经济数学基础--函数
- 格式:ppt
- 大小:1.18 MB
- 文档页数:45
经济数学知识点总结一、函数与极限1、函数11 函数的概念:设 x 和 y 是两个变量,D 是给定的数集,如果对于每个数x∈D,按照一定的法则f,变量y 总有唯一确定的值与之对应,则称 y 是 x 的函数,记作 y = f(x),x∈D。
111 函数的定义域:使函数有意义的自变量取值的集合。
112 函数的值域:函数值的集合。
113 函数的性质:有单调性、奇偶性、周期性、有界性等。
114 基本初等函数:包括幂函数、指数函数、对数函数、三角函数、反三角函数。
115 复合函数:设 y = f(u),u =φ(x),则称 y =fφ(x)为复合函数。
116 反函数:设函数 y = f(x),其定义域为 D,值域为 R。
对于y∈R,在 D 中存在唯一确定的 x 与之对应,这样得到的 x 关于 y 的函数称为 y = f(x)的反函数,记作 x = f^(-1)(y)。
2、极限21 数列的极限:对于数列{xn},若存在常数 A,对于任意给定的正数ε(不论它多么小),总存在正整数 N,使得当 n > N 时,不等式|xn A| <ε 恒成立,则称常数 A 是数列{xn}的极限,记作lim(n→∞) xn = A。
211 函数的极限:当自变量 x 趋于某个值 x0 (或趋于无穷大)时,函数 f(x) 无限接近于某个确定的常数 A,则称 A 为函数 f(x) 当 x 趋于x0 (或趋于无穷大)时的极限,记作lim(x→x0) f(x) = A 或lim(x→∞)f(x) = A 。
212 极限的性质:唯一性、局部有界性、局部保号性。
213 极限的运算法则:包括四则运算、复合函数的极限法则。
二、导数与微分1、导数11 导数的定义:设函数 y = f(x) 在点 x0 的某个邻域内有定义,当自变量 x 在 x0 处取得增量Δx (点 x0 +Δx 仍在该邻域内)时,相应地函数取得增量Δy = f(x0 +Δx) f(x0) ;如果Δy 与Δx 之比当Δx→0时的极限存在,则称函数 y = f(x) 在点 x0 处可导,并称这个极限为函数 y = f(x) 在点 x0 处的导数,记作 f'(x0) 。
经济数学微积分学习讲义合川电大兰冬生知识点一:5个基本函数1,常数函数,c y = (c 是常数)例如:3=y ,1-=y ,这些函数可以看成是x 隐含,例如3=y 可看成30+=x y 。
2,幂函数,αx y =(α是一个数) 形如2x y =,3x y =,5x y =是幂函数,注意:仅仅是这种形式是幂函数,其他的任何一点形式变化都不是,2x y =是幂函数,22x y =就不是幂函数,只能是下面x ,上面(指数)是一个数!以下基本函数均如此3,指数函数,x a y =,(a 是一个数) 例如:x y 2=,x y 23⋅=不是指数函数。
4,对数函数x y a log =,这里要求x 必须大于零,我们的考试常常拿来考“求定义域”这里我们只认识两个特殊的对数函数,一个是x y ln =,他是x y e log =的简写,e 是一个数,718.2=e ,和我们知道的14.3=π一样,另一个是x y lg =,他是x y 10log =的简写。
5,三角函数x y sin =,x y cos =,特别注意的是x y sin 2=,x y 2sin =,都不是三角函数。
● 这5个基本函数是我们要学习的函数的主要构成细胞。
● 例如:12sin 232+++=x x e y x ,二次函数,由幂函数,常数函数构成632-+=x x y 。
知识点二:极限1,什么是数列?数列就是按照“一定规律排列的一组数”,我们常见的是无限数列。
数学符号记为:}{n a例如:数列:1,2,4,8,16,32,……,发展规律依n 2 变化,,4,3,2,1,0=n …… 1,21,41,81,……,发展规律依n 21变化,,4,3,2,1,0=n …… 2,极限学习极限,一个非常重要的认识就是“分母越大,分数越小” 数列的极限,就是指数列的一个趋近值,(即是指一串数的趋近值)例如:1,21,31,41,……,分母由1,2,3,4,……变化,当分母无限大时,1000001,1000000001,……,最后,这个无限数列趋近于0,这里,我们简单描述这个变化,∞→n01→n分母越大,分数越小 →是趋近,∞是无穷大的意思,无穷大是指非常非常大,无法计量。
第一章函数与极限1.理解函数概念。
(1)掌握求函数定义域的方法,会求初等函数的定义域和函数值。
函数的定义域就是使函数有意义的自变量的变化范围。
学生要掌握常见函数的自变量的变化范围,如分式的分母不为0,对数的真数大于0,偶次根式下表达式大于0,等等。
(2)理解函数的对应关系f 的含义:f 表示当自变量取值为x 时,因变量y 的取值为f (x )。
(3)会判断两函数是否相同。
(4)了解分段函数概念,掌握求分段函数定义域和函数值的方法。
2.掌握函数奇偶性的判别,知道它的几何特点。
判断函数是奇函数或是偶函数,可以用定义去判断,即(1)若)()(x f x f =-,则)(x f 为偶函数;(2)若)()(x f x f -=-,则)(x f 为奇函数。
也可以根据一些已知的函数的奇偶性,再利用“奇函数±奇函数、奇函数×偶函数仍为奇函数;偶函数±偶函数、偶函数×偶函数、奇函数×奇函数仍为偶函数”的性质来判断。
3.了解复合函数概念,会对复合函数进行分解。
4.知道初等函数的概念,牢记常数函数、幂函数、指数函数、对数函数和三角函数(正弦、余弦、正切和余切)的解析表达式、定义域、主要性质。
基本初等函数的解析表达式、定义域、主要性质在微积分中常要用到,一定要熟练掌握。
5.了解需求、供给、成本、平均成本、收入和利润函数的概念。
6.知道一些与极限有关的概念(1)知道函数在某点极限存在的充分必要条件是该点左右极限都存在且相等;(2)了解无穷小量的概念,知道无穷小量的性质;(3)了解函数在某点连续的概念,了解“初等函数在定义区间内连续”的结论;会判断函数在某点的连续性,会求函数的间断点。
