理论燃烧温度计算
- 格式:xls
- 大小:26.00 KB
- 文档页数:3
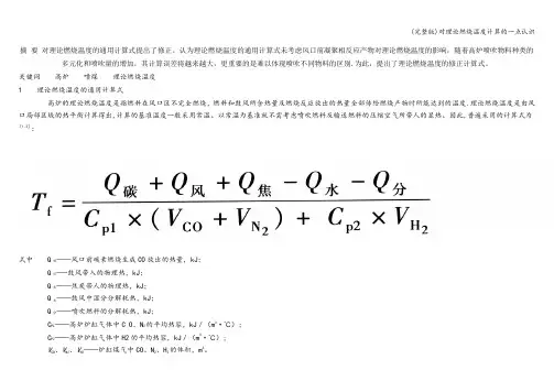
摘要对理论燃烧温度的通用计算式提出了修正。
认为理论燃烧温度的通用计算式未考虑风口前凝聚相反应产物对理论燃烧温度的影响,随着高炉喷吹物料种类的多元化和喷吹量的增加,其计算误差将越来越大,更重要的是难以体现喷吹不同物料的区别.为此,提出了理论燃烧温度的修正计算式。
关键词高炉喷煤理论燃烧温度1 理论燃烧温度的通用计算式高炉的理论燃烧温度是指燃料在风口区不完全燃烧,燃料和鼓风所含热量及燃烧反应放出的热量全部传给燃烧产物时所能达到的温度.理论燃烧温度是由风口局部区域的热平衡计算得出,计算的基准温度一般采用常温。
以常温为基准就不需考虑喷吹燃料及输送燃料的压缩空气所带人的显热。
因此,普遍采用的计算式为[1,2]:式中Q碳——风口前碳素燃烧生成CO放出的热量,kJ;Q风—-鼓风带入的物理热,kJ;Q焦——焦炭带人的物理热,kJ;Q水——鼓风中湿分分解耗热,kJ;Q分——喷吹燃料的分解耗热,kJ;C PL——高炉炉缸气体中C O、N2的平均热容,kJ/(m3·℃);C P2——高炉炉缸气体中H2的平均热容,kJ/(m3·℃);V CO、V N2、V H2——炉缸煤气中CO、N2、H2的体积,m3。
亦有学者在大喷煤量下,对理论燃烧温度的计算式进行了修正,主要包括:①热收入中增加了煤粉物理热;②将鼓风湿分的分解热改为水煤气反应热;③考虑不完全燃烧条件下煤粉在风口区的反应热[3]。
修正的理论燃烧温度计算式如下:式中Q R焦——焦炭燃烧生成CO放出的热量,kJ;Q R焦——燃料燃烧生成CO放出的热量,kJ;Q煤——煤粉带人的物理热,kJ;C PG——高炉炉缸气体的热容,kJ/(m3·℃)。
2 理论燃烧温度的修正计算式以上两式的计算方法基本类似,修正式只是把热收人和消耗项计算的更精确一些。
但以上两式都未完全符合理论燃烧温度的计算原理,只考虑了燃烧产物中的气体,而未考虑凝聚相产物。
实质上,焦炭和燃料中的灰分也是燃烧产物,其升温也需要消耗热量,尤其在风口喷吹含灰分高的燃料或熔剂时,其对理论燃烧温度的影响更大。
燃料燃烧及热平衡计算参考L n 湿=(1+0.00124×18.9)×4.35=4.452 Nm 3/Nm 3 2、天然气燃烧产物生成量 (1)燃烧产物中单一成分生成量CO)H 2C CH (CO 0.01V 6242CO 2+++⨯=’(3.4)2O V 0.21(=⨯′0n-1)L(3.5) 22n N V (N 79L )0.01=+⨯′(3.6))L 0.124g H H 3C (2CH 0.01V n 干O H 2624O H 22+++⨯=(3.7)式中CO 、CH 4 、 C 2H 6 、 H 2 ——每100Nm 3湿气体燃料中各成分的体积含量。
则0.475)5222(100.01V 2CO =+⨯++⨯= Nm 3/Nm 34.4131)(1.050.21V 2O ⨯-⨯==0.046 Nm 3/Nm 3 01.0)35.47910(V 2N ⨯⨯+==3.54 Nm 3/Nm 34.35)18.90.124465322(20.01V O H 2⨯⨯++⨯+⨯⨯==1.152 Nm 3/Nm 3(2)燃烧产物总生成量实际燃烧产物量V n = V CO2+V O2+V N2+V H2O Nm 3/Nm 3(3.8)则V n =0.47+0.046+3.54+1.152=5.208 Nm 3/Nm 3 理论燃烧产物量V 0=V n -(n -1)L O(3.9)V 0=5.208-(1.05-1)×4.143=5.0 Nm 3/Nm 3(3) 燃料燃烧产物成分[2]%100V V CO nCO 22⨯=(3.10) %100V V O nO 22⨯=(3.11)%100V V N nN 22⨯=(3.12)100%V V O H nO H 22⨯=(3.13) 则9%%1005.2080.47CO 