(易错题)高中数学选修二第二单元《一元函数的导数及其应用》检测题(有答案解析)
- 格式:doc
- 大小:2.95 MB
- 文档页数:23
一、选择题1.已知函数()()221sin 1x xf x x ++=+,其中()f x '为函数()f x 的导数,则()()()()2020202020192019f f f f ''+-+--=( )A .0B .2C .2019D .20202.已知111ln 20x x y --+=,22262ln 20x y +--=,记()()221212M x x y y =-+-,则( )A .M 的最小值为25B .M 的最小值为45C .M 的最小值为85D .M 的最小值为1653.已知()21ln (0)2f x a x x a =+>,若对任意两个不等的正实数1x ,2x ,都有()()12122f x f x x x ->-恒成立,则a 的取值范围是( )A .(]0,1B .()1,+∞C .()0,1D .[)1,+∞4.已知()1()2ln 0f x a x x a x ⎛⎫-⎪⎝⎭=->在[1)+∞,上为单调递增函数,则a 的取值范围为( )A .[0)+∞,B .(0)+∞,C .(1)+∞,D .[1)+∞, 5.已知函数f (x )(x ∈R )满足(1)1f =,且()f x 的导数f ′(x )>12,则不等式1()22x f x <+的解集( ) A .(-∞,1) B .(1,+∞)C .(-∞,-1]∪[1,+∞)D .(-1,1)6.已知函数()2ln 1f x x x =--,则()y f x =的图象大致为( )A .B .C .D .7.定义域为R 的函数()f x 的导函数为()f x ',满足()()f x f x '<,若()01f =,则不等式()xf x e >的解集为( )A .()01,B .()1+∞, C .()1-∞, D .()0-∞,8.函数()262xf x x x e =-+的极值点所在的区间为( ) A .()1,0- B .()0,1C .()1,2D .()2,1--9.已知函数()32114332f x x mx x =-+-在区间[]1,2上是增函数,则实数m 的取值范围为( ) A .45m ≤≤B .24m ≤≤C .2m ≤D .4m ≤10.函数()ln 22f x x x x a =-++,若()f x 与()()f f x 有相同的值域,则a 的取值范围为( ) A .(],0-∞B .1,02⎛⎤- ⎥⎝⎦C .30,2⎡⎫⎪⎢⎣⎭D .[)0,+∞11.已知函数2()sin cos f x x x x x =++,则不等式1(ln )(ln )2(1)0f x f f x+-<的解集为( ) A .(,)e +∞B .(0,)eC .1(,)e eD .1(0,)(1,)e e12.已知定义在(0,)+∞上的函数()f x 的导函数()f x '满足()1xf x '>,则( ) A .()()21ln 2f f -< B .()()21ln 2f f -> C .()()211f f -<D .()()211f f ->二、填空题13.已知曲线()32351f x x x x =+-+,过点()1,0的直线l 与曲线()y f x =相切于点P ,则点P 的横坐标为______________.14.已知()f x 是定义在R 上的奇函数,当0x >时,()()xf x f x '<,若()10f =,则不等式()0f x x>的解集为________. 15.已知函数1()f x x ax=+在(),1-∞-上单调递增,则实数a 的取值范围是_____________.16.函数322()f x x ax bx a =--+在1x =处有极值10,则+a b 的值为________. 17.已知曲线x xy e=在1x x =处的切线为1l ,曲线ln y x =在2x x =处的切线为2l ,且12l l ⊥,则21x x -的取值范围是_________.18.已知32()26f x x x m =-++(m 为常数)在[]22-,上有最小值3,那么此函数在[]22-,上的最大值为______.19.已知函数()sin f x x x =+,若正实数,a b 满足()()490f a f b +-=,则11a b+的最小值为______________. 20.已知函数f (x )=ln x -f ′ (12)x 2+3x -4,则f ′(1)=________. 三、解答题21.已知函数321()12f x x x ax =-++. (1)当2a =时,求曲线()y f x =在点()()0,0f 处的切线方程;(2)若函数()f x 在1x =处有极小值,求函数()f x 在区间31,2⎡⎤-⎢⎥⎣⎦上的最大值.22.已知函数2()ln f x x x =-,()g x kx =. (1)求函数()f x 的最小值;(2)若()g x 是()f x 的切线,求实数k 的值;(3)若()f x 与()g x 的图象有两个不同交点A (1x ,1y ),B (2x ,2y ),求证:121x x >. 23.已知函数311()ln 62f x x x x x =+-.(1)求曲线()y f x =在点(1,(1)f )处的切线方程; (2)若()f x a <对1(,)x e e∈恒成立,求a 的最小值. 24.已知函数()3ln 42x a f x x x =+--,其中a R ∈,且曲线()y f x =在点()()1,1f 处的切线垂直于直线12y x =. (1)求a 的值;(2)求函数()f x 的单调区间.25.已知集合M 是同时满足下列两个性质的函数()f x 的全体①函数()f x 在其定义域上是单调函数;②()f x 的定义域内存在区间[]a b ,,使得()f x 在[]a b ,上的值域为22a b ⎡⎤⎢⎥⎣⎦,.(1)判断()3g x x =是否属于M ,若是,求出所有满足②的区间[]a b ,,若不是,说明理由;(2)若()h x t M =∈,求实数t 的取值范围.26.已知a ∈R ,函数()2ln f x x a x =-. (1)若有极小值0,求a 的值;(2)若存在1x 、()20,1x ∈,使得不等式()()()12120x x f x f x -->⎡⎤⎣⎦成立,求实数a 的取值范围.【参考答案】***试卷处理标记,请不要删除一、选择题 1.B 解析:B 【分析】将函数解析式变形为()22sin 11x xf x x +=++,求得()f x ',进而可求得所求代数式的值. 【详解】()()222221sin 12sin 2sin 1111x x x x x x x f x x x x ++++++===++++,所以,()()()()()2222020sin 202022020sin 202020202020222020120201f f ⨯-+-⨯++-=++=+-+, ()()()()()2222cos 122sin 1x x x x x f x x++-+'=+,函数()f x '的定义域为R ,()()()()()2222cos 122sin 1x x x x x f x x ⎡⎤⎡⎤⎡⎤+-⋅-++-+-⎣⎦⎣⎦⎣⎦-=⎡⎤-+⎣⎦'()()()()()2222cos 122sin 1x x x x x f x x ++-+'==+, 所以,函数()f x '为偶函数,因此,()()()()20202020201920192f f f f ''+-+--=. 故选:B. 【点睛】结论点睛:本题考查利用函数奇偶性求值,关于奇函数、偶函数的导函数的奇偶性,有如下结论:(1)可导的奇函数的导函数为偶函数; (2)可导的偶函数的导函数为奇函数. 在应用该结论时,首先应对此结论进行证明.2.D解析:D 【分析】设1(A x ,1)y ,2(B x ,2)y ,点A 在函数2y lnx x =-+的图象上,点B 在直线22260x y ln +--=上,则221212()()M x x y y =-+-的最小值转化为函数2y lnx x =-+的图象上的点与直线22260x y ln +--=上点距离最小值的平方,利用导数求出切点坐标,再由点到直线的距离公式求解.求出d 的最小值为两直线平行时的距离,即可得到M 的最小值,并可求出此时对应的2x 从而得解. 【详解】解:设1(A x ,1)y ,2(B x ,2)y ,点A 在函数2y lnx x =-+的图象上,点B 在直线24220x y ln +--=上,221212()()M x x y y =-+-的最小值转化为函数2y lnx x =-+的图象上的点与直线22260x y ln +--=上点距离最小值的平方.由2y lnx x =-+,得11y x'=-,与直线22260x y ln +--=平行的直线的斜率为12k =-.令1112x -=-,得2x =,则切点坐标为(2,2)ln , 切点(2,2)ln 到直线22260x y ln +--=的距离d == 即221212()()M x x y y =-+-的最小值为165. 又过(2,2)ln 且与22260x y ln +--=垂直的直线为22(2)y ln x -=-,即2420x y ln --+=,联立222602420x y ln x y ln +--=⎧⎨--+=⎩,解得145x =,即当M 最小时,2145x =. 故选:D . 【点睛】本题考查函数的最值及其几何意义,考查数学转化思想方法,训练了利用导数研究过曲线上某点处的切线方程,属于中档题.3.D解析:D 【分析】 根据条件()()12122f x f x x x ->-可变形为112212()2[()]20f x x f x x x x --->-,构造函数()21()2ln ()202g x f x x a x a x x =-=+>-,利用其为增函数即可求解. 【详解】根据1212()()2f x f x x x ->-可知112212()2[()]20f x x f x x x x --->-, 令()21()2ln ()202g x f x x a x a x x =-=+>- 由112212()2[()]20f x x f x x x x --->-知()g x 为增函数,所以()()'200,0ag x x x a x=+-≥>>恒成立, 分离参数得()2a x x ≥-,而当0x >时,()2x x -在1x =时有最大值为1, 故1a ≥. 故选:D 【点睛】关键点点睛:本题由条件()()12122f x f x x x ->-恒成立,转化为112212()2[()]20f x x f x x x x --->-恒成立是解题的关键,再根据此式知函数()21()2ln ()202g x f x x a x a x x =-=+>-为增函数,考查了推理分析能力,属于中档题. 4.D解析:D 【分析】首先求导,由题意转化为在[1,)x ∈+∞,220ax x a -+≥恒成立,即221xa x ≥+在[1,)+∞上恒成立.再利用基本不等式求出221xx +的最大值即可. 【详解】222()ax x af x x-+'=,(0)a > 因为()f x 在[1,)+∞上为单调递增,等价于220ax x a -+≥恒成立. 即221xa x ≥+在[1,)+∞上恒成立. 因为222111x x x x x x=≤=++,当1x =时,取“=”, 所以1a ≥,即a 的范围为[1,)+∞.故选:D 【点睛】本题主要考查利用导数的单调区间求参数的问题,同时考查了学生的转化思想,属于中档题.5.A解析:A 【分析】 根据f ′(x )>12,构造函数 ()()122x g x f x =-- ,又()()1111022=--=g f ,然后将不等式1()22x f x <+,转化为1()022--<x f x ,利用单调性的定义求解. 【详解】 因为f ′(x )>12,所以()102f x '-> 所以()()()()()110222x g x f x g x f x g x =--⇒=->⇒'' 在R 上递增, 又()()1111022=--=g f , 所以不等式1()22x f x <+,即为1()022--<x f x , 即为:()()1g x g <, 所以1x <, 故选:A 【点睛】本题主要考查函数的单调性与导数以及单调性的应用,还考查了构造转化求解问题的能力,属于中档题.6.A解析:A 【分析】利用函数的定义域和函数的值域排除BD ,通过函数的单调性排除C ,推出结果即可. 【详解】令()ln 1g x x x =--,则11()1x g x x x-'=-=, 由()0g x '>得1x >,即函数()g x 在(1,)+∞上单调递增, 由()0g x '<得01x <<,即函数()g x 在(0,1)上单调递减, 所以当1x =时,()()min 10g x g ==, 于是对任意(0,1)(1,)x ∈+∞,有()0g x >,则()0f x >,故排除BD ,因为函数()g x 在()0,1单调递减,则函数()f x 在()0,1递增,故排除C. 故选:A. 【点睛】本题考查利用导数对函数图象辨别,属于中档题.7.D解析:D 【分析】 构造函数()()x f x g x e=,用导数法得到()g x 在R 上递减,然后由()01f =,得到()01g =,再利用函数的单调性定义求解.【详解】令()()x f x g x e=,因为()()f x f x '<, 则()()()0xf x f xg x e'-'=<, 所以()g x 在R 上递减, 又()01f =,则()01g =, 不等式()xf x e >等价于()()10xf xg e>= , 所以0x <. 故选:D 【点睛】本题主要考查函导数与函数的单调性以及函数单调性解不等式,还考查了构造函数求解问题的能力,属于中档题.8.B解析:B 【分析】求出函数的导数,根据函数的零点判定定理求出函数的极值点的区间即可. 【详解】()262x f x x e '=-+,且()f x '为单调函数,∴()12620f e '=-+>,()0620f '=-+<, 由()()010f f ''<,故()f x 的极值点所在的区间为()0,1, 故选:B. 【点睛】本题主要考查了导数的应用,函数的极值点的意义,考查转化思想,属于中档题.9.D解析:D 【分析】求出函数的导数,利用函数的单调性,推出不等式,利用基本不等式求解函数的最值,即可得结果 【详解】 解:由()32114332f x x mx x =-+-,得'2()4f x x mx =-+, 因为函数()32114332f x x mx x =-+-在区间[]1,2上是增函数, 所以240x mx -+≥在[]1,2上恒成立,得4m x x≤+恒成立因为44x x +≥=,当且仅当4x x =,即2x =时取等号,所以4m ≤, 故选:D 【点睛】此题考查导数的应用,考查函数最值的求值,考查基本不等式应用,考查转化思想,属于中档题10.B解析:B 【分析】判断()f x 的单调性,求出()f x 的值域,根据()y f x =与(())y f f x =有相同的值域得出()f x 的最小值与极小值点的关系,得出a 的范围.【详解】()f x lnx '=,故而当1x >时,()0f x '>,当01x <<时,()0f x '<,()f x ∴在(0,1)上单调递减,在(1,)+∞上单调递增,()f x ∴的最小值为()121f a =+,且x →+∞时,()f x →+∞即()f x 的值域为[)21,a ++∞,函数()y f x =与(())y f f x =有相同的值域,且()f x 的定义域为(0,)+∞,0211a ∴<+≤,解得:102-<≤a .故选:B 【点睛】本题考查了导数研究函数的单调性,考查函数最值的计算,属于中档题.11.C解析:C 【分析】先判断出()f x 为R 上的偶函数,再利用当0x >时,()'0f x >得到函数的单调性,从而可解原不等式. 【详解】因为()()()()22()sin cos sin cos f x x x x x x x x x f x -=--+-+-=++=,所以()f x 为R上的偶函数,又1(ln )(ln )2(1)0f x f f x+-<等价于(ln )(ln )2(1)0f x f x f +--<即:(ln )(1)f x f <,()'()sin cos sin 22cos f x x x x x x x x =+-+=+,当0x >时,()'0f x >,故()f x 在()0,∞+为增函数,故(ln )(1)f x f <等价于ln 1x <即1ln 1x -<<即1x e e <<,故不等式的解集为1e e ⎛⎫⎪⎝⎭,,故选C.【点睛】对于偶函数()f x ,其单调性在两侧是相反的,并且()()()f x fx f x ==-,对于奇函数()g x ,其单调性在两侧是相同的.另外解函数不等式要利用函数的单调性去掉对应法则f .12.B解析:B 【解析】分析:根据题意,由()1xf x '>可得()()'1f x lnx x='>,构造函数()()g x f x lnx =-,可得()()()110xf x g x f x x x-=-=''>',故()g x 单调递增,根据单调性可得结论.详解:令()(),0g x f x lnx x =->,∴()()()11xf x g x f x x x=''-'-=,∵()1xf x '>, ∴()0g x '>,∴函数()g x 在()0,+∞上单调递增, ∴()()21g g >,即()()2211f ln f ln ->-, ∴()()21ln2f f ->. 故选B .点睛:本题考查对函数单调性的应用,考查学生的变形应用能力,解题的关键是根据题意构造函数()()g x f x lnx =-,通过判断函数的单调性得到函数值间的关系,从而达到求解的目的.二、填空题13.0或或【分析】设切点的坐标由求出切线方程把代入切线方程可求得切点坐标【详解】设的坐标为过点的切线方程为代入点的坐标有整理为解得或或故答案为:0或或【点睛】本题考查导数的几何意义求函数图象的切线方程要解析:0或1-或53【分析】设切点P 的坐标,由P 求出切线方程,把(1,0)代入切线方程可求得切点坐标. 【详解】设P 的坐标为()32,351m m m m +-+,2()9101f x x x +'=-,过点P 的切线方程为()()3223519101()m m m m x y m m +-+=+---,代入点()1,0的坐标有()()()32235191011mm m mm m --+-+=+--,整理为323250m m m --=,解得0m =或1m =-或53m =, 故答案为:0或1-或53. 【点睛】本题考查导数的几何意义.求函数图象的切线方程要分两种情况:(1)函数()y f x =图象在点00(,)P x y 处的切线方程,求出导函数,得出切线方程000()()y y f x x x '-=-;(2)函数()y f x =图象过点00(,)P x y 处的切线方程:设切线坐标11(,)x y ,求出切线方程为111()()y y f x x x '-=-,代入00(,)x y 求得11,x y ,从而得切线方程.14.【分析】令对其求导由时可知从而在上单调递减由的奇偶性可得是定义域上的偶函数从而可得出在上的单调性再结合可求出的解集【详解】由题意令则因为时则故在上单调递减又是定义在上的奇函数所以所以即是上的偶函数根 解析:()()1,00,1-【分析】 令()()f xg x x=,对其求导,由0x >时,()()xf x f x '<,可知()0g x '<,从而()g x 在()0,∞+上单调递减,由()f x 的奇偶性,可得()g x 是定义域上的偶函数,从而可得出()g x 在(),0-∞上的单调性,再结合()()110g g -==,可求出()0g x >的解集.【详解】 由题意,令()()f x g x x =,则()()()2xf x f x g x x'-'=, 因为0x >时,()()xf x f x '<,则()()()20xf x f x g x x'-'=<,故()g x 在()0,∞+上单调递减,又()f x 是定义在R 上的奇函数,所以()()f x f x -=-,所以()()()()()f x f x f x g x g x x x x---====--,即()g x 是()(),00,-∞⋃+∞上的偶函数,根据偶函数的对称性,可知()g x 在(),0-∞上单调递增,且()()()11101f g g -===,所以()()1,00,1x ∈-时,()0g x >.故答案为:()()1,00,1-.【点睛】关键点点睛:本题考查不等式的解集,解题关键是求出函数的单调性.本题通过构造函数()()f xg x x=,求导并结合当0x >时,()()xf x f x '<,可求出函数()g x 在()0,∞+上的单调性,再结合函数的奇偶性,可求出()g x 在定义域上的单调性.考查了学生的运算求解能力,逻辑推理能力,属于中档题.15.【分析】根据题意将问题转化为以在区间上恒成立再分类讨论即可得答案【详解】解:因为函数在上单调递增所以在区间上恒成立当时显然在区间上恒成立当时因为在区间上恒成立所以在区间上恒成立所以在区间上恒成立所以 解析:()[),01,-∞+∞【分析】根据题意将问题转化为以()22211'10ax f x ax ax-=-=≥在区间(),1-∞-上恒成立,再分类讨论即可得答案. 【详解】解:因为函数1()f x x ax=+在(),1-∞-上单调递增, 所以()22211'10ax f x ax ax-=-=≥在区间(),1-∞-上恒成立, 当0a <时,显然()22211'10ax f x ax ax -=-=≥在区间(),1-∞-上恒成立, 当0a >时,因为()22211'10ax f x ax ax-=-=≥在区间(),1-∞-上恒成立, 所以210ax -≥在区间(),1-∞-上恒成立, 所以21≥a x 在区间(),1-∞-上恒成立, 所以2max11a x ⎛⎫≥= ⎪⎝⎭ 综上实数a 的取值范围是()[),01,-∞+∞故答案为:()[),01,-∞+∞【点睛】本题考查根据函数在区间上单调求参数范围问题,考查化归转化思想与数学运算能力,是中档题.16.【分析】先根据极值列方程组解得值再代入验证即可确定结果【详解】解∵函数∴又∵函数当时有极值10∴∴或当时有不等的实根满足题意;当时有两个相等的实根不满足题意;∴【点睛】本题考查根据极值求参数考查基本 解析:7a b +=【分析】先根据极值列方程组解得a b ,值,再代入验证,即可确定结果. 【详解】解∵函数322()f x x ax bx a =--+∴2()32f x x ax b '=--,又∵函数322()f x x ax bx a =--+,当1x =时有极值10,∴2320110a b a b a --=⎧⎨--+=⎩,∴411a b =-⎧⎨=⎩或33a b =⎧⎨=-⎩当411a b =-⎧⎨=⎩时,2()32(1)(311)0f x x ax b x x '=--=-+=有不等的实根满足题意; 当33a b =⎧⎨=-⎩时,22()323(1)0f x x ax b x '=--=-=有两个相等的实根,不满足题意; ∴7a b += 【点睛】本题考查根据极值求参数,考查基本分析求解能力,属中档题.17.【分析】由求导根据得到由得到而然后令用导数法求解【详解】令则所以因为故所以因为故又令则当时为减函数故所以在上恒成立故在上为减函数所以即因此的取值范围是故答案为:【点睛】本题主要考查导数的几何意义导数 解析:(),1-∞-【分析】由()xx f x e =,()ln g x x =,求导,根据12l l ⊥,得到1121x x x e -=,由20x >,得到11x >.而112111x x x x x e --=-,然后令()1,1x x h x x x e-=->,用导数法求解.【详解】令()x x f x e =,()ln g x x =,则()1x xf x e -'=,()1g x x'=,所以1111x x k e -=,221k x =, 因为12l l ⊥,故112111x x e x -⨯=-,所以1121x x x e -=, 因为20x >,故11x >.又112111x x x x x e --=-,令()1,1x x h x x x e -=->,则()221xx xx x e h x e e---=-=', 当()1,x ∈+∞时,2xy x e =--为减函数,故12210x x e e --<--<,所以()0h x '<在()1,+∞上恒成立, 故()h x 在()1,+∞上为减函数,所以()()11h x h <=-,即211x x -<-. 因此,21x x -的取值范围是(),1-∞-. 故答案为:(),1-∞-. 【点睛】本题主要考查导数的几何意义,导数与函数的最值,还考查了运算求解的能力,属于中档题.18.43【分析】先求导数判断函数单调性和极值结合(为常数)在上有最小值3求出的值再根据单调性和极值求出函数的最大值【详解】令解得或当时单调递减当时单调递增当时单调递减所以在时有极小值也是上的最小值即函数解析:43. 【分析】先求导数,判断函数单调性和极值,结合32()26f x x x m =-++(m 为常数)在[]22-,上有最小值3,求出m 的值,再根据单调性和极值求出函数的最大值. 【详解】32()26f x x x m =-++, 2()6126(2)f x x x x x '∴=-+=--,令 ()0f x '=,解得 0x =或2x =,当20x -<<时,()0,()f x f x '<单调递减,当02x <<时,()0,()f x f x '>单调递增,当2x >时,()0,()f x f x '<单调递减,所以()f x 在0x =时有极小值,也是[]22-,上的最小值, 即(0)3f m ==,函数在[]22-,上的最大值在2x =-或2x =时取得, 3232(2)2(2)6(2)343;(2)2262311f f -=-⨯-+⨯-+==-⨯+⨯+=,∴函数在[]22-,上的最大值为43.故答案为:43 【点睛】本题主要考查了利用导数研究函数的单调性和极值,函数的最值,属于中档题.19.1【分析】由知为奇函数求导分析为增函数故利用可以算得的关系再利用基本不等式的方法求的最小值即可【详解】故为奇函数又所以为增函数又故所以当且仅当时取得最小值1故答案为1【点睛】本题主要考查函数的奇偶性解析:1 【分析】由()sin f x x x =+知()f x 为奇函数,求导分析()f x 为增函数,故利用()()490f a f b +-=可以算得,a b 的关系,再利用基本不等式的方法求11a b+的最小值即可. 【详解】()sin()sin ()f x x x x x f x -=-+-=--=-,故()f x 为奇函数,又()'1cos 0f x x =+≥,所以()f x 为增函数.又()()()()()490,499f a f b f a f b f b +-==--=-, 故49,49a b a b =-+=,所以()11111144599b a a b a b a b a b ⎛⎫⎛⎫+=++=++ ⎪ ⎪⎝⎭⎝⎭1519⎛≥+= ⎝,当且仅当4b aa b =时取得最小值1. 故答案为1 【点睛】本题主要考查函数的奇偶性与单调性的运用以及基本不等式的用法,属于中等题型.20.-1【分析】根据题意由函数f (x )的解析式对其求导可得在其中令可得再令即可解可得f′(1)的值【详解】根据题意函数f(x)=lnx -f′()x2+3x -4其导数令令则即答案为-1【点睛】本题考查导数解析:-1 【分析】根据题意,由函数f (x )的解析式对其求导可得112'32f x xf x '=-+()() ,在其中令12x =可得12f ⎛⎫' ⎪⎝⎭,再令1x =即可解可得f′(1)的值, 【详解】根据题意,函数f (x )=ln x -f ′ (12)x 2+3x -4, 其导数112'32f x xf x '=-+()(),令12x =,1111152'3,,1222222f f f '=-⨯⨯+∴'=()()() 令1x =,则15213 1.12f x '=-⨯⨯+=-() 即答案为-1. 【点睛】本题考查导数的计算,注意12f ⎛⎫'⎪⎝⎭为常数. 三、解答题21.(1)210x y -+=;(2)4927. 【分析】(1)当2a =时,求得函数的导数2()32f x x x '=-+,得到(0)2f '=,即可求解曲线()y f x =在点()()0,0f 处的切线方程;(2)由函数在1x =处有极小值,求得2a =-,得到2()32f x x x '=--,根据导数的符号,求得函数的单调性,进而求得函数的最大值,得到答案. 【详解】(1)当2a =时,函数321()212f x x x x =-++, 可得2()32f x x x '=-+,可得(0)2f '=又由()01f =,所以曲线()y f x =在点()()0,0f 处的切线方程12(0)y x -=-,即210x y -+=.(2)由321()12f x x x ax =-++,可得2()3f x x x a '=-+, 因为函数在1x =处有极小值,可得(1)20f a '=+=,解得2a =-,此时321()212f x x x x =--+,且2()32f x x x '=--, 令()0f x '=,即2320x x --=,解得23x =-或1x =, 当23x <-或1x >时,()0f x '>,函数()f x 单调递增; 当213x -<<时,()0f x '<,函数()f x 单调递减, 所以函数()f x 在23(2,),(1,)32--上单调递增,在区间2(,1)3-上单调递减,所以()11,(2)52f f =--=-, 因为24931(),()32724f f -==, 所以函数()f x 的最大值为249()327f -=. 【点睛】解决函数极值、最值综合问题的策略:求极值、最值时,要求步骤规范,含参数时,要讨论参数的大小;求函数最值时,不可想当然地认为极值点就是最值点,要通过比较才能下结论; 函数在给定闭区间上存在极值,一般要将极值与端点值进行比较才能确定最值. 22.(1)11ln 222+;(2)1;(3)证明见解析. 【分析】(1)利用导数求出其单调性,即可得出函数()f x 的最小值;(2)利用导数的几何意义得出切线方程20000121ln y x x x x x ⎛⎫=--+- ⎪⎝⎭,再由2000012,1ln 0x k x x x -=-+-=求出k 的值; (3)将22111222ln ,ln x x kx x x kx -=-=两式相加相减化简得出2121212211ln 2ln x x x x x x x x x x ++=-,令211x t x =>,构造函数2(1)()ln (1)1t F t t t t -=->+,利用单调性证明2(1)ln 1t t t ->+,从而得出1212ln 22x x x x +>,再由令()ln 2G x x x =+的单调性得出12()(1)G x x G >,从而得出121x x >. 【详解】解:(1)∵2()ln f x x x =-,∴2121()2(0)x f x x x x x-'=-=>当0,2x ⎛⎫∈ ⎪ ⎪⎝⎭时,()0f x '<,∴()f x在2⎛ ⎝⎭上单调递减;当,2x ⎛⎫∈+∞ ⎪ ⎪⎝⎭时,()0f x '>,∴()f x在⎫+∞⎪⎪⎝⎭上单调递增. 故函数()f x的最小值为211ln ln 222222f ⎛⎫⎛⎫=-=+ ⎪ ⎪ ⎪ ⎪⎝⎭⎝⎭(2)若()g x 是()f x 的切线,设切点为00(,())x f x 则过点00(,())x f x 的切线方程为000()()()y f x x x f x '=-+即20000012()ln y x x x x x x ⎛⎫=--+- ⎪⎝⎭,即20000121ln y x x x x x ⎛⎫=--+- ⎪⎝⎭ 由题意知2000012,1ln 0x k x x x -=-+-= 令2()1ln (0)h x x x x =-+->,则0x >时,1()20h x x x'=--< ∴2()1ln h x x x =-+-在(0,)+∞上单调递增,又(1)0h =∴2001ln 0x x -+-=有唯一的实根01x =,则0012211k x x =-=-=. (3)由题意知22111222ln ,ln x x kx x x kx -=-=两式相加得22121212ln ()x x x x k x x +-=+两式相减得22221211ln ()x x x k x x x --=-,即212121ln x x x x k x x +-=-∴22211212211221ln ln ()x x x x x x x x x x x x ⎛⎫ ⎪ ⎪+-=+-+-⎪ ⎪⎝⎭,即2121212211ln 2ln x x x x x x x x x x ++=- 不妨令120x x <<,记211x t x =>,则2121212211ln 2ln x x xx x x x x x x ++==-1ln 1t t t +- 令2(1)()ln (1)1t F t t t t -=->+,则2(1)()0(1)t F t t t -'=>+∴2l ())1n 1(t F t t t -=-+在(1,)+∞上单调递增,则2(1)()ln (1)01t F t t F t -=->=+ ∴2(1)ln 1t t t ->+,因而1212ln 2x x x x +=112(1)ln 2111t t t t t t t ++->⋅=--+ 令()ln 2G x x x =+,则0x >时,1()20G x x'=+>,∴()G x 在(0,)+∞上单调递增∵121212()ln 22(1)G x x x x x x G =+>=,∴121x x >. 【点睛】在处理极值点偏移问题时,关键是构造新函数,结合单调性解决极值点偏移问题. 23.(1)23y =;(2)31162e e -. 【分析】 (1)求导211'()ln 22f x x x =--,再分别求得(1)f ,'(1)f ,用点斜式写出切线方程.(2)根据()f x a <对1(,)x e e∈恒成立,则()max a f x >,再利用导数求解()max f x 即可. 【详解】(1)()f x 的定义域为(0,)+∞. 由已知得211'()ln 22f x x x =--,且2(1)3f =. 所以'(1)0f =.所以曲线()y f x =在点(1,(1)f )处的切线方程为23y =. (2)设()'()g x f x =,(1x e e<<) 则211'()x g x x x x-=-=. 令'()0g x =得1x =.当x 变化时,'()g x 符号变化如下表:x 1(,1)e1 (1,)e '()g x-+()g x极小则,即,当且仅当时,所以()f x 在1(,)e e上单调递增. 又311()62f e e e =-, 因为()f x a <对1(,)x e e∈恒成立, 所以31162a e e ≥-, 所以a 的最小值为为31162e e -. 【点睛】方法点睛:恒(能)成立问题的解法: 若()f x 在区间D 上有最值,则(1)恒成立:()()min ,00x D f x f x ∀∈>⇔>;()()max ,00x D f x f x ∀∈<⇔<; (2)能成立:()()max ,00x D f x f x ∃∈>⇔>;()()min ,00x D f x f x ∃∈<⇔<. 若能分离常数,即将问题转化为:()a f x >(或()a f x <),则(1)恒成立:()()max a f x a f x >⇔>;()()min a f x a f x <⇔<;(2)能成立:()()min a f x a f x >⇔>;()()max a f x a f x <⇔<;24.(1)54a =;(2)单调递减区间是()0,5,单调递增区间是()5,+∞. 【分析】(1)求导,使()12f '=-求解a 的值;(2)将(1)中所求a 的值代入,求解()0f x '>和()0f x '<的区间,从而得出函数()f x 的单调区间.【详解】(1)对()f x 求导得()2114a f x x x=--', 由()f x 在点()()1,1f 处的切线垂直于直线12y x =, 知()3124f a '=--=-,解得54a =. (2)由(1)知()()53ln 0442x f x x x x =+-->,则()22454x x f x x'--=, 令()0f x '=,解得1x =-或5x =,因为1x =-不在()f x 的定义域()0,∞+内,所以舍去.当()0,5x ∈时,()0f x '<,故()f x 在()0,5内单调递减;当()5,x ∈+∞时,()0f x '>,故()f x 在()5,+∞内单调递增.故()f x 的单调递减区间是(0,5),单调递增区间是()5,+∞.【点睛】本题考查导数的几何意义,考查函数单调区间的求解,难度一般.25.(1) ()g x 属于M ,且满足②的区间[a ,b ]为00⎡⎤⎡⎡⎢⎥⎢⎢⎣⎦⎣⎦⎣⎦,, ; (2) 102⎛⎤ ⎥⎝⎦, 【分析】(1)可以看出()g x 为增函数,满足条件①,而方程32x x =有三个不同的解,从而满足条件②,从而说明()g x 属于M ,且可写出所有满足②的区间[a ,b ];(2)()h x 属于M 2x t =至少有两个不同的实数根,从而得到12x x t -=-,两边平方并整理可得()221104x t x t -+++= 从而20t∆=>,得到t >0,而02x t -≥即2x t ≤恒成立,且1≥x ,从而又得到12t ≤,这样便可得出实数t 的取值范围.【详解】 (1)()3g x x =在R 上为增函数,满足性质①; 解32x x =得,x =0,或2x =± ; ∴()g x 属于M ,且满足②的区间[a ,b ]为2222002222⎡⎤⎡⎤⎡⎤--⎢⎥⎢⎥⎢⎥⎣⎦⎣⎦⎣⎦,,,,,; (2)()1h x x t =-+在定义域内单调递增,满足①;∵h (x )∈M ;∴h (x )满足②;则方程12x x t -=-少有两个解; 即函数1y x =-与函数2x y t =-的图象有两个不同的交点. 如图当直线2x y t =-过点()1,0时,12t = 设直线2x y t =-与曲线1y x =-相切于点()00,A x y 由函数1y x =-的导函数为21'=-y x 所以01221k x ==-,所以02x =,则()2,1A 由()2,1A 在直线2x y t =-上,解得0t = 根据图象可得函数1y x =-与函数2x y t =-的图象有两个不同的交点,得102t <≤∴实数t 的取值范围为102⎛⎤ ⎥⎝⎦,.【点睛】考查函数单调性的定义,函数值域的定义,()f x 满足性质②便说明方程()2x f x =至少有两个不同解,即函数y =2x y t =-的图象有两个不同的交点,数形结合可得出答案,属于中档题.26.(1)2a e =;(2)(),2-∞.【分析】(1)求导,分类讨论得出()f x 的单调性及极值,让极小值为0,求出a 的值; (2)只需使函数()2ln f x x a x =-在()0,1x ∈上存在单调递增区间,然后求解a 的取值范围.【详解】解:(1)()f x 的定义域是()0,∞+,()22a x a f x x x-'=-=, 当0a ≤时,()0f x '>恒成立,()f x 在()0,∞+上单调递增,无极小值;当0a >时,令()0f x '<,解得02a x <<;令()0f x '>,解得2a x >, 则()f x 在0,2a ⎛⎫ ⎪⎝⎭上递减,在,2a ⎛⎫+∞ ⎪⎝⎭上递增, 故()f x 有极小值ln 022a a f a a ⎛⎫=-=⎪⎝⎭, ∴1ln 02a -=,∴2a e =; (2)不妨设12x x <,由()()()12120x x f x f x -->⎡⎤⎣⎦知,()()12f x f x <, ∴()f x 在()0,1存在增区间,①由(1)可知,当0a ≤时,()f x 在()0,∞+上为增函数,符合要求;②当0a >时,由(1),()f x 在0,2a ⎛⎫ ⎪⎝⎭上递减,在,2a ⎛⎫+∞ ⎪⎝⎭上递增, ∴只需102a >>,则有02a <<, 综上,实数a 的取值范围为(),2-∞.【点睛】本题考查利用导数研究函数的单调性,极值,考查分类讨论思想及运算求解能力,属于中档题.。
一、选择题1.已知奇函数()f x 在(),-∞+∞上单调递减,且()11f =-,则“1x >-”是“()1xf x <”的( )A .充分不必要条件B .必要不充分条件C .充要条件D .既不充分也不必要条件.2.已知函数2()ln f x a x x =+,0a >,若曲线()y f x =在点(1,1)处的切线是曲线()y f x =的所有切线中斜率最小的,则a =( )A .12B .1C .2D .23.对任意的0a b t <<<,都有ln ln b a a b <,则t 的最大值为( ) A .1B .eC .2eD .1e4.已知函数f (x )在x =x 0处的导数为12,则000()()lim 3x f x x f x x∆→-∆-=∆( )A .-4B .4C .-36D .365.设函数()'f x 是奇函数()()f x x R ∈的导函数,当0x >时,()()ln 'x x f x f x ⋅<-,则使得()()240x f x ->成立的x 的取值范围是( )A .()()2,00,2-⋃B .()(),22,-∞-⋃+∞C .()()2,02,-⋃+∞D .()(),20,2-∞-⋃6.设函数()f x 在R 上可导,其导函数为()f x ',且函数()()1y x f x '=+⋅的图象如图所示,则下列结论中一定成立的是( )A .函数()f x 有极大值()3f -和极小值()2fB .函数()f x 有极大值()1f -和极小值()2fC .函数()f x 在()3,2x ∈--单调递增D .函数()f x 在()1,2x ∈单调递增 7.若函数()()22co 102s x f x x f x '=++,则6f π⎛⎫' ⎪⎝⎭的值为( )A .0B .6π C .3π D .π8.设函数()()23xf x x e =-,则( )A .()f x 有极大值,且有最大值B .()f x 有极小值,但无最小值C .若方程()f x a =恰有一个实根,则36a e >D .若方程()f x a =恰有三个实根,则360a e <<9.已知函数22,0()ln(1),0x x x f x x x ⎧-+≤=⎨+>⎩,若|()|f x ax ≥,则a 的取值范围是( )A .(,0]-∞B .(,1]-∞C .[2,1]-D .[2,0]-10.已知函数()32114332f x x mx x =-+-在区间[]1,2上是增函数,则实数m 的取值范围为( ) A .45m ≤≤B .24m ≤≤C .2m ≤D .4m ≤11.已知()f x 是定义在R 上的可导函数,()f x y e '=的图象如下图所示,则()y f x =的单调减区间是( )A .(),1-∞-B .(),2-∞C .()0,1D .()1,212.已知函数2()sin cos f x x x x x =++,则不等式1(ln )(ln )2(1)0f x f f x+-<的解集为( ) A .(,)e +∞B .(0,)eC .1(,)e eD .1(0,)(1,)e e二、填空题13.如图,C 、D 是两所学校所在地,C 、D 到一条公路的垂直距离分别为8,27CA km DB km ==.为了缓解上下学的交通压力,决定在AB 上找一点P ,分别向C 、D修建两条互相垂直的公路PC 和PD ,设02APC πθθ⎛⎫∠=<< ⎪⎝⎭,则当PC PD +最小时,AP =_______km .14.函数f (x )=lnx+x 的图象在x=1处的切线方程为___.15.若关于x 的不等式220x ax +-<在区间[1,4]上有解,则实数a 的取值范围为________.16.已知32()26f x x x m =-++(m 为常数)在[]22-,上有最小值3,那么此函数在[]22-,上的最大值为______.17.若函数sin ()2cos xf x x =+,则()f x '=__________18.若曲线21()ln 2f x x a x =-在点(1,(1))f 处的切线与直线310x y ++=垂直,则常数a =___.19.已知函数()f x 的导函数为()f x ',且满足()()2ln f x xf e x '=+,则()f e =__________.20.若0()2f x '=,则000()()lim2x f x x f x x∆→+∆-∆=________.三、解答题21.已知函数()(ln )xe f x a x x x=--,a R ∈.(1)当0a >时,讨论函数()f x 的单调性: (2)当1a =-时,函数1()()xg x f x x e mx x ⎛⎫=+++ ⎪⎝⎭满足:对任意(0,)x ∈+∞,都有()1g x ≥恒成立,求实数m 的取值范围.22.若函数()32143f x x ax bx =+-+在2x =-和1x =处取得极值. (1)求函数()f x 的解析式; (2)讨论方程()f x k =实数解的个数. 23.已知函数()ln f x x x =,()212g x x =. (1)求函数()f x 在21,e e ⎡⎤⎢⎥⎣⎦上的最值; (2)若对0b a >>,总有()()()()m g b g a f b f a ->-⎡⎤⎣⎦成立,求实数m 的取值范围.24.某市作为新兴的“网红城市”,有很多风靡网络的“网红景点”,每年都有大量的游客来参观旅游。
一、选择题1.已知函数()5332f x x x x =+++,若()()24f a f a +->,则实数a 的取值范围是( ) A .(),1-∞B .(),2-∞C .()1,+∞D .()2,+∞2.已知函数222,0()11,0x x x f x x x ⎧++≤⎪=⎨-+>⎪⎩,若()f x ax ≥恒成立,则实数a 的取值范围是( )A.2⎡⎤-⎣⎦B .(],1-∞C.()2-D.2⎡⎤-⎣⎦3.函数tan 22tan y x x =-42x ππ⎛⎫<< ⎪⎝⎭的最大值为( )A.-B .3C .0D .3-4.设函数21()9ln 2f x x x =-在区间[]1,1a a -+上单调递减,则实数a 的取值范围是( ) A .(]1,2B .(]0,3C .[)4,+∞D .(],2-∞5.定义在R 上的偶函数f (x )的导函数为f ′(x ),若∀x ∈R ,都有2f (x )+xf ′(x )<2,则使x 2f (x )-f (1)<x 2-1成立的实数x 的取值范围是( ) A .{x |x ≠±1} B .(-1,0)∪(0,1) C .(-1,1)D .(-∞,-1)∪(1,+∞)6.已知定义在R 上函数()f x 的导函数为()f x ',()0,πx ∀∈,有()()sin cos f x x f x x '<,且()()0f x f x +-=.设π4a ⎛⎫= ⎪⎝⎭,π33b f ⎛⎫=-- ⎪⎝⎭,π2c f ⎛⎫= ⎪⎝⎭,则( ).A .a b c <<B .b c a <<C .a c b <<D .c b a <<7.已知函数()22,22,2x x xx f x e x x ⎧+>⎪=⎨⎪+≤⎩,函数()()g x f x m =-有两个零点,则实数m 的取值范围为( )A .28,e ⎛⎫-∞ ⎪⎝⎭B .28,4e ⎛⎤⎥⎝⎦C .280,e ⎛⎫ ⎪⎝⎭D .[)28,4,e ⎛⎫-∞+∞ ⎪⎝⎭8.若()()21ln 22f x x b x =-++在[)1,-+∞上是减函数,则b 的取值范围是( ) A .[)1,-+∞B .(],1-∞-C .[)1,+∞D .(],1-∞9.已知函数()y f x =的导函数为()y f x '=,满足x R ∀∈,()()f x f x '>且(1)f e =,则不等式(ln )f x x <的解集为( )A .(,)e +∞B .(1,)+∞C .(0,) eD .(0,1)10.已知函数()2sin 3f x xf x π'⎛⎫=- ⎪⎝⎭,则()f x 在,22ππ⎡⎤-⎢⎥⎣⎦上的最小值为( ) A .12π- B .12π+C .12π-- D .12π-+11.已知()f x 的定义域为(0,)+∞,f x 为()f x 的导函数,且满足()()'f x xf x <-,则不等式(1)(1)f x x +>-()21f x -的解集是( )A .0,1B .2,C .1,2D .1,12.若f ′(x 0)=-3,则()()0003limh f x h f x h h→+--等于( )A .-3B .-6C .-9D .-12二、填空题13.已知曲线()32351f x x x x =+-+,过点()1,0的直线l 与曲线()y f x =相切于点P ,则点P 的横坐标为______________.14.若关于x 的不等式220x ax +-<在区间[1,4]上有解,则实数a 的取值范围为________.15.函数322()f x x ax bx a =--+在1x =处有极值10,则+a b 的值为________. 16.若0<x 1<x 2<1,且1<x 3<x 4,下列命题:①3443ln ln x x e e x x ->-;②2121ln ln x x ee x x ->-;③3232x x x e x e <;④1221x xx e x e >;其中正确的有___________17.已知函数()f x axlnx =,()x 0,∞∈+,其中a 为实数,()f'x 为()f x 的导函数,若()f'e 2(e 2.71828==⋯是自然对数的底数),则a 的值为______.18.已知函数()f x 的导函数为'()f x ,且满足()2'(1)ln f x xf x =+,则'(1)=f ________19.已知函数322()3f x x ax bx a =+++,若函数()()sin 2g x f x x =+在点(0,(0))g 处的切线平行于x 轴,则实数b 的值是________.20.已知函数()32331f x x ax x =-++在区间()2,3上至少有一个极值点,则a 的取值范围为__________.三、解答题21.已知函数()1ex f x a +=,()ln1xg x a=-,其中0a >.(1)若1a =,在平面直角坐标系xOy 中,过坐标原点O 分别作函数()y f x =与()y g x =的图象的切线1l ,2l ,求1l ,2l 的斜率之积;(2)若()()f x g x ≥在区间()0,∞+上恒成立,求a 的最小值. 22.已知函数2()ln f x x x =-,()g x kx =. (1)求函数()f x 的最小值;(2)若()g x 是()f x 的切线,求实数k 的值;(3)若()f x 与()g x 的图象有两个不同交点A (1x ,1y ),B (2x ,2y ),求证:121x x >. 23.已知函数()1ln 1f x x x =+-,()()1x g x f x e x m x ⎡⎤=-+-⎢⎥⎣⎦.(1)求()f x 的单调区间;(2)当1,x e e ⎡⎤∈⎢⎥⎣⎦时,判断函数()g x 的零点个数.24.已知函数()e x f x ax =,a 为非零常数. (1)求()f x 单调递减区间;(2)讨论方程()()21f x x =+的根的个数. 25.已知函数321()2()32a f x x x x a R =-+-∈. (1)当3a =时,求函数()f x 的单调递减区间;(2)若对于任意[)1,x ∈+∞都有()()21f x a '<-成立,求实数a 的取值范围. 26.求下列函数的导数: (1)()()12y x x =--; (2)221x y x =+.【参考答案】***试卷处理标记,请不要删除一、选择题 1.C 解析:C 【分析】根据题意,设()()5323g x f x x x x =-=++,分析可得()g x 为奇函数且在R 上为增函数,据此可得原不等式等价于()()2g a g a >-,结合函数的单调性可得2a a >-,解可得a 的取值范围,即可得答案. 【详解】解:根据题意,设()()5323g x f x x x x =-=++,其定义域为R ,则()()()533g x x x x g x -=-++=-,则()g x 为奇函数,又由()425910g x x x '=++>,则()g x 在R 上为增函数,故()()()()()()24222222f a f a f a f a f a f a ⎡⎤+->⇒->--+⇒->---⎣⎦()()2g a g a ⇒>--()()2g a g a ⇒>-,必有2a a >-,解得1a >,即a 的取值范围为()1,+∞. 故选:C . 【点睛】利用函数奇偶性和单调性解不等式问题:(1)()f x 是奇函数,图像关于原点中心对称,利用奇函数性质将不等式()()12f g x f g x ⎡⎤⎡⎤<⎣⎦⎣⎦形式,再利用单调性得到()1g x 和()2g x 的大小关系,再解不等式即可;(2)()f x 是偶函数,图像关于y 轴对称,利用偶函数性质将不等式()()12f g x f g x ⎡⎤⎡⎤<⎣⎦⎣⎦形式,再利用单调性得到()1g x 和()2g x 的大小关系,再解不等式即可.2.A解析:A 【分析】作出函数()f x 的图象,利用数形结合的思想判断a 的范围,找出临界点即相切时a 的取值,进而得出a 的范围. 【详解】作出()f x 的图象,如图,由图象可知:要使()f x ax 恒成立,只需函数()g x ax =的图象恒在图象()f x 的下方, 可得1a ,设()g x ax =与函数2()22(0)f x x x x =++相切于点(),(0)P m n m <, 由()f x 的导数为22x +,可得切线的斜率为22m +, 即有22a m =+,222am m m =++,解得m =,2a =-由图象可得222a -,综上可得a的范围是[2-1]. 故选:A 【点睛】解决此类问题的关键是作出函数图象,根据数形结合的思想处理问题,本题关键找出相切时刻这一临界位置,利用直线与抛物线相切即可求解.3.A解析:A 【分析】化简可得322tan 1tan xy x=-,令tan t x =,()1,t ∈+∞,则3221t y t =-,求出函数导数,利用导数判断函数的单调性即可求出最值. 【详解】可得3222tan 2tan tan 22tan 2tan 1tan 1tan x xy x x x x x =-=-=--, 令tan t x =,则()1,t ∈+∞,则3221t y t=-, 则()()()()()22322222261222311t t t t t t y t t --⨯--'==--,当(t ∈时,0y '>,函数单调递增,当)t ∈+∞时,0y '<,函数单调递减,所以当t =时,()3max 221y ⨯==--.故选:A. 【点睛】关键点睛:本题考查函数最值的求解,解题的关键是利用换元法将函数化为3221t y t=-,然后利用导数讨论其单调性即可求出最值.4.A解析:A 【分析】利用()f x 的导函数()'f x ,结合()f x 在区间[1,1]a a -+上的单调性列不等式组求得a的取值范围. 【详解】由()219ln ,(0)2f x x x x =->,则()299,(0)x f x x x x x'-=-=>,当(0,3)x ∈时,()0f x '<,则()f x 单调递减; 当(3,)x ∈+∞时,()0f x '>,则()f x 单调递增,又函数()f x 在区间[1,1]a a -+上单调递减,所以101311a a a a ->⎧⎪+≤⎨⎪+>-⎩,解得12a <≤,故选:A. 【点睛】本题主要考查利用函数的单调性求解参数的取值范围问题,其中导数是研究函数的单调性、极值(最值)最有效的工具,而函数是高中数学中重要的知识点,对导数的应用的考查都非常突出,从高考来看,对导数的应用的考查主要从以下两个角度进行: (1)考查导数的几何意义,往往与解析几何、微积分相联系. (2)利用导数求函数的单调区间,判断单调性;已知单调性,求参数.5.D解析:D 【分析】根据已知构造合适的函数,对函数求导,根据函数的单调性,求出函数的取值范围,并根据偶函数的性质的对称性,求出0x <的取值范围. 【详解】解:当0x >时,由2()()20f x xf x +'-<可知:两边同乘以x 得:22()()20xf x x f x x +'-< 设:22()()g x x f x x =-则2()2()()20g x xf x x f x x '=+'-<,恒成立:()g x ∴在(0,)+∞单调递减,由()()21x f x f -21x <-()()2211x f x x f ∴-<-即()()1g x g < 即1x >;当0x <时,函数是偶函数,同理得:1x <-综上可知:实数x 的取值范围为(-∞,1)(1-⋃,)+∞, 故选:D . 【点睛】主要根据已知构造合适的函数,函数求导,并应用导数法判断函数的单调性,偶函数的性质,属于中档题.6.D解析:D 【分析】 首先设函数()()sin f x g x x=,判断函数的单调性,和奇偶性,利用函数的性质比较大小. 【详解】 设()()sin f x g x x=, ()()()()()()sin sin sin f x f x f x g x g x x x x---====--,即()()g x g x -=,所以函数()g x 是偶函数, 并且()()()2sin cos 0sin f x x f x xg x x'-'=<,所以函数()g x 在()0,π单调递减,444sin 4f ag ππππ⎛⎫ ⎪⎛⎫⎛⎫⎝⎭=== ⎪ ⎪⎝⎭⎝⎭,3333sin 3f b f g g πππππ⎛⎫- ⎪⎛⎫⎛⎫⎛⎫⎝⎭=-==-= ⎪ ⎪ ⎪⎛⎫⎝⎭⎝⎭⎝⎭- ⎪⎝⎭,222sin 2f c fg ππππ⎛⎫ ⎪⎛⎫⎛⎫⎝⎭=== ⎪ ⎪⎝⎭⎝⎭,因为0432ππππ<<<<,所以432g g g πππ⎛⎫⎛⎫⎛⎫>> ⎪ ⎪ ⎪⎝⎭⎝⎭⎝⎭, 即a b c >>. 故选:D 【点睛】本题考查导数与函数性质的综合应用,重点考查构造函数,利用函数的性质比较大小,属于中档题型.7.C解析:C 【分析】当2x ≥时,利用导数研究函数的单调性,()()g x f x m =-有两个零点,即()y f x =的图象与直线y m =有两个交点,结合函数图象,即可求出参数的取值范围; 【详解】解:当2x ≥时,设()22x x x h xe +=,则()()()2222222x x x xx e x x e x h x e e +-+-'==-, 易知当2x >时,()0h x '<,即()h x 是减函数,∴2x =时,()()2max 82h e h x ==, 又x →+∞时,()0h x →且()0h x >,而2x ≤时,()2f x x =+是增函数,()24f =.()()g x f x m =-有两个零点,即()y f x =的图象与直线y m =有两个交点,函数()22,22,2x x xx f x e x x ⎧+>⎪=⎨⎪+≤⎩的图象如下所示:所以280m e <<.故选:C . 【点睛】本题考查利用导数研究函数的单调性,函数方程思想与数形结合思想,属于中档题.8.B解析:B 【分析】先对函数进行求导,根据导函数小于0时原函数单调递减即可得到答案 【详解】由题意可知()02bf x x x '-+≤+=,在[)1x ∈-+∞,上恒成立, 即()2b x x ≤+在[)1x ∈-+∞,上恒成立, 由于()2y x x =+在[)1,-+∞上是增函数且最小值为1-,所以1b ≤-, 故选:B. 【点睛】本题主要考查导数的正负和原函数的增减性的问题,属于中档题.9.C解析:C 【分析】由不等式()f lnx x <,令t lnx =,可知()()t f lnx x f t e <⇔<,令()()xf xg x e =,求导可得函数单调性,从而可解:10lnx x e <⇔<<, 【详解】解:令t lnx =,则()()t f lnx x f t e <⇔<,令()()xf xg x e=,则()()()0x f x f x g x e '-'=>, 因为:满足x R ∀∈,()()f x f x '>()g x ∴在R 上单调递增, ∴()()()()11t tf t f t eg t g e <⇔<⇔<110t lnx x e ⇔<⇔<⇔<<, 故选:C . 【点睛】本题主要考查导数法研究函数的单调性,考查了导数的综合应用,属于中档题.10.D解析:D 【分析】求得函数的导数()2cos 3f x f x π⎛⎫''=- ⎪⎝⎭,得到1()32f π'=,得到()sin f x x x =-,再结合函数的单调性,即可求解. 【详解】由题意,函数()2sin 3f x xf x π'⎛⎫=- ⎪⎝⎭,可得()2cos 3f x f x π⎛⎫''=- ⎪⎝⎭, 令3x π=,可得()2cos 333f f πππ'⎛⎫'=-⎪⎝⎭,解得1()32f π'=, 即()sin f x x x =-,则()1cos 0f x x '=-≥,所以()f x 单调递增,当2x π=-,函数取得最小值,最小值为()sin()1222f x πππ=---=-+. 故选:D. 【点睛】本题主要考查了函数的导数的运算及应用,其中解答中熟记导数的运算公式,结合函数的单调性求解是解答的关键,着重考查运算与求解能力.11.B解析:B 【分析】构造函数()()F x xf x =,再根据单调性解不等式,即得结果. 【详解】令()()F x xf x =,则()()()0F x f x xf x ''=+<,所以()F x 在(0,)+∞上单调递减(1)(1)f x x +>-()21f x -,2(1)(1)(1)x f x x ∴++>-()21f x -,2(1)(1)F x F x ∴+>-, 2011,2x x x ∴<+<-∴>,故选:B 【点睛】本题考查利用导数解不等式,考查基本分析求解能力,属中档题.12.D解析:D 【分析】 由于f ′(x 0)=()()000limx f x x f x x∆→+∆-∆=-3,而()()0003limh f x h f x h h→+--的形态与导数的定义形态不一样,故需要对()()0003limh f x h f x h h→+--转化成()()()()000003limh f x h f x f x f x h h→+-+--利用()()()()000003 limh f x h f x f x f x h h→+-+--=()()()()000003lim3lim3h h f x h f x f x h f x hh→→+---+⋅-即可求解. 【详解】 f ′(x 0)=()()000limx f x x f x x∆→+∆-∆=-3,()()0003limh f x h f x h h→+--=()()()()000003limh f x h f x f x f x h h→+-+--=()()()()000003lim 33h f x h f x f x h f x h h →⎡⎤+---+⋅⎢⎥-⎣⎦=()()()()000003lim3lim3h h f x h f x f x h f x hh→→+---+⋅-=f ′(x 0)+3f ′(x 0)=4f ′(x 0)=-12. 答案:D 【点睛】本题主要考察导数的定义和极限的运算,本题的难点在于要把极限化成导数定义的形态,需要对分式进行合理变形.属于中等题.二、填空题13.0或或【分析】设切点的坐标由求出切线方程把代入切线方程可求得切点坐标【详解】设的坐标为过点的切线方程为代入点的坐标有整理为解得或或故答案为:0或或【点睛】本题考查导数的几何意义求函数图象的切线方程要解析:0或1-或53【分析】设切点P 的坐标,由P 求出切线方程,把(1,0)代入切线方程可求得切点坐标. 【详解】设P 的坐标为()32,351m m m m +-+,2()9101f x x x +'=-,过点P 的切线方程为()()3223519101()m m m m x y m m +-+=+---,代入点()1,0的坐标有()()()32235191011mm m mm m --+-+=+--,整理为323250m m m --=,解得0m =或1m =-或53m =, 故答案为:0或1-或53. 【点睛】本题考查导数的几何意义.求函数图象的切线方程要分两种情况:(1)函数()y f x =图象在点00(,)P x y 处的切线方程,求出导函数,得出切线方程000()()y y f x x x '-=-;(2)函数()y f x =图象过点00(,)P x y 处的切线方程:设切线坐标11(,)x y ,求出切线方程为111()()y y f x x x '-=-,代入00(,)x y 求得11,x y ,从而得切线方程.14.【分析】本题现将不等式运用参变分离化简为再构造新函数求最大值最后求实数a 的取值范围【详解】解:∵不等式在区间上有解∴不等式在区间上有解∴不等式在区间上有解令()则∴当时单调递减∴不等式在区间上有解即 解析:(,1)-∞【分析】本题现将不等式220x ax +-<运用参变分离化简为2a x x<-,再构造新函数2()f x x x=-求最大值,最后求实数a 的取值范围. 【详解】解:∵ 不等式220x ax +-<在区间[1,4]上有解, ∴ 不等式22x a x-<在区间[1,4]上有解,∴ 不等式2a x x<-在区间[1,4]上有解, 令2()f x x x =-,(14x ≤≤),则22'()1f x x=--, ∴ 当14x ≤≤时,'()0f x <,()f x 单调递减,∴ max 2()(1)111f x f ==-= 不等式2a x x<-在区间[1,4]上有解,即max ()a f x∴1a <故答案为:(,1)-∞ 【点睛】本题考查不等式存在性问题,借导函数研究原函数单调性求最大值,是中档题.15.【分析】先根据极值列方程组解得值再代入验证即可确定结果【详解】解∵函数∴又∵函数当时有极值10∴∴或当时有不等的实根满足题意;当时有两个相等的实根不满足题意;∴【点睛】本题考查根据极值求参数考查基本 解析:7a b +=【分析】先根据极值列方程组解得a b ,值,再代入验证,即可确定结果. 【详解】解∵函数322()f x x ax bx a =--+∴2()32f x x ax b '=--,又∵函数322()f x x ax bx a =--+,当1x =时有极值10,∴2320110a b a b a --=⎧⎨--+=⎩,∴411a b =-⎧⎨=⎩或33a b =⎧⎨=-⎩当411a b =-⎧⎨=⎩时,2()32(1)(311)0f x x ax b x x '=--=-+=有不等的实根满足题意; 当33a b =⎧⎨=-⎩时,22()323(1)0f x x ax b x '=--=-=有两个相等的实根,不满足题意; ∴7a b += 【点睛】本题考查根据极值求参数,考查基本分析求解能力,属中档题.16.①④【分析】令求导后求得函数的单调性后即可判断①②;令求导求得函数的单调性后即可判断③④;即可得解【详解】令则易知当时单调递增由则存在使得当时单调递减;当时单调递增;当时即此时故②错误;即故①正确;解析:①④ 【分析】 令()()ln 0x f x e x x =->,求导后求得函数()f x 的单调性后,即可判断①、②;令()()0xe h x x x=>,求导求得函数()h x 的单调性后,即可判断③、④;即可得解.【详解】令()()ln 0x f x e x x =->,则()1x f x e x'=-, 易知当()0,x ∈+∞时,()f x '单调递增, 由131303f e ⎛⎫'=-< ⎪⎝⎭,()110f e '=->, 则存在01,13x ⎛⎫∈ ⎪⎝⎭使得()00f x '=,∴当()00,x x ∈时,()0f x '<,()f x 单调递减;当()0,x x ∈+∞时,()0f x '>,()f x 单调递增; 1201x x ,∴当02x x =时,()()21f x f x <即2121ln ln x x e x e x -<-,∴此时2121ln ln x x e e x x -<-,故②错误;341x x <<,∴()()43f x f x >即3443ln ln x x e x e x ->-, ∴3443ln ln x x e e x x ->-,故①正确;令()()0xe h x x x =>,()()21x e x h x x -'=, ∴当()0,1x ∈时,()0h x '<,()h x 单调递减;当()1,x ∈+∞时,()0h x '>,()h x 单调递增;2301x x <<<,∴()2h x 与()3h x 的大小无法确定即23x x e 、32x x e 的大小无法确定,故③错误; 121x x ,∴()()21h x h x <即2121x x e e x x <,∴1221x x x e x e >,故④正确.故答案为:①④. 【点睛】本题考查了导数的应用,考查了构造新函数的能力和推理能力,属于中档题.17.1【分析】根据题意求出函数的导数将代入计算可得解可得a 的值即可得答案【详解】根据题意函数则函数若则解可得;故答案为1【点睛】本题考查导数的计算关键是掌握导数的计算公式属于基础题解析:1 【分析】根据题意,求出函数()'f x 的导数,将x e =代入计算可得()'ln 22f e a e a a =+==,解可得a 的值,即可得答案. 【详解】根据题意,函数()ln f x ax x =,则函数()()()''ln ln 'ln f x a x x ax x a x a =+=+, 若()'2f e =,则()'ln 22f e a e a a =+==, 解可得1a =; 故答案为1. 【点睛】本题考查导数的计算,关键是掌握导数的计算公式,属于基础题.18.-1【解析】【分析】首先对函数求导然后利用方程思想求解的值即可【详解】由函数的解析式可得:令可得:则【点睛】本题主要考查导数的运算法则基本初等函数的导数公式方程的数学思想等知识意在考查学生的转化能力解析:-1 【解析】 【分析】首先对函数求导,然后利用方程思想求解()'1f 的值即可. 【详解】由函数的解析式可得:()()1'2'1f x f x=+, 令1x =可得:()()1'12'11f f =+,则()'11f =-. 【点睛】本题主要考查导数的运算法则,基本初等函数的导数公式,方程的数学思想等知识,意在考查学生的转化能力和计算求解能力.19.【分析】求g (x )的导数可得x=0处切线的斜率由两直线平行的条件:斜率相等得方程解方程可得b 的值【详解】函数g (x )=f (x )+sin2x=x3+2ax2+bx+a2+sin2x 则g′(x )=3x2 解析:2-【分析】求g (x )的导数,可得x=0处,切线的斜率,由两直线平行的条件:斜率相等,得方程,解方程可得b 的值. 【详解】函数g (x )=f (x )+sin2x=x 3+2ax 2+bx+a 2+sin2x 则g′(x )=3x 2+4ax+b+2cos2x ,可得g (x )在x=0处的切线的斜率为b+2,由题意可得b+2=0,可得b=-2. 【点睛】本题考查了通过导数求切线的斜率,考查了两直线平行的条件:斜率相等;解答本题的关键是列出函数的导数等于切线斜率的方程.20.【解析】【分析】由在区间中至少有一个极值点等价与方程在其判别式的条件下在区间有解即可求解【详解】因为而在区间中至少有一个极值点等价于方程在其判别式的条件下在区间有解所以由可得令求导数可得所以在上单调解析:55,43⎛⎫⎪⎝⎭【解析】 【分析】由()f x 在区间(2,3)中至少有一个极值点,等价与方程()0f x '=在其判别式>0∆的条件下在区间(2,3)有解,即可求解. 【详解】因为()22363f x x ax =-+',而()f x 在区间(2,3)中至少有一个极值点,等价于方程223630x ax -+=在其判别式>0∆的条件下在区间(2,3)有解, 所以由223630x ax -+=可得11()2a x x=+, 令()11()2g x x x =+,求导数可得()211(1)2g x x=-',所以()g x 在(2,3)上单调递增,所以5115()423x x <+<, 解得5543a <<,此时满足>0∆,故实数a 的取值范围是55(,)43.【点睛】本题主要考查了利用导数在函数中的应用,解题的关键是()f x 在区间(2,3)中至少有一个极值点转化为方程()0f x '=在判别式>0∆的条件下在区间(2,3)有解是解答的关键,着重考查了分析问题和解答问题的能力,属于中档试题.三、解答题21.(1)1;(2)21e. 【分析】(1)利用导数的运算法则和公式求得1()e x f x +'=,1()g x x'=,得到切线1l ,2l 的斜率∴111e x l k +=,221l k x =,根据两切线都经过原点,求得121,e x x ==,进而求得两直线的斜率之积;(2)问中是典型的无法分离参数的情况,进行转化并构造函数,1()e x F x x +=,转化为()ln 1x F x F a ⎛⎫≥- ⎪⎝⎭,分类讨论,并注意利用导数进一步研究函数()F x 的单调性,当ln10,x a ->转化为1max ln 1e x x x x a a +⎛⎫≥-⇒≥ ⎪⎝⎭,进而再次造函数令1()ex x x ϕ+=,利用导数研究单调性并求得其最大值,即得a 的最小值. 【详解】解:(1)当1a =时,()1x f x e=+,()ln 1g x x =-设过原点O 的直线分别切()f x ,()g x 于点()111,P x y ,()222,P x y1()e x f x +'=,1()g x x'=, ∴111ex l k +=,221l k x =且11111122222e e 1e ln 11x x x x x x x x ++⎧=⎪=⎧⎪⇒⎨⎨=-⎩⎪=⎪⎩∴12221e 1e l l k k ⋅=⋅=. (2)由1eln 1x xa a+≥-在(0,)+∞上恒成立得∵0a >,∴111eln x x a a a+≥- ln 1eln 1ln 1e (*)xx ax x x x a a a +⎛⎫⎛⎫≥-=-⋅ ⎪ ⎪⎝⎭⎝⎭令1()e x F x x +=,∴()ln1x F x F a ⎛⎫≥- ⎪⎝⎭①当ln 10xa-≤时,(*)左边0,>右边0,≤显然成立 ②当ln10,xa->注意到1()(1)e 0x F x x +'=+> ∴()F x 在(0,)+∞上∴1maxln1e x x x x a a +⎛⎫≥-⇒≥ ⎪⎝⎭ 令1()e x x x ϕ+=,11221e e 1()e ex x x x x xx ϕ++++--'==,令()0x ϕ'= 得01x <<时,()0x ϕ'>,()x ϕ↗; 当1x >时,()0x ϕ'<,()x ϕ↘ ∴max 21()(1)x e ϕϕ==,∴21a e ≥.【点睛】本题考查求曲线上某点处的切线的斜率问题和利用导数研究不等式恒成立问题,属中档题,难度一般.关键是要熟练掌握导数的运算法则和求导公式,这是一切导数问题的基础,第(2)问中将不等式整理为为ln 1eln 1ln 1e (*)xx ax x x x a a a +⎛⎫⎛⎫≥-=-⋅ ⎪ ⎪⎝⎭⎝⎭令1()e x F x x +=,转化为()ln 1x F x F a ⎛⎫≥- ⎪⎝⎭,是难点也是解决问题的关键点,多次构造函数,并利用函数思想进行转化和求解是本题的显著特点,值得好好体会. 22.(1)11ln 222+;(2)1;(3)证明见解析. 【分析】(1)利用导数求出其单调性,即可得出函数()f x 的最小值;(2)利用导数的几何意义得出切线方程20000121ln y x x x x x ⎛⎫=--+- ⎪⎝⎭,再由2000012,1ln 0x k x x x -=-+-=求出k 的值; (3)将22111222ln ,ln x x kx x x kx -=-=两式相加相减化简得出2121212211ln 2ln x x x x x x x x x x ++=-,令211x t x =>,构造函数2(1)()ln (1)1t F t t t t -=->+,利用单调性证明2(1)ln 1t t t ->+,从而得出1212ln 22x x x x +>,再由令()ln 2G x x x =+的单调性得出12()(1)G x x G >,从而得出121x x >. 【详解】解:(1)∵2()ln f x x x =-,∴2121()2(0)x f x x x x x-'=-=>当0,2x ⎛⎫∈ ⎪ ⎪⎝⎭时,()0f x '<,∴()f x在2⎛ ⎝⎭上单调递减;当,2x ⎛⎫∈+∞ ⎪ ⎪⎝⎭时,()0f x '>,∴()f x在2⎛⎫+∞ ⎪ ⎪⎝⎭上单调递增. 故函数()f x的最小值为211ln ln 222222f ⎛⎫⎛⎫=-=+ ⎪ ⎪ ⎪ ⎪⎝⎭⎝⎭(2)若()g x 是()f x 的切线,设切点为00(,())x f x 则过点00(,())x f x 的切线方程为000()()()y f x x x f x '=-+ 即20000012()ln y x x x x x x ⎛⎫=--+- ⎪⎝⎭,即20000121ln y x x x x x ⎛⎫=--+- ⎪⎝⎭ 由题意知2000012,1ln 0x k x x x -=-+-= 令2()1ln (0)h x x x x =-+->,则0x >时,1()20h x x x'=--< ∴2()1ln h x x x =-+-在(0,)+∞上单调递增,又(1)0h =∴2001ln 0x x -+-=有唯一的实根01x =,则0012211k x x =-=-=. (3)由题意知22111222ln ,ln x x kx x x kx -=-=两式相加得22121212ln ()x x x x k x x +-=+两式相减得22221211ln ()x x x k x x x --=-,即212121ln x x x x k x x +-=-∴22211212211221ln ln ()x x x x x x x x x x x x ⎛⎫ ⎪ ⎪+-=+-+- ⎪ ⎪⎝⎭,即2121212211ln 2ln x x x x x x x x x x ++=- 不妨令120x x <<,记211x t x =>,则2121212211ln 2ln x x xx x x x x x x ++==-1ln 1t t t +- 令2(1)()ln (1)1t F t t t t -=->+,则2(1)()0(1)t F t t t -'=>+∴2l ())1n 1(t F t t t -=-+在(1,)+∞上单调递增,则2(1)()ln (1)01t F t t F t -=->=+ ∴2(1)ln 1t t t ->+,因而1212ln 2x x x x +=112(1)ln 2111t t t t t t t ++->⋅=--+ 令()ln 2G x x x =+,则0x >时,1()20G x x'=+>,∴()G x 在(0,)+∞上单调递增∵121212()ln 22(1)G x x x x x x G =+>=,∴121x x >. 【点睛】在处理极值点偏移问题时,关键是构造新函数,结合单调性解决极值点偏移问题. 23.(1)增区间为(1,)+∞,减区间为(0,1);(2)当112em e e<-+或m e >时,函数()g x 在1,e e ⎡⎤⎢⎥⎣⎦上没有零点;当112e e m e e-+≤≤时,函数()g x 在1,e e ⎡⎤⎢⎥⎣⎦上有一个零点.【分析】(1)求得函数的导数21()x f x x -'=,根据导函数的符号,即可求得函数的单调区间; (2)当1,x e e⎡⎤∈⎢⎥⎣⎦时,把函数()g x 的零点个数转化为方程(ln 1)xx e x m -+=的根的个数,构造新函数()(ln 1)xh x x e x =-+,利用导数求得函数()h x 的单调性与最值,结合最值,即可求解. 【详解】(1)由题意,函数()1ln 1f x x x=+-的定义域为(0,)+∞ ,且22111()x f x x x x -'=-=令()0f x '>,解得1x >;令()0f x '<,解得01x <<,所以函数()f x 的单调递增区间为(1,)+∞,单调递减区间为(0,1).(2)当1,x e e⎡⎤∈⎢⎥⎣⎦时,函数()g x 的零点个数等价于方程(ln 1)xx e x m -+=的根的个数,令()(ln 1)xh x x e x =-+,则1()ln 11x h x x e x ⎛⎫'=+-+⎪⎝⎭, 由(1)知,()f x 在1,1e ⎛⎫⎪⎝⎭上单调递减,在(1,)e 上单调递增,所以当1,e e x ⎡⎤∈⎢⎥⎣⎦,()(1)0f x f ≥=,即1ln 10x x +-≥在1,x e e ⎡⎤∈⎢⎥⎣⎦上恒成立, 所以()1ln 11011x h x x e x ⎛⎫'=+-+≥+=⎪⎝⎭. 所以()(ln 1)xh x x e x =-+在1,x e e⎡⎤∈⎢⎥⎣⎦上单调递增,所以1min11()2e h x h e e e ⎛⎫==-+ ⎪⎝⎭,max ()()h x h e e ==,当112em e e<-+或m e>时,函数()g x 在1,e e ⎡⎤⎢⎥⎣⎦上没有零点;当112ee m e e-+≤≤时,函数()g x 在1,e e ⎡⎤⎢⎥⎣⎦上有一个零点. 【点睛】对于利用导数研究函数的零点问题求解策略:把函数的零点问题转化为两个函数的图象的交点个数或转化为方程根的个数问题; 通常要构造新函数,利用导数研究函数的单调性,求出最值,从而求出参数的取值范围; 利用可分离变量,构造新函数,直接把问题转化为函数的最值问题.求满足函数零点个数的参数范围时,通常解法为从()f x 中分离参数,然后利用求导的方法求出由参数构造的新函数的最值,根据题设条件构建关于参数的不等式,再通过解不等式确定参数的取值范围.24.(1)当0a >时,()f x 的单调递减区间为(,1)-∞-,当0a <时,()f x 的单调递减区间为(1,)-+∞;(2)当0a >时,原方程有且仅有一个解;当0a <时,原方程有两个解. 【分析】(1)求导,对a 分类讨论,利用()0f x '<可解得结果;(2)转化为函数2(1)()e xx g x x +=与y a=的图象的交点的个数,利用导数可求得结果.【详解】(1)()(1)e x x xf x ae axe a x '=+=+,由()0f x '=得1x =-,①若0a >时,由()0f x '<得1x <-,所以()f x 的单调递减区间为(,1)-∞-; ②若0a <时,由()0f x '<得1x >-,所以()f x 的单调递减区间为(1,)-+∞.综上所述,当0a >时,()f x 的单调递减区间为(,1)-∞-;当0a <时,()f x 的单调递减区间为(1,)-+∞.(2)因为方程2()(1)f x x =+等价于2(1)e x x a x +=,令2(1)()e x x g x x +=, 所以方程()()21f x x =+的根的个数等于函数2(1)()e x x g x x +=与y a =的图象的交点的个数,因为()2222(1)12(1)(1)()()()e x x x x x x x x xe x e xe g x xe x +++-++=-'=, 由()0g x '=,得1x =-,当(,1)x ∈-∞-,时,()0g x '>,()g x 在(,1)-∞-上单调递增;当()()1,00,x ∈-+∞时,()0g x '<,所以()g x 在()1,0-,()0,∞+上单调递减, 又()10g -=,所以当(,1)x ∈-∞-时,()(),0g x ∈-∞;当()1,0x ∈-时,()(),0g x ∈-∞;当()0,x ∈+∞时,()()0,g x ∈+∞.所以,当0a >时,原方程有且仅有一个解;当0a <时,原方程有两个解.【点睛】方法点睛:讨论函数零点(或方程根)的个数的常用的方法:(1)直接法:直接求解方程得到方程的根,可得方程根的个数;(2)数形结合法:先对解析式变形,进而构造两个函数,然后在同一平面直角坐标系中画出函数的图象,利用数形结合的方法求解25.(1)(),1-∞和()2,+∞;(2)()1,8-.【分析】(1)求出函数的导数,令导数小于0,解出不等式即得单调递减区间;(2)可得不等式等价于220x ax a -+>对于任意[)1,x ∈+∞恒成立,讨论对称轴的范围,令22x ax a -+在[)1,x ∈+∞的最小值大于0即可求出.【详解】(1)当3a =时,3213()232f x x x x =-+-, 则()()()23212f x x x x x '=-+-=---,令()0f x '<,解得1x <或 2x >,()f x ∴的单调递减区间为(),1-∞和()2,+∞;(2)()22'=-+-f x x ax , 则()2221x ax a -+-<-,即 220x ax a -+>对于任意[)1,x ∈+∞恒成立, 令()22g x x ax a =-+,对称轴为 2a x =,开口向上, 当12a ≤,即2a ≤时,()g x 在 [)1,+∞单调递增, ∴()()min 1120g x g a a ==-+>,解得 1a >-,12a ∴-<≤; 当12a >,即2a >时,()2min 20242a a a g x g a a ⎛⎫==-⨯+> ⎪⎝⎭,解得 08a <<, 28a ∴<<,综上,18a -<<.【点睛】方法点睛:解决一元二次不等式在给定区间的恒成立问题的方法:构造二次函数,求出函数的对称轴和开口方向,讨论对称轴的范围,结合二次函数的单调性求出最值,然后列出不等式即可求解.26.(1)23y x '=-;(2)22222(1)x y x -'=+ 【分析】(1)利用导数的乘法法则,即可求出导数.(2)利用导数的除法法则,即可求出导数.【详解】(1)(1)(2)(1)(2)2123y x x x x x x x '''=--+--=-+-=-(2)2222222(1)2222(1)(1)x x x x y x x +-⋅-'==++ 【点睛】本题考查了导数的乘除运算,考查了运算能力,属于基础题目.。
