中央电大经济数学基础 应用题和计算题 小抄
- 格式:doc
- 大小:702.50 KB
- 文档页数:18
21)1()(,1)(,11)1(.14x x x f x x f xx x f -='='===4. 5. 6. 7.已知,求)(x y '8.已知x x x f xln sin 2)(+=,求)(x f ' 9.已知xy cos 25=,求 10.已知32ln x y =,求dy11.设x e y x 5sin cos +=,求dy 12.设x x y -+=2tan 3,求dy 13.已知2sin 2cos x y x -=,求)(x y ' 14.已知x e x y 53ln -+=,求)(x y '15.由方程2)1ln(e ex y xy=++确定y 是x 的隐函数,求)(x y '16.由方程0sin =+y xe y 确定y 是x 的隐函数,求)(x y '17.设函数)(x y y =由方程yxe y +=1确定,求18.由方程x e y x y=++)cos(确定y 是x 的隐函数,求dy 1. 2. 3.⎰xdx x sin4.⎰+xdx x ln )1(5. 6. 7. 8.9.⎰-+1)1ln(e dxx 10.求微分方程 满足初始条件 的特解。
11.求微分方程 满足初始条件3)1(=-y 的特解。
12.求微分方程满足初始条件11==x y 的特解。
)3sin(34lim23-+-→x x x x 2)1tan(lim 21-+-→x x x x 625)32)(1()23()21(lim --++-∞→x x x x x x xx y x cos 2-=)2(πy '0=x dx dy 四.求积分和解微分方程 dxx x ⎰21sin ⎰x dx x 2dx e e x x ⎰+3ln 02)1(dx xxe⎰1ln dxx x e ⎰+21ln 11dx x x ⎰22cos π12+=+'x x yy 47)1(=y 032=+'+y e y xy x xyy ln =-'13.求微分方程y y x y ln tan ='的通解。
一、单项选择题(每题3分,本题共15分) 1.下列函数中为奇函数的是 ( C .1ln1x y x -=+).A .2y x x =- B .x x y e e -=+ C .1ln1x y x -=+D .sin y x x =2.设需求量q 对价格p的函数为()3q p =-p E =(D)。
ABD3.下列无穷积分收敛的是 (B .211dx x +∞⎰ ).A . 0xe dx +∞⎰ B .211dx x +∞⎰C.1+∞⎰ D .1ln xdx +∞⎰4.设A 为32⨯矩阵,B 为23⨯矩阵,则下列运算中( A . AB )可以进行。
A . AB B . A B +C . T ABD . TBA5.线性方程组121210x x x x +=⎧⎨+=⎩解的情况是( D .无解 ).A .有唯一解B .只有0解C .有无穷多解D .无解1.函数lg(1)xy x =+的定义域是 (D .10x x >-≠且 ). A .1x >-B .0x > C .0x ≠D .10x x >-≠且2.下列函数在指定区间(,)-∞+∞上单调增加的是( B .xe )。
A .sin xB .xe C .2xD .3x -3.下列定积分中积分值为0的是(A .112x xe e dx ---⎰ ).A . 112x x e e dx ---⎰B .112x x e e dx --+⎰C .2(sin )x x dx ππ-+⎰D .3(cos )x x dx ππ-+⎰4.设AB 为同阶可逆矩阵,则下列等式成立的是( C . ()T T T AB B A = )。
A . ()TT T AB A B =B .111()()T T AB A B ---=C . ()T T T AB B A = D . 111()()T T AB A B ---=5.若线性方程组的增广矩阵为12210A λ⎡⎤=⎢⎥⎣⎦,则当=λ( A .12 )时线性方程组无解. A .12B .0C .1D .21.下列函数中为偶函数的是(C .2x xe e y -+=).A .3y x x =- B .1ln 1x y x -=+ C .2x x e e y -+=D .2sin y x x =2.设需求量q 对价格p的函数为()3q p =-p E =( D. )。
五、应用题(本题20分)1.设生产某种产品q 个单位时的成本函数为:q q q C 625.0100)(2++=(万元), 求:(1)当10=q 时的总成本、平均成本和边际成本;(2)当产量q 为多少时,平均成本最小?解:(1)总成本q q q C 625.0100)(2++=,平均成本625.0100)(++=q qq C , 边际成本65.0)(+='q q C .所以,1851061025.0100)10(2=⨯+⨯+=C (万元),5.1861025.010100)10(=+⨯+=C (万元)116105.0)10(=+⨯='C .(万元) (2)令 025.0100)(2=+-='qq C ,得20=q (20-=q 舍去).因为20=q 是其在定义域内唯一驻点,且该问题确实存在最小值,所以当20=q 时,平均成本最小.2..某厂生产某种产品q 件时的总成本函数为201.0420)(q q q C ++=(元),单位销售价格为q p 01.014-=(元/件),问产量为多少时可使利润达到最大?最大利润是多少. 解:成本为:201.0420)(q q q C ++=收益为:201.014)(q q qp q R -==利润为:2002.010)()()(2--=-=q q q C q R q Lq q L 04.010)(-=',令004.010)(=-='q q L 得,250=q 是惟一驻点,利润存在最大值,所以当产量为250个单位时可使利润达到最大,且最大利润为12302025002.025010)250(2=-⨯-⨯=L (元)。
3.投产某产品的固定成本为36(万元),且边际成本为402)(+='q q C (万元/百台).试求产量由4百台增至6百台时总成本的增量,及产量为多少时,可使平均成本达到最低. 解:成本函数为:36)402()(0++=⎰qdx x q C当产量由4百台增至6百台时,总成本的增量为=+=+=∆⎰6464264|40|)402(x x dx x C 100(万元)364036)402()(20++=++=⎰q q dx x q C qqq q C 3640)(++=∴ 2361)(q q C -=',令0361)(2=-='qq C 得,6,6-==q q (负值舍去)。