2=⨯=0.8%%1005.2080.046O 2=⨯=68%%1005.2083.54N 2=⨯=22.2%100%5.2081.152O H 2=⨯= 3.1.3 天然气燃烧产物密度的计算[3] 已知天然气燃烧产物的成分,则:ρ烟=10022.432O 28N O 18H 44CO 2222⨯+++,kg/Nm 3(3.14)式中:CO 2、H 2O 、N 2、O 2——每100Nm 3燃烧产物中各成分的体积含量ρ烟= 217.110022.40.832682822.218944=⨯⨯+⨯+⨯+⨯ Nm 3/Nm 33.1.4 天然气发热量计算 高发热量Q 高=39842CH 4+70351C 2H 6+12745H 2+12636CO (kJ/Nm 3(3.15)低发热量Q 低= 35902CH 4+64397C 2H 6+10786H 2+12636CO (kJ/ Nm 3)(3.16)式中:CH 4、C 2H 6、 H 2、CO ——分别为天然气中可燃气体的体积分数(%)。
理论燃烧温度和炉热指数计算模型一.理论燃烧温度: 理论燃烧温度:2222()CO N CO N H H Q Q Q Q Q t C V V C V ⋅++--=++⋅风分碳燃水理回旋区鼓风深度:65.0*00012.0+=E r………………………………………………………………………………………………………………………….Q 碳:碳素燃烧生成CO 放出的热量(9791/kJ kg )Q C t V =⨯∆⨯风风风风(鼓风带入的热量)t ∆风:风量的温度V 风=风量/风口数2H O C C C =⨯+⨯风干风干风量含水量总风量总风量2 1.5620.000209H O C t =+(空气(干风)的比热容)1.2640.000092C t =+干风(2H O 气的比热容)Q 燃:燃料带入的物理热(忽略) Q 水:10806m⨯水(kJ,水蒸气水煤气反应所消耗的热量)m 水:风量中的水份量,加湿量和喷煤中的水份量之和Q C m C m =⨯+⨯分重油重油煤粉煤粉(kJ ,喷吹燃料分解热)C 重油:重油的分解热(1880/kJ kg ) C 煤粉:煤粉的分解热(1880/kJ kg )2222()*CO N CO N H H C V V C V ⋅++在风口,燃烧后的气体成分主要为:CO ,2H ,2N ;933.02⨯=CO V2 1.2640.000092CO N C t ⋅=+2 1.260.000084H C t =+002*21.0*)*29.021.0(]*)21.0()1(*79.0[*933.0V a V V a V N )(风-++---=ϕϕ分子少V 风02*21.0*29.021.0*)(*933.02.11*21.0**29.021.0**933.0V a V M H V a V V V H )()()()(风风风-++⨯+-++=ϕϕϕ002*21.0*29.021.0*)(*933.02.11*21.0**29.021.0)0(**933.0V a V M H V a V V V V H )()()()(风风风-++⨯+-++-=ϕϕϕ(修改分子)0202*21.0*29.021.0*))0(*18/2)((*933.02.11*21.0**29.021.0)0(**933.0V a V M H H V a V V V V H )()()()(风风风-+++⨯+-++-=ϕϕϕ加上煤中水的含量0V :富氧量,m3/h)(H :煤粉中H 元素含氢量%)(2O H :煤粉中水含量% 通常按照1%计算0M :-喷煤量,t/hϕ:鼓风湿度,%a :氧气纯度,%这里的风量V 风采用计算风量 V 风计V 风计=( K*Ck +M*Cm – (生铁渗碳)10×m_fC -Cdfe -Cda )×22.4/ (24 * 鼓风含氧量) _K 焦比 Ck 焦炭含碳量 M 煤比 Cm 煤中含碳量m_fC = 4.3 - 0.27*铁中SI 含量 - 0.32*铁中S 含量 + 0.03* 铁中Mn 含量 – 0.32铁中P 含量;鼓风含氧量 = 0.210.29*0.21*a W ϕ++-() 0/W V V =风V 风 包括了 V0 都是仪表风量。