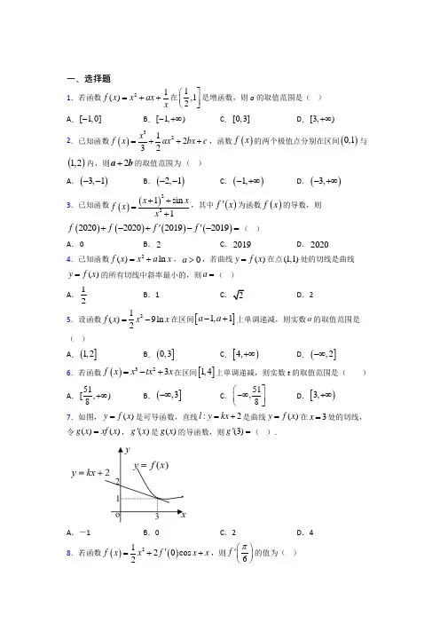
一、选择题1.若函数21()f x x ax x =++在1,12⎛⎤⎥⎝⎦是增函数,则a 的取值范围是( ) A .[1,0]-B .[1,)-+∞C .[0,3]D .[3,)+∞2.已知函数()322213x f x ax bx c ++=+,函数()f x 的两个极值点分别在区间()0,1与()1,2内,则2+a b 的取值范围为 ( ) A .()3,1-- B .()2,1--C .()1,-+∞D .()3,-+∞3.已知函数()()221sin 1x xf x x ++=+,其中()f x '为函数()f x 的导数,则()()()()2020202020192019f f f f ''+-+--=( )A .0B .2C .2019D .20204.已知函数2()ln f x a x x =+,0a >,若曲线()y f x =在点(1,1)处的切线是曲线()y f x =的所有切线中斜率最小的,则a =( )A .12B .1C .2D .25.设函数21()9ln 2f x x x =-在区间[]1,1a a -+上单调递减,则实数a 的取值范围是( ) A .(]1,2B .(]0,3C .[)4,+∞D .(],2-∞6.若函数()323f x x tx x =-+在区间[]1,4上单调递减,则实数t 的取值范围是( ) A .51[,)8+∞ B .(],3-∞C .51,8⎛⎤-∞ ⎥⎝⎦D .[)3,+∞ 7.如图,()y f x =是可导函数,直线:2l y kx =+是曲线()y f x =在3x =处的切线,令()()g x xf x =,'()g x 是()g x 的导函数,则'(3)g =( ).A .-1B .0C .2D .48.若函数()()22co 102s x f x x f x '=++,则6f π⎛⎫' ⎪⎝⎭的值为( )A .0B .6π C .3π D .π9.已知函数()f x 在R 上连续可导,导函数为()'f x ,(0)1f =,其满足()()01f x f x x '->-,函数()()x f x g x e=,下列结论错误..的是( ) A .函数()g x 在(1,)+∞上为单调递增函数 B .0x ≤时,不等式()x f x e ≥恒成立 C .函数()g x 有最小值,无最大值 D .1x =是函数()g x 的极大值点10.已知点M 在函数()x f x e =图象上,点N 在函数()ln g x x =图象上,则||MN 的最小值为( ) A .1B .2C .2D .311.已知定义在(0,)+∞上的函数()f x 的导函数()f x '满足()1xf x '>,则( ) A .()()21ln 2f f -< B .()()21ln 2f f -> C .()()211f f -<D .()()211f f ->12.已知函数()xe f x ax x=-,()0,x ∈+∞,当21x x >时,不等式()()1221f x f x x x <恒成立,则实数a 的取值范围为( ) A .(],e -∞B .(),e -∞C .,2e ⎛⎫-∞ ⎪⎝⎭D .,2e ⎛⎤-∞ ⎥⎝⎦二、填空题13.函数y x b =+的图象与函数122y x =的图象有且仅有一个公共点,则实数b 的取值范围为_________.14.若函数()12sin 2cos 2f x =x x a x ++在R 上递增,则a 的取值范围___________. 15.设函数()()21xf x e x ax a =--+,其中1a <,若仅存在两个整数n 使得()0f n <,则实数a 的取值范围是__________.16.已知函数()ln ,(0,]f x mx x x e =-∈的最小值为2,则实数m 的值为____________. 17.在二维空间中,正方形的一维测度(周长)(为正方形的边长),二维测度(面积);在三维空间中,正方体的二维测度(表面积)(为正方形的边长),三维测度(体积);应用合情推理,在四维空间中,“超立方”的三维测度,则其四维测度__________.18.已知函数f(x)=x 3-2x 2+x +a ,g(x)=-2x +9x,若对任意的x 1∈[-1,2],存在x 2∈[2,4],使得f(x 1)=g(x 2),则实数a 的取值范围是________.19.已知函数()cos xf x x=,则()f x '=___________. 20.函数()sin f x x x =在x π=处的切线方程为______________.三、解答题21.设函数()21xf x e ax x =---,a R ∈.(1)0a =时,求()f x 的最小值.(2)若()0f x ≥在[)0,+∞恒成立,求a 的取值范围.22.已知函数32()2(,)f x x ax bx a b R =+++∈在1x =-与3x =处均取得极值. (1)求实数a ,b 的值;(2)若函数()f x 在区间(),21m m -上单调递减,求实数m 的取值范围. 23.已知函数()xaf x x e =+,其中a R ∈,e 是自然对数的底数. (1)当1a =-时,求函数() f x 在区间[0,)+∞的零点个数;(2)若()2xe f x <对任意[1,)x ∈-+∞恒成立,求实数a 的取值范围.24.已知函数()3233f x x x bx c =-++在0x =处取得极大值1.(1)求函数()y f x =的图象在1x =处切线的方程; (2)若函数()f x 在[],2t t +上不单调,求实数t 的取值范围.25.设函数321a x x bx c 32f x =-++(),其中a >0,曲线x y f =()在点P (0,0f ())处的切线方程为y=1 (Ⅰ)确定b 、c 的值 (Ⅱ)设曲线x y f =()在点(11x x f ,())及(22x x f ,())处的切线都过点(0,2)证明:当12x x ≠时,12'()'()f x f x ≠(Ⅲ)若过点(0,2)可作曲线x y f =()的三条不同切线,求a 的取值范围.26.(1)求曲线2xy x =+在点()1,1--处的切线方程. (2)求函数()316f x x x =+-过点()0,0的切线方程.【参考答案】***试卷处理标记,请不要删除一、选择题1.D 解析:D 【分析】先求出()32221212x ax f x x a x x +-=+-=',由()f x 在1,12⎛⎤ ⎥⎝⎦是增函数,则()0f x '≥在1,12⎛⎤ ⎥⎝⎦上恒成立,即32210x ax +-,也即212a x x -+在1,12x ⎛⎤∈ ⎥⎝⎦上恒成立, 【详解】()32221212x ax f x x a x x+-=+-=', 令32()21g x x ax =+-, 要使函数21()f x x ax x =++在1,12⎛⎤⎥⎝⎦是增函数, 则有()32210g x x ax =+-≥在1,12x ⎛⎤∈ ⎥⎝⎦上恒成立, 即32210x ax +-,即212a x x -+在1,12x ⎛⎤∈ ⎥⎝⎦上恒成立, 令21()2h x x x =-+,32()20h x x '=--<,所以()h x 在1,12⎛⎤ ⎥⎝⎦上单调递减, 故1()32h x h ⎛⎫<= ⎪⎝⎭,所以3a ≥ 故选:D. 【点睛】关键点睛:本题考查根据函数单调性求参数的范围,解答本题的关键是()f x 在1,12⎛⎤⎥⎝⎦是增函数转化为()0f x '≥在1,12⎛⎤⎥⎝⎦上恒成立,即32210x ax +-,分离参数即212a x x -+在1,12x ⎛⎤∈ ⎥⎝⎦上恒成立,属于中档题.2.B解析:B 【分析】求得()22f x x ax b '=++,根据题意可得出()()()001020f f f '''⎧>⎪<⎨⎪>⎩,利用不等式的基本性质可求得2+a b 的取值范围. 【详解】由()322213x f x ax bx c ++=+,求导()22f x x ax b '=++,因为函数()f x 的两个极值点分别在区间()0,1与()1,2内, 即方程220x ax b ++=的两个根分别在区间()0,1与()1,2内,即()()()020*********f b f a b f a b ⎧=>⎪=++<⎨⎪=++>''⎩',则0212b a b a b >⎧⎪+<-⎨⎪+>-⎩, 所以,()22a b a b b +=++>-. 综上所述,2+a b 的取值范围是()2,1--. 故选:B. 【点睛】方法点睛:本题考查利用二次函数的零点分布求参数,一般要分析以下几个要素: (1)二次项系数的符号; (2)判别式; (3)对称轴的位置; (4)区间端点函数值的符号. 结合图象得出关于参数的不等式组求解.3.B解析:B 【分析】将函数解析式变形为()22sin 11x xf x x +=++,求得()f x ',进而可求得所求代数式的值. 【详解】()()222221sin 12sin 2sin 1111x x x x x x x f x x x x ++++++===++++,所以,()()()()()2222020sin 202022020sin 202020202020222020120201f f ⨯-+-⨯++-=++=+-+, ()()()()()2222cos 122sin 1x x x x x f x x++-+'=+,函数()f x '的定义域为R ,()()()()()2222cos 122sin 1x x x x x f x x ⎡⎤⎡⎤⎡⎤+-⋅-++-+-⎣⎦⎣⎦⎣⎦-=⎡⎤-+⎣⎦'()()()()()2222cos 122sin 1x x x x x f x x ++-+'==+,所以,函数()f x '为偶函数,因此,()()()()20202020201920192f f f f ''+-+--=. 故选:B. 【点睛】结论点睛:本题考查利用函数奇偶性求值,关于奇函数、偶函数的导函数的奇偶性,有如下结论:(1)可导的奇函数的导函数为偶函数; (2)可导的偶函数的导函数为奇函数. 在应用该结论时,首先应对此结论进行证明.4.D解析:D 【分析】()y f x =的所有切线的斜率即为()2a f x x x'=+(0x >)的值域,由题意知当1x =时()f x '取得最小值,由基本不等式可知()2a x f x x '=+≥=,当且仅当2ax x =即22a x =时()f x '取得最小值,可得2a = 【详解】 因为2()ln f x a x x =+,定义域为()0,∞+,所以()2af x x x'=+, 由导数的几何意义可知:当1x =时()f x '取得最小值,因为0a >,0x >,所以()2a x f x x '=+≥=, 当且仅当2ax x=即22a x =时()f x '取得最小值, 又因为1x =时()f x '取得最小值,所以2212a =⨯=, 故选:D 【点睛】关键点点睛:本题的关键点是由导数的几何意义可得当1x =时()2af x x x'=+取得最小值,再利用基本不等式求()f x '取得最小值时满足2ax x=即22a x =,即可求出a 的值. 5.A解析:A 【分析】利用()f x 的导函数()'f x ,结合()f x 在区间[1,1]a a -+上的单调性列不等式组求得a的取值范围. 【详解】由()219ln ,(0)2f x x x x =->,则()299,(0)x f x x x x x'-=-=>,当(0,3)x ∈时,()0f x '<,则()f x 单调递减; 当(3,)x ∈+∞时,()0f x '>,则()f x 单调递增,又函数()f x 在区间[1,1]a a -+上单调递减,所以101311a a a a ->⎧⎪+≤⎨⎪+>-⎩,解得12a <≤,故选:A. 【点睛】本题主要考查利用函数的单调性求解参数的取值范围问题,其中导数是研究函数的单调性、极值(最值)最有效的工具,而函数是高中数学中重要的知识点,对导数的应用的考查都非常突出,从高考来看,对导数的应用的考查主要从以下两个角度进行: (1)考查导数的几何意义,往往与解析几何、微积分相联系. (2)利用导数求函数的单调区间,判断单调性;已知单调性,求参数.6.A解析:A 【分析】由函数()f x 在区间[]1,4上单调递减,得到不等式'()0f x ≤在[]1,4x ∈恒成立,再根据二次函数根的分布,求实数t 的取值范围. 【详解】因为函数()323f x x tx x =-+在区间[]1,4上单调递减,所以'2()3230f x x tx =-+≤在[]1,4x ∈恒成立,所以(1)0,(4)0,f f '≤'≤⎧⎨⎩即40,5180,t t -≤⎧⎨-≤⎩解得:518t ≥. 【点睛】本题考查利用导数研究函数的单调性、利用二次函数根的分布求参数取值范围,考查逻辑思维能力和运算求解能力,求解时要充分利用二次函数的图象特征,把恒成立问题转化成只要研究两个端点的函数值正负问题.7.B解析:B 【分析】将点()3,1的坐标代入切线方程得出k 的值,得出()3f k '=以及()31f =,再对函数()y g x =求导得()()()g x f x xf x ''=+,即可得出()3g '的值.【详解】将点()3,1代入直线2y kx =+的方程得321k +=,得13k =-,所以,()133f k '==-,由于点()3,1在函数()y f x =的图象上,则()31f =, 对函数()()g x xf x =求导得()()()g x f x xf x ''=+,()()()133331303g f f ⎛⎫''∴=+=+⨯-= ⎪⎝⎭,故选B .【点睛】本题考查导数的几何意义,在处理直线与函数图象相切的问题时,抓住以下两点: (1)函数在切点处的导数值等于切线的斜率; (2)切点是切线与函数图象的公共点.8.B解析:B 【分析】先对函数()f x 求导,采用赋值的方式计算出()0f '的结果,由此计算出6f π⎛⎫' ⎪⎝⎭的值. 【详解】因为()()20sin 1f x x f x ''=-+,所以令0x =,则()01f '=, 所以()2sin 1f x x x '=-+,则66f ππ⎛⎫'= ⎪⎝⎭, 故选:B. 【点睛】本题考查导数中的计算,采用赋值法求解出函数解析中的未知量是解答的关键,难度一般.9.D解析:D 【分析】 对()()x f x g x e=求导,由条件可判断单调性,即可依次判断每个选项的正误. 【详解】()()x f x g x e =,()()()xf x f xg x e-=''∴,当1x >时,()()0f x f x '->,即()0g x '>,故()g x 在(1,)+∞上单调递增,故A 正确,不符合题意;当1x <时,()()0f x f x '-<,即()0g x '<,故()g x 在(,1)-∞上单调递减,1x ∴=是函数()g x 的极小值点,故D 错误,符合题意;()g x 在(,0]-∞上单调递减,(0)()(0)1f g x g e∴≥==,即()1x f x e ≥,()x f x e ∴≥,故B 正确,符合题意;可知()g x 在1x =处取得极小值即最小值,无最大值,故C 正确,不符合题意.故选:D. 【点睛】本题考查导数的应用,属于中档题.10.B解析:B 【分析】根据函数()xf x e =与函数()lng x x =互为反函数,将问题转化为求函数()xf x e =的图象与直线y x =平行的切线的切点00(,)x y 到直线y x =的距离的两倍,利用导数求出切点坐标,根据点到直线的距离公式可得结果. 【详解】因为函数()x f x e =与函数()ln g x x =互为反函数,它们的图象关于直线y x =对称,所以||MN 的最小值为函数()xf x e =的图象上的点M 到直线y x =的距离的2倍,即为函数()xf x e =的图象与直线y x =平行的切线的切点00(,)x y 到直线y x =的距离的两倍,因为()xf x e '=,所以函数()xf x e =的图象上与直线y x =平行的切线的斜率01x k e ==,所以00x =,所以切点为(0,1),它到直线y x =的距离d ==所以||MN 故选:B. 【点睛】本题考查了互为反函数的图象的对称性,考查了导数的几何意义,属于中档题.11.B解析:B 【解析】分析:根据题意,由()1xf x '>可得()()'1f x lnx x='>,构造函数()()g x f x lnx =-,可得()()()110xf x g x f x x x-=-=''>',故()g x 单调递增,根据单调性可得结论. 详解:令()(),0g x f x lnx x =->, ∴()()()11xf x g x f x x x=''-'-=, ∵()1xf x '>,∴()0g x '>,∴函数()g x 在()0,+∞上单调递增, ∴()()21g g >,即()()2211f ln f ln ->-, ∴()()21ln2f f ->. 故选B .点睛:本题考查对函数单调性的应用,考查学生的变形应用能力,解题的关键是根据题意构造函数()()g x f x lnx =-,通过判断函数的单调性得到函数值间的关系,从而达到求解的目的.12.D解析:D 【分析】由题意得出()()1122x f x x f x <,构造函数()2xg x e ax =-,可知函数()y g x =在区间()0,∞+上单调递增,可得出()20x g x e ax '=-≥对任意的0x >恒成立,利用参变量分离法可得出2x e a x ≤,利用导数求得函数()2xe h x x=在区间()0,∞+上的最小值,由此可求得实数a 的取值范围. 【详解】函数()xe f x ax x=-的定义域为()0,∞+,当21x x >时,()()1221f x f x x x <恒成立, 即()()1122x f x x f x <,构造函数()()2xg x xf x e ax ==-,则()()12g x g x <,所以,函数()2xg x e ax =-在区间()0,∞+上为增函数,则()20xg x e ax '=-≥对任意的0x >恒成立,2xea x∴≤,令()2xe h x x=,其中0x >,则()min a h x ≤.()()212x e x h x x-'=,当01x <<时,()0h x '<,此时函数()y h x =单调递减; 当1x >时,()0h x '>,此时函数()y h x =单调递增. 所以,函数()y h x =的最小值为()()min 12e h x h ==,2e a ∴≤.因此,实数a 的取值范围是,2e ⎛⎤-∞ ⎥⎝⎦.故选:D. 【点睛】本题考查利用函数在区间上的单调性求参数,根据不等式的结构特征构造合适的函数是解题的关键,考查分析问题和解决问题的能力,属于中等题.二、填空题13.【分析】根据幂函数的性质作出的图象数形结合即可求解【详解】由幂函数的性质作出的图象由图知当直线与的图象相切时只有一个公共点由得设切点则解得所以切点为因为切点在切线上所以解得符合题意当直线过点时此时有 解析:(,0){1}-∞【分析】根据幂函数的性质作出122y x =的图象,数形结合即可求解. 【详解】由幂函数的性质作出122y x =的图象,由图知当直线y x b =+与122y x =的图象相切时,只有一个公共点,由122y x =得12122y x x-'=⨯=,设切点()00,x y 则00|1x x y x ='==,解得01x =,所以02y =,切点为()1,2, 因为切点在切线y x b =+上,所以21b =+,解得1b =符合题意,当直线y x b =+过点()0,0时0b =,此时有2个交点,由图知0b <时有一个交点, 故答案为:(,0){1}-∞ 【点睛】关键点点睛:本题的关键点是根据幂函数的性质作出122y x =的图象,然后作y x =,当y x b =+与曲线相切时有一个公共点,利用切点处的导函数值等于1,求出b 的值,当直线y x b =+过原点时有两个公共点,此时0b =再向下平移有一个公共点,可得0b <.14.【分析】根据函数求导由函数在上递增则在上恒成立令转化为在恒成立求解【详解】由函数所以因为函数在上递增所以在上恒成立令所以在恒成立令所以解得故答案为:【点睛】本题主要考查导数与函数单调性的应用还考查了 解析:11a -≤≤【分析】根据函数()12sin 2cos 2f x =x x a x ++,求导()22sin sin 3f x =x a x '--+,由函数()12sin 2cos 2f x =x x a x ++在R 上递增,则22sin sin 30x a x --+≥在R 上恒成立,令[]sin 1,1t x =∈-,转化为2230t at +-≤在[]1,1-恒成立求解. 【详解】 由函数()12sin 2cos 2f x =x x a x ++, 所以()22cos2sin 2sin sin 3f x =x a x=x a x '+---+, 因为函数()12sin 2cos 2f x =x x a x ++在R 上递增, 所以22sin sin 30x a x --+≥在R 上恒成立, 令[]sin 1,1t x =∈-,所以2230t at +-≤在[]1,1-恒成立, 令()223g t t at =+-,所以()()12301230g a g a ⎧=--≤⎪⎨-=+-≤⎪⎩,解得11a -≤≤, 故答案为:11a -≤≤ 【点睛】本题主要考查导数与函数单调性的应用,还考查了转化化归的思想和运算求解的能力,属于中档题.15.【分析】设则存在两个整数使得利用导数分析函数的单调性与极值作出函数的图象可得出关于的不等式组进而可求得实数的取值范围【详解】设由题意可知存在两个整数使得当时;当时函数的最小值为而直线恒过定点如下图所解析:253,32e e ⎡⎫⎪⎢⎣⎭【分析】设()()21xg x ex =-,y ax a =-,则存在两个整数1x 、2x ,使得()()1122g x ax a g x ax a ⎧<-⎪⎨<-⎪⎩,利用导数分析函数()y g x =的单调性与极值,作出函数()y g x =的图象,可得出关于a 的不等式组,进而可求得实数a 的取值范围. 【详解】 设()()21xg x ex =-,y ax a =-,由题意可知,存在两个整数1x 、2x 使得()()1122g x ax a g x ax a ⎧<-⎪⎨<-⎪⎩,()()21x g x e x '=+,当21x<-时,()0g x '<;当12x >-时,()0g x '>.∴函数()y g x =的最小值为()min 12g x g e ⎛⎫=-=- ⎪⎝⎭,()01g =-,()10g e =>,而直线y ax a =-恒过定点()1,0,如下图所示:则满足不等式()0f x <的两个整数解应分别为11x =-,20x =,所以()()1223g a g a ⎧-<-⎪⎨-≥-⎪⎩,即23253a ea e ⎧->-⎪⎪⎨⎪-≤-⎪⎩,解得25332a e e ≤<. 因此,实数a 的取值范围是253,32e e ⎡⎫⎪⎢⎣⎭. 故答案为:253,32e e ⎡⎫⎪⎢⎣⎭.本题考查利用导数研究函数不等式的整数解问题,考查数形结合思想的应用,属于中等题.16.【分析】求出分三种讨论函数的单调性可得函数的最小值从而得到的值【详解】当时为减函数故解得舍;当时为减函数故舍;当时若故在上为减函数;若故在上为增函数;所以故符合;综上故填【点睛】求函数的最值应结合函 解析:e【分析】 求出'()f x ,分0m ≤,10m e <≤,1m e>三种讨论函数的单调性可得函数的最小值,从而得到m 的值. 【详解】()1'(),0,mx f x x e x-=∈, 当0m ≤时,'()0f x <,()ln ,(0,]f x mx x x e =-∈为减函数,故 ()min 12f x me =-=,解得3m e=,舍;当10m e<≤时,'()0f x <,()ln ,(0,]f x mx x x e =-∈为减函数,()()min 12f x f e me ==-=,故3m e=,舍;当1m e >时,若10,x m ⎛⎫∈ ⎪⎝⎭,'()0f x <,故()f x 在10,m ⎛⎫ ⎪⎝⎭上为减函数; 若1,x m ⎛⎫∈+∞⎪⎝⎭,'()0f x >,故()f x 在1,m ⎛⎫+∞ ⎪⎝⎭上为增函数; 所以min 11()ln 2f x m m m=⨯-=,故m e =,符合; 综上,m e =,故填e . 【点睛】求函数的最值,应结合函数的定义域去讨论函数的单调性,有的函数的单调性可以利用基本初等函数的单调性、复合函数的单调性判断法则得到,有的函数的单调性需结合导数的符号进行判断,如果导数的符号还不能判断,则需构建新函数(也就是原函数的导函数),再利用导数判断其符号.17.12a4【解析】【分析】依据类比推理得到不同维度空间中两个测度具有一定的关系(高维测度的导数的两倍为低维测度)从而得到W=2a3从而得到W=12a4【详解】在二维空间中二维测度S=a2与一维测度(周 解析:【分析】依据类比推理得到不同维度空间中两个测度具有一定的关系(高维测度的导数的两倍为低维测度),从而得到,从而得到.【详解】在二维空间中,二维测度与一维测度(周长)的关系是;在三维空间中,三维测度与二维测度的关系是,故在四维空间中,若“超立方”的三维测度,则其四维测度满足,所以,故(为常数),类比各个维度测度的解析式的形式可得,故,填.【点睛】本题考查类比推理,属于基础题.18.【解析】【分析】分别求出g(x)f(x)的最大值和最小值得到不等式组解出即可【详解】问题等价于f(x)的值域是g(x)的值域的子集显然g(x)单调递减∴g(x)max=g(2)=g(x)min=g(解析:73,42⎡⎤--⎢⎥⎣⎦【解析】【分析】分别求出g(x),f(x)的最大值和最小值,得到不等式组,解出即可.【详解】问题等价于f(x)的值域是g(x)的值域的子集,显然,g(x)单调递减,∴g(x)max=g(2)=12,g(x)min=g(4)=﹣234;对于f(x),f′(x)=3x2﹣4x+1,令f′(x)=0,解得:x=13或x=1,x,f′(x),f(x)的变化列表如下:x﹣1(﹣1,13)13(13,1)1(1,2)2f′(x)+ 0﹣ 0+f(x) a﹣4递增427+a递减 a递增 a+2∴f x max=a+2f x min=a4∴1222344a a ⎧+≤⎪⎪⎨⎪-≥-⎪⎩,∴a ∈[﹣74,﹣32], 故答案为:[﹣74,﹣32]. 【点睛】本题考查了函数的单调性、最值问题,考查导数的应用,转化思想,是一道中档题.19.【分析】根据导数的运算法则求导即可【详解】故答案为【点睛】本题主要考查了导数的运算法则掌握法则和常用导数公式是关键属于基础题解析:2sin cos x x x x--【分析】 根据导数的运算法则,求导即可. 【详解】()22cos x xsinx cosx xsinx cosx f x x x x ''--+⎛⎫===- ⎪⎝⎭. 故答案为2sin cos x x x x --.【点睛】本题主要考查了导数的运算法则,掌握法则和常用导数公式是关键,属于基础题20.【解析】分析:首先求得导函数然后求得切线的的斜率最后求解切线方程即可详解:当时求解函数的导数可得:则据此可知切线过点切线的斜率为切线方程为:即:点睛:导数运算及切线的理解应注意的问题一是利用公式求导 解析:2y x ππ=-+【解析】分析:首先求得导函数,然后求得切线的的斜率,最后求解切线方程即可.详解:当x π=时,()sin 0fπππ==,求解函数的导数可得:()'sin cos f x x x x =+, 则()'f πsin cos ππππ=+⨯=-,据此可知,切线过点(),0π,切线的斜率为k π=-,切线方程为:()0y x ππ-=--,即:2y x ππ=-+.点睛:导数运算及切线的理解应注意的问题一是利用公式求导时要特别注意除法公式中分子的符号,防止与乘法公式混淆.二是直线与曲线公共点的个数不是切线的本质,直线与曲线只有一个公共点,直线不一定是曲线的切线,同样,直线是曲线的切线,则直线与曲线可能有两个或两个以上的公共点.三是复合函数求导的关键是分清函数的结构形式.由外向内逐层求导,其导数为两层导数之积.三、解答题21.(1)0;(2)1(,]2-∞. 【分析】(1)当0a =时,求导可得()1xf x e '=-,令()0f x '=,解得0x =,分别讨论(),0x ∈-∞和()0,∞+时,()'f x 的正负,即可得()f x 的单调性,即可求得答案;(2)求导可得()21xf x e ax '=--,设()21(0)xh x e ax x =--≥,分别讨论12a ≤和12a >时()h x '的正负,可得()h x 的单调性,进而可得()f x 的单调性,综合分析,即可得答案. 【详解】 (1)当0a =时,()1xf x e x =--,则()1xf x e '=-,令()0f x '=,解得0x =,当(),0x ∈-∞时,()0f x '<,所以()f x 在(),0-∞单调递减函数; 当()0,x ∈+∞时,()0f x '>,所以()f x 在()0,∞+单调递增函数; 所以()()min 00f x f ==.(2)()21x f x e ax x =---,则()21x f x e ax '=--,设()21(0)xh x e ax x =--≥,则()2xh x e a '=-,当12a ≤时,()0h x '≥,所以()h x 在[)0,+∞上为增函数, 又(0)0h =,所以()(0)0h x h ≥=,即()0f x '≥, 所以()f x 在在[)0,+∞上为增函数,又(0)0f =,所以()(0)0f x f ≥=,满足题意;当12a >时,令()0h x '=,解得ln2x a =, 当(0,ln 2)x a ∈时,()0h x '<,所以()h x 在(0,ln 2)a 为减函数, 所以当[0,ln 2)x a ∈时,()(0)0h x h ≤=,即()0f x '≤, 所以()f x 在[0,ln 2)x a ∈为减函数,又(0)0f = 所以()(0)0f x f ,不满足题意,综上:a 的取值范围是1(,]2-∞ 【点睛】解题的关键是熟练掌握利用导数求解函数单调性,极(最)值的方法,若处理恒成立问题时,需满足min ()0f x ≥,若处理存在性问题时,需满足max ()0f x ≥,需仔细审题,进行求解,属中档题.22.(1)3a =-,9b =-;(2)(]1,2. 【分析】(1)先对函数求导,根据极值点,列出方程求解,即可得出a ,b ,再检验,即可得出结果;(2)根据(1)的结果,由(2)中条件,列出不等式求解,即可得出结果. 【详解】(1)因为32()2f x x ax bx =+++所以2()32f x x ax b '=++因为函数()f x 在1x =-与3x =处均取得极值所以223(1)2(1)033230a b a b ⎧⨯-+⨯-+=⎨⨯+⨯+=⎩所以39a b =-⎧⎨=-⎩, 此时()()2()369331'=--=-+f x x x x x , 由()0f x '>得1x <-或3x >;由()0f x '<得13x;所以()f x 在(,1)-∞-上单调递增,在(1,3)-上单调递减,在(3,)+∞上单调递增, 因此()f x 在1x =-上取得极大值,在3x =上取得极小值,符合题设; 即所求实数a ,b 的值分别是3-,9-;(2)由(1)知,()f x 在(,1)-∞-上单调递增,在(1,3)-上单调递减,在(3,)+∞上单调递增,若函数()f x 在区间(),21m m -上单调递减, 则1213m m -≤<-≤ 所以12m <≤,即所求实数的取值范围是(]1,2. 【点睛】 思路点睛:由函数极值(极值点)求参数时,一般需要对函数求导,根据极值的定义,结合题中条件,列出方程求解,即可得出结果.(求出的结果要,要注意进行检验)23.(1)1个;(2)2122e e a --+<.【分析】(1)求导得到函数的单调性,再利用零点存在性定理得解 (2)分离参变量,不等式恒成立转化为求函数的最值得解 【详解】(1)()x f x x e -=-,0x ≥,()10xf x e '-=+> 故()f x 在[0,)+∞递增,又(0)1f =-,1(1)10f e -=->(0)(1)0f f <,故()f x 在(0,1)上存在唯一零点因此()f x 在区间[0,)+∞的零点个数是1个; (2)1x ∀≥-,2x xe x ae-+<恒成立,即1x ∀≥-,2e 2x x a xe <-恒成立 令2()2xx e g x xe =-,1x ≥-,则min ()a g x <()()1x x g x e x e '=--,令()1x h x e x =--,1x ≥-()1x h x e '=-,[1,0)x ∈-时,()0h x '<,0x >时,()0h x '>故()h x 在[1,0)-递减,(0,)+∞递增,因此()(0)0h x h ≥= 所以,()0g x '≥,故 ()g x 在[1,)-+∞递增 故21min 2()(1)2e e g x g --+=-=,因此2122e e a --+<. 【点睛】不等式恒成立问题解决思路:一般参变分离、转化为最值问题. 24.(1)320x y +-=;(2)20t -<<或02t <<. 【分析】(1)先对函数求导,利用题意列出方程组()()0001f f ⎧=⎪⎨='⎪⎩,从而求得函数解析式,之后利用导数的几何意义,结合直线方程点斜式求得切线方程;(2)先令导数等于零,求得函数的极值点,函数在给定区间上不单调的等价结果是零点在区间上,得到参数的范围. 【详解】(1)因为()2363f x x x b '=-+,由题意可得()()00,01,f f ⎧=⎪⎨='⎪⎩解得0b =,1c =, 所以()3231f x x x =-+;经检验,适合题意, 又()11f =-,()13f '=-,所以函数()y f x =图象在1x =处切线的方程为()()131y x --=--, 即320x y +-=.(2)因为()236f x x x '=-,令2360x x -=,得0x =或2x =.当0x <时,()0f x '>,函数()f x 为增函数, 当02x <<时,()0f x '<,函数()f x 为减函数, 当2x >时,()0f x '>,函数()f x 为增函数. 因为函数()f x 在[],2t t +上不单调, 所以02t t <<+或22t t <<+, 所以20t -<<或02t <<. 【点睛】思路点睛:该题考查的是有关应用导数研究函数的问题,解决该题的思路如下: (1)对函数求导,利用题意,列出方程组,求得函数解析式; (2)利用导数的几何意义,结合直线方程点斜式求得切线方程; (3)函数在给定区间上不单调等价结果是极值点在区间内.25.(Ⅰ)b=0,c=1, (Ⅱ)见解析(Ⅲ)()+∞. 【详解】 (1)∵f (x )13=x 32a -x 2+bx +c , ∴f (0)=c ,f ′(x )=x 2﹣ax +b ,f ′(0)=b ;又∵y =f (x )在点P (0,f (0))处的切线方程为y =1, ∴f (0)=1,f ′(0)=0. ∴b =0,c =1.(2)∵b =0,c =1时,()321132a f x x x =-+,f '(x )=x 2﹣ax .由于点(t ,f (t ))处的切线方程为 y ﹣f (t )=f '(t )(x ﹣t ),而点(0,2)在切线上,∴2﹣f (t )=f '(t )(﹣t ), 化简得3221032a t t -+=,即t 满足的方程为3221032a t t -+=. 下面用反证法证明. 假设f '(x 1)=f '(x 2),由于曲线y =f (x )在点(x 1,f (x 1))及(x 2,f (x 2))处的切线都过点(0,2), 则下列等式成立:321132222211222103221032a x x a x x x ax x ax ⎧-+=⎪⎪⎪-+=⎨⎪-=-⎪⎪⎩①②③; 由③得x 1+x 2=a ,由①﹣②得21x +x 1x 22234x +=a 2④; 又21x +x 1x 222212()x x x +=+-x 1x 2=a 2﹣x 1(a ﹣x 1)21x =-ax 1+a 2213()24a x =-+a 234≥a 2 ∴由④得x 12a =,此时x 22a =,这与x 1≠x 2矛盾,∴f ′(x 1)≠f ′(x 2). (3)由(2)知,过点(0,2)可作y =f (x )的三条切线,等价于方程2﹣f (t )=f '(t )(0﹣t )有三个相异的实根, 即等价于方程3221032a t t -+=有三个相异的实根; 设g (t )23=t 32a -t 2+1, ∴g ′(t )=2t 2﹣at =2t (t 2a -); ∵a >0,∴有由g (t )的单调性知:要使g (t )=0有三个相异的实根,当且仅当124a -<0, 即a >∴a 的取值范围是()+∞. 26.(1)21y x =+;(2)13y x =【分析】(1)对函数求导,代入切点横坐标即可得出斜率,进而可得结果.(2)设切点坐标3000(,16)+-P x x x ,用导数求出切线斜率,再用两点坐标求出斜率,列方程,即可求出切点坐标,进而求出切线方程.【详解】(1)()()222222x xy x x +-==++',1|2x k y =-'==切线方程为:(1)2(+1)--=y x ,即2+1=y x(2)设切点为3000(,16)+-P x x x2'()3+1=f x x ,()32000001631x x k f x x x +-=='=+,解得0-2=x (-2,-26)P ,切线方程为:(26)13(2)--=+y x ,即13y x =【点睛】本题考查了导数得几何意义,考查了计算能力,属于基础题目.。
一、选择题1.定义域为,22ππ⎛⎫- ⎪⎝⎭的函数()f x 满足()()0f x f x +-=,其导函数为()f x ',当02x π≤<时,有()()cos sin 0f x x f x x '+<成立,则关于x 的不等式()cos 4f x x π⎛⎫<⋅ ⎪⎝⎭的解集为( )A .,,2442ππππ⎛⎫⎛⎫--⋃ ⎪ ⎪⎝⎭⎝⎭ B .,42ππ⎛⎫⎪⎝⎭ C .,00,44ππ⎛⎫⎛⎫-⋃ ⎪ ⎪⎝⎭⎝⎭D .,0,442πππ⎛⎫⎛⎫-⋃ ⎪ ⎪⎝⎭⎝⎭2.若函数()321233f x x x =+-在 区间(),5a a +内存在最小值,则实数a 的取值范围是( ) A .[)5,0-B .()5,0-C .[)3,0-D .()3,0-3.已知函数2()85f x x x =---,()x e exg x ex+=,实数m ,n 满足0m n <<,若1x ∀∈[],m n ,2x ∃∈()0,∞+,使得()()12f x g x =成立,则n m -的最大值为( )A .7B .6C .D .4.函数tan 22tan y x x =-42x ππ⎛⎫<< ⎪⎝⎭的最大值为( )A .-B .3C .0D .3-5.已知1x ,2x 是函数()3211232x b f ax x c x =+++(a ,b ,c ∈R )的两个极值点,()12,0x ∈-,()20,2x ∈,则2a b +的取值范围为( )A .(),2-∞-B .()2,4-C .()2,-+∞D .()4,4-6.已知a R ∈,0b ≠,若x b =是函数()()()2f x x b x ax b =-++的极小值点,则实数b 的取值范围为( )A .1b <且0b ≠B .1b >C .2b <且0b ≠D .2b >7.已知变量()()12,0,0x x m m ∈>,且12x x <,若2112x x x x <恒成立,则m 的最大值为(e 2.71828=为自然对数的底数)( )A .eB C .1eD .18.函数y =f (x )的导函数y =f ′(x )的图象如图所示,给出下列命题:①-3是函数y =f (x )的极值点; ②y =f (x )在区间(-3,1)上单调递增; ③-1是函数y =f (x )的最小值点; ④y =f (x )在x =0处切线的斜率小于零. 以上正确命题的序号是( ) A .①②B .③④C .①③D .②④9.某堆雪在融化过程中,其体积V (单位:3m )与融化时间t (单位:h )近似满足函数关系:31()1010V t H t ⎛⎫=- ⎪⎝⎭(H 为常数),其图象如图所示.记此堆雪从融化开始到结束的平均融化速度为()3m /h v .那么瞬时融化速度等于()3m /h v 的时刻是图中的( ).A .1tB .2tC .3tD .4t10.已知函数()f x 的图象如图所示,则()f x 可以为( )A .()3x x f x e=B .()x x xf x e e -=- C .()xx f x e= D .()xf x xe =11.若1x =是函数()ln f x ax x =+的极值点,则( ) A .()f x 有极大值1- B .()f x 有极小值1- C .()f x 有极大值0D .()f x 有极小值012.已知定义在[),e +∞上的函数()f x 满足()()ln 0f x xf x x '+<且()40f =,其中fx 是函数()f x 的导函数,e 是自然对数的底数,则不等式()0f x >的解集为( )A .[),4eB .[)4,+∞C .(),e +∞D .[),e +∞二、填空题13.若函数()ln af x x x=+(a 为常数)存在两条均过原点的切线,则实数a 的取值范围是________.14.已知定义在(0,)+∞上的单调函数()f x ,对任意的(0,)x ∈+∞,都有[]2()log 3f f x x -=,则函数()f x 的图象在1ln 2x =处的切线的倾斜角为________. 15.已知函数()y f x =在0x x =处的导数为2-,则()()000lim x f x x f x x→--=△△△______.16.已知位移和时间的关系是321()2533s t t t t =++-,则2t =时的瞬时速度是_______ 17.已知函数()ln 2f x x x =-+,存在(]00,4x ∈,使得()0f x m ≥成立,则实数m 的取值范围是________.18.已知32()3f x x x a =-+(,a R ∈a 为常数),在]2,2⎡-⎣上有最大值4,那么此函数在]2,2⎡-⎣上的最小值为_______.19.若曲线21()ln 2f x x a x =-在点(1,(1))f 处的切线与直线310x y ++=垂直,则常数a =___.20.已知函数f(x)=x 3-2x 2+x +a ,g(x)=-2x +9x,若对任意的x 1∈[-1,2],存在x 2∈[2,4],使得f(x 1)=g(x 2),则实数a 的取值范围是________.三、解答题21.已知函数()1ex f x a +=,()ln1xg x a=-,其中0a >. (1)若1a =,在平面直角坐标系xOy 中,过坐标原点O 分别作函数()y f x =与()y g x =的图象的切线1l ,2l ,求1l ,2l 的斜率之积;(2)若()()f x g x ≥在区间()0,∞+上恒成立,求a 的最小值. 22.已知函数()1ln f x ax x =--,a ∈R . (1)当a =2时,求函数()f x 的单调区间;(2)若函数()f x 在x =1处取得极值,对x ∀∈(0,+∞),()2f x bx -≥恒成立,求实数b 的取值范围;(3)当1x y e >>-时,求证:ln(1)eln(1)x yx y -+>+.23.已知函数()e x f x ax b =-,且函数()f x 的图象在点(0,(0))f 处的切线斜率为1a -. (1)求b 的值; (2)求函数()f x 的最值;24.已知函数321()23f x x bx x a =-++,2x =是()f x 的一个极值点. (1)求()f x 的单调递增区间;(2)若当[1,3]x ∈时,22()3f x a ->恒成立,求实数a 的取值范围. 25.运动员小王在一个如图所示的半圆形水域(O 为圆心,AB 是半圆的直径)进行体育训练,小王先从点A 出发,沿着线段AP 游泳至半圆上某点P 处,再从点P 沿着弧PB 跑步至点B 处,最后沿着线段BA 骑自行车回到点A 处,本次训练结束.已知1500m OA =,小王游泳、跑步、骑自行车的平均速度分别为2m /s ,4m /s ,10m /s ,设θ∠=PAO 弧度.(1)试将小王本次训练的时间t 表示为θ的函数()t θ,并写出θ的范围; (2)请判断小王本次训练时间能否超过40分钟,并说明理由. (参考公式:弧长l r α=,其中r 为扇形半径,α为扇形圆心角.) 26.已知R a ∈,函数()1ln f x ax x =--在1x =处取得极值. (1)求函数()f x 的单调区间;(2)若对()0,x ∀∈+∞,()2f x bx ≥-恒成立,求实数b 的最大值.【参考答案】***试卷处理标记,请不要删除一、选择题 1.B 解析:B 【分析】 引入()()cos f x g x x =,得()g x 是奇函数,由导数得()g x 在0,2π⎡⎫⎪⎢⎣⎭上的单调性,从而得()g x 在,22ππ⎛⎫- ⎪⎝⎭上的单调性,不等式转化为()()4g x g π<,由单调性可得解.【详解】∵()()0f x f x +-=且,22x ππ⎛⎫∈- ⎪⎝⎭,∴()f x 是奇函数, 设()()cos f x g x x =,则02x π≤<时,2()cos ()sin ()0cos f x x f x xg x x'+'=<,∴()g x 在0,2π⎡⎫⎪⎢⎣⎭是减函数. 又()f x 是奇函数,∴()()cos f x g x x=也是奇函数,因此()g x 在(,0]2π-是递减,从而()g x 在,22ππ⎛⎫- ⎪⎝⎭上是减函数,不等式()cos 4f x x π⎛⎫<⋅ ⎪⎝⎭为()4cos cos 4f f x x ππ⎛⎫ ⎪⎝⎭<,即()4g x g π⎛⎫< ⎪⎝⎭,∴42x ππ<<.故选:B . 【点睛】本题考查用导数确定函数的单调性解不等式,解题关键是引入新函数()()cos f x g x x=,然后由已知条件确定奇偶性,单调性.引入的新函数可根据要求的式的形式变换,可根据条件结合导数的运算法则确定.2.C解析:C 【分析】利用导数求出函数()f x 的极小值为()203f =-,由题意可知()0,5a a ∈+,再由()()0f x f =求得x 的值,数形结合可得出实数a 的取值范围.【详解】解:由题意,()()222f x x x x x '=+=+,当2x <-或0x >时,()0f x '>;当20x -<<时,()0f x '<. 故()f x 在(),2-∞-,()0,∞+上是增函数,在()2,0-上是减函数, 所以,函数()f x 的极小值为()203f =-. 作其图象如图,令32122333x x +-=-得3230x x +=,解得0x =或3x =-, 结合图象可知3050a a -≤<⎧⎨+>⎩,解得,[)3,0a ∈-.故选:C. 【点睛】关键点点睛:本题考查利用函数在区间上存在最值求参数,解本题的关键就是弄清楚函数()f x 的极小值点在区间(),5a a +内,通过求得()()30f f -=,数形结合得出实数a 所满足的不等式组,综合性较强.3.B解析:B 【分析】先用导数法研究()y g x =,然后的同一坐标系中作出函数()y f x =与()y g x =的图象,根据[]1,x m n ∀∈,()20,x ∃∈+∞,使得()()12f x g x =成立求解. 【详解】因为()x e exg x ex+=,所以()()211x x e x e g x ex ex '-⎛⎫'=+= ⎪⎝⎭, 当01x <<时,()0g x '<,当1x >时,()0g x '>,()10g '=, 所以()g x 在1x =处取得极小值,且为定义域内唯一极值,()()min 12g x g ∴==.()22185()4111f x x x x -==---++≤,作函数()y f x =与()y g x =的图象, 如图所示:当()2f x =时,方程两根分别为7-和1-, 则n m -的最大值为:()176---=. 故选:B 【点睛】关键点睛:利用导数和二次函数的性质,作出图像,利用数形结合进行求解,考查了转化化归的的思想、运算求解,以及数形结合的能力,属于中档题.4.A解析:A 【分析】化简可得322tan 1tan xy x=-,令tan t x =,()1,t ∈+∞,则3221t y t =-,求出函数导数,利用导数判断函数的单调性即可求出最值. 【详解】可得3222tan 2tan tan 22tan 2tan 1tan 1tan x xy x x x x x =-=-=--, 令tan t x =,则()1,t ∈+∞,则3221t y t=-, 则()()()()()22322222261222311t t t t t t y tt --⨯--'==--,当(3t ∈时,0y '>,函数单调递增,当)3,t ∈+∞时,0y '<,函数单调递减,所以当3t =时,(()3max 2233313y ⨯==--.故选:A. 【点睛】关键点睛:本题考查函数最值的求解,解题的关键是利用换元法将函数化为3221t y t=-,然后利用导数讨论其单调性即可求出最值.5.D解析:D 【分析】求()f x 的导函数,导函数根的分布建立不等关系,再由线性规划得解. 【详解】()22f x x ax b '=++为二次函数开口向上,∵1x 和2x 是()f x 的极值点,∴1x 和2x 是()f x '的两个零点 ∵()12,0x ∈-,()20,2x ∈,∴()()()200020f f f ⎧->⎪<⎨⎪>⎩,即20020a b b a b -+>⎧⎪<⎨⎪++>⎩ 如图为线性区域,令2t a b =+,则2b t a =-, 画出2b a =-平移至点A ,此时t 最小min 4t =- 平移至点C ,此时t 最大,则4t =, ∴2a b +的范围是()4,4-. 故选D . 【点睛】关键点睛:利用二次函数根的分布,建立关于,a b 的不等关系,再利用线性规划求最值.6.B解析:B 【分析】由x b =既是()f x 的极小值点,又是零点,且()f x 的最高次项系数为1,因此可设2()()()f x x b x m =-+,这样可求得1m =-,然后求出()'f x ,求得()'f x 的两个零点,一个零点是b ,另一个零点2x 必是极大值点,由2b x >可得b 的范围. 【详解】因为()0f b =,x b =是函数()f x 的极小值点,结合三次函数的图象可设2()()()f x x b x m =-+,又2()()()f x x b x ax b =-++,令0x =得22b m b =-,1m =-,即2()(1)()f x x x b =--,22()3(42)2f x x b x b b '=-+++()(32)x b x b =---,由()0f x '=得1x b =,223b x +=, x b =是极小值点,则23b +是极大值点,23b b +>,所以1b >. 故选:B . 【点睛】本题考查导数与极值点的关系,解题关键是结合零点与极值点,设出函数表达式,然后再求极值点,由极小值点大于极大值点可得所求范围.7.A解析:A 【分析】不等式两边同时取对数,然后构造函数()ln xf x x=,求函数的导数,研究函数的单调性即可得到结论. 【详解】21122112ln ln x x x x x x x x <⇒<,()12,0,,0x x m m ∈>,1212ln ln x x x x ∴<恒成立, 设函数()ln xf x x=,12x x <,()()12f x f x <, ()f x ∴在()0,m 上为增函数,函数的导数()21ln xf x x -'=, ()00f x x e '>⇒<<,即函数()f x 的增区间是()0,e ,则m 的最大值为e . 故选:A 【点睛】关键点点睛:本题考查利用函数研究函数的单调性,本题的关键点是对已知等式变形,211212211212ln ln ln ln x x x x x x x x x x x x <⇒<⇒<,转化为求函数()ln x f x x=的单调区间. 8.A解析:A 【分析】根据导函数图象可判定导函数的符号,从而确定函数的单调性,得到极值点,以及根据导数的几何意义可知在某点处的导数即为在该点处的切线斜率. 【详解】根据导函数图象可知:当(),3x ∈-∞-时,()0f x '<,在()3,1x ∈-时,()0f x '≥∴函数()y f x =在(),3-∞-上单调递减,在()3,1-上单调递增,故②正确;则3-是函数()y f x =的极小值点,故①正确;∵在()3,1-上单调递增,1∴-不是函数()y f x =的最小值点,故③不正确; ∵函数()y f x =在0x =处的导数大于0,∴切线的斜率大于零,故④不正确. 故选:A 【点睛】方法点睛:本题考查导函数图象在函数单调性和极值中的应用,考查导数的几何意义,其中利用导函数判断单调性的步骤为: 先求出原函数的定义域; 对原函数求导;令导数大于零;解出自变量的范围;该范围即为该函数的增区间;同理令导数小于零,得到减区间;若定义域在增区间内,则函数单增;若定义域在减区间内则函数单减,若以上都不满足,则函数不单调.9.C解析:C 【分析】根据题意可知,平均融化速度为(100)(0)1000V V v -=-,反映的是()V t 图象与坐标轴交点连线的斜率,通过观察某一时刻处瞬时速度(即切线的斜率),即可得到答案. 【详解】解:平均融化速度为(100)(0)1000V V v -=-,反映的是()V t 图象与坐标轴交点连线的斜率,观察可知3t 处瞬时速度(即切线的斜率)为平均速度一致, 故选:C .【点睛】本题考查了图象的识别,瞬时变化率和切线斜率的关系,理解平均速度表示的几何意义(即斜率)是解题的关键.10.A解析:A 【分析】由图象可知,函数()y f x =为R 上的奇函数,且在()0,∞+上先增后减,然后逐项分析各选项中函数()y f x =的定义域、奇偶性及其在区间()0,∞+上的单调性,结合排除法可得出正确选项. 【详解】由图象可知,函数()y f x =为R 上的奇函数,且在()0,∞+上先增后减. 对于A 选项,函数()3x x f x e =的定义域为R ,()()x xx xf x f x e e---==-=-,该函数为奇函数,当0x >时,()xx f x e=,()1x xf x e -'=. 当01x <<时,()0f x '>,此时函数()y f x =单调递增;当1x >时,()0f x '<,此时函数()y f x =单调递减,合乎题意; 对于B 选项,函数()x xxf x e e -=-的定义域为{}0x x ≠,不合乎题意;对于C 选项,函数()xx f x e=的定义域为R ,()1f e -=-,()11f e =,()()11f f -≠-,该函数不是奇函数,不合乎题意;对于D 选项,函数()xf x xe =的定义域为R ,当0x >时,()xf x xe =,()()10x f x x e '=+>,该函数在区间()0,∞+上单调递增,不合乎题意.故选:A. 【点睛】本题考查函数图象的识别,一般从函数的定义域、奇偶性、单调性、零点以及函数值符号来判断,结合排除法求解,考查分析问题和解决问题的能力,属于中等题.11.A解析:A 【分析】先根据极值定义得a,再求导函数零点,根据导函数符号变化规律确定极值. 【详解】因为1x =是函数()ln f x ax x =+的极值点,所以1(1)0011f a a =∴+=∴=-' ,1()101,f x x x∴=-+=⇒=' 当1x >时,()0,f x '<当01x <<时,()0,f x '>因此()f x 有极大值1-,选A.函数极值问题的常见类型及解题策略(1)判断函数极值的情况.先找导数为0的点,再判断导数为0的点的左、右两侧的导数符号. (2)已知函数求极值.求()'f x →求方程()0f x '=的根→列表检验()'f x 在()0f x '=的根的附近两侧的符号→下结论.(3)已知极值求参数.若函数()f x 在点00(,)x y 处取得极值,则0()0f x '=,且在该点左、右两侧的导数值符号相反.12.A解析:A 【分析】根据条件构造函数()()g x f x lnx =,求函数的导数,研究函数的单调性,将不等式()0f x >等价为()()4g x g >,进行求解即可.【详解】 解:x e ,1lnx ∴,则不等式()()0f x xf x lnx '+<等价为()()0f x f x lnx x'+<, 设()()g x f x lnx =, 则()()()0f x g x f x lnx x'='+<, 即()g x 在[e ,)+∞上为减函数,f (4)0=,g ∴(4)f =(4)40ln =,则不等式()0f x >等价为()0lnxf x >, 即()()04g x g >=,()g x 在[e ,)+∞上为减函数,4e x ∴<,即不等式()0f x >的解集为[e ,4), 故选:A . 【点睛】本题主要考查不等式 的求解,根据条件构造函数,通过导数研究函数的单调性是解决本题的关键.属于中档题.二、填空题13.【分析】首先设切点坐标利用两点连线斜率公式和导数的几何意义表示出切线的斜率从而可得将问题转化为与存在两个不同的交点通过导数研究的图象从而得到的取值范围【详解】由题意得的定义域为且设切点坐标为则过原点解析:102⎛⎫⎪⎝⎭,首先设切点坐标000,ln a x x x ⎛⎫+ ⎪⎝⎭,利用两点连线斜率公式和导数的几何意义表示出切线的斜率,从而可得0002ln a x x x =-,将问题转化为2y a =与ln y x x x =- 存在两个不同的交点,通过导数研究()g x 的图象,从而得到a 的取值范围. 【详解】由题意得()f x 的定义域为()0+∞,,且()21af x x x'=-,设切点坐标为0000,ln ,0a x x x x ⎛⎫+> ⎪⎝⎭,则过原点的切线斜率002000ln 1a x x a k x x x +==-,整理得0002ln ,a x x x =-存在两条过原点的切线,∴0002ln a x x x =-存在两个不同的解.设()ln g x x x x =-,则问题等价于2y a =于()y g x =存在两个不同的交点,又()1ln 1ln ,g x x x =--=-'∴当()0,1x ∈时,()0g x '>,()g x 单调递增,当()1,x ∈+∞ 时,()0g x '<,()g x 单调递减,()()max 11g x g ∴==.又当0x →时,()0g x →;当x →+∞时,()-g x →∞,若2y a =于()y g x =存在两个不同的交点,则021a <<.解得10,2a ⎛⎫∈ ⎪⎝⎭. 故答案为:10,2⎛⎫⎪⎝⎭【点睛】关键点点睛:一般涉及方程根的个数,或零点个数求参数的取值范围,可通过一些方法求解:直接法,直接求解方程得到方程的根,再通过解不等式确定参数的取值范围;分离参数法:先将参数分离,转化成求函数值域问题加以解决,利用函数方程思想或数形结合思想,构建关于参数的方程或不等式求解;数形结合法:先对解析式变形,在同一平面直角坐标系中,画出函数的图象,然后观察求解,此时需要根据零点个数合理寻求找“临界”情况,特别注意边界值的取舍;14.【分析】设则求得的值进而得到的解析式然后利用对数函数的导数公式和导数的运算法则计算求解【详解】设则因为为单调函数故不随的变化而变化即是常数又切线斜率为1所以倾斜角为∴答案为:【点睛】本题考查利用换元 解析:45︒【分析】设2()log t f x x =-,则()3f t =,求得t 的值,进而得到()f x 的解析式,然后利用对数函数的导数公式和导数的运算法则计算求解.设2()log t f x x =-,则()3f t =.因为()f x 为单调函数,故t 不随x 的变化而变化即t 是常数. 又2()log f x x t =+,,2log 3t t +=,2t =,2()log 2f x x =+,1()ln 2f x x '=,11ln 2f ⎛⎫'= ⎪⎝⎭,切线斜率为1, 所以倾斜角为45︒. ∴答案为:45︒. 【点睛】本题考查利用换元法和方程思想求函数的解析式,利用导数的几何意义研究函数的切线问题,涉及对数函数的导数公式和导数的运算,属小综合题,关键点在于利用换元法和方程思想求得函数的解析式,在于对数函数的导数公式的准确性掌握,难度一般.15.2【分析】根据函数在处导数为2得然后对进行变形利用导数定义即可得出为2【详解】解:依题意有所以故答案为:2【点睛】本题考查导数的定义关键是导数定义的等价变形属于基础题解析:2 【分析】根据函数()y f x =在0x 处导数为2得()()000lim2x f x x f x x→-=-△+△△,然后对()()000limx f x x f x x →--△△△进行变形,利用导数定义即可得出为2.【详解】 解:依题意有()()000lim2x f x x f x x→-=-△+△△,所以()()()()()()000000000limlim lim 2x x x f x x f x f x x f x f x x f x x x x→→→-----=-=-=△△△△△+△△-△△.故答案为:2. 【点睛】本题考查导数的定义,关键是导数定义的等价变形,属于基础题.16.17【分析】先求导再根据导数的定义求得时的瞬时速度是得解【详解】则时的瞬时速度故答案为:17【点睛】本题考查导数的定义在物理中的应用函数在处的瞬时变化率称函数在处的导数解析:17 【分析】先求导,再根据导数的定义求得2t =时的瞬时速度是(2)s ',得解. 【详解】321()2533s t t t t =++-,22()45=(2)1s t t t t '∴=++++则2t =时的瞬时速度2(2)(22)117v s '==++= 故答案为:17 【点睛】本题考查导数的定义在物理中的应用函数(=)y f x 在0=x x 处的瞬时变化率称函数(=)y f x 在0=x x 处的导数.17.【分析】由题意可得利用导数求出函数在区间上的最大值即可得出实数的取值范围【详解】存在使得成立等价为令得当时函数是增函数;当时函数是减函数当时函数在处取得最大值所以因此实数的取值范围是故答案为:【点睛解析:1,2e ⎛⎤-∞+⎥⎝⎦【分析】由题意可得()max m f x ≤,利用导数求出函数()y f x =在区间(]0,4上的最大值,即可得出实数m 的取值范围. 【详解】()ln 2f x x x =-+,存在(]00,4x ∈,使得()0f x m ≥成立等价为()max f x m ≥. ()ln 1f x x '=--,令()0f x '=,得1x e=. 当10,e x ⎛⎫∈ ⎪⎝⎭时,()0f x '>,函数()ln 2f x x x =-+是增函数;当1,4x e ⎛⎤∈ ⎥⎝⎦时,()0f x '<,函数()ln 2f x x x =-+是减函数,当(]0,4x ∈时,函数()ln 2f x x x =-+在1x e =处取得最大值12e +,所以12m e≤+. 因此,实数m 的取值范围是1,2e ⎛⎤-∞+⎥⎝⎦. 故答案为:1,2e ⎛⎤-∞+ ⎥⎝⎦. 【点睛】本题考查利用导数研究不等式能成立问题,结合题意转化为与函数最值相等的不等式问题是解答的关键,考查计算能力,属于中等题.18.【解析】【分析】利用导数二次函数的性质研究函数的单调性由单调性求得函数在上的最值【详解】因为所以利用导数的符号可得函数的增区间为减区间为因为所以在上单调递增在上单调递减当时函数取得最大值所以所以可得 解析:16-【解析】利用导数、二次函数的性质研究函数的单调性,由单调性求得函数在[2,2]-上的最值. 【详解】因为32()3f x x x a =-+,所以2'()363(2)f x x x x x =-=-,利用导数的符号,可得函数的增区间为(,0),(2,)-∞+∞,减区间为(0,2), 因为[2,2]x ∈-,所以()f x 在[2,0]-上单调递增,在[0,2]上单调递减, 当0x =时,函数取得最大值4a =, 所以32()34f x x x =-+,所以(2)812416f -=--+=-,(2)81240f =-+=, 可得当2x =-时,函数取得最小值为16-, 故答案是:16-. 【点睛】该题考查的是有关求函数在某个区间上的最小值的问题,涉及到的知识点有应用导数研究函数最值问题,属于简单题目.19.-2【分析】利用导数的几何意义求得在点处的切线斜率为再根据两直线的位置关系即可求解【详解】由题意函数可得所以即在点处的切线斜率为又由在点处的切线与直线垂直所以解得【点睛】本题主要考查了利用导数的几何解析:-2 【分析】利用导数的几何意义,求得在点(1,(1))f 处的切线斜率为1k a =-,再根据两直线的位置关系,即可求解. 【详解】由题意,函数21()ln 2f x x a x =-,可得()af x x x'=-,所以(1)1f a '=-, 即在点(1,(1))f 处的切线斜率为1k a =-,又由在点(1,(1))f 处的切线与直线310x y ++=垂直,所以1(1)()13a -⨯-=-, 解得2a =-. 【点睛】本题主要考查了利用导数的几何意义求解参数问题,其中解答中利用导数的几何意义求得切线的斜率,再根据两直线的位置关系是解答的关键,着重考查了推理与运算能力,属于基础题.20.【解析】【分析】分别求出g (x )f (x )的最大值和最小值得到不等式组解出即可【详解】问题等价于f (x )的值域是g (x )的值域的子集显然g (x )单调递减∴g (x )max=g (2)=g (x )min=g (解析:73,42⎡⎤--⎢⎥⎣⎦【分析】分别求出g (x ),f (x )的最大值和最小值,得到不等式组,解出即可. 【详解】问题等价于f (x )的值域是g (x )的值域的子集, 显然,g (x )单调递减,∴g (x )max =g (2)=12,g (x )min =g (4)=﹣234; 对于f (x ),f′(x )=3x 2﹣4x+1,令f′(x )=0,解得:x=13或x=1, x ,f′(x ),f (x )的变化列表如下:max min ∴1222344a a ⎧+≤⎪⎪⎨⎪-≥-⎪⎩,∴a ∈[﹣74,﹣32], 故答案为:[﹣74,﹣32]. 【点睛】本题考查了函数的单调性、最值问题,考查导数的应用,转化思想,是一道中档题.三、解答题21.(1)1;(2)21e. 【分析】(1)利用导数的运算法则和公式求得1()e x f x +'=,1()g x x'=,得到切线1l ,2l 的斜率∴111ex l k +=,221l k x =,根据两切线都经过原点,求得121,e x x ==,进而求得两直线的斜率之积;(2)问中是典型的无法分离参数的情况,进行转化并构造函数,1()e x F x x +=,转化为()ln 1x F x F a ⎛⎫≥- ⎪⎝⎭,分类讨论,并注意利用导数进一步研究函数()F x 的单调性,当ln10,x a ->转化为1max ln 1e x x x x a a +⎛⎫≥-⇒≥ ⎪⎝⎭,进而再次造函数令1()ex x x ϕ+=,利用导数研究单调性并求得其最大值,即得a 的最小值. 【详解】解:(1)当1a =时,()1x f x e=+,()ln 1g x x =-设过原点O 的直线分别切()f x ,()g x 于点()111,P x y ,()222,P x y1()e x f x +'=,1()g x x'=, ∴111ex l k +=,221l k x =且11111122222e e 1e ln 11x x x x x x x x ++⎧=⎪=⎧⎪⇒⎨⎨=-⎩⎪=⎪⎩ ∴12221e 1el l k k ⋅=⋅=. (2)由1eln 1x xa a+≥-在(0,)+∞上恒成立得∵0a >,∴111eln x x a a a+≥- ln 1eln 1ln 1e (*)xx ax x x x a a a +⎛⎫⎛⎫≥-=-⋅ ⎪ ⎪⎝⎭⎝⎭令1()e x F x x +=,∴()ln1x F x F a ⎛⎫≥- ⎪⎝⎭①当ln 10xa-≤时,(*)左边0,>右边0,≤显然成立 ②当ln10,xa->注意到1()(1)e 0x F x x +'=+> ∴()F x 在(0,)+∞上∴1maxln1e x x x x a a +⎛⎫≥-⇒≥ ⎪⎝⎭ 令1()e x x x ϕ+=,11221e e 1()e ex x x x x x x ϕ++++--'==,令()0x ϕ'=得01x <<时,()0x ϕ'>,()x ϕ↗; 当1x >时,()0x ϕ'<,()x ϕ↘ ∴max 21()(1)x e ϕϕ==,∴21a e ≥.【点睛】本题考查求曲线上某点处的切线的斜率问题和利用导数研究不等式恒成立问题,属中档题,难度一般.关键是要熟练掌握导数的运算法则和求导公式,这是一切导数问题的基础,第(2)问中将不等式整理为为ln 1eln 1ln 1e (*)xx ax x x x a a a +⎛⎫⎛⎫≥-=-⋅ ⎪ ⎪⎝⎭⎝⎭令1()e x F x x +=,转化为()ln 1x F x F a ⎛⎫≥- ⎪⎝⎭,是难点也是解决问题的关键点,多次构造函数,并利用函数思想进行转化和求解是本题的显著特点,值得好好体会. 22.(1)函数()f x 的减区间是1(0,)2,增区间是1(,)2+∞;(2)b ≤211e -;(3)证明见解析. 【分析】(1)利用导数求函数的单调区间即可;(2)根据极值点得出1a =,再将题设不等式化为1ln 1x b x x≤+-,求出1ln ()1xg x x x=+-的最小值,即可得出实数b 的取值范围; (3)将1x y e >>-变形为ln(+1)ln(+1)ln 1x y e >>=,结合分析法要证ln(1)ln(1)x yx ey -+>+只需证明ln(1)ln(1)x y e e x y >++,构造函数()ln(1)x e h x x =+,利用导数证明其在(1,)e -+∞上是增函数,从而得出()()h x h y >,即ln(1)e ln(1)x yx y -+>+.【详解】解:(1)当2a =时,()21ln f x x x =--,其中0x > 所以121()2x f x x x-'=-= 令()0f x '<,则210x x -<,即102x << 令()0f x '>,则210x x ->,即12x > 所以函数()f x 的减区间是1(0,)2,增区间是1(,)2+∞ (2)因为函数()f x 在1x =处取得极值,所以()01f '=又1()f x a x'=-,所以10a -=,1a = 因为()2f x bx -≥对x ∀∈(0,+∞)恒成立即()1ln 2f x x x bx =--≥-对x ∀∈(0,+∞)恒成立1ln 1x b x x≤+-对x ∀∈(0,+∞)恒成立令1ln ()1xg x x x=+-,则min ()b g x ≤ 22211ln ln 2()x x g x x x x--'=--=,由()0g x '=得2x e = 所以()g x 在2(0,]e 上是递减,2[,)e +∞上是递增,所以()()22min 11g x g ee ==-所以b ≤211e - (3)因为1x y e >>-,所以+1+1x y e >>,ln(+1)ln(+1)ln 1x y e >>=所以ln(1)ln(1)x yx ey -+>+等价于ln(1)ln(1)x y e x e y +>+,即ln(1)ln(1)x y e e x y >++ 要证明ln(1)ln(1)x yx ey -+>+,只要证明ln(1)ln(1)x y e e x y >++ 令()ln(1)x e h x x =+,只要证明()ln(1)xe h x x =+在(1,)e -+∞上是增函数又21[ln(1)]1()ln (1)x e x x h x x +-+'=+,易知1ln(1)1x x +-+在(1,)e -+∞上是增函数 所以111ln(1)ln 101x e x e e+->-=->+,所以21[ln(1)]1()0ln (1)x e x x h x x +-+'=>+ 所以()ln(1)xe h x x =+在(1,)e -+∞上是增函数又1x y e >>-,所以()()h x h y >,即ln(1)ln(1)x ye e x y >++,所以ln(1)ln(1)x yx ey -+>+.【点睛】本题的第三问中,关键是利用分析法从结论入手,构造函数结合导数证明单调性,从而利用单调性的性质证明不等式.23.(1)1;(2)当0a ≤时,()f x 没有最值;当0a >时,()f x 的最大值为ln a a a -,无最小值.【分析】(1)对()f x 求导,又(0)1f a b a '=-=-,进而求出b 的值.(2)对a 进行讨论,利用导函数求函数的单调性,进一步求出最值.【详解】(1)由题意,得()e x f x a b '=-,又(0)1f a b a '=-=-,1b ∴=.(2)()x f x a e '=-.当0a ≤时,()0f x '<,()f x 在R 上单调递减,()f x 没有最值;当0a >时,令()0f x '<,得ln x a >,令()0f x '>,得ln x a <,()f x ∴在区间(,ln )a -∞上单调递增,在区间(ln ,)a +∞上单调递减,()f x ∴在ln x a =处取得唯一的极大值,即为最大值,且()()max ln ln f x f a a a a ==-.综上所述,当0a ≤时,()f x 没有最值;当0a >时,()f x 的最大值为ln a a a -,无最小值.【点睛】本题考查的是导函数的知识点,涉及到利用导函数求函数的最值,以及分类讨论的思想,属于常见的题型.24.(1)(,1)-∞,(2,+)∞;(2)01a <<.【分析】(1)根据2x =是()f x 的一个极值点,2x =是2()220f x x bx '=-+=方程的一个根,解得b ,然后令()0f x '>求解.(2)将 [1,3]x ∈时,22()3f x a ->恒成立,转化为22()3f x a >+恒成立,只需 2min 2()3f x a >+求解. 【详解】 (1)2()22f x x bx '=-+.∵2x =是()f x 的一个极值点,∴2x =是方程2220x bx -+=的一个根, 解得32b =. 令()0f x '>,则2320x x -+>,解得1x <或2x >.∴函数()y f x =的单调递增区间为(,?1)-∞,(2,+)∞.(2)∵当(1,2)x ∈时()0f x '<,(2,3)x ∈时()0f x '>,∴()f x 在(1,2)上单调递减,()f x 在(2,3)上单调递增.∴(2)f 是()f x 在区间[1,3]上的最小值,且 2(2)3f a =+. 若当[1,?3]x ∈时,要使22()3f x a ->恒成立, 只需22(2)3f a >+, 即22233a a +>+, 解得 01a <<.【点睛】方法点睛:恒(能)成立问题的解法:若()f x 在区间D 上有最值,则(1)恒成立:()()min ,00x D f x f x ∀∈>⇔>;()()max ,00x D f x f x ∀∈<⇔<; (2)能成立:()()max ,00x D f x f x ∃∈>⇔>;()()min ,00x D f x f x ∃∈<⇔<. 若能分离常数,即将问题转化为:()a f x >(或()a f x <),则(1)恒成立:()()max a f x a f x >⇔>;()()min a f x a f x <⇔<;(2)能成立:()()min a f x a f x >⇔>;()()max a f x a f x <⇔<.25.(1)()1500300,0,22t cos θπθθθ⎛⎫⎛⎫=++∈ ⎪ ⎪⎝⎭⎝⎭;(2)不能超过40分钟,理由见解析.【分析】(1)在OAP △中,得到2AP OAcos θ=, 在扇形OPB 中,()2PB OA θ=⋅,再由2BA OA =,然后根据小王游泳、跑步、骑自行车的平均速度分别为2m /s ,4m /s ,10m /s 求解.(2)根据(1)的结果,利用导数法求解.【详解】(1)在OAP △中,23000AP OAcos cos θθ==,在扇形OPB 中,()23000PB OA θθ=⋅=,又23000BA OA ==,所以小王本次训练的总时间:()2410P A A t B P B θ=++ 3000300030002410cos θθ=++.15003002cos θθ⎛⎫=++ ⎪⎝⎭,0,2πθ⎛⎫∈ ⎪⎝⎭. (2)由(1)得()1'15002t sin θθ⎛⎫=--⎪⎝⎭, 令()'0t θ=,得12sin θ=,6πθ∴=, 列表如下,从上表可知,当6θ=时,()t θ取得极大值,且是最大值,()t θ∴的最大值是1500cos 3006612t πππ⎛⎫⎛⎫=++ ⎪ ⎪⎝⎭⎝⎭ 125300π=+, 32<, 3.2π<, 7502125 3.230022006t π⎛⎫∴<⨯+⨯+= ⎪⎝⎭. 22004060<⨯,∴小王本次训练时间不能超过40分钟.【点睛】本题主要考查函数的建模问题以及函数的最值与导数,还考查了运算求解的能力,属于中档题.26.(1)函数()f x 在0,1上单调递减,在1,上单调递增;(2)211e -. 【分析】(1)首先对函数求导,根据函数()1ln f x ax x =--在1x =处取得极值,得到()110f a '=-=,求得1a =,根据导数的符号求得其单调区间;(2)将不等式转化为1ln 1x b x x +-≥,之后构造新函数()1ln 1x g x x x=+-,利用导数求得其最小值,进而求得最值,得到结果.【详解】 ()11ax f x a x x-'=-=,由()110f a '=-=得1a =,()1ln =--f x x x ,(1)()1x f x x -'=,由0f x 得1x >,由0f x 得01x <<,故函数()f x 在0,1上单调递减,在1,上单调递增. (2)()1ln 21x f x bx b x x ≥-⇒+-≥, 令()1ln 1x g x x x =+-,则()2ln 2x g x x -'=, 由0g x ,得2x e >,由0g x ,得20x e <<,故()g x 在()20,e 上递减,在()2e ,+∞上递增, ∴()()22min 1e 1e g x g ==-,即211e b ≤-, 故实数b 的最大值是211e -. 【点睛】 该题考查的是有关应用导数研究函数的问题,涉及到的知识点有根据极值点求参数的值,利用导数求函数的单调区间,利用导数求参数的取值范围,属于中档题目.。