电大经济数学基础12全套试题及答案一、填空题(每题3分,共15分)6.函数()f x =的定义域是 (,2](2,)-∞-+∞U .7.函数1()1xf x e=-的间断点是 0x = .8.若()()f x dx F x C =+⎰,则()xx ef e dx --=⎰()x F e c --+.9.设10203231A a ⎡⎤⎢⎥=⎢⎥⎢⎥-⎣⎦,当a = 0 时,A 是对称矩阵。
10.若线性方程组12120x x x x λ-=⎧⎨+=⎩有非零解,则λ= -1 。
6.函数()2x xe ef x --=的图形关于 原点 对称.7.已知sin ()1xf x x=-,当x → 0时,()f x 为无穷小量。
8.若()()f x dx F x C =+⎰,则(23)f x dx -=⎰1(23)2F x c -+ .9.设矩阵A 可逆,B 是A 的逆矩阵,则当1()T A -= TB 。
10.若n 元线性方程组0AX =满足()r A n <,则该线性方程组 有非零解 。
6.函数1()ln(5)2f x x x =++-的定义域是 (5,2)(2,)-+∞U . 7.函数1()1xf x e=-的间断点是 0x = 。
8.若2()22x f x dx x c =++⎰,则()f x =2ln 24x x +.9.设111222333A ⎡⎤⎢⎥=---⎢⎥⎢⎥⎣⎦,则()r A = 1 。
10.设齐次线性方程组35A X O ⨯=满,且()2r A =,则方程组一般解中自由未知量的个数为 3 。
6.设2(1)25f x x x -=-+,则()f x =x2+4 .7.若函数1sin 2,0(),0x x f x xk x ⎧+≠⎪=⎨⎪=⎩在0x =处连续,则k= 2 。
8.若()()f x dx F x c =+⎰,则(23)f x dx -=⎰1/2F(2x-3)+c.9.若A 为n 阶可逆矩阵,则()r A = n 。
1 / 5电大经济数学基础考试小抄一、单项选择题(每小题3分,共15分)1.设A 为3x2矩阵,B 为2x3矩阵,则下列运算中(AB )可以进行. 2.设AB 为同阶可逆矩阵,则下列等式成立的是(T T T )(A B AB = )3设B A ,为同阶可逆方阵,则下列说法正确的是( 111)(---=A B AB ).4.设AB 阶方阵,在下列情况下能推出A 是单位矩阵的是(I A =-1 D ).7.设下面矩阵A , B , C 能进行乘法运算,那么(AB = AC ,A 可逆,则B = C 成立. 9.设,则r (A ) =(1). 10.设线性方程组b AX =的增广矩阵通过初等行变换化为,则此线性方程组的一般解中自由未知量的个数为(1). 11.线性方程组⎩⎨⎧=+=+012121x x x x 解的情况是(无解).12.若线性方程组的增广矩阵为⎥⎦⎤⎢⎣⎡=01221λA ,则当λ=(12)时线性方程组无解.13. 线性方程组AX =0只有零解,则AX b b =≠()0(可能无解). 14.设线性方程组AX=b 中,若r (A , b ) = 4,r (A ) = 3,则该线性方程组(无解). 1、下列函数中为偶函数的是(A ). A.x x y sin = 2、下列函数在区间),(+∞-∞上是单调下降的是(D ).D.x -53、下列定积分计算正确的是( D ).D.⎰-=ππ1sin xdx4、设A=⎥⎥⎥⎦⎤⎢⎢⎢⎣⎡600321540,则r ()A =( C )。
C.35、设线性方程组b AX =的增广矩阵为⎥⎥⎥⎥⎦⎤⎢⎢⎢⎢⎣⎡------124220621106211041231,则此线性方程组的一般解中自由未知量的个数为( B ). B.2 1、函数xx y -++=41)2ln(的定义域是(A )A.(-2,4)解答:A x x x x x 即即)4,2(42420402-⇒<<-⎩⎨⎧<->⇒⎩⎨⎧>->+ 2、曲线11+=x y 在点(0,1)处的切线斜率为( A )A.21-解答:2321)1(21)1(--+-='⎥⎦⎤⎢⎣⎡+='x x yAy 即21)10(21)0(23-=+-='- 3、若)(x F 是)(x f 的一个原函数,则下列等式成立的是( B ).B.)()()(a F x F dx x f xa-=⎰解答:⎰+=C x F dx x f )()(⎰-=∴xaa F x F dx x f )()()(B 即4、设A ,B 为同阶可逆矩阵,则下列等式成立的是( D ).D.()T T T A B AB =解答:D A B AB T T T 即=)(5、设线性方程组b AX =有唯一解,则相应的齐次方程组O AX =(C ).C. 只有零解 解答:)()()(未知量的个数有唯一解n A r A r ,b AX==∴=0=∴AX n A r =)( 只有零解 即C1、各函数对中的两个函数相等的是(C ). C.x x g x y ln 3)(,ln 3==解答: ∵x x y ln 3ln 3==∴选 C2、已知1sin )(-=xxx f ,当(A )时)(x f 为无穷小量。
电大经济数学基础12全套试题及答案一、填空题(每题3分,共15分)T 1设矩阵A 可逆,B 是A 的逆矩阵,则当(A )10 •若n 元线性方程组 AX 0满足r(A) n ,则该线性方程组 —有非零解 ___________________16 .函数 f(x) — ln(x 5)的定义域是 ______________ ( 5,2) U (2,) ____ .x 21 、 7 .函数f ( X ) -的间断点是 x 0 __________ 。
1 e x—&若 f(x)dx 2X 2x 2 c ,则 f(x)= _____________ 2X ln2 4x ___________ .1 1 19. 设A2 2 2 , 则 r(A)1。
33310 .设齐次线性方程组A 35XO 满,且r(A) 2 , 则方程组一般解中自由未知量的个数为3 。
6. 设 f(x 1) x 22x 5,则 f(x)= x2+4 .xsin12,x0亠 0处连续,则x在Xk= 2 。