第二章导数及其应用1.知道一些与导数有关的概念(1)会求曲线的切线方程(2)知道可导与连续的关系(可导的函数一定连续,连续的函数不一定可导)2.熟练掌握求导数或微分的方法。
(1)利用导数(或微分)的基本公式(2)利用导数(或微分)的四则运算(3)利用复合函数微分法3.会求函数的二阶导数。
第1章 函数1.1 函数概念1.1.1 函数的定义同学们从入小学到高中毕业一直要学习数学,在这一阶段所面对的数学对象的特点是:所讨论的量在研究问题的过程中保持不变.只是从未知到已知.例如解方程或方程组,求得的解都是固定不变的.又如讨论三角形,它的边长也是固定不变的量.这些量叫做常量.常量——只取固定值的量这门课程中讨论的量在研究问题的过程中不是保持不变的.如圆的面积与半径的关系:S =πr 2考虑半径r 可以变化的过程.面积和半径叫做变量.变量——可取不同值的量变域——变量的取值范围我们考虑问题的过程中,不仅是一个变量,可能有几个变量.比如两个变量,要研究的是两个变量之间有什么关系,什么性质.函数就是变量之间确定的对应关系.比如股市中的股指曲线,就是时间与股票指数之间的对应关系.又如银行中的利率表 存期六个月 一年 二年 三年 五年 年利率(%) 5.40 7.47 7.92 8.28 9.00它反映的是存款存期与存款利率之间的对应关系.这几个例子反映的都是两个变量之间的确定的对应关系.函数的定义是:定义1.1 设x , y 是两个变量,x 的变域为D ,如果存在一个对应规则f ,使得对D 内的每一个值x 都有唯一的y 值与x 对应,则这个对应规则f 称为定义在集合D 上的一个函数,并将由对应规则f 所确定的x 与y 之间的对应关系,记为:)(x f y =,称x 为自变量,y 为因变量或函数值,D 为定义域. 集合},)({D x x f y y ∈=称为函数的值域.我们要研究的是如何发现和确定变量之间的对应关系.例1 求函数)1ln(1-=x y 的定义域. 解:)1ln(1-=x y ,求函数的定义域就是使表达式有意义的.由对数函数的性质得到01>-x ,即.由分式的性质得到0)1ln(≠-x ,即11≠-x ,即. 综合起来得出所求函数的定义域为),2()2,1(∞+= D .例2 设国际航空信件的邮资与重量的关系是⎩⎨⎧≤<-+≤<=20010,)10(3.04100,4)(m m m m F 求)20(,)8(,)3(F F F .解:⎩⎨⎧≤<-+≤<=20010,)10(3.04100,4)(m m m m F 用3替代,由第一个关系式表示,得到4)3(=F ,同样可以得到4)8(=F .用20替代,由第二个关系式表示,得到7)20(=F1.1.2 有关函数的几点解释1.函数的表示法如何表示函数关系是需要我们不断研究和发现的.常用的方法有三种:一种是用一个数学公式来表示,叫做解析法;一种是用坐标系中的曲线反映两个变量之间的函数关系,叫做图示法;还有一种方法是用一个表格反映两个变量之间的函数关系,叫做表格法.一般经常使用的就是这三种方法.2.函数的记号在考虑一个问题的过程中,f 表示一个确定的对应关系,在之后考虑这个问题的过程中,f 自始至终表示同样的对应关系.比如53)(2-+=x x x f ,它反映的就是这样一种对应关系:5)(3)()(2-⨯+=f ,等式左端的函数括号中带入一个量,表示要对其进行等式右端的运算.如:15131)1(2-=-⨯+=f ,又如:535)(3)()(242222-+=-⨯+=x x x x x f无论左端带入什么,都对它进行同样的运算.1.1.3 函数的基本性质下面把在中学里大家已经知道的函数的基本属性复习一下,也就是:函数的单调性、奇偶性、有界性、周期性.当一个变量增加时另一个变量也跟着增加, 这样的函数就叫做单调增加的函数.从图形上看这条曲线,曲线上的点x 在增加的时候,它所对应的纵坐标y 也在增加,这样的函数是单调增加的. 单调减少是相反的,随着x 的增加相对应的y 在减少,这样的函数是单调减少的,正如图形中演示的这样.如果函数当x 在增加的时候,它所对应的y 不是增加,也不是减少,这样的函数就不具有单调性.例1 判断函数f (x )=x 2当x >0时的单调性.分析:可以利用单调性的定义,证明对任意的x 1 > x 2,有f (x 1)>f (x 2).解:当x >0时,对任意的x 2 >0,有2221x x >(当x 1 > x 2 >0时,在不等式x 1 > x 2两端同乘以x 1或x 2,显然有2121x x x >,2221x x x >,由不等式的传递性就得到2221x x >.) 由定义可知f (x )=x 2当x >0时是单调增加的.一个函数的图形如果关于y 轴对称,这样的函数就称为偶函数.从图形上来分析,曲线上任一点关于y 轴的对称点也在曲线上面,这条曲线所描绘的函数就是偶函数.从解析式上看,如果有f (-x )=f (x ),f (x )就叫做偶函数.一个函数的图形如果关于原点对称,这样的函数就称为奇函数.曲线上任一点关于原点的对称点也在曲线上面,这条曲线所描绘的函数就是奇函数.从解析式上看,如果有f (-x )=-f (x ),f (x )就叫做奇函数.例2 判断下列函数的奇偶性:(1)y =x 3-1 (2)y =x cos x解:(1)取 x =1,-1,f (1)=0,f (-1)=-2,显然f (1) ≠-f (-1),由此可知y =x 3-1 不是奇函数.又显然f (1) ≠f (-1),由此可知y =x 3-1 不是偶函数.(2)因为y =x 是奇函数, y =cos x 是偶函数,而奇函数和偶函数的乘积是奇函数. 所以y =x sin x 是奇函数如果自变量在定义域中变化时,函数值始终在一个有限的区间内变化,如图形中演示的,无论怎样变化,都有-M ≤ f (x ) ≤ M ,这条曲线所反映的函数就是有界函数.如果存在一个正数T ,对任意的自变量x ,有f (x + T )=f (x ),这样的函数就叫做周期函数. 从图形上反映,这个函数在相隔为T 的任意两点上函数值都是一样的.