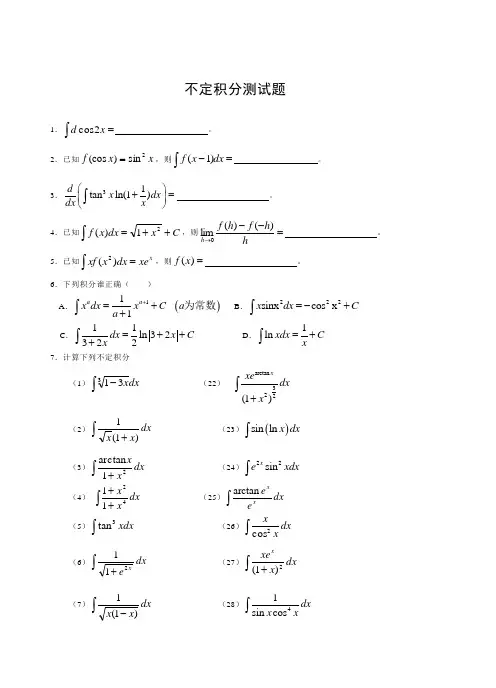
不定积分单元测试题
- 格式:doc
- 大小:409.00 KB
- 文档页数:4
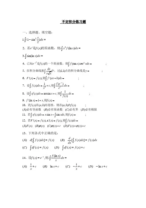
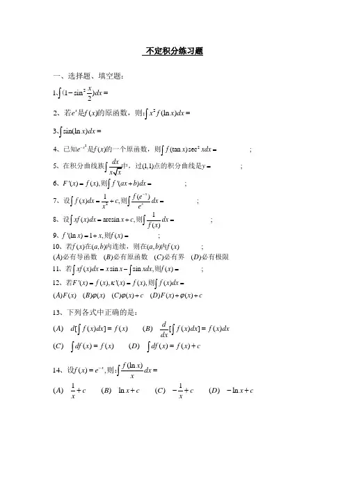
不定积分练习题211sin )_________2xdx -=⎰一、选择题、填空题:、( 22()(ln )_______x e f x x f x dx =⎰、若是的原函数,则:3sin(ln )______x dx =⎰、2224()(tan )sec _________;5(1,1)________;6'()(),'()_________;1()7(),_________;18()arcsin ,______()x x xe f x f x xdx y F x f x f ax b dx f e f x dx c dx x exf x dx x c dx f x --===+==+==+=⎰⎰⎰⎰⎰⎰、已知是的一个原函数,则、在积分曲线族点的积分曲线是、则、设则、设则____;9'(ln )1,()________;10()(,)(,)()______;()()()()11()sin sin ,()______;12'()(),'()(),()_____()()()()()(f x x f x f x a b a b f x A B C D xf x dx x x xdx f x F x f x x f x f x dx A F x B x C x κϕϕ=+==-====⎰⎰⎰、则、若在内连续,则在内必有导函数必有原函数必有界必有极限、若则、若则)()()()c D F x x cϕ+++13()[()]()()[()]()()()()()()()dA d f x dx f xB f x dx f x dx dxC df x f xD df x f x c====+⎰⎰⎰⎰、下列各式中正确的是: (ln )14(),_______11()()ln ()()ln x f x f x e dx xA cB x cC cD x cxx-==++-+-+⎰、设则:15______1()arcsin ()()2arcsin(21)2()arcsin(21)A c B cC x cD x c =+-+-+16()[,][,]()()()()()()()()'()f x a b a b A f x B f x C f x D f x f x 、若在上的某原函数为零,则在上必有____的原函数恒等于零;的不定积分恒等于零;恒等于零;不恒等于零,但导函数恒为零。
第四单元 不定积分一、填空题1、⎰dx x x =___________。
2、⎰x xdx 2=_____________。
3、⎰+-dx x x )23(2=_____________。
4、⎰-dx x x x sin cos 2cos =___________。
5、⎰+x dx 2cos 1=____________。
6、dt t t ⎰sin =___________。
7、⎰xdx x sin =___________。
8、⎰xdx arctan =__________。
9、=+⎰dx x x 2sin 12sin ____________。
10、⎰=''dx x f x )(____________。
11、⎰=++dx x x 1)3(1________________。
12、⎰=++__________522x x dx 。
二、单项选择1、对于不定积分()dx x f ⎰,下列等式中( )是正确的.(A )()()x f dx x f d =⎰; (B ) ()()x f dx x f ='⎰; (C ) ()()x f x df =⎰; (D ) ()()x f dx x f dx d =⎰。
2、函数()x f 在()+∞∞-,上连续,则()[]dx x f d ⎰等于( )(A )()x f ; (B )()dx x f ; (C )()C x f + ; (D )()dx x f '。
3、若()x F 和()x G 都是()x f 的原函数,则( )(A )()()0=-x G x F ; (B )()()0=+x G x F ;(C )()()C x G x F =-(常数); (D )()()C x G x F =+(常数)。
4、若⎰+='c x dx x f 33)(,则=)(x f ( )(A )c x +3556;(B )c x +3559;(C )c x +3;(D )c x +。
不定积分练习题一、选择题、填空题:1、 ((1—sin 2X)dx =2 -------------2、 若 e x 是f (x)的原函数,贝x 2f(lnx)dx = ________3、sin (I n x)dx 二 __12、若 F '(x)工f(x), • '(x)工 f (x),则 f(x)dx= _______________________________________________ (A)F(x) (B) :(x) (C) :(x) - c (D)F(x)(x) c13、下列各式中正确的是: (A) d[ f(x)dx]二 f(x) (B)—[ f(x)dxp f(x)dxdx L(C) df(x)二 f(x) (D) df(x)二 f(x) c 14、设 f(x)=e :则:f(lnx)dx = _____________2已知e 公是f (x)的一个原函数,贝V f (tan x)sec xdx 二__ 在积分曲线族(卑中,过(1,1点的积分曲线是y=_'x\!xF'(x)= f (x),贝》J f'(ax+b)dx = ________ ; 设 [f (x)dx =丄 + c ,贝叮 "号)dx = _________; e 「dx=____ ;"f(x)f '(ln x) =1 x,则f (x)二 ______ ;10、 若 f (x)在(a, b)内连续,则在(a, b)内 f (x) ___ ;(A)必有导函数(B)必有原函数 (C)必有界(D)必有极限11、 ______________________________________________ 