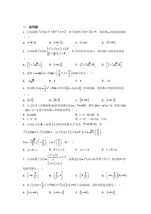
一、选择题1.已知函数()5332f x x x x =+++,若()()24f a f a +->,则实数a 的取值范围是( ) A .(),1-∞B .(),2-∞C .()1,+∞D .()2,+∞2.若幂函数()f x 的图象过点21,22⎛⎫ ⎪ ⎪⎝⎭,则函数()()e x f x g x =的递减区间为( ) A .()0,2 B .(),0-∞和()2,+∞ C .()2,0-D .()(),02,-∞+∞3.已知函数()2ln f x ax x x -=-有两个零点,则实数a 的取值范围是( ) A .(),1-∞B .()0,1C .21,e e +⎛⎫-∞ ⎪⎝⎭D .210,e e +⎛⎫⎪⎝⎭4.已知函数()f x 是定义在R 上的可导函数,对于任意的实数x ,都有()()2x f x e f x -=,当0x <时,()()0f x f x +'>,若()()211ae f a f a +≥+,则实数a 的取值范围是( )A .20,3⎡⎤⎢⎥⎣⎦B .2,03⎡⎤-⎢⎥⎣⎦C .[)0,+∞D .(],0-∞5.设ln 2ln 3ln ,,23a b c ππ===则下列判断中正确的是( ) A .a b c >> B .b c a >>C .a c b >>D .c b a >>6.某堆雪在融化过程中,其体积V (单位:3m )与融化时间t (单位:h )近似满足函数关系:31()1010V t H t ⎛⎫=- ⎪⎝⎭(H 为常数),其图象如图所示.记此堆雪从融化开始到结束的平均融化速度为()3m /h v .那么瞬时融化速度等于()3m /h v 的时刻是图中的( ).A .1tB .2tC .3tD .4t7.已知()3216132m f x x x x =-++在()1,1-单调递减,则m 的取值范围为( ) A .[33]-,B .(-3,3)C .[55]-,D .(-5,5)8.已知()'f x 是定义在上的函数()f x 的导函数,且2(1)(1)xf x f x e +=-,当1x >时,()()f x f x '>恒成立,则下列判断正确的是( ) A .()()523e f f ->B .()()523f e f ->C .()()523e f f <-D .()()523f e f >-9.已知函数32()1f x x ax x =-+--在(,)-∞+∞上是单调函数,则实数a 的取值范围是( )A .()-∞⋃+∞ B .()-∞⋃+∞C .⎡⎣D .(10.已知()f x 的定义域为(0,)+∞,fx 为()f x 的导函数,且满足()()'f x xf x <-,则不等式(1)(1)f x x +>-()21f x -的解集是( )A .0,1B .2,C .1,2D .1,11.已知奇函数()f x 在R 上是增函数且当0x ≥时()0f x ≥ ,()()g x xf x =.若()2log 5.1a g =-,()0.82b g =,()3c g =,则a ,b ,c 的大小关系为( )A .a b c <<B .c b a <<C .b a c <<D .b c a <<12.α,,22ππβ⎡⎤∈-⎢⎥⎣⎦,且sin sin 0ααββ->,则下列结论正确的是( ) A .αβ>B .0αβ+>C .αβ<D .22αβ>二、填空题13.定义在()22ππ-,上的奇函数()f x 的导函数为()'f x ,且(1)f 0=.当0x >时,()tan ()0f x x f x '+>,则不等式()0f x <的解集为________14.若关于x 的不等式220x ax +-<在区间[1,4]上有解,则实数a 的取值范围为________.15.已知()y f x =是奇函数,当(0,2)x ∈时,1()()2f x lnx ax a =->,当(2,0)x ∈-时,()f x 的最小值为1,则a =________.16.已知()f x '是函数()()322113f x mx m x n x =-+-+的导函数,若函数()x y f f '=⎡⎤⎣⎦在区间[],1m m +上单调递减,则实数m 的范围是______.17.已知函数()ln 2f x x x =-+,存在(]00,4x ∈,使得()0f x m ≥成立,则实数m 的取值范围是________. 18.已知函数()f x 的导函数为'()f x ,且满足关系式2()3(2)ln f x xf 'x x =++,则'(2)f =______.19.设定义在上的奇函数满足:时,(其中为常数).若,,,则,,的大小关系是_________.(用“”连接)20.已知()5234501234532x a a x a x a x a x a x -=+++++,则0123452345a a a a a a +++++的值为______三、解答题21.已知函数()f x 是奇函数,()f x 的定义域为(),+ -∞∞,当0x <时,()()ln ex f x x-=(e 为自然数的底数) (1)若函数()f x 在区间()1,0 2a a a ⎛⎫+> ⎪⎝⎭上存在极值点,求实数a 的取值范围; (2)如果当1x ≥时,不等式()1kf x x ≥+恒成立,求实数k 的范围. 22.已知函数()22ln f x x ax a x =-+(a ∈R ).(1)若()f x 在区间[]1,2上是单调函数,求实数a 的取值范围;(2)若存在[]01,x e ∈,使得()()0020f x a x +-≥成立,求实数a 的取值范围. 23.已知函数()()21ln ,2f x ax x x b a b R =-⋅+∈,()()g x f x '=. (1)判断函数()y g x =的单调性;(2)若(]()0, 2.718x e e ∈≈,判断是否存在实数a ,使函数()g x 的最小值为2?若存在求出a 的值;若不存在,请说明理由; 24.已知函数()xaf x x e =+,其中a R ∈,e 是自然对数的底数. (1)当1a =-时,求函数() f x 在区间[0,)+∞的零点个数;(2)若()2xe f x <对任意[1,)x ∈-+∞恒成立,求实数a 的取值范围.25.已知函数1()ln f x a x x x ⎛⎫=-- ⎪⎝⎭. (1)若1a =,求曲线()y f x =在点(1,(1))f 处的切线方程; (2)若函数()f x 在其定义域内为增函数,求a 的取值范围;(3)在(2)的条件下,设函数()eg x x=,若在[1,e]上至少存在一点0x ,使得()()00f x g x ≥成立,求实数a 的取值范围.26.已知函数2()4ln f x ax bx x =++的极值点为1和2. (1)求实数a ,b 的值.(2)求函数()f x 在区间(]0,3上的最大值.【参考答案】***试卷处理标记,请不要删除一、选择题 1.C 解析:C 【分析】根据题意,设()()5323g x f x x x x =-=++,分析可得()g x 为奇函数且在R 上为增函数,据此可得原不等式等价于()()2g a g a >-,结合函数的单调性可得2a a >-,解可得a 的取值范围,即可得答案. 【详解】解:根据题意,设()()5323g x f x x x x =-=++,其定义域为R ,则()()()533g x x x x g x -=-++=-,则()g x 为奇函数,又由()425910g x x x '=++>,则()g x 在R 上为增函数,故()()()()()()24222222f a f a f a f a f a f a ⎡⎤+->⇒->--+⇒->---⎣⎦()()2g a g a ⇒>--()()2g a g a ⇒>-,必有2a a >-,解得1a >,即a 的取值范围为()1,+∞. 故选:C . 【点睛】利用函数奇偶性和单调性解不等式问题:(1)()f x 是奇函数,图像关于原点中心对称,利用奇函数性质将不等式()()12f g x f g x ⎡⎤⎡⎤<⎣⎦⎣⎦形式,再利用单调性得到()1g x 和()2g x 的大小关系,再解不等式即可;(2)()f x 是偶函数,图像关于y 轴对称,利用偶函数性质将不等式()()12f g x f g x ⎡⎤⎡⎤<⎣⎦⎣⎦形式,再利用单调性得到()1g x 和()2g x 的大小关系,再解不等式即可.2.B解析:B 【分析】根据条件先求解出()f x 的解析式,然后利用导数求解出()()ex f x g x =的单调递减区间. 【详解】因为()f x为幂函数,且过点1,22⎛⎫ ⎪ ⎪⎝⎭,所以设()f x x α=,所以1=22α⎛ ⎝⎭,所以2α=,所以()2f x x =,所以2()ex x g x =,则(2)()e xx x g x '-=, 当2x >或0x <时,()0g x '<;当02x <<时,()0g x '>, 所以()()ex f x g x =的递减区间为(),0-∞和()2,+∞, 故选:B. 【点睛】关键点点睛:解答本题的关键是求解完()f x 的解析式之后,根据()0f x '<去分析()f x 的单调递减区间.3.B解析:B 【分析】函数()2()ln 0f x ax x x x =-->有两个零点,即方程2ln x xa x+=有两个根,设()2ln x xg x x+=,求出()g x ',研究出函数()g x 的单调性,由()g x 的图象与y a =有两个交点,得出a 参数的范围,即得结果. 【详解】 函数()2()ln 0f x ax x x x =-->有两个零点,由题意得方程2ln x x a x +=有两个根,设()2ln x xg x x+=,则y a =与()y g x =有两个不同的交点,又()2431(1)(ln (2)12ln )x x x x x x x g x x x +-+--'==, 设()12ln h x x x =--,则()210h x x'=--<所以()12ln h x x x =--在()0,∞+上单调递减,又(1)0h = 当()()(0,1),0,0x h x g x '∈>>,所以()g x 在(0,1)上单调递增, 当()()(1,),0,0x h x g x '∈+∞<<,所以()g x 在(1,)+∞上单调递减,又(1)1g =,22111()01e g e e e e -==-<⎛⎫ ⎪⎝⎭,当(1,)x ∈+∞时,ln 0x x +>,则()0g x >,即()g x 在(1,)+∞上单调递减,但恒正. 作出函数()y g x =的大致图象如下:要使()y g x =的图象与y a =有两个交点, 所以实数a 的取值范围是()0,1. 故选:B. 【点睛】方法点睛:已知函数有零点(方程有根)求参数值(取值范围)常用的方法: (1)直接法:直接求解方程得到方程的根,再通过解不等式确定参数范围; (2)分离参数法:先将参数分离,转化成求函数的值域问题加以解决;(3)数形结合法:先对解析式变形,进而构造两个函数,然后在同一平面直角坐标系中画出函数的图象,利用数形结合的方法求解.4.B解析:B 【分析】构造函数()()xg x e f x =,根据题意,可得函数()g x 的奇偶性,根据0x <时()()0f x f x +'>,对函数()g x 求导,可得函数()g x 的单调性,将()()211a e f a f a +≥+,左右同乘1a e +,可得()()211211a a e f a e f a +++≥+,即()()211g a g a +≥+,利用()g x 的性质,即可求得答案.【详解】 ∵()()2x f x e f x -=,∴()()()x x xf xe f x e f x e --==-, 令()()xg x e f x =,则()()g x g x -=,即()g x 为偶函数, 当0x <时()()0f x f x +'>,∴()()()'0xx e f x f x g '+⎡⎤⎣⎦>=,即函数()g x 在(),0-∞上单调递增.根据偶函数对称区间上单调性相反的性质可知()g x 在()0,∞+上单调递减, ∵()()211ae f a f a +≥+,∴()()211211a a ef a e f a +++≥+,∴()()211g a g a +≥+,即211a a +≤+, 解得,203a -≤≤, 故选:B . 【点睛】解题的关键是将题干条件转化为()()()x x xf x e f x e f x e --==-,根据左右相同的形式,构造函数()()xg x e f x =,再根据题意,求得函数的奇偶性,单调性;难点在于:由于()()211a e f a f a +≥+,不符合函数()g x 的形式,需左右同乘1a e +,方可利用函数()g x 的性质求解,属中档题.5.B解析:B 【分析】 构造函数()ln xf x x=,利用导数分析()f x 的单调性,从而判断出,,a b c 的大小关系. 【详解】 设()ln x f x x =,所以()21ln xf x x-'=,令()0f x '=,所以x e =,所以()0,x e ∈时,()0f x '>,()f x 单调递增;(),x e ∈+∞,()0f x '<,()f x 单调递减,因为()ln 22ln 2ln 44244f ===,且()()()34f f f π>>,所以b c a >>, 故选:B. 【点睛】方法点睛:利用构造函数思想比较大小的方法:(1)先分析所构造函数的导函数,由此分析出函数的单调性; (2)先比较处于同一单调区间的函数值大小;(3)再通过一定方法(函数性质、取中间值等)将非同一单调区间的函数值转化到同一单调区间,即可完成比较大小.6.C解析:C 【分析】根据题意可知,平均融化速度为(100)(0)1000V V v -=-,反映的是()V t 图象与坐标轴交点连线的斜率,通过观察某一时刻处瞬时速度(即切线的斜率),即可得到答案. 【详解】解:平均融化速度为(100)(0)1000V V v -=-,反映的是()V t 图象与坐标轴交点连线的斜率,观察可知3t 处瞬时速度(即切线的斜率)为平均速度一致, 故选:C .【点睛】本题考查了图象的识别,瞬时变化率和切线斜率的关系,理解平均速度表示的几何意义(即斜率)是解题的关键.7.C解析:C 【分析】依题意得,(1,1)x ∈-时,2()60f x x mx '=+-恒成立,得到(1)0(1)0f f '-⎧⎨'⎩,解之即可.【详解】解:()3216132mf x x x x -+=+,()26f x x x m '∴=-+,要使函数()f x 在()1,1-单调递减, 则()0f x '≤在()1,1x ∈-上恒成立, 即260x mx -+≤在()1,1x ∈-上恒成立,则:()()1010f f ⎧-≤⎪⎨≤''⎪⎩,即:160160m m --≤⎧⎨+-≤⎩,解得:55m -≤≤则m 的取值范围为:[]55-,. 故选:C . 【点睛】本题考查利用导数研究函数的单调性,依题意得到(1)0(1)0f f '-⎧⎨'⎩是关键,考查化归思想与运算能力,属于中档题.8.A解析:A 【分析】构造函数()()xf xg x e =,由(1)(1)g x g x -=+,可得()g x 的图象关于直线1x =对称, 利用导数研究函数的单调性,根据单调性即可比较大小. 【详解】构造函数()()xf xg x e=,因为2(1)(1)xf x f x e +=-,所以11(1)(1)x x f x f x e e +-+-=, 则(1)(1)g x g x -=+,所以()g x 的图象关于直线1x =对称,因为当1x >时,()()f x f x '>,所以()()()0xf x f xg x e ''-=>,所以()g x 在(1,)+∞上单调递增, 所以有(3)(2),(2)(3)g g g g ->->, 即3223(3)(2)(2)(3),f f f f e e e e---->>, 即5(3)(2)e f f ->,5(2)(3)e f f ->,故选:A. 【点睛】本题考查了导数研究函数的单调性,解题的关键是构造函数,属于中档题.9.C解析:C 【分析】求得函数的导数2()321f x x ax '=-+-,根据函数()f x 在(,)-∞+∞上是单调函数,利用0∆≤,即可求解,得到答案. 【详解】由题意,函数32()1f x x ax x =-+--,则2()321f x x ax '=-+-, 因为函数()f x 在(,)-∞+∞上是单调函数,所以22(2)4(3)(1)4120a a ∆=-⨯-⨯-=-≤,即23a ≤,解得a ≤≤即实数a 的取值范围是⎡⎣,故选C .【点睛】本题主要考查了利用导数研究函数的单调性求解参数问题,其中解答中熟记导数与原函数的单调性之间的关系是解答的关键,着重考查了分析问题和解答问题的能力,属于基础题.10.B解析:B 【分析】构造函数()()F x xf x =,再根据单调性解不等式,即得结果. 【详解】令()()F x xf x =,则()()()0F x f x xf x ''=+<,所以()F x 在(0,)+∞上单调递减(1)(1)f x x +>-()21f x -,2(1)(1)(1)x f x x ∴++>-()21f x -,2(1)(1)F x F x ∴+>-, 2011,2x x x ∴<+<-∴>,故选:B 【点睛】本题考查利用导数解不等式,考查基本分析求解能力,属中档题.11.C解析:C 【分析】可判断函数()g x 为偶函数,再利用导数可证明()g x 在[)0,+∞为增函数,利用指数函数和对数函数的单调性可得0.823log 5.12>>,从而可得三个函数值之间的大小关系.【详解】因为()()()g x xf x xf x -=--=,故()f x 为偶函数, 当0x ≥时,因为()()()0g x f x f x ''=+≥(不恒为零), 故()g x 在[)0,+∞为增函数, 又()()22log 5.1log 5.1a g g =-=, 因为0.82223log 8log 5.1log 422=>>=>,所以c a b >>,故选:C. 【点睛】本题考查函数的单调性、奇偶性和指数、对数的大小比较,注意两个增函数的乘积不一定是增函数,另外函数值的大小比较一般要利用函数的单调性来处理,本题属于中档题.12.D解析:D 【分析】构造函数()sin f x x x =,利用其导函数判断出单调区间,根据奇偶性和对称性可得正确选项. 【详解】构造()sin f x x x =形式,则()sin cos f x x x x +'=,0,2x π⎡⎤∈⎢⎥⎣⎦时导函数()0f x '≥,()f x 单调递增;,02x π⎡⎫∈-⎪⎢⎣⎭时导函数()0f x '<,()f x 单调递减.又 ()f x 为偶函数,根据单调性和对称性可知选D.故本小题选D. 【点睛】本小题主要考查构造函数法,考查利用导数研究函数的单调性以及求解不等式,属于中档题.二、填空题13.【分析】引入新函数它是偶函数由导数可确定它的单调性通过解不等式或求得的解【详解】设是奇函数则是偶函数时单调递增∴时单调递减又时则时则综上原不等式的解集为【点睛】方法点睛:本题考查函数的奇偶性与单调性解析:(),10,12π⎛⎫--⋃ ⎪⎝⎭【分析】引入新函数()()sin g x f x x =,它是偶函数,由导数可确定它的单调性,通过解不等式()0<g x 或()0>g x 求得()0f x <的解.【详解】设()()sin g x f x x =,()f x 是奇函数,则()g x 是偶函数,0,2x π⎛⎫∈ ⎪⎝⎭时, ()()()()()()sin cos cos tan 0g x f x x f x x x f x x f x ''+=+'=>()g x 单调递增,∴,02x π⎛⎫∈- ⎪⎝⎭时,()g x 单调递减,又(1)(1)sin10g f ==,(1)(1)0g g -==,0,2x π⎛⎫∈ ⎪⎝⎭时,sin 0x >,则()0f x <⇔()0<g x 01x ⇔<<, ,02x π⎛⎫∈- ⎪⎝⎭时,sin 0x <,则()0f x <⇔()0>g x 12x π⇔-<<-, 综上,原不等式的解集为(),10,12π⎛⎫--⋃ ⎪⎝⎭.【点睛】方法点睛:本题考查函数的奇偶性与单调性,考查用导数研究函数的单调性,解题关键是根据已知不等式引入函数()()sin g x f x x =,首先确定它的奇偶性,然后用导数确定它在0,2π⎛⎫ ⎪⎝⎭上的单调性,从而可得它在,02π⎛⎫- ⎪⎝⎭上的单调性,然后通过()g x 的单调性解相应的不等式得原不等式的解.14.【分析】本题现将不等式运用参变分离化简为再构造新函数求最大值最后求实数a 的取值范围【详解】解:∵不等式在区间上有解∴不等式在区间上有解∴不等式在区间上有解令()则∴当时单调递减∴不等式在区间上有解即 解析:(,1)-∞【分析】本题现将不等式220x ax +-<运用参变分离化简为2a x x<-,再构造新函数2()f x x x=-求最大值,最后求实数a 的取值范围. 【详解】解:∵ 不等式220x ax +-<在区间[1,4]上有解, ∴ 不等式22x a x-<在区间[1,4]上有解,∴ 不等式2a x x<-在区间[1,4]上有解, 令2()f x x x =-,(14x ≤≤),则22'()1f x x=--, ∴ 当14x ≤≤时,'()0f x <,()f x 单调递减,∴ max 2()(1)111f x f ==-= 不等式2a x x<-在区间[1,4]上有解,即max ()a f x∴1a <故答案为:(,1)-∞ 【点睛】本题考查不等式存在性问题,借导函数研究原函数单调性求最大值,是中档题.15.1【分析】根据函数的奇偶性确定在上的最大值为求导函数确定函数的单调性求出最值即可求得的值【详解】是奇函数时的最小值为1在上的最大值为当时令得又令则在上递增;令则在上递减得故答案为:1【点睛】本题考查解析:1 【分析】根据函数的奇偶性,确定()f x 在(0,2)上的最大值为1-,求导函数,确定函数的单调性,求出最值,即可求得a 的值. 【详解】()f x 是奇函数,(2,0)x ∈-时,()f x 的最小值为1,()f x ∴在(0,2)上的最大值为1-,当(0,2)x ∈时,1()f x a x'=-, 令()0f x '=得1x a =,又12a >,102a ∴<<,令()0f x '>,则1x a <,()f x ∴在1(0,)a 上递增;令()0f x '<,则1x a>, ()f x ∴在1(a,2)上递减,111()()1max f x f ln aaaa ∴==-=-,10ln a∴=,得1a =. 故答案为:1. 【点睛】本题考查函数单调性与奇偶性的结合,考查导数知识的运用,考查学生的计算能力,属于中档题.16.【分析】求出函数的导函数利用导函数研究原函数的单调区间再二次求导得从而得到的单调区间由导函数在区间上单调递增求出其值域将函数的单调性把问题转化为即可列出不等式即可求出的范围【详解】解:由函数得由得或 解析:[]1,0-【分析】求出函数()f x 的导函数,利用导函数研究原函数的单调区间,再二次求导得()22f x x m ''=-,从而得到()f x '的单调区间,由导函数在区间[m ,1]m +上单调递增求出其值域[]1,0-,将函数的单调性把问题转化为[][]1,01,1m m -⊆-+,即可列出不等式即可求出m 的范围. 【详解】解:由函数3221()(1)3f x x mx m x n =-+-+,得222()21()1f x x mx m x m '=-+-=--, 由2()10x m -->,得1x m <-或1x m >+,∴函数()f x 的增区间为(,1)m -∞-,(1,)m ++∞,由2(1)0x m --<,得11m x m -<<+,∴函数()f x 单调减区间为[]1,1m m -+,由()22f x x m ''=-,则()0f x ''>时,x m >;()0f x ''<时,x m <,得()'f x 的单调增区间为[),m +∞,单调减区间为(],m -∞,函数()f x '在[],1m m +上单调递增,∴函数()f x '在[],1m m +上的值域为[]1,0-, 又函数[()]y f f x '=在区间[],1m m +上单调递减, 也就是函数()y f x =在区间[]1,0-上单调递减,因此要满足条件[][]1,01,1m m -⊆-+,即1110m m -≤-⎧⎨+≥⎩,解得:10m -≤≤,∴实数m 的范围是[]1,0-.故答案为:[]1,0-. 【点睛】本题考查利用导数研究函数的单调性以及根据复合函数的单调性求参数取值范围,考查转化思想和运算能力,属中档题.17.【分析】由题意可得利用导数求出函数在区间上的最大值即可得出实数的取值范围【详解】存在使得成立等价为令得当时函数是增函数;当时函数是减函数当时函数在处取得最大值所以因此实数的取值范围是故答案为:【点睛解析:1,2e ⎛⎤-∞+ ⎥⎝⎦【分析】由题意可得()max m f x ≤,利用导数求出函数()y f x =在区间(]0,4上的最大值,即可得出实数m 的取值范围. 【详解】()ln 2f x x x =-+,存在(]00,4x ∈,使得()0f x m ≥成立等价为()max f x m ≥. ()ln 1f x x '=--,令()0f x '=,得1x e=.当10,e x ⎛⎫∈ ⎪⎝⎭时,()0f x '>,函数()ln 2f x x x =-+是增函数;当1,4x e ⎛⎤∈ ⎥⎝⎦时,()0f x '<,函数()ln 2f x x x =-+是减函数,当(]0,4x ∈时,函数()ln 2f x x x =-+在1x e =处取得最大值12e +,所以12m e≤+. 因此,实数m 的取值范围是1,2e ⎛⎤-∞+⎥⎝⎦. 故答案为:1,2e ⎛⎤-∞+ ⎥⎝⎦. 【点睛】本题考查利用导数研究不等式能成立问题,结合题意转化为与函数最值相等的不等式问题是解答的关键,考查计算能力,属于中等题.18.【分析】对两边求导可得:将代入即可求得问题得解【详解】对两边求导可得:将代入上式可得:解得:【点睛】本题主要考查了导数的计算及赋值思想考查计算能力属于中档题解析:94-【分析】对2()3(2)ln f x xf 'x x =++两边求导可得:1()23(2)f x f 'xx '=++,将2x =代入即可求得9(2)4f '=-,问题得解. 【详解】对2()3(2)ln f x xf 'x x =++两边求导可得:1()23(2)f x f 'xx '=++, 将2x =代入上式可得:1(2)223(2)2f f ''=⨯++ 解得:9(2)4f '=- 【点睛】本题主要考查了导数的计算及赋值思想,考查计算能力,属于中档题.19.a<c<b 【解析】【分析】先利用f0=0求出t 构建新函数gx=xfx 利用导数可判断gx 为-∞0上的增函数从而得到g-e<g-2<g-1即-ef-e<2f2<f1故可得a<c<b 【详解】因为fx 为R 上 解析:【解析】 【分析】先利用求出,构建新函数,利用导数可判断为上的增函数,从而得到即,故可得.【详解】 因为为上的奇函数,故,而,所以,故当时,,令,则为上的偶函数, 当时,,, 当时,则,所以,故,所以为上的增函数,所以 ,即,所以,故.填.【点睛】判断给定的各数的大小,我们可依据它们的形式构建具体的函数,通过函数的单调性来判断它们的大小,而单调性可根据导数的符号来讨论.20.233【解析】分析:根据题意在(3﹣2x )5=a0+a1x+a2x2+a3x3+a4x4+a5x5中令x=0可得a0=243设y=(3﹣2x )5=a0+a1x+a2x2+a3x3+a4x4+a5x5解析:233 【解析】分析:根据题意,在(3﹣2x )5=a 0+a 1x+a 2x 2+a 3x 3+a 4x 4+a 5x 5中,令x=0可得a 0=243,设y=(3﹣2x )5=a 0+a 1x+a 2x 2+a 3x 3+a 4x 4+a 5x 5,求出其导数,分析可得y '=﹣104(32)x -=a 1+2a 2x+3a 3x 2+4a 4x 3+5a 5x 4,令x=1可得a 1+2a 2+3a 3+4a 4+5a 5的值,将其值相加即可得答案.详解:根据题意,(3﹣2x )5=a 0+a 1x+a 2x 2+a 3x 3+a 4x 4+a 5x 5中, 令x=0可得:35=a 0,即a 0=243,设y=(3﹣2x )5=a 0+a 1x+a 2x 2+a 3x 3+a 4x 4+a 5x 5, 其导数y′=﹣10(3﹣2x )4=a 1+2a 2x+3a 3x 2+4a 4x 3+5a 5x 4, 令x=1可得:﹣10=a 1+2a 2+3a 3+4a 4+5a 5, 则a 0+a 1+2a 2+3a 3+4a 4+5a 5=243﹣10=233; 故答案为:233点睛:(1)本题主要考查二项式定理的应用和导数,意在考查学生对这些基础知识的掌握能力及分析推理能力基本的计算能力. (2)解答本题的关键有两点,其一是想到赋值法,令x=0可得a 0=243,令x=1可得﹣10=a 1+2a 2+3a 3+4a 4+5a 5.其二是要看到0123452345a a a a a a +++++要想到求导.三、解答题21.(1)1,12⎛⎫⎪⎝⎭;(2)(],2-∞.【分析】(1)先根据奇函数的性质得0x >时,()1ln xf x x+=,由于0a >,故研究函数()f x 在()0,∞+上的极值点得1x =处取得唯一极值点,进而得1012a a <<<+,解不等式即可得答案;(2)根据题意将问题转化为()()11ln x x k x++≥在区间[)1,+∞上恒成立,进而令函数()()()11ln x g x x x++=,[)1,x ∈+∞,研究函数()g x 的最小值即可得答案.【详解】解:(1)设0x >,则0x -<,所以()ln exf x x-=-, 由于函数()f x 是定义域为(),+ -∞∞的奇函数,故()ln 1ln ex xf x x x+==, 即当0x >时,()1ln xf x x+=, 所以()()2211ln ln 'x x x x f x x x ⋅-+-==, 解不等式()'0f x >得()0,1x ∈,解不等式()'0f x <得()1,x ∈+∞, 所以函数()f x 在()0,1上单调递增,在()1,+∞上单调递减, 所以函数()f x 在1x =处取得唯一极值点,且为极大值点., 由于函数()f x 在区间()1,0 2a a a ⎛⎫+> ⎪⎝⎭上存在极值点, 所以1012a a <<<+,即112a <<. 故实数a 的取值范围1,12⎛⎫⎪⎝⎭.(2)根据题意当1x ≥时,不等式()1kf x x ≥+恒成立, 所以当1x ≥时,1ln 1x k x x +≥+恒成立,即()()11ln x x k x++≥在区间[)1,+∞上恒成立;故令()()()11ln x g x x x++=,[)1,x ∈+∞,()()()()()221ln '1ln ln '11x x x x x g x x xx x +⋅-+⎡⎤-⎣⎦=++=, 令()ln h x x x =-,则()11'10x h x x x-=-=≥在区间[)1,+∞上恒成立, 所以函数()h x 在区间[)1,+∞单调递增,故()()110h x h ≥=>,所以()'0g x >区间[)1,+∞上恒成立,所以函数()g x 在区间[)1,+∞单调递增, 所以()()12g x g ≥=,即函数()g x 在区间[)1,+∞上的最小值为2, 由于()()11ln x x k x++≥在区间[)1,+∞上恒成立,故只需函数()min g x k ≥⎡⎤⎣⎦即可,所以k 2≤,即实数k 的范围为:(],2-∞ 【点睛】本题考查利用导数研究函数的极值点,不等式恒成立问题,考查化归转化思想和运算求解能力,是中档题.本题第二问解题的关键在于根据题意将问题转化为()()11ln x x k x++≥在区间[)1,+∞上恒成立,进而令函数()()()11ln x g x x x++=,[)1,x ∈+∞并研究函数()g x 的最小值问题.22.(1)2a ≤或83a ≥;(2)()e e 2,e 1-⎛⎤-∞ ⎥-⎝⎦.【分析】(1)转化条件为2221x a x ≤-或2220x ax a -+≤在[]1,2上恒成立,运算可得解;(2)转化条件为22ln -≤-x x a x x在区间[]1,e 上有解,结合导数确定22ln x xx x --在[]1,e 上的最大值即可得解. 【详解】(1)由题意,()22222a x ax af x x a x x-+'=-+=,若()f x 在区间[]1,2上是单调增加,则()0f x '≥即2221xa x ≤-在[]1,2上恒成立,设()()222111212221x x g x x x -==++--,易得()()min 12g x g ==, 故2a ≤;若()f x 在区间[]1,2上是单调减少,则()0f x '≤,即2220x ax a -+≤在[]1,2上恒成立,故只须222222021210a a a a ⎧⨯-⨯+≤⎨⨯-⨯+≤⎩,解得83a ≥, 综上,2a ≤或83a ≥; (2)由题意知,不等式()()0020f x a x +-≥在区间[]1,e 上有解, 即()22ln 0x x a x x -+-≥在区间[]1,e 上有解,因为当[]1,e x ∈时,ln 1x x ≤≤(不同时取等号),ln 0x x ->,所以22ln -≤-x xa x x在区间[]1,e 上有解,令()22ln x x h x x x -=-,则()()()()2122ln ln x x x h x x x -+-'=-, 因为[]1,e x ∈,所以222ln x x +>≥,所以()0h x '≥,()h x 在[]1,e 上单调递增, 所以[]1,e x ∈时,()()()max e e 2e e 1h x h -==-, 所以()e e 2e 1a -≤-,所以实数a 的取值范围是()e e 2,e 1-⎛⎤-∞ ⎥-⎝⎦. 【点睛】关键点点睛:解决本题的关键是将有解问题转化为求函数最值的问题,结合导数即可得解. 23.(1)答案见解析;(2)存在,2a e =. 【分析】(1)先求()()g x f x '=,再对()y g x =求导,对参数a 进行讨论确定导数的正负,即得函数单调性;(2)对参数a 进行讨论确定()y g x =导数的正负,即得函数()y g x =单调性,再根据单调性确定最值等于2,解得符合条件的参数值即得结果; 【详解】 (1)由()21ln 2f x ax x x b =-⋅+,知()()ln 1g x f x ax x '==--,0x >,故 ()11ax g x a x x-'=-=. 当0a ≤时,()0g x '<,即()g x 在()0,∞+为减函数,当0a >时,在10,a ⎛⎫ ⎪⎝⎭上()0g x '<,所以()g x 在10,a ⎛⎫⎪⎝⎭为减函数,在1,a ⎛⎫+∞⎪⎝⎭上()0g x '>,所以()g x 在1,a ⎛⎫+∞ ⎪⎝⎭增函数. (2)当0a ≤时,()g x 在(]0,e 为减函数,所以()()min 11g x g e ea ==-≤-.故不存在最小值3. 当10a e <≤时,1e a≥,()g x 在(]0,e 为减函数,所以 ()()min 1ln 2g x g e ea e ==--=,所以4a e=,不合题意,舍去. 当1a e >时,10e a <<,在10,a ⎛⎫ ⎪⎝⎭上()0g x '<,函数()g x 单调递减;在1,e a ⎡⎤⎢⎥⎣⎦上()0g x '>,函数()g x 单调递增,由此()min 1111ln 2g x g a a ⎛⎫==--= ⎪⎝⎭,所以ln 2a =.解得2a e =,故2a e =时,使函数()g x 的最小值为2. 【点睛】利用导数研究函数()f x 的单调性和最值的步骤:①写定义域,对函数()f x 求导()'f x ;②在定义域内,讨论不等式何时()0f x '>和()0f x '<③对应得到增区间和减区间及极值点,进而比较端点和极值点的值确定指定区间的最值即可.24.(1)1个;(2)2122e e a --+<.【分析】(1)求导得到函数的单调性,再利用零点存在性定理得解 (2)分离参变量,不等式恒成立转化为求函数的最值得解 【详解】(1)()x f x x e -=-,0x ≥,()10xf x e '-=+> 故()f x 在[0,)+∞递增,又(0)1f =-,1(1)10f e -=->(0)(1)0f f <,故()f x 在(0,1)上存在唯一零点因此()f x 在区间[0,)+∞的零点个数是1个; (2)1x ∀≥-,2x xe x ae-+<恒成立,即1x ∀≥-,2e 2x x a xe <-恒成立 令2()2xx e g x xe =-,1x ≥-,则min ()a g x <()()1x x g x e x e '=--,令()1x h x e x =--,1x ≥-()1x h x e '=-,[1,0)x ∈-时,()0h x '<,0x >时,()0h x '>故()h x 在[1,0)-递减,(0,)+∞递增,因此()(0)0h x h ≥=所以,()0g x '≥,故 ()g x 在[1,)-+∞递增 故21min2()(1)2e e g x g --+=-=,因此2122e e a --+<. 【点睛】不等式恒成立问题解决思路:一般参变分离、转化为最值问题.25.(1)1y x =-;(2)1,2⎡⎫+∞⎪⎢⎣⎭;(3)22,1e e ⎡⎫+∞⎪⎢-⎣⎭. 【分析】(1)先(1)11ln10f =--=,再求导211()1f x x x'=+-,从而可得切线的斜率为11(1)1111f '=+-=,然后利用点斜式写出切线方程即可; (2)先求出导函数,要使()f x 在定义域(0,)+∞内是增函数,只需()0f x '≥在(0,)+∞内恒成立,然后将a 分离,利用基本不等式可求出实数a 的取值范围;(3)根据()e g x x=在[1,e]上的单调性求出函数的值域,然后根据(2)可求出()f x 的最大值,要使在[1,e]上至少存在一点0x ,使得()()00f x g x ≥成立,只需max min ()()f x g x ≥,然后建立不等式,即可求出实数a 的取值范围【详解】(1)当1a =时,函数1()ln f x x x x=--, ∴(1)11ln10f =--=,211()1f x x x '=+-, 曲线()f x 在点(1,(1))f 处的切线的斜率为11(1)1111f '=+-=.从而曲线()f x 在点(1,(1))f 处的切线方程为01y x -=-,即1y x =-, (2)2221()a ax x a f x a x x x-+'=+-=. . 要使()f x 在定义域(0,)+∞内是增函数,只需()0f x '≥在(0,)+∞内恒成立.即:20ax x a -+≥得2111x a x x x≥=++恒成立. ∵12x x +≥,∴1112x x≤+,∴12a ≥. ∴()f x 在(0,)+∞内为增函数,实数a 的取值范围是1,2⎡⎫+∞⎪⎢⎣⎭法二:2221()a ax x a f x a x x x-+'=+-= 当0a ≤时,()0f x '<在定义域内恒成立,不合题意舍当0a >时,2140a ∆=->即102a <<方程20ax x a -+=有两解1x ,2x , 1210x x a+=>,1210x x => 故20ax x a -+=在(0,)+∞恒有两解,()0f x '≥不恒成立,不合题意舍去; 2140a ∆=-≤即12a ≥,20ax x a -+≥即22()0ax x a f x x -+'=≥在(0,)+∞内恒成立,函数()f x 在其定义域内为增函数所以实数a 的取值范围是1,2⎡⎫+∞⎪⎢⎣⎭(3)∵()e g x x=在[1,]e 上是减函数 ∴x e =时,min ()1g x =,1x =时,max ()g x e =,即()[1,]g x e ∈ 由(2)知,当12a ≥;在定义域(0,)+∞内是增函数,即1()1,1f x a e e ⎡⎤⎛⎫∈--- ⎪⎢⎥⎝⎭⎣⎦ 存在0[1,]x e ∈,()()00f x g x ≥只需满足max min ()()f x g x ≥,[1,e]x ∈, 即1ln 1a e e e ⎛⎫--≥ ⎪⎝⎭,解得221e a e ≥- . ∴实数a 的取值范围是22,1e e ⎡⎫+∞⎪⎢-⎣⎭ 【点睛】此题考查了导数的几何意义,考查利用导数研究函数的单调性和最值,考查了数学转化思想,属于中档题26.(1)1,6a b ==-;(2) 4ln39-.【分析】试题分析:(1)求出函数的导数f x ,根据()f x 极值点为1,2,列出方程组,即可求解,a b 的值;(2)由(1)中得2()64ln f x x x x =-+,可得42(1)(2)()26x x f x x x x--⇒=-+'=,得出函数的单调性,即可求解()f x 在区间 (0,3]上的最大值.试题 (1)由2()4ln f x ax bx x =++得 4()2f x ax b x'=++,(0,)x ∈+∞依题意有()()1240{1,62420f a b a b f a b =++=⇒==-=+'+=' (2)由(1)得,2()64ln f x x x x =-+42(1)(2)()26x x f x x x x--⇒=-+'=,(0,3]x ∈由'()001f x x >⇒<<或 23x <<;'()012f x x <⇒<<;所以()f x 在 (0,1)上递增,在(1,2)上递减,在 (2,3)上递增所以()f x 在区间 (0,3]上的1x =或 3x =处取得最大值由(1)5=-f , (3)4ln395f =->-max ()(3)4ln 39f x f ⇒==-考点:利用导数研究函数的单调性;利用导数研究函数的极值与最值.【方法点晴】本题主要考查了利用导数研究函数的单调性、利用导数研究函数的极值与最值,其中解答中涉及到导数的运算公式、方程组的计算等,本题的解答中,正确利用导数的四则运算公式,求解函数的导数,利用函数的极值和导数的符号得出函数的单调性是解答的关键,着重考查了学号的推理与运算能力,属于中档试题.。
一、选择题1.已知奇函数()f x 在(),-∞+∞上单调递减,且()11f =-,则“1x >-”是“()1xf x <”的( )A .充分不必要条件B .必要不充分条件C .充要条件D .既不充分也不必要条件.2.已知变量()()12,0,0x x m m ∈>,且12x x <,若2112x x x x <恒成立,则m 的最大值为(e 2.71828=为自然对数的底数)( )A .eB .eC .1eD .13.已知定义在R 上的奇函数()f x 满足()()2f x xf'x 0->(x 0>),则( )A .()()()6f 13f 22f 3->->-B .()()()2f 33f 26f 1->->-C .()()()6f 12f 33f 2->->-D .()()()3f 22f 36f 1->->-4.已知a ,b 为正实数,直线y x a =-与曲线ln()y x b =+相切,则12a b+的最小值是( ) A .42B .22C .342+D .322+5.已知()1()2ln 0f x a x x a x ⎛⎫-⎪⎝⎭=->在[1)+∞,上为单调递增函数,则a 的取值范围为( )A .[0)+∞,B .(0)+∞,C .(1)+∞,D .[1)+∞, 6.已知定义在R 上函数()f x 的导函数为()f x ',()0,πx ∀∈,有()()sin cos f x x f x x '<,且()()0f x f x +-=.设π24a f ⎛⎫= ⎪⎝⎭,23π33b f ⎛⎫=-- ⎪⎝⎭,π2c f ⎛⎫= ⎪⎝⎭,则( ).A .a b c <<B .b c a <<C .a c b <<D .c b a <<7.已知函数()f x 的图象如图所示,则()f x 可以为( )A .()3x xf x e=B .()x x xf x e e -=- C .()xx f x e = D .()xf x xe =8.已知函数()2ln 1f x x x =--,则()y f x =的图象大致为( )A .B .C .D .9.函数f (x )=x ﹣g (x )的图象在点x =2处的切线方程是y =﹣x ﹣1,则g (2)+g '(2)=( ) A .7B .4C .0D .﹣410.已知函数2()f x x ax =-(1x e e≤≤,e 为自然对数的底数)与()x g x e =的图象上存在关于直线y x =对称的点,则实数a 的取值范围是( )A .11,e e⎡⎤+⎢⎥⎣⎦B .11,e e ⎡⎤-⎢⎥⎣⎦C .11,e e e e ⎡⎤-+⎢⎥⎣⎦D .1,e e e ⎡⎤-⎢⎥⎣⎦11.设曲线12x y x +=-在点(1,2)-处的切线与直线0ax by c -+=垂直,则ab 的值为( ) A .13B .13-C .3D .-312.已知函数2()sin cos f x x x x x =++,则不等式1(ln )(ln )2(1)0f x f f x+-<的解集为( ) A .(,)e +∞B .(0,)eC .1(,)e eD .1(0,)(1,)e e二、填空题13.曲线()1xf x e x=-在点()()1,1f 处的切线的方程为_______. 14.已知曲线()f x lnx =在点00())(x f x ,处的切线经过点(0,1),则0x 的值为___.15.已知实数x ,y 满足12x >,12y >,且2445ln 521x x y y x -++-=-,则x y +=________.16.已知抛物线2y ax bx c =++过点()1,1,且在点()2,1-处与直线3y x =-相切,则a =__________,b =____________,c =_________________.17.已知()f x 是定义在R 上的奇函数,(1)0f =,且对任意0x >都有()()0x f x f x '⋅->成立,则不等式2()0x f x ⋅>的解集是______.18.已知101098109810()(21)f x x a x a x a x a x a =-=+++++,则222223344C a C a C a ++21010C a ++= _________.19.已知函数()f x sinx cosx =+,()'f x 是()f x 的导函数,若()()00'2f x f x =,则2020012sin x cos x sin x +=-______. 20.已知函数322()3f x x ax bx a =+++,若函数()()sin 2g x f x x =+在点(0,(0))g 处的切线平行于x 轴,则实数b 的值是________.三、解答题21.已知函数(),()1x f x e g x ax ==-,其中 2.71828e =⋅⋅⋅为自然对数的底数. (1)讨论函数()()()h x f x g x =⋅的单调性;(2)设N ,()()a f x g x +∈≥恒成立,求a 的最大值(ln 3 1.1,ln 20.69)≈≈. 22.已知函数()ln ()f x x ax a R =-∈. (1)讨论函数()f x 的单调性;(2)证明不等式2()x e ax f x --≥恒成立.23.(1)①已知1()1xx f x e x-+=-,求()2f '. ②已知ln 1()xx f x e+=求()1f '. (2)求过点()11Q -,的曲线32y x x =-的切线方程. 24.运动员小王在一个如图所示的半圆形水域(O 为圆心,AB 是半圆的直径)进行体育训练,小王先从点A 出发,沿着线段AP 游泳至半圆上某点P 处,再从点P 沿着弧PB 跑步至点B 处,最后沿着线段BA 骑自行车回到点A 处,本次训练结束.已知1500m OA =,小王游泳、跑步、骑自行车的平均速度分别为2m /s ,4m /s ,10m /s ,设θ∠=PAO 弧度.(1)试将小王本次训练的时间t 表示为θ的函数()t θ,并写出θ的范围; (2)请判断小王本次训练时间能否超过40分钟,并说明理由. (参考公式:弧长l r α=,其中r 为扇形半径,α为扇形圆心角.) 25.已知函数()x f x e ax =-.(1)当0a >时,设函数()f x 的最小值为()g a ,证明:()1g a ≤; (2)若函数21()()2h x f x x =-有两个极值点1x ,212()x x x <,证明:12()()2h x h x +>. 26.若函数24()2ln 3f x ax x x =+-在1x =处取得极值. (1)求a 的值;(2)求函数()f x 的单调区间及极值.【参考答案】***试卷处理标记,请不要删除一、选择题 1.B 解析:B 【分析】根据奇函数的定义和单调性可确定()f x 和()f x '的符号,由奇偶性定义可知()g x 为偶函数,利用导数可确定()g x 单调性;根据()()111g g =-=,利用单调性可求得()1xf x <的解集,根据推出关系可确定结论. 【详解】()f x 为(),-∞+∞上的奇函数,∴()00f =,又()f x 单调递减,∴当0x <时,()0f x >;当0x >时,()0f x <,且()0f x '≤, 令()()g x xf x =,则()()()()g x xf x xf x g x -=--==,()g x ∴为偶函数, 当0x ≥时,()0xf x ≤;当0x <时,()0xf x <;()()g x xf x ∴=-,()()()()()g x f x xf x f x xf x '''∴=--=-+⎡⎤⎣⎦当0x ≥时,()0f x ≤,()0g x '∴≥,()g x ∴在[)0,+∞上单调递增,由偶函数对称性知:()g x 在(],0-∞上单调递减;()()()1111g g f =-=-=,∴由()()1g x xf x =<得:11x -<<,()()1,11,≠-⊂-+∞,∴“1x >-”是“()1xf x <”的必要不充分条件.故选:B. 【点睛】结论点睛:本题考查充分条件与必要条件的判断,一般可根据如下规则判断: (1)若p 是q 的必要不充分条件,则q 对应集合是p 对应集合的真子集; (2)若p 是q 的充分不必要条件, 则p 对应集合是q 对应集合的真子集; (3)若p 是q 的充分必要条件,则p 对应集合与q 对应集合相等;(4)若p 是q 的既不充分又不必要条件, 则q 对应的集合与p 对应集合互不包含.2.A解析:A 【分析】不等式两边同时取对数,然后构造函数()ln xf x x=,求函数的导数,研究函数的单调性即可得到结论. 【详解】21122112ln ln x x x x x x x x <⇒<,()12,0,,0x x m m ∈>,1212ln ln x x x x ∴<恒成立, 设函数()ln xf x x=,12x x <,()()12f x f x <, ()f x ∴在()0,m 上为增函数,函数的导数()21ln xf x x-'=, ()00f x x e '>⇒<<,即函数()f x 的增区间是()0,e ,则m 的最大值为e . 故选:A 【点睛】关键点点睛:本题考查利用函数研究函数的单调性,本题的关键点是对已知等式变形,211212211212ln ln ln ln x x x x x x x x x x x x <⇒<⇒<,转化为求函数()ln x f x x=的单调区间. 3.B解析:B 【分析】根据条件的结构特点构造函数,利用导数以及已知条件判断函数的单调性,然后转化求解即可.【详解】设g (x )=()2x f x ,定义在R 上的奇函数f (x ),所以g (x )是奇函数,x >0时,g′(x )=()()()()22'x f x xf x fx -,因为函数f (x )满足2f (x )﹣xf'(x )>0(x >0),所以g′(x )>0,所以g (x )是增函数,g (g =()11f -,可得:((()2361f f f ->>. 故选B . 【点睛】本题主要考查了函数的单调性的应用,其中解答中构造新函数()()2x g x f x =,利用导数得到函数()g x 的单调性,利用函数的单调性进行比较是解答的关键,着重考查了分析问题和解答问题的能力,属于中档试题.4.D解析:D 【分析】由导数的几何意义转化条件得1a b +=,进而可得1223b a a b a b+=++,由基本不等式即可得解. 【详解】因为函数ln()y x b =+的导数1y x b'=+, 由切线的方程y x a =-可得切线的斜率为1, 所以11x b=+即切点的横坐标为1b -,所以切点为(1,0)b -, 代入y x a =-得10b a --=,即1a b +=, 又a 、b 为正实数,所以()12122333b a a b a b a b a b ⎛⎫+=++=++≥+=+ ⎪⎝⎭,当且仅当1a =,2b =.所以12a b +的最小值是3+. 故选:D. 【点睛】本题考查了导数几何意义及基本不等式的应用,考查了运算求解能力与转化化归思想,属于中档题.5.D解析:D 【分析】首先求导,由题意转化为在[1,)x ∈+∞,220ax x a -+≥恒成立,即221xa x ≥+在[1,)+∞上恒成立.再利用基本不等式求出221xx +的最大值即可. 【详解】222()ax x af x x-+'=,(0)a > 因为()f x 在[1,)+∞上为单调递增,等价于220ax x a -+≥恒成立. 即221xa x ≥+在[1,)+∞上恒成立. 因为222111x x x x x x=≤=++,当1x =时,取“=”, 所以1a ≥,即a 的范围为[1,)+∞. 故选:D 【点睛】本题主要考查利用导数的单调区间求参数的问题,同时考查了学生的转化思想,属于中档题.6.D解析:D 【分析】 首先设函数()()sin f x g x x=,判断函数的单调性,和奇偶性,利用函数的性质比较大小. 【详解】 设()()sin f x g x x=, ()()()()()()sin sin sin f x f x f x g x g x x x x---====--,即()()g x g x -=,所以函数()g x 是偶函数, 并且()()()2sin cos 0sin f x x f x xg x x'-'=<,所以函数()g x 在()0,π单调递减,444sin4fa gππππ⎛⎫⎪⎛⎫⎛⎫⎝⎭===⎪ ⎪⎝⎭⎝⎭,3333sin3fb f g gπππππ⎛⎫- ⎪⎛⎫⎛⎫⎛⎫⎝⎭=-==-=⎪ ⎪ ⎪⎛⎫⎝⎭⎝⎭⎝⎭-⎪⎝⎭,222sin2fc f gππππ⎛⎫⎪⎛⎫⎛⎫⎝⎭===⎪ ⎪⎝⎭⎝⎭,因为0432ππππ<<<<,所以432g g gπππ⎛⎫⎛⎫⎛⎫>>⎪ ⎪ ⎪⎝⎭⎝⎭⎝⎭,即a b c>>.故选:D【点睛】本题考查导数与函数性质的综合应用,重点考查构造函数,利用函数的性质比较大小,属于中档题型.7.A解析:A【分析】由图象可知,函数()y f x=为R上的奇函数,且在()0,∞+上先增后减,然后逐项分析各选项中函数()y f x=的定义域、奇偶性及其在区间()0,∞+上的单调性,结合排除法可得出正确选项.【详解】由图象可知,函数()y f x=为R上的奇函数,且在()0,∞+上先增后减.对于A选项,函数()3xxf xe=的定义域为R,()()x xx xf x f xe e---==-=-,该函数为奇函数,当0x>时,()xxf xe=,()1x xf xe-'=.当01x<<时,()0f x'>,此时函数()y f x=单调递增;当1x>时,()0f x'<,此时函数()y f x=单调递减,合乎题意;对于B选项,函数()x xxf xe e-=-的定义域为{}0x x≠,不合乎题意;对于C选项,函数()xxf xe=的定义域为R,()1f e-=-,()11fe=,()()11f f -≠-,该函数不是奇函数,不合乎题意;对于D 选项,函数()xf x xe =的定义域为R ,当0x >时,()xf x xe =,()()10x f x x e '=+>,该函数在区间()0,∞+上单调递增,不合乎题意.故选:A. 【点睛】本题考查函数图象的识别,一般从函数的定义域、奇偶性、单调性、零点以及函数值符号来判断,结合排除法求解,考查分析问题和解决问题的能力,属于中等题.8.A解析:A 【分析】利用函数的定义域和函数的值域排除BD ,通过函数的单调性排除C ,推出结果即可. 【详解】令()ln 1g x x x =--,则11()1x g x x x-'=-=, 由()0g x '>得1x >,即函数()g x 在(1,)+∞上单调递增, 由()0g x '<得01x <<,即函数()g x 在(0,1)上单调递减, 所以当1x =时,()()min 10g x g ==, 于是对任意(0,1)(1,)x ∈+∞,有()0g x >,则()0f x >,故排除BD ,因为函数()g x 在()0,1单调递减,则函数()f x 在()0,1递增,故排除C. 故选:A. 【点睛】本题考查利用导数对函数图象辨别,属于中档题.9.A解析:A 【解析】()()()(),'1'f x x g x f x g x =-∴=-,因为函数()()f x x g x =-的图像在点2x =处的切线方程是1y x =--,所以()()23,'21f f =-=-,()()()()2'2221'27g g f f ∴+=-+-=,故选A . 10.A解析:A 【分析】根据题意可将问题转化为方程2ln x ax x -=在1,e e⎡⎤⎢⎥⎣⎦上有解,分离参数可得2ln x x a x -=,令()2ln x xh x x-=,利用导数求出()h x 值域即可求解. 【详解】因为函数2()f x x ax =-(1x e e≤≤)与()x g x e =的图象上存在关于直线y x =对称的点, 则函数2()f x x ax =-(1x e e≤≤,e 为自然对数的底数) 与函数()ln g x x =的图象有交点, 即2ln x ax x -=在1,e e⎡⎤⎢⎥⎣⎦上有解,即2ln x x a x-=在1,e e ⎡⎤⎢⎥⎣⎦上有解,令()2ln x xh x x-=,(1x e e ≤≤),()221ln x x h x x-+'=, 当11x e≤<时,()0h x '<,函数为减函数, 当1x e <≤时,()0h x '>,函数为增函数, 故1x =时,函数取得最小值1,当1=x e 时,11h e e e ⎛⎫=+ ⎪⎝⎭,当x e =时,()h e e =, 故实数a 的取值范围是11,e e⎡⎤+⎢⎥⎣⎦.故选:A 【点睛】本题考查了利用导数求函数的最值,考查了转化与化归的思想,考查了计算求解能力,属于中档题.11.A解析:A 【分析】 求得函数12x y x +=-在点1x =处的导数,结合两直线的位置关系,即可求解. 【详解】由题意,曲线12x y x +=-,可得()()2221322x x y x x ---'==---,所以1|3x y ='=-,即曲线12x y x +=-在点(1,2)-处的切线的斜率为3k =-, 因为曲线12x y x +=-在点(1,2)-处的切线与直线0ax by c -+=垂直, 所以(3)1a b ⨯-=-,解得13a b =. 故选:A.【点睛】本题主要考查了导数的几何意义的应用,其中解答中熟练应用导数求解曲线在某点处的切线的斜率,结合两直线的位置关系,列出方程求解是解答的关键,着重考查推理与运算能力,属于基础题.12.C解析:C【分析】先判断出()f x 为R 上的偶函数,再利用当0x >时,()'0f x >得到函数的单调性,从而可解原不等式.【详解】因为()()()()22()sin cos sin cos f x x x x x x x x x f x -=--+-+-=++=,所以()f x 为R 上的偶函数, 又1(ln )(ln )2(1)0f x f f x+-<等价于(ln )(ln )2(1)0f x f x f +--<即:(ln )(1)f x f <, ()'()sin cos sin 22cos f x x x x x x x x =+-+=+,当0x >时,()'0f x >,故()f x 在()0,∞+为增函数,故(ln )(1)f x f <等价于ln 1x <即1ln 1x -<<即1x e e <<,故不等式的解集为1e e ⎛⎫ ⎪⎝⎭,,故选C. 【点睛】对于偶函数()f x ,其单调性在两侧是相反的,并且()()()f x f x f x ==-,对于奇函数()g x ,其单调性在两侧是相同的.另外解函数不等式要利用函数的单调性去掉对应法则f .二、填空题13.【分析】求得函数的导数得到结合直线的点斜式方程即可求解【详解】由题意函数可得所以即所求切线的斜率为又由所以所求切线的方程为可得即所以所求切线的方程为故答案为:【点睛】本题主要考查了利用导数的几何意义 解析:20ex x y +--=【分析】求得函数的导数()21'x f x e x=+,得到()'11f e =+,结合直线的点斜式方程,即可求解. 【详解】由题意,函数()1x f x e x =-,可得()21'x f x e x=+,所以()'11f e =+, 即所求切线的斜率为1k e =+,又由()11f e =-,所以所求切线的方程为()()1'1y f k x f -=-⎡⎤⎣⎦,可得()()()111y e e x --=+-,即()()()111y e e x e --=+-+.所以所求切线的方程为20ex x y +--=.故答案为:20ex x y +--=.【点睛】本题主要考查了利用导数的几何意义求解曲线在某点处的切线方程,其中解答中熟记导数的几何意义,以及曲线在某点处的切线方程的求法是解答的关键,着重考查推理与运算能力.14.e2【分析】求导得则斜率为写出切线方程切线经过原点代入化简即可得出结果【详解】函数的导数为所以切线斜率为所以切线方程为因为切线过点所以代入切线方程得解得故答案为:【点睛】本题主要考查导数的运算及其几 解析:e 2【分析】 求导得1()f x x '=,则斜率为001()k f x x '==,写出切线方程,切线经过原点(0,1)代入化简即可得出结果.【详解】 函数的导数为1()f x x'=,所以切线斜率为001()k f x x '==, 所以切线方程为0001ln ()y x x x x -=-,因为切线过点(0,1), 所以代入切线方程得0ln 2x =,解得20x e =.故答案为:2e .【点睛】本题主要考查导数的运算及其几何意义,属于基础题.15.【分析】利用基本不等式及利用导数研究函数的单调性及最值从而得解;【详解】解:因为所以当且仅当即时取等号;当时令则令解得令解得即函数在上单调递增在上单调递减故所以恒成立即当且仅当时取等号即当且仅当时取解析:52【分析】利用基本不等式及利用导数研究函数的单调性及最值,从而得解;【详解】 解:因为12x >,所以()()222144454214212121x x x x x x x -+-+==-+≥=---,当且仅当()42121x x -=-即32x =时取等号; 当0x >时,令()ln 1g x x x =-+,则()111x g x x x -'=-=,令()0g x '>,解得01x <<,令()0g x '<,解得1x >,即函数()g x 在()0,1上单调递增,在()1,+∞上单调递减,故()()max 10g x g ==,所以()0g x ≤恒成立,即ln 1≤-x x ,当且仅当1x =时取等号,即ln 1y y ≤-,当且仅当1y =时取等号,所以2445ln 521x x y y x -++-≥-,当且仅当32x =,1y =时取等号,所以1y =,32x = 所以52x y +=故答案为:52【点睛】本题考查基本不等式及导数的应用,属于中档题. 16.3-119【分析】先求函数的导函数再由题意知函数过点且在点处的切线的斜率为1即分别将三个条件代入函数及导函数解方程即可【详解】解:由于抛物线过点则又因为点处与直线相切即切线的斜率为1即又因为切点为把 解析:3 -11 9【分析】先求函数2y ax bx c =++的导函数'()f x ,再由题意知,函数过点(1,1),(2,1)-,且在点(2,1)-处的切线的斜率为1,即()'21f =,分别将三个条件代入函数及导函数,解方程即可.【详解】解:由于抛物线2y ax bx c =++过点()1,1, 则()11f =,1a b c ∴++=,又'()2f x ax b =+,因为2y ax bx c =++点()2,1-处与直线3y x =-相切,即切线的斜率为1,即()21f '=,41a b ∴+=.又因为切点为(2,1)-,421a b c ∴++=-.把①②③联立得方程组14142 1.a b c a b a b c ++=⎧⎪+=⎨⎪++=-⎩,解得:3119a b c =⎧⎪=-⎨⎪=⎩,即3a =,11b =-,9c =.故答案为:3,-11,9.【点睛】本题考查导数的几何意义及其应用,利用方程的思想求参数的值,考查计算能力. 17.【分析】令可证为偶函数且为上的增函数考虑当时的解及当时的解它们的并是所求不等式的解集【详解】等价于令则当时有故为上的增函数而故当时的解为故当时的解为因故为偶函数当时等价于因为偶函数故当时的解为即当时 解析:(1,0)(1,) 【分析】令()()f x g x x=,可证()g x 为偶函数且为()0,∞+上的增函数,考虑当0x >时,()0g x >的解及当0x <时,()0g x <的解,它们的并是所求不等式的解集.【详解】2()0x f x ⋅>等价于0()0x f x ≠⎧⎨>⎩, 令()()f x g x x =,则()()()2''xf x f x g x x -=, 当0x >时,有()'0g x >,故()g x 为()0,∞+上的增函数,而()10g =,故当0x >时,()0g x >的解为()1,+∞,故当0x >时,()0f x >的解为()1,+∞,因()()()()f x f x g x g x x x--===-,故()g x 为偶函数, 当0x >时,()0f x >等价于()0g x <,因()g x 为偶函数,故当0x <时,()0g x <的解为()1,0-即当0x <时,()0f x >的解为()1,0-,综上,2()0x f x ⋅>的解集是(1,0)(1,),填(1,0)(1,).【点睛】如果题设中有关于函数()f x 及其导数()'f x 的不等式,我们应具体该式的形式构建新函数并且新函数的单调性可根据题设中的不等式得到,构建新函数时可借鉴导数的运算规则. 18.【解析】【分析】根据f (x )的展开式结合求导出现所求的式子再令x=1则可得到结果【详解】∵∴=20两边再同时进行求导可得:180令x=1则有180∴a2a3a4a10=180【点睛】本题考查了二项式解析:180【解析】【分析】根据f (x )的展开式,结合求导出现所求的式子,再令x=1,则可得到结果.