也可以这样来看,从任意一点出发,以长度T 为间隔划分区间,在每个区间上的函数图形都是可以完全重合的.1.2 几类基本初等函数我们在中学的学习中已经认识了一些函数, 这些函数是非常基本的,有这样几类:1. 常数函数:y = c .这个函数在它的定义域中的取值始终是一个常数,它在直角坐标系中的图形就是一条水平线.2. 幂函数:y = x α,(α∈R ).以x 为底,指数是一个常数.当α = 1时就是y = x ,它的图形是过原点且平分一、三象限的直线;当α=2时就是y = x 2,它的图形是过原点且开口向上的抛物线;当α=3时就是y = x 3,它的图形是过原点的立方曲线.3. 指数函数:y = a x ,( a >0,a ≠1).底数是常数,指数是变量.例如y = e x ,y = 2 x ,y = () x . 所有指数函数的图形都过(0,1)点,当a >1时,函数单调增加,当a <1时,函数单调减少.4. 对数函数: y = log a x ,( a >0,a ≠1).以a 为底的x 的对数.例如y = ln x ,y = log 2x ,y =.所有对数函数的图形都过(1,0)点,当a >1时,函数单调增加;当a <1时,函数单调减少.5. 三角函数:正弦函数:y = sin x .余弦函数:y = cos x .例1判断下列函数中,哪些不是基本初等函数:(1) y =; (2) y =()x ; (3) y =lg(-x );(4) y =; (5) y =2x ; (6) y =e 2x .分析:依据基本初等函数的表达式来判断.解: 直接观察可知⑵与⑷中的函数是基本初等函数,而由52521-==x x y ,y =e 2x =(e 2)x 可知(1)与(6)中的函数是基本初等函数.(3)与(5)中的函数不是基本初等函数1.3 函数的运算函数的运算当然有加、减、乘、除运算,这些就不需要讲了.在这里我们主要将函数的复合运算.所谓复合运算,就是指如果y 是u 的函数,u 是x 的函数,y 通过u 作为中间媒介就成为x 的函数,这就是函数的复合运算.如下面这个例子表示的:u y ln =x u sin =x y sin ln =这里y 是u 的函数,u 是x 的函数,y 通过u 作为中间媒介就成为x 的函数,这就是函数的复合运算.下面把这个复合的步骤以及它们的变域联系起来仔细地介绍一下:y 是u 的函数,这个函数用 f 来表示.u 是x 的函数,这个函数用φ来表示.φ的值域正好落在函数 f 的定义域里,经过u 作为媒介y 就成为x 的函数,这个复合函数的定义域是这样一个(红色)区域,它的值域就缩小成为这样一个(绿色)区域了. 这是为什么呢?因为x 在它的定义域内变化时,u 仅在这样一个(黄色)区域取到值,相应的y 的取值范围就缩小成为这样一个(绿色)区域.复合函数的记号就记为y = f (φ(x )) .这种运算就叫做函数的复合运算.这样我们把函数分一下类:由基本初等函数经过有限次加、减、乘、除或复合而得到的函数称为初等函数.这样的分类把函数分成了初等函数和非初等函数.我们在前面所见到的分段函数就是非初等函数的例子.例1 已知函数y = f (x )的定义域为[0, 1],求函数y = f (e x )的定义域.分析:要使函数u = e x 的值域包含于函数y = f (x )的定义域中,由这个约束条件重新确定x 的取值范围.解:设u = e x ,它的值域要包含于y = f (x )的定义域中,即0 ≤e x ≤1由此得-∞ <x ≤0,由此可知复合函数y = f (e x )的定义域是(-∞, 0].(附:已知函数ln t 是单调增加的,显然有1ln e ln ln lim 0≤<+→xt t ,由此得-∞ <x ≤0 ) 例2 将下列初等函数分解为基本初等函数的四则运算或复合运算:(1)2)2sin(e +=x y (2)x y x 2cos ln 2=分析:由定义知初等函数是基本初等函数经有限次的四则运算和复合运算得到的.具体解决的步骤是:先看函数表达式有无四则运算,如有,则对每一个运算项进行分析,看其是否为复合函数,如是,则选择适当的中间变量将其化为基本初等函数.依此步骤反复进行. 解:(1),v u sin =,,2+=x w其中y , u , v 分别作为中间变量u , v ,w 的函数都是基本初等函数.而w 是幂函数x 与常数函数2的和.(2)u y x ln 2=,,x v cos = 其中y 是指数函数2x 与对数数函ln u 的乘积.而中间变量u , v 分别作为v , x 的函数都是基本初等函数.1.5 经济分析中常见的函数1.5.1 需求函数与供给函数这一节课的内容是要把学习数学和将来搞经济工作联系起来, 我们把经济分析中最最常见的5种函数介绍给大家(这节课只介绍前两个).同时我们希望通过这一节的学习能够使大家感受到数学工具在经济分析中的应用.首先我们介绍需求函数和供给函数.y = f (ϕ(x ))大家可以想象到一个商品在市场上的需求肯定是与它的价格有关系,价格贵,需求量就少,价格便宜,买的人就多.需求和价格之间是有关系的,它们是不是函数关系呢?我们可以把它简化为一种函数关系.我们先不考虑其它因素,简单地认为价格定了需求量就随之确定,这样需求量就是价格的函数.供给,就是厂方能够为市场提供多少产品,当然它也是和价格有关系的,产品价格高,厂方就增加生产,反之供给量就减少.我们也可以把它简化为一种函数关系.需求量与价格之间的函数就称为需求函数,供给量与价格之间的函数就称为供给函数.现在我们讨论一种最简单的情况,认为需求函数和供给函数都是线性函数(一次函数),在这种关系下通过讨论看可以得到什么性质.)0,0(<>+=b a b ap q d表示需求量,表示价格,表示常数.)0,0(1111><+=b a b p a q s表示需求量,表示价格,表示常数.我们容易理解需求量应随价格的增加而减少,所以0<a ,当然0>b .而 01<b ,因为当价格为零时,不会有供给量.我们把这两条曲线放在同一个坐标系中,就会发现有这样的关系,两条直线交于一点,这一点的含义是,在价格为时,产品的需求量与供给量是相同的,即供需达到了平衡.