函数公式.公式(10)是一个关于无理函数的积分公式(11)是一个关于有理函数的积分下面结合恒等变化及不定积分线性运算性质,举例说明如何利用基本积分公式求不定积分.例1 求不定积分.分析:该不定积分应利用幂函数的积分公式.解:(为任意常数)例2 求不定积分.分析:先利用恒等变换“加一减一”,将被积函数化为可利用基本积分公式求积分的形式.解:由于,所以(为任意常数)例3 求不定积分.分析:将按三次方公式展开,再利用幂函数求积公式.解:(为任意常数 )例4 求不定积分.分析:用三角函数半角公式将二次三角函数降为一次.解:(为任意常数)例5 求不定积分.分析:基本积分公式表中只有但我们知道有三角恒等式:解:(为任意常数)同理我们有:(为任意常数)例6(为任意常数)吸塑机27A01fcJL5t2。
积分表24个公式积分是微积分中的重要概念之一,它用于计算曲线下的面积,解决各种数学和物理问题。
在本文中,我将介绍24个与积分相关的常见公式。
这些公式涵盖了微积分中的不同应用领域,帮助我们理解积分的重要性和灵活性。
1. 定积分的定义公式:∫[a, b] f(x) dx表示函数f(x)在[a, b]区间内的定积分,表示曲线下的面积。
2. 反导数公式:若F'(x) = f(x),则∫f(x) dx = F(x) + C,其中C为常数。
3. 线性性质公式:∫[a, b] (f(x) + g(x)) dx = ∫[a, b] f(x) dx + ∫[a, b] g(x) dx。
4. 反函数求积分公式:若F(x)是f(x)的一个反函数,则∫f(x) dx = F^{-1}(x) + C。
5. 分部积分公式:∫u(x) v'(x) dx = u(x)v(x) - ∫v(x)u'(x) dx,可以将一个积分转化为另一个积分。
6. 第一类换元积分公式:∫f(g(x))g'(x) dx = ∫f(u) du,u = g(x)。
7. 第二类换元积分公式:∫f(g(x)) dx = ∫f(u) |g'(x)| dx,u = g(x)。
8. 倒置积分公式:∫[a, b] f(x) dx = -∫[b, a] f(x) dx,改变积分区间时改变积分符号。
9. 对称性公式:若f(x)在某区间关于x轴对称,则∫[-a, a] f(x) dx = 0。
10. 积分中值定理公式:若f(x)在[a, b]上连续,则存在c∈(a, b),使得∫[a, b] f(x) dx = f(c)(b-a)。
11. 反常积分定义公式:若f(x)在[a, b]上有界,则∫[a, b] f(x) dx = lim_{n→∞} ∫[a,b] f(x) dx。
12. 曲边梯形面积公式:∫[a, b] f(x) dx ≈ (b-a)((f(a)+f(b))/2),对应梯形近似法则。
1. y=c(c 为常数) y'=02. y=x A n y'=nx^( n-1)3. y=a A x y'=aAx Inay=eAx y'=eAx4. y=Iogax y'=Iogae/xy=Inx y'=1/x5. y=sinx y'=cosx6. y=cosx y'=-sinx7. y=tanx y'=1/cosA2x8. y=cotx y'=-1/sinA2x9. y=arcsinx y'=1/ V 1处210. y=arccosx y'=-1/ V 1处211. y=arctanx y'=1/1+xA212. y=arccotx y'=-1/1+xA2&为常数)丄;⑵\^dx =护 +c⑸Jfsin xdx- - cosx + c ⑹」fcosxrfx= sin x + c 仪》0卫鼻1)(1)⑺」fcsc a-ctgx + c(8)」fsec2 igx + c(9)」L ax = arcsin x + c (10) '=-arccosi + c(11)=-arcctgx + c对这些公式应正确熟记•可根据它们的特点分类来记.公式(1)为常量函数0的积分,等于积分常数■.公式(2)、(3)为幕函数■' -'的积分,应分为='T与二一-.丄严门+亡当& 时,J 必+ 1 ,积分后的函数仍是幕函数,而且幕次升高一次特别当A |\也=fWx= = x + Q = U时,有」J J当厂, f-d(x=ln|x +cT 时,J J x(■: 11,: 1 •)式右边的上』是在分母,不在分子,应记清y =e 是一个较特殊的函数,其导数与积分均不变 应注意区分幕函数与指数函数的形式,幕函数是底为变量,幕为常数;指数函数是底为常数,幕为变量•要加以区别,不要混淆.