函数 f(x)—4的定义域是(,2]U(2,)x 2函数 f(x)1丄的间断点是1 e xf (x)dx F(x) C ,则 e x f(e x )dxF(e x ) cio .若线性方程组X i X i函数 f (x)已知 f (x)f (x)dx ,当a时,A 是对称矩阵。
X 2 X 2有非零解,则x-的图形关于 _____ 原点 ’ sin x r,当xx对称.0 __ 时,f (x)为无穷小量。
F(x) C ,则 f (2x 3)dx12F(2x 3) cB T7.若函数f(x) k,x 09.若A 为n 阶可逆矩阵,则r(A)n。
11 2 310.齐次线性方程组 AXO 的系数矩阵经初等行变换化为A0 1 0 2 ,则此方程组的一0 0般解中自由未知量的个数为2。
1.下列各函数对中,(D )中的两个函数相等.A.C. y(x) =lnx s 4 =21rLisin x 小----- x 02 .函数f (x) X ' 在x 0处连续,则k ( C . 1 )。
《经济数学基础》真题一、填空题(每题3分,共15分)6.函数()f x =的定义域是 (,2](2,)-∞-+∞ .7.函数1()1xf x e =-的间断点是 0x =.8.若()()f x dx F x C =+⎰,则()x x e f e dx --=⎰()x F e c --+.9.设10203231A a ⎡⎤⎢⎥=⎢⎥⎢⎥-⎣⎦,当a = 0 时,A 是对称矩阵。
10.若线性方程组12120x x x x λ-=⎧⎨+=⎩有非零解,则λ= -1 。
6.函数()2x xe ef x --=的图形关于 原点 对称.7.已知sin ()1xf x x=-,当x → 0时,()f x 为无穷小量。
8.若()()f x dx F x C =+⎰,则(23)f x dx -=⎰1(23)2F x c -+ .9.设矩阵A 可逆,B 是A 的逆矩阵,则当1()T A -= TB 。
10.若n 元线性方程组0AX =满足()r A n <,则该线性方程组 有非零解 。
6.函数1()ln(5)2f x x x =++-的定义域是 (5,2)(2,-+∞ . 7.函数1()1xf x e =-的间断点是 0x = 。
8.若2()22x f x dx x c =++⎰,则()f x =2ln 24x x +.9.设111222333A ⎡⎤⎢⎥=---⎢⎥⎢⎥⎣⎦,则()r A = 1 。
10.设齐次线性方程组35A X O ⨯=满,且()2r A =,则方程组一般解中自由未知量的个数为 3 。
6.设2(1)25f x x x -=-+,则()f x =x2+4 .7.若函数1sin 2,0(),0x x f x xk x ⎧+≠⎪=⎨⎪=⎩在0x =处连续,则k= 2 。
8.若()()f x dx F x c =+⎰,则(23)f x dx -=⎰1/2F(2x-3)+c.9.若A 为n 阶可逆矩阵,则()r A = n 。
五、应用题(本题20分)1.设生产某种产品q 个单位时的成本函数为:q q q C 625.0100)(2++=(万元), 求:(1)当10=q 时的总成本、平均成本和边际成本;(2)当产量q 为多少时,平均成本最小? 解:(1)总成本q q q C 625.0100)(2++=,平均成本625.0100)(++=q qq C , 边际成本65.0)(+='q q C .所以,1851061025.0100)10(2=⨯+⨯+=C (万元),5.1861025.010100)10(=+⨯+=C (万元) 116105.0)10(=+⨯='C .(万元) (2)令 025.0100)(2=+-='qq C ,得20=q (20-=q 舍去).因为20=q 是其在定义域内唯一驻点,且该问题确实存在最小值,所以当20=q 时,平均成本最小. 2..某厂生产某种产品q 件时的总成本函数为201.0420)(q q q C ++=(元),单位销售价格为q p 01.014-=(元/件),问产量为多少时可使利润达到最大?最大利润是多少. 解:成本为:201.0420)(q q q C ++=收益为:201.014)(q q qp q R -==利润为:2002.010)()()(2--=-=q q q C q R q Lq q L 04.010)(-=',令004.010)(=-='q q L 得,250=q 是惟一驻点,利润存在最大值,所以当产量为250个单位时可使利润达到最大,且最大利润为12302025002.025010)250(2=-⨯-⨯=L (元)。
3.投产某产品的固定成本为36(万元),且边际成本为402)(+='q q C (万元/百台).试求产量由4百台增至6百台时总成本的增量,及产量为多少时,可使平均成本达到最低. 解:成本函数为:36)402()(0++=⎰qdx x q C当产量由4百台增至6百台时,总成本的增量为=+=+=∆⎰6464264|40|)402(x x dx x C 100(万元)2361)(q q C -=',令0361)(2=-='qq C 得,6,6-==q q (负值舍去)。
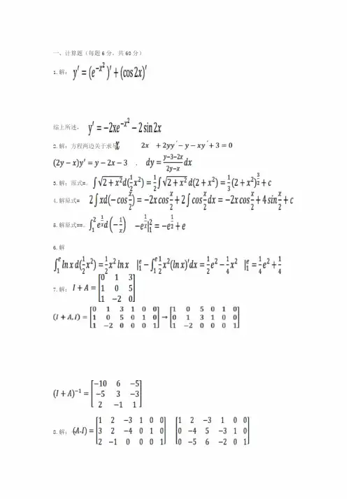
一、计算题(每题6分,共60分)
1.解:
综上所述,
2.解:方程两边关于求导:
,
3.解:原式=。
4.解原式=
5.解原式==。
6.解
7.解:
8.解:→→
→→
9.解:
所以,方程的一般解为
(其中是自由未知量)
10解:将方程组的增广矩阵化为阶梯形
→→
由此可知当时,方程组无解。
当时,方程组有解。
且方程组的一般解为(其中为自由未知量)
二、应用题
1.解(1)因为总成本、平均成本和边际成本分别为:
,
所以,
,
(2)令,得(舍去)
因为是其在定义域内唯一驻点,且该问题确实存在最小值,所以当20
时,平均成本最小.
2.解由已知
利润函数
则,令,解出唯一驻点.
因为利润函数存在着最大值,所以当产量为250件时可使利润达到最大,
且最大利润为
(元)3.解当产量由4百台增至6百台时,总成本的增量为
==100(万元)
又==
令,解得.
x=6是惟一的驻点,而该问题确实存在使平均成本达到最小的值.所以产量为
6百台时可使平均成本达到最小.
4.解(x)=(x)-(x)=(100–2x)–8x=100–10x
令(x)=0,得x=10(百台)
又x=10是L(x)的唯一驻点,该问题确实存在最大值,故x=10是L(x)的最大
值点,即当产量为10(百台)时,利润最大.