【详解】∵()()10109810981021f x x a x a x a x a x a =-=+++++,∴()f x '=20()998710981211098x a x a x a x a ,-=++++两边再同时进行求导可得:180()88761098222110998872x a x a x a x a ⨯-=⨯+⨯+⨯++, 令x=1,则有18010982210998872a a a a ⨯=⨯+⨯+⨯++∴22C a 223C +a 324C +a 4210C ++a 10 ()109821109988722a a a a =⨯+⨯+⨯++=180. 【点睛】 本题考查了二项式展开式的应用问题,考查了导数法及赋值法的应用,考查了计算能力,属于中档题. 19.【分析】求出导函数后由可得再结合可得又化简可得代入求值可得即为所求【详解】∵∴由得∴∵由得又∴把代入得:∴故答案为【点睛】本题考查同角三角函数关系式解题时注意公式的灵活应用和变形同时注意整体代换在解 解析:1115【分析】求出导函数后由()()00'2f x f x =可得003cosx sinx =-,再结合22001sin x cos x +=可得20110sin x =.又化简可得22002200011215sin x sin x cos x sin x sin x ++=-+,代入求值可得20201111515sin x sin x +=+,即为所求. 【详解】∵()f x sinx cosx =+,∴()'f x cosx sinx =-,由()()00'2f x f x =,得000022cosx sinx sinx cosx -=+,∴003cosx sinx =-, ∵()2222000022220000000001111.21212315sin x sin x sin x sin x cos x sin x sin x sinx cosx sin x sinx sinx sin x ++++===---⋅---+①由003cosx sinx =-,得22009cos x sin x =,又22001sin x cos x +=, ∴201.10sin x =② 把②代入①得:20201111515sin x sin x +=+. ∴20200111215sin x cos x sin x +=-. 故答案为1115. 【点睛】 本题考查同角三角函数关系式,解题时注意公式的灵活应用和变形,同时注意整体代换在解题中的作用,属于基础题.20.【分析】求g (x )的导数可得x=0处切线的斜率由两直线平行的条件:斜率相等得方程解方程可得b 的值【详解】函数g (x )=f (x )+sin2x=x3+2ax2+bx+a2+sin2x 则g′(x )=3x2解析:2-【分析】求g (x )的导数,可得x=0处,切线的斜率,由两直线平行的条件:斜率相等,得方程,解方程可得b 的值.【详解】函数g (x )=f (x )+sin2x=x 3+2ax 2+bx+a 2+sin2x则g′(x )=3x 2+4ax+b+2cos2x ,可得g (x )在x=0处的切线的斜率为b+2,由题意可得b+2=0,可得b=-2.【点睛】本题考查了通过导数求切线的斜率,考查了两直线平行的条件:斜率相等;解答本题的关键是列出函数的导数等于切线斜率的方程.三、解答题21.(1)答案见解析;(2)3.【分析】(1)求函数导数得()(1)x h x e ax a -'=+,再分0a =、0a >和0a <,由导数的正负判断单调性即可;(2)设函数()()()1x F x f x g x e ax =-=-+,通过求导得min ()(ln )ln 10F x F a a a a ==-+≥,再构造()ln 1G a a a a =-+,1a ≥,求导数根据单调性,结合零点存在性定理即可得解.【详解】(1)由题意得()()()(1)x h x f x g x e ax =⋅=-,则()(1)(1)x x x h x e ax ae e ax a =-+=-+'当0a =时,()0x h x e =-<'恒成立,函数()h x 单调递减;当0a >时,令()0h x '>得1a x a ->,令()0h x '<得1a x a -<, 函数()h x 在1,a a -⎛⎫+∞ ⎪⎝⎭单调递增,在1,a a -⎛⎫-∞ ⎪⎝⎭单调递减. 当0a <时,令()0h x '>得1a x a -<,令()0h x '<得1a x a->, 函数()h x 在1,a a -⎛⎫-∞ ⎪⎝⎭单调递增,在1,a a -⎛⎫+∞ ⎪⎝⎭单调递减. (2)设函数()()()1x F x f x g x e ax =-=-+,所以()xF x e a =-',令()0F x '=得ln ,(0)x a a =>. 当ln x a <时,()0F x '<;当ln x a >时,()0F x '>所以()F x 在(,ln )a -∞上单调递减,在(ln ,)a +∞上单调递增,所以min ()(ln )ln 1F x F a a a a ==-+因为要使得()()f x g x ≥恒成立,只要()0F x ≥恒成立即min ()(ln )ln 10F x F a a a a ==-+≥设()ln 1G a a a a =-+,1a ≥∴()ln 0G a a =-≤',∴()G a 在1a ≥上单调递减,又(3)33ln 314 3.30G =-+≈->,(4)44ln 415 5.520G =-+≈-<,且()G a 图象连续不断,又a N +∈,所以满足条件的a 的最大值为3.【点睛】思路点睛:由不等式恒成立(或能成立)求参数时,一般可对不等式变形,分离参数,根据分离参数后的结果,构造函数,由导数的方法求出函数的最值,进而可求出结果;有时也可根据不等式,直接构成函数,根据导数的方法,利用分类讨论求函数的最值,即可得出结果.22.(1)答案见解析;(2)证明见解析.【分析】(1)求出函数导数,讨论a 的范围结合导数即可得出单调性;(2)构造函数2()ln x x e x ϕ-=-,利用导数可得()x ϕ'在(0,)+∞上有唯一实数根0x ,且012x <<,则可得()0()0x x ϕϕ≥>,即得证.【详解】(1)11()(0)ax f x a x x x-'=-=>, 当0a ≤时,()0f x '>,所以()f x 在(0,)+∞上单调递增;当0a >时,令()0f x '=,得到1x a =, 所以当10,x a ⎛⎫∈ ⎪⎝⎭时,()0f x '>,()f x 单调递增,当1,x a ⎛⎫∈+∞ ⎪⎝⎭,()0f x '<,()f x 单调递减.综上所述,当0a ≤时,()f x 在(0,)+∞上单调递增;当0a >时,()f x 在10,a ⎛⎫ ⎪⎝⎭上单调递增,在1,a ⎛⎫+∞ ⎪⎝⎭上单调递减. (2)设函数2()ln x x e x ϕ-=-, 则21()x x e xϕ-'=-,可知()x ϕ'在(0,)+∞上单调递增. 又由(1)0ϕ'<,(2)0ϕ'>知,()x ϕ'在(0,)+∞上有唯一实数根0x ,且012x <<,则()020010x x e x ϕ-'=-=,即0201x e x -=. 当()00,x x ∈时,()0x ϕ'<,()ϕx 单调递减;当()0x x ∈+∞时,()0x ϕ'>,()ϕx 单调递增; 所以()0200()ln x x x e x ϕϕ-≥=-,结合0201x e x -=,知002ln x x -=-, 所以()()22000000001211()20x x x x x x x x x ϕϕ--+≥=+-==>, 则2()ln 0x x ex ϕ-=->, 即不等式2()x eax f x --≥恒成立. 【点睛】关键点睛:本题考查不等式恒成立的证明,解题的关键是转化为证明2()ln x x e x ϕ-=-的最小值大于0.23.(1)①()225f e -'=;②()10f '=;(2)20x y --=或5410x y +-=.【分析】(1)①先求出导数,然后代值计算即可.②先求出导数,然后代值计算即可;(2)设()00,P x y 为切点,切线的斜率为()20032f x x '=-,切线方程可表示为2000(32)()y y x x x -=--,再将已知点()11Q -,代入切线方程中求出切点坐标,最后写出切线方程即可.【详解】(1)①221()(1)x x f x e x -+'=-,()225f e -'=. ②1ln ()x x x f x xe--'=,()10f '=; (2)设()00,P x y 为切点,则切线的斜率为()20032f x x '=-,故切线方程为2000(32)()y y x x x -=--,即320000(2(32))()y x x x x x --=--, 又知切线过点()11-,,代入上式得3200001(2(2)3)(1)x x x x ---=--, 即32002310x x -+=,解得01x =或012x =-, 故所求的切线方程为:11y x +=-或51(1)4y x +=--, 即20x y --=或5410x y +-=.【点睛】方法点睛:求曲线经过某点的切线方程的方法:(1)设出切点坐标()00,x y ;(2)列关于0x 与0y 的方程组,求解方程组,进而求切线斜率;(3)写出问题的结论.24.(1)()1500300,0,22t cos θπθθθ⎛⎫⎛⎫=++∈ ⎪ ⎪⎝⎭⎝⎭;(2)不能超过40分钟,理由见解析.【分析】(1)在OAP △中,得到2AP OAcos θ=, 在扇形OPB 中,()2PB OA θ=⋅,再由2BA OA =,然后根据小王游泳、跑步、骑自行车的平均速度分别为2m /s ,4m /s ,10m /s 求解.(2)根据(1)的结果,利用导数法求解.【详解】(1)在OAP △中,23000AP OAcos cos θθ==,在扇形OPB 中,()23000PB OA θθ=⋅=,又23000BA OA ==,所以小王本次训练的总时间:()2410P A A t B P B θ=++ 3000300030002410cos θθ=++. 15003002cos θθ⎛⎫=++ ⎪⎝⎭,0,2πθ⎛⎫∈ ⎪⎝⎭. (2)由(1)得()1'15002t sin θθ⎛⎫=--⎪⎝⎭, 令()'0t θ=,得12sin θ=,6πθ∴=, 列表如下,从上表可知,当6θ=时,()t θ取得极大值,且是最大值,()t θ∴的最大值是1500cos 3006612t πππ⎛⎫⎛⎫=++ ⎪ ⎪⎝⎭⎝⎭ 125300π=+, 32<, 3.2π<,7502125 3.230022006t π⎛⎫∴<⨯+⨯+= ⎪⎝⎭. 22004060<⨯,∴小王本次训练时间不能超过40分钟.【点睛】本题主要考查函数的建模问题以及函数的最值与导数,还考查了运算求解的能力,属于中档题.25.(1)证明见解析;(2)证明见解析.【分析】(1)对函数()f x 求导,根据导数的方法判定其单调性,得出min ()ln f x a a a =-,令()ln (0)g x x x x x =->,用导函数的方法求其最大值,即可得出结论成立;(2)对函数()h x 求导,根据导数的方法判定其单调性,得到21()()h x h x -≤,推出22212222()()()()x x h x h x h x h x e e x -+≥-+=+-,令2()(0)x x m x e e x x -=+-≥,对其求导,根据导数的方法求出最小,即可得出结论成立.【详解】证明:(1)由()x f x e ax =-得()(0)x f x e a a =->',令()0f x '=,解得ln x a =,当ln x a >时,()0f x '>,即函数()f x 单调递增;当ln x a <时,()0f x '<,即函数()f x 单调递减;min ()(ln )ln f x f a a a a ∴==-,所以()ln (0)g a a a a a =->,令()ln (0)g x x x x x =->,则()ln g x x '=-,令()0g x '=,解得1x =,∴当(0,1)x ∈时,()0g x '>,即函数()g x 单调递增;当(1,)x ∈+∞时,()0g x '<,即函数()g x 单调递减;max ()(1)1g x g ∴==,()1g x ∴≤,∴当0a >时,()1g a ≤;(2)由21()2x h x e ax x =--得()x h x e a x '=--, 令()x x e a x ϕ=--,()1x x e ϕ'=-,令()0x ϕ'=,解得0x =,当0x >时,()0x ϕ'>,即()ϕx 单调递增; 当0x <时,()0x ϕ'<,即()ϕx 单调递减; min ()(0)1x a ϕϕ∴==-,又函数()h x 有两个极值点,10a ∴-<,1a ∴>,且120x x <<,当1(,)x x ∈-∞时,()h x 单调递增;当()1,0x x ∈时,()h x 单调递减;∴当(,0)x ∈-∞时,1()()h x h x ≤,又2(,0)x -∈-∞,21()()h x h x ∴-≤,∴22212222()()()()x x h x h x h x h x e e x -+≥-+=+-,令2()(0)x x m x e e x x -=+-≥,则1()2x x m x e x e =--' 令()()n x m x '=,1()20x x n x e e=+-≥', ()n x ∴在[)0,+∞上单调递增,()()(0)0m x n x n ∴=≥=',()m x ∴在[)0,+∞上单调递增,()(0)2m x m ∴≥=,20x >,∴22222()2x x m x e e x -=+->即22()()2h x h x -+>,12()()2h x h x ∴+>.【点睛】本题主要考查由导数的方法证明不等式,熟记导数的方法判断函数单调性,求函数最值即可,属于常考题型.26.(1)13-(2)单调递增区间是(1,2),单调递减区间是(0,1),(2,)+∞,极小值为5(1)3f =,极大值为84(2)ln 233f =-. 【详解】 试题分析:(1)求出原函数的导函数,由函数在x=1时的导数为0列式求得a 的值;(2)把(1)中求出的a 值代入24()a 2ln 3f x x x x =+-,求其导函数,得到导函数的零点,由导函数的零点对定义域分段,利用导函数在不同区间段内的符号求单调期间,进一步求得极值点,代入原函数求得极值.试题(1)4()223f x ax x +-'=,由2(1)203f a ='+=,得13a =-. (2)214()2ln (0)33f x x x x x =-+->,242(1)(2)()2333x x f x x x x ----'=-+=. 由()0f x '=,得1x =或2x =.当()0f x '>时12x <<;②当()0f x '<时01x <<或2x >.当x 变化时()'f x ,()f x 的变化情况如下表:因此,的单调递增区间是,单调递减区间是(0,1),(2,)+∞.函数的极小值为5(1)3f=,极大值为84(2)ln233f=-.考点:利用导数求过曲线上某点处的切线方程;利用导数研究函数的单调性。
一、选择题1.已知关于x 的方程ln 2ln x a x -=有三个不等的实数根,则实数a 的取值范围是( ) A .1,2e ⎛⎫+∞⎪⎝⎭B .21,4e ⎛⎫+∞⎪⎝⎭C .(),e +∞D .()2,e +∞2.设ln 2ln 3ln ,,23a b c ππ===则下列判断中正确的是( ) A .a b c >> B .b c a >> C .a c b >>D .c b a >>3.已知()1()2ln 0f x a x x a x ⎛⎫-⎪⎝⎭=->在[1)+∞,上为单调递增函数,则a 的取值范围为( )A .[0)+∞,B .(0)+∞,C .(1)+∞,D .[1)+∞, 4.已知函数()21,20ln ,0x x f x x x e⎧--≤≤=⎨<≤⎩,方程()f x a =恰有两个不同的实数根1x 、()212x x x <,则212x x +的最小值与最大值的和( )A .2e +B .2C .36e -+D .34e -+5.定义域为R 的函数()f x 的导函数为()f x ',满足()()f x f x '<,若()01f =,则不等式()xf x e >的解集为( )A .()01,B .()1+∞,C .()1-∞,D .()0-∞,6.设函数()f x =若曲线sin y x =上存在点()00,x y ,使得()()00f f y y =,则实数a 的取值范围是( )A .[]1,2e +B .13,1e -⎡⎤-⎣⎦C .[]1,1e +D .13,1e e --⎡⎤+⎣⎦7.已知定义在R 上的函数()f x 满足(3)16f =,且()f x 的导函数'()41f x x <-,则不等式2()21f x x x <-+的解集为( ) A .{}|33x x -<< B .{}|3x x >- C .{}|3x x >D .{|3x x <-或3x8.已知点M 在函数()x f x e =图象上,点N 在函数()ln g x x =图象上,则||MN 的最小值为( )A .1BC .2D .39.已知函数()y f x =对任意的(,)22x ππ∈-满足()cos ()sin 0f x x f x x '+>(其中()'f x 是函数()f x 的导函数),则下列不等式成立的是( )A .(0)2()4f f π>B .2()()34f f ππ< C .(0)2()3f f π>D .2()()34f f ππ-<-10.已知()f x 是定义在R 上的可导函数,()f x y e '=的图象如下图所示,则()y f x =的单调减区间是( )A .(),1-∞-B .(),2-∞C .()0,1D .()1,211.已知函数()cos ln f x x x =-+,则()1f '的值为( ) A .sin11- B .1sin1- C .1sin1+ D .1sin1--12.已知函数f x =x+cosx (),则f'=6π⎛⎫⎪⎝⎭( ) A .12B .32C .31D 3第II 卷(非选择题)请点击修改第II 卷的文字说明参考答案二、填空题13.已知k 为常数,函数2,0()1ln ,0x x f x x x x +⎧≤⎪=-⎨⎪>⎩,若关于x 的函数()()2g x f x kx =--有4个零点,则实数k 的取值范围为________.14.函数()sin cos f x x x x =+在,6ππ⎡⎤⎢⎥⎣⎦上的最大值为________. 15.函数2()ln(3)f x x ax =--在(1,)+∞上单调递增,则实数a 的取值范围是______. 16.已知()y f x =是奇函数,当(0,2)x ∈时,1()()2f x lnx ax a =->,当(2,0)x ∈-时,()f x 的最小值为1,则a =________.17.已知抛物线2y ax bx c =++过点()1,1,且在点()2,1-处与直线3y x =-相切,则a =__________,b =____________,c =_________________.18.若()ln f x x =与()2g x x ax =+两个函数的图象有一条与直线y x =平行的公共切线,则a =_________. 19.已知函数(a ≤0),函数,若不存在,使,则实数的取值范围为___.20.曲线2ln(1)y x =+在点(0,0)处的切线方程为__________.三、解答题21.已知函数()22ln f x x ax a x =-+(a ∈R ).(1)若()f x 在区间[]1,2上是单调函数,求实数a 的取值范围;(2)若存在[]01,x e ∈,使得()()0020f x a x +-≥成立,求实数a 的取值范围. 22.已知a 为实数,函数3233()22f x x ax x a =+++ (1)若函数()f x 的图象上有与x 轴平行的切线,求a 的取值范围;(2)若(1)0f '-=,对任意1x ,[]21,0x ∈-,不等式()()12f x f x m -≤恒成立,求m 的最小值.23.已知函数32121()332a f x ax x x +=++, (1)当2a =时,求函数()f x 的单调区间与极值;(2)是否存在正实数a ,使得函数()f x 在区间[1,1]-上为减函数?若存在,请求a 的取值范围;若不存在,请说明理由.24.已知函数2()ln f x a x x =+.其中a R ∈. (1)讨论函数()y f x =的单调性;(2)当1a =,求证:2()1f x x x +-.25.已知R a ∈,函数()1ln f x ax x =--在1x =处取得极值. (1)求函数()f x 的单调区间;(2)若对()0,x ∀∈+∞,()2f x bx ≥-恒成立,求实数b 的最大值.26.已知函数()ln f x x x =.(1)求曲线()y f x =在点()()1,1f 处的切线方程; (2)求()f x 的单调区间;(3)若对于任意1,x e e⎡⎤∈⎢⎥⎣⎦,都有()1f x ax ≤-,求实数a 的取值范围.【参考答案】***试卷处理标记,请不要删除一、选择题 1.B 解析:B 【分析】方程有三个解转化直线ln y x a =-与函数2ln y x =有三个交点,作出函数2ln y x =的图象,作出直线ln y x a =-,可知,只要求得直线ln y x a =-与函数2ln y x =的图象相切a 的什值,即可得结论. 【详解】转为直线ln y x a =-与函数2ln y x =有三个交点.显然当0x <时,有一个交点:当0x >时,只需ln y x a =-与2ln y x =有两个交点即可. 由2'1y x==,得2x =,ln y x a =-与2ln y x =相切时,切点坐标为()2,2ln 2, 此时24e a =. 由图象可知,当2,4e a ⎛⎫∈+∞ ⎪⎝⎭时,关于x 的方程ln 2ln x a x -=有三个不等的实数根.故选:B .【点睛】关键点点睛:本题考查方程根的个数问题,解题方法是转化为直线与函数图象交点个数,进而转化为研究函数的性质,本题是用导数求出函数的切线方程方程.然后结合图象可得结论.2.B解析:B 【分析】 构造函数()ln xf x x=,利用导数分析()f x 的单调性,从而判断出,,a b c 的大小关系. 【详解】 设()ln x f x x =,所以()21ln xf x x-'=,令()0f x '=,所以x e =, 所以()0,x e ∈时,()0f x '>,()f x 单调递增;(),x e ∈+∞,()0f x '<,()f x 单调递减,因为()ln 22ln 2ln 44244f ===,且()()()34f f f π>>,所以b c a >>, 故选:B. 【点睛】方法点睛:利用构造函数思想比较大小的方法:(1)先分析所构造函数的导函数,由此分析出函数的单调性; (2)先比较处于同一单调区间的函数值大小;(3)再通过一定方法(函数性质、取中间值等)将非同一单调区间的函数值转化到同一单调区间,即可完成比较大小.3.D解析:D 【分析】首先求导,由题意转化为在[1,)x ∈+∞,220ax x a -+≥恒成立,即221xa x ≥+在[1,)+∞上恒成立.再利用基本不等式求出221xx +的最大值即可. 【详解】222()ax x af x x-+'=,(0)a > 因为()f x 在[1,)+∞上为单调递增,等价于220ax x a -+≥恒成立. 即221xa x ≥+在[1,)+∞上恒成立. 因为222111x x x x x x=≤=++,当1x =时,取“=”, 所以1a ≥,即a 的范围为[1,)+∞.故选:D 【点睛】本题主要考查利用导数的单调区间求参数的问题,同时考查了学生的转化思想,属于中档题.4.C解析:C 【分析】作出函数()y f x =的图象,数形结合可得出实数a 的取值范围,将21x 、2x 用a 表示,可将212x x +表示为以a 为自变量的函数,利用导数可求得212x x +的最大值和最小值,进而可求得结果. 【详解】作出函数()y f x =的图象如下图所示:由图象可知,当31a -≤≤时,直线y a =与函数()y f x =的图象有两个交点()1,x a 、()2,x a ,12x x <,则2121ln x a x a ⎧-=⎨=⎩,可得2121ax a x e⎧=-⎨=⎩,则2121ax x e a +=-+, 构造函数()1xx g x e =-+,其中31x -≤≤,则()1xg x e '=-.当-<3≤0x 时,()0g x '<,此时函数()y g x =单调递减; 当01x <≤时,()0g x '>,此时函数()y g x =单调递增. 所以,()()min 02g x g ==,()334g e --=+,()1g e =,显然()()31g g ->,()()3max 34g x g e -∴=-=+.因此,212x x +的最大值和最小值之和为33426e e --++=+. 故选:C. 【点睛】本题考查利用导数求解代数式的最值,解题的关键就是将212x x +表示为以a 为自变量的函数,考查计算能力,属于中等题.5.D解析:D 【分析】 构造函数()()x f x g x e=,用导数法得到()g x 在R 上递减,然后由()01f =,得到()01g =,再利用函数的单调性定义求解.【详解】 令()()x f x g x e=,因为()()f x f x '<, 则()()()0xf x f xg x e'-'=<, 所以()g x 在R 上递减, 又()01f =,则()01g =, 不等式()xf x e >等价于()()10xf xg e>= , 所以0x <. 故选:D 【点睛】本题主要考查函导数与函数的单调性以及函数单调性解不等式,还考查了构造函数求解问题的能力,属于中档题.6.A解析:A 【分析】由题意可得存在0[0y ∈,1],使00()f y y =成立,即()f x x =在[0,1]上有解,即23x a e x x =+-,[0x ∈,1].利用导数可得函数的单调性,根据单调性求函数的值域,可得a 的范围.【详解】由题意可得00sin [1y x =∈-,1],0()f y 曲线sin y x =上存在点0(x ,0)y 使得00(())f f y y =,∴存在0[0y ∈,1],使00()f y y =成立.函数()f x = 下面证明00()f y y =.假设00()f y c y =>,则0(())f f y f =(c )00()f y c y >=>,不满足00(())f f y y =. 同理假设00()f y c y =<,则不满足00(())f f y y =. 综上可得:00()f y y =.则问题等价于方程()f x x =,[0,1]x ∈有解,即23x x e x a =+-在[0,1]x ∈有解,分离参数可得23x a e x x =+-,令2()3xg x e x x =+-,∵()320,[0,1]x g x e x x '=+->∈,所以函数()g x 在[0,1]上单调递增, 所以1(0)()(1)2g g x g e =≤≤=+,所以12a e ≤≤+. 故选:A. 【点睛】本题主要考查正弦函数的图象和性质,利用导数研究函数的单调性,由单调性求函数的值域,体现了转化的数学思想,属于中档题.7.C解析:C 【分析】根据题意,设2()()21g x f x x x =-+-,求导分析可得()0g x '<,即函数()g x 在R 上为减函数,则原不等式可以转化为()()3g x g <,结合函数的单调性分析可得答案. 【详解】解:根据题意,设2()()21g x f x x x =-+-,其导数()()41g x f x x '='-+, 又由()41f x x '<-,即()410f x x '-+<, 则()0g x '<,即函数()g x 在R 上为减函数,又由f (3)16=,则g (3)f =(3)18310-+-=, ()()22()21()2103f x x x f x x x g x g <-+⇒-+-<⇒<,又由函数()g x 为减函数,则有3x >,则不等式2()21f x x x <-+的解集为{|3}x x >; 故选:C . 【点睛】本题考查函数的导数与函数单调性的关系,涉及不等式的求解,根据条件构造函数,利用函数的单调性和导数之间的关系是解决本题的关键,属于中档题.8.B解析:B 【分析】根据函数()xf x e =与函数()lng x x =互为反函数,将问题转化为求函数()xf x e =的图象与直线y x =平行的切线的切点00(,)x y 到直线y x =的距离的两倍,利用导数求出切点坐标,根据点到直线的距离公式可得结果. 【详解】因为函数()x f x e =与函数()ln g x x =互为反函数,它们的图象关于直线y x =对称,所以||MN 的最小值为函数()xf x e =的图象上的点M 到直线y x =的距离的2倍,即为函数()xf x e =的图象与直线y x =平行的切线的切点00(,)x y 到直线y x =的距离的两倍,因为()xf x e '=,所以函数()xf x e =的图象上与直线y x =平行的切线的斜率01x k e ==,所以00x =,所以切点为(0,1),它到直线y x =的距离2d ==, 所以||MN故选:B. 【点睛】本题考查了互为反函数的图象的对称性,考查了导数的几何意义,属于中档题.9.D解析:D 【分析】 构造函数()()cos f x F x x=,利用函数()'F x 导数判断函数()F x 的单调性,将ππππ0,,,,3434x =--代入函数()F x ,根据单调性选出正确的选项.【详解】构造函数()()cos f x F x x=,依题意()()()2cos sin 0cos f x x f x xF x x+='>',故函数在定义域上为增函数,由()π04F F ⎛⎫< ⎪⎝⎭得()π04πcos 0cos4f f ⎛⎫ ⎪⎝⎭<,即()π04f ⎛⎫< ⎪⎝⎭,排除A 选项.由ππ34F F ⎛⎫⎛⎫> ⎪ ⎪⎝⎭⎝⎭得ππ34ππcos cos34f f ⎛⎫⎛⎫ ⎪ ⎪⎝⎭⎝⎭>ππ34f ⎛⎫⎛⎫> ⎪ ⎪⎝⎭⎝⎭,排除B 选项.由()π03F F ⎛⎫< ⎪⎝⎭得()π03πcos 0cos3f f ⎛⎫ ⎪⎝⎭<,即()π023f f⎛⎫< ⎪⎝⎭,排除C ,选项. 由ππ34F F ⎛⎫⎛⎫-<- ⎪ ⎪⎝⎭⎝⎭得ππ34ππcos cos 34f f ⎛⎫⎛⎫-- ⎪ ⎪⎝⎭⎝⎭<⎛⎫⎛⎫-- ⎪ ⎪⎝⎭⎝⎭ππ34f ⎛⎫⎛⎫-<- ⎪ ⎪⎝⎭⎝⎭,D 选项正确,故选D. 【点睛】本小题主要考查构造函数法比较大小,考查函数导数的概念,考查函数导数运算,属于基础题.10.B解析:B 【解析】分析:先根据图像求出()1f x e '≤,即得()0f x '≤,也即得结果. 详解:因为当2x ≤时,()1f x e '≤,所以当2x ≤时,()0f x '≤, 所以()y f x =的单调减区间是(),2-∞, 选B.点睛:函数单调性问题,往往转化为导函数符号是否变号或怎样变号问题,经常转化为解方程或不等式.11.C解析:C 【分析】根据导数的运算法则先求出函数的导数()f x '的解析式,再把1x =代入()f x '的解析式运算求得结果. 【详解】∵函数()cos ln f x x x =-+,∴()1sin f x x x'=+, ∴()1sin11f ='+,故选C. 【点睛】本题主要考查求函数的导数,导数的加减法则的应用,属于基础题.12.A解析:A 【分析】求导,将6x π=代入即可求出6f π⎛⎫ ⎪⎝⎭'..【详解】已知函数f x =x+cosx,'x =1-sinx,f ∴()() 则 11sin .662f ππ⎛⎫=-'= ⎪⎝⎭故选A. 【点睛】本题考查函数在一点处的导数的求法,属基础题.二、填空题13.【分析】将x 的函数有4个零点转化为与有4个不同的交点然后利用数形结合法求解【详解】因为函数有4个零点所以与有4个不同的交点在同一坐标系中作出与的图象如图所示:当时单调递减与有一个交点则;所以当时有3解析:310,e ⎛⎫ ⎪⎝⎭【分析】将x 的函数()()2g x f x kx =--有4个零点,转化为()y f x =与2y kx =+有4个不同的交点,然后利用数形结合法求解. 【详解】因为函数()()2g x f x kx =--有4个零点, 所以()y f x =与2y kx =+有4个不同的交点,在同一坐标系中作出()y f x =与2y kx =+的图象,如图所示:当0x ≤时,311y x =+-单调递减, 与2y kx =+有一个交点,则0k >; 所以当0x >时,有3个交点,求出2y kx =+与|ln |y x =相切时的k 值, 当1x >时,设切点为()00,ln x x , 所以1y x'=,则01k x =, 所以切线方程为()0001ln y x x x x -=-, 又因为点()0,2在切线上, 所以则()00012ln 0x x x -=-, 解得30x e =,所以31k e=, 由图像知()()2g x f x kx =--有4个零点,则310k e <<,故答案为: 310,e ⎛⎫⎪⎝⎭【点睛】方法点睛:函数零点个数问题:若方程可解,通过解方程即可得出参数的范围,若方程不易解或不可解,则将问题转化为构造两个函数,利用两个函数图象的关系求解,这样会使得问题变得直观、简单,这也体现了数形结合思想的应用.14.【分析】先求导根据单调性求函数最大值即可【详解】因为当时函数递增当时函数递减所以故答案为:【点睛】易错点睛:求函数的最值注意要把极值和端点函数值比较取其最小或最大不确定时要分类讨论解析:2π 【分析】 先求导,根据单调性求函数最大值即可. 【详解】因为()sin cos sin cos f x x x x x x x '=+-=,当,62x ππ⎡⎤∈⎢⎥⎣⎦时,()0f x '≥,函数()f x 递增, 当,2x π⎛⎤∈π⎥⎝⎦时,()0f x '<,函数()f x 递减, 所以max ()sin cos 22222f x f πππππ⎛⎫==+= ⎪⎝⎭. 故答案为:2π. 【点睛】易错点睛:求函数的最值注意要把极值和端点函数值比较,取其最小或最大,不确定时要分类讨论.15.【分析】结合复合函数增减性和二次函数单调性及对数函数真数的定义域列出不等式组即可求解【详解】由在上单调递增可知即设则即解得综上所述故答案为:【点睛】本题考查由复合函数在定区间的单调性求解参数取值范围 解析:(],2-∞-【分析】结合复合函数增减性和二次函数单调性及对数函数真数的定义域列出不等式组,即可求解 【详解】由2()ln(3)f x x ax =--在(1,)+∞上单调递增可知12ax =≤,即2a ≤ 设()23g x x ax =--,则()10g ≥,即20a --≥,解得2a ≤- 综上所述,2a ≤-故答案为:(],2-∞- 【点睛】本题考查由复合函数在定区间的单调性求解参数取值范围,易错点为忽略对数函数中真数的取值范围,属于中档题16.1【分析】根据函数的奇偶性确定在上的最大值为求导函数确定函数的单调性求出最值即可求得的值【详解】是奇函数时的最小值为1在上的最大值为当时令得又令则在上递增;令则在上递减得故答案为:1【点睛】本题考查解析:1 【分析】根据函数的奇偶性,确定()f x 在(0,2)上的最大值为1-,求导函数,确定函数的单调性,求出最值,即可求得a 的值. 【详解】()f x 是奇函数,(2,0)x ∈-时,()f x 的最小值为1,()f x ∴在(0,2)上的最大值为1-,当(0,2)x ∈时,1()f x a x'=-, 令()0f x '=得1x a =,又12a >,102a ∴<<,令()0f x '>,则1x a <,()f x ∴在1(0,)a 上递增;令()0f x '<,则1x a>, ()f x ∴在1(a,2)上递减,111()()1max f x f ln aaaa ∴==-=-,10ln a∴=,得1a =. 故答案为:1. 【点睛】本题考查函数单调性与奇偶性的结合,考查导数知识的运用,考查学生的计算能力,属于中档题.17.3-119【分析】先求函数的导函数再由题意知函数过点且在点处的切线的斜率为1即分别将三个条件代入函数及导函数解方程即可【详解】解:由于抛物线过点则又因为点处与直线相切即切线的斜率为1即又因为切点为把解析:3 -11 9 【分析】先求函数2y ax bx c =++的导函数'()f x ,再由题意知,函数过点(1,1),(2,1)-,且在点(2,1)-处的切线的斜率为1,即()'21f =,分别将三个条件代入函数及导函数,解方程即可. 【详解】解:由于抛物线2y ax bx c =++过点()1,1,则()11f =,1a b c ∴++=,又'()2f x ax b =+,因为2y ax bx c =++点()2,1-处与直线3y x =-相切,即切线的斜率为1,即()21f '=, 41a b ∴+=.又因为切点为(2,1)-,421a b c ∴++=-.把①②③联立得方程组14142 1.a b c a b a b c ++=⎧⎪+=⎨⎪++=-⎩,解得:3119a b c =⎧⎪=-⎨⎪=⎩,即3a =,11b =-,9c =. 故答案为:3,-11,9. 【点睛】本题考查导数的几何意义及其应用,利用方程的思想求参数的值,考查计算能力.18.或【分析】在曲线上取切点利用导数得出得出的值可求出切线的方程再将该切线方程与二次函数解析式联立利用求出实数的取值范围【详解】在曲线上取切点由题意可得得切点坐标为则所求切线方程为由于直线与函数的图象相解析:3或1-. 【分析】在曲线()y f x =上取切点(),ln t t ,利用导数得出()1f t '=得出t 的值,可求出切线的方程,再将该切线方程与二次函数()2g x x ax =+解析式联立,利用0∆=求出实数a 的取值范围. 【详解】在曲线()y f x =上取切点(),ln t t ,()ln f x x =,()1f x x'∴=,由题意可得()11f t t'==,得1t =,切点坐标为()1,0,则所求切线方程为1y x =-. 由于直线1y x =-与函数()2g x x ax =+的图象相切,联立得21y x y x ax=-⎧⎨=+⎩, 消去y 并整理得()2110x a x +-+=,则()2214230a a a ∆=--=--=, 解得1a =-或3,故答案为3或1-. 【点睛】本题考查导数的几何意义,考查利用导数求切线方程,在求解直线与二次函数图象相切的问题,可以将直线方程与二次函数解析式联立,利用判别式为零来求解,考查分析问题和解决问题的能力,属于中等题.19.-10【解析】【分析】先求导分别求出导函数的最值再根据不存在x1x2∈R 使得f′(x1)=g′(x2)得到关于a 的不等式解得即可【详解】∵函数f (x )=ex ﹣ax 函数g (x )=﹣x3﹣ax2∴f′( 解析:【解析】 【分析】先求导,分别求出导函数的最值,再根据不存在x 1,x 2∈R ,使得f ′(x 1)=g ′(x 2),得到关于a 的不等式解得即可. 【详解】∵函数f (x )=e x ﹣ax ,函数g (x )=﹣x 3﹣ax 2, ∴f ′(x )=e x ﹣a >﹣a ,g ′(x )=﹣x 2﹣2ax =﹣(x )2,∵不存在x 1,x 2∈R ,使得f ′(x 1)=g ′(x 2), ∴,解得-1≤a ≤0,故答案为.【点睛】本题考查了导数的运算法则和函数的最值问题,以及不等式的解法,属于中档题.20.【分析】先求导数再根据导数几何意义得切线斜率最后根据点斜式求切线方程【详解】【点睛】求曲线的切线要注意过点P 的切线与在点P 处的切线的差异过点P 的切线中点P 不一定是切点点P 也不一定在已知曲线上而在点P 解析:2y x =【分析】先求导数,再根据导数几何意义得切线斜率,最后根据点斜式求切线方程. 【详解】2222101y k y x x =∴==∴=+'+ 【点睛】求曲线的切线要注意“过点P 的切线”与“在点P 处的切线”的差异,过点P 的切线中,点P 不一定是切点,点P 也不一定在已知曲线上,而在点P 处的切线,必以点P 为切点.三、解答题21.(1)2a ≤或83a ≥;(2)()e e 2,e 1-⎛⎤-∞ ⎥-⎝⎦.【分析】(1)转化条件为2221x a x ≤-或2220x ax a -+≤在[]1,2上恒成立,运算可得解;(2)转化条件为22ln -≤-x x a x x在区间[]1,e 上有解,结合导数确定22ln x xx x --在[]1,e 上的最大值即可得解. 【详解】(1)由题意,()22222a x ax af x x a x x-+'=-+=,若()f x 在区间[]1,2上是单调增加,则()0f x '≥即2221xa x ≤-在[]1,2上恒成立,设()()222111212221x x g x x x -==++--,易得()()min 12g x g ==, 故2a ≤;若()f x 在区间[]1,2上是单调减少,则()0f x '≤,即2220x ax a -+≤在[]1,2上恒成立,故只须222222021210a a a a ⎧⨯-⨯+≤⎨⨯-⨯+≤⎩,解得83a ≥, 综上,2a ≤或83a ≥; (2)由题意知,不等式()()0020f x a x +-≥在区间[]1,e 上有解, 即()22ln 0x x a x x -+-≥在区间[]1,e 上有解,因为当[]1,e x ∈时,ln 1x x ≤≤(不同时取等号),ln 0x x ->,所以22ln -≤-x xa x x在区间[]1,e 上有解,令()22ln x x h x x x -=-,则()()()()2122ln ln x x x h x x x -+-'=-, 因为[]1,e x ∈,所以222ln x x +>≥,所以()0h x '≥,()h x 在[]1,e 上单调递增, 所以[]1,e x ∈时,()()()max e e 2e e 1h x h -==-, 所以()e e 2e 1a -≤-,所以实数a 的取值范围是()e e 2,e 1-⎛⎤-∞ ⎥-⎝⎦.【点睛】关键点点睛:解决本题的关键是将有解问题转化为求函数最值的问题,结合导数即可得解.22.(1),22a ⎛⎡⎫-∈-∞-⋃+∞ ⎪⎢ ⎪⎝⎦⎣⎭;(2)516. 【分析】(1)函数()f x 的图象上有与x 轴平行的切线,即()0f x '=有实数解,利用判别式大于等于零解出a 的取值范围;(2)由(1)0f '-=可得a 值,令()0f x '=解出方程根,得出函数的单调性和最值,代入不等式可得m 的取值范围,进而得出m 的最小值. 【详解】 (1)3233()22f x x ax x a =+++23()322f x x ax '∴=++. 由题意知()0f x '=有实数解.2344302a ∴∆=-⨯⨯≥292a ∴≥,即2a ≤-或2a ≥.故,22a ⎛⎡⎫-∈-∞-⋃+∞ ⎪⎢ ⎪⎝⎦⎣⎭ (2)(1)0f '-=,33202a ∴-+=,即94a =. 231()323(1)22f x x ax x x ⎛⎫'=++=++ ⎪⎝⎭,令()0f x '=得112x =-,21x =-. 则()f x 在11,2⎛⎫--⎪⎝⎭单调递减,在1,02⎛⎫- ⎪⎝⎭单调递增, 当[]1,0x ∈-时,25(1)8f -=,149216f ⎛⎫-= ⎪⎝⎭,27(0)8f =,max 27()(0)8f x f ∴==,min 149()216f x f ⎛⎫=-= ⎪⎝⎭. 故1x ,[]21,0x ∈-时,()()12f x f x -≤max min 5()()16f x f x -=所以516m ≥,即m 的最小值为516. 【点睛】关键点点睛:本题考查导数的几何意义,考查利用导数研究函数的单调性和最值,解决本题的关键点是将()()12f x f x m -≤恒成立,转化为求()()12f x f x -的最大值,即求max min ()()f x f x -,代入不等式可得参数m 的最小值,考查了学生转化思想和计算能力,属于中档题.23.(1)()f x 的增区间为32⎛⎫∞ ⎪⎝⎭-,-,()+∞-1,,()f x 的减区间为32⎛⎫⎪⎝⎭-,-1;()f x 的极大值为98-,()f x 的极小值为76-;(2)不存在;答案见解析.【分析】(1)2a =代入函数解析式,利用导数求函数的单调区间及极值; (2)利用导数在[]1,1-小于等于零可得答案.【详解】(1)当2a =时,2()(253)(1)(23)f x x x x x '=++=++,令()0f x '=,解得1x =-或 3-2x =,所以,()f x 的增区间为,2-∞-(),1+-∞(,), ()f x 的减区间为3,12--(),()f x 的极大值为39()28f -=-,.()f x 的极小值为7(1)6f -=-.(2)依题意:2()(21)30f x ax a x '=+++≤在[]1,1-上恒成立,又因为0a >,所以,0(1)0(1)0a f f ''>⎧⎪-≤⎨⎪≤⎩,.得0243a a a ⎧⎪>⎪≥⎨⎪⎪≤-⎩即无解.所以,不存在满足条件的正实数a . 【点睛】方法点睛:函数在某段区间上恒成立,可以用导数小于等于零,也可以变量分离,构造函数求最值.24.(1)当0a 时,函数()f x 在(0,)+∞上单调递增;当0a <时,函数()f x 在上单调递减,在)+∞上单调递增;(2)证明见解析. 【分析】(1)函数()f x 的定义域为(0,)+∞,对函数求导,按0a 和0a <时,分别判断导函数的符号,得到函数的单调区间.(2)当1a =时,2()f x lnx x =+,要证明2()1f x x x +-,即证10lnx x -+.构造()1g x lnx x =-+利用函数的导数,求解函数的极值,证出命题成立.【详解】(1)函数()f x 的定义域为(0,)+∞,22()2a a xf x x x x'+=+=,①当0a 时,()0f x '>,所以()f x 在(0,)+∞上单调递增,②当0a <时,令()0f x '=,解得x =当0x <<220a x +<,所以()0f x '<,所以()f x 在上单调递减;当x >220a x +>,所以()0f x '>,所以()f x 在)+∞上单调递增. 综上,当0a 时,函数()f x 在(0,)+∞上单调递增;当0a <时,函数()f x 在上单调递减,在)+∞上单调递增.(2)当1a =时,2()f x lnx x =+,要证明2()1f x x x +-,即证1lnx x -,即10lnx x -+.即10lnx x -+.设()1g x lnx x =-+则1()xg x x-'=,令()0g x '=得,1x =. 当(0,1)x ∈时,()0g x '>,当(1,)x ∈+∞时,()0g x '<.所以1x =为极大值点,也为最大值点所以()g x g (1)0=,即10lnx x -+.故2()1f x x x +-.【点睛】本题考查导数在函数中的应用,考查导数判断函数的单调性,考查导数解决不等式的证明,属于中档题.25.(1)函数()f x 在0,1上单调递减,在1,上单调递增;(2)211e -. 【分析】(1)首先对函数求导,根据函数()1ln f x ax x =--在1x =处取得极值,得到()110f a '=-=,求得1a =,根据导数的符号求得其单调区间;(2)将不等式转化为1ln 1x b x x +-≥,之后构造新函数()1ln 1x g x x x=+-,利用导数求得其最小值,进而求得最值,得到结果. 【详解】()11ax f x a x x -'=-=,由()110f a '=-=得1a =,()1ln =--f x x x , (1)()1x f x x -'=,由0f x 得1x >,由0f x得01x <<,故函数()f x 在0,1上单调递减,在1,上单调递增.(2)()1ln 21x f x bx b x x≥-⇒+-≥, 令()1ln 1x g x x x =+-,则()2ln 2x g x x -'=, 由0g x,得2x e >,由0g x ,得20x e <<,故()g x 在()20,e上递减,在()2e ,+∞上递增,∴()()22min 1e1e g x g ==-,即211e b ≤-, 故实数b 的最大值是211e -. 【点睛】该题考查的是有关应用导数研究函数的问题,涉及到的知识点有根据极值点求参数的值,利用导数求函数的单调区间,利用导数求参数的取值范围,属于中档题目.26.(1)1y x =-(2)()f x 的单调递增区间是1,e ⎛⎫+∞ ⎪⎝⎭;()f x 的单调递减区间是10,e ⎛⎫⎪⎝⎭(3)1a e ≥-. 【分析】(1)先求得导函数,由导数的几何意义求得切线的斜率,再求得切点坐标,即可由点斜式得切线方程;(2)求得导函数,并令()0f x '=求得极值点,结合导函数的符号即可判断函数单调区间;(3)将不等式变形,并分离参数后构造函数()1ln g x x x=+,求得()g x '并令()0g x '=求得极值点,结合极值点左右两侧的单调性和端点求得最值,即可确定a 的取值范围. 【详解】(1)因为函数()ln f x x x =, 所以()1ln ln 1f x x x x x'=+⋅=+,()1ln111f '=+=. 又因为()10f =,则切点坐标为()1,0,所以曲线()y f x =在点()1,0处的切线方程为1y x =-. (2)函数()ln f x x x =定义域为()0,∞+, 由(1)可知,()ln 1f x x '=+. 令()0f x '=解得1=x e.()f x 与()f x '在区间()0,∞+上的情况如下:所以,()f x 的单调递增区间是,e ⎛⎫+∞ ⎪⎝⎭; ()f x 的单调递减区间是10,e ⎛⎫ ⎪⎝⎭. (3)当1x e e≤≤时,“()1f x ax ≤-”等价于“1ln a x x ≥+”. 令()1ln g x x x =+,1,x e e ⎡⎤∈⎢⎥⎣⎦,()22111x g x x x x -'=-=,1,x e e ⎡⎤∈⎢⎥⎣⎦. 令()0g x '=解得1x =,当1,1x e ⎛⎫∈ ⎪⎝⎭时,()0g x '<,所以()g x 在区间1,1e ⎛⎫ ⎪⎝⎭单调递减.当()1,x e ∈时,()0g x '>,所以()g x 在区间()1,e 单调递增.而1ln 1 1.5g e e e e ⎛⎫=+=-> ⎪⎝⎭,()11ln 1 1.5g e e e e=+=+<. 所以()g x 在区间1,e e ⎡⎤⎢⎥⎣⎦上的最大值为11g e e ⎛⎫=- ⎪⎝⎭. 所以当1a e ≥-时,对于任意1,x e e⎡⎤∈⎢⎥⎣⎦,都有()1f x ax ≤-. 【点睛】本题考查了导数的几何意义,切线方程的求法,由导函数求函数的单调区间,分离参数法并构造函数研究参数的取值范围,由导数求函数在闭区间上的最值,属于中档题.。
一、选择题1.已知函数()322213x f x ax bx c ++=+,函数()f x 的两个极值点分别在区间()0,1与()1,2内,则2+a b 的取值范围为 ( )A .()3,1--B .()2,1--C .()1,-+∞D .()3,-+∞2.若函数()321233f x x x =+-在 区间(),5a a +内存在最小值,则实数a 的取值范围是( ) A .[)5,0-B .()5,0-C .[)3,0-D .()3,0-3.已知()21ln (0)2f x a x x a =+>,若对任意两个不等的正实数1x ,2x ,都有()()12122f x f x x x ->-恒成立,则a 的取值范围是( )A .(]0,1B .()1,+∞C .()0,1D .[)1,+∞4.记函数()cos2f x x =的导函数为()f x ',则函数()()()g x x f x '=+在[0,]x π∈内的单调递增区间是( ) A .0,2π⎡⎤⎢⎥⎣⎦B .,2ππ⎡⎤⎢⎥⎣⎦C .511,1212ππ⎡⎤⎢⎥⎣⎦D .5,12ππ⎡⎤⎢⎥⎣⎦5.函数()f x x =,2()=g x x 在[0,1]的平均变化率分别记为12,m m ,则下面结论正确的是A .12m m =B .12m m C .21m mD .12m m ,的大小无法确定6.已知a ,b 为正实数,直线y x a =-与曲线ln()y x b =+相切,则12a b+的最小值是( )A .B .C .3+D .3+7.已知函数f (x )(x ∈R )满足(1)1f =,且()f x 的导数f ′(x )>12,则不等式1()22x f x <+的解集( ) A .(-∞,1) B .(1,+∞)C .(-∞,-1]∪[1,+∞)D .(-1,1)8.已知函数()2ln 1f x x x =--,则()y f x =的图象大致为( )A .B .C .D .9.已知函数()[]1sin ,0,3f x x x x π=-∈且[]001cos ,0,3x x π=∈那么下列命题中真命题的序号是( )①()f x 的最大值为()0f x ; ②()f x 的最小值为()0f x ; ③()f x 在上[]0,π是减函数; ④()f x 在上[]0,x π上是减函数. A .①③B .①④C .②③D .②④10.已知函数()f x 的导函数()f x ,且满足2()32(2)f x x xf '=+,则(5)f '=( ) A .5B .6C .7D .-1211.已知函数2()f x x ax =-(1x e e≤≤,e 为自然对数的底数)与()x g x e =的图象上存在关于直线y x =对称的点,则实数a 的取值范围是( )A .11,e e⎡⎤+⎢⎥⎣⎦B .11,e e ⎡⎤-⎢⎥⎣⎦C .11,e e e e ⎡⎤-+⎢⎥⎣⎦D .1,e e e ⎡⎤-⎢⎥⎣⎦12.已知函数f x =x+cosx (),则f'=6π⎛⎫⎪⎝⎭( ) A .12B .32C .312-D .32第II 卷(非选择题)请点击修改第II 卷的文字说明参考答案二、填空题13.已知k 为常数,函数2,0()1ln ,0x x f x x x x +⎧≤⎪=-⎨⎪>⎩,若关于x 的函数()()2g x f x kx =--有4个零点,则实数k 的取值范围为________.14.若关于x 的不等式220x ax +-<在区间[1,4]上有解,则实数a 的取值范围为________.15.已知位移和时间的关系是321()2533s t t t t =++-,则2t =时的瞬时速度是_______ 16.当直线()10kx y k k --+=∈R 和曲线325:(0)3E y ax bx ab =++≠,交于()11,A x y ,()22,B x y ,()33,C x y ,()123x x x <<三点时,曲线E 在点A ,点C 处的切线总是平行的,则点(),b a 的坐标为____________. 17.若()()21ln 22f x x b x =-++在()1,-+∞上是减函数,则b 的取值范围是________.18.已知101098109810()(21)f x x a x a x a x a x a =-=+++++,则222223344C a C a C a ++21010C a ++= _________.19.已知函数f (x )=ln x -f ′ (12)x 2+3x -4,则f ′(1)=________. 20.设函数()f x 的导函数为'()f x ,若3'()52(1)f x x xf =+,则(3)f '=______.参考答案三、解答题21.已知函数(),()1x f x e g x ax ==-,其中 2.71828e =⋅⋅⋅为自然对数的底数. (1)讨论函数()()()h x f x g x =⋅的单调性;(2)设N ,()()a f x g x +∈≥恒成立,求a 的最大值(ln 3 1.1,ln 20.69)≈≈. 22.已知函数()2()(2,)xf x x ax a e a x R =++≤∈. (1)当1a =时,求()f x 的单调区间;(2)是否存在实数a ,使()f x 的极大值为3;若存在,求出a 的值,若不存在,请说明理由.23.已知函数2()ln (21)1()f x x ax a x a =+-++≥0. (1)当0a =时,求函数()f x 在区间[1,)+∞上的最大值;(2)函数()f x 在区间(1,)+∞上存在最小值,记为()g a ,求证:1()14g a a<-. 24.已知函数321()2()32a f x x x x a R =-+-∈. (1)当3a =时,求函数()f x 的单调递减区间;(2)若对于任意[)1,x ∈+∞都有()()21f x a '<-成立,求实数a 的取值范围. 25.已知函数()ln 1xf x ae x =--.(1)设2x =是()f x 的极值点,求a 的值; (2)证明;当1a e≥时,()0f x ≥. 26.已知函数()1ln f x ax x =--,a R ∈. (1)1a =时,求函数()f x 的单调区间;(2)若函数()f x 在1x =处取得极值,且对()0,x ∀∈+∞,()2f x bx ≥-恒成立,求实数b 的取值范围.参考答案【参考答案】***试卷处理标记,请不要删除一、选择题 1.B 解析:B 【分析】求得()22f x x ax b '=++,根据题意可得出()()()001020f f f '''⎧>⎪<⎨⎪>⎩,利用不等式的基本性质可求得2+a b 的取值范围. 【详解】由()322213x f x ax bx c ++=+,求导()22f x x ax b '=++,因为函数()f x 的两个极值点分别在区间()0,1与()1,2内,即方程220x ax b ++=的两个根分别在区间()0,1与()1,2内,即()()()020*********f b f a b f a b ⎧=>⎪=++<⎨⎪=++>''⎩',则0212b a b a b >⎧⎪+<-⎨⎪+>-⎩, 所以,()22a b a b b +=++>-. 综上所述,2+a b 的取值范围是()2,1--. 故选:B. 【点睛】方法点睛:本题考查利用二次函数的零点分布求参数,一般要分析以下几个要素: (1)二次项系数的符号; (2)判别式; (3)对称轴的位置; (4)区间端点函数值的符号. 结合图象得出关于参数的不等式组求解.2.C解析:C 【分析】利用导数求出函数()f x 的极小值为()203f =-,由题意可知()0,5a a ∈+,再由()()0f x f =求得x 的值,数形结合可得出实数a 的取值范围.【详解】解:由题意,()()222f x x x x x '=+=+,当2x <-或0x >时,()0f x '>;当20x -<<时,()0f x '<. 故()f x 在(),2-∞-,()0,∞+上是增函数,在()2,0-上是减函数, 所以,函数()f x 的极小值为()203f =-. 作其图象如图,令32122333x x +-=-得3230x x +=,解得0x =或3x =-, 结合图象可知3050a a -≤<⎧⎨+>⎩,解得,[)3,0a ∈-.故选:C. 【点睛】关键点点睛:本题考查利用函数在区间上存在最值求参数,解本题的关键就是弄清楚函数()f x 的极小值点在区间(),5a a +内,通过求得()()30f f -=,数形结合得出实数a 所满足的不等式组,综合性较强.3.D解析:D 【分析】 根据条件()()12122f x f x x x ->-可变形为112212()2[()]20f x x f x x x x --->-,构造函数()21()2ln ()202g x f x x a x a x x =-=+>-,利用其为增函数即可求解. 【详解】根据1212()()2f x f x x x ->-可知112212()2[()]20f x x f x x x x --->-, 令()21()2ln ()202g x f x x a x a x x =-=+>- 由112212()2[()]20f x x f x x x x --->-知()g x 为增函数,所以()()'200,0ag x x x a x=+-≥>>恒成立, 分离参数得()2a x x ≥-,而当0x >时,()2x x -在1x =时有最大值为1, 故1a ≥.故选:D 【点睛】关键点点睛:本题由条件()()12122f x f x x x ->-恒成立,转化为112212()2[()]20f x x f x x x x --->-恒成立是解题的关键,再根据此式知函数()21()2ln ()202g x f x x a x a x x =-=+>-为增函数,考查了推理分析能力,属于中档题. 4.C解析:C 【分析】先对函数()f x 求导,再利用辅助角公式化简,然后利用正弦函数图像和性质即可分增区间. 【详解】()cos2f x x =, ()'2sin 2f x x ∴=-,2()2sin 24sin 23g x x x x π⎛⎫=-=+⎪⎝⎭, 令2222232k x k πππππ-+≤+≤+, 解得71212k x k ππππ-+≤≤-+, ()g x ∴在[]0,π内的递增区间为511,1212ππ⎡⎤⎢⎥⎣⎦.故选:C . 【点睛】本题主要考查的是正弦复合函数的单调性以及单调区间的求解,以及复合函数的导数的求法,熟练掌握正弦函数图像和性质是解决本题的关键,是中档题.5.A解析:A 【解析】因为1m =1,21010m -=-=1,所以12m m =,选A. 6.D解析:D 【分析】由导数的几何意义转化条件得1a b +=,进而可得1223b a a b a b+=++,由基本不等式即可得解. 【详解】因为函数ln()y x b =+的导数1y x b'=+, 由切线的方程y x a =-可得切线的斜率为1, 所以11x b=+即切点的横坐标为1b -,所以切点为(1,0)b -, 代入y x a =-得10b a --=,即1a b +=, 又a 、b 为正实数,所以()12122333b a a b a b a b a b ⎛⎫+=++=++≥+=+ ⎪⎝⎭,当且仅当1a =,2b =.所以12a b +的最小值是3+. 故选:D. 【点睛】本题考查了导数几何意义及基本不等式的应用,考查了运算求解能力与转化化归思想,属于中档题.7.A解析:A 【分析】 根据f ′(x )>12,构造函数 ()()122x g x f x =-- ,又()()1111022=--=g f ,然后将不等式1()22x f x <+,转化为1()022--<x f x ,利用单调性的定义求解. 【详解】 因为f ′(x )>12, 所以()102f x '->所以()()()()()110222x g x f x g x f x g x =--⇒=->⇒'' 在R 上递增, 又()()1111022=--=g f , 所以不等式1()22x f x <+,即为1()022--<x f x , 即为:()()1g x g <,故选:A 【点睛】本题主要考查函数的单调性与导数以及单调性的应用,还考查了构造转化求解问题的能力,属于中档题.8.A解析:A 【分析】利用函数的定义域和函数的值域排除BD ,通过函数的单调性排除C ,推出结果即可. 【详解】令()ln 1g x x x =--,则11()1x g x x x-'=-=, 由()0g x '>得1x >,即函数()g x 在(1,)+∞上单调递增, 由()0g x '<得01x <<,即函数()g x 在(0,1)上单调递减, 所以当1x =时,()()min 10g x g ==, 于是对任意(0,1)(1,)x ∈+∞,有()0g x >,则()0f x >,故排除BD ,因为函数()g x 在()0,1单调递减,则函数()f x 在()0,1递增,故排除C. 故选:A. 【点睛】本题考查利用导数对函数图象辨别,属于中档题.9.B解析:B 【解析】本题考查导数及函数的最值、单调性 由()1sin 3f x x x =-得()/1cos 3f x x =- 令()/1cos 03fx x =-=有1cos 3x =;因为01cos 3x =,则0x 为函数()1sin 3f x x x =-的一个极值点.当[]0,x π∈时,函数cos y x =递减,所以当()00,x x ∈时()/0f x >,函数递增,则③错误,;当()0,x x π∈时()/0fx <,函数递减,④正确.故0x 是函数的一个极大值点且唯一,故此点也是最大值点,①正确,②错误. 故正确答案为①④ 所以本题选B10.B解析:B将()2f '看出常数利用导数的运算法则求出()f x ',令2x =求出()2f '代入()f x ',令5x =求出()5f '即可.【详解】 解:()2()322f x x xf '=+,()()622f x x f '∴=+', ()(2)1222f f '∴=+'(2)12f '∴=- ()624f x x '∴=- (5)65246f '∴=⨯-=故选B . 【点睛】本题主要考查了导数的运算法则,解题的关键是弄清()2f '是常数,属于基础题.11.A解析:A 【分析】根据题意可将问题转化为方程2ln x ax x -=在1,e e⎡⎤⎢⎥⎣⎦上有解,分离参数可得2ln x x a x -=,令()2ln x xh x x-=,利用导数求出()h x 值域即可求解. 【详解】因为函数2()f x x ax =-(1x e e≤≤)与()x g x e =的图象上存在关于直线y x =对称的点, 则函数2()f x x ax =-(1x e e≤≤,e 为自然对数的底数) 与函数()ln g x x =的图象有交点, 即2ln x ax x -=在1,e e⎡⎤⎢⎥⎣⎦上有解,即2ln x x a x-=在1,e e ⎡⎤⎢⎥⎣⎦上有解,令()2ln x xh x x-=,(1x e e ≤≤),()221ln x x h x x-+'=, 当11x e≤<时,()0h x '<,函数为减函数,当1x e <≤时,()0h x '>,函数为增函数,故1x =时,函数取得最小值1, 当1=x e 时,11h e e e ⎛⎫=+ ⎪⎝⎭, 当x e =时,()h e e =,故实数a 的取值范围是11,e e ⎡⎤+⎢⎥⎣⎦. 故选:A【点睛】本题考查了利用导数求函数的最值,考查了转化与化归的思想,考查了计算求解能力,属于中档题.12.A解析:A【分析】 求导,将6x π=代入即可求出6f π⎛⎫ ⎪⎝⎭'.. 【详解】 已知函数f x =x+cosx,'x =1-sinx,f ∴()() 则 11sin .662f ππ⎛⎫=-'= ⎪⎝⎭故选A.【点睛】本题考查函数在一点处的导数的求法,属基础题.二、填空题13.【分析】将x 的函数有4个零点转化为与有4个不同的交点然后利用数形结合法求解【详解】因为函数有4个零点所以与有4个不同的交点在同一坐标系中作出与的图象如图所示:当时单调递减与有一个交点则;所以当时有3 解析:310,e ⎛⎫ ⎪⎝⎭【分析】将x 的函数()()2g x f x kx =--有4个零点,转化为()y f x =与2y kx =+有4个不同的交点,然后利用数形结合法求解.【详解】因为函数()()2g x f x kx =--有4个零点,所以()y f x =与2y kx =+有4个不同的交点,在同一坐标系中作出()y f x =与2y kx =+的图象,如图所示:当0x ≤时,311y x =+-单调递减, 与2y kx =+有一个交点,则0k >;所以当0x >时,有3个交点,求出2y kx =+与|ln |y x =相切时的k 值,当1x >时,设切点为()00,ln x x , 所以1y x'=,则01k x =, 所以切线方程为()0001ln y x x x x -=-, 又因为点()0,2在切线上, 所以则()00012ln 0x x x -=-, 解得30x e =, 所以31k e=, 由图像知()()2g x f x kx =--有4个零点, 则310k e <<, 故答案为: 310,e ⎛⎫ ⎪⎝⎭【点睛】方法点睛:函数零点个数问题:若方程可解,通过解方程即可得出参数的范围,若方程不易解或不可解,则将问题转化为构造两个函数,利用两个函数图象的关系求解,这样会使得问题变得直观、简单,这也体现了数形结合思想的应用.14.【分析】本题现将不等式运用参变分离化简为再构造新函数求最大值最后求实数a 的取值范围【详解】解:∵不等式在区间上有解∴不等式在区间上有解∴不等式在区间上有解令()则∴当时单调递减∴不等式在区间上有解即 解析:(,1)-∞【分析】本题现将不等式220x ax +-<运用参变分离化简为2a x x<-,再构造新函数2()f x x x=-求最大值,最后求实数a 的取值范围. 【详解】解:∵ 不等式220x ax +-<在区间[1,4]上有解, ∴ 不等式22x a x-<在区间[1,4]上有解, ∴ 不等式2a x x <-在区间[1,4]上有解, 令2()f x x x =-,(14x ≤≤),则22'()1f x x=--, ∴ 当14x ≤≤时,'()0f x <,()f x 单调递减,∴ max 2()(1)111f x f ==-= 不等式2a x x <-在区间[1,4]上有解,即max ()a f x ∴1a <故答案为:(,1)-∞【点睛】本题考查不等式存在性问题,借导函数研究原函数单调性求最大值,是中档题. 15.17【分析】先求导再根据导数的定义求得时的瞬时速度是得解【详解】则时的瞬时速度故答案为:17【点睛】本题考查导数的定义在物理中的应用函数在处的瞬时变化率称函数在处的导数解析:17【分析】先求导,再根据导数的定义求得2t =时的瞬时速度是(2)s ',得解.【详解】321()2533s t t t t =++-,22()45=(2)1s t t t t '∴=++++ 则2t =时的瞬时速度2(2)(22)117v s '==++=故答案为:17【点睛】本题考查导数的定义在物理中的应用函数(=)y f x 在0=x x 处的瞬时变化率称函数(=)y f x 在0=x x 处的导数.16.【分析】由题意可知直线恒过定点由曲线在处的切线平行可得两点关于的对称中心对称故为的对称中心由对称性可得的方程求出的值即可【详解】∵曲线在点点处的切线总是平行的∴两点关于的对称中心对称故为的对称中心又 解析:113⎛⎫- ⎪⎝⎭, 【分析】由题意可知直线恒过定点()1,1,由曲线在,A C 处的切线平行,可得,A C 两点关于()f x 的对称中心对称,故B 为()f x 的对称中心,由对称性,可得,a b 的方程,求出,a b 的值即可.【详解】∵曲线E 在点A ,点C 处的切线总是平行的,∴,A C 两点关于()f x 的对称中心对称,故B 为()f x 的对称中心,又直线()10kx y k k --+=∈R 恒过点()1,1,∴()f x 的对称中心为()1,1,即()1,1B ,∴513a b ++=……① 由325:(0)3E y ax bx ab =++≠,可得232y ax bx '=+, 令2320y ax bx '=+=,可得223b a -=……② 由①②可得1,13a b ==-. 即(,)b a 的坐标为113⎛⎫- ⎪⎝⎭,,故答案为:113⎛⎫- ⎪⎝⎭,.【点睛】本题考查了导数的几何意义,函数对称性的应用,考查方程思想和运算能力,属于中档题. 17.【分析】由题意得出对任意的恒成立利用参变量分离法得出求出二次函数在区间上的值域即可得出实数的取值范围【详解】由于函数在上是减函数则对任意的恒成立即得二次函数在区间上为增函数则因此实数的取值范围是故答 解析:(],1-∞-【分析】由题意得出()0f x '≤对任意的()1,x ∈-+∞恒成立,利用参变量分离法得出22b x x ≤+,求出二次函数22y x x =+在区间()1,-+∞上的值域,即可得出实数b 的取值范围. 【详解】()()21ln 22f x x b x =-++,()2b f x x x '∴=-++, 由于函数()()21ln 22f x x b x =-++在()1,-+∞上是减函数, 则()0f x '≤对任意的()1,x ∈-+∞恒成立,即2b x x ≤+,得()222b x x x x ≤+=+, 二次函数22y x x =+在区间()1,-+∞上为增函数,则()()21211y >-+⨯-=-,1b ∴≤-.因此,实数b 的取值范围是(],1-∞-.故答案为:(],1-∞-.【点睛】本题考查利用函数在区间上的单调性求参数,一般转化为导数不等式在区间上恒成立,利用参变量分离法求解是一种常用的方法,考查化归与转化思想的应用,属于中等题. 18.【解析】【分析】根据f (x )的展开式结合求导出现所求的式子再令x=1则可得到结果【详解】∵∴=20两边再同时进行求导可得:180令x=1则有180∴a2a3a4a10=180【点睛】本题考查了二项式解析:180【解析】【分析】根据f (x )的展开式,结合求导出现所求的式子,再令x=1,则可得到结果.【详解】∵()()10109810981021f x x a x a x a x a x a =-=+++++,∴()f x '=20()998710981211098x a x a x a x a ,-=++++两边再同时进行求导可得:180()88761098222110998872x a x a x a x a ⨯-=⨯+⨯+⨯++, 令x=1,则有18010982210998872a a a a ⨯=⨯+⨯+⨯++∴22C a 223C +a 324C +a 4210C ++a 10 ()109821109988722a a a a =⨯+⨯+⨯++=180. 【点睛】 本题考查了二项式展开式的应用问题,考查了导数法及赋值法的应用,考查了计算能力,属于中档题. 19.-1【分析】根据题意由函数f (x )的解析式对其求导可得在其中令可得再令即可解可得f′(1)的值【详解】根据题意函数f(x)=lnx -f′()x2+3x -4其导数令令则即答案为-1【点睛】本题考查导数解析:-1【分析】根据题意,由函数f (x )的解析式对其求导可得112'32f x xf x '=-+()() ,在其中令12x = 可得12f ⎛⎫' ⎪⎝⎭,再令1x =即可解可得f′(1)的值, 【详解】 根据题意,函数f (x )=ln x -f ′ (12)x 2+3x -4, 其导数112'32f x xf x '=-+()(),令12x =,1111152'3,,1222222f f f '=-⨯⨯+∴'=()()()令1x =,则15213 1.12f x '=-⨯⨯+=-() 即答案为-1.【点睛】 本题考查导数的计算,注意12f ⎛⎫' ⎪⎝⎭为常数. 20.【解析】结合导数的运算法则可得:则导函数的解析式为:据此可得: 解析:105【解析】结合导数的运算法则可得:()()2'152'1f x x f =+,则()()()'1152'1,'115f f f =+∴=-,导函数的解析式为:()2'1530f x x =-, 据此可得:()2'315330105f =⨯-=. 三、解答题21.(1)答案见解析;(2)3.【分析】(1)求函数导数得()(1)x h x e ax a -'=+,再分0a =、0a >和0a <,由导数的正负判断单调性即可;(2)设函数()()()1x F x f x g x e ax =-=-+,通过求导得min ()(ln )ln 10F x F a a a a ==-+≥,再构造()ln 1G a a a a =-+,1a ≥,求导数根据单调性,结合零点存在性定理即可得解.【详解】(1)由题意得()()()(1)x h x f x g x e ax =⋅=-,则()(1)(1)x x x h x e ax ae e ax a =-+=-+'当0a =时,()0x h x e =-<'恒成立,函数()h x 单调递减;当0a >时,令()0h x '>得1a x a ->,令()0h x '<得1a x a -<, 函数()h x 在1,a a -⎛⎫+∞ ⎪⎝⎭单调递增,在1,a a -⎛⎫-∞ ⎪⎝⎭单调递减. 当0a <时,令()0h x '>得1a x a -<,令()0h x '<得1a x a ->, 函数()h x 在1,a a -⎛⎫-∞ ⎪⎝⎭单调递增,在1,a a -⎛⎫+∞ ⎪⎝⎭单调递减. (2)设函数()()()1x F x f x g x e ax =-=-+,所以()xF x e a =-',令()0F x '=得ln ,(0)x a a =>. 当ln x a <时,()0F x '<;当ln x a >时,()0F x '>所以()F x 在(,ln )a -∞上单调递减,在(ln ,)a +∞上单调递增,所以min ()(ln )ln 1F x F a a a a ==-+因为要使得()()f x g x ≥恒成立,只要()0F x ≥恒成立即min ()(ln )ln 10F x F a a a a ==-+≥设()ln 1G a a a a =-+,1a ≥∴()ln 0G a a =-≤',∴()G a 在1a ≥上单调递减,又(3)33ln 314 3.30G =-+≈->,(4)44ln 415 5.520G =-+≈-<,且()G a 图象连续不断,又a N +∈,所以满足条件的a 的最大值为3.【点睛】思路点睛:由不等式恒成立(或能成立)求参数时,一般可对不等式变形,分离参数,根据分离参数后的结果,构造函数,由导数的方法求出函数的最值,进而可求出结果;有时也可根据不等式,直接构成函数,根据导数的方法,利用分类讨论求函数的最值,即可得出结果.22.(1)()f x 在()2-∞-,和()1,-+∞上单调递增,在()21--,上单调递减;(2)存在,243a e =-.【分析】(1)当1a =时,()2()1x f x x x e =++,求导,分析导函数取得正负的区间,从而得出函数()f x 的单调区间;(2)求导,分2a =和2a <两种情况得出导函数的正负,得出函数()f x 的单调性,从而得函数的极大值,建立方程,解之可得答案.【详解】(1)当1a =时,()2()1xf x x x e =++,所以()()()'2()3212x x f x e x x e x x =++=++,令'()0f x =,得1x =-或2-,所以当2x <-或>1x -时,'()>0f x ;当21x -<<-时,'()0f x <, 所以()f x 在()2-∞-,和()1,-+∞上单调递增,在()21--,上单调递减; (2)存在,243a e =-,理由如下:()()()'2()2+22x x f x e x a x a e x a x ⎡⎤=++=++⎣⎦,令'()0f x =,得x a =-或2-, 因为2,a ≤所以2,a -≥-所以当2a =时,'()>0f x 恒成立,所以()f x 在R 上单调递增,此时函数()f x 不存在极值,所以2a ≠;当2a <时,>2a --,所以当2x <-或>x a -时,'()>0f x ;当2x a -<<-时,'()0f x <,所以()f x 在()2-∞-,和()a -+∞,上单调递增,在()2a --,上单调递减, 所以函数()f x 在2x =-时,取得极大值,所以()23f -=,即()2(2)243f a a e --=+=-,解得2432a e =-<,所以存在,243a e =-,使()f x 的极大值为3.【点睛】利用导函数研究函数的单调性,极值,最值等问题时,关键在于分析出导函数取得正负的区间,如果有参数,需讨论参数的范围,使之能确定导函数取得正负的区间.23.(1)0;(2)证明见解析.【分析】(1)由导数求出函数()f x 的单调性,即可得出函数()f x 在区间[1,)+∞上的最大值; (2)求导得出(21)(1)()ax x f x x--'=,讨论a 的值,确定函数()f x 的单调性,得出函数()f x 有最小值时a 的取值范围,再令12t a =,由(1)得出()ln 1,(1)h t t t t =-+>的单调性,进而证明该不等式.【详解】解:(1)当0a =时,()ln 1f x x x =-+,则1()1f x x '=- 因为[1,)x ∈+∞,所以()0f x '≤.所以()f x 在区间[1,)+∞上单调递减所以()f x 区间[1,)+∞上最大值为(1)0f =.(2)由题可知1()2(21)f x ax a x'=+-+ 22(21)1ax a x x-++= (21)(1)ax x x--=. ①当0a =时,由(1)知,函数()f x 在区间(1,)+∞上单调递减所以函数()f x 无最小值,此时不符合题意;②当12a ≥时,因为(1,)x ∈+∞,所以210ax ->.此时函数()f x 在区间(1,)+∞上单调递增所以函数()f x 无最小值,此时亦不符合题意;③当102a <<时,此时112a<. 函数()f x 在区间1(1,)2a 上单调递减,在区间1(,)2a +∞上单调递增 所以min 111()()ln 224f x f a a a ==- 即11()ln24g a a a =-. 要证1()14g a a <-,只需证当102a <<时,1()104g a a -+<成立. 即证111ln 10,0222a a a ⎛⎫-+<<< ⎪⎝⎭设12t a=,()ln 1,(1)h t t t t =-+> 由(1)知()(1)0h t h <= 即1()104g a a-+<成立. 所以1()14g a a <-. 【点睛】在证明不等式的恒成立问题时,可以将不等式问题转化为求函数的最值问题,进而证明不等式.24.(1)(),1-∞和()2,+∞;(2)()1,8-.【分析】(1)求出函数的导数,令导数小于0,解出不等式即得单调递减区间;(2)可得不等式等价于220x ax a -+>对于任意[)1,x ∈+∞恒成立,讨论对称轴的范围,令22x ax a -+在[)1,x ∈+∞的最小值大于0即可求出.【详解】(1)当3a =时,3213()232f x x x x =-+-, 则()()()23212f x x x x x '=-+-=---,令()0f x '<,解得1x <或 2x >,()f x ∴的单调递减区间为(),1-∞和()2,+∞;(2)()22'=-+-f x x ax , 则()2221x ax a -+-<-,即 220x ax a -+>对于任意[)1,x ∈+∞恒成立, 令()22g x x ax a =-+,对称轴为 2a x =,开口向上, 当12a ≤,即2a ≤时,()g x 在 [)1,+∞单调递增, ∴()()min 1120g x g a a ==-+>,解得 1a >-,12a ∴-<≤; 当12a >,即2a >时,()2min 20242a a a g x g a a ⎛⎫==-⨯+> ⎪⎝⎭,解得 08a <<, 28a ∴<<,综上,18a -<<.【点睛】方法点睛:解决一元二次不等式在给定区间的恒成立问题的方法:构造二次函数,求出函数的对称轴和开口方向,讨论对称轴的范围,结合二次函数的单调性求出最值,然后列出不等式即可求解.25.(1)212a e=;(2)见解析. 【分析】(1)由题意得出()20f '=,可求得a 的值,然后对函数()y f x =是否在2x =取得极值进行验证,进而可求得实数a 的值; (2)当21a e ≥时,()ln 1x e f x x e ≥--,构造函数()ln 1xe g x x e=--,利用导数证明出当0x >时,()0g x ≥恒成立,即可证得结论成立.【详解】(1)函数()ln 1x f x ae x =--的定义域为()0,∞+,()1x f x ae x'=-. 由题设知,()20f '=,所以212a e =,此时()212x e f x x-'=-, 则函数()y f x '=在()0,∞+上为增函数,当02x <<时,()0f x '<;当2x >时,()0f x '>.此时,函数()y f x =在2x =处取得极小值,合乎题意. 综上所述,212a e =; (2)当1a e ≥时,()ln 1xe f x x e≥--, 设()ln 1x e g x x e =--,则()1x e g x e x'=-. 由于函数()y g x '=在()0,∞+上单调递增,且()10g '=.当01x <<时,()0g x '<,此时,函数()y g x =单调递减;当1x >时,()0g x '>,此时,函数()y g x =单调递增.所以,函数()y g x =在1x =处取得极小值,亦即最小值,()()min 10g x g ∴==. 因此,当1a e≥时,()0f x ≥. 【点睛】本题考查利用函数的极值点求参数,同时也考查了利用导数证明函数不等式,考查推理能力与计算能力,属于中等题.26.(1)()f x 的单调递减区为(0,1),单调递增区间为[1,)+∞.(2)21b e -≤-【分析】(1)求导后,利用()0f x '>可得单调递增区间,()0f x '<可得单调递减区间;(2)求导后,利用()01f '=可得1a =,将()2f x bx ≥-转化为1ln 1x b x x ≤+-,构造函数1ln ()1x g x x x=+-,利用导数求出()g x 的最小值即可得解. 【详解】 (1)函数()f x 的定义域为(0,)+∞,因为1a =,所以()1ln =--f x x x , 所以1()1f x x '=-1x x-=, 令()0f x '>,得1x >,令()0f x '<,得01x <<, 所以()f x 的单调递减区为(0,1),单调递增区间为[1,)+∞.(2)因为11()ax f x a x x'-=-=,且函数()f x 在1x =处取得极值, 所以()01f '=,即10a -=,解得1a =,由(1)知,1a =满足题意,所以()1ln =--f x x x ,由已知对()0,x ∀∈+∞,()2f x bx ≥-恒成立,得1ln 2x x bx --≥-, 即1ln 1x b x x≤+-对()0,x ∀∈+∞恒成立,, 令1ln ()1x g x x x=+-,则2211ln ()x g x x x -'=--2ln 2x x -=, 令()0g x '>,得2x e >,令()0g x '<,得20x e <<, 所以()g x 在2(0,)e 上递减,在2[,)e +∞上递增, 所以当2x e =时,()g x 取得最小值,最小值为22222121()111g e e e e e-=+-=-=-, 所以21b e -≤-.【点睛】 本题考查了利用导数求函数的单调区间,考查了利用函数的极值求参数,考查了利用导数处理不等式恒成立,属于中档题.。
