2018经济数学基础考试知识点复习考点归纳总结(完整版知识点复习考点归纳总结)
- 格式:doc
- 大小:2.87 MB
- 文档页数:25
第一章函数与极限1.理解函数概念。
(1)掌握求函数定义域的方法,会求初等函数的定义域和函数值。
函数的定义域就是使函数有意义的自变量的变化范围。
学生要掌握常见函数的自变量的变化范围,如分式的分母不为0,对数的真数大于0,偶次根式下表达式大于0,等等。
(2)理解函数的对应关系f 的含义:f 表示当自变量取值为x 时,因变量y 的取值为f (x )。
(3)会判断两函数是否相同。
(4)了解分段函数概念,掌握求分段函数定义域和函数值的方法。
2.掌握函数奇偶性的判别,知道它的几何特点。
判断函数是奇函数或是偶函数,可以用定义去判断,即(1)若)()(x f x f =-,则)(x f 为偶函数;(2)若)()(x f x f -=-,则)(x f 为奇函数。
也可以根据一些已知的函数的奇偶性,再利用“奇函数±奇函数、奇函数×偶函数仍为奇函数;偶函数±偶函数、偶函数×偶函数、奇函数×奇函数仍为偶函数”的性质来判断。
3.了解复合函数概念,会对复合函数进行分解。
4.知道初等函数的概念,牢记常数函数、幂函数、指数函数、对数函数和三角函数(正弦、余弦、正切和余切)的解析表达式、定义域、主要性质。
基本初等函数的解析表达式、定义域、主要性质在微积分中常要用到,一定要熟练掌握。
5.了解需求、供给、成本、平均成本、收入和利润函数的概念。
6.知道一些与极限有关的概念(1)知道函数在某点极限存在的充分必要条件是该点左右极限都存在且相等;(2)了解无穷小量的概念,知道无穷小量的性质;(3)了解函数在某点连续的概念,了解“初等函数在定义区间内连续”的结论;会判断函数在某点的连续性,会求函数的间断点。
第二章导数及其应用1.知道一些与导数有关的概念(1)会求曲线的切线方程(2)知道可导与连续的关系(可导的函数一定连续,连续的函数不一定可导)2.熟练掌握求导数或微分的方法。
(1)利用导数(或微分)的基本公式(2)利用导数(或微分)的四则运算(3)利用复合函数微分法3.会求函数的二阶导数。
《经济数学基础》期末复习资料.doc经济数学基础期末复习指导—>复习要求和重点第1章函数1.理解函数概念,了解函数的两要素——定义域和对应关系,会判断两函数是否相同。
2.掌握求函数定义域的方法,会求函数值,会确定函数的值域。
3.掌握函数奇偶性的判别,知道它的几何特点。
4.了解复合函数概念,会对复合函数进行分解,知道初等函数的概念。
5.了解分段函数概念,掌握求分段函数定义域和函数值的方法。
6.理解常数函数、眼函数、指数函数、对数函数和三角函数(正弦、余弦、正切和余切)。
7.了解需求、供给、成木、平均成本、收入和利润等经济分析中常见的函数。
本章重点:函数概念,函数的奇偶性,几类基本初等函数。
第2章一?元函数微分学1.知道极限概念(数列极限、函数极限、左右极限),知道极限存在的充分必要条件:lim f (x) = A <=> lim /(x) = * 且lim /(x) = AA—>A0V;2.了解无穷小量概念,了解无穷小量与无穷大量的关系,知道有界变量乘无穷小量仍为无穷小量,即limxsin— = 0。
3.掌握极限的四则运算法则,掌握两个重要极限,掌握求极限的一般方?法。
两个重要极限的一般形式是:.. sina(x) ,lim ------- ---- = 1心T O 6Z(X)| —lim (1 + ——)机对=e, lim (l + a(x))°⑴=e(p(x) Q(X)~>04.了解函数在一点连续的概念,知道左连续和右连续的概念。
知道函数在一点间断的概念,会求函数的间断点。
5.理解导数定义,会求曲线的切线。
知道可导与连续的关系。
6.熟练掌握导数基本公式、导数的四则运算法则、复合函数求导法则,掌握求简单隐函数的导数。
7.了解微分概念,即dy = y f dx o会求函数的微分。
8.知道高阶导数概念,会求函数的二阶导数。
本章重点:极限概念,极限、导数和微分的计算。
经济数学基础期末复习第1章函数复习知识点:函数的概念、函数的奇偶性、复合函数、分段函数、基本初等函数和初等函数、经济分析中的儿个常见函数、建立函数关系式复习要求:(1)理解函数概念,掌握求函数定义域的方法,会求初等函数的定义域和函数值:(2)了解复合函数概念,会对复合函数进行分解;(3)了解分段函数概念,掌握求分段函数定义域和函数值的方法;(4)知道初等函数的概念,理解常数函数、幕函数、指数函数、对数函数和三角函数(止弦、余弦、正切和余切)的解析表达式、定义域、主要性质及图形;(5)了解需求、供给、成本、平均成本、收入和利润函数的概念;下而我们来看例题.例1 设/(x) = x + l,则/(/(x) +1)=( ).A. xB. x+ 1 C・ x + 2 D・ x + 3解由于 /(尢)=无+1,得 /(/(兀)+ 1)=(/(劝 + 1) + 1 = /(兀)+ 2将/(尢)=尤+ 1代入,得/(/(尢)+ i)二(兀+1)+ 2 =尢+ 3正确答案:D例2下列函数中,( )不是基本初等函数./1、v , 7 sin 兀 3 FTA. y = (―)B. y = lnx~C. y = -----------------------------D. y = six'' e " ‘ cos x解因为y = Inx2是由y = lnw, u = x2复合组成的,所以它不是基本初等函数.正确答案:Bfcos X. x < 0例3设函数f(x)=,则( ).[0, x > 0TT 7TA. /(-—) = /(—)B. /(0) = /(2龙)4 4C. /(0) = /(-2龙)D. /(y) = -^-4 2解因为一2龙v 0 ,故/(-2zr) = cos(-2兀)=1且/(0) = 1,所以 /(()) = /(—2龙)正确答案:C例4生产某种产品的固定成本为1万元,每生产一个该产品所需费用为20元,若该产品出售的单价为30元,试求:(1)生产尢件该种产品的总成本和平均成本;(2)售出尢件该种产品的总收入;(3)若生产的产品都能够售出,则生产x件该种产品的利润是多少?