又
即从利润最大时的产量再生产2百台,利润将减少20万元.。
经济数学基础小抄一、单项选择题 1. 函数212-+-=x x x y 的连续区间是(),2()2,(+∞-⋃--∞或),1()1,(+∞⋃-∞)2. 下列极限计算正确的是(1lim0=+→xx x )3. 设y x =lg2,则d y =(1d x x ln10) 4. 若函数f (x )在点x 0处可导,则(Ax f x x =→)(lim 0,但)(0x f A ≠)是错误的.5.当0→x 时,下列变量是无穷小量的是()1ln(x +)6. 下列函数中,(-21cos x 2)是x sin x 2的原函数. 7. 下列等式成立的是()d(22ln 1d 2x xx =). 8. 下列不定积分中,常用分部积分法计算的是(⎰x x x d 2sin )9. 下列定积分计算正确的是(d sin =⎰-x x ππ).10. 下列无穷积分中收敛的是(⎰∞+12d 1x x). 11. 以下结论或等式正确的是(对角矩阵是对称矩阵).12. 设A 为43⨯矩阵,B 为25⨯矩阵,且乘积矩阵T ACB 有意义,则TC 为(42⨯)矩阵. 13. 设B A ,均为n 阶可逆矩阵,则下列等式成立的是(BAAB =)14. 下列矩阵可逆的是(⎥⎥⎥⎦⎤⎢⎢⎢⎣⎡300320321).15. 矩阵⎥⎥⎥⎦⎤⎢⎢⎢⎣⎡=444333222A 的秩是(1).16. 下列函数在指定区间(,)-∞+∞上单调增加的是(e x).18. 已知需求函数pp q 4.02100)(-⨯=,当10=p 时,需求弹性为(2ln 4-).19. 下列积分计算正确的是(⎰--=-110d 2ee x xx ).20. 设线性方程组b X A n m =⨯有无穷多解的充分必要条件是(n A r A r <=)()().21. 设线性方程组⎪⎩⎪⎨⎧=++=+=+33212321212ax x x a x x a x x ,则方程组有解的充分必要条件是(0321=-+a a a ).22.函数()1lg +=x xy 的定义域是(1->x 且0≠x )23.下列各函数对中,(x x x f 22cos sin )(+=,1)(=x g )中的两个函数相等24.设xx f 1)(=,则=))((x f f (x)25.下列函数中为奇函数的是(11ln+-=x x y )26.已知1tan )(-=xxx f ,当(x →0)时,)(x f 为无穷小量 27.当+∞→x 时,下列变量为无穷小量的是(xx sin )28.函数sin ,0(),0xx f x xk x ⎧≠⎪=⎨⎪=⎩ 在x = 0处连续,则k = (1)29.曲线11+=x y 在点(0, 1)处的切线斜率为(21-)30.曲线x y sin =在点(0, 0)处的切线方程为(y = x )31.设y x =lg2,则d y =(1d x x ln10)32.下列函数在指定区间(,)-∞+∞上单调增加的是(e x)33.设需求量q 对价格p 的函数为p p q 23)(-=,则需求弹性为E p =(--pp32)34.下列等式不成立的是()1d(d ln xx x =)35.若cx x f x +-=-⎰2ed )(,则)(x f '=(2e41x--)36.下列不定积分中,常用分部积分法计算的是(⎰x x x d 2sin )37. 若c x x f x x +-=⎰11e d e )(,则f (x ) =(1x)38. 若)(x F 是)(x f 的一个原函数,则下列等式成立的是()()(d )(a F x F x x f xa-=⎰)39.下列定积分中积分值为0的是(xx x d 2e e 11⎰---) 40.下列定积分计算正确的是(0d sin =⎰-x x ππ)41.下列无穷积分中收敛的是(⎰∞+12d 1x x ) 42.无穷限积分⎰∞+13d 1x x=(21)43.设A 为23⨯矩阵,B 为32⨯矩阵,则下列运算中(AB )可以进行 44.设B A ,为同阶可逆矩阵,则下列等式成立的是(T TT)(AB AB =)45.以下结论或等式正确的是(对角矩阵是对称矩阵) 46.设A是可逆矩阵,且A AB I +=,则A -=1(I B +)47.设)21(=A ,)31(-=B ,I是单位矩阵,则IB A -T=(⎥⎦⎤⎢⎣⎡--5232) 48.设⎥⎥⎥⎦⎤⎢⎢⎢⎣⎡----=314231003021A ,则r (A ) =(2) 49.设线性方程组b AX =的增广矩阵通过初等行变换化为⎥⎥⎥⎥⎦⎤⎢⎢⎢⎢⎣⎡--0000120004131062131则此线性方程组的一般解中自由未知量的个数为(1)50.线性方程组⎩⎨⎧=+=+012121x x x x 解的情况是(无解) 51.设线性方程组b X A n m =⨯有无穷多解的充分必要条件是(n A r A r <=)()()52. 设线性方程组b AX =有唯一解,则相应的齐次方程组O AX =(只有零解)二、填空题 1.=-→xx x x sin lim 0 02.设⎝⎛=≠+=0,0,1)(2x k x x x f ,在0=x 处连续,则=k 13.曲线x y =在)1,1(的切线方程是 2121+=x y4.设函数52)1(2++=+x x x f ,则=')(x f x 25.设x x x f sin )(=,则='')2π(f 2π-6.若c x x x f x++=⎰22d )(,则=)(x f22ln 2+x7.⎰='x x d )sin ( c x +sin8. 若c x F x x f +=⎰)(d )(,则⎰=-x xxf d )1(2c x F +--)1(212 9.设函数=+⎰x x x d )1ln(d d e 12 010. 若ttx P xd 11)(02⎰+=,则=')(x P11.设矩阵⎥⎥⎥⎦⎤⎢⎢⎢⎣⎡---=161223235401A ,则A 的元素=23a 312.设B A ,均为3阶矩阵,且3-==B A ,则T AB 2-= 72-13. 设B A ,均为n 阶矩阵,则等式2222)(B AB A B A +-=-成立的充分必要条件是BA AB =14. 设B A ,均为n 阶矩阵,)(B I -可逆,则矩阵X BX A =+的解=X A B I 1)(--15. 设矩阵⎥⎥⎥⎦⎤⎢⎢⎢⎣⎡-=300020001A ,则=-1A⎥⎥⎥⎥⎥⎥⎦⎤⎢⎢⎢⎢⎢⎢⎣⎡-=31000210001A 16.函数xx x f 1)(+=在区间 )1,0()0,1(⋃- 内是单调减少的. 17. 函数2)1(3-=x y 的驻点是 1=x ,极值点是1=x ,它是极 小 值点.答案:18.设某商品的需求函数为2e10)(pp q -=,则需求弹性=p E p 2-19.行列式=---=111111111D 420. 设线性方程组b AX =,且⎥⎥⎥⎦⎤⎢⎢⎢⎣⎡+-→010********1t ,则1-≠ 时,方程组有唯一解.21.函数⎩⎨⎧<≤-<≤-+=20,105,2)(2x x x x x f 的定义域是 [)5,2-22.函数xx x f --+=21)5ln()(的定义域是 (-5, 2 )23.