这一点称为供需平衡点. 价格超过时,供过于求;价格低于时,供不应求.在经济分析中,供需平衡点所对应的价格,称为市场均衡价格;它所对应的需求量或供给量称为市场均衡数量. 例1 某种商品的供给函数和需求函数分别为:1025-=p q s ,p q d 5200-=, 求该商品的市场均衡价格和市场均衡数量.解:由市场均衡条件:s d q q =,得到:p p 52001025-=-解出:,1650=q1.5.2 成本函数我们再介绍经济分析中常见的三种函数:第一种叫做成本函数,第二种叫做收入函数,第三种叫做利润函数.我们先介绍成本函数.q p O q pO qp O一种产品的成本可以分为两部分:固定成本C 0,比如,生产过程中的设备投资,或使用的工具,不管生产产品与否,这些费用都是要有的,它是不随产量而变化的,这种成本称为固定成本.变动成本C 1, 比如每一件产品的原材料,这些费用依赖于产品的数量,这种成本称为变动成本.总成本就是固定成本加上变动成本:C = C 0 + C 1成本应与产品的产量有关,这种函数表示为C (q ) = c 0 + C 1(q )这就是成本函数.其中总成本C (q )是产量q 的函数,c 0与产量无关,变动成本C 1(q )也是产量q 的函数. 我们在引入平均成本的概念q q C C )(=,总成本除以产量q ,就是产量为q 时的平均成本,用来表示.例1 生产某商品的总成本是q q C 2500)(+=,求生产50件商品时的总成本和平均成本. 解:成本q q C 2500)(+= 平均成本25002500)()(+=+==qq q q q C q C 600502500)50(=⨯+=C ,12250500)50(=+=C 1.5.3 收入函数下面我们来讲收入函数.一种产品销售之后就会有销售收入,销售收入应该是价格乘以产量.但价格与产量之间也有一定的关系,这样就得到R = q p (q )其中p (q )是价格与产量之间的函数关系.相应地有平均收入函数qq R R )(= 现在我们来研究一种最简单的情况,把收入看作产量的线性函数(价格不随产量而变化),也就是R = pq ,它的图形就是下面这样图形说明销售数量越多收入越多,这是一条单调增加的直线.还有一个函数就是利润函数,利润函数大家也容易理解,因为在收入中减去成本得到的就是利润. 既然成本是产量q 的函数,收入也是q 的函数,那么利润也是q 的函数.即 L (q ) = R (q ) −C (q )qq L L )(= (1) L (q ) > 0 盈利(2) L (q ) < 0 亏损(3) L (q ) = 0 盈亏平衡q O满足L (q ) = 0的q 0称为盈亏平衡点(又称保本点).在假设成本函数和收入函数都是线性函数的情况下来做一些分析:C = c 0 + c 1q ,R = pq它们的图形是两条直线的交点表示收入与成本相等,q 0就是盈亏平衡点.如果两条直线出现了下面这种情况此时两条直线没有交点,也就是没有盈亏平衡点.为了找到盈亏平衡点,我们可以采取两种手段,一种是提高价格;另一种是降低变动成本c 1.这两种手段都可以重新找到盈亏平衡点.从几何上看,增加直线R 的斜率或减小直线C 的斜率都可以使两条直线重新相交.从以上分析可以看出数学工具在经济分析中的作用.例2 某商品的成本函数与收入函数分别为:q C 521+=,q R 8=求该商品的盈亏平衡点.解:q q C 521)(+=,q q R 8)(=,)()(q R q C =q q 8521=+, qOqOq O q O。
课程教学大纲审核表《经济数学基础》教学大纲学时数:198 学分:适用专业:财经类、土建类一、课程的性质、目的和任务《经济数学基础》是财务会计与工程管理类专业学生的一门重要的基础必修课。
它是为培养适应四个现代化需要的、符合社会主义市场经济要求的高职高专应用型经济管理人才服务的。
通过本课程的学习,使学生获得微积分、概率统计和线性代数的基本知识,培养学生的基本运算能力,增强学生用定性与定量相结合的方法处理经济问题的初步能力。
并为学习本专业的后继课程和今后工作需要打下必要的数学基础。
通过本课程的学习,使学生:1. 对极限的思想和方法有初步认识,对具体与抽象、特殊与一般、有限与无限等辩证关系有初步的了解,初步掌握微积分的基本知识、基本理论和基本技能,建立变量的思想,培养辩证唯物主义观点,并受到运用变量数学方法解决简单实际问题的初步训练。
2. 初步认识概率统计是研究随机现象数量规律性的学科,初步掌握有关的基本知识和处理随机现象的基本方法。
3. 初步熟悉线性代数的研究方法,提高学生抽象思维、逻辑推理以及运算能力。
二、课程教学内容及基本要求1.函数、极限和连续(1)理解函数概念,复合函数,分段函数,反函数;理解函数的单调性、奇偶性、有界性、周期性;(2)掌握基本初等函数及其性质;(3)掌握极限的定义,左右极限,无穷大量、无穷小量的概念及其相互关系;掌握极限的四则运算,两个重要极限;(4)掌握连续函数的定义和四则运算,间断点;(5)理解需求与供给函数的概念,会用函数关系描述经济问题(成本函数、收益函数、利润函数、复利公式);(6)掌握无穷小的比较;掌握利用两个重要极限求极限;会判断间断点的类型、求连续函数和分段函数的极限。
2. 导数与微分(1)理解导数定义,了解导数的几何意义,会求曲线的切线方程;(2)熟练掌握导数基本公式和运算法则,熟练掌握复合函数求导法、隐函数求导法;了解高阶导数的概念,会求函数的二阶导数;(3)理解微分概念,会求函数的微分;(4)了解边际及弹性的概念,熟练掌握边际函数和需求弹性的求法;(5)掌握函数单调性的判别方法,会求函数的单调区间;了解函数极值的概念,知道函数极值存在的必要条件,掌握极值点的判别方法,会求函数的极值;熟练掌握求经济问题中的最大值和最小值的方法。