解(1)生产兀件该种产品的总成本为C(Q = 10000 +20,平均成本为:C(x) =巴叫+ 20・x(2)售出兀件该种产品的总收入为:R(x) = 30x.(3)生产x件该种产品的利润为:L(x) = R(Q — C(x) = 30x-(10000 + 20兀)=10x-10000第2章一元函数微分学复习知识点:极限的概念、无穷小量与无穷大量、极限的四则运算法则、两个重耍极限、函数的连续性和间断点、导数的定义、导数的儿何意义、导数基本公式和导数的四则运算法则、复合函数求导法则、高阶导数、微分的概念及运算法则复习要求:(1)了解极限概念,知道函数在某点极限存在的充分必要条件是该点左右极限都存在且相等;(2)了解无穷小量的概念,了解无穷小量与无穷大量的关系,知道无穷小量的性质;(3)棠握极限的四则运算法则,棠握两个重要极限,学握求简单极限的常用方法;(4)了解函数在某点连续的概念,知道左连续和右连续的概念,知道连续与极限;会判断函数在某点的连续性;(5)理解导数定义,会求曲线的切线方程,知道可导与连续的关系;(6)熟练掌握导数基本公式、导数的四则运算法则、复合函数求导法则,掌握求简单的隐函数导数的方法;(7)知道微分的概念,会求函数的微分;(8)知道高阶导数概念,会求函数的二阶导数.下而我们举一些例题复习本章的重点内容.例5 极限lim%sin — = _________ .go x解因为当XT 0时,兀是无穷小量,sin丄是有界变量.故当兀_>0时,兀sin —仍然是无穷小量.所以limxsin—= 0.X XTO x正确答案:0例6 若lim /(x) = A ,则f(x)在点处( )XT%A.有定义B.没有定义C.极限存在D.有定义,且极限存在解函数在一点处有极限与函数在该点处有无定义无关.正确答案:C兀 +1x > 0 例7当k时,f(x) = \ .在尢=0处仅仅是左连续.[x 2+kx<0解因为函数是左连续的,即/(0_)= lim(x+l) = l = /(0)A->0-若/(0+)= Iim(,+Q = R = 1XT O 十即当£ = 1时,/(x )在x = 0不仅是左连续,而且是连续的. 所以,只有当k^\时,/(尢)在x = 0仅仅是左连续的. 正确答案:H 1解 因为/(.r ) = cos-是常数函数,常数函数是可导的,而且它的导数是0. 4所以由导数定义可得lim /(X +^)-/(A )=r (0)=() 心 TO Ax正确答案:A注意:这里的/(x ) = cos-不是余弦函数.4例9曲线y = %5 - x 在点(1, 0 )处的切线是().A. y = 2x-2B. y = -2x + 2C. y = 2 兀 + 2D. y = —2x — 2解由导数的定义和它的几何意义可知,y\\) = (x 3-xY\ =(3x 2-l )|=2X=1X=1是曲线y = x 3-X 在点(1, 0)处的切线斜率,故切线方程是y-0 = 2(x-1),即 y = 2x 一2正确答案:A例10已知y = *“,则-()・A. x 3 B ・ 3x 2 C. 6x D. 6A. 0若/(尢)=COS—则]饰/(2)7⑴ 心TOArC.• 71 -sin — D..71sin—解直接利用导数的公式计算:y' = (: X 4)' = r\ y" = (x 3), = 3x 2 4正确答案:B例11计算下列极限z、v V9 + sin3x -3(1)lim ----------------- 戈TO x3- r 1(3) lim( ---------------- )Z x 2-l x-\(l)解 对分子进行有理化,即分子、分母同乘j9 + sin3x + 3,然后利用第一重要极限和四则运算法则进行计算.即1. 79 +sin 3% -3 v (j9 + sin3x _ 3)(j9 + sin3兀 + 3) lim ---------------------- = lim - ------------- / --------------- 入 TO x so 9 + sin 3x + 3) ..sin 3x 1 1 1 = lim ------- x lim , ------ ------- 二3x —=— 工TO x V9 + sin3x + 3 6 2(2)解将分子、分母中的二次多项式分解因式,然后消去零因子,再用四则运算法 则和连续函数定义进行计算.即r (x — 1)4 — 1 3=lim - ------ = ------- =— XT 4 (兀 + 3) 4 + 3 7(3)解 先通分,然后消去零因子,再四则运算法则和连续函数定义进行计算.即=lim —— = -1Si % + 1 例12求下列导数或微分:设 y =(仮 +1)(^^ -1),求 dy . Qx 设 y = J^ + e v sin 兀,求 dy.iS y = COSA /X + ln ------- ,求・ 2x-l ・解因为丿=(頁+1)(厶一1)=一頁+厶A/XV X⑵ iin /「% + 4YT 4 无一 -X -\2— 5x + 4Jimcm)IT4 (X -4)(X + 3) (3— 兀)一(兀+1) 1)(1)(1)----- )= limx 一 1XT1dy = ----- —(I H—)dv2y/x X注意:求导数时,要先观察函数,看看能否将函数化简,若能,应将函数化简后再求导数, 简化计算过程.导数运算的重点是复合函数求导数,难点是复合函数求导数和隐函数求导数.(2)解因为)/_0严血才一1 +罕11兀+ 7宁兀2厶 + e v sin x 2 Jx + e v sin x所以d尸畑」2jx + e' sinx)(3)解y f = (cos- ln(2^- l))z-sin Vx •(V%)/ ------ -- =2x — 1一〔2頁绅后2-1】复合函数求导数要注意下而两步:①分清函数的复合步骤,明确所有的中间变量;②依照法则依次对屮间变量直至白变量求导,再把相应的导数乘起来.