一、选择题1.下列不等式错误的是( )A .ln 32<B .3ln 2e <C .ln π<D .15<2.已知函数[](),1,2,xae f x x x=∈且[]()()12121212,1,2,1f x f x x x x x x x -∀∈≠<-,恒成立,则实数a 的取值范围是( ) A .24,e ⎛⎤-∞ ⎥⎝⎦B .24,e ⎡⎫+∞⎪⎢⎣⎭C .(],0-∞D .[)0+,∞ 3.对任意的0a b t <<<,都有ln ln b a a b <,则t 的最大值为( ) A .1B .eC .2eD .1e4.已知111ln 20x x y --+=,22262ln 20x y +--=,记()()221212M x x y y =-+-,则( )A .M 的最小值为25B .M 的最小值为45C .M 的最小值为85D .M 的最小值为1655.已知奇函数f (x )的定义域为(,),22ππ-且()'f x 是f (x )的导函数.若对任意(,0),2x π∈-都有()cos ()sin 0,f x x f x x '+<则满足()2cos ()3f f πθθ<⋅的θ的取值范围是( )A .(,)23ππ- B .(,)(,)2332ππππ--⋃C .(,)33ππ-D .(,)32ππ6.记函数()cos2f x x =的导函数为()f x ',则函数()()()g x x f x '=+在[0,]x π∈内的单调递增区间是( )A .0,2π⎡⎤⎢⎥⎣⎦B .,2ππ⎡⎤⎢⎥⎣⎦C .511,1212ππ⎡⎤⎢⎥⎣⎦D .5,12ππ⎡⎤⎢⎥⎣⎦7.设函数()21ln 2f x x ax bx =--,若1x =是()f x 的极大值点,则a 的取值范围为( ) A .()1,0- B .()1,-+∞ C .()0,∞+D .()(),10,-∞-+∞8.已知()'f x 是定义在上的函数()f x 的导函数,且2(1)(1)x f x f x e +=-,当1x >时,()()f x f x '>恒成立,则下列判断正确的是( ) A .()()523e f f ->B .()()523f e f ->C .()()523e f f <-D .()()523f e f >-9.已知函数2()f x x ax =-(1x e e≤≤,e 为自然对数的底数)与()x g x e =的图象上存在关于直线y x =对称的点,则实数a 的取值范围是( )A .11,e e⎡⎤+⎢⎥⎣⎦B .11,e e ⎡⎤-⎢⎥⎣⎦C .11,e e e e ⎡⎤-+⎢⎥⎣⎦D .1,e e e ⎡⎤-⎢⎥⎣⎦10.已知函数2()sin cos f x x x x x =++,则不等式1(ln )(ln )2(1)0f x f f x+-<的解集为( ) A .(,)e +∞B .(0,)eC .1(,)e eD .1(0,)(1,)e e11.已知函数()ln f x x x =,则()f x ( ) A .在()0,∞+上递增 B .在()0,∞+上递减 C .在10,e ⎛⎫⎪⎝⎭上递增 D .在10,e ⎛⎫⎪⎝⎭上递减 12.已知函数f x =x+cosx (),则f'=6π⎛⎫⎪⎝⎭( )A .12B .32C .1 D第II 卷(非选择题)请点击修改第II 卷的文字说明参考答案二、填空题13.已知()'f x 是定义在R 上的函数()f x 的导函数,且()()0f x f x +'>,则()2ln 2a f =,()1b ef =,()0c f =的大小关系为_____14.函数32()22=-f x x x 在区间[1,2]-上的最大值是___________.15.已知函数()1ln f x x x =--,对定义域内的任意x 都有()2f x kx ≥-,则实数k 的取值范围是______.16.函数()1ln(12)2xf x x x-=+-的导函数是()f x ',则()f x '=______________. 17.对于三次函数()()320ax bx d a f x cx =+++≠,定义:设()f x "是函数()y f x =的导数()y f x ='的导数,若方程()0f x "=有实数解0x ,则称点()()00x f x ,为函数()y f x =的“拐点”.有同学发现“任何一个三次函数都有‘拐点’;任何一个三次函数都有对称中心;且‘拐点’就是对称中心.”请你将这一发现为条件,函数()3231324f x x x x =-+-,则它的对称中心为______.18.已知函数()f x 的导函数为'()f x ,且满足()2'(1)ln f x xf x =+,则'(1)=f ________19.函数()f x 的定义域和值域均为()0,∞+,()f x 的导函数为()f x ',且满足()()()2f x f x f x '<<,则()()20182019f f 的取值范围是____________.20.已知()5234501234532x a a x a x a x a x a x -=+++++,则0123452345a a a a a a +++++的值为______三、解答题21.已知函数()32f x ax x bx =++(其中常数,a b ∈R )分别在0x =处和2x =处取得极值.(1)若()f x 在区间(),1m m +上单调递增,求实数m 的取值范围.(2)证明:对一切0x ≥,不等式22()x x e e x x f x --+-恒成立.22.已知函数()(ln )xe f x a x x x=--,a R ∈.(1)当0a >时,讨论函数()f x 的单调性: (2)当1a =-时,函数1()()xg x f x x e mx x ⎛⎫=+++ ⎪⎝⎭满足:对任意(0,)x ∈+∞,都有()1g x ≥恒成立,求实数m 的取值范围.23.设函数()(1)ln(1)f x x x x =-++ (1)求函数()f x 的极值; (2)若方程()f x t =在1,12⎡⎤-⎢⎥⎣⎦有两个实数解,求t 的取值范围; (3)证明:当0m n >>时,(1)(1)n mm n +<+.24.设a 为实数,已知函数()()12xxa x f x e ae -++--=.(1)当2a =时,求()f x 的单调区间;(2)当1a ≥时,若()f x 有两个不同的零点,求a 的取值范围.25.已知函数311()ln 62f x x x x x =+-. (1)求曲线()y f x =在点(1,(1)f )处的切线方程;(2)若()f x a <对1(,)x e e∈恒成立,求a 的最小值. 26.已知a 为实数,函数3233()22f x x ax x a =+++ (1)若函数()f x 的图象上有与x 轴平行的切线,求a 的取值范围;(2)若(1)0f '-=,对任意1x ,[]21,0x ∈-,不等式()()12f x f x m -≤恒成立,求m 的最小值.【参考答案】***试卷处理标记,请不要删除一、选择题 1.C 解析:C 【分析】 引入函数()ln xf x x=,利用导数确定它的单调性,然后由单调性判断各选项. 【详解】 考查函数()()2ln 1ln ,x xf x f x x x-='=由()0f x '>,得0x e << 由()0f x '<得x e >,所以()f x 在()0,e 上单调递增,在(),e +∞上单调递减, 选项:32A e <<,()2ff <ln 22<,ln 32∴<故本选项正确,不符合题意; 选项B :22e <()(f e f ∴>即lne e >3ln 2e ∴<故本选项正确,不符合题意; 选项:C e e π<<ff ∴<<ln π∴>故本选项错误,符合题意; 选项D154e << 154e <<()4ff ∴>2ln>=15∴>故本选项正确,不符合题意. 故选:C . 【点睛】关键点点睛:本题考查实数的比较大小.解题关键是引入函数ln ()xf x x=,由导数确定它的单调性,由单调性可判断各选项.2.A解析:A 【分析】根据条件变形可知()()F x f x x =-在区间[]1,2上单调递减,转化()0F x '≤恒成立,即可求解. 【详解】 不妨设()()121212,1,f x f x x x x x -<<-可得()()1122.f x x f x x ->-令()(),F x f x x =-则()F x 在区间[]1,2上单调递减, 所以()0F x '≤在区间[]1,2上恒成立,()()2110,x ae x F x x--≤'=当1x =时,,a R ∈当(]1,2x ∈时,()()21xx a g x e x ≤=-, 而()()()222201x x x x g x e x -'-+=<-,所以()g x 在区间[]1,2上单调递减,则()()2min 42g x g e==, 所以24,a e ⎛⎤∈-∞ ⎥⎝⎦. 故选:A 【点睛】关键点点睛:本题中[]()()12121212,1,2,1f x f x x x x x x x -∀∈≠<-,恒成立,可转化为函数()()F x f x x =-递减是解题的关键,突破此点后,利用导数()0F x '≤在区间[]1,2上恒成立,分离参数就可求解.3.B解析:B 【分析】令ln xy x=,问题转化为函数在(0,)t 递增,求出函数的导数,求出函数的单调区间,从而求出t 的最大值即可. 【详解】0a b t <<<,ln ln b a a b <,∴ln ln a ba b<,()a b <, 令ln xy x=,则函数在(0,)t 递增, 故21ln 0xy x -'=>, 解得:0x e <<,所以(0,)t 是(0,)e 的子集, 可得0t e <≤,故t 的最大值是e , 故选:B . 【点睛】利用单调性求参数的范围的常见方法:① 视参数为已知数,依据函数的图象或单调性定义,确定函数的单调区间,与已知单调区间比较求参数需注意若函数在区间,a b 上是单调的,则该函数在此区间的任意子集上也是单调的; ② 利用导数转化为不等式()'0f x ≤或()'0f x ≥恒成立问题求参数范围.4.D解析:D 【分析】设1(A x ,1)y ,2(B x ,2)y ,点A 在函数2y lnx x =-+的图象上,点B 在直线22260x y ln +--=上,则221212()()M x x y y =-+-的最小值转化为函数2y lnx x =-+的图象上的点与直线22260x y ln +--=上点距离最小值的平方,利用导数求出切点坐标,再由点到直线的距离公式求解.求出d 的最小值为两直线平行时的距离,即可得到M 的最小值,并可求出此时对应的2x 从而得解. 【详解】解:设1(A x ,1)y ,2(B x ,2)y ,点A 在函数2y lnx x =-+的图象上,点B 在直线24220x y ln +--=上,221212()()M x x y y =-+-的最小值转化为函数2y lnx x =-+的图象上的点与直线22260x y ln +--=上点距离最小值的平方.由2y lnx x =-+,得11y x'=-,与直线22260x y ln +--=平行的直线的斜率为12k =-.令1112x -=-,得2x =,则切点坐标为(2,2)ln ,切点(2,2)ln 到直线22260x y ln +--=的距离d == 即221212()()M x x y y =-+-的最小值为165. 又过(2,2)ln 且与22260x y ln +--=垂直的直线为22(2)y ln x -=-,即2420x y ln --+=,联立222602420x y ln x y ln +--=⎧⎨--+=⎩,解得145x =,即当M 最小时,2145x =. 故选:D . 【点睛】本题考查函数的最值及其几何意义,考查数学转化思想方法,训练了利用导数研究过曲线上某点处的切线方程,属于中档题.5.D解析:D 【分析】令()()cos f x g x x =,先判断函数()g x 为奇函数,再判断函数()g x 在区间(2π-,)2π上单调递减,由()2cos ()3f f πθθ<⋅,得()()3g g πθ<,即可求出.【详解】 令()()cos f x g x x=,(2x π∈-,)2π,()f x 为奇函数,cos y x =为偶函数,()g x ∴为奇函数.(2x π∀∈-,0),有()cos ()sin 0f x x f x x '+<,2()cos ()sin ()0f x x f x xg x cos x'+∴'=<,()g x ∴在区间(2π-,0)上单调递减,又()g x 为奇函数,()g x ∴在区间(2π-,)2π上单调递减, 当(2x π∈-,)2π,cos 0x >,()2cos ()3f f πθθ<⋅,∴()()3cos cos 3f f πθπθ<, ()()3g g πθ∴<,∴32ππθ<<故选:D 【点睛】本题主要考查利用导数研究函数的单调性、构造函数比较大小,属于难题.联系已知条件和结论,构造辅助函数是高中数学中一种常用的方法,解题中若遇到有关不等式、方程及最值之类问题,设法建立起目标函数,并确定变量的限制条件,通过研究函数的单调性、最值等问题,常可使问题变得明了,准确构造出符合题意的函数是解题的关键;解这类不等式的关键点也是难点就是构造合适的函数,构造函数时往往从两方面着手:①根据导函数的“形状”变换不等式“形状”;②若是选择题,可根据选项的共性归纳构造恰当的函数.6.C解析:C 【分析】先对函数()f x 求导,再利用辅助角公式化简,然后利用正弦函数图像和性质即可分增区间. 【详解】()cos2f x x =, ()'2sin 2f x x ∴=-,2()23cos22sin 24sin 23g x x x x π⎛⎫=-=+⎪⎝⎭, 令2222232k x k πππππ-+≤+≤+, 解得71212k x k ππππ-+≤≤-+, ()g x ∴在[]0,π内的递增区间为511,1212ππ⎡⎤⎢⎥⎣⎦. 故选:C . 【点睛】本题主要考查的是正弦复合函数的单调性以及单调区间的求解,以及复合函数的导数的求法,熟练掌握正弦函数图像和性质是解决本题的关键,是中档题.7.B解析:B 【详解】()21ln 2f x x ax bx =--,,,由得,()()()1111ax x f x ax a x x+-=-+-=-', 若,由,得,当时,,此时单调递增;1x > 时,,此时单调递减;所以是的极大值点.若,则由,得或.时的极大值点, ,解得.综上:,的取值范围时.故选B .【点晴】本题是一道关于函数极值的题目,考虑运用导数求函数的极值.对求导,得,由得,将代入到导函数中,可得()()()1111ax x f x ax a x x+-=-+-=-',接下来分和两种情况,结合函数的单调性,分别求出的极大值点,从而建立的不等式求解即可.8.A解析:A 【分析】构造函数()()x f x g x e=,由(1)(1)g x g x -=+,可得()g x 的图象关于直线1x =对称, 利用导数研究函数的单调性,根据单调性即可比较大小. 【详解】构造函数()()xf xg x e =,因为2(1)(1)xf x f x e +=-,所以11(1)(1)x x f x f x e e +-+-=, 则(1)(1)g x g x -=+,所以()g x 的图象关于直线1x =对称,因为当1x >时,()()f x f x '>,所以()()()0xf x f xg x e''-=>, 所以()g x 在(1,)+∞上单调递增, 所以有(3)(2),(2)(3)g g g g ->->, 即3223(3)(2)(2)(3),f f f f e e e e---->>, 即5(3)(2)e f f ->,5(2)(3)e f f ->, 故选:A. 【点睛】本题考查了导数研究函数的单调性,解题的关键是构造函数,属于中档题.9.A解析:A 【分析】根据题意可将问题转化为方程2ln x ax x -=在1,e e⎡⎤⎢⎥⎣⎦上有解,分离参数可得2ln x x a x -=,令()2ln x xh x x-=,利用导数求出()h x 值域即可求解. 【详解】因为函数2()f x x ax =-(1x e e≤≤)与()x g x e =的图象上存在关于直线y x =对称的点, 则函数2()f x x ax =-(1x e e≤≤,e 为自然对数的底数) 与函数()ln g x x =的图象有交点,即2ln x ax x -=在1,e e⎡⎤⎢⎥⎣⎦上有解,即2ln x x a x-=在1,e e ⎡⎤⎢⎥⎣⎦上有解,令()2ln x xh x x-=,(1x e e ≤≤),()221ln x x h x x -+'=, 当11x e≤<时,()0h x '<,函数为减函数, 当1x e <≤时,()0h x '>,函数为增函数, 故1x =时,函数取得最小值1,当1=x e 时,11h e e e ⎛⎫=+ ⎪⎝⎭,当x e =时,()h e e =, 故实数a 的取值范围是11,e e⎡⎤+⎢⎥⎣⎦.故选:A 【点睛】本题考查了利用导数求函数的最值,考查了转化与化归的思想,考查了计算求解能力,属于中档题.10.C解析:C 【分析】先判断出()f x 为R 上的偶函数,再利用当0x >时,()'0f x >得到函数的单调性,从而可解原不等式. 【详解】因为()()()()22()sin cos sin cos f x x x x x x x x x f x -=--+-+-=++=,所以()f x 为R上的偶函数,又1(ln )(ln )2(1)0f x f f x+-<等价于(ln )(ln )2(1)0f x f x f +--<即:(ln )(1)f x f <,()'()sin cos sin 22cos f x x x x x x x x =+-+=+,当0x >时,()'0f x >,故()f x 在()0,∞+为增函数,故(ln )(1)f x f <等价于ln 1x <即1ln 1x -<<即1x e e <<,故不等式的解集为1e e ⎛⎫⎪⎝⎭,,故选C.【点睛】对于偶函数()f x ,其单调性在两侧是相反的,并且()()()f x fx f x ==-,对于奇函数()g x ,其单调性在两侧是相同的.另外解函数不等式要利用函数的单调性去掉对应法则f .11.D解析:D 【分析】确定函数的定义域,求导函数,根据导函数的正负确定函数的单调性. 【详解】函数的定义域为(0,+∞) 求导函数,可得f′(x )=1+lnx 令f′(x )=1+lnx=0,可得x=1e, ∴0<x <1e 时,f′(x )<0,x >1e时,f′(x )>0 ∴在10,e ⎛⎫ ⎪⎝⎭上递减, 在1,e⎛⎫+∞ ⎪⎝⎭上递增 故选D . 【点睛】这个题目考查了导数在函数的单调性中的应用,判断函数的单调性常用的方法是:求导,根据导函数的正负得到函数的单调区间.导函数为正的区间是增区间,导函数为负的区间是减区间.12.A解析:A 【分析】 求导,将6x π=代入即可求出6f π⎛⎫⎪⎝⎭'.. 【详解】已知函数f x =x+cosx,'x =1-sinx,f ∴()() 则 11sin .662f ππ⎛⎫=-'= ⎪⎝⎭故选A. 【点睛】本题考查函数在一点处的导数的求法,属基础题.二、填空题13.【分析】令则可以判断出在上单调递增再由根据单调性即可比较大小【详解】令则因为对于恒成立所以所以在上单调递增因为所以所以故答案为:【点睛】关键点点睛:本题的关键是构造函数利用导数判断出在上单调递增更关 解析:c a b <<【分析】令()()xg x f x e =,则()()()0xg x e f x f x ''=+>⎡⎤⎣⎦,可以判断出()()xg x f x e =在R上单调递增,再由()ln 2a g =,()1b g =,()0c g =根据单调性即可比较大小. 【详解】令()()xg x f x e =,则()()()()()xxxg x f x e f x e e f x f x '''=+=+⎡⎤⎣⎦,因为()()0f x f x +'>对于x ∈R 恒成立, 所以()()()0xg x e f x f x ''=+>⎡⎤⎣⎦,所以()()xg x f x e =在R 上单调递增,()()()ln22ln 2ln 2ln 2a f e f g ===,()()()1111b ef e f g ===, ()()()0000c f e f g ===,因为0ln 21<<,所以()()()0ln 21g g g <<,所以c a b <<, 故答案为:c a b << 【点睛】关键点点睛:本题的关键是构造函数()()xg x f x e =,利用导数判断出()g x 在R 上单调递增,更关键的一点要能够得出()ln 2a g =,()1b g =,()0c g =,根据单调性即可比较大小.14.8【分析】对函数求导由导数确定单调区间由单调性确定极值再比较极值与函数端点值即可确定函数最值【详解】f′(x)=6x2-4x=2x(3x-2)已知x ∈-12当2≥x>或-1≤x<0时f′(x)>0f解析:8 【分析】对函数求导,由导数确定单调区间,由单调性确定极值,再比较极值与函数端点值,即可确定函数最值. 【详解】f ′(x )=6x 2-4x = 2x (3x -2), 已知x ∈[-1,2],当2 ≥ x >23或-1 ≤ x <0时, f ′(x )>0, f (x )单调递增区间是2[1,0),(,2]3-,当0<x <23时,f ′(x )<0, f (x )单调递减区间是2(0,)3,故函数在0x =处取极大值,f (0)=0,又f (2)=8,故 f (x )的最大值是8. 故答案为:8 【点睛】本题考查了利用导数求函数的最值,考查了计算能力,属于基础题目.15.【分析】不等式分离变量等价变形为构造函数函数求导求出单调区间可得函数最小值【详解】∵∴也即在时恒成立令则令易知在上单调递减在上单调递增故∴故答案为:【点睛】本题考查数的单调性及不等式恒成立问题转化为 解析:21(,1]e-∞-【分析】不等式()2f x kx ≥-分离变量,等价变形为1ln 1xk x x≤+-,构造函数()1ln 1x g x x-=+,函数求导()2ln 2x g x x -'=,求出单调区间,可得函数最小值. 【详解】∵()1ln 2f x x x kx =--≥-,∴1ln kx x x ≤+-,0x >,也即1ln 1xk x x≤+-在0x >时恒成立.令()1ln 1x g x x-=+,0x >,则()2ln 2x g x x -'=,0x >,令()20g x x e '=⇒=.易知()g x 在()20,x e ∈上单调递减,()g x 在()2,x e ∈+∞上单调递增,故()()22min 11g x g ee ==-,∴211k e≤-. 故答案为:21(,1]e-∞- 【点睛】本题考查数的单调性及不等式恒成立问题转化为函数最值问题.不等式恒成立问题的求解方法:(1)已知不等式()0f x λ≥,(λ为实参数)对任意的x D ∈恒成立,求参数λ的取值范围.利用导数解决此类问题可以运用分离参数法, (2)如果无法分离参数,可以考虑对参数或自变量进行分类讨论求解.16.【分析】利用基本函数求导公式和导数运算法则求出导数然后代入求值【详解】解:因为由于且解得:且即的定义域为:即:故答案为:【点睛】本题考查基本函数求导公式和导数运算法则以及复合函数求导考查计算能力解析:23242142x x x x -+--+ 【分析】利用基本函数求导公式和导数运算法则,求出导数,然后代入求值. 【详解】 解:因为()1ln(12)2xf x x x-=+-, 由于20x ≠且120x ->,解得:12x <且0x ≠, 即()f x 的定义域为:()1,00,2⎛⎫-∞⋃ ⎪⎝⎭, ()()11()ln 12()ln 1222x x f x x x x x '--⎡⎤''∴=+-='+-⎡⎤⎣⎦⎢⎥⎣⎦2223222(1)14214122122242x x x x x x x x x x -----+-=-+=+=-+---,即:()23242142x x f x x x -+-'=-+. 故答案为:23242142x x x x -+--+.【点睛】本题考查基本函数求导公式和导数运算法则,以及复合函数求导,考查计算能力.17.【分析】根据拐点的定义令解得则由拐点的性质可得结果【详解】∵函数∴∴令解得且所以函数对称中心为故答案为【点睛】本题主要考查导数的运算以及新定义问题属于中档题新定义题型的特点是:通过给出一个新概念或约解析:1,12⎛⎫⎪⎝⎭【分析】根据拐点的定义,令()630f x x "=-=,解得12x =,则112f ⎛⎫= ⎪⎝⎭,由拐点的性质可得结果. 【详解】 ∵函数()3231324f x x x x =-+-, ∴()2333f x x x '=-+,∴()63f x x "=-.令()630f x x "=-=,解得12x =,且112f ⎛⎫= ⎪⎝⎭, 所以函数()3231324f x x x x =-+-对称中心为1,12⎛⎫ ⎪⎝⎭,故答案为1,12⎛⎫⎪⎝⎭.【点睛】本题主要考查导数的运算,以及新定义问题,属于中档题. 新定义题型的特点是:通过给出一个新概念,或约定一种新运算,或给出几个新模型来创设全新的问题情景,要求考生在阅读理解的基础上,依据题目提供的信息,联系所学的知识和方法,实现信息的迁移,达到灵活解题的目的.遇到新定义问题,应耐心读题,分析新定义的特点,弄清新定义的性质,按新定义的要求,“照章办事”,逐条分析、验证、运算,使问题得以解决.18.-1【解析】【分析】首先对函数求导然后利用方程思想求解的值即可【详解】由函数的解析式可得:令可得:则【点睛】本题主要考查导数的运算法则基本初等函数的导数公式方程的数学思想等知识意在考查学生的转化能力解析:-1 【解析】 【分析】首先对函数求导,然后利用方程思想求解()'1f 的值即可. 【详解】由函数的解析式可得:()()1'2'1f x f x=+, 令1x =可得:()()1'12'11f f =+,则()'11f =-. 【点睛】本题主要考查导数的运算法则,基本初等函数的导数公式,方程的数学思想等知识,意在考查学生的转化能力和计算求解能力.19.【分析】根据题给定条件设构造函数g (x )=与h (x )=再利用导数判断在(0+∞)上函数的单调性得解【详解】设g (x )=则g (x )=>0∴g (x )在(0+∞)上单调递增所以g (2018)<g (2019 解析:21(,)e e --【分析】根据题给定条件,设构造函数g (x )=()xf x e 与h (x )=()2xf x e ,再利用导数判断在(0,+∞)上函数的单调性得解. 【详解】 设g (x )=()xf x e,则g'(x )=()()'xf x f x e->0∴g (x ) 在(0,+∞)上单调递增,所以g (2018)<g (2019),即2018(2018)f e <()20192019f e ⇒()()20182019f f <1e;令h (x )=()2xf x e,则h'(x )=()()2'20xf x f x e-<∴h (x )在(0,+∞)上单调递减,所以h (2018)>h (2019),即()40362018f e>()40382019f e ⇒()()20182019f f >21e 综上,()()20182019f f <1e 且 ()()20182019f f >21e.故答案为:()21,e e --【点睛】本题主要考查了导数与函数的单调性以及构造法的应用,属中等难度题.解题的关键是构造函数求函数的单调性,利用单调性解题.20.233【解析】分析:根据题意在(3﹣2x )5=a0+a1x+a2x2+a3x3+a4x4+a5x5中令x=0可得a0=243设y=(3﹣2x )5=a0+a1x+a2x2+a3x3+a4x4+a5x5解析:233 【解析】分析:根据题意,在(3﹣2x )5=a 0+a 1x+a 2x 2+a 3x 3+a 4x 4+a 5x 5中,令x=0可得a 0=243,设y=(3﹣2x )5=a 0+a 1x+a 2x 2+a 3x 3+a 4x 4+a 5x 5,求出其导数,分析可得y '=﹣104(32)x -=a 1+2a 2x+3a 3x 2+4a 4x 3+5a 5x 4,令x=1可得a 1+2a 2+3a 3+4a 4+5a 5的值,将其值相加即可得答案.详解:根据题意,(3﹣2x )5=a 0+a 1x+a 2x 2+a 3x 3+a 4x 4+a 5x 5中, 令x=0可得:35=a 0,即a 0=243,设y=(3﹣2x )5=a 0+a 1x+a 2x 2+a 3x 3+a 4x 4+a 5x 5, 其导数y′=﹣10(3﹣2x )4=a 1+2a 2x+3a 3x 2+4a 4x 3+5a 5x 4, 令x=1可得:﹣10=a 1+2a 2+3a 3+4a 4+5a 5, 则a 0+a 1+2a 2+3a 3+4a 4+5a 5=243﹣10=233; 故答案为:233点睛:(1)本题主要考查二项式定理的应用和导数,意在考查学生对这些基础知识的掌握能力及分析推理能力基本的计算能力. (2)解答本题的关键有两点,其一是想到赋值法,令x=0可得a 0=243,令x=1可得﹣10=a 1+2a 2+3a 3+4a 4+5a 5.其二是要看到0123452345a a a a a a +++++要想到求导.三、解答题21.(1)[]0,1;(2)证明见解析. 【分析】(1)根据题意(0)0(2)1240f b f a b ==⎧⎨='='++⎩,解得,a b ,从而可得解析式,利用导数求出函数的单调递增区间()0,2,只需012m m ≥⎧⎨+≤⎩,解不等式即可.(2)将不等式转化为()31203x xg x x x e e -=-+-≥在[0,)+∞上恒成立,利用导数求出()min 0g x =,即证.【详解】(1)由()32f x ax x bx =++知,()232f x ax x b '=++,因为()f x 在0x =处和2x =处取得极值,所以(0)0(2)1240f b f a b ==⎧⎨='='++⎩,解得130a b ⎧=-⎪⎨⎪=⎩,所以()3213f x x x =-+,()22f x x x '=-+, 所以令()0f x '>,02x <<,令()0f x '<,0x <或2x >, 所以()f x 在()0,2上单调递增,在(),0-∞和()2,+∞上单调递减, 若()f x 在(),1m m +上单调递增,则012m m ≥⎧⎨+≤⎩解得01m ≤≤,即实数m 的取值范围[]0,1. (2)当0x ≥时,()22xxe ex x f x --+-≥恒成立,即232123x xe ex x x x --+--+在[0,)+∞上恒成立,整理得,31203x x x x e e --+-≥在[0,)+∞上恒成立,令()3123x x g x x x e e -=-+-,[0,)x ∈+∞, ()222x g x x e '=-+,当[0,)x ∈+∞时,()0g x '≥恒成立,所以()g x 在[0,)+∞上单调递增,则()()min 00g x g ==, 所以()0g x ≥,即31203x x x x e e ---+-≥在[0,)+∞上恒成立, 所以当0x ≥时,()22xxe e x xf x --+-≥恒成立.【点睛】关键点点睛:本题考查了利用导数研究函数的单调区间、求函数的最值,解题的关键是利用导数求出函数的单调区间以及最值,考查了转化能力、分析能力.22.(1)函数()f x 在(0,1)上单调递增,在(1,)+∞上单调递减;(2)[2,)-+∞. 【分析】(1)先对函数求导,令()0f x '=求出1x =,根据导数的方法,即可得到函数单调性;(2)先由1a =-,得到()ln (1)xg x xe x m x =-++,由分离参数法方法,将原不等式化为1ln 1x x m e x +≥--,构造函数1ln ()1xx h x e x+=--,利用导数的方法求出其最大值,即可得出结果. 【详解】(1)由题意,()22(1)()x x x ax e x a xe e f x a x x x+--'=--= ∵0a >,0x >,0x ax e ∴+>,令()0f x '=,得1x =,所以01x <<时,()0f x '>,()f x 单调递增,1x >时,()0f x '<,()f x 单调递减, 所以函数()f x 在(0,1)上单调递增,在(1,)+∞上单调递减. (2)当1a =-时,1()()ln (1)x xg x f x x e mx xe x m x x ⎛⎫=+++=-++ ⎪⎝⎭由()1g x ≥对(0,)x ∈+∞恒成立,得1ln 1xx m e x+≥--, 设1ln ()1x x h x e x +=--,则222ln ln ()x x x x e xh x e x x-+'=-=-, 设2()ln xx x e x ϕ=+,则0x >时,()21()20xx x x e xϕ'=++>,所以()ϕx 在(0,)+∞上单调递增,且(1)0e ϕ=>,1ln 2024ϕ⎛⎫=-<⎪⎝⎭,所以函数()ϕx 在(0,)+∞上有唯一的零点01,12x ⎛⎫∈⎪⎝⎭当00x x <<时,()0x ϕ<,()0h x '>,()h x 单调递增; 当0x x >时,()0x ϕ>,()0h x '<,()h x 单调递减, 所以0x >时,()00max 001ln ()1x x h x h x e x +==-- 所以001ln 1x x m e x +≥--, ()02000ln 0xx x e x ϕ=+=,000011ln x x e x x ∴=,即000011ln ln ln ln x x x x ⎛⎫+=+ ⎪⎝⎭因为ln y x x =+是增函数,所以0001lnln x x x ==-, 000000001ln 11122x x x x x x m e e e e x x +-∴≥--=--=--=-, 即m 的取值范围为[2,)-+∞. 【点睛】 思路点睛:导数的方法研究由不等式恒成立(或能成立)求参数时,一般可对不等式变形,分离参数,根据分离参数后的结果,构造函数,由导数的方法求出函数的最值,进而可求出结果;有时也可根据不等式,直接构成函数,根据导数的方法,利用分类讨论求函数的最值,即可得出结果. 23.(1)0;(2)11[ln 2,0)22-+;(3)证明见详解. 【分析】(1)首先明确定义域,再求导()ln(1)f x x '=-+,所以()f x 在()1,0-上单调递增,在()0,∞+上单调递减,即可得解;(2)实际研究直线x t =与函数()y f x =图像交点有两个的情况,由(1)知()f x 在1[,0]2-上单调递增,在[0,1]上单调递减,且1(1)()2f f <-,所以当11[,ln 2,0)22t ∈-+时,方程()f x t =有两解.(3)首先将两变量分离,这要用到取对数,即ln(1)ln(1),n m m n +<+因此只需证ln(1)ln(1)m n m n++<,即证ln(1)(),(0)x g x x x+=>为单调减函数,可利用导数2ln(1)1()xx x g x x-+'+=,再结合(1)的结论可证. 【详解】(1)由()(1)ln(1)f x x x x =-++,定义域为()1,-+∞,()ln(1)f x x '=-+,()ln(1)00f x x x '=-+=⇒=,当10x -<<时,()()0,f x f x '>单调递增, 当0x >时,()()0,f x f x '<单调递减, 所以0x =为函数的极大值点,则函数()f x 的极值为(0)0(01)ln(01)0f =-++=. (2)由(1)知,()f x 在1[,0]2-上单调递增, 在(]0,1上单调递减,又111(0)0,(1)1ln 4,()ln 2222f f f ==--=-+, ∴ 135(1)()ln 20222f f --=-<. ∴ 当11[ln 2,0)22t ∈-+时,方程()f x t =有两解. (3)∵ 0m n >>.∴ 要证:(1)(1)n m m n +<+只需证ln(1)ln(1)n m m n +<+, 只需证:ln(1)ln(1)m n m n ++<. 设ln(1)(),(0)x g x x x+=>, 则22ln(1)(1)ln(1)1()(1)xx x x x x g x x x x -+-+++=+'=. 由(1)知()(1)ln(1)f x x x x =-++在(0,)+∞单调递减, 又()00f =,∴ (1)ln(1)0x x x -++<, 即()g x 是减函数,而m n >. ∴ ()()g m g n <,故原不等式成立. 【点睛】关键点睛:要证:(1)(1)n mm n +<+只需证ln(1)ln(1)n m m n +<+,只需证:ln(1)ln(1)m n m n ++<,构造函数ln(1)(),(0)x g x x x+=>是解决本题的关键. 24.(1)单调递增区间为()ln 2,+∞;单调递减区间为(),ln 2-∞;(2)(),e +∞. 【分析】(1)由2a =得()22xxf x e ex -+--=,对函数求导,根据导数的方法,即可求出单调区间;(2)先对函数求导,根据导数的方法判定函数单调性,得到()()min 1ln 1f x a a a =+--,为使()f x 有两个不同的零点,首先()1ln 10a a a +--<,解得a e >,再判断0x >和0x <时,函数都有零点,即可得出结果. 【详解】(1)当2a =时,()22xxf x e ex -+--=,则()()()221212x x x x x x x xe e e ef x e e e e--+--='--==, 令()0f x '=,则ln 2x =,所以当(),ln 2x ∈-∞时,()0f x '<,所以()f x 单调递减; 当()ln 2,x ∈+∞时,()0f x '>,所以()f x 单调递增;即函数()f x 的单调递增区间为()ln 2,+∞;单调递减区间为(),ln 2-∞; (2)因为()()12xxa x f x e ae-++--=,所以()()()()()2111xx x x x x xxe e e ef x a a a e ae e e a-+-+--='=-+-=,因为1a ≥,由()0f x '>得ln ≥x a ;由()0f x '<得ln x a <;所以()f x 在(),ln a -∞上单调递减,在()ln ,a +∞上单调递增; 因此()()()()ln ln min ln 1ln 21ln 1aa f x f a eae a a a a a -==++--=+--,要使()f x 有两个不同的零点,则首先()1ln 10a a a +--<,即()()11ln 0a a --<,所以1ln 0a -<,解得a e >; 当0x >时,()()()1212xxx a x a f x e aex e -++-->-=+-,令()2xg x e x =-,0x >,则()2x g x e x '=-,()2xg x e ''=-, 由()0g x ''>得ln 2x >;由()0g x ''<得ln 2x <,所以()2x g x e x '=-在()0,ln 2上单调递减,在()ln 2,+∞上单调递增, 所以()()ln 22ln 222ln 220ln g x g e ''≥=-=->,因此()2xg x e x =-在()0,∞+上单调递增,因此()()010g x g >=>,即2x e x >在0x >上恒成立,所以当0x >时,()()()()2121212xxx f x e aee a x a x x a x -++-->+-->+--=,此时()()()()21112120f a a a a a >++-+-=>+; 当0x <时,()()122xxx f a x e aeae x --++-->-=,令20x ae -->,可得2ln x a<-; 取00x <且02lnx a<-知()00f x >, 故a e >满足()f x 在()0,ln x a 和()ln ,1a a +各有一个零点; 综上,a 的取值范围为(),e +∞. 【点睛】 方法点睛:利用导数解决函数零点问题的方法:直接法:先对函数求导,根据导数的方法求出函数的单调区间和极值,根据函数的性质画出图像,然后将问题转化为函数图像与x 轴交点问题,突出导数的工具作用,体现了转化与化归思想、数形结合的思想和分类讨论的思想;构造新函数法:将问题转化为研究两函数的图像的交点问题;分离参变量法:即由()0f x =分离参变量,得()a x ϕ=,研究直线y a =与()y x ϕ=的图像的交点问题. 25.(1)23y =;(2)31162e e -. 【分析】 (1)求导211'()ln 22f x x x =--,再分别求得(1)f ,'(1)f ,用点斜式写出切线方程. (2)根据()f x a <对1(,)x e e∈恒成立,则()max a f x >,再利用导数求解()max f x 即可. 【详解】(1)()f x 的定义域为(0,)+∞. 由已知得211'()ln 22f x x x =--,且2(1)3f =. 所以'(1)0f =.所以曲线()y f x =在点(1,(1)f )处的切线方程为23y =. (2)设()'()g x f x =,(1x e e<<) 则211'()x g x x x x-=-=. 令'()0g x =得1x =.当x 变化时,'()g x 符号变化如下表:x 1(,1)e1 (1,)e '()g x-+()g x极小则,即,当且仅当时,.所以()f x 在1(,)e e上单调递增. 又311()62f e e e =-, 因为()f x a <对1(,)x e e∈恒成立, 所以31162a e e ≥-, 所以a 的最小值为为31162e e -. 【点睛】方法点睛:恒(能)成立问题的解法: 若()f x 在区间D 上有最值,则(1)恒成立:()()min ,00x D f x f x ∀∈>⇔>;()()max ,00x D f x f x ∀∈<⇔<; (2)能成立:()()max ,00x D f x f x ∃∈>⇔>;()()min ,00x D f x f x ∃∈<⇔<. 若能分离常数,即将问题转化为:()a f x >(或()a f x <),则 (1)恒成立:()()max a f x a f x >⇔>;()()min a f x a f x <⇔<; (2)能成立:()()min a f x a f x >⇔>;()()max a f x a f x <⇔<;26.(1)3232,22a ⎛⎡⎫-∈-∞-⋃+∞ ⎪⎢ ⎪⎝⎦⎣⎭;(2)516. 【分析】(1)函数()f x 的图象上有与x 轴平行的切线,即()0f x '=有实数解,利用判别式大于等于零解出a 的取值范围;(2)由(1)0f '-=可得a 值,令()0f x '=解出方程根,得出函数的单调性和最值,代入不等式可得m 的取值范围,进而得出m 的最小值. 【详解】 (1)3233()22f x x ax x a =+++23()322f x x ax '∴=++. 由题意知()0f x '=有实数解.2344302a ∴∆=-⨯⨯≥292a ∴≥,即2a ≤-或2a ≥.故,a ⎛⎫∈-∞⋃+∞ ⎪ ⎪⎝⎦⎣⎭ (2)(1)0f '-=,33202a ∴-+=,即94a =. 231()323(1)22f x x ax x x ⎛⎫'=++=++ ⎪⎝⎭,令()0f x '=得112x =-,21x =-. 则()f x 在11,2⎛⎫--⎪⎝⎭单调递减,在1,02⎛⎫- ⎪⎝⎭单调递增, 当[]1,0x ∈-时,25(1)8f -=,149216f ⎛⎫-= ⎪⎝⎭,27(0)8f =,max 27()(0)8f x f ∴==,min 149()216f x f ⎛⎫=-= ⎪⎝⎭. 故1x ,[]21,0x ∈-时,()()12f x f x -≤max min 5()()16f x f x -=所以516m ≥,即m 的最小值为516. 【点睛】关键点点睛:本题考查导数的几何意义,考查利用导数研究函数的单调性和最值,解决本题的关键点是将()()12f x f x m -≤恒成立,转化为求()()12f x f x -的最大值,即求max min ()()f x f x -,代入不等式可得参数m 的最小值,考查了学生转化思想和计算能力,属于中档题.。
一、选择题1.已知函数()322213x f x ax bx c ++=+,函数()f x 的两个极值点分别在区间()0,1与()1,2内,则2+a b 的取值范围为 ( )A .()3,1--B .()2,1--C .()1,-+∞D .()3,-+∞2.若函数()321233f x x x =+-在 区间(),5a a +内存在最小值,则实数a 的取值范围是( ) A .[)5,0-B .()5,0-C .[)3,0-D .()3,0-3.函数tan 22tan y x x =-42x ππ⎛⎫<< ⎪⎝⎭的最大值为( )A .-B .3C .0D .3-4.已知定义在()0,∞+上的函数()f x 满足()()0xf x f x '-<,其中()f x '是函数()f x 的导函数,若()()()201920191f m m f ->-,则实数m 的取值范围为( ) A .()0,2020 B .()2019,+∞C .()2020,+∞D .()2019,20205.已知函数233()32f x x x e ⎛⎫=-⋅⎪⎝⎭,则( )A .函数()f x 的极大值点为xB .函数()f x 在(,-∞上单调递减C .函数()f x 在R 上有3个零点D .函数()f x 在原点处的切线方程为33y e x =-6.设()f x 是定义在()(),00,-∞⋃+∞上的函数,()f x '为其导函数,已知()()1221f x f x -=-,()20f -=,当0x >时,()()xf x f x '-<,则使得()0f x >成立的x 的取值范围是( ) A .()()2,00,2-B .()(),22,-∞-+∞C .()(),20,2-∞-D .()()0,22,+∞7.已知奇函数f (x )的定义域为(,),22ππ-且()'f x 是f (x )的导函数.若对任意(,0),2x π∈-都有()cos ()sin 0,f x x f x x '+<则满足()2cos ()3f f πθθ<⋅的θ的取值范围是( )A .(,)23ππ-B .(,)(,)2332ππππ--⋃C .(,)33ππ-D .(,)32ππ8.如图,()y f x =是可导函数,直线:2l y kx =+是曲线()y f x =在3x =处的切线,令()()g x xf x =,'()g x 是()g x 的导函数,则'(3)g =( ).A .-1B .0C .2D .49.已知函数()f x 的图象如图所示,则()f x 可以为( )A .()3x x f x e=B .()x x xf x e e -=- C .()xx f x e = D .()xf x xe =10.函数()22xx f x e-=的图象大致是( ) A . B .C .D .11.已知()f x 的定义域为(0,)+∞,f x 为()f x 的导函数,且满足()()'f x xf x <-,则不等式(1)(1)f x x +>-()21f x -的解集是( )A .0,1B .2,C .1,2D .1,12.已知函数()f x 与()'f x 的图象如图所示,则函数()()x f x g x e=(其中e 为自然对数的底数)的单调递减区间为( )A .()4,1,,43⎛⎫-∞ ⎪⎝⎭B .()()0,1,4,+∞C .40,3⎛⎫ ⎪⎝⎭D .(0,4)二、填空题13.若函数()ln af x x x=+(a 为常数)存在两条均过原点的切线,则实数a 的取值范围是________.14.曲线2x y e x =-的一条切线方程为0x y a ++=,则a =_____________. 15.点(),P x y 是曲线C :()10y x x=>上的一个动点,曲线C 在点P 处的切线与x 轴、y 轴分别交于A ,B 两点,点O 是坐标原点,①PA PB =;②OAB 的面积为定值;③曲线C 上存在两点,M N 使得OMN 是等边三角形;④曲线C 上存在两点M ,N 使得OMN 是等腰直角三角形,其中真命题的序号是______.16.若点()()()112212,,,A x y B x y x x <是函数1,1()ln ,1x e x f x x x ⎧-+≤=⎨>⎩的图象上任意两点,且函数()f x 分别在点A 和点B 处的切线互相垂直,则12x x 的最大值为 __________. 17.若0<x 1<x 2<1,且1<x 3<x 4,下列命题:①3443ln ln x x e e x x ->-;②2121ln ln x x ee x x ->-;③3232x x x e x e <;④1221x xx e x e >;其中正确的有___________ 18.已知函数(a ≤0),函数,若不存在,使,则实数的取值范围为___.19.若函数2(())x f x e x ax a -=+-在R 上单调递减,则实数a 的值为_______. 20.函数sin x y x e =+在点(0,1)处的切线方程是__________.三、解答题21.已知函数())2f x x x ax =-.(1)当1a =时,求()f x 的单调区间;(2)若()f x 在区间[]0,2的最小值为23-,求a . 22.设函数()ln f x x x =. (1)设()()f xg x x'=,求()g x 的极值点; (2)若210x x >>时,总有()()()2221212m x x f x f x ->-恒成立,求实数m 的取值范围.23.已知直线:(0)l y kx b b =+>与抛物线2:4C y x =交于A 、B 两点,P 是抛物线C 上异于A 、B 的一点,若PAB △重心的纵坐标为13,且直线PA 、PB 的倾斜角互补. (Ⅰ)求k 的值.(Ⅱ)求PAB △面积的取值范围. 24.已知函数()3212f x x x bx c =-++,且()f x 在1x =处取得极值. (Ⅰ)求b 的值;(Ⅱ)若当[]1,2x ∈-时,()2f x c <恒成立,求c 的取值范围; (Ⅲ)对任意的[]12,1,2x x ∈-,()()1272f x f x -≤是否恒成立?如果成立,给出证明;如果不成立,请说明理由.25.已知函数2()3(6)ln ()f x x a x a x a R =+--∈ (1)求函数()y f x =的单调区间;(2)当1a =时,证明:对任意的20,()352x x f x e x x >+>++.26.已知函数()3ln 42x a f x x x =+--,其中a R ∈,且曲线()y f x =在点()()1,1f 处的切线垂直于直线12y x =. (1)求a 的值;(2)求函数()f x 的单调区间.【参考答案】***试卷处理标记,请不要删除一、选择题 1.B 解析:B【分析】求得()22f x x ax b '=++,根据题意可得出()()()001020f f f '''⎧>⎪<⎨⎪>⎩,利用不等式的基本性质可求得2+a b 的取值范围. 【详解】由()322213x f x ax bx c ++=+,求导()22f x x ax b '=++,因为函数()f x 的两个极值点分别在区间()0,1与()1,2内, 即方程220x ax b ++=的两个根分别在区间()0,1与()1,2内,即()()()020*********f b f a b f a b ⎧=>⎪=++<⎨⎪=++>''⎩',则0212b a b a b >⎧⎪+<-⎨⎪+>-⎩, 所以,()22a b a b b +=++>-. 综上所述,2+a b 的取值范围是()2,1--. 故选:B. 【点睛】方法点睛:本题考查利用二次函数的零点分布求参数,一般要分析以下几个要素: (1)二次项系数的符号; (2)判别式; (3)对称轴的位置; (4)区间端点函数值的符号. 结合图象得出关于参数的不等式组求解.2.C解析:C 【分析】利用导数求出函数()f x 的极小值为()203f =-,由题意可知()0,5a a ∈+,再由()()0f x f =求得x 的值,数形结合可得出实数a 的取值范围.【详解】解:由题意,()()222f x x x x x '=+=+,当2x <-或0x >时,()0f x '>;当20x -<<时,()0f x '<. 故()f x 在(),2-∞-,()0,∞+上是增函数,在()2,0-上是减函数, 所以,函数()f x 的极小值为()203f =-.作其图象如图,令32122333x x +-=-得3230x x +=,解得0x =或3x =-, 结合图象可知3050a a -≤<⎧⎨+>⎩,解得,[)3,0a ∈-.故选:C. 【点睛】关键点点睛:本题考查利用函数在区间上存在最值求参数,解本题的关键就是弄清楚函数()f x 的极小值点在区间(),5a a +内,通过求得()()30f f -=,数形结合得出实数a 所满足的不等式组,综合性较强.3.A解析:A 【分析】化简可得322tan 1tan xy x=-,令tan t x =,()1,t ∈+∞,则3221t y t =-,求出函数导数,利用导数判断函数的单调性即可求出最值. 【详解】可得3222tan 2tan tan 22tan 2tan 1tan 1tan x xy x x x x x =-=-=--, 令tan t x =,则()1,t ∈+∞,则3221t y t =-,则()()()()()22322222261222311t t t t t t y t t --⨯--'==--,当(3t ∈时,0y '>,函数单调递增,当)3,t ∈+∞时,0y '<,函数单调递减,所以当t =时,()3max 221y ⨯==--.故选:A. 【点睛】关键点睛:本题考查函数最值的求解,解题的关键是利用换元法将函数化为3221t y t=-,然后利用导数讨论其单调性即可求出最值.4.D解析:D 【分析】构造函数()()f x h x x =,根据导数可判断函数单调递减,由()()2019120191f m f m ->-,结合函数定义域可解得. 【详解】令()()f x h x x =,()0,x ∈+∞,则()()()2xf x f x h x x'-'=, 因为()()0xf x f x '-<,所以()0h x '<,所以函数()h x 在()0,∞+上单调递减. 因为()()()201920191f m m f ->-,20190m ->,所以()()2019120191f m f m ->-,即()()20191h m h ->,所以20191m -<且20190m ->,解得20192020m <<, 所以实数m 的取值范围为()2019,2020. 故选D . 【点睛】易错点点睛,本题的容易忽略定义域20190m ->,切记解函数抽象不等式要优先考虑定义域.5.D解析:D 【分析】对函数求导,通过判断函数的单调性求极值点以及零点个数等. 【详解】 A 选项:由233()32f x x x e ⎛⎫=-⋅⎪⎝⎭,得()3()=e 33f x x '-,令()=0f x ', 得1x =,故(),1x ∈-∞,()0f x '<,233()32f x x x e ⎛⎫=-⋅⎪⎝⎭为减函数, ()1x ∈+∞,,()0f x '>,233()32f x x x e ⎛⎫=-⋅ ⎪⎝⎭为增函数,所以1x =是函数()f x 的极小值点,无极大值点,故A 错; B 选项: 当(),1x ∈-∞,233()32f x x x e ⎛⎫=-⋅⎪⎝⎭为减函数,故B 错; C 选项:由函数单调性可知函数至多有两个零点,故C 错;D 选项:切线斜率3(0)=-3e k f '=,所以切线方程为33y e x =-,D 正确. 故选:D 【点睛】求切线方程的步骤:①确定切点;②确定斜率;③点斜式写切线方程.6.B解析:B 【分析】由已知条件得函数()f x 为偶函数,引入()()g x xf x =,利用导数可得(0,)+∞上()g x 为增函数,结合(2)0=g 可解不等式()0>g x ,从而得()0f x >在(0,)+∞上的解,再由偶函数得出结论. 【详解】由()()1221f x f x -=-,可知()f x 为偶函数,构造新函数()()g x xf x =,则()()()g x xf x f x ''=+,当0x >时()0g x '>. 所以()()g x xf x =在()0,∞+上单调递增,又()20f =,即()20g =. 所以由()()0g x xf x =>可得2x >,此时()0f x >.又()f x 为偶函数,所以()0f x >在()(),00,-∞⋃+∞上的解集为()(),22,-∞-+∞.故选:B . 【点睛】本题考查的奇偶性与单调性,考查由导数确定函数的单调性,具有奇偶性的函数的不等式求解时,如果是偶函数,可利用单调性求出(0,)+∞上的解,然后再利用奇偶性得出{|0}x x ≠上的解集,如果是奇函数可由奇函数定义得出函数在R 上的单调性,然后由单调性解不等式.7.D解析:D 【分析】 令()()cos f x g x x =,先判断函数()g x 为奇函数,再判断函数()g x 在区间(2π-,)2π上单调递减,由()2cos ()3f f πθθ<⋅,得()()3g g πθ<,即可求出.【详解】 令()()cos f x g x x=,(2x π∈-,)2π,()f x 为奇函数,cos y x =为偶函数, ()g x ∴为奇函数.(2x π∀∈-,0),有()cos ()sin 0f x x f x x '+<,2()cos ()sin ()0f x x f x xg x cos x'+∴'=<,()g x ∴在区间(2π-,0)上单调递减,又()g x 为奇函数,()g x ∴在区间(2π-,)2π上单调递减, 当(2x π∈-,)2π,cos 0x >,()2cos ()3f f πθθ<⋅,∴()()3cos cos 3f f πθπθ<, ()()3g g πθ∴<,∴32ππθ<<故选:D 【点睛】本题主要考查利用导数研究函数的单调性、构造函数比较大小,属于难题.联系已知条件和结论,构造辅助函数是高中数学中一种常用的方法,解题中若遇到有关不等式、方程及最值之类问题,设法建立起目标函数,并确定变量的限制条件,通过研究函数的单调性、最值等问题,常可使问题变得明了,准确构造出符合题意的函数是解题的关键;解这类不等式的关键点也是难点就是构造合适的函数,构造函数时往往从两方面着手:①根据导函数的“形状”变换不等式“形状”;②若是选择题,可根据选项的共性归纳构造恰当的函数.8.B解析:B 【分析】将点()3,1的坐标代入切线方程得出k 的值,得出()3f k '=以及()31f =,再对函数()y g x =求导得()()()g x f x xf x ''=+,即可得出()3g '的值.【详解】将点()3,1代入直线2y kx =+的方程得321k +=,得13k =-,所以,()133f k '==-,由于点()3,1在函数()y f x =的图象上,则()31f =, 对函数()()g x xf x =求导得()()()g x f x xf x ''=+,()()()133331303g f f ⎛⎫''∴=+=+⨯-= ⎪⎝⎭,故选B .【点睛】本题考查导数的几何意义,在处理直线与函数图象相切的问题时,抓住以下两点: (1)函数在切点处的导数值等于切线的斜率; (2)切点是切线与函数图象的公共点.9.A解析:A 【分析】由图象可知,函数()y f x =为R 上的奇函数,且在()0,∞+上先增后减,然后逐项分析各选项中函数()y f x =的定义域、奇偶性及其在区间()0,∞+上的单调性,结合排除法可得出正确选项. 【详解】由图象可知,函数()y f x =为R 上的奇函数,且在()0,∞+上先增后减. 对于A 选项,函数()3x x f x e =的定义域为R ,()()x xx xf x f x e e---==-=-,该函数为奇函数,当0x >时,()xx f x e =,()1x xf x e -'=. 当01x <<时,()0f x '>,此时函数()y f x =单调递增;当1x >时,()0f x '<,此时函数()y f x =单调递减,合乎题意; 对于B 选项,函数()x xxf x e e-=-的定义域为{}0x x ≠,不合乎题意; 对于C 选项,函数()xx f x e=的定义域为R ,()1f e -=-,()11f e =,()()11f f -≠-,该函数不是奇函数,不合乎题意;对于D 选项,函数()xf x xe =的定义域为R ,当0x >时,()xf x xe =,()()10x f x x e '=+>,该函数在区间()0,∞+上单调递增,不合乎题意.故选:A. 【点睛】本题考查函数图象的识别,一般从函数的定义域、奇偶性、单调性、零点以及函数值符号来判断,结合排除法求解,考查分析问题和解决问题的能力,属于中等题.10.D解析:D利用函数()f x 的奇偶性和单调性确定正确选项. 【详解】()f x 的定义域为R ,()()22x x f x f x e--==,所以()f x 为偶函数,排除AB 选项.当0x >时,()22x x f x e -=,()2'22xx x f x e-++=,令'0f x 解得1x =,所以()f x 在()1递增,在)1,+∞上递减.所以C 选项不符合,D 选项符合. 故选:D 【点睛】本小题主要考查函数的奇偶性和单调性,考查利用导数研究函数的单调性.11.B解析:B 【分析】构造函数()()F x xf x =,再根据单调性解不等式,即得结果. 【详解】令()()F x xf x =,则()()()0F x f x xf x ''=+<,所以()F x 在(0,)+∞上单调递减(1)(1)f x x +>-()21f x -,2(1)(1)(1)x f x x ∴++>-()21f x -,2(1)(1)F x F x ∴+>-, 2011,2x x x ∴<+<-∴>,故选:B 【点睛】本题考查利用导数解不等式,考查基本分析求解能力,属中档题.12.B解析:B 【分析】结合函数图象比较()f x 与()f x '的大小,求出()()0f x f x -<′成立的x 的范围,求出()g x 的导数,判断其与0的关系即可.【详解】结合图象:()01x ∈,和()4x ∈+∞,时,()()f x f x '<,即()()0f x f x -<′, 而()()()0xf x f xg x e -=<′′,故()g x 在()0,1,()4,+∞递减,【点睛】本题主要考查了数形结合思想,考查函数的单调性与导数的关系,判断()f x 与()f x '的大小是解题的关键,属于中档题.二、填空题13.【分析】首先设切点坐标利用两点连线斜率公式和导数的几何意义表示出切线的斜率从而可得将问题转化为与存在两个不同的交点通过导数研究的图象从而得到的取值范围【详解】由题意得的定义域为且设切点坐标为则过原点解析:102⎛⎫⎪⎝⎭,【分析】首先设切点坐标000,ln a x x x ⎛⎫+ ⎪⎝⎭,利用两点连线斜率公式和导数的几何意义表示出切线的斜率,从而可得0002ln a x x x =-,将问题转化为2y a =与ln y x x x =- 存在两个不同的交点,通过导数研究()g x 的图象,从而得到a 的取值范围. 【详解】由题意得()f x 的定义域为()0+∞,,且()21af x x x'=-,设切点坐标为0000,ln ,0a x x x x ⎛⎫+> ⎪⎝⎭,则过原点的切线斜率002000ln 1a x x a k x x x +==-,整理得0002ln ,a x x x =-存在两条过原点的切线,∴0002ln a x x x =-存在两个不同的解.设()ln g x x x x =-,则问题等价于2y a =于()y g x =存在两个不同的交点,又()1ln 1ln ,g x x x =--=-'∴当()0,1x ∈时,()0g x '>,()g x 单调递增,当()1,x ∈+∞ 时,()0g x '<,()g x 单调递减,()()max 11g x g ∴==.又当0x →时,()0g x →;当x →+∞时,()-g x →∞,若2y a =于()y g x =存在两个不同的交点,则021a <<.解得10,2a ⎛⎫∈ ⎪⎝⎭. 故答案为:10,2⎛⎫ ⎪⎝⎭【点睛】关键点点睛:一般涉及方程根的个数,或零点个数求参数的取值范围,可通过一些方法求解:直接法,直接求解方程得到方程的根,再通过解不等式确定参数的取值范围;分离参数法:先将参数分离,转化成求函数值域问题加以解决,利用函数方程思想或数形结合思想,构建关于参数的方程或不等式求解;数形结合法:先对解析式变形,在同一平面直角坐标系中,画出函数的图象,然后观察求解,此时需要根据零点个数合理寻求找“临界”情况,特别注意边界值的取舍;14.【分析】求得函数的导数根据曲线的一条切线方程为求得切点的坐标将切点坐标代入切线方程即可求解【详解】由题意函数可得因为曲线的一条切线方程为令解得当时即切点为将切点代入可得解得故答案为:【点睛】本题主要 解析:1-【分析】求得函数的导数2xy e '=-,根据曲线的一条切线方程为0x y a ++=,求得切点的坐标,将切点坐标代入切线方程,即可求解. 【详解】由题意,函数2xy e x =-,可得2x y e '=-,因为曲线2xy e x =-的一条切线方程为0x y a ++=, 令21x e -=-,解得0x =,当0x =时,01y e ==,即切点为()0,1,将切点()0,1代入0x y a ++=,可得010a ++=,解得1a =-. 故答案为:1-. 【点睛】本题主要考查了导数的几何意义及其应用,其中解答熟记曲线在某点处的切线方程的解法是解答的关键,着重考查推理与运算能力,属于基础题.15.①②③④【分析】利用导数的几何意义求得过点的切线方程结合函数性质对每个选项进行逐一分析即可容易判断和选择【详解】设点由得切线方程:即∴∴为中点∴①正确;②正确;过原点作倾斜角等于和的2条射线与曲线的解析:①②③④ 【分析】利用导数的几何意义求得过点P 的切线方程,结合函数性质,对每个选项进行逐一分析,即可容易判断和选择. 【详解】设点()1,0P a a a ⎛⎫> ⎪⎝⎭, 由21y x '=-得切线方程:()211y x a a a -=--,即212y x a a=-+ ∴()2,0A a ,20,B a ⎛⎫ ⎪⎝⎭,∴1,P a a ⎛⎫⎪⎝⎭为AB 中点,∴PA PB =,①正确;1122222AOB S OA OB a a=⋅=⨯⨯=△,②正确; 过原点作倾斜角等于15︒和75︒的2条射线与曲线的交点为,M N 由对称性可知OMN 中,=OM ON ,又60MON ∠=︒,∴OMN 为等边三角形,③正确;过原点作2条夹角等于45︒的射线与曲线交于点,M N ,当直线OM 的倾斜角从90︒减少到45︒的过程中,OMON的值从+∞变化到0, 在此变化过程中必然存在OMON2和22的时刻, 此时OMN 为等腰直角三角形,④正确. ∴真命题的个数为4个. 故答案为:①②③④. 【点睛】本题考查导数的几何意义,涉及函数性质的应用,属综合中档题.16.【分析】由题得即得所以设利用导数求函数的最值即可【详解】由导数的几何意义知点处的切线的斜率为点处的切线的斜率为函数的图象在点处的切线互相垂直时有由可得即因为所以所以设可得即在递增可得有最大值故答案为 解析:e【分析】由题得12xx e =,即得21>x ,101x <≤.所以1211x x x x e =,设()(01)x h x xe x =<,利用导数求函数的最值即可. 【详解】由导数的几何意义知,点A 处的切线的斜率为1()f x ',点B 处的切线的斜率为2()f x ', 函数()f x 的图象在点A ,B 处的切线互相垂直时,有12()()1f x f x ''=-,由(1)x x e e -'=-,1()lnx x'=,可得1211x e x -=-,即12x x e =, 因为21>x ,所以101x <≤. 