若函数52)1(2-+=+x x x f ,则=)(x f62-x24.设21010)(xx x f -+=,则函数的图形关于 Y 轴 对称.25.=+∞→xx x x sin lim126.已知xx x f sin 1)(-=,当0→x )(x f 为无穷小量 27.曲线y 在点)1,1(处的切线斜率是(1)0.5y '=28.函数y x =-312()的驻点是 x=129. 需求量q 对价格p 的函数为2e100)(pp q -⨯=,则需求弹性为E p = 2p -30.=⎰-x x d e d 2x x d e2-31.函数x x f 2sin )(=的原函数是 -21cos2x + c32.若)(x f '存在且连续,则='⎰])(d [x f )(x f '33.若c x x x f ++=⎰2)1(d )(,则=)(x f)1(2+x34.若cx F x x f +=⎰)(d )(,则xf xx)d e (e--⎰=cF x+--)e (35.=+⎰e12dx )1ln(d d x x 0 36.积分=+⎰-1122d )1(x x x37.无穷积分⎰∞++02d )1(1x x 是 收敛的 38.若矩阵A =[]21-,B =[]132-,则A TB=⎥⎦⎤⎢⎣⎡---26413239.设B A ,均为n 阶矩阵,则等式2222)(B AB A B A +-=-成立的充分必要条件是B A ,是可交换矩阵40.设⎥⎥⎥⎦⎤⎢⎢⎢⎣⎡-=13230201a A ,当a = 0 时,A 是对称矩阵41.设B A ,均为n 阶矩阵,且)(B I -可逆,则矩阵X BX A =+的解X = A B I 1)(--42.若线性方程组⎩⎨⎧=+=-002121x x x x λ有非零解,则=λ -143.设齐次线性方程组01=⨯⨯n n m X A ,且秩(A ) = r < n ,则其一般解中的自由未知量的个数等于n – r44.齐次线性方程组0=AX 的系数矩阵为⎥⎥⎥⎦⎤⎢⎢⎢⎣⎡--=000020103211A 则此方程组的一般解为⎩⎨⎧=--=4243122x x x x x (其中43,x x 是自由未知量)四、计算题I 1.已知y xx x cos 2-=,求)(x y '解:cos sin cos ()(2)2ln 2x x x x x xy x x x --''=-=-2sin cos 2ln 2xx x x x +=+2.已知()2sin ln x f x x x =+,求)(x f ' .解xx x x f x x 1cos 2sin 2ln 2)(++⋅=' 3.已知2sin 2cos x y x -=,求)(x y '.解)(cos )2(2sin )(22'-'-='x x x y x x2cos 22ln 2sin 2xx xx--=4.已知xx y 53eln -+=,求)(x y ' .解:)5(e )(ln ln 3)(52'-+'='-x x x x y xx xx525e ln 3--=5.已知x y cos 25=,求)2π(y ';解:因为 5ln 5sin 2)cos 2(5ln 5)5(cos 2cos 2cos 2x x x x x y -='='='所以5ln 25ln 52πsin 2)2π(2πcos2-=⋅-='y6.设x x y x+=2cos e,求y d解:因为212cos 23)2sin (e 2x x y x +-=' 所以x x x y x d ]23)2sin (e 2[d 212cos +-=7.设x y x5sin cos e+=,求y d .解:因为)(cos cos 5)(sin e 4sin '+'='x x x y xx x x xsin cos 5cos e4sin -=所以 x x x x y xd )sin cos 5cos e(d 4sin -=8.设xx y -+=2tan 3,求y d .解:因为)(2ln 2)(cos 1332'-+'='-x x xy x2ln 2cos 3322x xx --=所以x x xy x d )2ln 2cos 3(d 322--=9.⎰+-x x x d 242解:⎰+-x x x d 242=(2)d x x -⎰=2122x x c -+10.计算⎰x x x d 1sin2解:c x x x x x x +=-=⎰⎰1cos )1(d 1sin d 1sin211.计算⎰xx x d 2解:c x xx xx x +==⎰⎰22ln 2)(d 22d 212.计算⎰xx x d sin解:cx x x x x x x x x x ++-=+-=⎰⎰sin cos d cos cos d sin 13.计算⎰+x x x d 1)ln (解:⎰+x x x d 1)ln (=⎰+-+x xx x x d 1)(21ln 1)(2122 =c x x x x x +--+4)ln 2(212214.计算x xxd e2121⎰解:x x x d e 2121⎰=21211211ee e )1(d e -=-=-⎰x x x15.2e 1x ⎰解:xxx d ln 112e 1⎰+=)ln d(1ln 112e 1x x++⎰=2e 1ln 12x+=)13(2-16.x x x d 2cos 2π⎰解:x x x d 2cos 20⎰π=202sin 21πx x -x x d 2sin 2120⎰π=202cos 41πx =21- 17.x x d )1ln(1e 0⎰-+解:x x xx x x x d 1)1ln(d )1ln(1e 01e 01e 0⎰⎰---+-+=+ =x x d )111(1e 1e 0⎰-+--- =1e 0)]1ln([1e -+---x x =e ln =118.计算极限(1)21123lim 221-=-+-→x x x x(2)218665lim 222=+-+-→x x x x x (3)2111lim-=--→x x x(4)3142353lim22=+++-∞→x x x x x(5)535sin 3sin lim0=→x x x(6)4)2sin(4lim 22=--→x x x19.设函数⎪⎪⎩⎪⎪⎨⎧>=<+=0sin 0,0,1sin )(x x x x a x b x x x f , 问:(1)当b a ,为何值时,)(x f 在0=x 处有极限存在?(2)当b a ,为何值时,)(x f 在0=x 处连续.答案:(1)当1=b ,a ∈R ,)(x f 在0=x 处有极限存在; (2)当1==b a 时,)(x f 在0=x 处连续。