固体燃料理论燃烧温度计算固体燃料理论燃烧温度计算程序⾕胜军 123911007⼀、固体燃料理论燃烧温度计算的数学⽅法理论燃烧温度计算公式:空产分燃空低理)(c c 0n 0L L V Q Q Q Q t -+-++=其中,低Q 为燃料的低位发热量;空Q 为空⽓带⼊的物理热;燃Q 为燃料带⼊的物理热;分Q 为燃烧产物中某些⽓体在⾼温下热分解反应消耗的热量;0V 为理论燃烧产物⽣成量;产c 为产物的平均⽐热; n L 为实际空⽓消耗量;0L 为理论空⽓需要量;空c 为空⽓的⽐热。
燃料低位发热量计算公式:]6262624681[187.4W S O H C Q -+-+=低空⽓带⼊物理热计算公式:空空空t n ??=c L Q实际空⽓消耗量计算公式:0n n g 00124.01L L ?+=)(其中,g 为1⽴⽅⽶⼲⽓体中⽔分含量。
2010)33.333.367.2689.8(-?-++=O S H C L燃料带⼊的物理热计算公式:燃燃燃t c ?=Q理论燃烧产物⽣成量计算公式:0079.0)281823212(224.0L NW H S C V +++++=分解热:未未分)(f 10800)(f 126002222O H O H CO CO V V Q ?+?=其中,2f CO 、O H 2f 分别为⼆氧化碳和⽔的分解度,未)(2CO V 、未)(2O H V 分别为燃烧产物中未分解的⼆氧化碳和⽔的体积。
由于分解的⼆氧化碳和⽔很少,故未)(2CO V 、未)(2O H V 按完全燃烧产物计算:12224.0)(22CV V CO CO ==未 n gL 00124.0)182(224.0)(22++==WH V V O H O H 未⼆、固体理论燃烧温度计算程序图1 程序界⾯Option ExplicitPrivate Sub cmdExit_Click() End End SubPrivate Sub cmdJisuan_Click() Dim sQd As SingleDim sC As SingleDim sH As SingleDim sO As SingleDim sS As SingleDim sN As SingleDim sW As SinglesC = txtC.TextsH = txtH.TextsO = txtO.TextsS = txtS.TextsN = txtN.TextsW = txtW.TextsQd = 4.187 * (81 * sC + 246 * sH - 26 * sO + 26 * sS - 5 * sW) Dim sQk As SingleDim sLn As SingleDim sTk As SingleDim sCk As SingleDim sG As SingleDim sL0 As SingleDim sNn As SinglesN = txtAirxs.TextsG = txtAirwater.TextsL0 = 0.01 * (8.89 * sC + 26.67 * sH + 3.33 * sS + 3.33 * sO) sLn = sNn * sL0 * (1 + 0.00124 * sG) If txtZrairtem.Text >= 0 And txtZrairtem.Text <= 400 Then sCk = 1.3ElseIf txtZrairtem.Text > 400 And txtZrairtem.Text <= 700 Then sCk = 1.34ElseIf txtZrairtem.Text > 700 And txtZrairtem.Text <= 1000 Then sCk = 1.38ElseIf txtZrairtem.Text > 1000 And txtZrairtem.Text <= 1200 Then sCk = 1.42ElseIf