若 Jxf (x)dx = xs in x — [sin xdx,贝 V f (x) = ________ ; 4、5、 6、7、9、设 xf (x)dx =arcsin x c,贝Vx1 1(D) - In x c (A) — c (B) lnx c (C) -― cx x15、、* ■ dx =,x(1-x)1(A) -arcsin x c (B) arcsin . x c (C) 2arcsin(2x-1) c(D) arcsin(2x -1) c16、______________________________________________________ 若f (x)在[a,b]上的某原函数为零,则在[a,b]上必有_____________(A)f(x)的原函数恒等于零;(C)f(x)恒等于零;二、计算题:- w (28)设f (si n2x) ,求: (B)f(x)的不定积分恒等于零;(D) f (x)不恒等于零,但导函数f '(x)恒为零。
第四章 不定积分单元测试题一、填空题(每小题3分,共15分) 1. 如果xe -是函数()f x 的一个原函数,则()f x dx =⎰ 。
2. 若()2cos 2xf x dx C =+⎰,则()f x = 。
3. 设1()f x x=,则()f x dx '=⎰ 。
4.()()f x df x =⎰ 。
5. sin cos x xdx =⎰。
二、单项选择题(每小题3分,共15分)1. 设3()ln sin 44f x dx x C =+⎰,则()f x =( )。
A . cot 4x B . cot 4x - C . 3cos 4x D . 3cot 4x 2. ln xdx x=⎰( )。
A . 21ln 2x x C + B . 21ln 2x C +C . ln x C x +D . 221ln xC x x-+ 3. 若()f x 为可导、可积函数,则( )。
A . ()()f x dx f x '⎡⎤=⎣⎦⎰B . ()()d f x dx f x ⎡⎤=⎣⎦⎰C .()()f x dx f x '=⎰D .()()df x f x =⎰4. 下列凑微分式中( )是正确的。
A . 2sin 2(sin )xdx d x =B .d= C . 1ln ()x dx d x=D . 21arctan ()1xdx d x =+ 5. 若2()f x dx x C =+⎰,则2(1)xf x dx -=⎰( )。
A . 222(1)x C ++ B . 222(1)x C --+ C . 221(1)2x C ++ D . 221(1)2x C --+三、计算题(每小题10分,共60分)1. 2tan xdx ⎰2. 2194dx x -⎰3. 2sin xdx ⎰4.5. dx6. arcsin xdx ⎰四、计算题(共10分) 已知()f x 的一个原函数为sin xx,求()xf x dx '⎰。
不定积分练习题带答案题目一计算以下不定积分:$$ \\int (3x^2 - 4x + 2)dx $$解答:首先,根据不定积分的性质,我们可以将不定积分的运算符号移到每个项上,然后分别对每个项进行积分。
$$ \\int (3x^2 - 4x + 2)dx = \\int 3x^2dx - \\int 4xdx +\\int 2dx $$对每个项分别进行积分运算:$$ \\int 3x^2dx = \\frac{3}{3}x^3 + C_1 = x^3 + C_1 $$$$ \\int 4xdx = 4 \\cdot \\frac{1}{2}x^2 + C_2 = 2x^2 + C_2 $$$$ \\int 2dx = 2x + C_3 $$将每个项的积分结果相加,得到最终的答案:$$ \\int (3x^2 - 4x + 2)dx = x^3 + 2x^2 + 2x + C $$这里的C是常数,表示积分常数,它可以任意取值。
题目二计算以下不定积分:$$ \\int \\frac{1}{x}dx $$解答:对于这个不定积分,我们可以使用换元积分法来计算。
令$ u = \ln|x| $,则 $ du = \frac{1}{x}dx $。
将 $ u = \ln|x| $ 代入原积分,得到:$$ \\int \\frac{1}{x}dx = \\int du = u + C = \\ln|x| + C $$这里的C是常数,表示积分常数,它可以任意取值。
题目三计算以下不定积分:$$ \\int e^x dx $$解答:这个不定积分是一个基本的指数函数积分。
根据指数函数的性质,对于任意实数 $ a $,有 $ \int e^{ax} dx =\frac{1}{a}e^{ax} + C $。
将原积分与上述性质进行对比,可以看出 a=1,所以:$$ \\int e^x dx = \\frac{1}{1} e^x + C = e^x + C $$这里的C是常数,表示积分常数,它可以任意取值。
不定积分测试题1.=⎰x d 2cos 。
2.已知x x f 2sin )(cos =,则=-⎰dx x f )1(。
3.31tan ln(1)d x dx dx x ⎛⎫+= ⎪⎝⎭⎰。
4.已知C x dx x f ++=⎰21)(,则=--→hh f h f h )()(lim。
5.已知⎰=xxe dx x xf )(2,则=)(x f 。