电大历年试题——经济数学根底 微积分一、单项选择题:1、设,那么=))((x f f 〔 〕.A.x 1 B.21x C.x D.2x 2、以下各函数对中,〔 〕中的两个函数相等.A. x x g x x f ==)(,()(2B. x x g x x f ==)(,)()(2C. x x g x y ln 3)(,ln 3==D. x x g x y ln 2)(,ln 2== 3、以下各函数对中,〔 〕中的两个函数相等.A.x x g x x f ==)(,)()(2B.1)(,11)(2+=--=x x g x x x f C.x x g x y ln 2)(,ln 2== D.1)(,cos sin )(22=+=x g x x x f 4、以下函数在指定区间〔-∞,+∞﹚上单调增加的是〔 〕. A.x sin B.x e C.2x D.x -35、以下函数在指定区间〔-∞,+∞﹚上单调下降的是〔 〕. A.x sin B. x 3 C.2x D. 5-x6、以下函数在指定区间〔-∞,+∞﹚上单调增加的是〔 〕.A.x sinB.x 21C.x 3D.21x -7、函数的定义域是〔 〕.A. [-2,+ ∞)B. [-2,2)),2(+∞⋃C. 〔-∞,-2)),2(+∞-⋃D. 〔-∞,2)),2(+∞⋃ 8、函数的定义域是〔 〕.A.(-2,4)B. (-2,4)),4(+∞⋃C.)4,(-∞D.),2(+∞- 9、函数的定义域是〔 〕.A.1->xB.0>xC.0≠xD. 1->x 且0≠x 10、以下函数中为奇函数的是〔 〕.A.x x y -=2B.x e e y -+=2C.D.x x y sin = 11、以下函数中为偶函数的是〔 〕.A.x x y sin =B. x x y +=2C. .x x y --=22D.x x y cos = 12、以下函数中为偶函数的是〔 〕. A. x x y -=2 B. C. D.x x y sin 2= 13、,当x 〔 〕时,)(x f 为无穷小量.A.0→B.∞→C.1→D.+∞→ 14、,当〔 〕时,)(x f 为无穷小量.A.0→xB.1→xC.-∞→xD.+∞→x 15、当0→x 时,变量〔 〕是无穷小量.A.x 31 B.x xsin C.)2ln(+x D.16、函数⎪⎩⎪⎨⎧=≠=0,0sin )(x k x xxx f ,在)(x f 在x=0处连续,那么k =〔 C 〕.A.-2B.-1 C17、假设,那么=∆-∆+∞→xx f x x f x )()(lim 〔 〕.A.0B.22C. D. 18、曲线x y sin =在点〔π,0〕处的切线斜率为〔 〕.A.1B.2C.21 19、曲线在点〔0,1〕处的切线斜率为〔 〕.A.21-B.2120、曲线1sin +=x y 在点〔0,1〕处的切线方程为〔 〕.A.1+=x yB. 12+=x yC. 1-=x yD. 12-=x y 21、设需求量q 对价格p 的函数为p p q 23)(-=,那么需求弹性为=P E ( )。
试卷代号:2006
中央广播电视大学2003—2004学年度第二学期“开放专科”期末考试
各专业经济数学基础试题
2004年?月一、一、单项选择题(每小题3分,本题共30分)
二、二、填空题(每小题2分,本题共10分)
三、三、极限与微分计算题(每小题6分,共12分)
四、四、积分计算题(每小题6分,共12分)
五、概率计算题(每小题6分,共12分)
试卷代号:2006
中央广播电视大学2003—2004学年度第二学期“开放专科”期末考试
各专业经济数学基础试题答案及评分标准
(供参考)
2004年7月一、单项选择题(每小题3分,本题共30分)
1.B 2.C 3.D 4.C 5.B
6.A 7.D 8.C 9.B 10.A
二、填空题(每小题2分,本题共10分)
11.sin2X+2
12.减少
13.-cotx+c
14. 1.7
15.15.1
三、极限与微分计算题(每小题6分,共12分)
16.解:利用重要极限的结论和极限运算法则得
17.解:等式两端同时求微分得
由此得。
经济数学基础积分学一、单项选择题1.在切线斜率为2x 的积分曲线族中,通过点(1, 4)的曲线为( A ). A .y = x 2+ 3 B .y = x 2+ 4 C .y = 2x + 2 D .y = 4x 2. 若⎰+1d )2(x k x = 2,则k =( A ).A .1B .-1C .0D .21 3.下列等式不成立的是( D ).A .)d(e d exxx = B .)d(cos d sin x x x =- C .x x xd d 21= D .)1d(d ln x x x = 4.若c x x f x +-=-⎰2ed )(,则)(x f '=(D ).A. 2e x-- B. 2e 21x- C. 2e 41x- D. 2e 41x--5. =-⎰)d(e xx ( B ).A .c x x+-e B .c x x x ++--e e C .c x x +--e D .c x xx +---e e6. 若c x x f xx+-=⎰11e d e)(,则f (x ) =( C ).A .x 1 B .-x 1 C .21x D .-21x7. 若)(x F 是)(x f 的一个原函数,则下列等式成立的是( B ).A .)(d )(x F x x f xa=⎰B .)()(d )(a F x F x x f xa-=⎰C .)()(d )(a f b f x x F ba-=⎰D .)()(d )(a F b F x x f ba-='⎰8.下列定积分中积分值为0的是( A ).A .x xx d 2e e 11⎰--- B .x x x d 2e e 11⎰--+ C .x x x d )cos (3⎰-+ππD .x x x d )sin (2⎰-+ππ9.下列无穷积分中收敛的是( C ).A .⎰∞+1d ln x x B .⎰∞+0d e x x C .⎰∞+12d 1x x D .⎰∞+13d 1x x10.设R '(q )=100-4q ,若销售量由10单位减少到5单位,则收入R 的改变量是( B ). A .-550 B .-350 C .350 D .以上都不对 11.下列微分方程中,( D )是线性微分方程.A .y y yx '=+ln 2 B .x xy y y e 2=+'C .y y x y e ='+''D .x y y x y xln e sin ='-''12.微分方程0)()(432=+'''+'xy y y y 的阶是(C ).A. 4B. 3C. 2D. 1 13.在切线斜率为2x 的积分曲线族中,通过点(1, 3)的曲线为( C ). A .42+=x y B .32+=x y C .22+=x y D .12+=x y14.下列函数中,( C )是2sin x x 的原函数.A .-2cos 2x x B .2cos 2x x C .2cos 21x x - D .2cos 21x x 15.下列等式不成立的是( D).A .3ln )d(3d 3x xx = B .)d(cos d sin x x x =-C .x x xd d 21= D .)1d(d ln x x x = 16.若c x x f x +-=-⎰2ed )(,则)(x f '=(D ). A. 2ex--B. 2e 21x-C. 2e 41x-D. 2e 41x--17.=-⎰)d(exx ( B ).A .c x x+-e B .c x x x ++--e e C .c x x +--e D .c x x x +---e e18. 若c x x f xx+-=⎰11e d e)(,则f (x ) =( C ).A .x 1 B .