所以1211x x x x e =,设()(01)x h x xe x =<,可得()(1)0x h x x e '=+>, 即()h x 在(0,1]递增,可得()h x 有最大值11=e e ⨯, 故答案为:e【点睛】本题主要考查导数的几何意义,考查利用导数求函数的最值,意在考查学生对这些知识的理解掌握水平.17.①④【分析】令求导后求得函数的单调性后即可判断①②;令求导求得函数的单调性后即可判断③④;即可得解【详解】令则易知当时单调递增由则存在使得当时单调递减;当时单调递增;当时即此时故②错误;即故①正确;解析:①④ 【分析】 令()()ln 0x f x e x x =->,求导后求得函数()f x 的单调性后,即可判断①、②;令()()0xe h x x x=>,求导求得函数()h x 的单调性后,即可判断③、④;即可得解.【详解】令()()ln 0x f x e x x =->,则()1x f x e x'=-, 易知当()0,x ∈+∞时,()f x '单调递增, 由131303f e ⎛⎫'=-< ⎪⎝⎭,()110f e '=->, 则存在01,13x ⎛⎫∈ ⎪⎝⎭使得()00f x '=,∴当()00,x x ∈时,()0f x '<,()f x 单调递减;当()0,x x ∈+∞时,()0f x '>,()f x 单调递增; 1201x x ,∴当02x x =时,()()21f x f x <即2121ln ln x x e x e x -<-,∴此时2121ln ln x x e e x x -<-,故②错误;341x x <<,∴()()43f x f x >即3443ln ln x x e x e x ->-, ∴3443ln ln x x e e x x ->-,故①正确;令()()0xe h x x x =>,()()21x e x h x x -'=, ∴当()0,1x ∈时,()0h x '<,()h x 单调递减;当()1,x ∈+∞时,()0h x '>,()h x 单调递增;2301x x <<<,∴()2h x 与()3h x 的大小无法确定即23x x e 、32x x e 的大小无法确定,故③错误; 121x x ,∴()()21h x h x <即2121x x e e x x <,∴1221x x x e x e >,故④正确.故答案为:①④. 【点睛】本题考查了导数的应用,考查了构造新函数的能力和推理能力,属于中档题.18.-10【解析】【分析】先求导分别求出导函数的最值再根据不存在x1x2∈R 使得f′(x1)=g′(x2)得到关于a 的不等式解得即可【详解】∵函数f (x )=ex ﹣ax 函数g (x )=﹣x3﹣ax2∴f′( 解析:【解析】 【分析】先求导,分别求出导函数的最值,再根据不存在x 1,x 2∈R ,使得f ′(x 1)=g ′(x 2),得到关于a 的不等式解得即可. 【详解】∵函数f (x )=e x ﹣ax ,函数g (x )=﹣x 3﹣ax 2, ∴f ′(x )=e x ﹣a >﹣a ,g ′(x )=﹣x 2﹣2ax =﹣(x )2,∵不存在x 1,x 2∈R ,使得f ′(x 1)=g ′(x 2), ∴,解得-1≤a ≤0,故答案为.【点睛】本题考查了导数的运算法则和函数的最值问题,以及不等式的解法,属于中档题.19.【分析】由于函数在上递减利用导函数恒小于或等于零由此求得实数的值【详解】依题意在上恒成立则需恒成立有两个相等的实数根故【点睛】本小题主要考查利用导数研究函数的单调性考查除法的导数考查一元二次不等式恒 解析:2-【分析】由于函数在R 上递减,利用导函数恒小于或等于零,由此求得实数a 的值. 【详解】 依题意,()()()20xx a x f x e+-+'=≤在R 上恒成立,则需()()20x a x +-+≤恒成立,()()20x a x +-+=有两个相等的实数根,故2a =-.【点睛】本小题主要考查利用导数研究函数的单调性,考查除法的导数,考查一元二次不等式恒成立问题,属于中档题.20.【解析】分析:求出函数的导数求得切线的斜率由斜截式方程即可得到所求切线的方程详解:的导数为在点(01)处的切线斜率为即有在点(01)处的切线方程为故答案为点睛:近几年高考对导数的考查几乎年年都有利用 解析:210x y -+=【解析】分析:求出函数sin xy x e =+的导数,求得切线的斜率,由斜截式方程,即可得到所求切线的方程.详解:sin xy x e =+的导数为'cos xy x e =+, 在点(0,1)处的切线斜率为0cos02k e =+=, 即有在点(0,1)处的切线方程为210x y -+=. 故答案为210x y -+=.点睛:近几年高考对导数的考查几乎年年都有,利用导数的几何意义,求曲线的切线方程是导数的重要应用之一,曲线()y f x =在点0x 的导数0'()f x 就是曲线在该点的切线的斜率,我们通常用导数的这个几何意义来研究一些与曲线的切线有关的问题,用导数求切线方程的关键在于求切点坐标和斜率,分清是求在曲线某点处的切线方程,还是求过某点处的曲线切线方程.三、解答题21.(1)单调递减区间为30,5⎡⎫⎪⎢⎣⎭,单调递增区间为3,5⎛⎫+∞ ⎪⎝⎭;(2)53. 【分析】(1)由1a =得()5322f x x x =-,0x ≥,对函数求导,解对应的不等式,即可得出单调区间;(2)先对函数求导,分别讨论0a ≤,3025a <≤,325a >三种情况,利用导数的方法研究函数在区间[]0,2上的单调性,求出最值,列出等式求解,即可得出结果. 【详解】(1)当1a =时,())53222f x x x x x =-=-,0x ≥,所以())3122535322f x x x x '=-=-, 由()0f x '>可得35x >;由()0f x '<可得305x ≤<,所以函数()f x 的单调递减区间为30,5⎡⎫⎪⎢⎣⎭,单调递增区间为3,5⎛⎫+∞ ⎪⎝⎭;(2)因为())53222f x x ax x ax =-=-,[]0,2x ∈,所以())3122535322f x x ax x a '=-=-,由()0f x '=得35x a =;若0a ≤时,())530f x x a '-≥在[]0,2上恒成立,所以()f x 在[]0,2上单调递增, 最小值为()00f =不满足题意;若3025a <≤,即1003a <≤时,当30,5x a ⎛⎫∈ ⎪⎝⎭时,()0f x '<,则函数()f x 单调递减;当3,25x a ⎛⎫∈ ⎪⎝⎭时,()0f x '>,则函数()f x 单调递增;所以()222min 393625255253f x f a a a a ⎛⎫⎫==-=-=- ⎪⎪⎝⎭⎭,则29125a , 即52315a ⎛⎫= ⎪⎝⎭,所以53a =,满足1003a <≤; 若325a >,即103a >时,()0f x '<在[]0,2上恒成立,所以函数()f x 在[]0,2上单调递减,因此()())min 22423f x f a =-=-,解得2a =,不满足103a >;综上,53a =. 【点睛】 方法点睛:利用导数研究函数单调性的方法:(1)确定函数()f x 的定义域;求导函数()'f x ,由()0f x '>(或()0f x '<)解出相应的x 的范围,对应的区间为()f x 的增区间(或减区间);(2)确定函数()f x 的定义域;求导函数()'f x ,解方程()0f x '=,利用()0f x '=的根将函数的定义域分为若干个子区间,在这些子区间上讨论()'f x 的正负,由符号确定()f x 在子区间上的单调性.22.(1)1x =是函数的极大值点,无极小值点;(2)[)1,+∞. 【分析】(1)求得()g x ,进而得到()g x ',判断()g x '与0的关系即可得出函数()g x 的单调区间,得极值点;(2)引入新函数()()22m m x f x x =-,依题意可得函数()m x 在()0,∞+上单调递减,求导可知1ln xm x+≥在()0,∞+上恒成立,结合函数()g x 的单调性,求得()g x 在()0,∞+上的最大值,即可得到实数m 的取值范围.【详解】 解:(1)()1ln f x x '=+,()1ln xg x x+=, ()2ln xg x x ∴'=-, 显然,当()0,1x ∈时,()0g x '>,当()1,x ∈+∞时,()0g x '<,∴函数()g x 的单调递增区间为()0,1,单调递减区间为()1,+∞,故1x =是函数的极大值点;(2)对于()()()2221212m x x f x f x ->-可化为()()22112222m m f x x f x x ->-, 令()()22m m x f x x =-,210x x >>,()m x ∴在()0,∞+上单调递减,()1ln 0m x x mx ∴'=+-≤在()0,∞+上恒成立,即1ln xm x+≥, 又()1ln xg x x+=在()0,1上单调递增,在()1,+∞上单调递减, ()g x ∴的最大值为()11g =,1m ∴≥,即实数m 的取值范围为[)1,+∞.【点睛】关键点点睛:本题考查利用导数研究函数的单调性及不等式恒成立求参数的取值范围,解题关键是引入新函数()()22m m x f x x =-,已知不等式说明了此函数的单调性,由导数根据此函数单调性可求得参数范围.23.(Ⅰ)2;(Ⅱ)30,4⎛⎫⎪⎝⎭.【分析】(Ⅰ)设()()()001122,,,,,P x y A x y B x y ,利用斜率公式得到直线PA 、PB 、AB 的斜率,根据直线PA 、PB 的倾斜角互补.得到01220y y y ++=,根据三角形的重心的坐标公式可得122y y +=,从而可得2k =;(Ⅱ)联立直线:2l y x b =+与抛物线方程,根据弦长公式求出||AB ,利用点到直线的距离公式求出AB 边上的高,根据面积公式求出面积,再利用导数求出取值范围即可. 【详解】(Ⅰ)设()()()001122,,,,,P x y A x y B x y ,则010122010101444PA y y y y k y y x x y y --===-+-,同理可得021244,PBAB k k y y y y ==++, 因为直线PA 、PB 的倾斜角互补,所以0102440y y y y +=++, 即01220y y y ++=, 又PAB △重心的纵坐标为13,根据三角形的重心的坐标公式可得0121y y y ++=, 所以122y y +=,所以422AB k k ===. (Ⅱ)由(Ⅰ)知直线:2l y x b =+,与抛物线方程联立,并整理得2244(1)0x b x b +-+=,其判别式22116(1)1602b b b ∆=-->⇒<,所以102b <<.而212111,4b x x b x x +=-=,因此,||AB ===又由(Ⅰ)知,01y =-,所以200144y x ==,所以1,14P ⎛⎫- ⎪⎝⎭,1,14P ⎛⎫- ⎪⎝⎭到直线:20l x y b -+=的距离为1|21|b d ⨯++==所以113||222PAB S AB d b ⎛⎫=⋅=+= ⎪⎝⎭△ 令231()(12),022f b b b b ⎛⎫⎛⎫=-+<< ⎪ ⎪⎝⎭⎝⎭, 则()2333()2122(61)0222f b b b b b b ⎛⎫'⎛⎫⎛⎫=-++-⨯+=-++< ⎪ ⎪ ⎪⎝⎭⎝⎭⎝⎭恒成立, 故()f b 在10,2⎛⎫ ⎪⎝⎭上单调递减,所以9()(0,)4f b ∈, 故30,4PAB S ⎛⎫∈ ⎪⎝⎭. 【点睛】结论点睛:本题中用到的结论:①三角形的重心的坐标公式,若三角形的三个顶点的坐标为112233(,),(,),(,)A x y B x y C x y ,则三角形的重心的坐标为123123,33x x x y y y ++++⎛⎫ ⎪⎝⎭, ②弦长公式:||AB =能力,属于中档题.24.(Ⅰ)2b =-;(Ⅱ)c 的取值范围是()(),12,-∞-+∞.(Ⅲ)成立,证明见解析. 【分析】(Ⅰ)由题意得f (x )在x =1处取得极值所以f ′(1)=3﹣1+b =0所以b =﹣2.(Ⅱ)利用导数求函数的最大值即g (x )的最大值,则有c 2>2+c ,解得:c >2或c <﹣1.(Ⅲ)对任意的x 1,x 2∈[﹣1,2],|f (x 1)﹣f (x 2)|72≤恒成立,等价于|f (x 1)﹣f (x 2)|≤f (x )max ﹣f (x )min 72=. 【详解】 (Ⅰ)∵f (x )=x 312-x 2+bx +c , ∴f ′(x )=3x 2﹣x +b .∵f (x )在x =1处取得极值,∴f ′(1)=3﹣1+b =0.∴b =﹣2.经检验,符合题意.(Ⅱ)f (x )=x 312-x 2﹣2x +c . ∵f ′(x )=3x 2﹣x ﹣2=(3x +2)(x ﹣1),当x ∈(﹣1,23-)时,f ′(x )>0 当x ∈(23-,1)时,f ′(x )<0 当x ∈(1,2)时,f ′(x )>0∴当x 23=-时,f (x )有极大值2227+c . 又f (2)=2+c 2227+>c ,f (﹣1)12=+c 2227+<c ∴x ∈[﹣1,2]时,f (x )最大值为f (2)=2+c .∴c 2>2+c .∴c <﹣1或c >2. (Ⅲ)对任意的x 1,x 2∈[﹣1,2],|f (x 1)﹣f (x 2)|72≤恒成立. 由(Ⅱ)可知,当x =1时,f (x )有极小值32-+c . 又f (﹣1)12=+c 32-+>c ∴x ∈[﹣1,2]时,f (x )最小值为32-+c . ∴|f (x 1)﹣f (x 2)|≤f (x )max ﹣f (x )min 72=,故结论成立. 【点睛】 本题考查函数的极值及最值的应用,易错点是知极值点导数为0要检验,结论点睛:|f (x 1)﹣f (x 2)|≤a 恒成立等价为f (x )max ﹣f (x )min ≤a25.(1)答案见解析;(2)证明见解析.【分析】(1)求出导函数()'f x ,分类讨论确定()'f x 的正负,得增减区间;(2)不等式变形为ln 20x e x -->,令()ln 2x h x e x =--,由()h x '的单调确定其有唯一零点0x ,得出0x 为()h x 极小值点,也是最小值点,证明最小值即得.【详解】(1)由题意知,函数()f x 的定义域为(0,)+∞ 由已知得26(6)(6)(1)()6(6)a x a x a x a x f x x a x x x+---+=+--==' 当0a 时,()0f x '>,函数()f x 在(0,)+∞上单调递增,所以函数()f x 的单调递增区间为(0,)+∞当0a >时,由()0f x '>,得6a x >,由()0f x '<,得06a x << 所以函数()f x 的单调递增区间为,6a ∞⎛⎫+ ⎪⎝⎭,单调递减区间为0,6a ⎛⎫ ⎪⎝⎭综上,当0a 时,函数()f x 的单调递增区间为(0,)+∞,0a >时,函数()f x 的单调递增区间为,6a ∞⎛⎫+ ⎪⎝⎭,单调递减区间为0,6a ⎛⎫ ⎪⎝⎭. (2)当1a =时,不等式2()352x f x e x x +>++可变为ln 20x e x -->. 令()ln 2x h x e x =--,则1()xh x e x '=-,可知函数()h x '在(0,)+∞单调递增,.. 而131303h e ⎛⎫=-< ⎪'⎝⎭,(1)10h e '=-> 所以方程()0h x '=在(0,)+∞上存在唯一实根0x ,即001x e x = 当()00,x x ∈时,()0h x '<,函数()h x 单调递减;当()0,x x ∈+∞时,()0h x '>,函数()h x 单调递增;所以()00min 00000111()ln 2ln 220x x h x h x e x x x e x ==--=--=+-> 即 ln 20x e x -->在(0,)+∞上恒成立,所以对任意20,()352x x f x e x x >+>++成立.【点睛】关键点点睛:本题考查用导数求函数的单调区间,考查不等式恒成立问题.把不等式化简后,引入新函数,由导数得出新函数的最值,证明最值符合不等关系即可证原不等式.这里对导函数的零点不能求得具体数,可以得出其存在性,得出其性质(范围),然后利用导数的零点化简原函数的最值,以证结论.26.(1)54a =;(2)单调递减区间是()0,5,单调递增区间是()5,+∞. 【分析】(1)求导,使()12f '=-求解a 的值;(2)将(1)中所求a 的值代入,求解()0f x '>和()0f x '<的区间,从而得出函数()f x 的单调区间.【详解】(1)对()f x 求导得()2114a f x x x=--', 由()f x 在点()()1,1f 处的切线垂直于直线12y x =,知()3124f a '=--=-,解得54a =. (2)由(1)知()()53ln 0442x f x x x x =+-->,则()22454x x f x x'--=, 令()0f x '=,解得1x =-或5x =,因为1x =-不在()f x 的定义域()0,∞+内,所以舍去.当()0,5x ∈时,()0f x '<,故()f x 在()0,5内单调递减; 当()5,x ∈+∞时,()0f x '>,故()f x 在()5,+∞内单调递增. 故()f x 的单调递减区间是(0,5),单调递增区间是()5,+∞.【点睛】本题考查导数的几何意义,考查函数单调区间的求解,难度一般.。
一、选择题1.若函数21()f x x ax x =++在1,12⎛⎤⎥⎝⎦是增函数,则a 的取值范围是( ) A .[1,0]-B .[1,)-+∞C .[0,3]D .[3,)+∞2.已知函数()5332f x x x x =+++,若()()24f a f a +->,则实数a 的取值范围是( ) A .(),1-∞B .(),2-∞C .()1,+∞D .()2,+∞3.已知函数()322213x f x ax bx c ++=+,函数()f x 的两个极值点分别在区间()0,1与()1,2内,则2+a b 的取值范围为 ( ) A .()3,1-- B .()2,1--C .()1,-+∞D .()3,-+∞4.已知函数2()ln f x a x x =+,0a >,若曲线()y f x =在点(1,1)处的切线是曲线()y f x =的所有切线中斜率最小的,则a =( )A .12B .1CD .25.已知函数2()85f x x x =---,()x e exg x ex+=,实数m ,n 满足0m n <<,若1x ∀∈[],m n ,2x ∃∈()0,∞+,使得()()12f x g x =成立,则n m -的最大值为( )A .7B .6C .D .6.已知a R ∈,0b ≠,若x b =是函数()()()2f x x b x ax b =-++的极小值点,则实数b 的取值范围为( ) A .1b <且0b ≠ B .1b >C .2b <且0b ≠D .2b >7.已知函数2()f x x a =-+,2()x g x x e ,若对于任意的2[1,1]x ∈-,存在唯一的112[,]2x ∈-,使得12()()f x g x =,则实数a 的取值范围是( )A .(e ,4)B .(e 14+,4] C .(e 14+,4) D .(14,4] 8.已知定义在R 上的奇函数()f x 满足()()2f x xf'x 0->(x 0>),则( )A .()((6f 13f 2f ->>B .((()2f 3f 6f 1>>-C .()((6f 12f 3f ->>D .((()3f 2f 6f 1>>-9.已知函数()f x 的图象如图所示,则()f x 可以为( )A .()3x x f x e=B .()x x xf x e e -=- C .()xx f x e = D .()xf x xe =10.若函数()33=-f x x x 在区间()5,21a a -+上有最小值,则实数a 的取值范围是( ) A .(]1,4- B .()1,4- C .11,2⎛⎤- ⎥⎝⎦D .11,2⎛⎫- ⎪⎝⎭11.已知()f x 是定义在R 上的可导函数,()f x y e '=的图象如下图所示,则()y f x =的单调减区间是( )A .(),1-∞-B .(),2-∞C .()0,1D .()1,212.已知函数f x =x+cosx (),则f'=6π⎛⎫⎪⎝⎭( ) A .12B .32C .312-D .32第II 卷(非选择题)请点击修改第II 卷的文字说明参考答案二、填空题13.已知x y ,均为正实数.1x y +=.则1y x y+的最小值为________. 14.若函数()ln af x x x=+(a 为常数)存在两条均过原点的切线,则实数a 的取值范围是________.15.函数()sin cos f x x x x =+在,6ππ⎡⎤⎢⎥⎣⎦上的最大值为________. 16.已知()y f x =是奇函数,当(0,2)x ∈时,1()()2f x lnx ax a =->,当(2,0)x ∈-时,()f x 的最小值为1,则a =________.17.若点()()()112212,,,A x y B x y x x <是函数1,1()ln ,1x e x f x x x ⎧-+≤=⎨>⎩的图象上任意两点,且函数()f x 分别在点A 和点B 处的切线互相垂直,则12x x 的最大值为 __________. 18.已知函数()1ln f x x x =--,对定义域内的任意x 都有()2f x kx ≥-,则实数k 的取值范围是______.19.已知101098109810()(21)f x x a x a x a x a x a =-=+++++,则222223344C a C a C a ++21010C a ++= _________.20.已知函数()()221f x x xf '=+,则()1f 的值为__________.三、解答题21.已知函数311()ln 62f x x x x x =+-. (1)求曲线()y f x =在点(1,(1)f )处的切线方程;(2)若()f x a <对1(,)x e e∈恒成立,求a 的最小值.22.已知函数()e x f x ax b =-,且函数()f x 的图象在点(0,(0))f 处的切线斜率为1a -. (1)求b 的值; (2)求函数()f x 的最值; 23.已知函数321()2()32a f x x x x a R =-+-∈. (1)当3a =时,求函数()f x 的单调递减区间;(2)若对于任意[)1,x ∈+∞都有()()21f x a '<-成立,求实数a 的取值范围. 24.已知函数()3f x x ax b =-+在1x =处的切线方程为0y =.(1)求实数a 、b 的值;(2)求函数()f x 在区间[]1,2-上的最大值与最小值之和. 25.设函数()()2ln 23f x x x =++.(1)讨论()f x 的单调性; (2)求()f x 在区间31,44⎡⎤-⎢⎥⎣⎦上的最大值和最小值. 26.已知函数f (x )=ax 3+bx +c 在x =2处取得极值为c ﹣16.(1)求a 、b 的值;(2)若f (x )有极大值28,求f (x )在[﹣3,3]上的最大值和最小值.【参考答案】***试卷处理标记,请不要删除一、选择题 1.D 解析:D 【分析】先求出()32221212x ax f x x a x x+-=+-=',由()f x 在1,12⎛⎤ ⎥⎝⎦是增函数,则()0f x '≥在1,12⎛⎤ ⎥⎝⎦上恒成立,即32210x ax +-,也即212a x x -+在1,12x ⎛⎤∈ ⎥⎝⎦上恒成立, 【详解】()32221212x ax f x x a x x +-=+-=', 令32()21g x x ax =+-,要使函数21()f x x ax x =++在1,12⎛⎤⎥⎝⎦是增函数,则有()32210g x x ax =+-≥在1,12x ⎛⎤∈ ⎥⎝⎦上恒成立,即32210x ax +-,即212a x x -+在1,12x ⎛⎤∈ ⎥⎝⎦上恒成立, 令21()2h x x x =-+,32()20h x x '=--<,所以()h x 在1,12⎛⎤ ⎥⎝⎦上单调递减, 故1()32h x h ⎛⎫<= ⎪⎝⎭,所以3a ≥故选:D. 【点睛】关键点睛:本题考查根据函数单调性求参数的范围,解答本题的关键是()f x 在1,12⎛⎤ ⎥⎝⎦是增函数转化为()0f x '≥在1,12⎛⎤⎥⎝⎦上恒成立,即32210x ax +-,分离参数即212a x x -+在1,12x ⎛⎤∈ ⎥⎝⎦上恒成立,属于中档题.2.C解析:C 【分析】根据题意,设()()5323g x f x x x x =-=++,分析可得()g x 为奇函数且在R 上为增函数,据此可得原不等式等价于()()2g a g a >-,结合函数的单调性可得2a a >-,解可得a 的取值范围,即可得答案. 【详解】解:根据题意,设()()5323g x f x x x x =-=++,其定义域为R ,则()()()533g x x x x g x -=-++=-,则()g x 为奇函数,又由()425910g x x x '=++>,则()g x 在R 上为增函数,故()()()()()()24222222f a f a f a f a f a f a ⎡⎤+->⇒->--+⇒->---⎣⎦()()2g a g a ⇒>--()()2g a g a ⇒>-,必有2a a >-,解得1a >,即a 的取值范围为()1,+∞. 故选:C . 【点睛】利用函数奇偶性和单调性解不等式问题:(1)()f x 是奇函数,图像关于原点中心对称,利用奇函数性质将不等式()()12f g x f g x ⎡⎤⎡⎤<⎣⎦⎣⎦形式,再利用单调性得到()1g x 和()2g x 的大小关系,再解不等式即可;(2)()f x 是偶函数,图像关于y 轴对称,利用偶函数性质将不等式()()12f g x f g x ⎡⎤⎡⎤<⎣⎦⎣⎦形式,再利用单调性得到()1g x 和()2g x 的大小关系,再解不等式即可.3.B解析:B 【分析】求得()22f x x ax b '=++,根据题意可得出()()()001020f f f '''⎧>⎪<⎨⎪>⎩,利用不等式的基本性质可求得2+a b 的取值范围. 【详解】由()322213x f x ax bx c ++=+,求导()22f x x ax b '=++,因为函数()f x 的两个极值点分别在区间()0,1与()1,2内, 即方程220x ax b ++=的两个根分别在区间()0,1与()1,2内,即()()()020*********f b f a b f a b ⎧=>⎪=++<⎨⎪=++>''⎩',则0212b a b a b >⎧⎪+<-⎨⎪+>-⎩, 所以,()22a b a b b +=++>-. 综上所述,2+a b 的取值范围是()2,1--. 故选:B. 【点睛】方法点睛:本题考查利用二次函数的零点分布求参数,一般要分析以下几个要素: (1)二次项系数的符号; (2)判别式; (3)对称轴的位置; (4)区间端点函数值的符号. 结合图象得出关于参数的不等式组求解.4.D解析:D 【分析】()y f x =的所有切线的斜率即为()2af x x x'=+(0x >)的值域,由题意知当1x =时()f x '取得最小值,由基本不等式可知()2a x f x x '=+≥=,当且仅当2ax x =即22a x =时()f x '取得最小值,可得2a = 【详解】 因为2()ln f x a x x =+,定义域为()0,∞+,所以()2af x x x'=+, 由导数的几何意义可知:当1x =时()f x '取得最小值, 因为0a >,0x >,所以()2a x f x x '=+≥=, 当且仅当2ax x=即22a x =时()f x '取得最小值, 又因为1x =时()f x '取得最小值,所以2212a =⨯=, 故选:D 【点睛】关键点点睛:本题的关键点是由导数的几何意义可得当1x =时()2af x x x'=+取得最小值,再利用基本不等式求()f x '取得最小值时满足2ax x=即22a x =,即可求出a 的值. 5.B解析:B 【分析】先用导数法研究()y g x =,然后的同一坐标系中作出函数()y f x =与()y g x =的图象,根据[]1,x m n ∀∈,()20,x ∃∈+∞,使得()()12f x g x =成立求解. 【详解】因为()x e exg x ex+=,所以()()211x x e x e g x ex ex '-⎛⎫'=+= ⎪⎝⎭, 当01x <<时,()0g x '<,当1x >时,()0g x '>,()10g '=, 所以()g x 在1x =处取得极小值,且为定义域内唯一极值,()()min 12g x g ∴==.()22185()4111f x x x x -==---++≤,作函数()y f x =与()y g x =的图象, 如图所示:当()2f x =时,方程两根分别为7-和1-, 则n m -的最大值为:()176---=. 故选:B 【点睛】关键点睛:利用导数和二次函数的性质,作出图像,利用数形结合进行求解,考查了转化化归的的思想、运算求解,以及数形结合的能力,属于中档题.6.B解析:B 【分析】由x b =既是()f x 的极小值点,又是零点,且()f x 的最高次项系数为1,因此可设2()()()f x x b x m =-+,这样可求得1m =-,然后求出()'f x ,求得()'f x 的两个零点,一个零点是b ,另一个零点2x 必是极大值点,由2b x >可得b 的范围. 【详解】因为()0f b =,x b =是函数()f x 的极小值点,结合三次函数的图象可设2()()()f x x b x m =-+,又2()()()f x x b x ax b =-++,令0x =得22b m b =-,1m =-,即2()(1)()f x x x b =--,22()3(42)2f x x b x b b '=-+++()(32)x b x b =---,由()0f x '=得1x b =,223b x +=, x b =是极小值点,则23b +是极大值点,23b b +>,所以1b >. 故选:B . 【点睛】本题考查导数与极值点的关系,解题关键是结合零点与极值点,设出函数表达式,然后再求极值点,由极小值点大于极大值点可得所求范围.7.B解析:B 【分析】结合导数和二次函数的性质可求出()f x 和()g x 的值域,结合已知条件可得[0e 4[]a ⊆-,,1)4a -,从而可求出实数a 的取值范围. 【详解】解:g (x )=x 2e x 的导函数为g ′(x )=2xe x +x 2e x =x (x +2)e x ,当0x =时,()0g x '=, 由[)1,0x ∈-时,()0g x '<,(]0,1x ∈时,()0g x '>,可得g (x )在[–1,0]上单调递减,在(0,1]上单调递增,故g (x )在[–1,1]上的最小值为g (0)=0,最大值为g (1)=e , 所以对于任意的2[1,1]x ∈-,2()[0,e]g x ∈.因为2y x a =-+开口向下,对称轴为y 轴, 又10202--<-,所以当0x =时,max ()f x a =,当2x =时,min ()4f x a =-, 则函数2()f x x a =-+在[12-,2]上的值域为[a –4,a ],且函数f (x )在11[,]22-,图象关于y 轴对称,在(12,2]上,函数()f x 单调递减.由题意,得[0e 4[]a ⊆-,,1)4a -, 可得a –4≤0<e <14a -,解得e 14+<a ≤4.故选:B . 【点睛】本题考查了利用导数求函数的最值,考查了二次函数的性质,属于中档题.本题的难点是12()()f x g x =这一条件的转化.8.B解析:B 【分析】根据条件的结构特点构造函数,利用导数以及已知条件判断函数的单调性,然后转化求解即可. 【详解】设g (x )=()2x f x ,定义在R 上的奇函数f (x ),所以g (x )是奇函数,x >0时,g′(x )=()()()()22'x f x xf x f x -,因为函数f (x )满足2f (x )﹣xf'(x )>0(x >0),所以g′(x )>0,所以g (x )是增函数,g (g =()11f -,可得:((()2361f f f ->>. 故选B . 【点睛】本题主要考查了函数的单调性的应用,其中解答中构造新函数()()2x g x f x =,利用导数得到函数()g x 的单调性,利用函数的单调性进行比较是解答的关键,着重考查了分析问题和解答问题的能力,属于中档试题.9.A解析:A 【分析】由图象可知,函数()y f x =为R 上的奇函数,且在()0,∞+上先增后减,然后逐项分析各选项中函数()y f x =的定义域、奇偶性及其在区间()0,∞+上的单调性,结合排除法可得出正确选项. 【详解】由图象可知,函数()y f x =为R 上的奇函数,且在()0,∞+上先增后减. 对于A 选项,函数()3x x f x e =的定义域为R ,()()x xx xf x f x e e---==-=-,该函数为奇函数,当0x >时,()xx f x e=,()1x xf x e -'=. 当01x <<时,()0f x '>,此时函数()y f x =单调递增;当1x >时,()0f x '<,此时函数()y f x =单调递减,合乎题意; 对于B 选项,函数()x xxf x e e -=-的定义域为{}0x x ≠,不合乎题意;对于C 选项,函数()xx f x e=的定义域为R ,()1f e -=-,()11f e =,()()11f f -≠-,该函数不是奇函数,不合乎题意;对于D 选项,函数()xf x xe =的定义域为R ,当0x >时,()xf x xe =,()()10x f x x e '=+>,该函数在区间()0,∞+上单调递增,不合乎题意.故选:A. 【点睛】本题考查函数图象的识别,一般从函数的定义域、奇偶性、单调性、零点以及函数值符号来判断,结合排除法求解,考查分析问题和解决问题的能力,属于中等题.10.C解析:C 【分析】对函数()f x 进行求导,可得函数()f x 在区间(),1-∞-上单调递减,在区间()1,1-上单调递增,在区间()1,+∞上单调递减,可得(1)2f -=-,令()2f x =-,可得1x =-或2x =,可得()f x 的图像,由函数在区间()5,21a a -+上有最小值,数形结合可得关于a的不等式,计算可得答案. 【详解】解:由3()3f x x x =-,可得()2333(1)(1)f x x x x '=-+=--+,当11x -<<,()0f x '>,当1x <-或1x >时,()0f x '<,所以函数()f x 在区间(),1-∞-上单调递减,在区间()1,1-上单调递增,在区间()1,+∞上单调递减,可得(1)2f -=-,令()2f x =-,可得1x =-或2x =,则()f x 的图像如图所示,因为函数在区间()5,21a a -+上有最小值,故51212a a -<-<+, 解得:112a -<, 故选:C. 【点睛】本题主要考查利用导数研究含参函数的最值问题,体现了数形结合的数学思想,考查学生的计算能力,属于中档题.11.B解析:B 【解析】分析:先根据图像求出()1f x e '≤,即得()0f x '≤,也即得结果. 详解:因为当2x ≤时,()1f x e '≤,所以当2x ≤时,()0f x '≤, 所以()y f x =的单调减区间是(),2-∞, 选B.点睛:函数单调性问题,往往转化为导函数符号是否变号或怎样变号问题,经常转化为解方程或不等式.12.A解析:A 【分析】 求导,将6x π=代入即可求出6f π⎛⎫⎪⎝⎭'.. 【详解】已知函数f x =x+cosx,'x =1-sinx,f ∴()() 则 11sin .662f ππ⎛⎫=-'= ⎪⎝⎭故选A. 【点睛】本题考查函数在一点处的导数的求法,属基础题.二、填空题13.【分析】均为正实数可得所以再利用导数研究单调性极值与最值即可求解【详解】因为所以所以令则令即解得此时单调递增令即解得此时单调递减所以时所以时的最小值为3故答案为:【点睛】本题主要考查了利用导数求函数 解析:3【分析】x y ,均为正实数,1x y +=,可得10x y =->,所以01y <<, ()11111y f y x y y y+=+-=-再利用导数研究单调性极值与最值即可求解. 【详解】因为1x y +=,所以1x y =-, 所以()11111111111y y y x y y y y y y y--++=+=+=+----, 令()1111f y y y=+--, 则()()()222211211y f y y y y y -'=-+=--令()0f y '>,即210y ->,解得112y << ,此时()f y 单调递增, 令()0f y '<,即210y -<,解得102y <<,此时()f y 单调递减, 所以12y =时,()min 11131122f y =+-=,所以12x y ==时1y x y+的最小值为3, 故答案为:3 【点睛】本题主要考查了利用导数求函数的最值,属于中档题.14.【分析】首先设切点坐标利用两点连线斜率公式和导数的几何意义表示出切线的斜率从而可得将问题转化为与存在两个不同的交点通过导数研究的图象从而得到的取值范围【详解】由题意得的定义域为且设切点坐标为则过原点解析:102⎛⎫⎪⎝⎭,【分析】首先设切点坐标000,ln a x x x ⎛⎫+⎪⎝⎭,利用两点连线斜率公式和导数的几何意义表示出切线的斜率,从而可得0002ln a x x x =-,将问题转化为2y a =与ln y x x x =- 存在两个不同的交点,通过导数研究()g x 的图象,从而得到a 的取值范围. 【详解】由题意得()f x 的定义域为()0+∞,,且()21af x x x '=-,设切点坐标为0000,ln ,0a x x x x ⎛⎫+> ⎪⎝⎭,则过原点的切线斜率002000ln 1a x x a k x x x +==-,整理得0002ln ,a x x x =-存在两条过原点的切线,∴0002ln a x x x =-存在两个不同的解.设()ln g x x x x =-,则问题等价于2y a =于()y g x =存在两个不同的交点,又()1ln 1ln ,g x x x =--=-'∴当()0,1x ∈时,()0g x '>,()g x 单调递增,当()1,x ∈+∞ 时,()0g x '<,()g x 单调递减,()()max 11g x g ∴==.又当0x →时,()0g x →;当x →+∞时,()-g x →∞,若2y a =于()y g x =存在两个不同的交点,则021a <<.解得10,2a ⎛⎫∈ ⎪⎝⎭. 故答案为:10,2⎛⎫ ⎪⎝⎭【点睛】关键点点睛:一般涉及方程根的个数,或零点个数求参数的取值范围,可通过一些方法求解:直接法,直接求解方程得到方程的根,再通过解不等式确定参数的取值范围;分离参数法:先将参数分离,转化成求函数值域问题加以解决,利用函数方程思想或数形结合思想,构建关于参数的方程或不等式求解;数形结合法:先对解析式变形,在同一平面直角坐标系中,画出函数的图象,然后观察求解,此时需要根据零点个数合理寻求找“临界”情况,特别注意边界值的取舍;15.【分析】先求导根据单调性求函数最大值即可【详解】因为当时函数递增当时函数递减所以故答案为:【点睛】易错点睛:求函数的最值注意要把极值和端点函数值比较取其最小或最大不确定时要分类讨论解析:2π 【分析】 先求导,根据单调性求函数最大值即可. 【详解】因为()sin cos sin cos f x x x x x x x '=+-=, 当,62x ππ⎡⎤∈⎢⎥⎣⎦时,()0f x '≥,函数()f x 递增, 当,2x π⎛⎤∈π⎥⎝⎦时,()0f x '<,函数()f x 递减, 所以max ()sin cos 22222f x f πππππ⎛⎫==+= ⎪⎝⎭. 故答案为:2π. 【点睛】易错点睛:求函数的最值注意要把极值和端点函数值比较,取其最小或最大,不确定时要分类讨论.16.1【分析】根据函数的奇偶性确定在上的最大值为求导函数确定函数的单调性求出最值即可求得的值【详解】是奇函数时的最小值为1在上的最大值为当时令得又令则在上递增;令则在上递减得故答案为:1【点睛】本题考查解析:1 【分析】根据函数的奇偶性,确定()f x 在(0,2)上的最大值为1-,求导函数,确定函数的单调性,求出最值,即可求得a 的值. 【详解】()f x 是奇函数,(2,0)x ∈-时,()f x 的最小值为1,()f x ∴在(0,2)上的最大值为1-,当(0,2)x ∈时,1()f x a x'=-, 令()0f x '=得1x a =,又12a >,102a ∴<<,令()0f x '>,则1x a <,()f x ∴在1(0,)a 上递增;令()0f x '<,则1x a>, ()f x ∴在1(a,2)上递减,111()()1max f x f ln aaaa ∴==-=-,10ln a∴=,得1a =. 故答案为:1. 【点睛】本题考查函数单调性与奇偶性的结合,考查导数知识的运用,考查学生的计算能力,属于中档题.17.【分析】由题得即得所以设利用导数求函数的最值即可【详解】由导数的几何意义知点处的切线的斜率为点处的切线的斜率为函数的图象在点处的切线互相垂直时有由可得即因为所以所以设可得即在递增可得有最大值故答案为 解析:e【分析】由题得12xx e =,即得21>x ,101x <≤.所以1211x x x x e =,设()(01)x h x xe x =<,利用导数求函数的最值即可. 【详解】由导数的几何意义知,点A 处的切线的斜率为1()f x ',点B 处的切线的斜率为2()f x ', 函数()f x 的图象在点A ,B 处的切线互相垂直时,有12()()1f x f x ''=-, 由(1)x x e e -'=-,1()lnx x'=,可得1211xe x -=-,即12x x e =, 因为21>x ,所以101x <≤. 所以1211x x x x e =,设()(01)x h x xe x =<,可得()(1)0x h x x e '=+>, 即()h x 在(0,1]递增,可得()h x 有最大值11=e e ⨯, 故答案为:e【点睛】本题主要考查导数的几何意义,考查利用导数求函数的最值,意在考查学生对这些知识的理解掌握水平.18.【分析】不等式分离变量等价变形为构造函数函数求导求出单调区间可得函数最小值【详解】∵∴也即在时恒成立令则令易知在上单调递减在上单调递增故∴故答案为:【点睛】本题考查数的单调性及不等式恒成立问题转化为 解析:21(,1]e -∞-【分析】不等式()2f x kx ≥-分离变量,等价变形为1ln 1x k x x≤+-,构造函数()1ln 1x g x x-=+,函数求导()2ln 2x g x x -'=,求出单调区间,可得函数最小值. 【详解】∵()1ln 2f x x x kx =--≥-,∴1ln kx x x ≤+-,0x >,也即1ln 1xk x x≤+-在0x >时恒成立.令()1ln 1x g x x-=+,0x >,则()2ln 2x g x x -'=,0x >,令()20g x x e '=⇒=.易知()g x 在()20,x e ∈上单调递减,()g x 在()2,x e ∈+∞上单调递增,故()()22min 11g x g ee ==-,∴211k e≤-. 故答案为:21(,1]e -∞- 【点睛】本题考查数的单调性及不等式恒成立问题转化为函数最值问题.不等式恒成立问题的求解方法:(1)已知不等式()0f x λ≥,(λ为实参数)对任意的x D ∈恒成立,求参数λ的取值范围.利用导数解决此类问题可以运用分离参数法, (2)如果无法分离参数,可以考虑对参数或自变量进行分类讨论求解.19.【解析】【分析】根据f (x )的展开式结合求导出现所求的式子再令x=1则可得到结果【详解】∵∴=20两边再同时进行求导可得:180令x=1则有180∴a2a3a4a10=180【点睛】本题考查了二项式 解析:180【解析】 【分析】根据f (x )的展开式,结合求导出现所求的式子,再令x=1,则可得到结果. 【详解】∵()()10109810981021f x x a x a x a x a x a =-=+++++,∴()f x '=20()998710981211098x a x a x a x a ,-=++++ 两边再同时进行求导可得:180()88761098222110998872x a x a x a x a ⨯-=⨯+⨯+⨯++,令x=1,则有18010982210998872a a a a ⨯=⨯+⨯+⨯++∴22C a 223C +a 324C +a 4210C ++a 10()109821109988722a a a a =⨯+⨯+⨯++=180.【点睛】 本题考查了二项式展开式的应用问题,考查了导数法及赋值法的应用,考查了计算能力,属于中档题.20.-3【解析】由函数则令所以解得即所以解析:-3 【解析】由函数()()221f x x xf =+',则()()221f x x f +''=,令1x =,所以()()1221f f =+'',解得()12f '=-,即()24f x x x =-,所以()211413f =-⨯=-.三、解答题21.(1)23y =;(2)31162e e -. 【分析】 (1)求导211'()ln 22f x x x =--,再分别求得(1)f ,'(1)f ,用点斜式写出切线方程. (2)根据()f x a <对1(,)x e e∈恒成立,则()max a f x >,再利用导数求解()max f x 即可. 【详解】(1)()f x 的定义域为(0,)+∞. 由已知得211'()ln 22f x x x =--,且2(1)3f =. 所以'(1)0f =.所以曲线()y f x =在点(1,(1)f )处的切线方程为23y =. (2)设()'()g x f x =,(1x e e<<) 则211'()x g x x x x-=-=. 令'()0g x =得1x =.当x 变化时,'()g x 符号变化如下表:x 1(,1)e1 (1,)e '()g x-+()g x极小则,即,当且仅当时,.所以()f x 在1(,)e e上单调递增. 又311()62f e e e =-, 因为()f x a <对1(,)x e e∈恒成立,所以31162a e e ≥-, 所以a 的最小值为为31162e e -. 【点睛】方法点睛:恒(能)成立问题的解法: 若()f x 在区间D 上有最值,则(1)恒成立:()()min ,00x D f x f x ∀∈>⇔>;()()max ,00x D f x f x ∀∈<⇔<; (2)能成立:()()max ,00x D f x f x ∃∈>⇔>;()()min ,00x D f x f x ∃∈<⇔<. 若能分离常数,即将问题转化为:()a f x >(或()a f x <),则 (1)恒成立:()()max a f x a f x >⇔>;()()min a f x a f x <⇔<; (2)能成立:()()min a f x a f x >⇔>;()()max a f x a f x <⇔<; 22.(1)1;(2)当0a ≤时,()f x 没有最值;当0a >时,()f x 的最大值为ln a a a -,无最小值.【分析】(1)对()f x 求导,又(0)1f a b a '=-=-,进而求出b 的值.(2)对a 进行讨论,利用导函数求函数的单调性,进一步求出最值. 【详解】(1)由题意,得()e xf x a b '=-,又(0)1f a b a '=-=-,1b ∴=.(2)()xf x a e '=-.当0a ≤时,()0f x '<,()f x 在R 上单调递减,()f x 没有最值; 当0a >时,令()0f x '<,得ln x a >, 令()0f x '>,得ln x a <,()f x ∴在区间(,ln )a -∞上单调递增,在区间(ln ,)a +∞上单调递减, ()f x ∴在ln x a =处取得唯一的极大值,即为最大值,且()()max ln ln f x f a a a a ==-. 综上所述,当0a ≤时,()f x 没有最值;当0a >时,()f x 的最大值为ln a a a -,无最小值. 【点睛】本题考查的是导函数的知识点,涉及到利用导函数求函数的最值,以及分类讨论的思想,属于常见的题型.23.(1)(),1-∞和()2,+∞;(2)()1,8-. 【分析】(1)求出函数的导数,令导数小于0,解出不等式即得单调递减区间;(2)可得不等式等价于220x ax a -+>对于任意[)1,x ∈+∞恒成立,讨论对称轴的范围,令22x ax a -+在[)1,x ∈+∞的最小值大于0即可求出. 【详解】(1)当3a =时,3213()232f x x x x =-+-, 则()()()23212f x x x x x '=-+-=---, 令()0f x '<,解得1x <或 2x >,()f x ∴的单调递减区间为(),1-∞和()2,+∞;(2)()22'=-+-f x x ax ,则()2221x ax a -+-<-,即 220x ax a -+>对于任意[)1,x ∈+∞恒成立,令()22g x x ax a =-+,对称轴为 2ax =,开口向上, 当12a≤,即2a ≤时,()g x 在 [)1,+∞单调递增, ∴()()min 1120g x g a a ==-+>,解得 1a >-,12a ∴-<≤;当12a >,即2a >时,()2min 20242a aa g x g a a ⎛⎫==-⨯+> ⎪⎝⎭,解得 08a <<, 28a ∴<<,综上,18a -<<. 【点睛】方法点睛:解决一元二次不等式在给定区间的恒成立问题的方法:构造二次函数,求出函数的对称轴和开口方向,讨论对称轴的范围,结合二次函数的单调性求出最值,然后列出不等式即可求解.24.(1)3a =,2b =;(2)4. 【分析】(1)求出切点的坐标,利用切线的斜率和切点的坐标可得出关于实数a 、b 的方程组,进而可解得实数a 、b 的值;(2)利用导数分析函数()f x 在区间[]1,2-上的单调性,可求得该函数在区间[]1,2-上的最大值和最小值,由此可求得结果. 【详解】(1)由已知得切点为()1,0,且()23f x x a '=-,()()110130f a b f a ⎧=-+=⎪∴⎨=-='⎪⎩,解得3a =,2b =;(2)由(1)知()332f x x x =-+,233fxx ,当12x <≤时,()0f x '>,此时函数()f x 单调递增; 当11x -<<时,()0f x '<,此时函数()f x 单调递减. 所以,()()min 10f x f ==,又()14f -=,()24f =,()max 4f x ∴=.因此,函数()f x 在区间[]1,2-上的最大值与最小值之和为4. 【点睛】在利用导数求解函数的最值的问题时,首先要注意区分函数最值与极值的区别.求解函数的最值时,要先求函数()y f x =在[],a b 内所有使()0f x '=的点,再计算函数()y f x =在区间内所有使()0f x '=的点和区间端点处的函数值,最后比较即得. 25.(1)单调递增区间为31,1,,22⎛⎤⎡⎫---+∞ ⎪⎥⎢⎝⎦⎣⎭;单调递减区间为11,2⎛⎫-- ⎪⎝⎭;(2)最大值为17ln 162+,最小值为1ln 24+. 【分析】(1)先根据对数定义求出函数的定义域,然后令()0f x '=求出函数的稳定点,当导函数大于0得到函数的增区间,当导函数小于0得到函数的减区间,即可得到函数的单调区间;(2)根据(1)知()f x 在区间31,44⎡⎤-⎢⎥⎣⎦的最小值为12f ⎛⎫- ⎪⎝⎭求出得到函数的最小值,又因为31044f f ⎛⎫⎛⎫--< ⎪ ⎪⎝⎭⎝⎭,得到()f x 在区间31,44⎡⎤-⎢⎥⎣⎦的最大值为14f ⎛⎫⎪⎝⎭求出得到函数的最大值. 【详解】解:(1)由题意得()()141232223232x x f x x x x x ⎛⎫++ ⎪⎛⎫⎝⎭'=+=>- ⎪++⎝⎭. 令()0f x '≥,解得21x ≥-或312x -<≤-;令()0f x '<,解得112x -<<-. 所以函数()f x 单调递增区间为31,1,,22⎛⎤⎡⎫---+∞ ⎪⎥⎢⎝⎦⎣⎭;单调递减区间为11,2⎛⎫-- ⎪⎝⎭.(2)由(1)可得:函数()f x 在区间31,42⎡⎤--⎢⎥⎣⎦内单调递减,在11,24⎡⎤-⎢⎥⎣⎦内单调递增.所以当12x =-时,函数()f x 取得最小值11ln 224f ⎛⎫-=+ ⎪⎝⎭.又393ln 4162f ⎛⎫-=+ ⎪⎝⎭,117ln 4162f ⎛⎫=+ ⎪⎝⎭, 而319317131ln ln ln ln 044162162272f f ⎛⎫⎛⎫--=+--=+<+= ⎪ ⎪⎝⎭⎝⎭, 所以当14x =时,函数()f x 取得最大值为:17ln 162+. 即()f x 在区间31,44⎡⎤-⎢⎥⎣⎦上的最大值为17ln 162+,最小值为1ln 24+. 【点睛】利用导数研究函数的单调性;利用导数求闭区间上函数的最值,属于中档题.26.(1)1,12a b ==-;(2)最小值为4-,最大值为28.【分析】(1)先对函数()f x 进行求导,根据(2)0f '=,(2)16f c =-,求出a ,b 的值.(2)根据导数可知()f x 在2x =-处取得极大值,即可求出c ,再求出端点处的函数值,即可判断.【详解】(1)因3()f x ax bx c =++ ,故2()3f x ax b '=+,由于()f x 在点2x =处取得极值,故有(2)0(2)16f f c ==-'⎧⎨⎩,即1208216a b a b c c +=⎧⎨++=-⎩ ,解得112a b =⎧⎨=-⎩; (2)由(1)知 3()12f x x x c =-+,2()312f x x '=-令()0f x '= ,得122,2x x =-=,当(,2)x ∈-∞-时,()0f x '>故()f x 在(,2)-∞-上为增函数;当(2,2)x ∈- 时,()0f x '< 故()f x 在(2,2)- 上为减函数,当(2,)x ∈+∞ 时()0f x '> ,故()f x 在(2,)+∞ 上为增函数.由此可知()f x 在12x =- 处取得极大值(2)16f c -=+,()f x 在22x = 处取得极小值(2)16f c =-,由题设条件知1628c += ,得12c =,此时(3)921f c -=+=,(3)93f c =-+=,(2)164f c =-=-,因此()f x 上[3,3]-的最小值为(2)4f =-,最大值为28.【点睛】本题主要考查函数的导数与极值,最值之间的关系,属于导数的应用.。
一、选择题1.函数tan 22tan y x x =-42x ππ⎛⎫<< ⎪⎝⎭的最大值为( )A .33-B .3C .0D .3-2.已知定义在()0,∞+上的函数()f x 满足()()0xf x f x '-<,其中()f x '是函数()f x 的导函数,若()()()201920191f m m f ->-,则实数m 的取值范围为( ) A .()0,2020B .()2019,+∞C .()2020,+∞D .()2019,20203.已知a ,b 为正实数,直线y x a =-与曲线ln()y x b =+相切,则12a b+的最小值是( ) A .42B .22C .342+D .322+4.已知函数f (x )(x ∈R )满足(1)1f =,且()f x 的导数f ′(x )>12,则不等式1()22x f x <+的解集( ) A .(-∞,1)B .(1,+∞)C .(-∞,-1]∪[1,+∞)D .(-1,1)5.若函数()323f x x tx x =-+在区间[]1,4上单调递减,则实数t 的取值范围是( ) A .51[,)8+∞ B .(],3-∞C .51,8⎛⎤-∞ ⎥⎝⎦D .[)3,+∞ 6.如图所示,函数()y f x =的图像在点P 处的切线方程是29y x =-+,则()()44f f '+的值为( )A .0B .1C .-1D .27.定义域为R 的函数()f x 的导函数为()f x ',满足()()f x f x '<,若()01f =,则不等式()xf x e >的解集为( )A .()01,B .()1+∞,C .()1-∞,D .()0-∞,8.设函数()f x 在R 上可导,其导函数为()f x ',且函数()()1y x f x '=+⋅的图象如图所示,则下列结论中一定成立的是( )A .函数()f x 有极大值()3f -和极小值()2fB .函数()f x 有极大值()1f -和极小值()2fC .函数()f x 在()3,2x ∈--单调递增D .函数()f x 在()1,2x ∈单调递增 9.函数()3sin cos 2xxf x x x =+在[]2,2ππ-的图象大致为( ) A . B .C .D .10.设函数()()23xf x x e =-,则( )A .()f x 有极大值,且有最大值B .()f x 有极小值,但无最小值C .若方程()f x a =恰有一个实根,则36a e >D .若方程()f x a =恰有三个实根,则360a e << 11.已知函数()32114332f x x mx x =-+-在区间[]1,2上是增函数,则实数m 的取值范围为( ) A .45m ≤≤B .24m ≤≤C .2m ≤D .4m ≤12.已知函数()xe f x ax x=-,()0,x ∈+∞,当21x x >时,不等式()()1221f x f x x x <恒成立,则实数a 的取值范围为( ) A .(],e -∞B .(),e -∞C .,2e ⎛⎫-∞ ⎪⎝⎭D .,2e ⎛⎤-∞ ⎥⎝⎦二、填空题13.曲线()1xf x e x=-在点()()1,1f 处的切线的方程为_______. 14.函数2()ln(3)f x x ax =--在(1,)+∞上单调递增,则实数a 的取值范围是______. 15.函数322()f x x ax bx a =--+在1x =处有极值10,则+a b 的值为________. 16.已知定义在()0,∞+上的函数()f x 满足()()0xf x f x '-<,其中()f x '是函数()f x 的导函数.若()()()2202020202f m m f ->-,则实数m 的取值范围为______.17.已知函数()ln e xf x x ax =--在()1,2上不单调,则a 的取值范围是_________.18.已知函数()331xf x x e =++,其导函数为()f x ',则()()()()2020202020192019f f f f ''+-+--的值为_______.19.在二维空间中,正方形的一维测度(周长)(为正方形的边长),二维测度(面积);在三维空间中,正方体的二维测度(表面积)(为正方形的边长),三维测度(体积);应用合情推理,在四维空间中,“超立方”的三维测度,则其四维测度__________.20.若函数2(())x f x e x ax a -=+-在R 上单调递减,则实数a 的值为_______.三、解答题21.已知函数()3()ln f x x a x a R =-∈.(1)讨论函数()f x 的单调性;(2)若函数()()18g x f x x =-在区间[]1,e 上是增函数,求实数a 的取值范围. 22.设函数()()2()ln 10f x x a x a =-+>.(1)当2a =时,求函数()f x 的极值;(2)若函数()f x 有2个零点,求实数a 的取值范围.23.(1)已知函数f (x )=2ln x +1.若f (x )≤2x +c ,求c 的取值范围; (2)已知函数()()=ln f x x mx m m -+∈R .讨论函数()f x 的单调性.24.已知函数()3233f x x x bx c =-++在0x =处取得极大值1.(1)求函数()y f x =的图象在1x =处切线的方程;(2)若函数()f x 在[],2t t +上不单调,求实数t 的取值范围. 25.已知函数2()ln f x a x x =+.其中a R ∈. (1)讨论函数()y f x =的单调性;(2)当1a =,求证:2()1f x x x +-.26.已知函数32()f x x ax bx c =+++的图象如图所示,x 轴与曲线相切于原点,所围成的区域(阴影)面积为2764.(1)求()f x 的解析式;(2)求函数()f x 在区间[,]()m m >00上的值域.【参考答案】***试卷处理标记,请不要删除一、选择题 1.A 解析:A 【分析】化简可得322tan 1tan xy x=-,令tan t x =,()1,t ∈+∞,则3221t y t =-,求出函数导数,利用导数判断函数的单调性即可求出最值. 【详解】可得3222tan 2tan tan 22tan 2tan 1tan 1tan x xy x x x x x =-=-=--, 令tan t x =,则()1,t ∈+∞,则3221t y t=-, 则()()()()()22322222261222311t t t t t t y t t --⨯--'==--,当(t ∈时,0y '>,函数单调递增,当)t ∈+∞时,0y '<,函数单调递减,所以当t =时,()3max 221y ⨯==--.故选:A. 【点睛】关键点睛:本题考查函数最值的求解,解题的关键是利用换元法将函数化为3221t y t =-,然后利用导数讨论其单调性即可求出最值.2.D解析:D 【分析】构造函数()()f x h x x =,根据导数可判断函数单调递减,由()()2019120191f m f m ->-,结合函数定义域可解得. 【详解】令()()f x h x x =,()0,x ∈+∞,则()()()2xf x f x h x x'-'=, 因为()()0xf x f x '-<,所以()0h x '<,所以函数()h x 在()0,∞+上单调递减. 因为()()()201920191f m m f ->-,20190m ->,所以()()2019120191f m f m ->-,即()()20191h m h ->,所以20191m -<且20190m ->,解得20192020m <<, 所以实数m 的取值范围为()2019,2020. 故选D . 【点睛】易错点点睛,本题的容易忽略定义域20190m ->,切记解函数抽象不等式要优先考虑定义域.3.D解析:D 【分析】由导数的几何意义转化条件得1a b +=,进而可得1223b aa b a b+=++,由基本不等式即可得解. 【详解】因为函数ln()y x b =+的导数1y x b'=+, 由切线的方程y x a =-可得切线的斜率为1, 所以11x b=+即切点的横坐标为1b -,所以切点为(1,0)b -, 代入y x a =-得10b a --=,即1a b +=, 又a 、b 为正实数,所以()12122333b a a b a b a b a b ⎛⎫+=++=++≥+=+ ⎪⎝⎭,当且仅当1a =,2b =.所以12a b +的最小值是3+. 故选:D. 【点睛】本题考查了导数几何意义及基本不等式的应用,考查了运算求解能力与转化化归思想,属于中档题.4.A解析:A 【分析】 根据f ′(x )>12,构造函数 ()()122x g x f x =-- ,又()()1111022=--=g f ,然后将不等式1()22x f x <+,转化为1()022--<x f x ,利用单调性的定义求解. 【详解】 因为f ′(x )>12, 所以()102f x '-> 所以()()()()()110222x g x f x g x f x g x =--⇒=->⇒'' 在R 上递增, 又()()1111022=--=g f , 所以不等式1()22x f x <+,即为1()022--<x f x , 即为:()()1g x g <, 所以1x <, 故选:A 【点睛】本题主要考查函数的单调性与导数以及单调性的应用,还考查了构造转化求解问题的能力,属于中档题.5.A解析:A 【分析】由函数()f x 在区间[]1,4上单调递减,得到不等式'()0f x ≤在[]1,4x ∈恒成立,再根据二次函数根的分布,求实数t 的取值范围. 【详解】因为函数()323f x x tx x =-+在区间[]1,4上单调递减,所以'2()3230f x x tx =-+≤在[]1,4x ∈恒成立,所以(1)0,(4)0,f f '≤'≤⎧⎨⎩即40,5180,t t -≤⎧⎨-≤⎩解得:518t ≥. 【点睛】本题考查利用导数研究函数的单调性、利用二次函数根的分布求参数取值范围,考查逻辑思维能力和运算求解能力,求解时要充分利用二次函数的图象特征,把恒成立问题转化成只要研究两个端点的函数值正负问题.6.C解析:C 【分析】由切线方程可得切点坐标和切线斜率,进而可得结果. 【详解】切线方程为:29y x =-+,当4,1x y ==,()4-2'=f 则()41=f ,()(4)4-1'+=f f 故选:C 【点睛】本题考查了导数得几何意义,考查了计算能力和逻辑推理能力,属于基础题目.7.D解析:D 【分析】 构造函数()()x f x g x e=,用导数法得到()g x 在R 上递减,然后由()01f =,得到()01g =,再利用函数的单调性定义求解.【详解】令()()xf xg x e=,因为()()f x f x '<, 则()()()0xf x f xg x e'-'=<,所以()g x 在R 上递减, 又()01f =,则()01g =, 不等式()xf x e >等价于()()10xf xg e>= , 所以0x <. 故选:D 【点睛】本题主要考查函导数与函数的单调性以及函数单调性解不等式,还考查了构造函数求解问题的能力,属于中档题.8.A解析:A 【分析】根据图象判断出导函数()f x '的符号,由此求得()f x 的单调区间、极大值、极小值. 【详解】 当3x <-时,()()()10010x f x f x x ⎧+<⇒>⎨+<'⎩',()f x 递增;当31x -<<-时,()()()10010x f x f x x ⎧+>⇒<⎨+<'⎩',()f x 递减; 当12x -<<时,()()()10010x f x f x x ⎧+<⇒<⎨+>'⎩';当2x >时()()()10010x f x f x x ⎧+>⇒>⎨+>'⎩',()f x 递增; 综上:函数()f x 有极大值()3f -和极小值()2f . 故选:A 【点睛】本小题主要考查利用图象判断函数的单调性和极值,属于中档题.9.C解析:C 【分析】 利用()()'2,0f f π确定正确选项.【详解】()23sin 222cos 2202f ππππππ=+⋅=>,由此排除BD 选项. 当0x ≥时,()3sin cos 2xxf x x x =+,()'3cos 3ln 2sin cos sin 2xx xf x x x x -⋅=+-,()'031040f =+-=>,由此排除A 选项.故选:C 【点睛】本小题主要考查函数图象识别,考查导数的运用.10.D解析:D 【分析】先求出导函数,由导数的正负确定单调性,极值,确定函数值的变化趋势可确定最值,及方程()f x a =的根的情形. 【详解】由题意2()(23)(1)(3)xxf x x x e x x e '=+-=-+,∴当3x <-或1x >时,()0f x '>,当31x -<<时,(00f x '<, ()f x 在(,3)-∞-和(1,)+∞上递增,在(3,1)-上递减. ()f x 极大值=36(3)f e-=,()f x 极小值=(1)2f e =-, 3x <-或3x >时,()0f x >,x →-∞时,()0f x →,x →+∞时,()f x →+∞,∴(1)f 也是最小值.()f x 无最大值. 作出()y f x =的图象,和直线y a =,如图, 当1a =或36a e >时,()f x a =有一个根,当360a e<<时,()f x a =有三个根. 故选:D .【点睛】本题考查用导数研究函数的极值和最值,研究方程根的个数问题,掌握极值与最值的定义是解题基础.方程根的个数常常转化为函数图象交点个数,由数形结合思想易求解.11.D解析:D 【分析】求出函数的导数,利用函数的单调性,推出不等式,利用基本不等式求解函数的最值,即可得结果 【详解】 解:由()32114332f x x mx x =-+-,得'2()4f x x mx =-+, 因为函数()32114332f x x mx x =-+-在区间[]1,2上是增函数, 所以240x mx -+≥在[]1,2上恒成立, 得4m x x≤+恒成立因为44x x +≥=,当且仅当4x x =,即2x =时取等号,所以4m ≤, 故选:D 【点睛】此题考查导数的应用,考查函数最值的求值,考查基本不等式应用,考查转化思想,属于中档题12.D解析:D 【分析】由题意得出()()1122x f x x f x <,构造函数()2xg x e ax =-,可知函数()y g x =在区间()0,∞+上单调递增,可得出()20x g x e ax '=-≥对任意的0x >恒成立,利用参变量分离法可得出2x e a x ≤,利用导数求得函数()2xe h x x=在区间()0,∞+上的最小值,由此可求得实数a 的取值范围. 【详解】函数()xe f x ax x=-的定义域为()0,∞+,当21x x >时,()()1221f x f x x x <恒成立, 即()()1122x f x x f x <,构造函数()()2xg x xf x e ax ==-,则()()12g x g x <,所以,函数()2xg x e ax =-在区间()0,∞+上为增函数,则()20xg x e ax '=-≥对任意的0x >恒成立,2x ea x∴≤,令()2xe h x x=,其中0x >,则()min a h x ≤.()()212x e x h x x-'=,当01x <<时,()0h x '<,此时函数()y h x =单调递减; 当1x >时,()0h x '>,此时函数()y h x =单调递增. 所以,函数()y h x =的最小值为()()min 12e h x h ==,2e a ∴≤.因此,实数a 的取值范围是,2e ⎛⎤-∞ ⎥⎝⎦.故选:D. 【点睛】本题考查利用函数在区间上的单调性求参数,根据不等式的结构特征构造合适的函数是解题的关键,考查分析问题和解决问题的能力,属于中等题.二、填空题13.【分析】求得函数的导数得到结合直线的点斜式方程即可求解【详解】由题意函数可得所以即所求切线的斜率为又由所以所求切线的方程为可得即所以所求切线的方程为故答案为:【点睛】本题主要考查了利用导数的几何意义 解析:20ex x y +--=【分析】求得函数的导数()21'xf x e x =+,得到()'11f e =+,结合直线的点斜式方程,即可求解. 【详解】由题意,函数()1xf x e x =-,可得()21'xf x e x=+,所以()'11f e =+, 即所求切线的斜率为1k e =+,又由()11f e =-,所以所求切线的方程为()()1'1y f k x f -=-⎡⎤⎣⎦, 可得()()()111y e e x --=+-,即()()()111y e e x e --=+-+. 所以所求切线的方程为20ex x y +--=. 故答案为:20ex x y +--=. 【点睛】本题主要考查了利用导数的几何意义求解曲线在某点处的切线方程,其中解答中熟记导数的几何意义,以及曲线在某点处的切线方程的求法是解答的关键,着重考查推理与运算能力.14.【分析】结合复合函数增减性和二次函数单调性及对数函数真数的定义域列出不等式组即可求解【详解】由在上单调递增可知即设则即解得综上所述故答案为:【点睛】本题考查由复合函数在定区间的单调性求解参数取值范围 解析:(],2-∞-【分析】结合复合函数增减性和二次函数单调性及对数函数真数的定义域列出不等式组,即可求解 【详解】由2()ln(3)f x x ax =--在(1,)+∞上单调递增可知12ax =≤,即2a ≤ 设()23g x x ax =--,则()10g ≥,即20a --≥,解得2a ≤- 综上所述,2a ≤- 故答案为:(],2-∞- 【点睛】本题考查由复合函数在定区间的单调性求解参数取值范围,易错点为忽略对数函数中真数的取值范围,属于中档题15.【分析】先根据极值列方程组解得值再代入验证即可确定结果【详解】解∵函数∴又∵函数当时有极值10∴∴或当时有不等的实根满足题意;当时有两个相等的实根不满足题意;∴【点睛】本题考查根据极值求参数考查基本 解析:7a b +=【分析】先根据极值列方程组解得a b ,值,再代入验证,即可确定结果. 【详解】解∵函数322()f x x ax bx a =--+∴2()32f x x ax b '=--,又∵函数322()f x x ax bx a =--+,当1x =时有极值10,∴2320110a b a b a --=⎧⎨--+=⎩,∴411a b =-⎧⎨=⎩或33a b =⎧⎨=-⎩当411a b =-⎧⎨=⎩时,2()32(1)(311)0f x x ax b x x '=--=-+=有不等的实根满足题意; 当33a b =⎧⎨=-⎩时,22()323(1)0f x x ax b x '=--=-=有两个相等的实根,不满足题意; ∴7a b += 【点睛】本题考查根据极值求参数,考查基本分析求解能力,属中档题.16.【分析】令求得函数的导数根据函数的单调性把题设中的不等式转化为即可求解【详解】令则因为所以所以函数在为单调递减函数又由所以即所以即所以解得综上可得实数的取值范围为故答案为:【点睛】本题主要考查了利用 解析:()2020,2022【分析】令()(),(0,)f x h x x x=∈+∞,求得函数的导数,根据函数的单调性,把题设中的不等式转化为(2020)(2)h m h ->,即可求解.【详解】 令()(),(0,)f x h x x x =∈+∞,则()()2()xf x f x h x x'-=, 因为()()0xf x f x '-<,所以()0h x '<,所以函数()h x 在(0,)+∞为单调递减函数, 又由()()()2202020202f m m f ->-,所以20200m ->,即2020m >,所以()()2020220202f m f m ->-, 即(2020)(2)h m h ->,所以20202m -<,解得2022m <,综上可得,实数m 的取值范围为()2020,2022. 故答案为:()2020,2022. 【点睛】本题主要考查了利用导数求解函数的单调性,以及函数的单调性的应用,着重考查了构造、转化思想,以及推理与运算能力,属于中档试题.17.【分析】由题意知函数在区间上存在极值点利用导函数在区间上单调可得出有关实数的不等式组解出即可【详解】则函数在上单调递减因为函数在上不单调所以在上有解所以解得因此实数的取值范围是故答案为:【点睛】本题解析:21,12e e ⎛⎫-- ⎪⎝⎭【分析】由题意知,函数()y f x =在区间()1,2上存在极值点,利用导函数在区间()1,2上单调,可得出有关实数a 的不等式组,解出即可. 【详解】()ln x f x x ax e =--,()1x f x a e x∴=--',则函数()y f x ='在()1,2上单调递减, 因为函数()y f x =在()1,2上不单调,所以()0f x '=在()1,2上有解,所以()()21101202f a e f a e ⎧=-->⎪⎨=--<''⎪⎩,解得2112e a e -<<-.因此,实数a 的取值范围是21,12e e ⎛⎫-- ⎪⎝⎭. 故答案为:21,12e e ⎛⎫-- ⎪⎝⎭. 【点睛】本题考查利用函数在区间上不单调求参数的取值范围,一般转化为函数在区间上有极值点,考查运算求解能力,属于中等题.18.3【分析】根据解析式可得到解析式可求得;求导后可得到从而代入的值可求得结果【详解】故答案为:【点睛】本题考查根据函数的性质求解函数值的问题涉及到导数的运算关键是能够通过函数解析式得到原函数和导函数的解析:3 【分析】根据()f x 解析式可得到()f x -解析式,可求得()()3f x f x -+=;求导后可得到()()f x f x ''-=,从而代入x 的值可求得结果.【详解】()333311x x x e f x x x e e --=-=-++ ()()3f x f x ∴-+=()()202020203f f ∴+-=()()222223333332121xx x x x x x e e f x x x x e e e e e ---'=+=+=-++++++ ()()f x f x ''∴-= ()()201920190f f ''∴--= ()()()()20202020201920193f f f f ''∴+-+--=故答案为:3 【点睛】本题考查根据函数的性质求解函数值的问题,涉及到导数的运算,关键是能够通过函数解析式得到原函数和导函数的性质.19.12a4【解析】【分析】依据类比推理得到不同维度空间中两个测度具有一定的关系(高维测度的导数的两倍为低维测度)从而得到W=2a3从而得到W=12a4【详解】在二维空间中二维测度S=a2与一维测度(周 解析:【解析】 【分析】依据类比推理得到不同维度空间中两个测度具有一定的关系(高维测度的导数的两倍为低维测度),从而得到,从而得到.