母线的选择
- 格式:docx
- 大小:24.32 KB
- 文档页数:2
母线选择计算方法1.确定负载电流:首先需要确定母线系统中的负载电流。
负载电流通常由负载设备的额定电流决定。
2.选择电流密度:根据电气设备的类型和负载情况,选择合适的电流密度。
电流密度是指单位截面积上所允许的电流值,通常用安培/平方毫米或安培/平方英寸来表示。
3.计算电流容量:根据负载电流和选择的电流密度,计算所需的母线断面积。
计算公式为:电流容量=负载电流/电流密度。
4.确定电压降:根据所选用母线材料的电阻,计算母线上的电压降。
电压降应在允许范围内,一般不超过设备额定电压的5%。
5.选择母线尺寸:根据计算得到的电流容量和电压降,选择合适的母线尺寸。
母线尺寸可以参考国家和行业标准,也可以通过经验确定。
6.确定接线盒尺寸:根据母线尺寸,确定合适的接线盒尺寸。
接线盒应能容纳所选用的母线和连接元件,同时具备良好的散热性能。
在进行母线选择计算时,还需要注意以下几点:1.温度上升:母线在电流通过时会产生一定的热量,因此需要考虑温度上升对母线的影响。
根据母线材料的热阻系数和散热条件,计算母线温升,确保不超过材料的允许温度。
2.过载能力:在计算母线容量时,需要考虑可能出现的过载情况。
过载能力通常由短时载流能力和热稳定性能来定义。
3.系统短路能力:需要考虑母线所在系统的短路能力,确保母线能够承受短路电流造成的电磁力和热应力。
4.电弧烧蚀:在选择母线材料时,需要考虑电弧烧蚀对母线的影响。
一般情况下,母线材料应具备较高的电弧烧蚀抗性。
综上所述,母线选择计算方法涉及到多个因素,包括负载电流、电流密度、电压降、母线尺寸等。
通过合理计算和综合考虑各种因素,可以得到适合的母线尺寸,确保电气系统的安全和可靠运行。
母排的选择及制作要求
母线(排),应足以承载负荷电流,满足发热限制要求,并应具有足够的机械强度,以承载短路引起的电磁力和热应力的冲击
一、母排规格选配原则:
1母线(排)承载的长期额定负载电流,由母线允许最高发热温度确定。
对其承载电流密度能力的影响因素有材质差异(类型和杂质含量)、规格(截面)、工作环境温度、排列布置方式、多排布置电磁感应、交流趋肤效应等。
考虑到交流趋肤效应,母排截面越大,承载电流密度越小,反之,母排截面越小,承载电流密度越大;环境温度越高,承载电流密度越小。
2对于母线(排)截面规格的选择,按见表5和表6进行。
其中,对于主母线(排),按回路的额定工作电流、母线经济电流密度和母线允许最高发热温度进行选择确定;对于分支母线(排),按回路额定工作电流和母线允许最高发热温度进行选择确定。
3母排截面不得低于电器元件自带伸出连接排的截面。
4对低压情况,中性导体(零排)截面应为相母排截面的一半。
表1:垂直搭接
表2:平行搭接
表3:搭接钻孔倒角尺寸
表4:母线相序排列表
二、母线截面规格的选择
三、母排长期允许承载交流负载电流
注:母线竖放时,矩形母排长期允许承载交流负载电流值。
当母排平放时,宽度为60mm及以下的矩形母排长期允许承载交流负载电流值应比本表降低5%,宽度大于60mm的应比本表降低8%。
矩形母排本体最高允许温度为70℃,环境温度为25℃时,矩形母排长期允许承载交流负载电流值。
对其它环境温度(指夏季平均最高环境温度)的矩形母排长期允许承载交流负载电流值,应为本表所列25℃母线允许电流值乘以环境温度校正系数K。
1.母线定义:母线,也称母排或载流排,是承载电流的一种导体。
在开关设备和控制设备中主要用于汇集、分配和传送电能,连接一次设备。
2 母线的类型户内开关设备和控制设备中,母线按截面分为矩形、圆形、D型、U型等,其中由于同截面的矩形母线较圆形、D型、U型等母线电阻小、散热面大、载流量高等原因,矩形母线在40.5kV及以下电压等级中应用最广泛。
圆形和D型母线由于集肤效应较好,防电晕效果好,也有应用,但连接比较复杂。
U型母线一般用于电流较大、力效应要求高的设备中,如发电机出口开关柜。