函数基础知识大全§1.2.1、函数的概念1、 设A 、B 是非空的数集,如果按照某种确定的对应关系f ,使对于集合A 中的任意一个数x ,在集合B中都有惟一确定的数()x f 和它对应,那么就称B A f →:为集合A 到集合B 的一个函数,记作:()A x x f y ∈=,.2、 一个函数的构成要素为:定义域、对应关系、值域.如果两个函数的定义域相同,并且对应关系完全一致,则称这两个函数相等.3.两个函数的相等:函数的定义含有三个要素,即定义域A 、值域C 和对应法则f .当函数的定义域及从定义域到值域的对应法则确定之后,函数的值域也就随之确定.因此,定义域和对应法则为函数的两个基本条件,当且仅当两个函数的定义域和对应法则都分别相同时,这两个函数才是同一个函数. §1.2.2、函数的表示法1、 函数的三种表示方法:解析法、图象法、列表法. 1.函数的三种表示法(1)解析法:就是把两个变量的函数关系,用一个等式来表示,这个等式叫做函数的解析表达式,简称解析式.(2)列表法:就是列出表格来表示两个变量的函数关系. (3)图象法:就是用函数图象表示两个变量之间的关系. 2.求函数解析式的题型有:(1)已知函数类型,求函数的解析式:待定系数法;(2)已知()f x 求[()]f g x 或已知[()]f g x 求()f x :换元法、配凑法; (3)已知函数图像,求函数解析式;(4)()f x 满足某个等式,这个等式除()f x 外还有其他未知量,需构造另个等式解方程组法; (5)应用题求函数解析式常用方法有待定系数法等. 求函数解析式的常用方法: 1、换元法( 注意新元的取值范围)2、待定系数法(已知函数类型如:一次、二次函数、反比例函数等)3、整体代换(配凑法) 4.赋值法:3.映射的定义:一般地,设A 、B 是两个集合,如果按照某种对应关系f ,对于集合A 中的任何一个元素,在集合B 中都有唯一的元素和它对应,那么,这样的对应(包括集合A 、B ,以及集合A 到集合B 的对应关系f )叫做集合A 到集合B 的映射,记作f :A →B.由映射和函数的定义可知,函数是一类特殊的映射,它要求A 、B 非空且皆为数集.4.映射的概念中象、原象的理解:(1) A 中每一个元素都有象;(2)B 中每一个元素不一定都有原象,不一定只一个原象;(3)A 中每一个元素的象唯一。
第一单元 原函数的概念一、学习目标通过本节课的学习,理解原函数的概念.二、内容讲解这节课我们讲原函数的概念,先来看什么是原函数. 已知 求 总成本函数 边际成本 C (x ) C '(x )‖( ) MC( )' = MC求 已知已知总成本C (x ),求边际成本C '(x ),就是求导数.反之如果已知边际成本,用MC 表示,要求总成本,这就是我们要讨论的问题,也就是要知道哪一个函数的导数等于MC .我们引进一个概念:定义1.1——原函数若对任何x ∈D ,F '(x )=f (x ),则称F (x )为f (x )的原函数. 我们来看具体的问题:例如(x 3)' =3x 2 [F (x ) f (x )];∴x 3是3x 2的原函数.大家用自己的方法把它搞清楚,不要和导数的概念搞混了. 先考虑这样一个问题:x 2的原函数是哪个?由原函数的概念我们就要看哪个函数的导数是x 2,即它使得x 2)(='成立,我们在下列函数中进行选择:12,ln ,4,1,222+-+xx x x 经验证知21x +和42-x 是2x 的原函数.通过这个过程应该弄清,求已知函数的原函数,就是看哪个函数的导函数是已知函数,这个函数就是所求的原函数.另外,2x 的原函数不唯一.它告诉我们原函数不止一个. 再从另一方面提出问题:x sin 为哪个函数的原函数?x x cos )(sin =',说明x sin 是x cos 的原函数.同样x x cos )3(sin ='+,说明3sin +x 是x cos 的原函数.事实上,c x +sin 都是x cos 的原函数,说明原函数有无穷多个.那怎样求出一个函数的所有原函数呢?这是下面要讨论的.若)(,)(x G x F 都是)(x f 的原函数,则c x F x G +=)()( 证:设)()()(x G x F x H -=0)()()()()(=-='-'='x f x f x G x F x H可知c x H -=)(,即c x F x G +=)()(这个结论非常重要,我们已经知道,若)(x F 是)(x f 的原函数,则c x F +)(都是)(x f 的原函数.而这个结论告诉我们任意两个原函数之间差一个常数.所以只要求出一个原函数,就能得到所有原函数.问题思考1:如果一个函数)(x f 有原函数,它可能有多少个原函数? 答案有无穷多个原函数.问题思考2:)(x F 是)(x f 的原函数,c x F +)(是否包含了)(x f 的所有原函数? 答案是,因为)(x f 的任一原函数)(x G 都可表示为c x F +)(的形式.三、例题讲解例1求x 1的全体原函数.分析:先求一个原函数,再将这个原函数加任意常数就得到全体原函数.求原函数就是看哪个函数的导数是x 1.解:因为x x 1)(ln =',所以x ln 是x 1的一个原函数.故x1的全体原函数为x ln +c 。
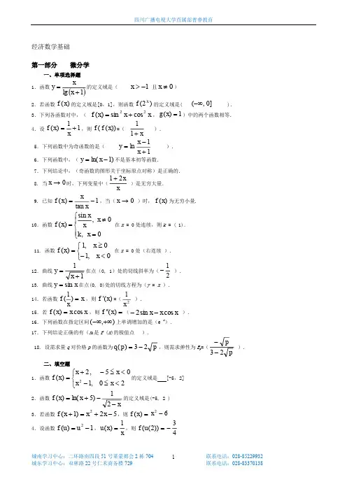
1经济数学基础综合练习及参考答案第一部分 微分学一、单项选择题 1.函数()1lg +=x xy 的定义域是(1->x 且0≠x). .2.若函数)(x f 的定义域是[0,1],则函数)2(xf 的定义域是(]0,(-∞ ).3.下列各函数对中,( x x x f 22cos sin )(+=,1)(=x g )中的两个函数相等.4.设11)(+=xx f ,则))((x f f =(11++xx).5.下列函数中为奇函数的是( 11ln+-=x x y).6.下列函数中,()1ln(-=x y )不是基本初等函数.7.下列结论中,( 奇函数的图形关于坐标原点对 )是正确的. 8. 当x →0时,下列变量中(xx 21+ )是无穷大量. 9. 已知1tan )(-=xxx f ,当( x →0 )时,)(x f 为无穷小量.10.函数sin ,0(),0xx f x xk x ⎧≠⎪=⎨⎪=⎩ 在x = 0处连续,则k = ( 1).11. 