第3章导数的应用复习知识点:函数的单调性、函数的极值和最大(小)值、导数在经济问题中的应用复习要求:(1)掌握函数单调性的判别方法,会求函数的单调区间;(2)了解函数极值的概念,知道函数极值存在的必要条件,掌握极值点的判别方法,知道函数的极值点与驻点的区别与联系,会求函数的极值;(3)了解边际概念和需求弹性概念,掌握求边际函数的方法;(4)熟练学握求经济分析中的应用问题(如平均成本最低、收入最大和利润最大等).下面通过例题复习本章重点内容例13函数f(x) = x-\nx的单调增加区间是________________解因为= (x-[nxY=\- —x令y,(x) = l-->0,得X>\x故函数的单调增加区间是(l,+oo)・正确答案:(l,+oo)例14满足方程f(x) = 0的点是函数y = /(x)的().A.极大值点B.极小值点 解由驻点定义可知,正确答案:C 例15下列结论中()不正确.A. /(x)在x = x 0处连续,则一定在兀o 处可微.B. /⑴在x = x 0处不连续,则一定在兀o 处不可导.C. 可导函数的极值点一定发生在其驻点上.D. 若/(兀)在[G,刃内恒有f\x) < 0 ,则在⑷ 川内函数是单调下降的.解因为函数在一点处连续并不能保证在该点处可导,所以,正确答案:A求经济分析中的最值问题是本课程的重点之一,要掌握利用函数的导数求经济问题中的平 均成本最低、总收入最大、总利润最大等问题的方法.下面举一个求获得最大利润时的产量的应用问题,而其它两种类型的应用问题请大家自 己练习.例16生产某种产品g 台时的边际成本C'⑷= 2.5g + l()()()(元/台),固定成本500 元,若已知边际收入为= 2q + 2000,试求(1) 获得最大利润时的产量;(2) 从最大利润的产量的基础再生产100台,利润有何变化? 解(1) L'=R'-C‘二 2g + 2000 —(2.5q + 1000) =-0.5^ + 1000令r = 0,求得唯一驻点q = 2000 .因为驻点唯一,且利润存在着最大值,所以当产 量为2000时,可使利润达到最大.(2)在利润最大的基础上再增加100台,利润的改变量为「2100 1 。
三一文库( )*电大考试*经济数学基础微分函数一、单项选择题1.函数()1lg +=x xy 的定义域是( D ).A .1->xB .0≠xC .0>xD .1->x 且0≠x2.若函数)(x f 的定义域是[0,1],则函数)2(x f 的定义域是( C ).A .1],0[B .)1,(-∞C .]0,(-∞D )0,(-∞3.下列各函数对中,(D)中的两个函数相等.A .2)()(x x f =,x x g =)( B .11)(2--=x x x f ,x x g =)(+ 1C .2ln x y =,x x g ln 2)(=D .x x x f 22cos sin )(+=,1)(=x g4.设11)(+=xx f ,则))((x f f =( A ). A .11++x x B .x x +1 C .111++x D .x+115.下列函数中为奇函数的是( C).A .x x y -=2 B .x x y -+=e e C .11ln+-=x x yD .x x y sin =6.下列函数中,(C)不是基本初等函数.A .102=y B .x y )21(= C .)1ln(-=x y D .31xy =7.下列结论中,( C)是正确的.A .基本初等函数都是单调函数B .偶函数的图形关于坐标原点对称C .奇函数的图形关于坐标原点对称D .周期函数都是有界函数8. 当时,下列变量中( B )是无穷大量.A.001.0x B. x x21+ C. x D. x -29. 已知1tan )(-=xxx f ,当( A )时,)(x f 为无穷小量. A. B. 1→x C. -∞→x D. +∞→x10.函数sin ,0(),0xx f x x k x ⎧≠⎪=⎨⎪=⎩ 在x = 0处连续,则k = ( A ).A .-2B .-1C .1D .211. 函数⎩⎨⎧<-≥=0,10,1)(x x x f 在x = 0处( B ). A. 左连续 B. 右连续 C. 连续 D. 左右皆不连续12.曲线11+=x y 在点(0, 1)处的切线斜率为( A )A .21-B .21C .3)1(21+x D .3)1(21+-x13. 曲线x y sin =在点(0, 0)处的切线方程为( A ).A. y = xB. y = 2xC. y = 21x D. y = -x14.若函数x x f =)1(,则)(x f '=( B ).A .21xB .-21x C .x 1 D .-x 115.若x x x f cos )(=,则='')(x f ( D ). A .x x x sin cos + B .x x x sin cos -C .x x x cos sin 2+D .x x x cos sin 2--16.下列函数在指定区间上单调增加的是( B).A .sin xB .e xC .x 2D .3 - x17.下列结论正确的有( A ).A .x 0是f (x )的极值点,且f '(x 0)存在,则必有f '(x 0) = 0B .x 0是f (x )的极值点,则x 0必是f (x )的驻点C .若f '(x 0) = 0,则x 0必是f (x )的极值点D .使)(x f '不存在的点x 0,一定是f (x )的极值点18. 设需求量q 对价格p 的函数为p p q 23)(-=,则需求弹性为E p=( B ).A .B .C .D .19.函数()1lg +=x xy 的定义域是(D ).A .1->xB .0≠xC .0>xD .1->x 且0≠x20.函数x x x f -+-=4)1ln(1)(的定义域是( C )。