其额定电流大,一般达到5000A以上,额定峰值耐受电流(IP)大,一般为50kA以上。
按材质分,可分为铜母线、铝母线、铁母线,其中铜母线由于载流量大,抗腐蚀性能和力效应好,应用最广泛。
铝质母线在电流小、非沿海和非石化系统也有应用。
使用铁母线主要从经济上考虑,主要应用于PT连接线。
按自然状态可分为硬母线和软母线。
软母线主要应用于连接不便可以吸收一些力效应的场所,如断路器内部。
3 母线的载流量3.1母线的载流量的定义:母线的载流量是指母线在规定的条件下能够承载的电流有效值。
说明:规定的条件中主要指标是温度,对于户内开关设备和控制设备来讲是指环境温度上限为40℃,下限为-25℃。
3.2母线布置与载流量之间的关系母线立放时载流量比平放时要高一些,一般当母线平放且宽度小于60㎜时,其载流量为立放时的0.95倍, 宽度大于60㎜时其载流量为立放时的0.92倍,这是由于立放时散热性能要比平放时要好的缘故。
3.3 载流量数值根据母线的材质不同,在同一温度下其载流量也不同。
开关设备和控制设备中主要以矩形铜母线为主矩形铝母线为辅。
其载流量数值一般可根据各种设计手册查到。
笔者根据多年经验,通过对各种手册中母线载流量的统计,总结出立放时母线载流量(交流)的简易计算公式。
40℃时单层矩形铜母线的载流量Id(A):Id =k(b+8.5)h式中,b为母线厚度(mm);h为母线宽度(mm);k为系数(A/mm)。
母线安装方案母线安装方案1. 简介母线是电力系统中传输大电流的重要设备,用于将电能从发电厂输送到不同的电力负荷。
母线安装方案是指在电力系统中设计和规划母线的安装方式和布置位置,旨在确保母线的安全运行和高效传输电能。
本文将介绍母线安装方案的主要内容,包括母线的选择、布置与安装,以及必要的安全措施。
2. 母线选择在进行母线安装前,需要对不同类型的母线进行选择。
常见的母线类型有以下几种:2.1 直流母线直流母线适用于直流电力系统,具有较高的电流传输能力和较低的能量损耗。
选择直流母线时,需要考虑电流负荷、母线材质和外部环境等因素。
2.2 交流母线交流母线适用于交流电力系统,传输交流电能。
选择交流母线时,需要考虑电流负荷、母线材质和线路电阻等参数。
2.3 铝母线和铜母线在选择母线材质时,常用的两种材料是铝和铜。
铝母线相对较轻,成本较低,但导电能力较差;铜母线导电能力较好,但成本较高。
根据具体要求,选择适合的母线材质。
3. 母线布置与安装母线的布置与安装是保证电力系统正常运行的重要环节。
具体步骤如下:3.1 确定母线布置方案根据电力系统的结构和负荷要求,确定母线的布置方案。
需要考虑电流负荷均衡、散热和空间限制等因素。
3.2 安装母线支架和绝缘子在确定母线布置方案后,按照设计要求安装母线支架和绝缘子。
母线支架要具备足够的强度和稳定性,以承受母线的重量和外部负荷。
3.3 连接母线与开关设备在安装好母线支架和绝缘子后,需要进行母线与开关设备的连接。
确保连接紧固可靠,电气接触良好,以减少电阻和能量损耗。
3.4 进行绝缘与接地处理母线的绝缘与接地处理是保证系统安全运行的重要环节。
需要对母线进行绝缘处理,以防止母线之间和母线与地之间的电气短路。
同时,对母线进行接地处理,以保证人身安全。
4. 安全措施在进行母线安装过程中,必须遵守相关的安全规定和措施,确保施工人员的安全和母线的安全。
以下是一些常见的安全措施:- 穿戴合适的个人防护装备,如安全帽、护目镜和绝缘手套等;- 使用合适的工具和设备,确保安装过程中的安全性;- 在施工现场设置警示标志,以提醒他人注意危险;- 定期对母线进行检查和维护,确保母线的正常运行。
第六节 母线和电缆的选择一、母线的选择与校验 母线一般按① 母线材料、类型和布置方式;② 导体截面;③ 热稳定; ④ 动稳定等项进行选择和校验;⑤ 对于110kV 以上母线要进行电晕的校验;⑥ 对重要回路的母线还要进行共振频率的校验。
(一) 母线材料、类型和布置方式(1)配电装置的母线常用导体材料有铜、铝和钢.铜的电阻率低,机械强度大,抗腐蚀性能好价格较贵。