函数⎩⎨⎧<-≥=0,10,1)(x x x f 在x = 0处(右连续 ).12.曲线11+=x y 在点(0, 1)处的切线斜率为( 21- ).13. 曲线x y sin =在点(0, 0)处的切线方程为(y =x ).14.若函数x x f =)1(,则)(x f '=(-21x ).15.若xx x f c o s )(=,则='')(x f ( x x x cos s i n 2-- ).16.下列函数在指定区间(,)-∞+∞上单调增加的是(e x).17.下列结论正确的有( x 0是f (x )的极值点,且f '(x 0)存在,则必有f '(x 0) = 0 ).18. 设需求量q 对价格p 的函数为p p q 23)(-=,则需求弹性为E p =(--pp32 ).二、填空题1.函数⎩⎨⎧<≤-<≤-+=20,105,2)(2x x x x x f 的定义域是[-5,2]2.函数xx x f --+=21)5ln()(的定义域是(-5, 2 )3.若函数52)1(2-+=+x x x f ,则=)(x f 62-x .4.设函数1)(2-=u u f ,xx u 1)(=,则=))2((u f 43-.5.设21010)(x x x f -+=,则函数的图形关于 y 轴对称.6.已知生产某种产品的成本函数为C (q ) = 80 + 2q ,则当产量q = 50时,该产品的平均成本为3.6 .7.已知某商品的需求函数为q = 180 – 4p ,其中p 为该商品的价格,则该商品的收入函数R (q ) = 45q – 0.25q 2 . 8. =+∞→xx x x sin lim1 .9.已知x x x f sin 1)(-=,当0→x 时,)(x f 为无穷小量.10. 已知⎪⎩⎪⎨⎧=≠--=1111)(2x a x x x x f ,若f x ()在),(∞+-∞内连续,则=a 2 .11. 函数1()1e xf x =-的间断点是0x =.12.函数)2)(1(1)(-+=x x x f 的连续区间是)1,(--∞),2(∞+.)1处的切线斜率是(1)0.5y '=14.函数y = x 2 + 1的单调增加区间为(0, +∞)15.已知x x f 2ln )(=,则[f =0 .16.函数y x =-312()的驻点是x =1.17.需求量q 对价格p 的函数为2e 100)(pp q -⨯=,则需求弹性为E p =2p-.18.已知需求函数为pq 32320-=,其中p 为价格,则需求弹性E p =10-p p.三、计算题(答案在后面)1.423lim222-+-→x x x x 2.231lim21+--→x x x x 3.x → 4.2343limsin(3)x x x x →-+- 52)1tan(lim 21-+-→x x x x 6.))32)(1()23()21(lim 625--++-∞→x x x x x x 7.已知y xxx cos 2-=,求)(x y ' . 8.已知)(x f x x x ln sin 2+=,求)(x f ' . 9.已知x y cos 25=,求)2π(y ';10.已知y =32ln x ,求y d . 11.设x y x5sin cos e +=,求y d .12.设xx y -+=2tan 3,求y d .13.已知2sin 2cos x y x -=,求)(x y ' .14.已知xx y 53e ln -+=,求)(x y ' . 15.由方程2e e )1ln(=++xy x y 确定y 是x 的隐函数,求)(x y '.16.由方程0e sin =+yx y 确定y 是x 的隐函数,求)(x y '.17.设函数)(x y y =由方程y x y e 1+=确定,求0d d =x xy.18.由方程x y x y =++e )cos(确定y是x 的隐函数,求y d .四、应用题(答案在后面) 1.设生产某种产品x个单位时的成本函数为:x x x C 625.0100)(2++=(万元),求:(1)当10=x 时的总成本、平均成本和边际成本;(2)当产量x为多少时,平均成本最小?2.某厂生产一批产品,其固定成本为2000元,每生产一吨产品的成本为60元,对这种产品的市场需求规律为q p =-100010(q 为需求量,p 为价格).试求:(1)成本函数,收入函数; (2)产量为多少吨时利润最大?3.设某工厂生产某产品的固定成本为50000元,每生产一个单位产品,成本增加100元.又已知需求函数p q 42000-=,其中p 为价格,q 为产量,这种产品在市场上是畅销的,试求:(1)价格为多少时利润最大?(2)最大利润是多少? 4.某厂生产某种产品q 件时的总成本函数为C (q ) = 20+4q +0.01q 2(元),单位销售价格为p = 14-0.01q (元/件),试求:(1)产量为多少时可使利润达到最大?(2)最大利润是多少?5.某厂每天生产某种产品q件的成本函数为9800365.0)(2++=q q q C (元).为使平均成本最低,每天产量应为多少?此时,每件产品平均成本为多少? 6.已知某厂生产q件产品的成本为C q q q ()=++25020102(万元).问:要使平均成本最少,应生产多少件产品? 三、极限与微分计算题(答案) 1.解423lim222-+-→x x x x =)2)(2()1)(2(lim2+---→x x x x x =)2(1lim2+-→x x x = 412.解:231lim21+--→x x x x =)1)(2)(1(1lim 1+---→x x x x x=21)1)(2(1lim1-=+-→x x x3.解l ix →0x → =xx x x x 2sin lim)11(lim 00→→++=2⨯2 = 44.解 2343lim sin(3)x x x x →-+-=3(3)(1)lim sin(3)x x x x →---=333limlim(1)sin(3)x x x x x →→-⨯--= 25.