6.下列积分谁正确( ) A .()111aa x dx x C a a +=++⎰为常数 B .222sinx cos x x dx C =-+⎰ C .11ln 32322dx x C x =+++⎰ D .1ln xdx C x=+⎰ 7.计算下列不定积分(1)⎰-dx x 331(22)a r c t a n322(1)x xe dx x +⎰(2)⎰+dx x x )1(1(23)()sin ln x dx ⎰(3)⎰+dx x x21arctan (24)22sin x e xdx ⎰(4) ⎰++dx x x 4211 (25)⎰dx e e xxarctan (5)⎰xdx3tan(26)⎰dx xx2cos (6)⎰+dx ex211(27)⎰+dx x xe x2)1( (7)⎰-dx x x )1(1(28)41sin cos dx x x ⎰(8)⎰+dx xx 2cos 2cos(29)()311+⎰(9)⎰+dx xx 12(30)33sin sin cos xdx x x +⎰(10)⎰++-dx x x x 2124 (31)(11)⎰dx x 4cos 1(32)()2ln 4x x dx +⎰(12)(33)()22arctan 1x dx x x +⎰(13)⎰+dx xxx ln 1ln(34)22(tan 1)xex dx +⎰(14)⎰-dx e xe xx 1(35)()22ln 1x xdx x +⎰(15)⎰-dx xa xx2(36)(16)⎰-dx xa x 222(37)()|1||1|x x dx +--⎰(17)⎰xdx x 2ln(38)()23max ,x x dx ⎰(18)⎰xdx x tan ln sin(39)1sin 1cos x xe dx x++⎰(19)⎰(40)()11x x dx x xe ++⎰(20)⎰dx x 2)(arcsin (41)dx ⎰ (21)⎰dx x x sin参考答案1.cos 2x 2.323x x c -++ 3.31tan ln 1x x ⎛⎫+ ⎪⎝⎭4.25.xe C7.解:(1)原式=1(13)3x --=431(13)4x C --+(2)原式=2122arctan 1C =+⎰(3)原式=()21arctan arctan arctan 2xd x x C =+⎰ (4)原式=221x dx x x --++⎰()()1212d x x x x ---=-+⎰1C -=+ (5)3cos (tan tan )tan tan tan cos d xx x dx xdx xd x x+-=+⎰⎰⎰⎰20.5tan ln |cos |x x C =++(6)ln(x x e C --=-=-(7)原式=11()2arcsinarcsin(21)12d x x c x C --=+=-+(8)原式===3x C =+(9) 原式=21(1)ln |1|12x x dx x x C x -+=-++++⎰ (10)原式=3243213123(236)613ln |2|2432x x x dx x x x x x C x -+-+=-+-++++⎰(11)原式=4231sec (1tan )tan tan tan 3xdx x d x x x C =+=++⎰⎰ (12)原式=123/23/2sin cos 2cos cos cos x d xdx x C x x -=-=+⎰⎰(13)原式=()ln ln (1)x u x d u ==+⎰=332222(1)(1ln )33u C x C +-=+-(14)原式=222=⎰22ln(1)2221t x t tt dt t=++⎰2124(1)21dt C t =-=+⎰(15)令u =,得222,22x u x au xu a x ==--, 2221au x u =+,224(1)audx du u -=+ 则原式=232222232481(1)(1)au au u u du a du u u u -=-+++⎰⎰3tan 224tan 8sec sec u tt a tdt t ==-⎰ 22423243sin 8cos 8sin cos 2sin cos t a tdt a t tdt a t C t=-=-=-+⎰⎰(代入略) (16) 原式 22222sin sin cos (1cos 2)sin 2cos 224a t a a a x a t a tdt t dt t t C a t ==-=-+⎰⎰2arcsin 2a x C a =- (17)原式⎰⎰⎰⎰-====tdt t t t dt tdt t tdt t t x t ln 316ln 38ln 38ln 82ln 223322222⎰⎰+-=-=dt t t t t t tdt t t 2323323916ln 916ln 38ln 916ln 38323381616ln ln 3927t t t t t C =-++ (18)解:原式⎰-=x xd cos tan ln =2cos ln tan cos cot sec x x x x xdx -+⋅⋅⎰⎰+-=dx x x x sin 1tan ln cos11cos cos ln tan ln ||21cos xx x C x+=--+-(19)原式⎰⋅==tdt t xt 2arctan 2arctan tdt =⎰222arctan 1t t t dt t=-+⎰2arctan arctan t t t t C =-++x C =(20)原式arcsin 222cos sin sin 2sin x tttdt t d t t t t tdt ==⋅==-⎰⎰⎰⎰+=t td t t cos 2sin 2⎰--=tdt t t t t cos 2cos 2sin 22sin 2cos 2sin t t t t t C =--+2arcsin 2x x x x C =--+(21)解:原式⎰⎰=⋅⋅==tdt t tdt t t tx sin 22sin 32332322cos 2cos 6cos 2cos 6sin t d t t t t tdt t t t d t =-=-+⋅=-+⎰⎰⎰ ⎰-+-=tdt t t t t t sin 12sin 6cos 223 ⎰++-=t td t t t t cos 12sin 6cos 223322cos 6sin 12cos 12sin t t t t t t t C =-++-+3226x x C =-(22)原式arctan tan tan sin cos sin sec cos t x t t tt xte t Idt t e dt e tdt t t ====⋅⋅=⎰⎰⎰⎰⎰⎰-=-==t t t t t tde t e tdt e t e tde cos sin cos sin sin --=--=⎰t e t e tdt e t e t e t t t t t cos sin sin cos sin Iarctan arctan 1111sin cos sin(tan )cos(tan )2222t t x x I e