(2)常用的硬母线截面有矩形、槽形和管形。
矩形母线常用于35kV 及以下、电流在4000A 及以下的配电装置中。
槽形母线机械强度好,载流量较大,集肤效应系数也较小,一般用于4000~8000A 的配电装置中。
管形母线集肤效应系数小,机械强度高,管内还可通风和通水冷却,因此,可用于8000A 以上的大电流母线.(3)母线的散热性能和机械强度与母线的布置方式有关(二) 母线截面的选择除配电装置的汇流母线及较短导体(20m 以下)按最大长期工作电流选择截面外,其余导体的截面一般按经济密度选择。
1.按最大长期工作电流选择母线长期发热的允许电流I al , 应不小于所在回路的最大长期工作电流I max ,即KI al ≥I max (7—31)式中 I al 一相对于母线允许温度和标准环境条件下导体长期允许电流;K 一综合修正系数,与环境温度和导体连接方式等有关。
2。
按经济电流密度选择按经济电流密度选择母线截面可使年综合费用最低,年综合费用包括电流通过导体所产生的年电能损耗费、导体投资和折旧费、利息等。
从降低电能损耗角度看,母线截面越大越好,而从降低投资、折旧费和利息的角度,则希望截面越小越好.综合这些因素,使年综合费用最小时所对应的母线截面称为母线的经济截面,对应的电流密度称为经济电流密度。
按经济电流密度选择母线截面按下式计算S ec =ecJ I max (7-32) 式中 I max —通过导体的最大工作电流; J ec -经济电流密度在选择母线截面时,应尽量接近按式(7-32)计算所得到的截面,当无合适规格的导体时,为节约投资,允许选择小于经济截面的导体.并要求同时满足式(7-31)的要求。
母线加工的加工工艺
母线加工机工艺
(一)母线的选择
1. 主母线的规格按图纸要求选用
2. 分支母线的规格按该回路电器元件中最大额定电流等级选用。
(二)、下料
按图纸要求确定走线方案,母线走线应尽量沿垂直和水平方向走线,然后用尺将尺寸量好记录下来。
用园盘锯将母线按尺寸下料,下料后将母线两端锯口去掉毛刺。
(三)、母线弯制
1、工具:母线折弯机、虎钳、榔头、活扳子、卷尺、角度尺、平台、胶木板等
2、母线弯制要求:1). 母线弯制分平弯、侧弯、扭弯2). 母线连接应尽量以直线连接并沿水平和垂直方向走线。
3).折弯处应无断裂及脱皮、皱摺现象。
4). 一根母线同时有平弯和侧弯时应先侧弯,后平弯。
5). 折弯时只允许弯一次,但表面仍需无裂痕。
3、技术要求1). 母线平弯时,弯曲半径应大于2倍的料厚。
2). 母线侧弯时,弯角半径不得小于母线宽度 3). 母线扭弯900 时,扭弯部分长度应大于母线宽度B的1.5倍
4、注:使用折弯机直接进行母线的平弯或侧弯。
(四)、母线的钻孔母线安装孔应比连接螺钉大1mm钻孔后孔内壁光滑,后应去毛
刺。
(五)、母线的校平1. 母线用木榔头或铁锤垫胶木板在平台上校平。
2. 母线下料、弯曲、钻孔后,需校平。
(六)、母线的搭接1. 母线在下列情况下可以搭接:1). 侧弯母线在5x50以上时2). 母线弯弯儿过多时或一根母线连接几个电气设备时3). 截面在6x60以上弯制困难时可以搭接
详细资料见:
母线加工机
液压冲孔机。
母线是电力系统中的一个重要元素,它用于汇集和分配电能,确保电力系统的稳定运行。
在电力系统中,母线有很多种类,如单母线、双母线、多母线等,而母线的排列顺序则是根据电力系统的实际情况和设计要求来确定的。
母线的排列顺序一般遵循以下原则:
安全性:首先,母线的排列顺序要确保电力系统的安全运行。
在电力系统中,电流是按照从正极流向负极的规律流动的,因此,母线的排列顺序要保证电流的流向与母线的极性相一致,避免电流逆流或短路现象的发生。
可靠性:其次,母线的排列顺序要确保电力系统的可靠性。
在电力系统中,母线是电力传输和分配的关键设备,如果母线出现故障或损坏,将直接影响到整个电力系统的正常运行。