解)1)(2()1tan(lim2)1tan(lim121-+-=-+-→→x x x x x x x x1)1tan(lim21lim11--⋅+=→→x x x x x 31131=⨯= 6.解))32)(1()23()21(lim 625--++-∞→x x x x x x =))32)(11()213()21(lim 625xx x x xx --++-∞→=2323)2(65-=⨯-7.解:2y '(x )=)cos 2('-xx x =2cos sin 2ln 2x xx x x --- =2cos sin 2ln 2x xx x x ++8.解xx x x f x x 1cos 2s i n 2ln 2)(++⋅=' 9.解 因为5ln 5sin 2)cos 2(5ln 5)5(cos 2cos 2cos 2x x x x x y -='='='所以5ln 25ln 52πsin 2)2π(2πcos2-=⋅-='y10.解 因为 )(ln )(ln 3231'='-x x y331ln 32)(ln 32xx x x ==- 所以x xx y d ln 32d 3=11.解 因为)(cos cos 5)(sin e4sin '+'='x x x y xx x x xsin cos 5cos e4sin -=所以x x x x y xd )sin cos 5cos e(d 4sin -=12.解 因为)(2ln 2)(cos 1332'-+'='-x x xy x2ln 2cos 3322x xx--=所以 x xx y x d )2ln 2cos 3(d 322--=13.解 )(cos )2(2sin )(22'-'-='x x x y x x2cos 22ln 2sin 2x x x x --=14.解:)5(e )(ln ln 3)(52'-+'='-x x x x y xx xx525e ln 3--=15.解 在方程等号两边对x 求导,得 )e ()e (])1ln([2'='+'+xy x y0)(e 1)1ln(='+++++'y x y xyx y xyxy xyy xyy x x e 1]e )1[ln(-+-='++故]e )1)[ln(1(e )1(xyxyx x x y x y y +++++-='16.解 对方程两边同时求导,得0e e cos ='++'y x y y yyyyy x y e)e (cos -='+)(x y '=yyx y e cos e +-.17.解:方程两边对x 求导,得 y x y yy '+='e eyy x y e1e-='当0=x 时,1=y所以,d d =x xye e 01e 11=⨯-=18.解 在方程等号两边对x 求导,得)()e (])[cos('='+'+x y x y1e ]1)[sin(='+'++-y y y x y)sin (1)]sin(e [y x y y x y++='+-)sin(e )sin(1y x y x y y +-++='故x y x y x y yd )sin(e )sin(1d +-++=四、应用题(答案)1.解(1)因为总成本、平均成本和边际成本分别为:x x x C 625.0100)(2++=625.0100)(++=x xx C ,65.0)(+='x x C所以,1851061025.0100)10(2=⨯+⨯+=C5.1861025.010100)10(=+⨯+=, 116105.0)10(=+⨯='C(2)令25.0100)(2=+-='xx ,得20=x (20-=x 舍去)因为20=x 是其在定义域内唯一驻点,且该问题确实存在最小值,所以当=x 20时,平均成本最小.2.解 (1)成本函数C q ()= 60q +2000.因为 qp =-100010,即p q =-100110, 所以 收入函数R q ()=p ⨯q =(100110-q )q =1001102q q -. (2)因为利润函数L q ()=R q ()-C q ()=1001102qq --(60q +2000)= 40q -1102q -2000 且'L q ()=(40q -1102q -2000')=40-0.2q令'L q ()= 0,即40- 0.2q = 0,得q = 200,它是L q ()在其定义域内的唯一驻点. 所以,q = 200是利润函数L q ()的最大值点,即当产量为200吨时利润最大.3.解 (1)C (p ) = 50000+100q = 50000+100(2000-4p ) =250000-400pR (p ) =pq = p (2000-4p )= 2000p -4p 2利润函数L (p ) = R (p ) - C (p ) =2400p -4p 2 -250000,且令)(p L '=2400 – 8p = 0得p =300,该问题确实存在最大值. 所以,当价格为p =300元时,利润最大.(2)最大利润1100025000030043002400)300(2=-⨯-⨯=L (元).4.解 (1)由已知201.014)01.014(q q q q qp R -=-==利润函数22202.0201001.042001.014q q q q q q C R L --=----=-=则q L 04.010-=',令004.010=-='q L ,解出唯一驻点250=q .因为利润函数存在着最大值,所以当产量为250件时可使利润达到最大,(2)最大利润为1230125020250025002.02025010)250(2=--=⨯--⨯=L (元)5. 解 因为 C q ()=C q q ()=05369800.q q++(q >0)'C q ()=(.)05369800q q++'=0598002.-q令'C q ()=0,即0598002.-q =0,得q 1=140,q 2=-140(舍去).q 1=140是C q ()在其定义域内的唯一驻点,且该问题确实存在最小值. 所以q 1=140是平均成本函数C q ()的最小值点,即为使平均成本最低,每天产量应为140件. 此时的平均成本为C ()140=05140369800140.⨯++=176 (元/件) 6.解 (1) 因为 C q ()=C q q ()=2502010q q ++'C q ()=()2502010qq ++'=-+2501102q令'C q ()=0,即-+=2501100q ,得q 1=50,q 2=-50(舍去),q 1=50是C q ()在其定义域内的唯一驻点.所以,q 1=50是q ()的最小值点,即要使平均成本最少,应生产50件产品.。