t e t C e x e x C =-+=⋅-⋅+(23)解:I ()sin(ln )sin(ln )cos ln x dx x x x dx ==-⎰⎰()()()sin(ln )cos ln sin ln sin ln cos ln x x x x x xdx x x x x C I =--=-+-⎰1(sin(ln )cos(ln ))2I x x x x C =-+ (24)原式,cos 21412cos 1222xdx e e dx x e x x x ⎰⎰-=-⋅=令2cos 2x I e xdx =⎰ I =xdx e x e xde x x x 2sin 2cos 212cos 21222⎰⎰+=xx de x x e 222sin 212cos 21⎰+=22211cos 2sin 2cos 222x x x e x x e C e xdx =+⋅+-⎰2211cos 2sin 222x x e x e x C I =++- 221cos 2sin 24x x I e x e x C =++原式c x e x e e xx x +--=2sin 812cos 8141222(25)原式dx e e ee e de e dx e e xx xx x x x x x ⎰⎰⎰++-=-==----21arctan arctan arctan c e x ee dx e e e e e x x x x x x x x ++-+-=+-++-=⎰)1ln(21arctan 11arctan 2222 (26)原式⎰⎰++=-==c x x x xdx x x x xd |cos |ln tan tan tan tan(27)原式2111()1(1)11x xxe e dx dx e d x x x x =-=+++++⎰⎰⎰111x x x e e e dx dx x x x =+-+++⎰⎰c x e x++=1(28)原式424241sin cos sin cos sin cos (1cos )cos x d xdx dx x x x x x x===--⎰⎰⎰ cos 24(1)u xdu u u ==--⎰()()du u u du u u u du u u ⎰⎰⎰---=-+--=22442221111)1(34221111111()ln ||1321u du du u c u u u u u-+=--+=+++--⎰⎰c xxx x +-+++=|cos 1cos 1|ln 21cos 1cos 1313(29)原式dt t t dt t t t tx tx ⎰⎰+=+===3332)1(44)1(14423211414()2(1)(1)1(1)dt C t t t t =-=-++++++⎰C =+(30)原式⎰⎰⎰+=+=+⋅==3tan 3321tan 1tan tan 1tan sec tan u udux d x x dx x x x x u()()()()()du u du u u u du u u u u u u u ⎰⎰⎰+-+-+=+-++--++=113111311111131222 2131122ln |1|331324u du u u -+=-+⎛⎫-+ ⎪⎝⎭⎰21111ln(1)2ln |1|623u u u u C -=-++-++211ln(tan tan 1)ln |1tan |63x x x C =-++-++ (31)原式tdt t t d tdt t t t tx ⎰⎰⎰+-=⋅+==222sin csc 2sin cos cos cos sin 2sin11cos ln ||2cot()21cos tt C t+=--+- (32)原式du uu u u du u dx x x u ⎰⎰⎰+-+=+=+==4)4ln(21)4ln(21)4ln(21222 1ln(4)4ln(4)2u u u u C =+-+++ 22221ln(4)4ln(4)2x x x x C =+-+++ (33)原式=x x xd dx xx x 222arctan 211arctan )111(arctan ⎰⎰-=+-=x dx x x x x 22arctan 21111arctan -++-⎰ =()x dx xx x x x x 2222arctan 2111arctan -+-++-⎰ =()x dx xx dx x x x 22arctan 2111arctan -+-+-⎰⎰ =22arctan 11ln ||ln(1)arctan 22x x x x C x -+-+-+(34)原式=2222(tan 12tan )tan 2tan x x x e x x dx e d x e xdx ++=+⎰⎰⎰ =222tan 2tan 2tan xx x ex xe dx e xdx C -++⎰⎰=2tan x e x C +(35)原式=dx x x x x x xd ⎰⎰+++-=+-)1(1211ln 21)11(ln 21222=dx x xx x x )11(211ln 2122+-++-⎰=221ln 11ln ||ln(1)2124x x x C x -+-+++ (36)原式=c x x x xd x d x+++-=+-=+⎰⎰)cos 1ln(cos )(cos 1cos sin cos 114222224(37)令1(1)2,1()|1||1|1(1)2,111(1)2,1x x x f x x x x x x x x x x ----=-≤-⎧⎪=+--=+--=-≤≤⎨⎪+--=>⎩12232,1()(),112,1x c x F x f x dx x c x x c x -+≤-⎧⎪==+-<≤⎨⎪+>⎩⎰由连续特性知:122321,12c c c c +=++=+,213211,1c c c c c ∴=+=-+=故12112,1()1,112,1x c x F x x c x x c x -+≤-⎧⎪=++-<≤⎨⎪+>⎩(38)解:()()23max ,f x x x == ⎪⎩⎪⎨⎧<≥1,1,23x x x x原式=41311,1411,1312x c x x c x ⎧+≥⎪⎪⎨⎪-+<⎪⎩(39)原式=22sin cos 222cos 2x x x e dx x ⎛⎫+ ⎪⎝⎭⋅⎛⎫ ⎪⎝⎭⎰220.5(tan1)0.5(sec 2tan )222x x x x x e dx e dx =+=+⎰⎰tan tan tan tan tan 22222x x x x x x x x x x e d e dx e e dx e dx C ⎛⎫=+=-++ ⎪⎝⎭⎰⎰⎰⎰tan2x xe C =+ (40)原式=()()11xx x x e dx xe xe ++⎰()11ln ln 11x x x x x d xe xe xe C xe xe ⎛⎫=-=-++⎪+⎝⎭⎰ (41)令u =,231x ux +=-,223xu u x -=+ 所以()222238,11u ux dx du u u +-==-- 原式=()()222222181188111u u u du du du u u u u --⎛⎫-=-=- ⎪-⎝⎭--⎰⎰⎰14ln4ln 1uC C u +=+=+-。
不定积分单元测试题-CAL-FENGHAI-(2020YEAR-YICAI)_JINGBIAN不定积分单元测试题一、选择题(本大题共 10 小题,每小题2分,总计 20 分 )1、设12(),()F x F x 是区间I 内连续函数()f x 的两个不同的原函数,且()0f x ≠,则在区间I 内必有( )(A )12()()F x F x C -=; (B )12()()F x F x C ⋅=;(C )12()()F x CF x =; (D )12()()F x F x C +=2、若()(),F x f x '=则()dF x ⎰=( )(A )()f x ; (B )()F x ;(C )()f x C +;(D )()F x C +3、()f x 在某区间内具备了条件( )就可保证它的原函数一定存在(A )有极限存在; (B )连续;(C )有界; (D )有有限个间断点4、函数2()(||)f x x x =+的一个原函数()F x = ( ) (A )343x ; (B )243x x ; (C)222()3x x x +; (D )22()3x x x + 5、已知一个函数的导数为2y x '=,12x y ==且时,这个函数是( )(A )2;y x C =+ (B )21;y x =+ (C )22x y C =+; (D )1y x =+. 6、下列积分能用初等函数表出的是() (A )2x e dx -⎰; (B )(C )1ln dx x ⎰; (D )ln x dx x ⎰. 7、2ln x dx x =⎰( )(A )11ln x C x x ++; (B )11ln x C x x--+; (C )11ln x C x x -+; (D )11ln x C x x -++8、10(41)dx x =+⎰( ) (A )9119(41)C x ++; (B )91136(41)C x ++; (C )91136(41)C x -++; (D )111136(41)C x -++ 9、 dx x⎰-211=( ) (A) 1ln 122x --+C; (B) 2ln 12x -+C; (C) 1ln 122x -+C; (D) ln 12x -+C 10、设x e -是()f x 的一个原还函数,则⎰dx x xf )(=( )(A )()1x e x C --+ (B )()1x e x C -++(C )()1x e x C --+ (D )()1x e x C --++二、填空题(将正确答案填在横线上)(本大题共5小题,每小题3分,总计 15 分 )1、()f x 的 称为()f x 的不定积分。
不定积分练习题211sin )_________2xdx -=⎰一、选择题、填空题:、( 22()(ln )_______x e f x x f x dx =⎰、若是的原函数,则:3sin(ln )______x dx =⎰、2224()(tan )sec _________;5(1,1)________;6'()(),'()_________;1()7(),_________;18()arcsin ,______()x x xe f x f x xdx y F x f x f ax b dx f e f x dx c dx x e xf x dx x c dx f x --===+==+==+=⎰⎰⎰⎰⎰⎰、已知是的一个原函数,则、在积分曲线族点的积分曲线是、则、设则、设则____;9'(ln )1,()________;10()(,)(,)()______;()()()()11()sin sin ,()______;12'()(),'()(),()_____()()()()()(f x x f x f x a b a b f x A B C D xf x dx x x xdx f x F x f x x f x f x dx A F x B x C x κϕϕ=+==-====⎰⎰⎰、则、若在内连续,则在内必有导函数必有原函数必有界必有极限、若则、若则)()()()c D F x x cϕ+++13()[()]()()[()]()()()()()()()dA d f x dx f xB f x dx f x dx dxC df x f xD df x f x c====+⎰⎰⎰⎰、下列各式中正确的是:(ln )14(),_______11()()ln ()()ln x f x f x e dx xA cB x cC cD x cxx-==++-+-+⎰、设则:15______1()arcsin ()()2arcsin(21)2()arcsin(21)A c B cC x cD x c =+-+-+ 16()[,][,]()()()()()()()()'()f x a b a b A f x B f x C f x D f x f x 、若在上的某原函数为零,则在上必有____的原函数恒等于零;的不定积分恒等于零;恒等于零;不恒等于零,但导函数恒为零。