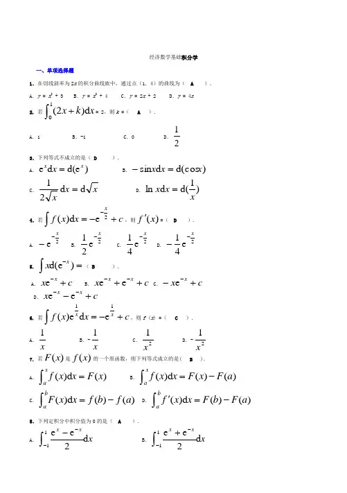
经济数学基础积分学一、单项选择题1.在切线斜率为2x 的积分曲线族中,通过点(1, 4)的曲线为( A ). A .y = x 2+ 3 B .y = x 2+ 4 C .y = 2x + 2 D .y = 4x 2. 若⎰+1d )2(xk x = 2,则k =( A ).A .1B .-1C .0D .213.下列等式不成立的是( D ).A .)d(e d e x x x =B .)d(cos d sin x x x =-C .x x xd d 21=D .)1d(d ln xx x =4.若c x x f x +-=-⎰2ed )(,则)(x f '=( D ).A. 2e x -- B. 2e 21x- C. 2e 41x- D. 2e 41x--5. =-⎰)d(e xx ( B ). A .c x x +-e B .c x x x ++--e e C .c x x +--eD .c x x x+---e e6. 若c x x f xx+-=⎰11e d e)(,则f (x ) =( C ).A .x1 B .-x1 C .21x D .-21x7. 若)(x F 是)(x f 的一个原函数,则下列等式成立的是( B ).A .)(d )(x F x x f x a =⎰ B .)()(d )(a F x F x x f xa-=⎰C .)()(d )(a f b f x x F ba-=⎰D .)()(d )(a F b F x x f ba-='⎰8.下列定积分中积分值为0的是( A ).A .x xx d 2e e 11⎰--- B .x x x d 2e e 11⎰--+C .x x xd )cos (3⎰-+ππ D .x x x d )sin (2⎰-+ππ9.下列无穷积分中收敛的是( C ).A .⎰∞+1d ln x x B .⎰∞+0d e x xC .⎰∞+12d 1x x D .⎰∞+13d 1x x10.设R '(q )=100-4q ,若销售量由10单位减少到5单位,则收入R 的改变量是( B ).A .-550B .-350C .350D .以上都不对 11.下列微分方程中,( D)是线性微分方程.A .y y yx '=+ln 2B .x xy y y e 2=+'C .y y x y e ='+''D .x y y x y x ln e sin ='-''12.微分方程0)()(432=+'''+'xy y y y 的阶是( C ).A. 4B. 3C. 2D. 1 13.在切线斜率为2x 的积分曲线族中,通过点(1, 3)的曲线为( C ).A .42+=x y B .32+=x y C .22+=x y D .12+=x y14.下列函数中,( C )是2sin x x 的原函数.A .-2cos 2x xB .2cos 2x x C .2cos 21x x - D .2cos 21x x 15.下列等式不成立的是( D).A .3ln )d(3d 3x xx = B .)d(cosd sin x x x =-C .x x xd d 21= D .)1d(d ln x x x = 16.若c x x f x +-=-⎰2ed )(,则)(x f '=( D ).A. 2e x-- B. 2e 21x- C. 2e 41x- D. 2e41x--17. =-⎰)d(e xx ( B ). A .c x x +-e B .c x x x ++--e e C .c x x +--e D .c x x x +---e e18. 若c x x f xx+-=⎰11e d e)(,则f (x ) =( C ).A .x 1B .-x 1C .21xD .-21x19. 若)(x F 是)(x f 的一个原函数,则下列等式成立的是( B ).A .)(d )(x F x x f xa =⎰B .)()(d )(a F x F x x f xa-=⎰C .)()(d )(a f b f x x F ba-=⎰D .)()(d )(a F b F x x f ba-='⎰20.下列定积分中积分值为0的是( A ).A .x xx d 2e e 11⎰--- B .x x x d 2e e 11⎰--+C .x x xd )cos (3⎰-+ππ D .x x x d )sin (2⎰-+ππ21.下列无穷积分中收敛的是( C ).A .⎰∞+0d sin x x B .⎰∞+0d e x xC .⎰∞+12d 1x x D .⎰∞+13d 1x x22.下列微分方程中,( D )是线性微分方程.A .y y yx '=+ln 2B .x xy y y e 2=+'C .y y x y e ='+''D .x y y x y x ln e sin ='-''23.微分方程0)()(432=+'''+'xy y y y 的阶是( C ).A. 4B. 3C. 2D. 124.设函数xxx x f cos 1sin )(2+=,则该函数是( A ).A. 奇函数B.偶函数C.非奇非偶函数D.既奇又偶函数25. 若42)1(2++=+x x x f ,则=')(x f ( A ).A. 22+xB. x 2C. 32+x D. 226. 曲线)sin (21x x y +=在0=x 处的切线方程为( A ). A .x y = B .x y -=C .1-=x yD .1--=x y27. 若)(x f 的一个原函数是x1, 则)(x f '=( D ).A .x ln B .x 1 C .21x - D .32x28. 若c x x x f x +=⎰22e d )(, 则=)(x f ( C ).A.x x 2e 2 B. x x 22e 2 C. )1(e 22x x x + D. x x 2e二、填空题 1.=⎰-x x d ed 2x x d e 2- .2.函数x x f 2sin )(=的原函数是-21cos2x + c (c 是任意常数) .3.