【详解】在二维空间中,二维测度与一维测度(周长)的关系是;在三维空间中,三维测度与二维测度的关系是,故在四维空间中,若“超立方”的三维测度,则其四维测度满足,所以,故(为常数),类比各个维度测度的解析式的形式可得,故,填.【点睛】本题考查类比推理,属于基础题.20.【分析】由于函数在上递减利用导函数恒小于或等于零由此求得实数的值【详解】依题意在上恒成立则需恒成立有两个相等的实数根故【点睛】本小题主要考查利用导数研究函数的单调性考查除法的导数考查一元二次不等式恒 解析:2-【分析】由于函数在R 上递减,利用导函数恒小于或等于零,由此求得实数a 的值. 【详解】 依题意,()()()20xx a x f x e+-+'=≤在R 上恒成立,则需()()20x a x +-+≤恒成立,()()20x a x +-+=有两个相等的实数根,故2a =-.【点睛】本小题主要考查利用导数研究函数的单调性,考查除法的导数,考查一元二次不等式恒成立问题,属于中档题.三、解答题21.(1)若0a ≤时,函数在()0,∞+上单调递增;若0a >时,函数在33a ⎛ ⎝上单调递减,在3,3a ⎫+∞⎪⎪⎭上单调递增;(2)(,122-∞-.【分析】(1)先求导,根据导数和函数的单调性的关系,分类讨论即可求出;(2)对()g x 求导得3318()x x a g x x--'=,由()g x 在区间[]1,e 上是增函数,可得[]1,x e ∈时,3318a x x ≤-恒成立,令3()318h x x x =-,[]1,x e ∈,利用导数求出()h x 的最小值,即可求得a 的取值范围. 【详解】解:(1)函数()f x 的定义域为()0,∞+,()323()30a x af x x x x x-'=-=>,①若0a ≤时,()0f x '>,此时函数在()0,∞+上单调递增;②若0a >时,令()0f x '>,可得x >()0f x '<,可得0x <<,所以函数在⎛ ⎝上单调递减,在⎫+∞⎪⎪⎭上单调递增. (2)32318()()18318a x x ag x f x x x x--''=-=--=,若函数()()18g x f x x =-在区间[]1,e 上是增函数, 又当[]1,x e ∈时,3318a x x ≤-恒成立,令3()318h x x x =-,[]1,x e ∈,则()22()91892h x x x '=-=-,令()0h x '>x e <<,可得函数()h x 的增区间为)e ,减区间为(,所以min ()h x h ===-有a ≤-,故实数a 的取值范围为(,-∞-. 【点睛】关键点点睛:本题考查函数的导数的应用,函数的最值,构造法的应用,解题的关键是根据单调性确定3318a x x ≤-恒成立,考查分析问题解决问题的能力,属于中档题. 22.(1)极小值为1-;(2)2a e>. 【分析】(1)当2a =时,()()2()ln 10f x x a x a =-+>,对()f x 求导判断单调性、即可求得极值;(2)对()f x 求导,利用导函数得符号判断出()f x 的单调递增区间是2⎛⎫+∞ ⎪ ⎪⎝⎭,单调递减区间是⎛ ⎝⎭,然后对参数a 进行分类讨论,考虑函数得最小值,从而判断函数零点的个数,找到函数()f x 有2个零点时实数a 的取值范围. 【详解】(1)()f x 的定义域是()0,∞+,当2a =时,()2()2ln 1f x x x =-+,2222()2x f x x xx -'=-=. 令'()0f x =,得1x =或1x =-(舍).所以()f x 在()0,1上单调递减,在()1,+∞上单调递增, 即()f x 在1x =处取得极小值,极小值为()11f =-.无极大值 (2)函数的定义域为()0,∞+,令22'()20a x a f x x x x -=-==,则x =所以当0,2x ⎛∈ ⎝⎭时,'()0f x <;当,2x ⎛⎫∈+∞ ⎪ ⎪⎝⎭时,'()0f x >,所以()f x 的单调递增区间是2⎛⎫+∞ ⎪⎪⎝⎭,单调递减区间是0,2⎛⎫ ⎪ ⎪⎝⎭.①令0f =⎝⎭,得2a e =, 当2ae =,22()(ln 1)ef x x x =-+的最小值为0f =, 即22()(ln 1)ef x x x =-+有唯一的零点x =;②当20a e<<时,()2()ln 1f x x a x =-+的最小值为ln 122a a f ⎛⎫=-+ ⎪⎝⎭⎝⎭,且ln 10222a a f ⎛⎛⎫=-+> ⎪ ⎝⎭⎝⎭,即()2()ln 1f x x a x =-+不存在零点;③当2a e>时,()f x 的最小值ln 1022a a f ⎛⎫=-+< ⎪⎝⎭⎝⎭,又1e <2110e e f ⎛⎫=> ⎪⎝⎭,所以函数()f x 在⎛ ⎝⎭上有唯一的零点,又当2a e >时,a >,2()(ln 1)(ln 1)f a a a a a a a =-+=--, 令()ln 1g x x x =--,则11()10x g x x x-'=-==,解得1x =, 可知()g x 在2,1e ⎛⎫⎪⎝⎭上递减,在()1,+∞上递增, 所以()()10g a g ≥=,所以()0f a ≥,所以函数()f x在⎫+∞⎪⎪⎝⎭上有唯一的零点, 所以当2a e>时,()f x 有2个不同的零点, 综上所述:实数a 的取值范围是2a e>. 【点睛】方法点睛:已知函数有零点(方程有根)求参数值(取值范围)常用的方法 (1)直接法:直接求解方程得到方程的根,再通过解不等式确定参数范围; (2)分离参数法:先将参数分离,转化成求函数的值域问题加以解决;(3)数形结合法:先对解析式变形,进而构造两个函数,然后在同一平面直角坐标系中画出函数的图象,利用数形结合的方法求解. 23.(1)1c ≥-.(2)答案见解析. 【分析】(1)不等式变形为()2f x x c -≤,求出()2f x x -的最大值后可得c 的范围;(2)求出导函数()'f x ,确定()'f x 的正负,得()f x 的单调性.【详解】(1)()f x 定义域是(0,)+∞,由()2f x x c ≤+得,2ln 12c x x ≥+-,设()2ln 12g x x x =+-,则22(1)()2x g x x x-'=-=, 当01x <<时,()0g x '>,当1x >时,()0g x '<,∴()g x 在(0,1)上递增,在(1,)+∞上递减, ∴max ()(1)2ln1121g x g ==+-=-,∴1c ≥-. (2)()()=ln f x x mx m m -+∈R ,定义域是(0,)+∞,1()f x m x'=-, 当0m ≤时,()0f x '>,()f x 在(0,)+∞上递增, 当0m >时,1()()m x mf x x-'=,当10x m <<时,()0f x '>,1x m>时,()0f x '<, ∴()f x 在1(0,)m上递增,在1(,)m+∞上递减.综上,0m ≤时,()f x 的增区间是(0,)+∞,0m >时,()f x 的增区间是1(0,)m,减区间是1(,)m+∞. 【点睛】方法点睛:本题考查函数的单调性,考查不等式恒成立问题.(1)已知()f x 的导函数是()'f x ,解不等式()0f x '>可得增区间,()0f x '<可得减区间.(2)()f x m ≥恒成立,则min ()m f x ≤,若()f x m ≤恒成立,则max ()m f x ≥. 24.(1)320x y +-=;(2)20t -<<或02t <<. 【分析】(1)先对函数求导,利用题意列出方程组()()0001f f ⎧=⎪⎨='⎪⎩,从而求得函数解析式,之后利用导数的几何意义,结合直线方程点斜式求得切线方程;(2)先令导数等于零,求得函数的极值点,函数在给定区间上不单调的等价结果是零点在区间上,得到参数的范围. 【详解】(1)因为()2363f x x x b '=-+,由题意可得()()00,01,f f ⎧=⎪⎨='⎪⎩解得0b =,1c =, 所以()3231f x x x =-+;经检验,适合题意, 又()11f =-,()13f '=-,所以函数()y f x =图象在1x =处切线的方程为()()131y x --=--, 即320x y +-=.(2)因为()236f x x x '=-,令2360x x -=,得0x =或2x =.当0x <时,()0f x '>,函数()f x 为增函数, 当02x <<时,()0f x '<,函数()f x 为减函数, 当2x >时,()0f x '>,函数()f x 为增函数. 因为函数()f x 在[],2t t +上不单调, 所以02t t <<+或22t t <<+, 所以20t -<<或02t <<. 【点睛】思路点睛:该题考查的是有关应用导数研究函数的问题,解决该题的思路如下: (1)对函数求导,利用题意,列出方程组,求得函数解析式; (2)利用导数的几何意义,结合直线方程点斜式求得切线方程; (3)函数在给定区间上不单调等价结果是极值点在区间内.25.(1)当0a 时,函数()f x 在(0,)+∞上单调递增;当0a <时,函数()f x 在上单调递减,在)+∞上单调递增;(2)证明见解析. 【分析】(1)函数()f x 的定义域为(0,)+∞,对函数求导,按0a 和0a <时,分别判断导函数的符号,得到函数的单调区间.(2)当1a =时,2()f x lnx x =+,要证明2()1f x x x +-,即证10lnx x -+.构造()1g x lnx x =-+利用函数的导数,求解函数的极值,证出命题成立.【详解】(1)函数()f x 的定义域为(0,)+∞,22()2a a xf x x x x'+=+=,①当0a 时,()0f x '>,所以()f x 在(0,)+∞上单调递增,②当0a <时,令()0f x '=,解得x =当0x <<220a x +<,所以()0f x '<,所以()f x 在上单调递减;当x >220a x +>,所以()0f x '>,所以()f x 在)+∞上单调递增. 综上,当0a 时,函数()f x 在(0,)+∞上单调递增;当0a <时,函数()f x 在上单调递减,在)+∞上单调递增.(2)当1a =时,2()f x lnx x =+,要证明2()1f x x x +-,即证1lnx x -,即10lnx x -+.即10lnx x -+.设()1g x lnx x =-+则1()xg x x-'=,令()0g x '=得,1x =. 当(0,1)x ∈时,()0g x '>,当(1,)x ∈+∞时,()0g x '<.所以1x =为极大值点,也为最大值点所以()g x g (1)0=,即10lnx x -+.故2()1f x x x +-.【点睛】本题考查导数在函数中的应用,考查导数判断函数的单调性,考查导数解决不等式的证明,属于中档题. 26.(1)323()2f x x x =-;(2)答案见解析. 【分析】(1)由图知(0)0f =得0c ,x 轴与曲线相切于原点得(0)0f '=,在利用定积分求阴影面积即可;(2)先求出()f x 在R 上的单调性,再根据m 的位置分类讨论,即可求出. 【详解】(1)由(0)0f =得0c,2()32f x x ax b '=++,由(0)0f '=得0b =,∴322()()f x x ax x x a =+=+,令()0f x =,得0x =或x a =-,由图知0a ->,即0a <,则易知图中所围成的区城(阴影)面积为()4343200()4312aaax ax a f x dx x ax dx ---⎛⎫-⎰=-⎰+=-+= ⎪⎝⎭, 即4271264a =,从而得32a =-, ∴323()2f x x x =-. (2)由(1)知2()333(1)f x x x x x '=-=-,令()0f x '=,解得0x =或1x =, 由题310,(1)22f f ⎛⎫==-⎪⎝⎭, ,(),()x f x f x '的变化情况如下表:①当01m <<时,()f x 在0,m 上单调递减,所以,即323()02m m f x -≤≤; ②当312m ≤≤时,()f x 在[0,1)上单调递减,在(1,]m 上单调递增,所以(1)()(0)f f x f ≤≤,即1()02f x -≤≤; ③当32m >时,()f x 在[0,1)上单调递减,在(1,]m 上单调递增,所以(1)()()f f x f m ≤≤,即3213()22f x m m -≤≤-, 综上可知:当01m <<时,()f x 值域为323,02m m ⎡⎤-⎢⎥⎣⎦; 当312m ≤≤时,()f x 值域为1,02⎡⎤-⎢⎥⎣⎦; 当32m >时,()f x 值域为3213,22m m ⎡⎤--⎢⎥⎣⎦.【点晴】此题要抓住图像的特征,找寻特殊点,充分体现了函数部分数形结合思想和分类讨论思想.。
一、选择题1.定义域为,22ππ⎛⎫- ⎪⎝⎭的函数()f x 满足()()0f x f x +-=,其导函数为()f x ',当02x π≤<时,有()()cos sin 0f x x f x x '+<成立,则关于x 的不等式()cos 4f x x π⎛⎫<⋅ ⎪⎝⎭的解集为( )A .,,2442ππππ⎛⎫⎛⎫--⋃ ⎪ ⎪⎝⎭⎝⎭ B .,42ππ⎛⎫⎪⎝⎭ C .,00,44ππ⎛⎫⎛⎫-⋃ ⎪ ⎪⎝⎭⎝⎭D .,0,442πππ⎛⎫⎛⎫-⋃ ⎪ ⎪⎝⎭⎝⎭2.已知函数2()85f x x x =---,()x e exg x ex+=,实数m ,n 满足0m n <<,若1x ∀∈[],m n ,2x ∃∈()0,∞+,使得()()12f x g x =成立,则n m -的最大值为( )A .7B .6C .D .3.已知关于x 的方程ln 2ln x a x -=有三个不等的实数根,则实数a 的取值范围是( ) A .1,2e ⎛⎫+∞⎪⎝⎭B .21,4e ⎛⎫+∞⎪⎝⎭C .(),e +∞D .()2,e +∞4.已知函数233()32f x x x e ⎛⎫=-⋅⎪⎝⎭,则( )A .函数()f x 的极大值点为xB .函数()f x 在(,-∞上单调递减C .函数()f x 在R 上有3个零点D .函数()f x 在原点处的切线方程为33y e x =- 5.已知()21ln (0)2f x a x x a =+>,若对任意两个不等的正实数1x ,2x ,都有()()12122f x f x x x ->-恒成立,则a 的取值范围是( )A .(]0,1B .()1,+∞C .()0,1D .[)1,+∞6.设()f x 是定义在()(),00,-∞⋃+∞上的函数,()f x '为其导函数,已知()()1221f x f x -=-,()20f -=,当0x >时,()()xf x f x '-<,则使得()0f x >成立的x 的取值范围是( ) A .()()2,00,2-B .()(),22,-∞-+∞C .()(),20,2-∞-D .()()0,22,+∞7.已知a ,b 为正实数,直线y x a =-与曲线ln()y x b =+相切,则12a b+的最小值是( )A .B .C .3+D .3+8.下列说法正确的是( )A .命题“若21x =,则1x ≠”的否命题是“若21x =,则1x =”B .命题“0x R ∃∈,2000x x -<”的否定是“x R ∀∈,20x x ->”C .“()y f x =在0x 处有极值”是“0()0f x '=”的充要条件D .命题“若函数2()1f x x ax =-+有零点,则“2a ≥或2a ≤-”的逆否命题为真命题 9.若函数()323f x x tx x =-+在区间[]1,4上单调递减,则实数t 的取值范围是( )A .51[,)8+∞B .(],3-∞C .51,8⎛⎤-∞ ⎥⎝⎦ D .[)3,+∞ 10.已知定义在R 上函数()f x 的导函数为()f x ',()0,πx ∀∈,有()()sin cos f x x f x x '<,且()()0f x f x +-=.设π4a ⎛⎫= ⎪⎝⎭,π3b f ⎛⎫=- ⎪⎝⎭,π2c f ⎛⎫= ⎪⎝⎭,则( ).A .a b c <<B .b c a <<C .a c b <<D .c b a <<11.已知函数()2sin 3f x xf x π'⎛⎫=- ⎪⎝⎭,则()f x 在,22ππ⎡⎤-⎢⎥⎣⎦上的最小值为( ) A .12π- B .12π+C .12π-- D .12π-+12.已知()f x 的定义域为(0,)+∞,f x 为()f x 的导函数,且满足()()'f x xf x <-,则不等式(1)(1)f x x +>-()21f x -的解集是( )A .0,1B .2,C .1,2D .1,二、填空题13.已知函数()f x 是定义在R 上的偶函数,其导函数为()f x ',若对任意的正实数,()()()()220,xf x f x g x x f x '+<=,则不等式()(12x g g ->的解集为______14.函数()sin cos f x x x x =+在,6ππ⎡⎤⎢⎥⎣⎦上的最大值为________. 15.已知函数2()sin cos f x f x x π⎛⎫'=+⎪⎝⎭,则3f π⎛⎫⎪⎝⎭的值为______. 16.已知实数x ,y 满足12x >,12y >,且2445ln 521x x y y x -++-=-,则x y +=________.17.已知抛物线2y ax bx c =++过点()1,1,且在点()2,1-处与直线3y x =-相切,则a =__________,b =____________,c =_________________.18.函数()1ln(12)2xf x x x-=+-的导函数是()f x ',则()f x '=______________. 19.若()ln f x x =与()2g x x ax =+两个函数的图象有一条与直线y x =平行的公共切线,则a =_________.20.若函数2(())x f x e x ax a -=+-在R 上单调递减,则实数a 的值为_______.三、解答题21.已知函数1()(2)ln 2f x a x ax x=-++, (1)当2a =时,求函数()f x 的极值; (2)当0a <时,讨论函数()f x 的单调性;(3)若对a ∀∈(-3,-2),12,x x ∈[1,3] ,不等式12(ln 3)2ln 3|()()|m a f x f x +->-恒成立,求实数m 的取值范围.22.已知函数())2f x x ax =-.(1)当1a =时,求()f x 的单调区间; (2)若()f x 在区间[]0,2的最小值为23-,求a . 23.已知函数()22ln f x x ax a x =-+(a ∈R ).(1)若()f x 在区间[]1,2上是单调函数,求实数a 的取值范围;(2)若存在[]01,x e ∈,使得()()0020f x a x +-≥成立,求实数a 的取值范围. 24.已知函数()3ln 42x a f x x x =+--,其中a R ∈,且曲线()y f x =在点()()1,1f 处的切线垂直于直线12y x =. (1)求a 的值;(2)求函数()f x 的单调区间.25.已知函数()()ln af x x a R x=-∈. (1)判断()f x 在定义域上的单调性;(2)若()f x 在[]1,e 上的最小值为2,求a 的值. 26.已知函数32()f x x ax bx c =+++在23x =-与1x =时都取得极值. (1)求a ,b 的值与函数()f x 的单调区间;(2)若对[]1,2x ∈,不等式()2f x c <恒成立,求c 的取值范围.【参考答案】***试卷处理标记,请不要删除一、选择题 1.B 解析:B 【分析】 引入()()cos f x g x x =,得()g x 是奇函数,由导数得()g x 在0,2π⎡⎫⎪⎢⎣⎭上的单调性,从而得()g x 在,22ππ⎛⎫- ⎪⎝⎭上的单调性,不等式转化为()()4g x g π<,由单调性可得解.【详解】∵()()0f x f x +-=且,22x ππ⎛⎫∈- ⎪⎝⎭,∴()f x 是奇函数, 设()()cos f x g x x =,则02x π≤<时,2()cos ()sin ()0cos f x x f x xg x x'+'=<,∴()g x 在0,2π⎡⎫⎪⎢⎣⎭是减函数. 又()f x 是奇函数,∴()()cos f x g x x=也是奇函数,因此()g x 在(,0]2π-是递减,从而()g x 在,22ππ⎛⎫- ⎪⎝⎭上是减函数,不等式()cos 4f x x π⎛⎫<⋅ ⎪⎝⎭为()4cos cos 4f f x x ππ⎛⎫ ⎪⎝⎭<,即()4g x g π⎛⎫< ⎪⎝⎭,∴42x ππ<<. 故选:B . 【点睛】本题考查用导数确定函数的单调性解不等式,解题关键是引入新函数() ()cosf xg xx=,然后由已知条件确定奇偶性,单调性.引入的新函数可根据要求的式的形式变换,可根据条件结合导数的运算法则确定.2.B解析:B【分析】先用导数法研究()y g x=,然后的同一坐标系中作出函数()y f x=与()y g x=的图象,根据[]1,x m n∀∈,()20,x∃∈+∞,使得()()12f xg x=成立求解.【详解】因为()xe exg xex+=,所以()()211xx e xeg xex ex'-⎛⎫'=+=⎪⎝⎭,当01x<<时,()0g x'<,当1x>时,()0g x'>,()10g'=,所以()g x在1x=处取得极小值,且为定义域内唯一极值,()()min12g x g∴==.()22185()4111f x xx x-==---++≤,作函数()y f x=与()y g x=的图象,如图所示:当()2f x=时,方程两根分别为7-和1-,则n m-的最大值为:()176---=.故选:B【点睛】关键点睛:利用导数和二次函数的性质,作出图像,利用数形结合进行求解,考查了转化化归的的思想、运算求解,以及数形结合的能力,属于中档题.3.B解析:B 【分析】方程有三个解转化直线ln y x a =-与函数2ln y x =有三个交点,作出函数2ln y x =的图象,作出直线ln y x a =-,可知,只要求得直线ln y x a =-与函数2ln y x =的图象相切a 的什值,即可得结论. 【详解】转为直线ln y x a =-与函数2ln y x =有三个交点.显然当0x <时,有一个交点:当0x >时,只需ln y x a =-与2ln y x =有两个交点即可. 由2'1y x==,得2x =,ln y x a =-与2ln y x =相切时,切点坐标为()2,2ln 2, 此时24e a =. 由图象可知,当2,4e a ⎛⎫∈+∞ ⎪⎝⎭时,关于x 的方程ln 2ln x a x -=有三个不等的实数根. 故选:B .【点睛】关键点点睛:本题考查方程根的个数问题,解题方法是转化为直线与函数图象交点个数,进而转化为研究函数的性质,本题是用导数求出函数的切线方程方程.然后结合图象可得结论.4.D解析:D 【分析】对函数求导,通过判断函数的单调性求极值点以及零点个数等. 【详解】 A 选项:由233()32f x x x e ⎛⎫=-⋅⎪⎝⎭,得()3()=e 33f x x '-,令()=0f x ', 得1x =,故(),1x ∈-∞,()0f x '<,233()32f x x x e ⎛⎫=-⋅⎪⎝⎭为减函数,()1x ∈+∞,,()0f x '>,233()32f x x x e ⎛⎫=-⋅ ⎪⎝⎭为增函数,所以1x =是函数()f x 的极小值点,无极大值点,故A 错; B 选项: 当(),1x ∈-∞,233()32f x x x e ⎛⎫=-⋅⎪⎝⎭为减函数,故B 错; C 选项:由函数单调性可知函数至多有两个零点,故C 错;D 选项:切线斜率3(0)=-3e k f '=,所以切线方程为33y e x =-,D 正确. 故选:D 【点睛】求切线方程的步骤:①确定切点;②确定斜率;③点斜式写切线方程.5.D解析:D 【分析】根据条件()()12122f x f x x x ->-可变形为112212()2[()]20f x x f x x x x --->-,构造函数()21()2ln ()202g x f x x a x a x x =-=+>-,利用其为增函数即可求解. 【详解】根据1212()()2f x f x x x ->-可知112212()2[()]20f x x f x x x x --->-, 令()21()2ln ()202g x f x x a x a x x =-=+>- 由112212()2[()]20f x x f x x x x --->-知()g x 为增函数, 所以()()'200,0ag x x x a x=+-≥>>恒成立, 分离参数得()2a x x ≥-,而当0x >时,()2x x -在1x =时有最大值为1, 故1a ≥. 故选:D 【点睛】关键点点睛:本题由条件()()12122f x f x x x ->-恒成立,转化为112212()2[()]20f x x f x x x x --->-恒成立是解题的关键,再根据此式知函数()21()2ln ()202g x f x x a x a x x =-=+>-为增函数,考查了推理分析能力,属于中档题.6.B解析:B 【分析】由已知条件得函数()f x 为偶函数,引入()()g x xf x =,利用导数可得(0,)+∞上()g x 为增函数,结合(2)0=g 可解不等式()0>g x ,从而得()0f x >在(0,)+∞上的解,再由偶函数得出结论. 【详解】由()()1221f x f x -=-,可知()f x 为偶函数,构造新函数()()g x xf x =,则()()()g x xf x f x ''=+,当0x >时()0g x '>. 所以()()g x xf x =在()0,∞+上单调递增,又()20f =,即()20g =. 所以由()()0g x xf x =>可得2x >,此时()0f x >.又()f x 为偶函数,所以()0f x >在()(),00,-∞⋃+∞上的解集为()(),22,-∞-+∞.故选:B . 【点睛】本题考查的奇偶性与单调性,考查由导数确定函数的单调性,具有奇偶性的函数的不等式求解时,如果是偶函数,可利用单调性求出(0,)+∞上的解,然后再利用奇偶性得出{|0}x x ≠上的解集,如果是奇函数可由奇函数定义得出函数在R 上的单调性,然后由单调性解不等式.7.D解析:D 【分析】由导数的几何意义转化条件得1a b +=,进而可得1223b a a b a b+=++,由基本不等式即可得解. 【详解】因为函数ln()y x b =+的导数1y x b'=+, 由切线的方程y x a =-可得切线的斜率为1, 所以11x b=+即切点的横坐标为1b -,所以切点为(1,0)b -, 代入y x a =-得10b a --=,即1a b +=, 又a 、b 为正实数,所以()12122333b a a b a b a b a b ⎛⎫+=++=++≥+=+ ⎪⎝⎭,当且仅当1a =,2b =.所以12a b +的最小值是3+. 故选:D. 【点睛】本题考查了导数几何意义及基本不等式的应用,考查了运算求解能力与转化化归思想,属于中档题.8.D解析:D 【分析】选项A ,否命题,条件否定,结论也要否定;选项B ,命题的否定,只对结论否定;选项C ,()y f x =在0x 处有极值,既要满足0()0f x '=,也要满足函数在0x 两边的单调性要相反;选项D ,若函数2()1f x x ax =-+有零点,等价于0∆≥,原命题与逆否命题同真假. 【详解】选项A ,命题“若21x =,则1x ≠”的否命题是“若21x ≠,则1x =”,错误;选项B ,命题“0x R ∃∈,2000x x -<”的否定是“x R ∀∈,20x x -≥”,错误;选项C ,0()0f x '=不能得到()y f x =在0x 处有极值,例如3()f x x =在0x =时,导数为0,但0x =不是函数极值点,错误;选项D ,若函数2()1f x x ax =-+有零点,即方程210x ax -+=有解,所以0∆≥,解得2a ≥或2a ≤-,所以原命题为真命题,又因为原命题与逆否命题同真假,所以逆否命题也是真命题,正确.2a ≥或2a ≤- 【点睛】本题主要考查命题真假性的判断,涉及到四个命题、充要条件以及特称命题的否定.9.A解析:A 【分析】由函数()f x 在区间[]1,4上单调递减,得到不等式'()0f x ≤在[]1,4x ∈恒成立,再根据二次函数根的分布,求实数t 的取值范围. 【详解】因为函数()323f x x tx x =-+在区间[]1,4上单调递减,所以'2()3230f x x tx =-+≤在[]1,4x ∈恒成立,所以(1)0,(4)0,f f '≤'≤⎧⎨⎩即40,5180,t t -≤⎧⎨-≤⎩解得:518t ≥. 【点睛】本题考查利用导数研究函数的单调性、利用二次函数根的分布求参数取值范围,考查逻辑思维能力和运算求解能力,求解时要充分利用二次函数的图象特征,把恒成立问题转化成只要研究两个端点的函数值正负问题.10.D解析:D 【分析】 首先设函数()()sin f x g x x=,判断函数的单调性,和奇偶性,利用函数的性质比较大小. 【详解】 设()()sin f x g x x=, ()()()()()()sin sin sin f x f x f x g x g x x x x---====--,即()()g x g x -=,所以函数()g x 是偶函数, 并且()()()2sin cos 0sin f x x f x xg x x'-'=<,所以函数()g x 在()0,π单调递减,444sin 4f ag ππππ⎛⎫ ⎪⎛⎫⎛⎫⎝⎭=== ⎪ ⎪⎝⎭⎝⎭,3333sin 3f b f g g πππππ⎛⎫- ⎪⎛⎫⎛⎫⎛⎫⎝⎭=-==-= ⎪ ⎪ ⎪⎛⎫⎝⎭⎝⎭⎝⎭- ⎪⎝⎭,222sin 2f c fg ππππ⎛⎫ ⎪⎛⎫⎛⎫⎝⎭=== ⎪ ⎪⎝⎭⎝⎭,因为0432ππππ<<<<,所以432g g g πππ⎛⎫⎛⎫⎛⎫>> ⎪ ⎪ ⎪⎝⎭⎝⎭⎝⎭, 即a b c >>. 故选:D 【点睛】本题考查导数与函数性质的综合应用,重点考查构造函数,利用函数的性质比较大小,属于中档题型.11.D解析:D 【分析】求得函数的导数()2cos 3f x f x π⎛⎫''=-⎪⎝⎭,得到1()32f π'=,得到()sin f x x x =-,再结合函数的单调性,即可求解. 【详解】由题意,函数()2sin 3f x xf x π'⎛⎫=- ⎪⎝⎭,可得()2cos 3f x f x π⎛⎫''=- ⎪⎝⎭, 令3x π=,可得()2cos 333f f πππ'⎛⎫'=-⎪⎝⎭,解得1()32f π'=, 即()sin f x x x =-,则()1cos 0f x x '=-≥,所以()f x 单调递增,当2x π=-,函数取得最小值,最小值为()sin()1222f x πππ=---=-+. 故选:D. 【点睛】本题主要考查了函数的导数的运算及应用,其中解答中熟记导数的运算公式,结合函数的单调性求解是解答的关键,着重考查运算与求解能力.12.B解析:B 【分析】构造函数()()F x xf x =,再根据单调性解不等式,即得结果. 【详解】令()()F x xf x =,则()()()0F x f x xf x ''=+<,所以()F x 在(0,)+∞上单调递减(1)(1)f x x +>-()21f x -,2(1)(1)(1)x f x x ∴++>-()21f x -,2(1)(1)F x F x ∴+>-, 2011,2x x x ∴<+<-∴>,故选:B 【点睛】本题考查利用导数解不等式,考查基本分析求解能力,属中档题.二、填空题13.【分析】根据条件可得函数为偶函数且在单调递减从而可得不等式【详解】当时且为偶函数在单调递减解得:故答案为:【点睛】求解的关键在于构造什么样的函数再利用导数研究函数的单调性进而将不等式进行等价转化解析:1322x x ⎧⎫<<⎨⎬⎩⎭【分析】根据条件可得函数()g x 为偶函数,且在(0,)+∞单调递减,从而可得不等式. 【详解】当0x >时,()''(()2())0g x x xf x f x =+<,且()g x 为偶函数,∴()g x 在(0,)+∞单调递减,∴()(()111122222x x x g g g g--->⇔>⇔<112x ⇔-<, 解得:1322x <<, 故答案为:1322x x ⎧⎫<<⎨⎬⎩⎭. 【点睛】求解的关键在于构造什么样的函数,再利用导数研究函数的单调性,进而将不等式进行等价转化.14.【分析】先求导根据单调性求函数最大值即可【详解】因为当时函数递增当时函数递减所以故答案为:【点睛】易错点睛:求函数的最值注意要把极值和端点函数值比较取其最小或最大不确定时要分类讨论解析:2π 【分析】 先求导,根据单调性求函数最大值即可. 【详解】因为()sin cos sin cos f x x x x x x x '=+-=, 当,62x ππ⎡⎤∈⎢⎥⎣⎦时,()0f x '≥,函数()f x 递增, 当,2x π⎛⎤∈π⎥⎝⎦时,()0f x '<,函数()f x 递减, 所以max ()sin cos 22222f x f πππππ⎛⎫==+= ⎪⎝⎭. 故答案为:2π. 【点睛】易错点睛:求函数的最值注意要把极值和端点函数值比较,取其最小或最大,不确定时要分类讨论.15.【分析】对函数求导并将代入可求得即得到函数解析式再将代入解析式可得答案【详解】求导得将代入上式得可得则函数解析式故答案为:【点睛】本题考查导数公式的应用考查特殊角的三角函数值属于基础题解析:12- 【分析】对函数()f x 求导并将2x π=代入可求得()2f π',即得到函数解析式,再将3x π=代入解析式可得答案. 【详解】2()sin cos f x f x x π⎛⎫'=+ ⎪⎝⎭,求导得()cos sin 2f x f x x π⎛⎫''=- ⎪⎝⎭,将2x π=代入上式得()cos 222i 2s n f f ππππ⎛⎫''=-⎪⎝⎭,可得2()1f π'=-, 则函数解析式()sin cos f x x x =-+,1sin cos 3332f πππ⎛⎫=-+=⎪⎝⎭,【点睛】本题考查导数公式的应用,考查特殊角的三角函数值,属于基础题.16.【分析】利用基本不等式及利用导数研究函数的单调性及最值从而得解;【详解】解:因为所以当且仅当即时取等号;当时令则令解得令解得即函数在上单调递增在上单调递减故所以恒成立即当且仅当时取等号即当且仅当时取解析:52【分析】利用基本不等式及利用导数研究函数的单调性及最值,从而得解; 【详解】 解:因为12x >,所以()()222144454214212121x x x x x x x -+-+==-+≥=---,当且仅当()42121x x -=-即32x =时取等号; 当0x >时,令()ln 1g x x x =-+,则()111xg x x x-'=-=,令()0g x '>,解得01x <<,令()0g x '<,解得1x >,即函数()g x 在()0,1上单调递增,在()1,+∞上单调递减,故()()max 10g x g ==,所以()0g x ≤恒成立,即ln 1≤-x x ,当且仅当1x =时取等号,即ln 1y y ≤-,当且仅当1y =时取等号,所以2445ln 521x x y y x -++-≥-,当且仅当32x =,1y =时取等号,所以1y =,32x =所以52x y +=故答案为:52【点睛】本题考查基本不等式及导数的应用,属于中档题.17.3-119【分析】先求函数的导函数再由题意知函数过点且在点处的切线的斜率为1即分别将三个条件代入函数及导函数解方程即可【详解】解:由于抛物线过点则又因为点处与直线相切即切线的斜率为1即又因为切点为把解析:3 -11 9 【分析】先求函数2y ax bx c =++的导函数'()f x ,再由题意知,函数过点(1,1),(2,1)-,且在点(2,1)-处的切线的斜率为1,即()'21f =,分别将三个条件代入函数及导函数,解方程即可. 【详解】解:由于抛物线2y ax bx c =++过点()1,1,则()11f =,1a b c ∴++=, 又'()2f x ax b =+,因为2y ax bx c =++点()2,1-处与直线3y x =-相切,即切线的斜率为1,即()21f '=, 41a b ∴+=.又因为切点为(2,1)-,421a b c ∴++=-.把①②③联立得方程组14142 1.a b c a b a b c ++=⎧⎪+=⎨⎪++=-⎩,解得:3119a b c =⎧⎪=-⎨⎪=⎩,即3a =,11b =-,9c =. 故答案为:3,-11,9. 【点睛】本题考查导数的几何意义及其应用,利用方程的思想求参数的值,考查计算能力.18.【分析】利用基本函数求导公式和导数运算法则求出导数然后代入求值【详解】解:因为由于且解得:且即的定义域为:即:故答案为:【点睛】本题考查基本函数求导公式和导数运算法则以及复合函数求导考查计算能力解析:23242142x x x x -+--+ 【分析】利用基本函数求导公式和导数运算法则,求出导数,然后代入求值. 【详解】 解:因为()1ln(12)2xf x x x-=+-, 由于20x ≠且120x ->,解得:12x <且0x ≠, 即()f x 的定义域为:()1,00,2⎛⎫-∞⋃ ⎪⎝⎭, ()()11()ln 12()ln 1222x x f x x x x x '--⎡⎤''∴=+-='+-⎡⎤⎣⎦⎢⎥⎣⎦2223222(1)14214122122242x x x x x x x x x x -----+-=-+=+=-+---, 即:()23242142x x f x x x -+-'=-+. 故答案为:23242142x x x x-+--+. 【点睛】本题考查基本函数求导公式和导数运算法则,以及复合函数求导,考查计算能力.19.或【分析】在曲线上取切点利用导数得出得出的值可求出切线的方程再将该切线方程与二次函数解析式联立利用求出实数的取值范围【详解】在曲线上取切点由题意可得得切点坐标为则所求切线方程为由于直线与函数的图象相解析:3或1-. 【分析】在曲线()y f x =上取切点(),ln t t ,利用导数得出()1f t '=得出t 的值,可求出切线的方程,再将该切线方程与二次函数()2g x x ax =+解析式联立,利用0∆=求出实数a 的取值范围. 【详解】在曲线()y f x =上取切点(),ln t t ,()ln f x x =,()1f x x'∴=,由题意可得()11f t t'==,得1t =,切点坐标为()1,0,则所求切线方程为1y x =-. 由于直线1y x =-与函数()2g x x ax =+的图象相切,联立得21y x y x ax=-⎧⎨=+⎩, 消去y 并整理得()2110x a x +-+=,则()2214230a a a ∆=--=--=,解得1a =-或3,故答案为3或1-. 【点睛】本题考查导数的几何意义,考查利用导数求切线方程,在求解直线与二次函数图象相切的问题,可以将直线方程与二次函数解析式联立,利用判别式为零来求解,考查分析问题和解决问题的能力,属于中等题.20.【分析】由于函数在上递减利用导函数恒小于或等于零由此求得实数的值【详解】依题意在上恒成立则需恒成立有两个相等的实数根故【点睛】本小题主要考查利用导数研究函数的单调性考查除法的导数考查一元二次不等式恒 解析:2-【分析】由于函数在R 上递减,利用导函数恒小于或等于零,由此求得实数a 的值. 【详解】 依题意,()()()20xx a x f x e+-+'=≤在R 上恒成立,则需()()20x a x +-+≤恒成立,()()20x a x +-+=有两个相等的实数根,故2a =-.【点睛】本小题主要考查利用导数研究函数的单调性,考查除法的导数,考查一元二次不等式恒成立问题,属于中档题.三、解答题21.(1)极小值为4,无极大值(2)答案见解析(3)133m ≤- 【分析】(1)利用导数可求得结果; (2)求导后,令()0f x '=得1x a =-或12x =,对1a -与12的大小分类讨论可求得结果;(3)转化为12max (ln3)2ln3()()m a f x f x +->-1max 2min ()()f x f x =-,根据(2)中的单调性求出1max ()f x 和2min ()f x 代入后得2(4)03m a +->对a ∀∈(-3,-2)恒成立,列式23(4)0322(4)03m m ⎧-+-≥⎪⎪⎨⎪-+-≥⎪⎩可解得结果. 【详解】(1)当2a =时,1()4f x x x =+(0)x >,222141()4x f x x x-'=-=,当102x <<时,()0f x '<,当12x >时,()0f x '>,所以()f x 在1(0,)2上递减,在1(,)2+∞上递增, 所以()f x 在12x =处取得极小值1()42f =,无极大值.(2)当0a <时,1()(2)ln 2f x a x ax x=-++,定义域为(0,)+∞, 221()2a f x a x x -=-+'222(2)1ax a x x +--=2(1)(21)ax x x +-=,令()0f x '=得1x a =-或12x =, 当112a ->,即20a -<<时,由()0f x '<得102x <<或1x a >-,由()0f x '>得112x a<<-, 所以()f x 在1(0,)2和1(,)a -+∞上单调递减,在11(,)2a-上单调递增, 当112a -=,即2a =-时,22(21)()x f x x--'=0≤,所以()f x 在(0,)+∞上单调递减, 当112a -<,即2a <-时,由()0f x '<得10x a<<-或12x >,由()0f x '>得112x a -<<, 所以()f x 在1(0,)a -和1(,)2+∞上单调递减,在11(,)2a -上单调递增, (3)由(2)可知对a ∀∈(-3,-2),()f x 在[1,3]上单调递减, 因为不等式12(ln 3)2ln 3|()()|m a f x f x +->-恒成立,等价于12max (ln3)2ln3()()m a f x f x +->-1max 2min ()()f x f x =-, 而1max ()(1)12f x f a ==+,2min 1()(3)(2)ln 363f x f a a ==-++, 所以1(ln 3)2ln 312(2)ln 363m a a a a +->+----, 即2(4)03m a +->对a ∀∈(-3,-2)恒成立, 所以23(4)0322(4)03m m ⎧-+-≥⎪⎪⎨⎪-+-≥⎪⎩,解得133m ≤-.【点睛】结论点睛:本题考查不等式的恒成立与有解问题,可按如下规则转化:一般地,已知函数()[],,y f x x a b =∈,()[],,y g x x c d =∈ (1)若[]1,x a b ∀∈,[]2,x c d ∀∈,总有()()12f x g x <成立,故()()2max min f x g x <; (2)若[]1,x a b ∀∈,[]2,x c d ∃∈,有()()12f x g x <成立,故()()2max max f x g x <; (3)若[]1,x a b ∃∈,[]2,x c d ∃∈,有()()12f x g x <成立,故()()2min min f x g x <; (4)若[]1,x a b ∀∈,[]2,x c d ∃∈,有()()12f x g x =,则()f x 的值域是()g x 值域的子集 .22.(1)单调递减区间为30,5⎡⎫⎪⎢⎣⎭,单调递增区间为3,5⎛⎫+∞ ⎪⎝⎭;(2)53. 【分析】(1)由1a =得()5322f x x x =-,0x ≥,对函数求导,解对应的不等式,即可得出单调区间;(2)先对函数求导,分别讨论0a ≤,3025a <≤,325a >三种情况,利用导数的方法研究函数在区间[]0,2上的单调性,求出最值,列出等式求解,即可得出结果. 【详解】(1)当1a =时,())53222f x x x x x =-=-,0x ≥,所以())3122535322f x x x x '=-=-, 由()0f x '>可得35x >;由()0f x '<可得305x ≤<,所以函数()f x 的单调递减区间为30,5⎡⎫⎪⎢⎣⎭,单调递增区间为3,5⎛⎫+∞ ⎪⎝⎭;(2)因为())53222f x x ax x ax =-=-,[]0,2x ∈,所以())3122535322f x x ax x a '=-=-,由()0f x '=得35x a =;若0a ≤时,())530f x x a '-≥在[]0,2上恒成立,所以()f x 在[]0,2上单调递增, 最小值为()00f =不满足题意;若3025a <≤,即1003a <≤时,当30,5x a ⎛⎫∈ ⎪⎝⎭时,()0f x '<,则函数()f x 单调递减;当3,25x a ⎛⎫∈ ⎪⎝⎭时,()0f x '>,则函数()f x 单调递增;所以()222min 393625255253f x f a a a a ⎛⎫⎫==-=-=- ⎪⎪⎝⎭⎭,则29125a , 即52315a ⎛⎫= ⎪⎝⎭,所以53a =,满足1003a <≤; 若325a >,即103a >时,()0f x '<在[]0,2上恒成立,所以函数()f x 在[]0,2上单调递减,因此()())min 22423f x f a =-=-,解得2a =,不满足103a >;综上,53a =. 【点睛】 方法点睛:利用导数研究函数单调性的方法:(1)确定函数()f x 的定义域;求导函数()'f x ,由()0f x '>(或()0f x '<)解出相应的x 的范围,对应的区间为()f x 的增区间(或减区间);(2)确定函数()f x 的定义域;求导函数()'f x ,解方程()0f x '=,利用()0f x '=的根将函数的定义域分为若干个子区间,在这些子区间上讨论()'f x 的正负,由符号确定()f x 在子区间上的单调性. 23.(1)2a ≤或83a ≥;(2)()e e 2,e 1-⎛⎤-∞ ⎥-⎝⎦.【分析】(1)转化条件为2221x a x ≤-或2220x ax a -+≤在[]1,2上恒成立,运算可得解;(2)转化条件为22ln -≤-x x a x x在区间[]1,e 上有解,结合导数确定22ln x xx x --在[]1,e 上的最大值即可得解. 【详解】(1)由题意,()22222a x ax af x x a x x-+'=-+=,若()f x 在区间[]1,2上是单调增加,则()0f x '≥即2221xa x ≤-在[]1,2上恒成立,设()()222111212221x x g x x x -==++--,易得()()min 12g x g ==, 故2a ≤;若()f x 在区间[]1,2上是单调减少,则()0f x '≤,即2220x ax a -+≤在[]1,2上恒成立,故只须222222021210a a a a ⎧⨯-⨯+≤⎨⨯-⨯+≤⎩,解得83a ≥, 综上,2a ≤或83a ≥; (2)由题意知,不等式()()0020f x a x +-≥在区间[]1,e 上有解, 即()22ln 0x x a x x -+-≥在区间[]1,e 上有解,因为当[]1,e x ∈时,ln 1x x ≤≤(不同时取等号),ln 0x x ->,所以22ln -≤-x xa x x在区间[]1,e 上有解,令()22ln x x h x x x -=-,则()()()()2122ln ln x x x h x x x -+-'=-, 因为[]1,e x ∈,所以222ln x x +>≥,所以()0h x '≥,()h x 在[]1,e 上单调递增, 所以[]1,e x ∈时,()()()max e e 2e e 1h x h -==-, 所以()e e 2e 1a -≤-,所以实数a 的取值范围是()e e 2,e 1-⎛⎤-∞ ⎥-⎝⎦. 【点睛】关键点点睛:解决本题的关键是将有解问题转化为求函数最值的问题,结合导数即可得解. 24.(1)54a =;(2)单调递减区间是()0,5,单调递增区间是()5,+∞. 【分析】(1)求导,使()12f '=-求解a 的值;(2)将(1)中所求a 的值代入,求解()0f x '>和()0f x '<的区间,从而得出函数()f x 的单调区间.【详解】(1)对()f x 求导得()2114a f x x x=--', 由()f x 在点()()1,1f 处的切线垂直于直线12y x =, 知()3124f a '=--=-,解得54a =. (2)由(1)知()()53ln 0442x f x x x x =+-->,则()22454x x f x x '--=,令()0f x '=,解得1x =-或5x =,因为1x =-不在()f x 的定义域()0,∞+内,所以舍去.当()0,5x ∈时,()0f x '<,故()f x 在()0,5内单调递减;当()5,x ∈+∞时,()0f x '>,故()f x 在()5,+∞内单调递增.故()f x 的单调递减区间是(0,5),单调递增区间是()5,+∞.【点睛】本题考查导数的几何意义,考查函数单调区间的求解,难度一般.25.(1)当0a ≥时,()f x 在0,上是增函数;当0a <时,()f x 在(]0,a -上是减函数,在(),a -+∞上是增函数;(2)a e =-.【分析】(1)先确定()f x 的定义域为(0,)+∞,再求导,由“()0f x '>,()f x 为增函数()0f x '<,()f x 在为减函数”判断,要注意定义域和分类讨论.(2)因为2()x a f x x'+=,0x >.由(1)可知①当0a 时,()f x 在(0,)+∞上为增函数,()()1min f x f =当01a <-时,即1a -时,()f x 在(0,)+∞上也是增函数,()()1min f x f =③当1a e <-<时,即1e a -<<-时,()f x 在[1,]a -上是减函数,在(a -,]e 上是增函数,()()min f x f a =-④当a e -时,即a e -时,()f x 在[1,]e 上是减函数,()()min f x f e =最后取并集.【详解】解:(1)由题意得()f x 的定义域为()0,∞+,()2x a f x x +'= ①当0a ≥时,()0f x '>,故()f x 在(0,)+∞上为增函数;②当0a <时,由()0f x '=得x a =-;由()0f x '>得x a >-;由()0f x '<得x a <-;∴()f x 在(]0,a -上为减函数;在(),a -+∞上为增函数.所以,当0a ≥时,()f x 在()0,∞+上是增函数;当0a <时,()f x 在(]0,a -上是减函数,在(),a -+∞上是增函数.(2)∵()2x a f x x+'=,0x >.由(1)可知: ①当0a ≥时,()f x 在()0,∞+上为增函数,()()min 12f x f a ==-=,得2a =-,矛盾!②当01a <-≤时,即1a ≥-时,()f x 在()0,∞+上也是增函数,()()min 12f x f a ==-=,∴2a =-(舍去).③当1a e <-<时,即1e a -<<-时,()f x 在[]1,a -上是减函数,在(],a e -上是增函数,∴()()()min ln 12f x f a a =-=-+=,得a e =-(舍去).④当a e -≥时,即a e ≤-时,()f x 在[]1,e 上是减函数,有()()min 12a f x f e e==-=, ∴a e =-.综上可知:a e =-.【点睛】 本题主要考查用导数法研究函数的单调性,基本思路是:当函数为增函数时,导数大于等于零;当函数为减函数时,导数小于等于零,已知单调性求参数的范围时,往往转化为求相应函数的最值问题.26.(1)122a b ⎧=-⎪⎨⎪=-⎩,()f x 的递增区间是2,3⎛⎫-∞- ⎪⎝⎭和()1,+∞,递减区间是2,13⎛⎫- ⎪⎝⎭;(2)1c <-或2c <.【分析】(1)求出()f x 的导数,由题可知23x =-与1x =是()0f x '=的两个根,即可求出,a b ,再利用导数即可求出单调区间;(2)根据(1)中的单调性,求出()f x 在[]1,2x ∈的最大值,令()2max f x c <,即可求出c 的范围.【详解】(1)()232f x x ax b =++', ∴()212403931320f a b f a b ⎧⎛⎫-=-+=⎪ ⎪⎝'⎭⎨⎪=++'=⎩,解得122a b ⎧=-⎪⎨⎪=-⎩,∴()()()332321f x x x x x '=--=+-,令()0f x '>,解得23x <-或1x >;令()0f x '<,解得213x -<<, 所以函数()f x 的递增区间是2,3⎛⎫-∞- ⎪⎝⎭和()1,+∞,递减区间是2,13⎛⎫- ⎪⎝⎭. (2)因为()32122f x x x x c =--+,[]1,2x ∈,根据(1)函数()f x 的单调性,得()f x 在21,3⎛⎫-- ⎪⎝⎭上递增,在2,13⎛⎫- ⎪⎝⎭上递减,在()1,2上递增, 所以当23x =-时,()2227f x c =+为极大值,而()222227f c c =+>+,所以()22f c =+为最大值. 要使()2f x c <对[]1,2x ∈-恒成立,须且只需()222c f c >=+,解得1c <-或2c <.【点睛】本题考查已知极值点求参数,考查利用导数求单调性,考查不等式的恒成立,属于中档题.。
一、选择题1.已知函数233()32f x x x e ⎛⎫=-⋅⎪⎝⎭,则( ) A .函数()f x 的极大值点为2x = B .函数()f x 在(),2-∞-上单调递减 C .函数()f x 在R 上有3个零点D .函数()f x 在原点处的切线方程为33y e x =- 2.设函数()21ln 2f x x ax bx =--,若1x =是()f x 的极大值点,则a 的取值范围为( ) A .()1,0- B .()1,-+∞ C .()0,∞+ D .()(),10,-∞-+∞3.已知函数()2ln 1f x x x =--,则()y f x =的图象大致为( )A .B .C .D .4.已知函数()y f x =的导函数为()y f x '=,满足x R ∀∈,()()f x f x '>且(1)f e =,则不等式(ln )f x x <的解集为( )A .(,)e +∞B .(1,)+∞C .(0,) eD .(0,1)5.函数()3sin cos 2xxf x x x =+在[]2,2ππ-的图象大致为( ) A . B .C .D .6.函数()262xf x x x e =-+的极值点所在的区间为( )A .()1,0-B .()0,1C .()1,2D .()2,1--7.已知定义在R 上的函数()f x 满足(3)16f =,且()f x 的导函数'()41f x x <-,则不等式2()21f x x x <-+的解集为( ) A .{}|33x x -<< B .{}|3x x >- C .{}|3x x > D .{|3x x <-或3x8.设曲线12x y x +=-在点(1,2)-处的切线与直线0ax by c -+=垂直,则ab 的值为( ) A .13B .13-C .3D .-39.R 上的函数()f x 满足:()()1f x f x '+>,()20f =,则不等式2()x x e f x e e <-的解集为( ) A .()(),00,2∞⋃-B .()(),02,-∞+∞C .()0+∞,D .(),2∞-10.已知定义在(0,)+∞上的函数()f x 的导函数()f x '满足()1xf x '>,则( )A .()()21ln 2f f -<B .()()21ln 2f f ->C .()()211f f -<D .()()211f f ->11.α,,22ππβ⎡⎤∈-⎢⎥⎣⎦,且sin sin 0ααββ->,则下列结论正确的是( ) A .αβ>B .0αβ+>C .αβ<D .22αβ>12.已知函数()f x 与()'f x 的图象如图所示,则函数()()x f x g x e=(其中e 为自然对数的底数)的单调递减区间为( )A .()4,1,,43⎛⎫-∞ ⎪⎝⎭B .()()0,1,4,+∞C .40,3⎛⎫ ⎪⎝⎭D .(0,4)二、填空题13.已知x y ,均为正实数.1x y +=.则1y x y+的最小值为________. 14.已知函数()f x 是定义在R 上的偶函数,其导函数为()f x ',若对任意的正实数,()()()()220,xf x f x g x x f x '+<=,则不等式()(122x g g ->-的解集为______ 15.已知函数2()sin cos f x f x x π⎛⎫'=+ ⎪⎝⎭,则3f π⎛⎫⎪⎝⎭的值为______. 16.已知曲线()f x lnx =在点00())(x f x ,处的切线经过点(0,1),则0x 的值为___. 17.函数32()22=-f x x x 在区间[1,2]-上的最大值是___________. 18.已知函数()y f x =在0x x =处的导数为2-,则()()000limx f x x f x x→--=△△△______.19.设函数f (x )在(0,+∞)可导,其导函数为f′(x ),若f (lnx )=x 2﹣1nx ,则f′(1)=_____20.已知函数()()221f x x xf '=+,则()1f 的值为__________.三、解答题21.已知函数()1ln f x ax x =--,a ∈R . (1)当a =2时,求函数()f x 的单调区间;(2)若函数()f x 在x =1处取得极值,对x ∀∈(0,+∞),()2f x bx -≥恒成立,求实数b 的取值范围;(3)当1x y e >>-时,求证:ln(1)eln(1)x yx y -+>+.22.已知函数()22ln f x x ax a x =-+(a ∈R ).(1)若()f x 在区间[]1,2上是单调函数,求实数a 的取值范围;(2)若存在[]01,x e ∈,使得()()0020f x a x +-≥成立,求实数a 的取值范围. 23.已知函数32()2(,)f x x ax bx a b R =+++∈在1x =-与3x =处均取得极值. (1)求实数a ,b 的值;(2)若函数()f x 在区间(),21m m -上单调递减,求实数m 的取值范围. 24.设()1,,54m h x x x x ⎡⎤=+∈⎢⎥⎣⎦,其中m 是不等于零的常数, (1)写出()4h x 的定义域; (2)求()h x 的单调递增区间;25.已知函数()()()3222232121f x x a a x a a x =--++-+,a R ∈,讨论()f x 的单调性.26.已知1x =是()=2ln bf x x x x++的一个极值点. (1)求函数()f x 的单调递减区间; (2)设函数3()()ag x f x x+=-,若函数()g x 在区间[1,2]内单调递增,求a 的取值范围.【参考答案】***试卷处理标记,请不要删除一、选择题 1.D 解析:D 【分析】对函数求导,通过判断函数的单调性求极值点以及零点个数等. 【详解】 A 选项:由233()32f x x x e ⎛⎫=-⋅⎪⎝⎭,得()3()=e 33f x x '-,令()=0f x ', 得1x =,故(),1x ∈-∞,()0f x '<,233()32f x x x e ⎛⎫=-⋅⎪⎝⎭为减函数,()1x ∈+∞,,()0f x '>,233()32f x x x e ⎛⎫=-⋅ ⎪⎝⎭为增函数,所以1x =是函数()f x 的极小值点,无极大值点,故A 错; B 选项: 当(),1x ∈-∞,233()32f x x x e ⎛⎫=-⋅⎪⎝⎭为减函数,故B 错; C 选项:由函数单调性可知函数至多有两个零点,故C 错;D 选项:切线斜率3(0)=-3e k f '=,所以切线方程为33y e x =-,D 正确. 故选:D 【点睛】求切线方程的步骤:①确定切点;②确定斜率;③点斜式写切线方程.2.B解析:B 【详解】()21ln 2f x x ax bx =--,,,由得,()()()1111ax x f x ax a x x+-=-+-=-', 若,由,得,当时,,此时单调递增;1x > 时,,此时单调递减;所以是的极大值点.若,则由,得或.时的极大值点, ,解得.综上:,的取值范围时.故选B .【点晴】本题是一道关于函数极值的题目,考虑运用导数求函数的极值.对求导,得,由得,将代入到导函数中,可得()()()1111ax x f x ax a x x+-=-+-=-',接下来分和两种情况,结合函数的单调性,分别求出的极大值点,从而建立的不等式求解即可.3.A解析:A 【分析】利用函数的定义域和函数的值域排除BD ,通过函数的单调性排除C ,推出结果即可.【详解】令()ln 1g x x x =--,则11()1x g x x x-'=-=, 由()0g x '>得1x >,即函数()g x 在(1,)+∞上单调递增, 由()0g x '<得01x <<,即函数()g x 在(0,1)上单调递减, 所以当1x =时,()()min 10g x g ==, 于是对任意(0,1)(1,)x ∈+∞,有()0g x >,则()0f x >,故排除BD ,因为函数()g x 在()0,1单调递减,则函数()f x 在()0,1递增,故排除C. 故选:A. 【点睛】本题考查利用导数对函数图象辨别,属于中档题.4.C解析:C 【分析】由不等式()f lnx x <,令t lnx =,可知()()t f lnx x f t e <⇔<,令()()xf xg x e =,求导可得函数单调性,从而可解:10lnx x e <⇔<<, 【详解】解:令t lnx =,则()()t f lnx x f t e <⇔<,令()()xf xg x e=,则()()()0x f x f x g x e '-'=>, 因为:满足x R ∀∈,()()f x f x '>()g x ∴在R 上单调递增,∴()()()()11t tf t f t eg t g e <⇔<⇔<110t lnx x e ⇔<⇔<⇔<<, 故选:C . 【点睛】本题主要考查导数法研究函数的单调性,考查了导数的综合应用,属于中档题.5.C解析:C 【分析】 利用()()'2,0f f π确定正确选项.【详解】()23sin 222cos 2202f ππππππ=+⋅=>,由此排除BD 选项. 当0x ≥时,()3sin cos 2xxf x x x =+,()'3cos 3ln 2sin cos sin 2xx xf x x x x -⋅=+-,()'031040f =+-=>,由此排除A 选项.故选:C 【点睛】本小题主要考查函数图象识别,考查导数的运用.6.B解析:B 【分析】求出函数的导数,根据函数的零点判定定理求出函数的极值点的区间即可. 【详解】()262x f x x e '=-+,且()f x '为单调函数,∴()12620f e '=-+>,()0620f '=-+<, 由()()010f f ''<,故()f x 的极值点所在的区间为()0,1, 故选:B. 【点睛】本题主要考查了导数的应用,函数的极值点的意义,考查转化思想,属于中档题.7.C解析:C 【分析】根据题意,设2()()21g x f x x x =-+-,求导分析可得()0g x '<,即函数()g x 在R 上为减函数,则原不等式可以转化为()()3g x g <,结合函数的单调性分析可得答案. 【详解】解:根据题意,设2()()21g x f x x x =-+-,其导数()()41g x f x x '='-+, 又由()41f x x '<-,即()410f x x '-+<, 则()0g x '<,即函数()g x 在R 上为减函数,又由f (3)16=,则g (3)f =(3)18310-+-=, ()()22()21()2103f x x x f x x x g x g <-+⇒-+-<⇒<,又由函数()g x 为减函数,则有3x >,则不等式2()21f x x x <-+的解集为{|3}x x >; 故选:C . 【点睛】本题考查函数的导数与函数单调性的关系,涉及不等式的求解,根据条件构造函数,利用函数的单调性和导数之间的关系是解决本题的关键,属于中档题.8.A解析:A 【分析】 求得函数12x y x +=-在点1x =处的导数,结合两直线的位置关系,即可求解. 【详解】由题意,曲线12x y x +=-,可得()()2221322x x y x x ---'==---, 所以1|3x y ='=-,即曲线12x y x +=-在点(1,2)-处的切线的斜率为3k =-, 因为曲线12x y x +=-在点(1,2)-处的切线与直线0ax by c -+=垂直, 所以(3)1a b ⨯-=-,解得13a b =. 故选:A. 【点睛】本题主要考查了导数的几何意义的应用,其中解答中熟练应用导数求解曲线在某点处的切线的斜率,结合两直线的位置关系,列出方程求解是解答的关键,着重考查推理与运算能力,属于基础题.9.D解析:D 【分析】构造函数()()xxF x e f x e =-,则由题意可证得()F x 在R 上单调递增,又()20f =,()()22222F e f e e =-=-,故2()x x e f x e e <-可转化为()()2F x F <,解得2x <.【详解】令()()xxF x e f x e =-,则()()()()()1xxxxF x e f x e f x e e f x f x '''=+-=+-⎡⎤⎣⎦,因为()()1f x f x '+>,所以()()()0xF x e f x f x ''=+>⎡⎤⎣⎦,所以函数()F x 在R 上单调递增,又()20f =,所以()()22222F e f e e =-=-故当2()x x e f x e e <-时,有2()x x e f x e e -<-,即()()2F x F <,由()F x 的单调性可知2x <. 故选:D. 【点睛】本题考查导数与函数的应用,考查构造函数法,根据函数的单调性求解不等式,难度一般.10.B解析:B 【解析】分析:根据题意,由()1xf x '>可得()()'1f x lnx x='>,构造函数()()g x f x lnx =-,可得()()()110xf x g x f x x x-=-=''>',故()g x 单调递增,根据单调性可得结论. 详解:令()(),0g x f x lnx x =->, ∴()()()11xf x g x f x x x=''-'-=, ∵()1xf x '>, ∴()0g x '>,∴函数()g x 在()0,+∞上单调递增, ∴()()21g g >,即()()2211f ln f ln ->-, ∴()()21ln2f f ->. 故选B .点睛:本题考查对函数单调性的应用,考查学生的变形应用能力,解题的关键是根据题意构造函数()()g x f x lnx =-,通过判断函数的单调性得到函数值间的关系,从而达到求解的目的.11.D解析:D 【分析】构造函数()sin f x x x =,利用其导函数判断出单调区间,根据奇偶性和对称性可得正确选项. 【详解】构造()sin f x x x =形式,则()sin cos f x x x x +'=,0,2x π⎡⎤∈⎢⎥⎣⎦时导函数()0f x '≥,()f x 单调递增;,02x π⎡⎫∈-⎪⎢⎣⎭时导函数()0f x '<,()f x 单调递减.又 ()f x 为偶函数,根据单调性和对称性可知选D.故本小题选D.【点睛】本小题主要考查构造函数法,考查利用导数研究函数的单调性以及求解不等式,属于中档题.12.B解析:B 【分析】结合函数图象比较()f x 与()f x '的大小,求出()()0f x f x -<′成立的x 的范围,求出()g x 的导数,判断其与0的关系即可.【详解】结合图象:()01x ∈,和()4x ∈+∞,时,()()f x f x '<,即()()0f x f x -<′, 而()()()0xf x f xg x e -=<′′,故()g x 在()0,1,()4,+∞递减,故选B . 【点睛】本题主要考查了数形结合思想,考查函数的单调性与导数的关系,判断()f x 与()f x '的大小是解题的关键,属于中档题.二、填空题13.【分析】均为正实数可得所以再利用导数研究单调性极值与最值即可求解【详解】因为所以所以令则令即解得此时单调递增令即解得此时单调递减所以时所以时的最小值为3故答案为:【点睛】本题主要考查了利用导数求函数 解析:3【分析】x y ,均为正实数,1x y +=,可得10x y =->,所以01y <<, ()11111y f y x y y y+=+-=-再利用导数研究单调性极值与最值即可求解. 【详解】因为1x y +=,所以1x y =-,所以()11111111111y y y x y y y y y y y--++=+=+=+----, 令()1111f y y y=+--, 则()()()222211211y f y y y y y -'=-+=--令()0f y '>,即210y ->,解得112y << ,此时()f y 单调递增, 令()0f y '<,即210y -<,解得102y <<,此时()f y 单调递减, 所以12y =时,()min 11131122f y =+-=,所以12x y ==时1y x y+的最小值为3, 故答案为:3 【点睛】本题主要考查了利用导数求函数的最值,属于中档题.14.【分析】根据条件可得函数为偶函数且在单调递减从而可得不等式【详解】当时且为偶函数在单调递减解得:故答案为:【点睛】求解的关键在于构造什么样的函数再利用导数研究函数的单调性进而将不等式进行等价转化解析:1322x x ⎧⎫<<⎨⎬⎩⎭【分析】根据条件可得函数()g x 为偶函数,且在(0,)+∞单调递减,从而可得不等式. 【详解】当0x >时,()''(()2())0g x x xf x f x =+<,且()g x 为偶函数,∴()g x 在(0,)+∞单调递减, ∴()(()111122222x x x g g g g --->⇔>⇔<112x ⇔-<, 解得:1322x <<, 故答案为:1322x x ⎧⎫<<⎨⎬⎩⎭.【点睛】求解的关键在于构造什么样的函数,再利用导数研究函数的单调性,进而将不等式进行等价转化.15.【分析】对函数求导并将代入可求得即得到函数解析式再将代入解析式可得答案【详解】求导得将代入上式得可得则函数解析式故答案为:【点睛】本题考查导数公式的应用考查特殊角的三角函数值属于基础题解析:12- 【分析】对函数()f x 求导并将2x π=代入可求得()2f π',即得到函数解析式,再将3x π=代入解析式可得答案. 【详解】2()sin cos f x f x x π⎛⎫'=+ ⎪⎝⎭,求导得()cos sin 2f x f x x π⎛⎫''=- ⎪⎝⎭,将2x π=代入上式得()cos 222i 2s n f f ππππ⎛⎫''=-⎪⎝⎭,可得2()1f π'=-, 则函数解析式()sin cos f x x x =-+,1sin cos 3332f πππ⎛⎫=-+=⎪⎝⎭,【点睛】本题考查导数公式的应用,考查特殊角的三角函数值,属于基础题.16.e2【分析】求导得则斜率为写出切线方程切线经过原点代入化简即可得出结果【详解】函数的导数为所以切线斜率为所以切线方程为因为切线过点所以代入切线方程得解得故答案为:【点睛】本题主要考查导数的运算及其几解析:e 2【分析】 求导得1()f x x'=,则斜率为001()k f x x '==,写出切线方程,切线经过原点(0,1)代入化简即可得出结果. 【详解】函数的导数为1()f x x'=,所以切线斜率为001()k f x x '==, 所以切线方程为0001ln ()y x x x x -=-,因为切线过点(0,1), 所以代入切线方程得0ln 2x =,解得20x e =.故答案为:2e . 【点睛】本题主要考查导数的运算及其几何意义,属于基础题.17.8【分析】对函数求导由导数确定单调区间由单调性确定极值再比较极值与函数端点值即可确定函数最值【详解】f′(x)=6x2-4x=2x(3x-2)已知x ∈-12当2≥x>或-1≤x<0时f′(x)>0f解析:8 【分析】对函数求导,由导数确定单调区间,由单调性确定极值,再比较极值与函数端点值,即可确定函数最值. 【详解】f ′(x )=6x 2-4x = 2x (3x -2), 已知x ∈[-1,2],当2 ≥ x >23或-1 ≤ x <0时, f ′(x )>0,f (x )单调递增区间是2[1,0),(,2]3-, 当0<x <23时,f ′(x )<0, f (x )单调递减区间是2(0,)3,故函数在0x =处取极大值,f (0)=0,又f (2)=8,故 f (x )的最大值是8. 故答案为:8 【点睛】本题考查了利用导数求函数的最值,考查了计算能力,属于基础题目.18.2【分析】根据函数在处导数为2得然后对进行变形利用导数定义即可得出为2【详解】解:依题意有所以故答案为:2【点睛】本题考查导数的定义关键是导数定义的等价变形属于基础题解析:2 【分析】根据函数()y f x =在0x 处导数为2得()()000lim2x f x x f x x→-=-△+△△,然后对()()000limx f x x f x x →--△△△进行变形,利用导数定义即可得出为2.【详解】 解:依题意有()()000lim2x f x x f x x→-=-△+△△,所以()()()()()()000000000limlim lim 2x x x f x x f x f x x f x f x x f x x x x→→→-----=-=-=△△△△△+△△-△△.故答案为:2. 【点睛】本题考查导数的定义,关键是导数定义的等价变形,属于基础题.19.【分析】先利用换元法求出函数f (x )的解析式再求导代值计算即可【详解】设lnx=t 则x=et ∵f (lnx )=x2-1nx ∴f (t )=e2t-t ∴f (x )=e2x-x ∴f′(x )=2e2x-1∴f′( 解析:221e -【分析】先利用换元法求出函数f (x )的解析式,再求导,代值计算即可. 【详解】 设lnx=t ,则x=e t , ∵f (lnx )=x 2-1nx , ∴f (t )=e 2t -t , ∴f (x )=e 2x -x , ∴f′(x )=2e 2x -1,∴f′(1)=2e 2-1, 故答案为2e 2-1. 【点睛】本题考查了函数解析式的求法和导数的运算,属于基础题.20.-3【解析】由函数则令所以解得即所以解析:-3 【解析】由函数()()221f x x xf =+',则()()221f x x f +''=,令1x =,所以()()1221f f =+'',解得()12f '=-,即()24f x x x =-,所以()211413f =-⨯=-.三、解答题21.(1)函数()f x 的减区间是1(0,)2,增区间是1(,)2+∞;(2)b ≤211e-;(3)证明见解析. 【分析】(1)利用导数求函数的单调区间即可;(2)根据极值点得出1a =,再将题设不等式化为1ln 1x b x x≤+-,求出1ln ()1xg x x x=+-的最小值,即可得出实数b 的取值范围; (3)将1x y e >>-变形为ln(+1)ln(+1)ln 1x y e >>=,结合分析法要证ln(1)ln(1)x yx ey -+>+只需证明ln(1)ln(1)x y e e x y >++,构造函数()ln(1)x e h x x =+,利用导数证明其在(1,)e -+∞上是增函数,从而得出()()h x h y >,即ln(1)e ln(1)x yx y -+>+.【详解】解:(1)当2a =时,()21ln f x x x =--,其中0x > 所以121()2x f x x x-'=-= 令()0f x '<,则210x x -<,即102x << 令()0f x '>,则210x x ->,即12x > 所以函数()f x 的减区间是1(0,)2,增区间是1(,)2+∞ (2)因为函数()f x 在1x =处取得极值,所以()01f '=又1()f x a x'=-,所以10a -=,1a = 因为()2f x bx -≥对x ∀∈(0,+∞)恒成立即()1ln 2f x x x bx =--≥-对x ∀∈(0,+∞)恒成立1ln 1x b x x≤+-对x ∀∈(0,+∞)恒成立令1ln ()1xg x x x=+-,则min ()b g x ≤ 22211ln ln 2()x x g x x x x--'=--=,由()0g x '=得2x e = 所以()g x 在2(0,]e 上是递减,2[,)e +∞上是递增,所以()()22min 11g x g ee ==-所以b ≤211e - (3)因为1x y e >>-,所以+1+1x y e >>,ln(+1)ln(+1)ln 1x y e >>=所以ln(1)ln(1)x yx ey -+>+等价于ln(1)ln(1)x y e x e y +>+,即ln(1)ln(1)x y e e x y >++ 要证明ln(1)ln(1)x yx ey -+>+,只要证明ln(1)ln(1)x y e e x y >++ 令()ln(1)x e h x x =+,只要证明()ln(1)xe h x x =+在(1,)e -+∞上是增函数又21[ln(1)]1()ln (1)x e x x h x x +-+'=+,易知1ln(1)1x x +-+在(1,)e -+∞上是增函数 所以111ln(1)ln 101x e x e e+->-=->+,所以21[ln(1)]1()0ln (1)x e x x h x x +-+'=>+ 所以()ln(1)xe h x x =+在(1,)e -+∞上是增函数又1x y e >>-,所以()()h x h y >,即ln(1)ln(1)x ye e x y >++,所以ln(1)ln(1)x yx ey -+>+.【点睛】本题的第三问中,关键是利用分析法从结论入手,构造函数结合导数证明单调性,从而利用单调性的性质证明不等式. 22.(1)2a ≤或83a ≥;(2)()e e 2,e 1-⎛⎤-∞ ⎥-⎝⎦.【分析】(1)转化条件为2221x a x ≤-或2220x ax a -+≤在[]1,2上恒成立,运算可得解;(2)转化条件为22ln -≤-x x a x x在区间[]1,e 上有解,结合导数确定22ln x xx x --在[]1,e 上的最大值即可得解. 【详解】(1)由题意,()22222a x ax af x x a x x-+'=-+=,若()f x 在区间[]1,2上是单调增加,则()0f x '≥即2221xa x ≤-在[]1,2上恒成立,设()()222111212221x x g x x x -==++--,易得()()min 12g x g ==, 故2a ≤;若()f x 在区间[]1,2上是单调减少,则()0f x '≤,即2220x ax a -+≤在[]1,2上恒成立,故只须222222021210a a a a ⎧⨯-⨯+≤⎨⨯-⨯+≤⎩,解得83a ≥, 综上,2a ≤或83a ≥; (2)由题意知,不等式()()0020f x a x +-≥在区间[]1,e 上有解, 即()22ln 0x x a x x -+-≥在区间[]1,e 上有解,因为当[]1,e x ∈时,ln 1x x ≤≤(不同时取等号),ln 0x x ->,所以22ln -≤-x xa x x在区间[]1,e 上有解,令()22ln x x h x x x -=-,则()()()()2122ln ln x x x h x x x -+-'=-, 因为[]1,e x ∈,所以222ln x x +>≥,所以()0h x '≥,()h x 在[]1,e 上单调递增, 所以[]1,e x ∈时,()()()max e e 2e e 1h x h -==-, 所以()e e 2e 1a -≤-,所以实数a 的取值范围是()e e 2,e 1-⎛⎤-∞ ⎥-⎝⎦. 【点睛】关键点点睛:解决本题的关键是将有解问题转化为求函数最值的问题,结合导数即可得解.23.(1)3a =-,9b =-;(2)(]1,2. 【分析】(1)先对函数求导,根据极值点,列出方程求解,即可得出a ,b ,再检验,即可得出结果;(2)根据(1)的结果,由(2)中条件,列出不等式求解,即可得出结果. 【详解】(1)因为32()2f x x ax bx =+++所以2()32f x x ax b '=++因为函数()f x 在1x =-与3x =处均取得极值所以223(1)2(1)033230a b a b ⎧⨯-+⨯-+=⎨⨯+⨯+=⎩ 所以39a b =-⎧⎨=-⎩,此时()()2()369331'=--=-+f x x x x x ,由()0f x '>得1x <-或3x >;由()0f x '<得13x;所以()f x 在(,1)-∞-上单调递增,在(1,3)-上单调递减,在(3,)+∞上单调递增, 因此()f x 在1x =-上取得极大值,在3x =上取得极小值,符合题设; 即所求实数a ,b 的值分别是3-,9-;(2)由(1)知,()f x 在(,1)-∞-上单调递增,在(1,3)-上单调递减,在(3,)+∞上单调递增,若函数()f x 在区间(),21m m -上单调递减, 则1213m m -≤<-≤ 所以12m <≤,即所求实数的取值范围是(]1,2. 【点睛】 思路点睛:由函数极值(极值点)求参数时,一般需要对函数求导,根据极值的定义,结合题中条件,列出方程求解,即可得出结果.(求出的结果要,要注意进行检验) 24.(1)15,164⎡⎤⎢⎥⎣⎦;(2)答案见解析. 【分析】(1)由已知得出1454x ⎡⎤∈⎢⎥⎣⎦,,解出x 可得()4h x 的定义域; (2)对函数()h x 求导,按0m <,1016m <≤,12516m <<和25m ≥四种情况,分别求出函数的单调递增区间即可.【详解】(1)∵1454x ⎡⎤∈⎢⎥⎣⎦,,∴15164x ⎡⎤∈⎢⎥⎣⎦, ∴()4h x 的定义域为15164⎡⎤⎢⎥⎣⎦, (2)()21m h x x '=-0m <时,()0h x '>恒成立,()h x 在154⎡⎤⎢⎥⎣⎦,递增;0m >时,令()0h x '>,解得x >或x <(,-∞,)+∞14≤即1016m <≤时,()h x 在154⎡⎤⎢⎥⎣⎦,递增当154<<即12516m <<时,()h x 在⎤⎦递增5即25m ≥时,()h x 在154⎡⎤⎢⎥⎣⎦,无递增区间 综上可得:0m <时,()h x 在154⎡⎤⎢⎥⎣⎦,递增; 1016m <≤时,()h x 在154⎡⎤⎢⎥⎣⎦,递增; 12516m <<时,()h x 在⎤⎦递增 【点睛】关键点点睛:本题考查函数的定义域,考查导数研究函数的单调性,解决本题的关键是令()0h x '>求出函数的单调增区间,讨论定义域的区间端点和单调区间的关系,考查了学生分类讨论思想和计算能力,属于中档题. 25.答案见解析 【分析】先求得()f x 的导函数()'fx ,然后对a 分成2a =或1a =-、1a <-或2a >、1a 2-<<等情况进行分类讨论,由此判断()f x 的单调性.【详解】()()()()()'22226621262f x x a a x a a x x a a =--++-=--+,由'0fx,得2x a a =-或2x =,由22a a -=,得1a =-或2a =,当2a =或1a =-时,()()2'620f x x =-≥;当1a <-或2a >时,2>2a a -,()f x 在区间(),2-∞和()2,a a -+∞上,()'0fx >;()22,x a a ∈-,()'0f x <.当1a 2-<<时,22a a -<,()f x 在区间()2,a a -∞-和()2,+∞上,()'0fx >;()2,2x a a ∈-,()'0f x <.综上所述:当2a =或1a =-时,()f x 在(),-∞+∞上单调递增;当1a <-或2a >时,()f x 在(),2-∞,()2,a a -+∞上单调递增,在()22,a a -上单调递减;当1a 2-<<时,()f x 在()2,a a -∞-,()2,+∞上单调递增,在()2,2a a -上单调递减.【点睛】含参数分类讨论函数的单调性,关键是制定分类标准,可根据导函数零点的分布来制定分类标准.26.(1)(]0,1;(2)3a ≥-. 【分析】(1)求出导函数()'f x ,由()01f '=求得b ,并检验,然后由()0f x '<确定减区间;(2)同样求出()'g x ,然后由()0g x '≥在[1,2]上恒成立得a 的范围. 【详解】(1)()f x 的定义域为(0,)+∞,2()2(0,,)1b f x xx x +'=-∈+∞. 因为1x =是()2f x x ln bxx =++的一个极值点,所以(1)0f '=,即210b -+=. 解得3b =,经检验,适合题意,所以3b =因为222313()22f x x x x x x+-+='=-, 解()0f x '<,得01x <<.所以函数()f x 的单调递减区间为(]0,1. (2)()()23(0)a g x f x x l ax xnx x =-=+->+, 2()01(2)ax g x x x '=>++. 因为函数()g x 在[]1,2上单调递增, 所以()0g x '≥在[]1,2上恒成立,即2201ax x++≥在[]1,2上恒成立, 所以22a x x ≥--在[]1,2上恒成立, 所以[]2(2),1,2max a x x x ≥--∈.因为在[]1,2上,2(2)3max x x --=-,所以3a ≥-.【点睛】本题考查由导数研究函数的极值、单调性,考查由单调性确定参数范围,解题关键是的转化,单调性转化为不等式恒成立,再转化为求函数最值.本题旨在考查学生的逻辑推理能力,运算求解能力,转化与化归能力.。