不定积分练习题211sin )_________2xdx -=⎰一、选择题、填空题:、( 22()(ln )_______x e f x x f x dx =⎰、若是的原函数,则:3sin(ln )______x dx =⎰、2224()(tan )sec _________;5(1,1)________;6'()(),'()_________;1()7(),_________;18()arcsin ,______()x x xe f x f x xdx dxy x xF x f x f ax b dx f e f x dx c dx x exf x dx x c dx f x --===+==+==+=⎰⎰⎰⎰⎰⎰⎰、已知是的一个原函数,则、在积分曲线族中,过点的积分曲线是、则、设则、设则____;9'(ln )1,()________;10()(,)(,)()______;()()()()11()sin sin ,()______;12'()(),'()(),()_____()()()()()(f x x f x f x a b a b f x A B C D xf x dx x x xdx f x F x f x x f x f x dx A F x B x C x κϕϕ=+==-====⎰⎰⎰、则、若在内连续,则在内必有导函数必有原函数必有界必有极限、若则、若则)()()()c D F x x cϕ+++13()[()]()()[()]()()()()()()()dA d f x dx f xB f x dx f x dx dxC df x f xD df x f x c====+⎰⎰⎰⎰、下列各式中正确的是: (ln )14(),_______11()()ln ()()ln x f x f x e dx xA cB x cC cD x cxx-==++-+-+⎰、设则:115______(1)1()arcsin ()arcsin ()2arcsin(21)2()arcsin(21)dx x x A x c B x cC x cD x c=-++-+-+⎰、16()[,][,]()()()()()()()()'()f x a b a b A f x B f x C f x D f x f x 、若在上的某原函数为零,则在上必有____的原函数恒等于零;的不定积分恒等于零;恒等于零;不恒等于零,但导函数恒为零。
C. “ (⑦(兀))⑦'O)djt = F (兀)+ cD. jf(x)^f (x)dx = F(x) + c ⑻已知 = F(x) + C ,则 j —/(In x)dx =( )A. F(ln x)B ・ F(lnx) +C C. J-F(lnx) + C D. F (丄)+ C 兀 x (9)当 u(x)=()可用第一换元积分法计算不定积分j —cosw(x)(ix A. 4 (10)下列不定积分中( A. jxyfxlnxdx B . lnx C. F+l D. e x )适合用分部积分法计算.B. ^xe x dx D.jxcos(x 2)t/积分练习姓名 学号班级 1.选择题(1)下列函数中()是/的一个原函数,并且XI) =3. 4 1 3 8 A.y= — x + — B. y = 2x C. 丁 =丄 x 3 + — D. y = x 2 +1 3 3 3 3(2)在切线斜率为芈 Q x-的积分曲线族中,通过点(1,4)的曲线为 ( )。
A. y = 2\[x + 3 B. y = 2y[x + 2 C. j = x~^^~ + 3 D. y =4.x(3)若/(x)是可导函数,则下列等式中不正确的是()oA. (J7(x)dx),= /(x)B. J 广(x)dx = /(x) + cC. d^f(x)dx) - f(x)dxD. ^df(x) - fix)⑷设/(x),g(x)在I 上的原函数分别是F(x),G(x),则在I 上有 ( ),A. j/(x)g(x)(7x = F(x)G(x)B. j/(x)g(x)(7x = F(x)G(x) + cC. j[/(x)G(x) + g(x)F(x)]dx = F(x)G(x) + cD. j[y (x)F(x)dx +g(x)G(x)]dx = F(x)G(x)+ c ;(5) 设于(x)的一个原函数是厂2",则广(x)=()。
高等数学不定积分综合测试题第四章测试题A卷一、填空题(每小题4分,共20分)1函数2x为__________________ 的一个原函数?2、已知一阶导数(f(x)dx) .1 x2,贝U f (1)= ______________________(1)3、若xf (x)dx arctanx C,贝V dx = _____________f(x)4、已知f (x)二阶导数f (x)连续,则不定积分xf (x)dx= _____________________5、不定积分cos xd (e cosx) = ______________________二、选择题(每小题4分,共20分)1、已知函数(x 1)2为f(x)的一个原函数,则下列函数中是f(x)的原函数的是[ ]2“2“2c 2c(A) x 1 (B) x 1 (C) x 2x (D) x 2x2、已知e x f (x)dx e x sinx C,贝V f (x)dx = [ ](A) sin x C (B) cosx C(C) cosx sin x C (D) cosx sinx C3、若函数In x--- 为f (x)的一个原函数,则不定积分xf (x)dx: = [ ] x1 ln x 1 ln x(A) C (B) Cx x1 2ln x 1 2ln x(C) C (D) Cx x4、已知函数f (x)在(, ,)内可导,且恒有 f (x)=0 ,又有f( 1) 1,则函数f (x)= [ ](A) -1 (B) -1 (C) 0 (D) x5、若函数f (x)的一个原函数为Inx,则一阶导数f (x) = [ ] 1 1 , , (A)-x(B)2 (C) In x (D) xln xx三、解答题1、( 7分)计算dx2 2 ?x (1 x )2、( 7分)计算dxx ?1 e33、( 7分)计算x 2 dx . x 21 4、( 7分)计算dx2 ? x 5x 4 5、( 8分)计算dx6、( 7分)计算3 x 2x e dx .7、(8分)已知f 222(sin x) cos x tan x 0 x 1,求 f(x).8、( 9分)计算1e ax cosbxdx .