若c x x x f ++=⎰2)1(d )(,则=)(x f )1(2+x .4.若c x F x x f +=⎰)(d )(,则x f xx )d e (e --⎰=cF x+--)e ( .5.=+⎰e 12dx )1ln(d d x x 0 . 6.=+⎰-1122d )1(x x x 0 .7.无穷积分⎰∞++02d )1(1x x 是 收敛的 .(判别其敛散性)8.设边际收入函数为R '(q ) = 2 + 3q ,且R (0) = 0,则平均收入函数为2 +q 23. 9.0e )(23='+''-y y x 是 2 阶微分方程.10.微分方程2x y ='的通解是c x y +=33. 11.=⎰-x x d e d 2x x d e 2-12.__________________d )cos (='⎰x x 。
2018年考研经济类联考数学必备知识点整理很多参加考研的考生对于数学三想必都不陌生,也了解经济类联考数学比数学三简单,但却不知道经济类联考数学考什么,所以凯程考研将经济类联考数学必考34点列举如下,供考生们参考。
正所谓知己知彼,百战不殆,在列举考点之前,同学们先看一下经济类联考数学试题特点:1、重基础:396经济类联考考题共70分,其中选择题10个,解答题10个;题目中80%的题目都是基础题,约占15个左右;所以要求考生对考研数学中的基本概念、基本理论、基本方法要非常熟悉。
2、知识面广:396经济类联考自2011年联考以来,时间不长,知识点还没有完全覆盖;所以对于考试大纲规定的考试范围内的,但试卷中还没有出现过的那部分内容,大家要尤为重视,它们可能作为未来考试中的考点出现。
3、重计算:396经济类联考的历年考试题目中还没有出现过考查证明题的,都是计算题,所以对考生的计算能力、计算的准确性、计算的方法要求较高,希望大家着重这方面的训练。
必考点:(一)微积分1、函数、极限、连续(1)求复合函数的定义域;(2)求函数表达式;(3)无穷小阶的比较;(4)利用等价无穷小替换、两个重要极限求极限;(5)求幂指函数的极限;(6)利用洛必达法则求极限;(7)分段函数在分段点处的连续性;(8)判断间断点类型;2、导数与微分(1)利用导数的四则运算法则、复合函数求导法则求导数与微分;(2)求分段函数在分段点处的导数;(3)一元函数隐函数求导;(4)一元函数的单调区间、极值、凹凸性、拐点、渐近线;(5)导数的经济应用;3、一元函数积分学(1)利用换元法与分部积分法计算不定积分;(2)利用换元法与分部积分法计算定积分;(3)变限积分求导;(4)定积分的几何应用;4、多元函数微分学(1)求二元函数的一阶偏导数;(2)求二元函数的全微分;(3)二元函数隐函数的求导。
(二)线性代数1、行列式和矩阵(1)矩阵的基本运算;(2)伴随矩阵的求法;(3)逆矩阵的求法。
2018中级经济基础知识要点汇总第一部分经济学第一章市场需求、供给和均衡价格1.需求是指在一定时间和一定价格条件下,消费者对某种商品或服务愿意而且能够购买的数量2.影响需求变动的基本因素:消费者偏好、消费者的个人收、产品价格、替代品的价格、互补品的价格、预期、其他因素3.影响需求最关键的因素还是:该商品本身的价格4.市场供给是所有生产者供给的总和5.影响供给的因素主要有:产品价格、生产成本、生产技术、预期、相关产品的价格、其他因素,包括生产要素的价格以及国家政策等6.市场上商品或服务的供给量和市场价格呈正向关系变化7.需求价格弹性指,需求量对价格变动的反应程度,是需求量变动百分比与价格变动百分比的比率8.通常可以把需求价格弹性分为三种:1)当需求变量百分数大于价格变动百分数,需求弹性大于1时,叫做需求富有弹性或高弹性;2)当需求变量百分数等于价格变动百分数,需求弹性等于1时,叫做需求单一弹性;3)当需求变量百分数小于价格变动百分数,需求弹性小于1时,叫做需求缺乏弹性;9.影响需求价格弹性的因素:替代品的数量和相近程度、商品的重要性、商品用途的多少、时间与需求价格弹性的大小至关重要10.影响供给价格弹性的因素:时间是决定供给弹性的首要因素、资金有机构成不同影响供给弹性的大小、供给弹性还受生产周期和自然条件的影响、投入品替代性大小和相似程度对供给弹性的影响也很大11.消费者收入变动与需求的变动呈同方向变化。
价格与需求之间的这种呈反向变化的关系,就叫需求规律。
12.供给与价格之间呈同方向变化关系。
价格与供给之间的这种呈同向变化的关系,就叫供给规律。
13.在其他条件不变的情况下,产品价格降低,供给将减少。
供给曲线是一条从左下方向右上方倾斜的曲线14.市场需求不变,供给的变动将引起均衡价格反方向变动,均衡数量同方向变动;市场供给不变,需求的变动将引起均衡价格和均衡数量同方向变动。
15.在我国,实行最高限价属于政府对市场价格的干预措施。
第一部分经济学基础
供给函数、供给规律
均衡价格
均衡
收入改变使预算线出现平行移动。
收入增加向右平移价格同比例下降向外旋转,价格同比例上升向内旋转
、效用最大化:两种商品的边际替代率
各种生产要素按照相同比例变化时所带来的产量变化,只有长时期才会影响生产规模。
超过最佳规模,规模报酬就会递减。
机会成本(放弃的最高收入)②显成本③隐成本,也是一种机会成本④经济利润(超额利润)⑤正常利润(隐成本的一部分)
②与长期成本函数两者区别:是否含有固定成本(长期无固定成本)
线的起点
决定因素:实际利率、预期收
经济增长率=工作小时数的增加率+每小时产出的增加率
全要素生产率(技术贡献率)→经济增长率→
第二部分财政
第三部分货币与金融
第四部分统计
①各组数值大小、各组分布频数多少②算术平均数易受极端值的影响真实性受到干扰
方差的平方根,用
第五部分会计
第六部分法律
34 物权法律制度
35 合同法律制度
36 公司法律制度。