因此,母线的排列顺序要考虑到设备的可靠性、维护的方便性和使用寿命等因素,以确保电力系统的稳定运行。
经济性:此外,母线的排列顺序还要考虑到经济性。
在电力系统中,母线的排列顺序要尽可能地减少设备数量和占地面积,降低建设和维护成本。
同时,也要考虑到设备之间的连接和配线的方便性和美观性等因素。
在具体实践中,母线的排列顺序要根据电力系统的实际情况和设计要求来确定。
例如,在发电厂中,母线通常按照机炉主变的顺序排列;在变电所中,母线通常按照进出线、主变、馈线的顺序排列;在电力系统中,母线通常按照电压等级、线路、变压器的顺序排列。
总之,母线的排列顺序是电力系统设计中的重要环节之一,它直接影响到电力系统的安全、可靠和经济运行。
因此,在确定母线的排列顺序时,需要综合考虑多个因素,以确保电力系统的稳定运行和经济效益的最大化。
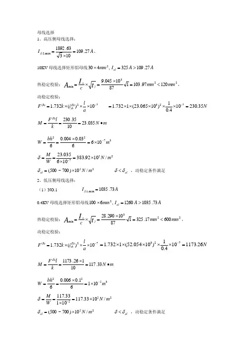
母线选择1、高压侧母线选择:A I fz 27.10910363.1892max .2=⨯=, 10KV 母线选择矩形铝母线,4302mm ⨯A A I al 27.109325>= 热稳定校验:223min 12097.10318710045.9mm mm c t IA j <=⨯=⨯=∞, 动稳定校验: 72)3()3(10)(732.1-⨯⨯⨯=a l i k F sh N 35.230104.01)10065.23(1732.1723=⨯⨯⨯⨯⨯=-m N k l F M ∙===035.231035.230)3( 3722106603.0004.06m bh W -⨯=⨯== 257/1092.383106035.23m N W M ⨯=⨯==-δ 25/10)700~500(m N al ⨯=δ al δδ< ,动稳定条件满足2、低压侧母线选择:(1)NO.1 A I fz 73.1035max .1= 0.4KV 母线选择矩形铝母线,61002mm ⨯A A I al 73.10351260>= 热稳定校验:223min 60017.32518710290.28mm mm c t IA j <=⨯=⨯=∞, 动稳定校验:72)3()3(10)(732.1-⨯⨯⨯=al i k F sh N 26.1173104.01)10054.52(1732.1723=⨯⨯⨯⨯⨯=-m N k l F M ∙=⨯==33.11710126.1173)3( 352210161.0006.06m bh W -⨯=⨯== 255/1033.11710133.117m N W M ⨯=⨯==-δ 25/10)700~500(m N al ⨯=δ al δδ< ,动稳定条件满足(2)NO.20.4KV 母线选择矩形铝母线,61002mm ⨯A A I al 50.12181260>= 热稳定校验:223min 60017.32518710290.28mm mm c t IA j <=⨯=⨯=∞, 动稳定校验:72)3()3(10)(732.1-⨯⨯⨯=al i k F sh N 26.1173104.01)10054.52(1732.1723=⨯⨯⨯⨯⨯=-m N k l F M ∙=⨯==33.11710126.1173)3( 352210161.0006.06m bh W -⨯=⨯== 255/1033.11710133.117m N W M ⨯=⨯==-δ 25/10)700~500(m N al ⨯=δ al δδ< ,动稳定条件满足(3) NO.3 A I fz 78.375max .1= 0.4KV 母线选择矩形铝母线,4402mm ⨯A A I al 78.375425>= 热稳定校验:223min 16029.8118710072.7mm mm c t IA j <=⨯=⨯=∞, 动稳定校验:72)3()3(10)(732.1-⨯⨯⨯=a l i k F sh N 312.73104.01)10012.13(1732.1723=⨯⨯⨯⨯⨯=-m N k l F M ∙=⨯==3312.7101312.73)3( 362210067.1604.0004.06m bh W -⨯=⨯== 256/1073.6810067.13312.7m N W M ⨯=⨯==-δ 25/10)700~500(m N al ⨯=δ al δδ< ,动稳定条件满足 绝缘子和套管选择及校验1、户内支柱绝缘子型号:Y ZA 10- 额定电压 10KV动稳定校验:N F 35.230)3(= N KF al 22501075.36.03=⨯⨯= al KF F <)3(,满足动稳定要求2、穿墙套管:型号:600/10-CWL 动稳定校验:72)3()3(10)(732.1-⨯⨯⨯=al i k F sh N 35.230104.01)10065.23(1732.1723=⨯⨯⨯⨯⨯=- al KF F <)3(N 4500105.76.03=⨯⨯=,满足动稳定要求。
1、主母线的选择:对于高压开关柜主母线的选择,规格不应小于50*5。
如图纸有标明,原则上截面大小以图为准,但规格按本规范,如设计图存在明显不合理时应以书面形式与客户联系。
进线开关柜的额定电流是选择母线大小的最小限度,还要考虑母线应承受主电路的开断电流和动热稳定电流。
联络母线的规格同主母线,根据上述特点。
35kV 主母线根据柜体情况适当放大一级,本公司高压开关柜主母线选择如下:2、支母线的选择对于高压开关柜分支母线的选择,规格按本规范,对于进线柜中的铜排截流量以进线开关所配电流互感器的额定一次电流为选择依据,不应参照主母线或开关的额定电流值,出线柜中的铜排截流量应以出线开关所配电流互感器的额定一次电流为选择依据,同时要考虑高压柜内母线搭接结构的工艺性比如与一次元件的搭接,要满足结构的满搭接要求等。
对于避雷器、电压互感器和传感器的连接排在不影响动热稳定的前提下均按30*3设计。
对于主母线为多根时,要考虑分支母线的厚度尽量统一。
根据上述特点,本公司高压开关柜分支母线选择如下:开关柜的额定电流(A)分支母线选择手车柜载流量≤10050X677563060×6912800~125080×81370160080×1015402000120×10217025002X80X10(异型)31502X120X1040003X120X10额定电流A手车柜载流量63060×81070800~125080×813701600100×816852000120×10217025002X80X1031502X120X1040003X120X10。
5.3 母线与各电压等级出线选择5.3.1 6kV 母线的选择在35kV 及以下、持续工作电流在4000及以下的屋内配电装置中,一般采用矩形母线。
已知:6kV 母线最大负荷电流可达608A ,所以选择LMY-50⨯5的铝母线,相间距离0.35m α=, 3.65f N =,10710E Pa =⨯,50h mm =,5b mm= 热稳定校验:母线最小截面积[4]:min S =(5.18) k Q —短路电流通过电器时所产生的热效应。
S K —校正系数。
C —热稳定系数。
2()()MAX al alII ωθθθθ=+-⨯(5.19)ωθ—母线通过持续工作电流I max 时的温度。
θ —实际环境温度。
al θ—母线正常最高允许温度,一般为70度。
al I —母线对应于θ允许电流。
235(7035)72.8ωθ=+-⨯=取75C θ=︒,查表得85C = ,1S K =。
"2222(10)12k kk t k tQ I I I t =++(5.20) 1.5k t s = , 12.49k I kA = , 6.94tk I kA = 22221.5(12.91012.49 6.94)221.82()12k Q kA S =+⨯+=⋅22k t I 与"2I 的数值较接近所以用"2I 代替。
2min 175250S mm ==≤ 满足要求。