txtZrairtem.Text > 1200 And txtZrairtem.Text <= 1800 ThensCk = 1.47ElseIf txtZrairtem.Text > 1800 And txtZrairtem.Text <= 2100 Then sCk = 1.51End IfsQk = sLn * sCk * sTkDim sCr As SingleDim sTr As SingleDim sQr As SinglesCr = txtRlbr.TextsTr = txtRltem.TextsQr = sCr * sTrDim sQf As SingleDim sVco2 As SingleDim sVh2o As SingleDim sFco2 As SingleDim sFh2o As SinglesFco2 = txtCo2f.TextsFh2o = txtH2of.TextsVco2 = 0.224 * sC / 12sVh2o = 0.224 * (0.5 * sH + sW / 18) + 0.00124 * sG * sLnsQf = 12600 * sFco2 * sVco2 + 10500 * sFh2o * sVh2oDim sV0 As SinglesV0 = 0.244 * (sC / 12 + sS / 32 + sH / 2 + sW / 18 + sN / 28) + 0.79 * sL0 Dim sCc As Single Dim sCkc As SingleIf cmbRlzl.ListIndex = 0 Or cmbRlzl.ListIndex = 1 ThenIf cmbLlrstem.ListIndex = 0 ThensCc = 1.38sCkc = 1.3ElseIf cmbLlrstem.ListIndex = 1 ThensCc = 1.42ElseIf cmbLlrstem.ListIndex = 2 ThensCc = 1.47sCkc = 1.34ElseIf cmbLlrstem.ListIndex = 3 ThensCc = 1.51sCkc = 1.38ElseIf cmbLlrstem.ListIndex = 4 ThensCc = 1.55sCkc = 1.42ElseIf cmbLlrstem.ListIndex = 5 ThensCc = 1.59sCkc = 1.47ElseIf cmbLlrstem.ListIndex = 6 ThensCc = 1.63sCkc = 1.47ElseIf cmbLlrstem.ListIndex = 7 ThensCc = 1.67sCkc = 1.51End IfElseIf cmbRlzl.ListIndex = 2 Or cmbRlzl.ListIndex = 3 Then If cmbLlrstem.ListIndex = 0 Then sCc = 1.42sCkc = 1.3ElseIf cmbLlrstem.ListIndex = 1 ThensCc = 1.47sCkc = 1.3ElseIf cmbLlrstem.ListIndex = 2 ThensCc = 1.51sCkc = 1.34ElseIf cmbLlrstem.ListIndex = 3 ThensCc = 1.55sCkc = 1.38ElseIf cmbLlrstem.ListIndex = 4 ThensCkc = 1.42ElseIf cmbLlrstem.ListIndex = 5 ThensCc = 1.63sCkc = 1.47ElseIf cmbLlrstem.ListIndex = 6 ThensCc = 1.67sCkc = 1.47ElseIf cmbLlrstem.ListIndex = 7 ThensCc = 1.72sCkc = 1.51End IfEnd IftxtJsllrstem.Text = (sQd + sQk + sQr - sQf) / (sV0 * sCc + (sLn - sL0) * sCkc) End Sub Private Sub cmdReset_Click()cmbRlzl.Text = "请选泽燃料种类…"txtC.Text = ""txtH.Text = ""txtO.Text = ""txtS.Text = ""txtN.Text = ""txtW.Text = ""txtRlbr.Text = ""txtRltem.Text = ""txtZrairtem.Text = ""txtAirwater.Text = ""txtAirxs.Text = ""cmbLlrstem.Text = "估计理论燃烧温度…"txtCo2f.Text = ""txtH2of.Text = ""txtJsllrstem.Text = ""End Sub。
高炉风口理论燃烧温度(Tf)分析李肇毅(宝山钢铁股份有限公司炼铁厂,上海201900)摘要:通过对高炉风口前理论燃烧温度(Tf)的剖析,建立与理论分析相对应的经验多项式。
通过检验发现目前各厂广泛使用的Tf经验公式偏离较多。
本文还把Tf值与煤质挂钩,使其更为实用。
关键词:高炉,理论燃烧温度,Tf,煤质Analysis of flame temperature in the front of tuyeres for blast furnaceLi Zhaoyi(Ironmaking branch, Baoshan Iron &Steel Co., Ltd., Shanghai 201900,China)Abstract: By analysis of flame temperature in the front of tuyeres for blast furnace, a multi-item equation of experience have be set up according to theoretical analysis. A gap is checked out for Tf experiential formula of many plant using. Relation is made between Tf and coal quality for better practicality.Key words: blast furnace, flame temperature, Tf, coal quality风口前理论燃烧温度(简称Tf)是高炉炼铁工作者普遍关注的炉缸工作参数。
它存在一个较宽的适宜范围。
但当高炉的鼓风参数有大幅度调整时(如大幅度提高喷煤,或高富氧),必须对Tf值有一个正确估计,以避免由此而引起炉况失常[1]。
1 各国高炉对Tf值的控制表1 各国Tf的取值2 Tf经验式a. 加拿大钢铁公司Y=1111.1-21.06BH+0.7287BT-13.348OIL+82.393O2, F ----(1) BH----鼓风湿分(格令/英尺3)BT----热风温度(F)OIL----喷油(美加仑/时1000英尺3干风)O2----含氧%(干风体积的%,如空气=21)b. 澳大利亚BHP公司Tf=1570+0.808BT-5.85BH +4370O2-4400OIL, ℃----(2)c. 日本君津厂Tf=1559+0.839BT-6.033BH +4972O2-4972OIL, ℃----(3)d. 宝钢Tf=1559+0.839BT-6.033BH +4972O2-3250COAL, ℃----(4) BT----热风温度(℃)BH----鼓风湿分(g/m3)O2----富氧量(m3/m3风)OIL----喷油(kg/m3风)COAL----喷煤(kg/m3风)宝钢公式是在君津公式的基础上对喷吹项作修改而得(当初修改主要考虑煤与油的发热值差异,按比例折成现有的参数)。
定容燃烧模拟装置内氢气绝热理论燃烧温度的计算
容燃烧模拟装置是一种应用于燃烧研究的专业设备,在它的内部,燃烧过程是由氢气绝热反应驱动的。