2018年中级经济师经济基础背诵包过版本第一部分经济学基础第一章市场需求供给均衡价格市场需求含义消费者对某种商品或服务愿意而且能够购买的数量市场需求是消费者需求的总和两因素:①购买欲望②支付能力两者缺一不可决定因素①消费者的偏好②消费者的个人收入(正方向)③产品价格(反方向)④替代品的价格(正方向)⑤互补品的价格(反方向)⑥预期⑦其他因素最关键的因素是商品本身价格需求函数、需求规律和需求曲线需求变动:由于收入和消费者偏好因素的变化引起表现为需求曲线的位需求数量变动:假定其他因素不变,只考虑价格的关系市场供给含义生产者愿意并可能为市场提供商品或服务的数量决定因素①产品价格(正方向)②生产成本(反方向)③生产技术④预期⑤相关产品的价格⑥其他因素供给函数、供给规律、供给曲线供给变动:由价格以外的其他因素如成本变动引起表现为供给曲线的位移供给数量变动:假定其他因素不变,只考虑供给和价格关系均衡价格含义目的影响后果措施最高限价在均衡价格之下保护消费者利益或降低生产成本市场短缺变相涨价行政措施保护价格在均衡价格之上保护生产者的利益或支持产业市场过剩变相降价政府收购弹性需求价格弹性公式①点弹性价格和需求量变动小场合需求量无穷小②弧弹性价格和需求量变动大场合①点弹性公式:弧弹性公式:基本类型①E d>1高弹性或富有弹性销售收入与价格(高档品)反方向②E d<1缺乏弹性或者低弹性销售收入与价格(必需品)同方向③E d=1需求单一弹性不变影响因素①替代品的数量和相近程度②商品的重要性③商品用途的多少④时间需求交叉弹性定义指一种商品价格的相对变化与由此引起的另一种商品需求量相对变动之间的比率需求交叉弹性公式:基本类型①E d>0替代品需求量与价格同方向②E d<0互补品需求量与价格反方向③E d=0无关系需求收入弹性基本类型①E=1 ②E>1高档品即需求数量的相应增加大于收入的增加③E<1必需品即需求数量的相应增加小于收入的增加④E=0⑤E<0低档品需求收入弹性公式:供给价格基本类①E>1供给价格弹性充足②E<1供给价格弹性不充足③E=1供弹性型给价格弹性为1④E=0供给完全无弹性(少见)⑤E=∞供给完全有弹性(少见)供给价格弹性公式:影响因素①时间是首要因素②生产周期和自然条件的影响③投入品替代性大小和相似程度第二章消费者行为理论效用理论基数效用是运用边际效用论分析区分为总效用和边际效用边际效用递减的规律两者区别是否可加总序数效用用无差异曲线和预算约束线来分析无差异曲线消费者偏好①完备性A>B;A<B;A=B②可传递性A>B;B>C;所以A>C③多而不是少多多益善含义消费者偏好是无差异的是一条能够给消费者带来相同满足程度的所有组合的曲线特征①离原点越远,消费者的偏好程度越高②任意两条不能相交③从左向右下倾斜凸向原点(斜率绝对值)商品边际替代率递减规律等于商品的价格之比即斜率,随商品消费量增加,为获得一种产品额外消费而愿意放弃另外一种产品的数量越来越少,是递减的。
第一章:市场需求、供给与均衡价格1.弧弹性系数计算公式:2.需求价格弹性系数>1,价格上升,销售收入减少;需求价格弹性系数<1,价格上升,销售收入增加。
第二章:消费者行为分析1.消费者效用最大的均衡条件:商品边际替代率=商品的价格之比2.对于正常品,替代效应与价格成反方向变动,收入效应与价格成反方向变动3.对于低档品,替代效应与价格成反方向变动,收入效应与价格成同方向变动4.预算线的斜率取决于商品的价格5.商品价格的变化会产生替代效应和收入效应第三章:生产和成本理论1.美国经济学家科斯认为,企业的本质是作为市场机制的替代物2.显成本是指企业购买或租用的生产要素所实际支付的货币支出。
隐成本(机会成本)是指企业本身所拥有的并且被用于企业生产过程的那些生产要素的总价格。
3.正常利润指企业对自己所提供的企业家才能的报酬支付。
经济利润不包括正常利润。
4.平均成本与边际成本的位置关系:MC 边际成本,ATC 平均成本, AVC 平均可变成本,AFC 平均固定成本第四章:市场结构理论3.在完全竞争市场上,个别企业的需求曲线是一条平行于横轴的水平线4.完全竞争企业的平均收益、边际收益和需求曲线都是同一条线5.企业产量决策,利润最大化的基本原则是:边际成本=边际平均收益6.完全垄断企业的需求曲线和平均收益曲线是完全重合的7.完全垄断企业的需求曲线和整个行业的需求曲线相同8.一级价格歧视是指企业对每一单位产品都按照消费者所愿意支付的最高价格出售二级歧视是指按不同价格出售不同批量的产品三级歧视是指将消费者分成不同需求价格弹性,收取不同的价格。
第五章:生产要素市场理论6.生产要素的需求是引致需求、派生需求、联合需求7.边际要素成本=边际物质成本*边际成本8.边际收益产品=边际物质产品*边际收益9.生产者利润最大化:边际要素成本=边际收益产品10.完全竞争生产者的要素供给曲线是一条水平线9.完全竞争生产者的要素需求曲线是向右下方倾斜10.完全竞争生产者的边际产品价值等于边际收益产品11.劳动最大效用满足条件:劳动的边际效用等于闲暇的边际效用12.工资增加的替代效应是指,由于工资上升,收入增加,消费者用劳动替代闲暇,劳动供给增加。
2018年中级经济师《经济基础》考试重点总结背诵包过文件,助您顺利通关市场需求、供给和均衡价格第一部分经济学(二)均衡价格模型的应用——最高限价与保护价格措施(掌握)最高限价保护价格定义由政府为某种产品规定一个具`体的价格,市场交易只能在这一价格之下进行也叫支持价格或最低限价,就是由政府规定一个具体的价格,市场交易只能在这一价格之上进行。
目标保护消费者利益或降低某些生产者的生产成本保护生产者利益或支持某一产业的发展。
措施类型属于政府对价格的干预措施与均衡价格的关系最高限价低于均衡价格。
保护价格高于均衡价格。
产生的影响实施最高限价,往往出现供不应求现象,造成短缺。
往往出现供过于求现象保障措施必须有强有力的行政措施或分配措施,如凭票供应。
需建立政府的收购和储备系统。
注意事项只宜短期、在局部地区实行,不应长期化。
只宜在少数产品上实行,主要是农产品。
掌握无差异曲线的特征:(1)离原点越远的无差异曲线,代表消费者的偏好程度越高。
离原点越近,代表消费者的偏好程度越低。
(2)任意两条无差异曲线都不能相交——偏好的可传递性(3)无差异曲线从左向右下倾斜,凸向原点。