-x 1 C .21x D .-21x19. 若)(x F 是)(x f 的一个原函数,则下列等式成立的是( B ).A .)(d )(x F x x f xa =⎰B .)()(d )(a F x F x x f xa-=⎰C .)()(d )(a f b f x x F ba-=⎰D .)()(d )(a F b F x x f ba-='⎰20.下列定积分中积分值为0的是( A ).A .x xx d 2e e 11⎰--- B .x x x d 2e e 11⎰--+ C .x x x d )cos (3⎰-+ππD .x x x d )sin (2⎰-+ππ21.下列无穷积分中收敛的是( C ).A .⎰∞+0d sin x x B .⎰∞+0d e x x C .⎰∞+12d 1x x D .⎰∞+13d 1x x22.下列微分方程中,( D )是线性微分方程. A .y y yx '=+ln 2 B .x xy y y e 2=+'C .y y x y e ='+''D .x y y x y xln e sin ='-''23.微分方程0)()(432=+'''+'xy y y y 的阶是(C ).A. 4B. 3C. 2D. 1 24.设函数xxx x f cos 1sin )(2+=,则该函数是( A ).A. 奇函数B.偶函数C.非奇非偶函数D.既奇又偶函数 25. 若42)1(2++=+x x x f ,则=')(x f ( A ).A. 22+xB. x 2C. 32+x D. 226. 曲线)sin (21x x y +=在0=x 处的切线方程为( A ). A .x y = B .x y -=C .1-=x yD .1--=x y27. 若)(x f 的一个原函数是x 1, 则)(x f '=( D ).A .x lnB .x 1C .21x -D .32x28. 若c x x x f x+=⎰22e d )(, 则=)(x f ( C ).A. xx 2e2 B. xx22e 2 C. )1(e22x x x+ D. x x 2e二、填空题 1.=⎰-x x d ed2x x d e 2- .2.函数x x f 2sin )(=的原函数是-21cos2x + c (c 是任意常数) . 3.若c x x x f ++=⎰2)1(d )(,则=)(x f )1(2+x . 4.若c x F x x f +=⎰)(d )(,则x f x x)d e (e--⎰=c F x +--)e ( .5.=+⎰e12dx )1ln(d dx x0 . 6.=+⎰-1122d )1(x x x0 .7.无穷积分⎰∞++02d )1(1x x 是 收敛的.(判别其敛散性)8.设边际收入函数为R '(q ) = 2 + 3q ,且R (0) = 0,则平均收入函数为2 + q 23. 9. 0e )(23='+''-y y x 是2 阶微分方程.10.微分方程2x y ='的通解是c x y +=33.11.=⎰-x xd e d 2x x d e 2- 12.__________________d )cos (='⎰x x 。
五、应用题(本题20分)1.设生产某种产品q 个单位时的成本函数为:q q q C 625.0100)(2++=(万元), 求:(1)当10=q 时的总成本、平均成本和边际成本;(2)当产量q 为多少时,平均成本最小?解:(1)总成本q q q C 625.0100)(2++=,平均成本625.0100)(++=q qq C , 边际成本65.0)(+='q q C .所以,1851061025.0100)10(2=⨯+⨯+=C (万元),5.1861025.010100)10(=+⨯+=C (万元)116105.0)10(=+⨯='C .(万元) (2)令 025.0100)(2=+-='qq C ,得20=q (20-=q 舍去).因为20=q 是其在定义域内唯一驻点,且该问题确实存在最小值,所以当20=q 时,平均成本最小.2..某厂生产某种产品q 件时的总成本函数为201.0420)(q q q C ++=(元),单位销售价格为q p 01.014-=(元/件),问产量为多少时可使利润达到最大?最大利润是多少. 解:成本为:201.0420)(q q q C ++=收益为:201.014)(q q qp q R -==利润为:2002.010)()()(2--=-=q q q C q R q Lq q L 04.010)(-=',令004.010)(=-='q q L 得,250=q 是惟一驻点,利润存在最大值,所以当产量为250个单位时可使利润达到最大,且最大利润为12302025002.025010)250(2=-⨯-⨯=L (元)。
3.投产某产品的固定成本为36(万元),且边际成本为402)(+='q q C (万元/百台).试求产量由4百台增至6百台时总成本的增量,及产量为多少时,可使平均成本达到最低. 解:成本函数为:36)402()(0++=⎰qdx x q C当产量由4百台增至6百台时,总成本的增量为=+=+=∆⎰6464264|40|)402(x x dx x C 100(万元)364036)402()(20++=++=⎰q q dx x q C qqq q C 3640)(++=∴ 2361)(q q C -=',令0361)(2=-='qq C 得,6,6-==q q (负值舍去)。
6=q 是惟一驻点,平均成本有最小值,所以当6=x (百台)时可使平均成本达到最低.3、投产某产品的固定成本为36(万元),且边际成本为602)(+='q q C (万元/百台)。
试求产量由4百台增至6百台时总成本的增量,及产量为多少时,可使平均成本达到最低。
解:成本函数为:36)602()(0++=⎰qdx x q C当产量由4百台增至6百台时,总成本的增量为=+=+=∆⎰6464264|60|)602(x x dx x C 140(万元)366036)602()(20++=++=⎰q q dx x q C qqq q C 3660)(++=∴ 2361)(q q C -=',令0361)(2=-='qq C 得,6,6-==q q (负值舍去)。
6=q 是惟一驻点,平均成本有最小值,所以当6=x (百台)时可使平均成本达到最低。
4.已知某产品的边际成本)(q C '=2(元/件),固定成本为0,边际收益q q R 02.012)(-=',求:①产量为多少时利润最大?②在最大利润产量的基础上再生产50件,利润将会发生什么变化? 解:边际利润为:q q C q R q L 02.010)()()(-='-'='令0)(='q L 得,500=q 。
500=q 是惟一驻点,最大利润存在,所以 ①当产量为500件时,利润最大。
② =-=-=∆⎰5505002550500550500|01.0|10)02.010(x x dx x L - 25(元)即利润将减少25元。