共振校验:312bh J = (5.21) 2M hb ρ= (5.22)MAX L (5.23)33640.050.0051101212bh J m -==⨯=⨯ 220.0050.052700 1.35M hb ka m ρ==⨯⨯⨯=2.28MAX L == 选取 1.5MAX L L =< 则1β=。
动稳定校验:20.167bh ω= (5.24) 2721.7310MAX sh L F i βαω-=⨯⨯⨯ (5.25)273221.51.7310(12.910)10.350.1670.0050.05MAX F -=⨯⨯⨯⨯⨯⨯⨯⨯ 6614.871069pa pa =⨯< 满足要求。
矩形母线的选择条件主要包括以下几项:
1. 电压等级:对于35kV及以下电压等级的配电装置,通常采用矩形母线。
2. 最大工作电流:按最大工作电流Imax选择母线截面。
3. 经济电流密度:按经济电流密度进行选择,以确保经济合理。
4. 热稳定和动稳定:矩形母线应满足热稳定和动稳定的要求,即所选母线应能经受短路电流所产生的最大应力,同时满足动稳定条件。
5. 持续工作电流:矩形母线的截面应满足持续工作电流的要求。
6. 电晕电压:矩形母线应满足电晕电压校验合格的要求。
7. 短路热稳定条件:矩形母线应满足短路热稳定条件校验合格的要求。
8. 短路动稳定条件:矩形母线应满足短路动稳定条件校验合格的要求。
此外,不论选择何种母线均应符合下述几个条件:
1. 母线必须满足持续工作电流的要求。
2. 对于全年平均负荷高、母线较长、输电容量也较大的母线,应按经济电流密度进行选择。
3. 母线应按电晕电压校验合格。
4. 按短路热稳定条件校验合格。
5. 按短路动稳定条件校验合格。
在室外空间大,导线间距宽等情况下,通常会选择软母线进行室外安装,这主要是因为硬母线安装方便且载流量大。
然而,室外空间大,导线间距宽,热损耗少,所以软母线在室外安装更实用。
以上信息仅供参考,如有需要,建议咨询相关领域的专业人士。
母线截面积的选择方法在电力系统中,母线作为电力传输的重要载体,其截面积的选择至关重要。
合理的母线截面积可以保证电力系统的稳定运行,降低线路损耗,提高供电质量。
那么如何正确选择母线截面积呢?以下几点可供参考。
首先,我们需要了解母线截面积选择的依据。
一是电流大小。
母线的截面积应能满足最大负载电流的要求,以确保电流在传输过程中不会因为截面积不足而产生过热等问题。
二是电线材质。
不同材质的电线承受电流能力不同,因此在选择母线截面积时需要考虑材质因素。
三是敷设方式。
母线的敷设方式会影响到电线的散热效果,进而影响到母线的截面积选择。
四是环境温度。
环境温度对电线的载流量有直接影响,高温环境下需要选择较大截面积的母线。
五是短路电流承受能力。
母线截面积应能承受系统短路电流,以防止短路时电线受损。
在实际应用中,母线截面积的选择方法主要有计算法和经验法。
计算法是根据负载电流、电线材质、敷设方式等因素,通过公式计算得出母线截面积。
经验法则是根据工程实践经验,参照类似项目的母线截面积选择。
在选择母线截面积时,还需注意以下几点。
一是满足负载需求,确保电线在传输过程中不会出现过载现象。
二是留有适当余量,以便在后续系统扩容或负荷增长时,母线仍能满足需求。
三是考虑线路安全性,避免因为母线截面积不足导致的火灾、短路等事故。
四是遵循相关规范标准,确保母线截面积选择的合法性。
总之,母线截面积的选择是一个综合性的问题,需要充分考虑多种因素。
只有合理选择母线截面积,才能确保电力系统的安全稳定运行,降低线路损耗,提高供电质量。
Clinker Cement Plant 项目10KV 母线的选择及校验文/符家学主要从事自动控制原理、供用电技术、现代电气控制PLC 应用、单片机、电机拖动控制主要是从事电力生产、 电力继电保护、控制设计、电路与磁路、自动控制原理电力设计、规划、电力系统分析等等本项目由2台14018kW 和3台11038kW 组成,其运行最大功率50112kW 。