第四章测试题B卷、填空题(20分)1 不定积分d(sin '、x) ______________1 23、若f (In x)dx x2 C,则f (x)dx24、( .X 1)(' X31)dx ____________________ .5、In x2dx __________________、选择题(25分)1、若f(x)dx 2 x C,则xf(1 x 2)dx [ ](A) 2(1 x2)2 C (B) 2 22(1 x ) C(C)1(1x2) 2 C (D)1 2 2-(1 x2)22C2、设f(x)dx 2x x C,则f (x) [ ](A)(-A- -2B^)dxx 1 x 2Ax Bx (B)「厂朋(A)2 - xC (B)2x ln2 1 In2 21 3、dx1 x(A)In 1 x C (B)(C)I n(1 x) C (D)4、存在常数A、B、C,使得2(C) 2x ln22 (D) 2x l n22 1[ ] ln(1 x) CIn 1 x C1 (x 1)(x 2)dx2、已知 f (x)dx F(x) C,则F(x)f(x)dxA Bx Cx22)dXAx 5、若e x在(,)上的不定积分是F(X)c,则(A) F(x) e x C, x 0 e x C,x 0x c e , x 0(C) F(x)e 2, x 0、计算题(48 分)2arccosx1、( 7分)求积分, o dx.J i X2x e C, x 0(B) F(x) xe C 2, x 0xe , x 0(D) F(x) xe , x 0dx2、(7分).x 1 3 x 1 4、(01,数二,8 分)求3、(7 分)dxx(x2 1)dx(2x21) . x215、(8分)求积分dx1 sin x cosxx arcsin e6、(06,数二,11 分)求x—dx .e四、(7分)计算豐^dxsin x第四章测试题 A 卷答案1101、二、计算题2arccosx2 ln102、2,x 1 33 x 1 66 x 1 6ln(6,x 1 1) C 、填空题 1、2x ln22、辽3、!x 2 lx 4 C4、 xf (x) f(x) C2245、 cosxe(cosx 1) C_ 、选择题1、 D2、C3、C4、A5、B二、解答题1、1 arcta nx C 2、 x ln(1 x1 2 1 2e ) C 3、一 x 2 -1n( x 21) Cx2 24、 1lnx 1C5、6仮6arcta n^ C6、1 (x 2e xe") C3 x 42第四章测试题 B 卷答案一、填空题1、sinx CF 2(x)「2、C3、e x C4、艺 2x 52x 2 x C23 5325、xln x 2x C 二、选择题7、 f(X )ln(1 x)-x 2 C 2axe ~2 72 a b(bs inbx acosbx) C 1、C 2、 C 3、 D4、C5、C2xln siPxdx cotx Insin x cotx x C .sin x(资料素材和资料部分来自网络,供参考。
不定积分1单元测试
1
单选(2分)
的一个原函数可用下式哪一个表示
得分/总分
A.
B.
C.
D.
正确答案:A
2
单选(2分)
若是的一个原函数,则的不定积分可表示为
得分/总分
A.
B.
C.
D.
正确答案:D
3
判断(2分)
设是在上的原函数,则在上必可导
得分/总分
A.错
B.对
正确答案:B
4
判断(2分)
是的一个原函数.
得分/总分
A.错
B.对
正确答案:A
解析:F(x)在x=1处不可导
5
判断(2分)
设, 则是的一个原函数
得分/总分
A.错
B.对
正确答案:A
解析:F(x)在x=0处不可导
6
判断(2分)
设是在上的原函数,则在上连续.
得分/总分
A.错
B.对
正确答案:B你没选择任何选项
7
判断(2分)
设是在上的原函数,则在上必为初等函数。
得分/总分
A.对
B.错
正确答案:B
8
填空(2分)
若满足条件:, 则_______得分/总分。
上海应用技术学院2007 —2008 学年第 一 学期《 高等数学》不定积分练习试卷班级: 姓名: 学号: 分数:我已阅读了有关的考试规定和纪律要求,愿意在考试中遵守《考场规则》,如有违反将愿接受相应的处理。
试卷共 页,请先查看试卷有无缺页,然后答题。
一、填空题(每题2分,共24分)1.已知()()(),(),()n f x dx x c x f x dx ϕϕ=+=⎰⎰任意阶可导则 。
()ϕ''+x c2.221sin cos 1x dx x --⎰= 。
++ctgx x c3.()20,13x 过且切线斜率为的曲线是 。
3()1=+f x x 4.21(1)sin _____sin d x x+=⎰csc sin -++x x c5.21x xedx e=+⎰。
+xarctge c6.(),(2)f x f x dx '=⎰设连续可导则 1(2)2+f x c 。
7.()(),()0,(1)()f x f x x f x f f x '⋅=>==设则。
8.sin sin cos x dx x x+⎰= 。
1(ln sin cos )2-++x x x c9.()ln ()cos ,_____()tf t f t t dt f t '==⎰设则cos sin -+t t t c10.2()sin ,()____f x x x f x dx ''=⎰设的一个原函数是则2sin 2cos 2sin --++x x x x x c11.3211sin____dx xx=⎰.211cos2+c x12.____=⎰2ln +c二、选择题(每题2分,共10分)1.如果()()df x dg x =⎰⎰,则下式不一定成立的是( A )(A )()()f x g x = (B)()()f x g x ''=(C) ()()df x dg x = (D) ()()d f x dx d g x dx ''=⎰⎰ 2.已知11x xe dx e---=+⎰( D )。