这是由商品边际替代率递减规律决定的。
4.寡头垄断市场的含义和特征寡头垄断是指少数几个企业控制一个行业供给的市场结构。
主要特征是:(1)在一个行业中,只有很少几个企业进行生产(2)它们所生产的产品有一定的差别或者完全无差别(3)他们对价格有很大程度的控制(4)进入这一行业比较困难在西方发达国家,寡头垄断市场在国民经济中占有十分重要的地位。
如汽车工业、钢铁工业等。
三、完全垄断市场中生产者的行为(一)完全垄断市场的需求曲线完全垄断企业的需求曲线就是行业的需求曲线。
这与完全竞争市场不同的。
完全垄断企业的需求曲线是向右下方倾斜,斜率为负。
(二)完全垄断企业的平均收益和边际收益在完全垄断市场上,即平均收益曲线与需求曲线是重合的;但边际收益曲线位于平均收益曲线的下方,而且比平均收益曲线陡峭。
2018经济类联考数学需掌握8大知识点现阶段考研复习正在火热进行中,考生要以自主学习为主,系统整理学习内容,回顾旧知识。
以下是小编搜索整理的关于2018经济类联考数学需掌握8大知识点,供参考复习,希望对大家有所帮助!想了解更多相关信息请持续关注我们()!(一)微积分1、函数、极限、连续(1)求复合函数的定义域;(2)求函数表达式;(3)无穷小阶的比较;(4)利用等价无穷小替换、两个重要极限求极限;(5)求幂指函数的极限;(6)利用洛必达法则求极限;(7)分段函数在分段点处的连续性;(8)判断间断点类型;2、导数与微分(1)利用导数的四则运算法则、复合函数求导法则求导数与微分;(2)求分段函数在分段点处的导数;(3)一元函数隐函数求导;(4)一元函数的单调区间、极值、凹凸性、拐点、渐近线;(5)导数的经济应用;3、一元函数积分学(1)利用换元法与分部积分法计算不定积分;(2)利用换元法与分部积分法计算定积分;(3)变限积分求导;(4)定积分的几何应用;4、多元函数微分学(1)求二元函数的一阶偏导数;(2)求二元函数的全微分;(3)二元函数隐函数的求导。
(二)线性代数1、行列式和矩阵(1)矩阵的基本运算;(2)伴随矩阵的求法;(3)逆矩阵的求法。
2、向量与方程组(1)向量组的线性相关性的判断;(2)向量组的线性表示;(3)求齐次方程组的通解;(4)求非齐次方程组的通解。
(三)概率论与数理统计1、随机变量及常见分布(1)利用分布函数、分布律以及概率密度函数的充分必要条件求未知参数;(2)已知分布函数求任一事件的概率;(3)常见八大分布2、随机变量的数字特征(1)利用定义或公式计算期望、方差;(2)利用性质计算期望、方差;(3)常见分布的期望与方差;(4)已知随机变量的数学期望、方差求解未知参数;。
大一经济数学基础复习知识点经济数学是经济学的一门重要辅助学科,它运用数学工具和方法来解决经济学中的问题。
在大一学期,经济数学基础是我们打下坚实经济学基础的重要一课。
下面是大一经济数学基础的复习知识点:1.微积分基础- 函数与极限:函数的定义和性质,极限的概念及计算方法。
- 导数与微分:导数的定义和性质,常用函数的导数和微分法则。
- 积分与不定积分:不定积分的定义和性质,常用函数的积分法则。
2.微分方程- 一阶微分方程:可分离变量、线性、齐次和非齐次一阶微分方程的求解方法。
- 高阶微分方程:常系数线性齐次和非齐次高阶微分方程的求解。
3.矩阵与行列式- 矩阵的基本概念:矩阵的定义,矩阵的运算(加法、数乘、乘法)。
- 行列式:行列式的定义和性质,行列式的计算方法。
4.最优化问题- 函数的极值:极大值和极小值的定义,求解函数极值的条件和方法。
- 线性规划:线性规划问题的基本概念和解法。
5.微分与一元函数的应用- 弹性:边际效应和弹性的概念,计算边际效应和弹性的方法。
- 最优化问题:求解边际收益等于边际成本的最优产量问题。
6.总体与样本统计- 统计量:样本均值、样本方差的概念和计算方法。
- 抽样分布:样本均值、样本方差的抽样分布。
7.相关与回归分析- 相关系数:相关系数的计算与解释,相关系数的性质。
- 简单线性回归:简单线性回归模型的建立与估计。
8.概率论基础- 概率的基本概念:事件、样本空间、概率的定义和性质。
- 随机变量:随机变量的定义,离散型和连续型随机变量的概率分布。
- 期望和方差:随机变量的期望和方差的计算方法。
以上是大一经济数学基础的复习知识点,通过对这些知识点的复习和理解,我们能够更好地应用数学工具和方法解决经济学中的实际问题,为我们的学习打下坚实的基础。
希望同学们能够认真复习,并在复习过程中加强对理论的理解与应用。
祝大家学业顺利!。
2018中级经济师-经济基础知识全套讲义(可编辑)第一章市场需求、供给与均衡价格【本章考情分析】年份单选题多选题合计年题分题分分年题分题分分年题分题分分年题分题分分年题分题分分年题分题分分【本章考点概览】【本章考点详解】【考点一】需求及市场需求关于需求及市场需求的有关知识点如表所示。
表需求及市场需求含义考试重点需求在一定时间内和一定价格条件下消费者对某种商品或服务愿意而且能够购买的数量需求的构成要素:购买欲望(愿意)支付能力(能够)市场需求在一定时间内、一定价格条件下和一定的市场上所有的消费者对某种商品或服务愿意而且能够购买的数量市场需求是消费者需求的总和【考点小贴士】需求的构成要素记忆方法:我想我能通过中级经济师考试。
想mdashmdash购买欲望能mdashmdash支付能力我mdashmdash买方(主要指消费者)【经典例题】【真题:年多选题】需求的构成要素有()。
A.消费者偏好B.商品价格C.生产者预期D.消费者有支付能力E.消费者有购买欲望【答案】DE【解题思路】本题根据ldquo我想我能rdquo找关键字即可选择出E选项mdashmdash 消费者购买欲望和D选项mdashmdash消费者支付能力。
本题注意需求的构成要素只有两个ldquo想能rdquo对于影响ldquo想rdquo的因素和影响ldquo能rdquo的因素均不选。
【考点二】影响需求的基本因素(一)影响需求的主要因素影响需求变动的主要因素如图所示。