最大运行功率运行额定电流3288A ,故每相母线选择2⨯100⨯10即可满足要求、其载流量3610A 。
如下校验:1) 热稳定校验母线正常运行最高温度为:)(5.66)3610/3288()2570(25)/)((22max C I I al al W =⨯-+=-+=θθθθ参考《发电厂电气部分》243页、表6-3得:66=C ,则母线最小截面min S 为: )(2000)(75.2216630.11077.164226min mm mm CK Q S S K <=⨯⨯==满足热稳定。
2) 动稳定校验由短路电流计算结果表查得,短路冲击电流为:KA i h 244.168s =相间距离α取m 35.0 )(53.3111)10244.168(35.011073.11073.13727m N i l f ch ph =⨯⨯⨯⨯⨯=⨯⨯⨯⨯=--βα )(1013.2308.001.033533m bh W ph -⨯=⨯==)(1029.31013.2105.153.311106523Pa W l f ph ph ph ⨯=⨯⨯⨯==-σ 由125.08010==h b 、111.08010101022=+-⨯=+-h b b b ,参考《发电厂电气》图2-15得:48.012=K同相条间应力为:)(31.75648.001.025*******.01025.0271227m N K bi f ch b =⨯⨯⨯=⨯⨯⨯=-- )(16.131.75610)29.670(08.0201.0)(26max m f h b L bph al b =⨯-⨯⨯⨯=-=σσ 29.116.15.1max ==b L L, max 75.025.12b b L m L L <=== 满足动稳定的要求。
导线和电缆选择导线和电缆的选择是供配电设计中的重要内容之一。
导线和电缆是分配电能的主要器件,选择得合理与否,直接影响到有色金属的消耗量与线路投资,以及电力网的安全经济运行,提倡选用铜线,以减少损耗,节约电能,特制在易爆炸、腐蚀严重的场所,以及用于移动设备、检测仪表、配电盘的二次接线等,必须采用铜线。
导线和电缆的选择,必须满足用电设备对供电安全可靠和电能质量的要求,尽量节省投资,降低年运行费,布局合理,维修方便。
导线和电缆的选择包括两个方面:①型号选择;②截面选择。
高压侧母线选择进线方式有两种:架空进线和电缆进线。
根据实际情况,我们选用了架空进线。
根据下面导线和电缆型号的选择原则,经组内讨论研究决定,在高压侧母线,我们选用了铝绞线。
综合个方面性能指标,以及选择原则,铝绞线性能较好,重量轻,对风雨抵抗力较强,这一点非常实用与室外,且其价格较低,适用场合更广泛,因此我们选用了铝绞线。
导线和电缆型号的选择原则导线和电缆型号的选择应根据其使用环境、工作条件等因素来确定。
1.常用架空线路导线型号及选择户外架空线路6kV及以上电压等级一般采用裸导线,380V电压等级一般采用绝缘导线裸导线常用的型号及适用范围为:(1)铝绞线(LJ)该导线性能较好,重量轻,对风雨作用的抵抗力较强,但对化学腐蚀作用的抵抗力较差。
多用于6~10kV的线路,其受力不大,杆距不超过100~125m。
(2)钢芯铝绞线(LGJ)该导线的外围为铝线,芯子采用铜线,这就解决了铝绞线机械强度差的问题。
由于交流电的趋肤效应,电流通过导线时,实际只从铝线经过,钢芯铝绞线的截面就是其中铝线的截面。
在机械强度要求较高的场所和35kV 及以上的架空线路上多被采用。
(3铜绞线(TJ )该导线导电性能好,机械强度好,对风雨和化学腐蚀作用的抵抗力较强,但价格较高,是否选用应根据实际需要而定。
(4)防腐钢芯铝绞线(LGJF )具有钢芯铝绞线的特点,同时防腐线性能好,一般用于沿海地区、咸水湖及化工工业地区等周围有腐蚀性物质的高压和超高压架空线路上。
电力用铜铝复合母线选用导则导线是电力系统中传输电能的重要组成部分,而母线作为一种特殊的导线,在电力系统中起着至关重要的作用。