5.已知某产品的边际成本为34)(-='q q C (万元/百台),q 为产量(百台),固定成本为18(万元),求最低平均成本.解:因为总成本函数为⎰-=q q q C d )34()(=c q q +-322当q = 0时,C (0) = 18,得 c =18,即C (q )=18322+-q q 又平均成本函数为 qq q q C q A 1832)()(+-== 令 0182)(2=-='q q A , 解得q = 3 (百台) 该问题确实存在使平均成本最低的产量. 所以当x = 3时,平均成本最低. 最底平均成本为9318332)3(=+-⨯=A (万元/百台)6、已知生产某产品的边际成本为q q C +='4)( (万元/百台),收入函数为22110)(q q q R -=(万元),求使利润达到最大时的产量,如果在最大利润的产量的基础上再增加生产200台,利润将会发生怎样的变化?解:边际利润为:q q q q C q R q L 26410)()()(-=---='-'='令0)(='q L 得,3=q 3=q 是惟一驻点,而最大利润存在,所以当产量为3百台时,利润最大。
当产量由3百台增加到5百台时,利润改变量为5325353||6)26(x x dx x L -=-=∆⎰)35()35(622---⨯=41612-=-=(万元) 即利润将减少4万元。
7..设生产某产品的总成本函数为 x x C +=5)((万元),其中x 为产量,单位:百吨.销售x 百吨时的边际收入为x x R 211)(-='(万元/百吨),求:⑴利润最大时的产量;⑵在利润最大时的产量的基础上再生产1百吨,利润会发生什么变化? .解:⑴因为边际成本为 1)(='x C ,边际利润x x C x R x L 210)()()(-='-'='令0)(='x L ,得5=x 可以验证5=x 为利润函数)(x L 的最大值点. 因此,当产量为5百吨时利润最大.⑵当产量由5百吨增加至6百吨时,利润改变量为 65265)10(d )210(xx x x L -=-=∆⎰1-=(万元)即利润将减少1万元.8..设生产某种产品x 个单位时的成本函数为:x x x C 6100)(2++=(万元), 求:⑴当10=x 时的总成本和平均成本;⑵当产量x 为多少时,平均成本最小?.解:⑴因为总成本、平均成本和边际成本分别为:x x x C 6100)(2++=6100)(++=x xx C , 所以,260106101100)10(2=⨯+⨯+=C 26610110100)10(=+⨯+=C , ⑵1100)(2+-='xx C令 0)(='x C ,得10=x (10-=x 舍去),可以验证10=x 是)(x C 的最小值点,所以当10=x 时,平均成本最小.线性代数计算题1、 设矩阵⎥⎥⎥⎦⎤⎢⎢⎢⎣⎡----=121511311A ,求1)(-+A I 。
解:因为 ⎥⎥⎥⎦⎤⎢⎢⎢⎣⎡-=⎥⎥⎥⎦⎤⎢⎢⎢⎣⎡----+⎥⎥⎥⎦⎤⎢⎢⎢⎣⎡=+021501310121511311100010001A I ⎥⎥⎥⎦⎤⎢⎢⎢⎣⎡---→⎥⎥⎥⎦⎤⎢⎢⎢⎣⎡-=+110001010520310501100010001021501310][I A I⎥⎥⎥⎦⎤⎢⎢⎢⎣⎡-----→⎥⎥⎥⎦⎤⎢⎢⎢⎣⎡-→1123355610100010001112001010100310501所以,⎥⎥⎥⎦⎤⎢⎢⎢⎣⎡-----=+-1123355610)(1A I 。
2、设矩阵A =⎥⎥⎥⎦⎤⎢⎢⎢⎣⎡--------843722310,I 是3阶单位矩阵,求1)(--A I 。
解:因为⎥⎥⎥⎦⎤⎢⎢⎢⎣⎡=-943732311A I , (I -A I ) =⎥⎥⎥⎦⎤⎢⎢⎢⎣⎡--→⎥⎥⎥⎦⎤⎢⎢⎢⎣⎡103012001010110311100010001943732311 ⎥⎥⎥⎦⎤⎢⎢⎢⎣⎡---→⎥⎥⎥⎦⎤⎢⎢⎢⎣⎡-----→111103231100010001111012013100110201所以1)(--A I =⎥⎥⎥⎦⎤⎢⎢⎢⎣⎡---111103231。
3.设矩阵 A =⎥⎦⎤⎢⎣⎡--021201,B =⎥⎥⎥⎦⎤⎢⎢⎢⎣⎡142136,计算(AB )-1. .解:因为AB =⎥⎦⎤⎢⎣⎡--021201⎥⎥⎥⎦⎤⎢⎢⎢⎣⎡142136=⎥⎦⎤⎢⎣⎡--1412(AB I ) =⎥⎦⎤⎢⎣⎡-→⎥⎦⎤⎢⎣⎡--1210011210140112⎥⎥⎦⎤⎢⎢⎣⎡→⎥⎦⎤⎢⎣⎡---→121021210112101102 所以 (AB )-1= ⎥⎥⎦⎤⎢⎢⎣⎡1221214.、设矩阵⎥⎥⎥⎦⎤⎢⎢⎢⎣⎡-=012411210A ,⎥⎥⎥⎦⎤⎢⎢⎢⎣⎡-=101B ,求B A 1- 解:求逆矩阵的过程见复习指导P77的4,此处从略。
⎥⎥⎥⎥⎦⎤⎢⎢⎢⎢⎣⎡----=-211231241121A ;所以,⎥⎥⎥⎦⎤⎢⎢⎢⎣⎡-=⎥⎥⎥⎦⎤⎢⎢⎢⎣⎡-⎥⎥⎥⎥⎦⎤⎢⎢⎢⎢⎣⎡----=-131101211231241121B A 。
5..设矩阵⎥⎦⎤⎢⎣⎡=⎥⎦⎤⎢⎣⎡=3221,5321B A ,求解矩阵方程B XA =。
解:⎥⎦⎤⎢⎣⎡--→⎥⎦⎤⎢⎣⎡---→⎥⎦⎤⎢⎣⎡--→⎥⎦⎤⎢⎣⎡13251001132510011301102110015321 ∴⎥⎦⎤⎢⎣⎡--=-13251A ∴⎥⎦⎤⎢⎣⎡-=⎥⎦⎤⎢⎣⎡--⨯⎥⎦⎤⎢⎣⎡==-1101132532211BA X6..设矩阵⎥⎥⎥⎦⎤⎢⎢⎢⎣⎡-=⎥⎥⎥⎦⎤⎢⎢⎢⎣⎡--=112,322121011B A ,求B A 1-.解:利用初等行变换得⎥⎥⎥⎦⎤⎢⎢⎢⎣⎡--→⎥⎥⎥⎦⎤⎢⎢⎢⎣⎡--102340011110001011100322010121001011 ⎥⎥⎥⎦⎤⎢⎢⎢⎣⎡----→⎥⎥⎥⎦⎤⎢⎢⎢⎣⎡----→146100135010001011146100011110001011⎥⎥⎥⎦⎤⎢⎢⎢⎣⎡-----→146100135010134001 即 ⎥⎥⎥⎦⎤⎢⎢⎢⎣⎡-----=-1461351341A由矩阵乘法得⎥⎥⎥⎦⎤⎢⎢⎢⎣⎡--=⎥⎥⎥⎦⎤⎢⎢⎢⎣⎡-⎥⎥⎥⎦⎤⎢⎢⎢⎣⎡-----=-7641121461351341B A 。
1.求线性方程组⎪⎩⎪⎨⎧=-+-=-+-=--1261423623352321321321x x x x x x x x x 的一般解..解:因为增广矩阵⎥⎥⎥⎦⎤⎢⎢⎢⎣⎡----→⎥⎥⎥⎦⎤⎢⎢⎢⎣⎡------=18181809990362112614236213352A ⎥⎥⎥⎦⎤⎢⎢⎢⎣⎡--→000011101401所以一般解为 ⎩⎨⎧+=+=1143231x x x x (其中3x 是自由未知量)2.求线性方程组⎪⎩⎪⎨⎧=-+-=+-+-=-+03520230243214321431x x x x x x x x x x x 的一般解.解:因为系数矩阵⎥⎥⎥⎦⎤⎢⎢⎢⎣⎡----→⎥⎥⎥⎦⎤⎢⎢⎢⎣⎡-----=111011101201351223111201A ⎥⎥⎥⎦⎤⎢⎢⎢⎣⎡--→000011101201 所以一般解为⎩⎨⎧-=+-=4324312x x x x x x (其中3x ,4x 是自由未知量)3、当λ取何值时,齐次线性方程组⎪⎩⎪⎨⎧=+-=+-=+-083035203321321321x x x x x x x x x λ有非0解?并求一般解。