计算氢气绝热燃烧温度可以帮助我们了解燃烧特征和控制火焰温度。
由于容燃烧模拟装置是一种绝热反应,因此计算氢气绝热燃烧温度主要依赖于氢气燃烧反应的化学性质,以及反应中参与分子键释放能所引起的热量传递机制。
从理论上讲,氢气燃烧反应的化学性质可以通过物理或化学模型进行模拟,以求得反应的化学反应热。
在这种情况下,根据相应的化学反应热和要求的初始温度T0可以计算得到燃烧温度T。
除了计算的方法外,实验测量也可以用于估算氢气绝热燃烧温度。
在实验中,一般采用不同浓度的氢气/空气混合物作为催化剂,并以一定温度、压强和气体流量为流动情况下进行火焰温度测量,然后通过求解方程组来求解燃烧温度。
总之,计算容燃烧模拟装置内氢气绝热理论燃烧温度不仅取决于反应的化学性质,也要考虑到气体流量和反应条件。
这两种方法均可以用于计算氢气绝热理论燃烧温度,以更充分地评估燃烧特性和火焰温度的控制。
理论燃烧温度计算发生炉煤气成分CO:24%;H2 :19%;CO2 :9%;CH4 :4%;N2:44%1m³煤气完全燃烧产生热量0.24×3300+0.19×3300+0.04×8800=1771Kcal,即7405.6KJ消耗氧气0.24×0.5+0.19×0.5+0.04×2=0.295,空气中氮气量1.11m³。
故产品中二氧化碳0.24+0.09=0.33m³,水0.19m³,氮气1.11+0.44=1.55m³,其中空气加热到400度计算。
理论燃烧温度计算结果为2250℃。
甲烷混合气CH4为50%,氮气50%,1m³混合气,0.5m³甲烷燃烧消耗1m³氧气,需3.76m³氮气,故产品中氮气含量3.76+0.5=4.26m³,二氧化碳0.5m³,水1m³。
0.5m³甲烷燃烧产生热量为4400Kcal,即18399KJ 若空气加热到400℃,理论燃烧温度计算结果为1969℃。
(燃烧温度低主要原因是产物多,热量大温度低)。
氢气理论燃烧温度在三者中最高,甲烷次之,一氧化碳最低。
理论燃烧温度与燃烧的气体量无关。
由此可见1:1混配的甲烷氮气混合气理论燃烧温度还低于原煤气燃烧温度,不用担心喷嘴寿命问题。
说明:理论燃烧温度是指绝热燃烧最高温度,是理论计算,仅供参考。
不考虑燃烧效率问题,无论如何配比混氮气,由于是按热值折算,天然气用量不会改变,即用气成本不会改变。
天然气热值8600Kcal,煤气热值1400Kcal,即天然气热值是煤气热值的6.14倍。
如果煤气生产成本0.4元/m³,天然气价格只有低于2.45元/m³才可能降低原用气成本。
如果是甲烷鼓入过量空气1:2.5,燃烧温度接近煤气燃烧温度,且不再使用氮气,用气成本比甲烷混氮气低。
1.门捷列夫公式Q gr=4.187[81C+300H-26(O-S)]Q net=4.187[81C+246H-26(O-S)-6M]2.干湿成分转换X m%=(100-H2O m)/100*X d% H2O m=0.00124g d H2O/(0.00124 g d H2O+1)3.燃气发热量Q gr=4.187(3040CO%+3050H2%+9530CH4%+14100C2H4%+…+6000H2S%)4.空气中O2:N2=21:79(体积)23.2:76.8(质量)5.对S&L燃料:L0=(8.89C+26.66H+3.33S-3.33O)/100 Lα=αL0(Lαm=(1+0.00124g d h20)αL0)V0=(C/12+S/32+H/2+M/18+N/28)22.4/100+0.79L0Vα=V0+(α-1)L0(Vαm=(C/12+S/32+H/2+M/18+N/28)22.4/100+(α-0.21)L0+0.00124 g d H2O)6.