在电力系统中,铜铝复合母线作为一种新型的导线材料,其优越的导电性能和良好的电气性能使其成为了电力系统中的首选材料之一。
本文将以电力用铜铝复合母线选用导则为主题,探讨铜铝复合母线的特点、选用原则以及应注意的问题。
一、铜铝复合母线的特点铜铝复合母线是由高纯度铜和铝通过特殊工艺复合而成的一种导线材料。
相较于传统的纯铜母线,铜铝复合母线具有以下几个特点:1. 高导电性能:铜铝复合母线采用铜作为表面层,具有优良的导电性能,能够满足电力系统对导线的高电流传输需求。
2. 轻质化:由于铝的密度较低,采用铜铝复合母线可以减轻电力设备的重量,提高电气设备的整体效率。
3. 良好的抗氧化性能:铜铝复合母线的铝层能够有效地抵抗氧化腐蚀,延长导线的使用寿命。
4. 低成本:相较于纯铜母线,铜铝复合母线具有较低的材料成本,能够降低电力系统的建设和运营成本。
二、铜铝复合母线选用原则在实际应用中,选用合适的铜铝复合母线对于电力系统的安全稳定运行具有重要意义。
以下是选用铜铝复合母线的原则:1. 电流负载能力:根据电流负载的大小选择合适的母线规格,确保母线能够承受正常工作电流而不发生过载。
2. 电压降限制:根据电压降的要求选择合适的母线截面积,避免由于电压降过大而引起的电力损耗和设备工作异常。
3. 短路电流能力:母线在短路状态下需要能够承受瞬时大电流,因此选用母线时要考虑其短路电流能力,以确保系统的安全运行。
4. 环境适应性:根据实际使用环境的温度、湿度等因素选择合适的母线材料,以保证母线在各种恶劣条件下的可靠性和稳定性。
三、选用铜铝复合母线应注意的问题在选用铜铝复合母线时,还需要注意以下几个问题:1. 导线连接方式:选择合适的导线连接方式,确保导线之间连接紧固可靠,减小接触电阻,避免温升过高。
2. 导线绝缘保护:对于需要绝缘保护的导线,应选用合适的绝缘材料进行绝缘处理,以防止导线之间或导线与其他金属接触而引起的短路故障。
母线的选择
一般10kV 及低压母线选择参照《工厂供电设计指导》中表5-28,所选母线均满足短路动稳定和热稳定要求,不必进行短路校验。
但对35kV 母线应按发热条件进行选择,并校验其短路稳定度。
35kV 母线的选择
初选LMY-3(40×5),以下对其进行短路校验。
母线的动稳定度校验
已知母线的动稳定校验条件
LMY 母线材料的最大允许应力al σ=MPa 70。
由短路计算可知,35kV 母线的短路电流:(3) 4.15sh
I KA =(3)7.01sh i KA = 三相短路冲击电流产生的电动力:
式中,l —母线档距,取档数为3
母线通过三相短路冲击电流时所受到的弯曲力矩:
母线的截面系数
母线在三相短路时的计算应力:
由此可见,al σ=MPa 70≥c σ=MPa 11.6,满足动稳定度要求。
母线的热稳定度校验
已知母线的热稳定校验条件 查阅有关产品资料,铝母线的短路热稳定系数2/87mm s A C =,短路发热假想时间。
母线截面2200540mm mm mm A =⨯=
满足短路热稳定条件的最小截面
因此,2min 14.53mm A A =≥,满足短路热稳定度要求。
因此35kV 母线采用LMY-3(40×5),即母线尺寸为40mm ×5mm 。
10kV 母线的选择
参照《工厂供电设计指导》中表5-28,总降压变电所10kV 母线选LMY-3(40×4),即母线尺寸为40mm ×4mm ;车间变电所Ⅰ、车间变电所Ⅱ及车间变电所Ⅲ的10kV 母线也选为LMY-3(40×4)。
380V 母线选择
参照《工厂供电设计指导》中表5-28,车间变电所Ⅰ380V母线选择为LMY-3(80×6)+50×5,即相母线尺寸为80mm×6mm,而中性线母线尺寸为50mm×5mm。
车间变电所Ⅱ380V母线选择为LMY-3(100×8)+60×6,即相母线尺寸为100mm×8mm,而中性线母线尺寸为60mm×6mm。
车间变电所Ⅲ380V母线选择为LMY-3(100×10)+80×8,其中相母线为双条,尺寸为100mm×10mm,而中性线母线尺寸为80mm×8mm。