【解释】替代品的价格。
替代品是指使用价值相近可以相互替代来满足人们同一需要的商品如煤气和电力波音飞机和空客飞机等。
一般来说商品的需求与替代品的价格成同方向变化具体分析如图所示。
【解释】互补品的价格。
互补品是指使用价值上必须互相补充才能满足人们某种需要的商品如汽车和汽油。
一般来说商品的需求与互补品的价格成反方向变化具体分析如图所示。
【考点小贴士】关于替代品价格和互补品价格对商品需求的影响是非常重要的考点但考生不能死记硬背结论否则极易混淆。
2018年中级经济基础计算题专项汇总2018年中级经济基础计算题专项汇总,包含市场需求、供给与均衡价格的相关内容。
第一章:市场需求、供给与均衡价格1.判断需求函数和供给函数的公式在判断需求函数和供给函数的公式时,需要注意以下两点:1) P的系数必须为正数;2) P必须是一次函数,不能出现P2.2.计算均衡价格和均衡数量均衡价格是市场供给力量和需求力量相互抵消时所达到的价格水平,即供给量和需求量相等时的价格,即Qd=Qs。
此时的供求数量为均衡数量。
例如,已知某商品的需求函数Qd=50-5p和供给函数Qs=-10+5p,求该商品的均衡价格和均衡数量。
当Qd=Qs时的价格为均衡价格,此时的供求数量为均衡数量。
因此,可以得到以下计算过程:50-5p=-10+5p解得:p=6,将其代入需求函数(或供给函数)Qd=Qs=50-5×6=20因此,该商品的均衡价格为6,均衡数量为20.3.计算弹性弹性是需求或供给对价格变化的敏感程度。
在计算弹性时,需要注意弹性的类型及影响因素。
1) 需求/价格弹性系数:Ed = 需求量的相对变动 / 价格的相对变动注1:计算需求量相对变动和价格的相对变动时,点弹性分母为原需求量和原价格,弧弹性分母为平均需求量和平均价格。
注2:点弹性适用于价格和需求变动较小的情况,弧弹性适用于价格和需求变动较大的情况。
2) 需求/收入弹性系数:Ey = 需求量的相对变动 / 收入的相对变动3) 需求交叉弹性系数:Eij = 商品i需求量的相对变化 / 商品j价格的相对变化4) 供给/价格弹性系数:Es = 供给量的相对变动 / 价格的相对变动例如,已知某种商品的需求价格弹性系数为2,当价格为每台10元时,其销售量为1000台。
如果这种商品价格下降10%,在其他因素不变的条件下,其销售收入是多少元?根据需求价格弹性系数的计算公式,可以得到:Ed = (ΔQd / Qd) / (Δp / p)其中,ΔQd / Qd为需求量的相对变动,Δp / p为价格的相对变动。
三一文库( )*电大考试*经济数学基础2018年1月期末考试复习资料(共四部分,77题)第一部分单项选择(1—5题)、填空(2—10题).(每小题3分,共52题考10题)第1、6小题试题知识点范围 第一编微分学第1章函数(重点考试类型四个,共9题)类型一:利用函数三要素判断两个函数相等函数的两要素:1、定义域:使函数(解析式)有意义的自变量x 的范围2、对应关系:)(x f y =1.下列各函数对中,(D )中的两个函数相等.A.x x g x x f ==)(,)()(2B. 1)(,11)(2+=--=x x g x x x f C.x x g x y ln 2)(,ln 2== D. 1)(,cos sin )(22=+=x g x x x f1解答:D. 1cos sin )(22=+=x x x f 三角恒等式所以选D 类型二:利用三种基本形式求函数的定义域及间断点的判定 三种基本形式(①)(1x f 0)(≠x f ②)(x f 0)(≥x f ③)(lnx f 0)( x f )2、函数xx y -++=41)2ln(的定义域是(A ) A.(-2,4) B.()()+∞⋃-,44,,2 C.)4,(-∞ D. ()+∞-,22解答. 根据定义域的基本类型:⎩⎨⎧>->+0402x x 42<->x x ∴ ∈x (-2,4)∴ 选A3.函数⎩⎨⎧<≤-<≤-+=20,105,2)(2x x x x x f 的定义域是[)2,5- 3.解答:2005<≤⋃<≤-x x ⇒ 25<≤-x 即 [)2,5- 4、函数233)(2+--=x x x x f 的间断点是2;1==x x 。
4解答:0232=+-x x ⇒ 0)2)(1(=--x x ⇒ 11=x 22=x ∴ 间断点是11=x 22=x 类型三:求函数值的两种方法1、已知)(x f 求[])(x f ϕ (代入法)5.设x x f 1)(=,则))((x f f =(C ) A. x 1 B. 21xC.xD. 2x5解答. ()()11)(=⇒=f x x f []()x xx f x f f ====11)(11)( ∴ 选C 6.生产某产品的成本函数为q q C 280)(+=,则当产量50=q 单位时,该产品的平均成本为 3.6 .6解答:qq C q C )()(=6.3505028050)50()50(=⨯+==C C2、已知[])(x f ϕ求)(x f (变量替换法) 7.若函数62)1(2+-=-x x x f ,则5)(2+=x x f7解答:令t x =-1 1+=t x ()56)1(2162)()1(222+=++-+=+-==-t t t x x t f x f ∴ 5)(2+=x x f 类型四:应用求)(x f -的值判断函数的奇偶性及奇偶函数的几何性质⎩⎨⎧-=-)()()(x f x f x f是奇函数对称坐标原点则轴是偶函数对称则)()(x f y x f8.下列函数中为偶函数的是(A ) A.x x y sin = B.x x y +=2 C.x x y --=22 D. x x y cos =8解答. 对答案A 判断x x x f y sin )(== ()()()sin =f )(sin )sin ()sin()()(x f x x x x x x x f ==-⋅-=--=- ∴ 选A9.设21010)(xx x f -+=,则函数的图形关于 y 轴对称。