不定积分复习题(总4页) -本页仅作为预览文档封面,使用时请删除本页-2 高等数学第四章《不定积分》复习题一.选择题1.下列分部积分法正确的是( ).A ⎰⎰-⎰=vdu dx uv udvB ⎰⎰-=vdu v u udv 'C ⎰⎰-=vdu uv udvD ⎰⎰-=vdu uv udv '2.函数x y 1=的不定积分是( ). A x ln B C x +lnC x lnD C x +ln3.下列函数是x y cos =的原函数的是( ).A .x sin B. x sin -C. x cosD. x cos -4. 若F(x)是f(x)在某区间上的一个原函数,则以下说法正确的是(). A. 任意函数都有原函数B. f(x)仅有一个原函数C . f(x)有无数多个原函数D .)()(x F dx x f ⎰=5.下列等式中,正确的是 ( )A ()()x f dx x f ='⎰B ()()c x f dx x f dx d+=⎰C ()()x f x df =⎰D ()()dx x f dx x f d =⎰6. 2x e dx ⎰= ( ). (下面C 是任意常数)A. 22x e C +B. 2x e C +3C. 2x eD. x e7. 不定积分3sin cos x xdx ⎰=( ). (下面 C 都是任意常数.) A. 412x C + B. 214x C + C. 41sin 4x C + D. 41cos 4x C + 8. 如果两个函数(),()F x f x 在区间I 上有定义,若 ( ),则称函数()F x 叫做()f x 在区间I 上的一个原函数.A. ''()()F x f x =B. ''()()f x F x =C. '()()f x F x =D. '()()F x f x =9 . 设()f x 为连续函数,则()=⎰')(dx x f ( ). A . ()f x +C B. ()f x C .C x f +)(' D. )('x f 10 . 下列式子中正确的是( )A . c x dx x +=⎰32 B. c xdx x +=⎰112 C .c x dx x +=⎰cos sin . D. c x dx x +=⎰sin cos二.判断题1. c x dx x +=⎰32 .( )2. 函数的任意两个原函数之间相差一个常数. ( )3. 若函数)(x f 在区间I 上连续,则)(x f 在I 上存在原函数.( )4. x sin 的不定积分是x cos - . ( )5. 设sinx 是()f x 的一个原函数, 则 ⎰=dx x f )(sinx+c . ( )6. ⎰=+dx x211arctanx+c.( )4 7. 函数的原函数有无数个。
不定积分单元测试题work Information Technology Company.2020YEAR
不定积分单元测试题
一、选择题(本大题共 10 小题,每小题2分,总计 20 分 )
1、设12(),()F x F x 是区间I 内连续函数()f x 的两个不同的原函数,且()0f x ≠,则在区间I 内必有( )
(A )12()()F x F x C -=; (B )12()()F x F x C ⋅=;
(C )12()()F x CF x =; (D )12()()F x F x C +=
2、若()(),F x f x '=则()dF x ⎰=( )
(A )()f x ; (B )()F x ;
(C )()f x C +;
(D )()F x C +
3、()f x 在某区间内具备了条件( )就可保证它的原函数一定存在
(A )有极限存在; (B )连续;
(C )有界; (D )有有限个间断点
4、函数2()(||)f x x x =+的一个原函数()F x = ( ) (A )343
x ; (B )243x x ; (C)222()3x x x +; (D )22()3
x x x + 5、已知一个函数的导数为2y x '=,12x y ==且时,这个函数是( )
(A )2;y x C =+ (B )2
1;y x =+ (C )2
2x y C =+; (D )1y x =+. 6、下列积分能用初等函数表出的是(
) (A )
2x e dx -⎰; (B )
(C )1ln dx x ⎰; (D )ln x dx x
⎰. 7、2ln x dx x
=⎰( ) (A )11ln x C x x ++; (B )11ln x C x x
--+;
(C )11ln x C x x -+; (D )11ln x C x x
-++ 8、10
(41)dx x =+⎰( ) (A )9119(41)C x ++; (B )91136(41)
C x ++; (C )91136(41)C x -
++; (D )111136(41)C x -++ 9、 dx x
⎰-211=( ) (A) 1ln 122
x --+C; (B) 2ln 12x -+C; (C) 1ln 122
x -+C; (D) ln 12x -+C 10、设x e -是()f x 的一个原还函数,则⎰dx x xf )(=( )
(A )()1x e x C --+ (B )()1x e x C -++
(C )()1x e x C --+ (D )()1x e x C --++
二、填空题(将正确答案填在横线上)(本大题共5小题,每小题3分,总计 15 分 )
1、()f x 的 称为()f x 的不定积分。
2、(),(2)d f x f x x '=⎰设连续可导则________________________.。
3、不定积分()f x dx ⎰在几何上就表示 ,它的方程是()y F x C =+。
4__ _ ,然后再求积分
5、计算2ln x xdx ⎰, 可设u = ,dv =________ ; 三、解答下列各题(本大题共 8 小题,每小题6分,总计 48 分 )
(1)()
1001x x dx +⎰; (2)18252dx x -x+⎰; (3)
25sin cos x xdx ⎰; (4)
; (5)2arccos ;x xdx ⎰ (6);
(7)3322;(1)x dx
x +⎰ (8)23.56
x dx x x +-+⎰ 四、综合题.(本大题共 2 小题,总计17分)
1、设()F x 为()f x 的一个原函数,当0x ≥时,有2()()sin f x F x x =,且(0)0,()0F F x =≥,求()f x . (10分)
(2)23()()().()()f x f x f x dx f x f x ''⎡⎤
-⎢⎥''⎣⎦⎰(7分)。