它们的不定积分所采用 的公式不同.公式(6)、( 7)、( 8 )、( 9)为关于三角函数的积分,通过后面 的学习还会增加其他三角函数公式.公式(10)是一个关于无理函数的积分公式(11)是一个关于有理函数的积分F 面结合恒等变化及不定积分线性运算性质,举例说明如何利用基本积分公式求不定积分arc sin x = -arccos x + c分析:该不定积分应利用幕函数的积分公式解.J (2-低)加"严兀-总皿分析:先利用恒等变换“加一减一”,将被积函数化为可利用基本积分 公式求积分的形式宀】+打解:由于 1+ ,所以—-x + arctgx + c (-为任意常例3求不定积分解 二J (/+%了存-X )必9 t ? 9 ?--ar~-a 5x^ + 5 7(一为任意常数)[cos 3 -dx例4求不定积分」 一 分析:用三角函数半角公式将二次三角函数降为一次(W 弘叮上竺必解:」COS Tidx1 1 .=-x + —sin x + c2 2 tig xdx例5求不定积分」^fsec 2xrfx = tgx + c 4 2-屮严-“卩亍必+(-为任意常分析:基本积分公式表中只有」。
(1)(2)(3)(4)(5)(6)(7)(8)(9)(10)(11)对这些公式应正确熟记.可根据它们的特点分类来记.公式(1)为常量函数0的积分,等于积分常数.公式(2)、(3)为幂函数的积分,应分为与.当时,,积分后的函数仍是幂函数,而且幂次升高一次.特别当时,有.当时,公式(4)、(5)为指数函数的积分,积分后仍是指数函数,因为,故(,)式右边的是在分母,不在分子,应记清.当时,有.是一个较特殊的函数,其导数与积分均不变.应注意区分幂函数与指数函数的形式,幂函数是底为变量,幂为常数;指数函数是底为常数,幂为变量.要加以区别,不要混淆.它们的不定积分所采用的公式不同.公式(6)、(7)、(8)、(9)为关于三角函数的积分,通过后面的学习还会增加其他三角函数公式.公式(10)是一个关于无理函数的积分公式(11)是一个关于有理函数的积分下面结合恒等变化及不定积分线性运算性质,举例说明如何利用基本积分公式求不定积分.例1 求不定积分.分析:该不定积分应利用幂函数的积分公式.解:(为任意常数)例2 求不定积分.分析:先利用恒等变换“加一减一”,将被积函数化为可利用基本积分公式求积分的形式.解:由于,所以(为任意常数)例3 求不定积分.分析:将按三次方公式展开,再利用幂函数求积公式.解:(为任意常数 )例4 求不定积分.分析:用三角函数半角公式将二次三角函数降为一次.解:(为任意常数)例5 求不定积分.分析:基本积分公式表中只有但我们知道有三角恒等式:解:(为任意常数)同理我们有:(为任意常数)例6(为任意常数)(注:文档可能无法思考全面,请浏览后下载,供参考。
可复制、编制,期待你的好评与关注)。
二、基本积分表(188页1—15,205页16—24) (1)kdx kx C =+⎰ (k 是常数)(2)1,1x x dx C μμμ+=++⎰(1)u ≠-(3)1ln ||dx x C x =+⎰(4)2tan 1dxarl x C x =++⎰ (5)arcsin x C =+(6)cos sin xdx x C =+⎰ (7)sin cos xdx x C =-+⎰(8)21tan cos dx x C x =+⎰(9)21cot sin dx x C x=-+⎰(10)sec tan sec x xdx x C =+⎰ (11)csc cot csc x xdx x C =-+⎰ (12)x x e dx e C =+⎰(13)ln xxa a dx C a=+⎰,(0,1)a a >≠且 (14)shxdx chx C =+⎰ (15)chxdx shx C =+⎰ (16)2211tan xdx arc C a x a a=++⎰(17)2211ln ||2x adx C x a a x a-=+-+⎰(18)sinxarc C a=+(19)ln(x C =+(20)ln |x C =++(21)tan ln |cos |xdx x C =-+⎰ (22)cot ln |sin |xdx x C =+⎰ (23)sec ln |sec tan |xdx x x C =++⎰ (24)csc ln |csc cot |xdx x x C =-+⎰注:1、从导数基本公式可得前15个积分公式,(16)—(24)式后几节证。