国开(中央电大)专科《经济数学基础12》网上形考任务1至2试题及答案形考任务1 试题及答案题目1:函数的定义域为().答案:题目1:函数的定义域为().答案:题目1:函数的定义域为().答案:题目2:下列函数在指定区间上单调增加的是().答案:题目2:下列函数在指定区间上单调增加的是().答案:题目2:下列函数在指定区间上单调减少的是().答案:题目3:设,则().答案:题目3:设,则().答案:题目3:设,则=().答案:题目4:当时,下列变量为无穷小量的是().答案:题目4:当时,下列变量为无穷小量的是().答案:题目4:当时,下列变量为无穷小量的是().答案:题目5:下列极限计算正确的是().答案:题目5:下列极限计算正确的是().答案:题目5:下列极限计算正确的是().答案:题目6:().答案:0题目6:().答案:-1题目6:().答案:1题目7:().答案:题目7:().答案:().题目7:().答案:-1题目8:().答案:题目8:().答案:题目8:().答案:().题目9:().答案:4题目9:().答案:-4题目9:(). 答案:2题目10:设在处连续,则().答案:1题目10:设在处连续,则().答案:1题目10:设在处连续,则().答案:2题目11:当(),()时,函数在处连续.答案:题目11:当(),()时,函数在处连续.答案:题目11:当(),()时,函数在处连续.答案:题目12:曲线在点的切线方程是().答案:题目12:曲线在点的切线方程是().答案:题目12:曲线在点的切线方程是().答案:题目13:若函数在点处可导,则()是错误的.答案:,但题目13:若函数在点处可微,则()是错误的.答案:,但题目13:若函数在点处连续,则()是正确的.答案:函数在点处有定义题目14:若,则().答案:题目14:若,则().答案:1题目14:若,则().答案:题目15:设,则().答案:题目15:设,则().答案:题目15:设,则().答案:题目16:设函数,则(). 答案:题目16:设函数,则(). 答案:题目16:设函数,则(). 答案:题目17:设,则().答案:题目17:设,则().答案:题目17:设,则().答案:题目18:设,则().答案:题目18:设,则().答案:题目18:设,则().答案:题目19:设,则().答案:题目19:设,则().答案:题目19:设,则().答案:题目20:设,则().答案:题目20:设,则().答案:题目20:设,则().答案:题目21:设,则().答案:题目21:设,则().答案:题目21:设,则().答案:题目22:设,方程两边对求导,可得().答案:题目22:设,方程两边对求导,可得().答案:题目22:设,方程两边对求导,可得().答案:题目23:设,则().答案:题目23:设,则().答案:题目23:设,则().答案:-2题目24:函数的驻点是().答案:题目24:函数的驻点是().答案:题目24:函数的驻点是().答案:题目25:设某商品的需求函数为,则需求弹性().答案:题目25:设某商品的需求函数为,则需求弹性().答案:题目25:设某商品的需求函数为,则需求弹性().答案:形考任务2 试题及答案题目1:下列函数中,()是的一个原函数.答案:下列函数中,()是的一个原函数.答案:下列函数中,()是的一个原函数.答案:题目2:若,则(). 答案:若,则().答案:若,则(). 答案:题目3:(). 答案:题目3:().答案:题目3:(). 答案:题目4:().答案:题目4:().答案:题目4:().答案:题目5:下列等式成立的是().答案:题目5:下列等式成立的是().答案:题目5:下列等式成立的是().答案:题目6:若,则()答案:题目6:若,则().答案:题目6:若,则(). 答案:题目7:用第一换元法求不定积分,则下列步骤中正确的是().答案:题目7:用第一换元法求不定积分,则下列步骤中正确的是().答案:题目7:用第一换元法求不定积分,则下列步骤中正确的是().答案:题目8:下列不定积分中,常用分部积分法计算的是().答案:题目8:下列不定积分中,常用分部积分法计算的是().答案:题目8:下列不定积分中,常用分部积分法计算的是().答案:题目9:用分部积分法求不定积分答案:题目9:用分部积分法求不定积分答案:题目9:用分部积分法求不定积分答案:题目10:答案 0题目11:设,则(). 答案:题目11:设,则().答案:题目11:设,则(). 答案:题目12:下列定积分计算正确的是().答案:答案:答案:题目13:下列定积分计算正确的是().答案:答案:答案:题目14:计算定积分,则下列步骤中正确的是().答案:题目14:().答案:题目14:().答案:题目15:用第一换元法求定积分答案:题目15:用第一换元法求定积分答案:题目15:用第一换元法求定积分答案:题目16:用分部积分法求定积分答案:题目16:用分部积分法求定积分答案:题目16:用分部积分法求定积分答案:题目17:下列无穷积分中收敛的是().答案:答案:答案:题目18:求解可分离变量的微分方程答案:题目18:求解可分离变量的微分方程答案:题目18:求解可分离变量的微分方程答案:题目19:根据一阶线性微分方程的通解公式求解答案:题目19:根据一阶线性微分方程的通解公式求解答案:题目19:根据一阶线性微分方程的通解公式求解答案:题目20:微分方程满足的特解为().答案:题目20:微分方程满足的特解为().答案:题目20:微分方程满足的特解为().答案:。