对G燃料完全燃烧情况:L0=4.76[1/2CO2+1/2H2+(n+m/4)C n H m+1.5H2S-O2]/100Lα=αL0V0=[CO+H2(n+m/2)C n H m+2H2S+CO2+N2+H2O]/100+0.79L0Vα=[CO+H2(n+m/2)C n H m+2H2S+CO2+N2+H2O]/100+(α-21/100)L07. S&L燃烧产物成分:CO2%=C ar12×22.4/100Vα×100%SO2%=S ar32×22.4/100Vα×100%H2O%=(H ar2+M18)×22.4/100Vα×100%N2%=N ar28×22.4100+79/100LαVα×100%O2%=21/100(Lα−L0)Vα×100%8.G燃烧产物成分V CO2=(CO+∑nC n H m+CO2)×1/100V H20=(H2+∑m2C n H m+H2S+H2O)×1/100V S02=H2S×1/100V N2=N2100+79/100LαV O2=21/100(Lα−L0)9.不完全燃烧:1)α>1混合不好:计入水分时不计水分时2)α<1混合好: 计入水分时不计水分时3) α<1混合好:计入水分时不计水分时10.不完全燃烧产物量计算:对L&S燃料:C平衡 H平衡O平衡N平衡水煤气平衡常数K 甲烷分解平衡常数K =对G燃料:C平衡H平衡O平衡N平衡两个常数同上11.实际燃烧温度理论燃烧温度理论发热温度12.理论燃烧温度计算:13.气体分析方程对实际烟气分析RO2max=14.α的检测计算1)按O平衡,α(c)(inc)2)按N平衡对含氮很少的燃料对含氢很少的燃料α15.化学不完全燃烧热损失计算16.着火温度与器壁温度关系17.热自燃感应时间(着火延迟)18.开口体系着火条件由此则19.器壁Tw下点火最小直径20.最小点火能21.层流火焰传播速度S L=√2ατ̅其中α=λρCpτ̅=C f0W̅22.本生灯测S L法:S L23.多燃气与空气混合的S L计算:24.脱火回火条件25.本生灯火焰长度计算,由此本生灯26.R-R粒径分布均匀性指数27.平均粒径计算:1)若考虑喷雾蒸发2)若考虑雾化效率3)通式28.单油滴蒸发燃烧模型29.碳粒燃烧模型其中当气流速度相对较小时Sh=2,动力燃烧区K很小,扩散燃烧区αD很小扩散区动力区,30.碳粒表面灰壳对燃烧时间影响。
摘要对理论燃烧温度的通用计算式提出了修正。
认为理论燃烧温度的通用计算式未考虑风口前凝聚相反应产物对理论燃烧温度的影响,随着高炉喷吹物料种类的多元化和喷吹量的增加,其计算误差将越来越大,更重要的是难以体现喷吹不同物料的区别。
为此,提出了理论燃烧温度的修正计算式。
关键词高炉喷煤理论燃烧温度1 理论燃烧温度的通用计算式高炉的理论燃烧温度是指燃料在风口区不完全燃烧,燃料和鼓风所含热量及燃烧反应放出的热量全部传给燃烧产物时所能达到的温度。
理论燃烧温度是由风口局部区域的热平衡计算得出,计算的基准温度一般采用常温。
以常温为基准就不需考虑喷吹燃料及输送燃料的压缩空气所带人的显热。
因此,普遍采用的计算式为[1,2]:式中 Q碳——风口前碳素燃烧生成CO放出的热量,kJ;Q风——鼓风带入的物理热,kJ;Q焦——焦炭带人的物理热,kJ;Q水——鼓风中湿分分解耗热,kJ;Q分——喷吹燃料的分解耗热,kJ;C PL——高炉炉缸气体中C O、N2的平均热容,kJ/(m3·℃);C P2——高炉炉缸气体中H2的平均热容,kJ/(m3·℃);V CO、V N2、V H2——炉缸煤气中CO、N2、H2的体积,m3。
亦有学者在大喷煤量下,对理论燃烧温度的计算式进行了修正,主要包括:①热收入中增加了煤粉物理热;②将鼓风湿分的分解热改为水煤气反应热;③考虑不完全燃烧条件下煤粉在风口区的反应热[3]。
修正的理论燃烧温度计算式如下:式中 Q R焦——焦炭燃烧生成CO放出的热量,kJ;Q R焦——燃料燃烧生成CO放出的热量,kJ;Q煤——煤粉带人的物理热,kJ;C PG——高炉炉缸气体的热容,kJ/(m3·℃)。
2 理论燃烧温度的修正计算式以上两式的计算方法基本类似,修正式只是把热收人和消耗项计算的更精确一些。
但以上两式都未完全符合理论燃烧温度的计算原理,只考虑了燃烧产物中的气体,而未考虑凝聚相产物。
实质上,焦炭和燃料中的灰分也是燃烧产物,其升温也需要消耗热量,尤其在风口喷吹含灰分高的燃料或熔剂时,其对理论燃烧温度的影响更大。