2、以上公式把x 换成u 仍成立,u 是以x 为自变量的函数.3、复习三角函数公式:2222sin cos 1,tan 1sec ,sin 22sin cos ,x x x x x x x +=+==21cos 2cos 2xx +=, 21cos 2sin 2xx -=。
(1)(2)(3)(4)(5)(6)(7)(8)(9)(10)(11)对这些公式应正确熟记.可根据它们的特点分类来记.公式(1)为常量函数0的积分,等于积分常数.公式(2)、(3)为幂函数的积分,应分为与.当时,,积分后的函数仍是幂函数,而且幂次升高一次.特别当时,有.当时,公式(4)、(5)为指数函数的积分,积分后仍是指数函数,因为,故(,)式右边的是在分母,不在分子,应记清.当时,有.是一个较特殊的函数,其导数与积分均不变.应注意区分幂函数与指数函数的形式,幂函数是底为变量,幂为常数;指数函数是底为常数,幂为变量.要加以区别,不要混淆.它们的不定积分所采用的公式不同.公式(6)、(7)、(8)、(9)为关于三角函数的积分,通过后面的学习还会增加其他三角函数公式.公式(10)是一个关于无理函数的积分公式(11)是一个关于有理函数的积分下面结合恒等变化及不定积分线性运算性质,举例说明如何利用基本积分公式求不定积分.例1 求不定积分.分析:该不定积分应利用幂函数的积分公式.解:(为任意常数)例2 求不定积分.分析:先利用恒等变换“加一减一”,将被积函数化为可利用基本积分公式求积分的形式.解:由于,所以(为任意常数)例3 求不定积分.分析:将按三次方公式展开,再利用幂函数求积公式.解:(为任意常数 )例4 求不定积分.分析:用三角函数半角公式将二次三角函数降为一次.解:(为任意常数)例5 求不定积分.分析:基本积分公式表中只有但我们知道有三角恒等式:解:(为任意常数)同理我们有:(为任意常数)例6(为任意常数)下面是解立体几何一些简单的公式定例:公理1:如果一条直线上的两点在一个平面内,那么这条直线上的所有点都在这个平面内。
(1)判定直线在平面内的依据(2)判定点在平面内的方法公理2:如果两个平面有一个公共点,那它还有其它公共点,这些公共点的集合是一条直线。
(1)判定两个平面相交的依据(2)判定若干个点在两个相交平面的交线上公理3:经过不在一条直线上的三点,有且只有一个平面。
(1)
(2)
(3)
(4)
(5)
(6)
(7)
(8)
(9)
(10)
(11)
对这些公式应正确熟记.可根据它们的特点分类来记.
公式(1)为常量函数0的积分,等于积分常数.
公式(2)、(3)为幂函数的积分,应分为与.
当时,,
积分后的函数仍是幂函数,而且幂次升高一次.
特别当时,有.
当时,
公式(4)、(5)为指数函数的积分,积分后仍是指数函数,因为
,故(,)式右边的是在分母,不在分子,应记清.
当时,有.
是一个较特殊的函数,其导数与积分均不变.
应注意区分幂函数与指数函数的形式,幂函数是底为变量,幂为常数;指数函数是底为常数,幂为变量.要加以区别,不要混淆.它们的不定积分所采用的公式不同.
公式(6)、(7)、(8)、(9)为关于三角函数的积分,通过后面的学习还会增加其他三角函数公式.
公式(10)是一个关于无理函数的积分
公式(11)是一个关于有理函数的积分
下面结合恒等变化及不定积分线性运算性质,举例说明如何利用基本积分公式求不定积分.
例1 求不定积分.
分析:该不定积分应利用幂函数的积分公式.
解:
(为任意常数)
例2 求不定积分.
分析:先利用恒等变换“加一减一”,将被积函数化为可利用基本积分公式求积分的形式.
解:由于,所以
(为任意常数)
例3 求不定积分.
分析:将按三次方公式展开,再利用幂函数求积公式.
解:
(为任意常数 )
例4 求不定积分.
分析:用三角函数半角公式将二次三角函数降为一次.
解:
(为任意常数)
例5 求不定积分.
分析:基本积分公式表中只有
但我们知道有三角恒等式:
解:
(为任意常数)同理我们有:
(为任意常数)
例6
(为任意常数)。