一、选择题1.已知函数(),0,,0.lnx x f x kx x >⎧=⎨≤⎩,若0x R ∃∈使得()()00 f x f x -=成立,则实数k 的取值范围是( ) A .(],1-∞B .1,e⎛⎤-∞ ⎥⎝⎦C .[)1,-+∞D .1,e ⎡⎫-+∞⎪⎢⎣⎭2.若幂函数()f x 的图象过点21,22⎛⎫ ⎪ ⎪⎝⎭,则函数()()e x f x g x =的递减区间为( ) A .()0,2 B .(),0-∞和()2,+∞ C .()2,0-D .()(),02,-∞+∞3.函数tan 22tan y x x =-42x ππ⎛⎫<< ⎪⎝⎭的最大值为( )A .33-B .3C .0D .3-4.在下列四个函数中,满足性质:“对于区间(1,2)上的任意()1212,x x x x ≠,不等式()()1212f x f x x x -<-恒成立”的只有( )A .1()f x x=B .()||f x x =C .()2f x x =D .2()f x x =5.已知函数()=x e xf x x+,1(ln )a f e =,1()2b f =,1()c f e =,则( )A .a b c >>B .c b a >>C .b a c >>D .b c a >>6.某堆雪在融化过程中,其体积V (单位:3m )与融化时间t (单位:h )近似满足函数关系:31()1010V t H t ⎛⎫=- ⎪⎝⎭(H 为常数),其图象如图所示.记此堆雪从融化开始到结束的平均融化速度为()3m /h v .那么瞬时融化速度等于()3m /h v 的时刻是图中的( ).A .1tB .2tC .3tD .4t7.已知()1()2ln 0f x a x x a x ⎛⎫-⎪⎝⎭=->在[1)+∞,上为单调递增函数,则a 的取值范围为( )A .[0)+∞,B .(0)+∞,C .(1)+∞,D .[1)+∞, 8.已知函数()22,22,2x x xx f x e x x ⎧+>⎪=⎨⎪+≤⎩,函数()()g x f x m =-有两个零点,则实数m 的取值范围为( )A .28,e ⎛⎫-∞ ⎪⎝⎭B .28,4e ⎛⎤⎥⎝⎦C .280,e ⎛⎫⎪⎝⎭D .[)28,4,e ⎛⎫-∞+∞ ⎪⎝⎭ 9.已知函数22,0()ln(1),0x x x f x x x ⎧-+≤=⎨+>⎩,若|()|f x ax ≥,则a 的取值范围是( )A .(,0]-∞B .(,1]-∞C .[2,1]-D .[2,0]-10.已知函数()[]1sin ,0,3f x x x x π=-∈且[]001cos ,0,3x x π=∈那么下列命题中真命题的序号是( )①()f x 的最大值为()0f x ; ②()f x 的最小值为()0f x ; ③()f x 在上[]0,π是减函数; ④()f x 在上[]0,x π上是减函数. A .①③B .①④C .②③D .②④11.已知函数()2sin 3f x xf x π'⎛⎫=- ⎪⎝⎭,则()f x 在,22ππ⎡⎤-⎢⎥⎣⎦上的最小值为( ) A .12π- B .12π+C .12π-- D .12π-+12.已知函数()cos ln f x x x =-+,则()1f '的值为( ) A .sin11- B .1sin1- C .1sin1+ D .1sin1--二、填空题13.已知()f x 是定义在R 上的奇函数,当0x >时,()()xf x f x '<,若()10f =,则不等式()0f x x>的解集为________. 14.已知定义在()0,∞+上的函数()f x 满足()()0xf x f x '-<,其中()f x '是函数()f x 的导函数.若()()()2202020202f m m f ->-,则实数m 的取值范围为______.15.222(2sin ),()sin cos ,(0)a x x dx f x x x x x a -=⎰-+=+≤≤,则()f x 的最大值为_____________.16.若点()()()112212,,,A x y B x y x x <是函数1,1()ln ,1x e x f x x x ⎧-+≤=⎨>⎩的图象上任意两点,且函数()f x 分别在点A 和点B 处的切线互相垂直,则12x x 的最大值为 __________. 17.若点P 是函数2()ln f x x x =-上任意一点,则点P 到直线x ﹣y ﹣2=0的最小距离为_____.18.已知函数()1ln f x x x =--,对定义域内的任意x 都有()2f x kx ≥-,则实数k 的取值范围是______.19.已知函数()ln e xf x x ax =--在()1,2上不单调,则a 的取值范围是_________.20.已知函数(a ≤0),函数,若不存在,使,则实数的取值范围为___.三、解答题21.已知函数()1ex f x a +=,()ln1xg x a=-,其中0a >. (1)若1a =,在平面直角坐标系xOy 中,过坐标原点O 分别作函数()y f x =与()y g x =的图象的切线1l ,2l ,求1l ,2l 的斜率之积;(2)若()()f x g x ≥在区间()0,∞+上恒成立,求a 的最小值. 22.已知函数()1ln 1f x x x =+-,()()1x g x f x e x m x ⎡⎤=-+-⎢⎥⎣⎦.(1)求()f x 的单调区间;(2)当1,x e e ⎡⎤∈⎢⎥⎣⎦时,判断函数()g x 的零点个数.23.已知函数()3212f x x x bx c =-++,且()f x 在1x =处取得极值. (Ⅰ)求b 的值;(Ⅱ)若当[]1,2x ∈-时,()2f x c <恒成立,求c 的取值范围; (Ⅲ)对任意的[]12,1,2x x ∈-,()()1272f x f x -≤是否恒成立?如果成立,给出证明;如果不成立,请说明理由.24.设函数()()2ln 2f x a x x a x =+-+,其中.a R ∈(1)若曲线()y f x =在点()()22f ,处切线的斜率为1,求a 的值;(2)已知导函数()f x '在区间()1e ,上存在零点,证明:当()1,x e ∈时,()2f x e >-.25.已知函数()221xf x xe x x =---.(1)求函数()f x 在[1,1]-上的最大值; (2)证明:当0x >时,()1f x x >--. 26.已知函数()ln f x x x =.(1)求曲线()y f x =在点()()1,1f 处的切线方程; (2)求()f x 的单调区间;(3)若对于任意1,x e e⎡⎤∈⎢⎥⎣⎦,都有()1f x ax ≤-,求实数a 的取值范围.【参考答案】***试卷处理标记,请不要删除一、选择题 1.D 解析:D 【分析】由已知建立方程,反解出k ,将问题转化为求函数值域问题,然后利用函数的性质求出最值即可求解. 【详解】由题意可得:存在实数00x ≠,使得()()00 f x f x -=成立,假设00x >,则00x -<, 所以有00ln kx x -=, 则0ln x k x =-, 令()ln xh x x=-, 则()2ln 1x h x x -'=, 令()0h x '>,即ln 1x >, 解得x e >,令()0h x '<,即ln 1x <, 解得0x e <<,则()h x 在()0,e 上单调递减,在(),e +∞上单调递增,所以()()()ln 1min e h x h x h e e e≥==-=-, 所以1k e≥-, 故选:D. 【点睛】关键点睛:本题考查了分段函数的存在性问题,构造函数,利用导函数求最值是解决本题的关键.2.B解析:B 【分析】根据条件先求解出()f x 的解析式,然后利用导数求解出()()ex f x g x =的单调递减区间. 【详解】因为()f x为幂函数,且过点1,22⎛⎫ ⎪ ⎪⎝⎭,所以设()f x x α=,所以1=2α⎝⎭,所以2α=,所以()2f x x =,所以2()ex x g x =,则(2)()e x x x g x '-=,当2x >或0x <时,()0g x '<;当02x <<时,()0g x '>, 所以()()e xf xg x =的递减区间为(),0-∞和()2,+∞, 故选:B. 【点睛】关键点点睛:解答本题的关键是求解完()f x 的解析式之后,根据()0f x '<去分析()f x 的单调递减区间.3.A解析:A 【分析】化简可得322tan 1tan xy x=-,令tan t x =,()1,t ∈+∞,则3221t y t =-,求出函数导数,利用导数判断函数的单调性即可求出最值. 【详解】可得3222tan 2tan tan 22tan 2tan 1tan 1tan x xy x x x x x =-=-=--, 令tan t x =,则()1,t ∈+∞,则3221t y t =-,则()()()()()22322222261222311t t t t t t y t t --⨯--'==--,当(t ∈时,0y '>,函数单调递增,当)t ∈+∞时,0y '<,函数单调递减,所以当t =时,()3max 221y ⨯==--.故选:A. 【点睛】关键点睛:本题考查函数最值的求解,解题的关键是利用换元法将函数化为3221t y t=-,然后利用导数讨论其单调性即可求出最值.4.A解析:A 【分析】2121|()()|||f x f x x x -<-可化成1212|()()|1||f x f x x x -<-,表示的是函数图象上任意两点连线的斜率的绝对值,而四个选项中的函数都是(1,2)上可导的函数,因此即转化为它们的导数值的绝对值在(1,2)内是否恒小于1的问题,对四个选项中的函数分别求导,判断导函数的值域是否是(1,1)-或是(1,1)-的子集即可. 【详解】解:因为对于区间(1,2)上的任意1x ,212()x x x ≠,2121|()()|||f x f x x x -<-恒成立” 所以函数图象上任意两点连线的斜率的绝对值小于1即可,又因为四个函数均是(1,2)上的可导函数,则在(1,2)内总能找到一条切线平行于任意两点连线,则问题即转化为 在(1,2)上四个函数的导数绝对值是否满足恒在(0,1)取值即可, 对于21:|()|A f x x '=,当(1,2)x ∈时,1()(,1)(0,1)4f x '∈⊆,故A 符合题意; 对于B :由题意()f x x =,()1f x '=,故B 不满足题意; 对于C :函数()2f x x =,所以()21f x '=>,故C 不满足题意; 对于:()2D f x x '=,当(1,2)x ∈时,()(2f x '∈,4),故D 不满足题意. 故选:A . 【点睛】本题考查了导数的几何意义,实际上是对于可导函数而言,割线在沿着某个方向平移的过程中极限位置是某点处的切线,从而将问题转化为导数的问题求解.5.B解析:B【分析】求出()f x 的导数,根据导数判断出函数的单调性,再根据111ln ,,2e e的大小关系即可判断. 【详解】()=x e xf x x+,0x ≠ ()()()()2211xx x e x e x e x f x x x+-+-'∴==, 当(),0x ∈-∞时,()0f x '<,则()f x 单调递减, 当()0,1x ∈时,()0f x '<,则()f x 单调递减, 当()1,x ∈+∞时,()0f x '>,则()f x 单调递增,11012e <<<,112f f e ⎛⎫⎛⎫∴< ⎪ ⎪⎝⎭⎝⎭,且1112f ⎛⎫=> ⎪⎝⎭, 1ln 10e =-<,()11ln 111f f e e ⎛⎫∴=-=-< ⎪⎝⎭, 111ln 2f f f e e ⎛⎫⎛⎫⎛⎫∴>> ⎪ ⎪ ⎪⎝⎭⎝⎭⎝⎭,即c b a >>.故选:B. 【点睛】易错点睛:本题考查利用函数单调性判断大小,注意函数的定义域为{}0x x ≠,故单调区间有3个,故在判断1(ln )a f e=的大小的时候应从函数值判断,而不能直接利用单调性.6.C解析:C 【分析】根据题意可知,平均融化速度为(100)(0)1000V V v -=-,反映的是()V t 图象与坐标轴交点连线的斜率,通过观察某一时刻处瞬时速度(即切线的斜率),即可得到答案. 【详解】解:平均融化速度为(100)(0)1000V V v -=-,反映的是()V t 图象与坐标轴交点连线的斜率,观察可知3t 处瞬时速度(即切线的斜率)为平均速度一致, 故选:C .【点睛】本题考查了图象的识别,瞬时变化率和切线斜率的关系,理解平均速度表示的几何意义(即斜率)是解题的关键.7.D解析:D 【分析】首先求导,由题意转化为在[1,)x ∈+∞,220ax x a -+≥恒成立,即221xa x ≥+在[1,)+∞上恒成立.再利用基本不等式求出221xx +的最大值即可. 【详解】222()ax x af x x-+'=,(0)a > 因为()f x 在[1,)+∞上为单调递增,等价于220ax x a -+≥恒成立. 即221xa x ≥+在[1,)+∞上恒成立. 因为22211112x x x x x x=≤=++,当1x =时,取“=”, 所以1a ≥,即a 的范围为[1,)+∞.故选:D 【点睛】本题主要考查利用导数的单调区间求参数的问题,同时考查了学生的转化思想,属于中档题.8.C解析:C 【分析】当2x ≥时,利用导数研究函数的单调性,()()g x f x m =-有两个零点,即()y f x =的图象与直线y m =有两个交点,结合函数图象,即可求出参数的取值范围;【详解】解:当2x ≥时,设()22x x x hx e +=,则()()()2222222x x x xx e x x e x h x e e +-+-'==-, 易知当2x >时,()0h x '<,即()h x 是减函数,∴2x =时,()()2max 82h eh x ==, 又x →+∞时,()0h x →且()0h x >,而2x ≤时,()2f x x =+是增函数,()24f =.()()g x f x m =-有两个零点,即()y f x =的图象与直线y m =有两个交点,函数()22,22,2x x xx f x e x x ⎧+>⎪=⎨⎪+≤⎩的图象如下所示:所以280m e <<.故选:C . 【点睛】本题考查利用导数研究函数的单调性,函数方程思想与数形结合思想,属于中档题.9.D解析:D 【分析】作出函数()y f x =的图像,和函数y ax =的图像,结合图像可知直线y ax =介于l 与x 轴之间,利用导数求出直线l 的斜率,数形结合即可求解. 【详解】由题意可作出函数()y f x =的图像,和函数y ax =的图像.由图像可知:函数y ax =的图像是过原点的直线, 当直线介于l 与x 轴之间符合题意,直线l 为曲线的切线,且此时函数()y f x =在第二象限的部分的解析式为22y x x =-,求其导数可得22y x '=-,因为0x ≤,故2y '≤-, 故直线l 的斜率为2-,故只需直线y ax =的斜率a []2,0∈-. 故选:D 【点睛】本题考查了不等式恒成立求出参数取值范围,考查了数形结合的思想,属于中档题.10.B解析:B 【解析】本题考查导数及函数的最值、单调性 由()1sin 3f x x x =-得()/1cos 3f x x =- 令()/1cos 03fx x =-=有1cos 3x =;因为01cos 3x =,则0x 为函数()1sin 3f x x x =-的一个极值点.当[]0,x π∈时,函数cos y x =递减,所以当()00,x x ∈时()/0f x >,函数递增,则③错误,;当()0,x x π∈时()/0fx <,函数递减,④正确.故0x 是函数的一个极大值点且唯一,故此点也是最大值点,①正确,②错误. 故正确答案为①④ 所以本题选B11.D解析:D【分析】求得函数的导数()2cos 3f x f x π⎛⎫''=- ⎪⎝⎭,得到1()32f π'=,得到()sin f x x x =-,再结合函数的单调性,即可求解. 【详解】由题意,函数()2sin 3f x xf x π'⎛⎫=- ⎪⎝⎭,可得()2cos 3f x f x π⎛⎫''=- ⎪⎝⎭, 令3x π=,可得()2cos 333f f πππ'⎛⎫'=-⎪⎝⎭,解得1()32f π'=, 即()sin f x x x =-,则()1cos 0f x x '=-≥,所以()f x 单调递增,当2x π=-,函数取得最小值,最小值为()sin()1222f x πππ=---=-+. 故选:D. 【点睛】本题主要考查了函数的导数的运算及应用,其中解答中熟记导数的运算公式,结合函数的单调性求解是解答的关键,着重考查运算与求解能力.12.C解析:C 【分析】根据导数的运算法则先求出函数的导数()f x '的解析式,再把1x =代入()f x '的解析式运算求得结果. 【详解】∵函数()cos ln f x x x =-+,∴()1sin f x x x'=+, ∴()1sin11f ='+,故选C. 【点睛】本题主要考查求函数的导数,导数的加减法则的应用,属于基础题.二、填空题13.【分析】令对其求导由时可知从而在上单调递减由的奇偶性可得是定义域上的偶函数从而可得出在上的单调性再结合可求出的解集【详解】由题意令则因为时则故在上单调递减又是定义在上的奇函数所以所以即是上的偶函数根 解析:()()1,00,1-【分析】 令()()f xg x x=,对其求导,由0x >时,()()xf x f x '<,可知()0g x '<,从而()g x在()0,∞+上单调递减,由()f x 的奇偶性,可得()g x 是定义域上的偶函数,从而可得出()g x 在(),0-∞上的单调性,再结合()()110g g -==,可求出()0g x >的解集.【详解】 由题意,令()()f x g x x =,则()()()2xf x f x g x x'-'=, 因为0x >时,()()xf x f x '<,则()()()20xf x f x g x x'-'=<,故()g x 在()0,∞+上单调递减,又()f x 是定义在R 上的奇函数,所以()()f x f x -=-, 所以()()()()()f x f x f x g x g x x x x---====--,即()g x 是()(),00,-∞⋃+∞上的偶函数,根据偶函数的对称性,可知()g x 在(),0-∞上单调递增,且()()()11101f g g -===,所以()()1,00,1x ∈-时,()0g x >.故答案为:()()1,00,1-.【点睛】关键点点睛:本题考查不等式的解集,解题关键是求出函数的单调性.本题通过构造函数()()f xg x x=,求导并结合当0x >时,()()xf x f x '<,可求出函数()g x 在()0,∞+上的单调性,再结合函数的奇偶性,可求出()g x 在定义域上的单调性.考查了学生的运算求解能力,逻辑推理能力,属于中档题.14.【分析】令求得函数的导数根据函数的单调性把题设中的不等式转化为即可求解【详解】令则因为所以所以函数在为单调递减函数又由所以即所以即所以解得综上可得实数的取值范围为故答案为:【点睛】本题主要考查了利用 解析:()2020,2022【分析】令()(),(0,)f x h x x x=∈+∞,求得函数的导数,根据函数的单调性,把题设中的不等式转化为(2020)(2)h m h ->,即可求解.【详解】 令()(),(0,)f x h x x x =∈+∞,则()()2()xf x f x h x x'-=, 因为()()0xf x f x '-<,所以()0h x '<,所以函数()h x 在(0,)+∞为单调递减函数,又由()()()2202020202f m m f ->-, 所以20200m ->,即2020m >,所以()()2020220202f m f m ->-, 即(2020)(2)h m h ->,所以20202m -<,解得2022m <, 综上可得,实数m 的取值范围为()2020,2022. 故答案为:()2020,2022. 【点睛】本题主要考查了利用导数求解函数的单调性,以及函数的单调性的应用,着重考查了构造、转化思想,以及推理与运算能力,属于中档试题.15.【分析】根据定积分的几何意义以及定积分性质求得再求得利用导数分析函数单调性即可求得最大值【详解】令则又即故为半径为的半圆面积故;又是奇函数根据定积分性质则故则故当时单调递增;当时单调递减故故答案为:解析:2π【分析】根据定积分的几何意义以及定积分性质,求得a ,再求得f x ,利用导数分析函数单调性,即可求得最大值. 【详解】令m =,)n x dx =,则a m n =+,又y =222x y +=,故m 的半圆面积,故212m ππ=⨯=;又y sinx =是奇函数,根据定积分性质,则0n =.故a π=.则()(),0f x xsinx cosx x π=+≤≤,()f x xcosx =',故当0,2x π⎛⎫∈ ⎪⎝⎭时,0f x ,()f x 单调递增; 当,2x ππ⎛⎫∈⎪⎝⎭时,0f x,()f x 单调递减.故()22max f x f ππ⎛⎫== ⎪⎝⎭. 故答案为:2π 【点睛】本题考查利用定积分的几何意义求定积分,以及定积分的性质,涉及利用导数求函数的最大值,属综合中档题.16.【分析】由题得即得所以设利用导数求函数的最值即可【详解】由导数的几何意义知点处的切线的斜率为点处的切线的斜率为函数的图象在点处的切线互相垂直时有由可得即因为所以所以设可得即在递增可得有最大值故答案为 解析:e【分析】由题得12xx e =,即得21>x ,101x <≤.所以1211x x x x e =,设()(01)x h x xe x =<,利用导数求函数的最值即可. 【详解】由导数的几何意义知,点A 处的切线的斜率为1()f x ',点B 处的切线的斜率为2()f x ', 函数()f x 的图象在点A ,B 处的切线互相垂直时,有12()()1f x f x ''=-, 由(1)xxe e -'=-,1()lnx x'=,可得1211x e x -=-,即12x x e =, 因为21>x ,所以101x <≤. 所以1211x x x x e =,设()(01)x h x xe x =<,可得()(1)0x h x x e '=+>, 即()h x 在(0,1]递增,可得()h x 有最大值11=e e ⨯, 故答案为:e【点睛】本题主要考查导数的几何意义,考查利用导数求函数的最值,意在考查学生对这些知识的理解掌握水平.17.【分析】结合图象可得P 为与直线x ﹣y ﹣2=0平行且与函数f (x )相切的切线的切点根据导数几何意义求得点P 坐标最后根据点到直线距离公式得结果【详解】设x ﹣y+m=0与函数的图象相切于点P (x0y0)所 2【分析】结合图象可得P 为与直线x ﹣y ﹣2=0平行且与函数f (x )相切的切线的切点,根据导数几何意义求得点P 坐标,最后根据点到直线距离公式得结果. 【详解】设x ﹣y +m =0与函数2()ln f x x x =-的图象相切于点P (x 0,y 0).1()2f x x x'=-所以00121x x -=,x 0>0,解得x 0=1.∴y 0=1, ∴点P (1,1)到直线x ﹣y ﹣2=0的距离为最小距离d ==. 【点睛】本题考查导数几何意义以及点到直线距离公式,考查基本分析求解能力,属中档题.18.【分析】不等式分离变量等价变形为构造函数函数求导求出单调区间可得函数最小值【详解】∵∴也即在时恒成立令则令易知在上单调递减在上单调递增故∴故答案为:【点睛】本题考查数的单调性及不等式恒成立问题转化为 解析:21(,1]e -∞-【分析】不等式()2f x kx ≥-分离变量,等价变形为1ln 1x k x x≤+-,构造函数()1ln 1x g x x-=+,函数求导()2ln 2x g x x -'=,求出单调区间,可得函数最小值. 【详解】∵()1ln 2f x x x kx =--≥-,∴1ln kx x x ≤+-,0x >,也即1ln 1xk x x≤+-在0x >时恒成立.令()1ln 1x g x x -=+,0x >,则()2ln 2x g x x -'=,0x >,令()20g x x e '=⇒=.易知()g x 在()20,x e ∈上单调递减,()g x 在()2,x e ∈+∞上单调递增,故()()22min 11g x g ee ==-,∴211k e ≤-. 故答案为:21(,1]e-∞- 【点睛】本题考查数的单调性及不等式恒成立问题转化为函数最值问题.不等式恒成立问题的求解方法:(1)已知不等式()0f x λ≥,(λ为实参数)对任意的x D ∈恒成立,求参数λ的取值范围.利用导数解决此类问题可以运用分离参数法, (2)如果无法分离参数,可以考虑对参数或自变量进行分类讨论求解.19.【分析】由题意知函数在区间上存在极值点利用导函数在区间上单调可得出有关实数的不等式组解出即可【详解】则函数在上单调递减因为函数在上不单调所以在上有解所以解得因此实数的取值范围是故答案为:【点睛】本题解析:21,12e e ⎛⎫-- ⎪⎝⎭【分析】由题意知,函数()y f x =在区间()1,2上存在极值点,利用导函数在区间()1,2上单调,可得出有关实数a 的不等式组,解出即可. 【详解】()ln x f x x ax e =--,()1x f x a e x∴=--',则函数()y f x ='在()1,2上单调递减, 因为函数()y f x =在()1,2上不单调,所以()0f x '=在()1,2上有解,所以()()21101202f a e f a e ⎧=-->⎪⎨=--<''⎪⎩,解得2112e a e -<<-. 因此,实数a 的取值范围是21,12e e ⎛⎫-- ⎪⎝⎭. 故答案为:21,12e e ⎛⎫-- ⎪⎝⎭. 【点睛】本题考查利用函数在区间上不单调求参数的取值范围,一般转化为函数在区间上有极值点,考查运算求解能力,属于中等题.20.-10【解析】【分析】先求导分别求出导函数的最值再根据不存在x1x2∈R 使得f′(x1)=g′(x2)得到关于a 的不等式解得即可【详解】∵函数f (x )=ex ﹣ax 函数g (x )=﹣x3﹣ax2∴f′( 解析:【解析】 【分析】先求导,分别求出导函数的最值,再根据不存在x 1,x 2∈R ,使得f ′(x 1)=g ′(x 2),得到关于a 的不等式解得即可. 【详解】∵函数f (x )=e x ﹣ax ,函数g (x )=﹣x 3﹣ax 2, ∴f ′(x )=e x ﹣a >﹣a ,g ′(x )=﹣x 2﹣2ax =﹣(x )2,∵不存在x 1,x 2∈R ,使得f ′(x 1)=g ′(x 2), ∴,解得-1≤a ≤0,故答案为.【点睛】本题考查了导数的运算法则和函数的最值问题,以及不等式的解法,属于中档题.三、解答题21.(1)1;(2)21e. 【分析】(1)利用导数的运算法则和公式求得1()e x f x +'=,1()g x x'=,得到切线1l ,2l 的斜率∴111e x l k +=,221l k x =,根据两切线都经过原点,求得121,e x x ==,进而求得两直线的斜率之积;(2)问中是典型的无法分离参数的情况,进行转化并构造函数,1()e x F x x +=,转化为()ln 1x F x F a ⎛⎫≥- ⎪⎝⎭,分类讨论,并注意利用导数进一步研究函数()F x 的单调性,当ln10,x a ->转化为1max ln 1e x x x x a a +⎛⎫≥-⇒≥ ⎪⎝⎭,进而再次造函数令1()ex x x ϕ+=,利用导数研究单调性并求得其最大值,即得a 的最小值. 【详解】解:(1)当1a =时,()1x f x e=+,()ln 1g x x =-设过原点O 的直线分别切()f x ,()g x 于点()111,P x y ,()222,P x y1()e x f x +'=,1()g x x'=, ∴111ex l k +=,221l k x =且11111122222e e 1e ln 11x x x x x x x x ++⎧=⎪=⎧⎪⇒⎨⎨=-⎩⎪=⎪⎩ ∴12221e 1e l l k k ⋅=⋅=. (2)由1eln 1x xa a+≥-在(0,)+∞上恒成立得∵0a >,∴111eln x x a a a+≥- ln 1eln 1ln 1e (*)xx ax x x x a a a +⎛⎫⎛⎫≥-=-⋅ ⎪ ⎪⎝⎭⎝⎭令1()e x F x x +=,∴()ln 1x F x F a ⎛⎫≥- ⎪⎝⎭①当ln 10xa-≤时,(*)左边0,>右边0,≤显然成立 ②当ln10,xa->注意到1()(1)e 0x F x x +'=+> ∴()F x 在(0,)+∞上∴1maxln1e x x x x a a +⎛⎫≥-⇒≥ ⎪⎝⎭ 令1()e x x x ϕ+=,11221e e 1()e ex x x x x x x ϕ++++--'==,令()0x ϕ'= 得01x <<时,()0x ϕ'>,()x ϕ↗; 当1x >时,()0x ϕ'<,()x ϕ↘ ∴max 21()(1)x e ϕϕ==,∴21a e ≥.【点睛】本题考查求曲线上某点处的切线的斜率问题和利用导数研究不等式恒成立问题,属中档题,难度一般.关键是要熟练掌握导数的运算法则和求导公式,这是一切导数问题的基础,第(2)问中将不等式整理为为ln 1eln 1ln 1e (*)xx ax x x x a a a +⎛⎫⎛⎫≥-=-⋅ ⎪ ⎪⎝⎭⎝⎭令1()e x F x x +=,转化为()ln 1x F x F a ⎛⎫≥- ⎪⎝⎭,是难点也是解决问题的关键点,多次构造函数,并利用函数思想进行转化和求解是本题的显著特点,值得好好体会. 22.(1)增区间为(1,)+∞,减区间为(0,1);(2)当112em e e<-+或m e >时,函数()g x 在1,e e ⎡⎤⎢⎥⎣⎦上没有零点;当112e e m e e-+≤≤时,函数()g x 在1,e e ⎡⎤⎢⎥⎣⎦上有一个零点.【分析】(1)求得函数的导数21()x f x x -'=,根据导函数的符号,即可求得函数的单调区间; (2)当1,x e e⎡⎤∈⎢⎥⎣⎦时,把函数()g x 的零点个数转化为方程(ln 1)xx e x m -+=的根的个数,构造新函数()(ln 1)xh x x e x =-+,利用导数求得函数()h x 的单调性与最值,结合最值,即可求解. 【详解】(1)由题意,函数()1ln 1f x x x=+-的定义域为(0,)+∞ ,且22111()x f x x x x -'=-=令()0f x '>,解得1x >;令()0f x '<,解得01x <<, 所以函数()f x 的单调递增区间为(1,)+∞,单调递减区间为(0,1).(2)当1,x e e⎡⎤∈⎢⎥⎣⎦时,函数()g x 的零点个数等价于方程(ln 1)xx e x m -+=的根的个数,令()(ln 1)xh x x e x =-+,则1()ln 11xh x x e x ⎛⎫'=+-+ ⎪⎝⎭,由(1)知,()f x 在1,1e ⎛⎫⎪⎝⎭上单调递减,在(1,)e 上单调递增,所以当1,e e x ⎡⎤∈⎢⎥⎣⎦,()(1)0f x f ≥=,即1ln 10x x +-≥在1,x e e ⎡⎤∈⎢⎥⎣⎦上恒成立, 所以()1ln 11011x h x x e x ⎛⎫'=+-+≥+=⎪⎝⎭. 所以()(ln 1)xh x x e x =-+在1,x e e⎡⎤∈⎢⎥⎣⎦上单调递增,所以1min11()2e h x h e e e ⎛⎫==-+ ⎪⎝⎭,max ()()h x h e e ==,当112em e e<-+或m e>时,函数()g x 在1,e e ⎡⎤⎢⎥⎣⎦上没有零点;当112ee m e e-+≤≤时,函数()g x 在1,e e ⎡⎤⎢⎥⎣⎦上有一个零点.【点睛】对于利用导数研究函数的零点问题求解策略:把函数的零点问题转化为两个函数的图象的交点个数或转化为方程根的个数问题; 通常要构造新函数,利用导数研究函数的单调性,求出最值,从而求出参数的取值范围; 利用可分离变量,构造新函数,直接把问题转化为函数的最值问题.求满足函数零点个数的参数范围时,通常解法为从()f x 中分离参数,然后利用求导的方法求出由参数构造的新函数的最值,根据题设条件构建关于参数的不等式,再通过解不等式确定参数的取值范围.23.(Ⅰ)2b =-;(Ⅱ)c 的取值范围是()(),12,-∞-+∞.(Ⅲ)成立,证明见解析.【分析】(Ⅰ)由题意得f (x )在x =1处取得极值所以f ′(1)=3﹣1+b =0所以b =﹣2. (Ⅱ)利用导数求函数的最大值即g (x )的最大值,则有c 2>2+c ,解得:c >2或c <﹣1.(Ⅲ)对任意的x 1,x 2∈[﹣1,2],|f (x 1)﹣f (x 2)|72≤恒成立,等价于|f (x 1)﹣f(x 2)|≤f (x )max ﹣f (x )min 72=. 【详解】(Ⅰ)∵f (x )=x 312-x 2+bx +c , ∴f ′(x )=3x 2﹣x +b .∵f (x )在x =1处取得极值, ∴f ′(1)=3﹣1+b =0. ∴b =﹣2.经检验,符合题意.(Ⅱ)f (x )=x 312-x 2﹣2x +c . ∵f ′(x )=3x 2﹣x ﹣2=(3x +2)(x ﹣1), 当x ∈(﹣1,23-)时,f ′(x )>0 当x ∈(23-,1)时,f ′(x )<0 当x ∈(1,2)时,f ′(x )>0∴当x 23=-时,f (x )有极大值2227+c . 又f (2)=2+c 2227+>c ,f (﹣1)12=+c 2227+<c ∴x ∈[﹣1,2]时,f (x )最大值为f (2)=2+c . ∴c 2>2+c .∴c <﹣1或c >2.(Ⅲ)对任意的x 1,x 2∈[﹣1,2],|f (x 1)﹣f (x 2)|72≤恒成立. 由(Ⅱ)可知,当x =1时,f (x )有极小值32-+c . 又f (﹣1)12=+c 32-+>c ∴x ∈[﹣1,2]时,f (x )最小值为32-+c . ∴|f (x 1)﹣f (x 2)|≤f (x )max ﹣f (x )min 72=,故结论成立. 【点睛】本题考查函数的极值及最值的应用,易错点是知极值点导数为0要检验,结论点睛:|f (x 1)﹣f (x 2)|≤a 恒成立等价为f (x )max ﹣f (x )min ≤a 24.(1)2a =;(2)证明见解析. 【分析】(1)由导数的几何意义运算即可得解;(2)结合导函数的零点可得02a x =,再由函数()f x 的单调性,进而可转化条件为()20000min 2ln 2f x x x x x =--,设()()22,21ln ,g x x x e x x x =--∈,通过导数证明()2g x e >-即可得证.【详解】(1)因为()()2ln 2f x a x x a x =+-+,所以()()22a f x x a x'=+-+, 所以()()42212a f a '=+-+=,解得2a =; (2)证明:由题意,()()()()1222x x a a f x x a x x--'=+-+=, 因为导函数()f x '在区间()1,e 上存在零点,设零点为()00,1,x x e ∈,则()0222,e a x ∈=,所以()f x 在()01,x 上单调递减,在()0,x e 上单调递增,故()()()()0220000i 0000m n ln 22ln 22a x x a x x x f x f x x x x +-+=+-+== 200002ln 2x x x x =--,设()()22,21ln ,g x x x e x x x =--∈,则()2ln 2g x x x '=-, 设()()()2ln 21,,h x g x x e x x '==-∈,则()220h x x'=-<,()h x 单调递减, 又()()112h g '==-,故()2ln 20g x x x '=-<在()1,e 上恒成立,故()g x 单调递减, 所以()()2g x g e e >=-, 故当()1,x e ∈时,()2f x e >-. 【点睛】关键点点睛:解决本题的关键是利用导函数的零点即函数的极值点转化条件为证明2200002ln 2x x x x e -->-.25.(1)1e -;(2)证明见解析.【分析】(1)利用导数得到()f x 单调性,确定()()(){}max max 1,1f x f f =-,进而可得结果; (2)将所证不等式转化为证明10x e x -->,构造函数()1x g x e x =--,利用导数可证得()0g x >,从而得到结论.【详解】(1)()()()2212x x x f x e xe x x e '=+--=+-,当()1,ln 2x ∈-时,()0f x '<;当()ln 2,1x ∈时,()0f x '>,()f x ∴在[)1,ln 2-上单调递减,在(]ln 2,1上单调递增,()()(){}max max 1,1f x f f ∴=-,又()111121f e e-=--+-=-,()11214f e e =---=-, ()()max 11f x f e∴=-=-. (2)要证()1f x x >--,只需证()210x f x x xe x x ++=-->, 0x ,∴只需证:10x e x -->.令()1x g x e x =--,则()1x g x e '=-,当0x >时,e 1x >,()0g x '∴>在()0,∞+上恒成立,()g x ∴在()0,∞+上单调递增, ()0010g x e ∴>--=,即当0x >时,10x e x -->恒成立,则原命题得证, ∴当0x >时,()1f x x >--.【点睛】关键点点睛:本题考查利用导数证明不等式,解题关键是能够通过分析法将所证不等式进行等价转化,从而构造新函数,利用导数求得新函数的最值使得结论得证.26.(1)1y x =-(2)()f x 的单调递增区间是1,e ⎛⎫+∞ ⎪⎝⎭;()f x 的单调递减区间是10,e ⎛⎫ ⎪⎝⎭(3)1a e ≥-. 【分析】(1)先求得导函数,由导数的几何意义求得切线的斜率,再求得切点坐标,即可由点斜式得切线方程;(2)求得导函数,并令()0f x '=求得极值点,结合导函数的符号即可判断函数单调区间;(3)将不等式变形,并分离参数后构造函数()1ln g x x x=+,求得()g x '并令()0g x '=求得极值点,结合极值点左右两侧的单调性和端点求得最值,即可确定a 的取值范围. 【详解】(1)因为函数()ln f x x x =,所以()1ln ln 1f x x x x x'=+⋅=+,()1ln111f '=+=. 又因为()10f =,则切点坐标为()1,0,所以曲线()y f x =在点()1,0处的切线方程为1y x =-.(2)函数()ln f x x x =定义域为()0,∞+,由(1)可知,()ln 1f x x '=+.令()0f x '=解得1=x e. ()f x 与()f x '在区间()0,∞+上的情况如下:所以,()f x 的单调递增区间是,e ⎛⎫+∞ ⎪⎝⎭; ()f x 的单调递减区间是10,e ⎛⎫ ⎪⎝⎭. (3)当1x e e≤≤时,“()1f x ax ≤-”等价于“1ln a x x ≥+”. 令()1ln g x x x =+,1,x e e ⎡⎤∈⎢⎥⎣⎦,()22111x g x x x x -'=-=,1,x e e ⎡⎤∈⎢⎥⎣⎦. 令()0g x '=解得1x =,当1,1x e ⎛⎫∈ ⎪⎝⎭时,()0g x '<,所以()g x 在区间1,1e ⎛⎫ ⎪⎝⎭单调递减.当()1,x e ∈时,()0g x '>,所以()g x 在区间()1,e 单调递增.而1ln 1 1.5g e e e e ⎛⎫=+=-> ⎪⎝⎭,()11ln 1 1.5g e e e e=+=+<. 所以()g x 在区间1,e e⎡⎤⎢⎥⎣⎦上的最大值为11g e e ⎛⎫=- ⎪⎝⎭. 所以当1a e ≥-时,对于任意1,x e e⎡⎤∈⎢⎥⎣⎦,都有()1f x ax ≤-. 【点睛】本题考查了导数的几何意义,切线方程的求法,由导函数求函数的单调区间,分离参数法并构造函数研究参数的取值范围,由导数求函数在闭区间上的最值,属于中档题.。
一、选择题1.若幂函数()f x 的图象过点21,22⎛⎫ ⎪ ⎪⎝⎭,则函数()()e x f x g x =的递减区间为( ) A .()0,2 B .(),0-∞和()2,+∞ C .()2,0-D .()(),02,-∞+∞2.函数tan 22tan y x x =-42x ππ⎛⎫<< ⎪⎝⎭的最大值为( )A .33-B .3C .0D .3-3.已知a R ∈,0b ≠,若x b =是函数()()()2f x x b x ax b =-++的极小值点,则实数b 的取值范围为( )A .1b <且0b ≠B .1b >C .2b <且0b ≠D .2b > 4.对任意的0a b t <<<,都有ln ln b a a b <,则t 的最大值为( )A .1B .eC .2eD .1e5.函数y =f (x )的导函数y =f ′(x )的图象如图所示,给出下列命题:①-3是函数y =f (x )的极值点; ②y =f (x )在区间(-3,1)上单调递增; ③-1是函数y =f (x )的最小值点; ④y =f (x )在x =0处切线的斜率小于零. 以上正确命题的序号是( ) A .①②B .③④C .①③D .②④6.记函数()cos2f x x =的导函数为()f x ',则函数()23()()g x x f x '=+在[0,]x π∈内的单调递增区间是( )A .0,2π⎡⎤⎢⎥⎣⎦B .,2ππ⎡⎤⎢⎥⎣⎦C .511,1212ππ⎡⎤⎢⎥⎣⎦D .5,12ππ⎡⎤⎢⎥⎣⎦7.函数()f x x =,2()=g x x 在[0,1]的平均变化率分别记为12,m m ,则下面结论正确的是 A .12m m = B .12m mC .21m m D .12m m ,的大小无法确定8.已知函数()y f x =的导函数为()y f x '=,满足x R ∀∈,()()f x f x '>且(1)f e =,则不等式(ln )f x x <的解集为( )A .(,)e +∞B .(1,)+∞C .(0,) eD .(0,1)9.函数()262xf x x x e =-+的极值点所在的区间为( ) A .()1,0-B .()0,1C .()1,2D .()2,1--10.已知函数22,0()ln(1),0x x x f x x x ⎧-+≤=⎨+>⎩,若|()|f x ax ≥,则a 的取值范围是( )A .(,0]-∞B .(,1]-∞C .[2,1]-D .[2,0]-11.已知函数()2sin 3f x xf x π'⎛⎫=- ⎪⎝⎭,则()f x 在,22ππ⎡⎤-⎢⎥⎣⎦上的最小值为( ) A .12π- B .12π+ C .12π-- D .12π-+12.已知函数()ln f x x x =,则()f x ( ) A .在()0,∞+上递增B .在()0,∞+上递减C .在10,e ⎛⎫⎪⎝⎭上递增D .在10,e ⎛⎫⎪⎝⎭上递减二、填空题13.函数()sin cos f x x x x =+在,6ππ⎡⎤⎢⎥⎣⎦上的最大值为________. 14.若函数()ln 3f x a x ax =-+在区间1,44⎛⎫ ⎪⎝⎭内的图像上存在两点,使得在该点处的切线相互垂直,则实数a 的取值范围为________. 15.已知函数()y f x =在0x x =处的导数为2-,则()()000limx f x x f x x→--=△△△______.16.已知函数()1ln f x x x =--,对定义域内的任意x 都有()2f x kx ≥-,则实数k 的取值范围是______.17.已知函数()ln 2f x x x =-+,存在(]00,4x ∈,使得()0f x m ≥成立,则实数m 的取值范围是________.18.已知()f x 是定义在R 上的奇函数,(1)0f =,且对任意0x >都有()()0x f x f x '⋅->成立,则不等式2()0x f x ⋅>的解集是______.19.设定义在上的奇函数满足:时,(其中为常数).若,,,则,,的大小关系是_________.(用“”连接)20.已知函数()f x 的导函数为()f x ',且满足()()2ln f x xf e x '=+,则()f e =__________. 三、解答题21.设函数()21xf x e ax x =---,a R ∈.(1)0a =时,求()f x 的最小值.(2)若()0f x ≥在[)0,+∞恒成立,求a 的取值范围. 22.已知函数2()ln (21)1()f x x ax a x a =+-++≥0. (1)当0a =时,求函数()f x 在区间[1,)+∞上的最大值;(2)函数()f x 在区间(1,)+∞上存在最小值,记为()g a ,求证:1()14g a a<-. 23.某市作为新兴的“网红城市”,有很多风靡网络的“网红景点”,每年都有大量的游客来参观旅游。
一、选择题1.已知函数()()221sin 1x xf x x ++=+,其中()f x '为函数()f x 的导数,则()()()()2020202020192019f f f f ''+-+--=( )A .0B .2C .2019D .20202.已知函数()f x 与()f x '的图象如图所示,则函数()()x f x g x e=(其中e 为自然对数的底数)的单调递减区间为( )A .()0,4B .()4,1,43⎛⎫-∞⋃⎪⎝⎭ C .40,3⎛⎫ ⎪⎝⎭D .()0,1,()4,+∞3.若函数sin ()cos x a f x x +=在区间(0,)2π上单调递增,则实数a 的取值范围是( ) A .1a ≤-B .2a ≤C .1a ≥-D .1a ≤4.已知111ln 20x x y --+=,22262ln 20x y +--=,记()()221212M x x y y =-+-,则( )A .M 的最小值为25B .M 的最小值为45C .M 的最小值为85D .M 的最小值为1655.已知a ,b 为正实数,直线y x a =-与曲线ln()y x b =+相切,则12a b+的最小值是( ) A .2B .2C .342+D .322+6.已知函数f (x )在x =x 0处的导数为12,则000()()lim 3x f x x f x x∆→-∆-=∆( )A .-4B .4C .-36D .367.定义在R 上的偶函数f (x )的导函数为f ′(x ),若∀x ∈R ,都有2f (x )+xf ′(x )<2,则使x 2f (x )-f (1)<x 2-1成立的实数x 的取值范围是( ) A .{x |x ≠±1} B .(-1,0)∪(0,1) C .(-1,1)D .(-∞,-1)∪(1,+∞)8.如图,()y f x =是可导函数,直线:2l y kx =+是曲线()y f x =在3x =处的切线,令()()g x xf x =,'()g x 是()g x 的导函数,则'(3)g =( ).A .-1B .0C .2D .49.函数()3sin cos 2xxf x x x =+在[]2,2ππ-的图象大致为( ) A . B .C .D .10.设函数()()23xf x x e =-,则( )A .()f x 有极大值,且有最大值B .()f x 有极小值,但无最小值C .若方程()f x a =恰有一个实根,则36a e>D .若方程()f x a =恰有三个实根,则360a e<<11.已知函数22,0()ln(1),0x x x f x x x ⎧-+≤=⎨+>⎩,若|()|f x ax ≥,则a 的取值范围是( )A .(,0]-∞B .(,1]-∞C .[2,1]-D .[2,0]-12.函数()ln 22f x x x x a =-++,若()f x 与()()f f x 有相同的值域,则a 的取值范围为( ) A .(],0-∞B .1,02⎛⎤-⎥⎝⎦C .30,2⎡⎫⎪⎢⎣⎭D .[)0,+∞二、填空题13.()f x 的定义域为()(),00,-∞⋃+∞,()f x '是导函数,且满足()2()0xf x f x '->,若()f x 是偶函数,()11f =,则不等式()2f x x >的解集为__________.14.已知x y ,均为正实数.1x y +=.则1y x y+的最小值为________. 15.已知()'f x 是定义在R 上的函数()f x 的导函数,且()()0f x f x +'>,则()2ln 2a f =,()1b ef =,()0c f =的大小关系为_____16.函数()sin cos f x x x x =+在,6ππ⎡⎤⎢⎥⎣⎦上的最大值为________. 17.已知函数1()f x x ax=+在(),1-∞-上单调递增,则实数a 的取值范围是_____________.18.已知()32f x x ax bx =++,在1x =处有极值1-,则2+a b =_______19.已知函数()ln e xf x x ax =--在()1,2上不单调,则a 的取值范围是_________.20.已知函数2()41f x x x =-+,若()f x 在区间[a ,2a+1]上的最大值为1,则a 的取值范围为_________.三、解答题21.已知函数()ln ()f x x ax a R =-∈. (1)讨论函数()f x 的单调性;(2)证明不等式2()x e ax f x --≥恒成立.22.已知函数()(1)ln f x x x ax a =++-.(1)当2a =时,求曲线()y f x =在点(1,(1))f 处的切线方程; (2)若[1,)x ∈+∞时,()0f x ≥,求实数a 的取值范围. 23.已知函数()1ln f x ax x =--,a ∈R . (1)当a =2时,求函数()f x 的单调区间;(2)若函数()f x 在x =1处取得极值,对x ∀∈(0,+∞),()2f x bx -≥恒成立,求实数b 的取值范围;(3)当1x y e >>-时,求证:ln(1)e ln(1)x yx y -+>+.24.已知函数21()ln 2f x x x =+. (1)求函数()f x 在区间[1,]e 上的最大值及最小值;(2)对x D ∈,如果函数()f x 的图象在函数()G x 的图象的下方,则称函数()f x 在区间D 上被函数()G x 覆盖.求证:函数()f x 在区间(1,)+∞上被函数32()3g x x =覆盖. 25.已知函数32()21f x x ax =-+. (1)讨论()f x 的单调性;(2)是否存在a ,使得()f x 在区间[0,1]的最小值为1-且最大值为1?若存在,求出a 的所有值;若不存在,说明理由.26.设函数32()23(1)6f x x a x ax b =-+++,其中,a b ∈R .(1)若曲线()y f x =在(1,(1))f --的切线方程为123y x =+,求a ,b 的值; (2)若()f x 在3x =处取得极值,求a 的值; (3)若()f x 在(,0)-∞上为增函数,求a 的取值范围.【参考答案】***试卷处理标记,请不要删除一、选择题 1.B 解析:B 【分析】将函数解析式变形为()22sin 11x xf x x +=++,求得()f x ',进而可求得所求代数式的值. 【详解】()()222221sin 12sin 2sin 1111x x x x x x x f x x x x ++++++===++++,所以,()()()()()2222020sin 202022020sin 202020202020222020120201f f ⨯-+-⨯++-=++=+-+, ()()()()()2222cos 122sin 1x x x x x f x x++-+'=+,函数()f x '的定义域为R ,()()()()()2222cos 122sin 1x x x x x f x x ⎡⎤⎡⎤⎡⎤+-⋅-++-+-⎣⎦⎣⎦⎣⎦-=⎡⎤-+⎣⎦'()()()()()2222cos 122sin 1x x x x x f x x ++-+'==+, 所以,函数()f x '为偶函数,因此,()()()()20202020201920192f f f f ''+-+--=. 故选:B. 【点睛】结论点睛:本题考查利用函数奇偶性求值,关于奇函数、偶函数的导函数的奇偶性,有如下结论:(1)可导的奇函数的导函数为偶函数; (2)可导的偶函数的导函数为奇函数. 在应用该结论时,首先应对此结论进行证明.2.D解析:D 【分析】利用图象求得不等式()()0f x f x '-<的解集,求得()()()xf x f xg x e '-'=,解不等式()0g x '<即可得出函数()g x 的单调递减区间.【详解】由图象可知,不等式()()0f x f x '-<的解集为()()0,14,+∞,因为()()x f x g x e =,所以,()()()()()()2x x x x f x e f x e f x f x g x e e ''--'==, 解不等式()0g x '<,可得()()0f x f x '-<,解得()()0,14,x ∈+∞,因此,函数()g x 的单调递减区间为()0,1,()4,+∞. 故选:D. 【点睛】易错点睛:本题考查利用导数求解函数的单调递减区间,通过解不等式()0g x '<得到()()0,14,x ∈+∞,但需要注意的是,函数()g x 的两个单调递减区间不能取并集,而应分开表示.3.C解析:C 【分析】利用导函数研究原函数的单调性,利用单调性求解实数a 的取值范围. 【详解】 解:函数sin ()cos x af x x+= 则2cos cos sin (sin )()x x x x a f x cos x++'=(0,)2x π∈上,2cos 0x ∴>要使函数sin ()cos x a f x x +=在区间(0,)2π上单调递增, 22cos sin sin 0x x a x ∴++≥在(0,)2x π∈上恒成立,即:sin 10a x +≥在(0,)2x π∈上恒成立,(0,)2x π∈上,sin (0,1)x ∈1a ∴-故选:C . 【点睛】导函数中常用的两种常用的转化方法:一是利用导数研究含参函数的单调性,常化为不等式恒成立问题.注意分类讨论与数形结合思想的应用;二是函数的零点、不等式证明常转化为函数的单调性、极(最)值问题处理.4.D解析:D 【分析】设1(A x ,1)y ,2(B x ,2)y ,点A 在函数2y lnx x =-+的图象上,点B 在直线22260x y ln +--=上,则221212()()M x x y y =-+-的最小值转化为函数2y lnx x =-+的图象上的点与直线22260x y ln +--=上点距离最小值的平方,利用导数求出切点坐标,再由点到直线的距离公式求解.求出d 的最小值为两直线平行时的距离,即可得到M 的最小值,并可求出此时对应的2x 从而得解. 【详解】解:设1(A x ,1)y ,2(B x ,2)y ,点A 在函数2y lnx x =-+的图象上,点B 在直线24220x y ln +--=上,221212()()M x x y y =-+-的最小值转化为函数2y lnx x =-+的图象上的点与直线22260x y ln +--=上点距离最小值的平方.由2y lnx x =-+,得11y x'=-,与直线22260x y ln +--=平行的直线的斜率为12k =-.令1112x -=-,得2x =,则切点坐标为(2,2)ln ,切点(2,2)ln 到直线22260x y ln +--=的距离d == 即221212()()M x x y y =-+-的最小值为165. 又过(2,2)ln 且与22260x y ln +--=垂直的直线为22(2)y ln x -=-,即2420x y ln --+=,联立222602420x y ln x y ln +--=⎧⎨--+=⎩,解得145x =,即当M 最小时,2145x =. 故选:D . 【点睛】本题考查函数的最值及其几何意义,考查数学转化思想方法,训练了利用导数研究过曲线上某点处的切线方程,属于中档题.5.D解析:D 【分析】由导数的几何意义转化条件得1a b +=,进而可得1223b a a b a b+=++,由基本不等式即可得解. 【详解】因为函数ln()y x b =+的导数1y x b'=+, 由切线的方程y x a =-可得切线的斜率为1, 所以11x b=+即切点的横坐标为1b -,所以切点为(1,0)b -, 代入y x a =-得10b a --=,即1a b +=, 又a 、b 为正实数,所以()12122333b a a b a b a b a b ⎛⎫+=++=++≥+=+ ⎪⎝⎭,当且仅当1a =,2b =.所以12a b+的最小值是3+.故选:D. 【点睛】本题考查了导数几何意义及基本不等式的应用,考查了运算求解能力与转化化归思想,属于中档题.6.A解析:A 【分析】根据题意,由极限的性质可得则000000()()()()1lim =lim 33x x f x x f x f x f x x x x∆→∆→-∆---∆-∆∆,结合导数的定义计算可得答案. 【详解】根据题意,函数()f x 在0x x =处的导数为12,则000000()()()()112lim=lim 4333x x f x x f x f x f x x x x ∆→∆→-∆---∆-=-=-∆∆;故选:A . 【点睛】本题考查极限的计算以及导数的定义,属于容易题.7.D解析:D 【分析】根据已知构造合适的函数,对函数求导,根据函数的单调性,求出函数的取值范围,并根据偶函数的性质的对称性,求出0x <的取值范围. 【详解】解:当0x >时,由2()()20f x xf x +'-<可知:两边同乘以x 得:22()()20xf x x f x x +'-< 设:22()()g x x f x x =-则2()2()()20g x xf x x f x x '=+'-<,恒成立:()g x ∴在(0,)+∞单调递减,由()()21x f x f -21x <-()()2211x f x x f ∴-<-即()()1g x g < 即1x >;当0x <时,函数是偶函数,同理得:1x <-综上可知:实数x 的取值范围为(-∞,1)(1-⋃,)+∞, 故选:D . 【点睛】主要根据已知构造合适的函数,函数求导,并应用导数法判断函数的单调性,偶函数的性质,属于中档题.8.B解析:B 【分析】将点()3,1的坐标代入切线方程得出k 的值,得出()3f k '=以及()31f =,再对函数()y g x =求导得()()()g x f x xf x ''=+,即可得出()3g '的值.【详解】将点()3,1代入直线2y kx =+的方程得321k +=,得13k =-,所以,()133f k '==-,由于点()3,1在函数()y f x =的图象上,则()31f =, 对函数()()g x xf x =求导得()()()g x f x xf x ''=+,()()()133331303g f f ⎛⎫''∴=+=+⨯-= ⎪⎝⎭,故选B .【点睛】本题考查导数的几何意义,在处理直线与函数图象相切的问题时,抓住以下两点: (1)函数在切点处的导数值等于切线的斜率; (2)切点是切线与函数图象的公共点.9.C解析:C 【分析】 利用()()'2,0f f π确定正确选项.【详解】()23sin 222cos 2202f ππππππ=+⋅=>,由此排除BD 选项. 当0x ≥时,()3sin cos 2xxf x x x =+, ()'3cos 3ln 2sin cos sin 2xx xf x x x x -⋅=+-,()'031040f =+-=>,由此排除A 选项.故选:C 【点睛】本小题主要考查函数图象识别,考查导数的运用.10.D解析:D 【分析】先求出导函数,由导数的正负确定单调性,极值,确定函数值的变化趋势可确定最值,及方程()f x a =的根的情形. 【详解】由题意2()(23)(1)(3)xxf x x x e x x e '=+-=-+,∴当3x <-或1x >时,()0f x '>,当31x -<<时,(00f x '<, ()f x 在(,3)-∞-和(1,)+∞上递增,在(3,1)-上递减. ()f x 极大值=36(3)f e-=,()f x 极小值=(1)2f e =-, 3x <-或3x >时,()0f x >,x →-∞时,()0f x →,x →+∞时,()f x →+∞,∴(1)f 也是最小值.()f x 无最大值. 作出()y f x =的图象,和直线y a =,如图, 当1a =或36a e >时,()f x a =有一个根,当360a e <<时,()f x a =有三个根.故选:D .【点睛】本题考查用导数研究函数的极值和最值,研究方程根的个数问题,掌握极值与最值的定义是解题基础.方程根的个数常常转化为函数图象交点个数,由数形结合思想易求解.11.D解析:D 【分析】作出函数()y f x =的图像,和函数y ax =的图像,结合图像可知直线y ax =介于l 与x 轴之间,利用导数求出直线l 的斜率,数形结合即可求解. 【详解】由题意可作出函数()y f x =的图像,和函数y ax =的图像.由图像可知:函数y ax =的图像是过原点的直线, 当直线介于l 与x 轴之间符合题意,直线l 为曲线的切线,且此时函数()y f x =在第二象限的部分的解析式为22y x x =-,求其导数可得22y x '=-,因为0x ≤,故2y '≤-, 故直线l 的斜率为2-,故只需直线y ax =的斜率a []2,0∈-. 故选:D 【点睛】本题考查了不等式恒成立求出参数取值范围,考查了数形结合的思想,属于中档题.12.B解析:B 【分析】判断()f x 的单调性,求出()f x 的值域,根据()y f x =与(())y f f x =有相同的值域得出()f x 的最小值与极小值点的关系,得出a 的范围.【详解】()f x lnx '=,故而当1x >时,()0f x '>,当01x <<时,()0f x '<,()f x ∴在(0,1)上单调递减,在(1,)+∞上单调递增,()f x ∴的最小值为()121f a =+,且x →+∞时,()f x →+∞即()f x 的值域为[)21,a ++∞,函数()y f x =与(())y f f x =有相同的值域,且()f x 的定义域为(0,)+∞,0211a ∴<+≤,解得:102-<≤a .故选:B本题考查了导数研究函数的单调性,考查函数最值的计算,属于中档题.二、填空题13.【分析】构造函数分析出函数为偶函数且在上为增函数将所求不等式变形为可得出可得出由此可解得原不等式的解集【详解】构造函数该函数的定义域为由于函数为偶函数则所以函数为偶函数当时则所以函数在上为增函数可得 解析:()(),11,-∞-+∞【分析】 构造函数()()2f x g x x=,分析出函数()g x 为偶函数且在()0,∞+上为增函数,将所求不等式变形为()()1g x g >,可得出()()1g x g >,可得出1x >,由此可解得原不等式的解集. 【详解】 构造函数()()2f x g x x=,该函数的定义域为()(),00,-∞⋃+∞, 由于函数()f x 为偶函数,则()()()()()22f x f xg x xx g x --==-=,所以,函数()g x 为偶函数.()()()()()24322x f x xf x x f x f x g x x x''⋅-⋅-'==, 当0x >时,()2()0xf x f x '->,则()0g x '>,所以,函数()g x 在()0,∞+上为增函数,()11f =,可得()()21111f g ==,由()2f x x >可得()21f x x >,即()()1g x g >,所以,()()1g x g >,1x ∴>,解得1x <-或1x >. 因此,不等式()2f x x >的解集为()(),11,-∞-+∞.故答案为:()(),11,-∞-+∞.【点睛】方法点睛:该题主要考查利用导数求解函数不等式,在解题的过程中,思路如下: (1)构造函数,利用导数,结合已知条件,判断函数的单调性与奇偶性; (2)根据题中所给的函数零点,判断函数值符号,可得出不等式,求解即可.14.【分析】均为正实数可得所以再利用导数研究单调性极值与最值即可求解【详解】因为所以所以令则令即解得此时单调递增令即解得此时单调递减所以时所以时的最小值为3故答案为:【点睛】本题主要考查了利用导数求函数【分析】x y ,均为正实数,1x y +=,可得10x y =->,所以01y <<, ()11111y f y x y y y+=+-=-再利用导数研究单调性极值与最值即可求解. 【详解】因为1x y +=,所以1x y =-,所以()11111111111y y y x y y y y y y y--++=+=+=+----, 令()1111f y y y=+--, 则()()()222211211y f y y y y y -'=-+=--令()0f y '>,即210y ->,解得112y << ,此时()f y 单调递增, 令()0f y '<,即210y -<,解得102y <<,此时()f y 单调递减, 所以12y =时,()min 11131122f y =+-=,所以12x y ==时1y x y+的最小值为3, 故答案为:3 【点睛】本题主要考查了利用导数求函数的最值,属于中档题.15.【分析】令则可以判断出在上单调递增再由根据单调性即可比较大小【详解】令则因为对于恒成立所以所以在上单调递增因为所以所以故答案为:【点睛】关键点点睛:本题的关键是构造函数利用导数判断出在上单调递增更关 解析:c a b <<【分析】令()()xg x f x e =,则()()()0xg x e f x f x ''=+>⎡⎤⎣⎦,可以判断出()()xg x f x e =在R上单调递增,再由()ln 2a g =,()1b g =,()0c g =根据单调性即可比较大小. 【详解】令()()xg x f x e =,则()()()()()xxxg x f x e f x e e f x f x '''=+=+⎡⎤⎣⎦,因为()()0f x f x +'>对于x ∈R 恒成立,所以()()()0xg x e f x f x ''=+>⎡⎤⎣⎦,所以()()xg x f x e =在R 上单调递增,()()()ln22ln 2ln 2ln 2a f e f g ===,()()()1111b ef e f g ===,()()()0000c f e f g ===,因为0ln 21<<,所以()()()0ln 21g g g <<,所以c a b <<, 故答案为:c a b << 【点睛】关键点点睛:本题的关键是构造函数()()xg x f x e =,利用导数判断出()g x 在R 上单调递增,更关键的一点要能够得出()ln 2a g =,()1b g =,()0c g =,根据单调性即可比较大小.16.【分析】先求导根据单调性求函数最大值即可【详解】因为当时函数递增当时函数递减所以故答案为:【点睛】易错点睛:求函数的最值注意要把极值和端点函数值比较取其最小或最大不确定时要分类讨论解析:2π【分析】 先求导,根据单调性求函数最大值即可. 【详解】因为()sin cos sin cos f x x x x x x x '=+-=, 当,62x ππ⎡⎤∈⎢⎥⎣⎦时,()0f x '≥,函数()f x 递增, 当,2x π⎛⎤∈π⎥⎝⎦时,()0f x '<,函数()f x 递减, 所以max ()sin cos 22222f x f πππππ⎛⎫==+= ⎪⎝⎭. 故答案为:2π. 【点睛】易错点睛:求函数的最值注意要把极值和端点函数值比较,取其最小或最大,不确定时要分类讨论.17.【分析】根据题意将问题转化为以在区间上恒成立再分类讨论即可得答案【详解】解:因为函数在上单调递增所以在区间上恒成立当时显然在区间上恒成立当时因为在区间上恒成立所以在区间上恒成立所以在区间上恒成立所以解析:()[),01,-∞+∞【分析】根据题意将问题转化为以()22211'10ax f x ax ax-=-=≥在区间(),1-∞-上恒成立,再分类讨论即可得答案. 【详解】解:因为函数1()f x x ax=+在(),1-∞-上单调递增, 所以()22211'10ax f x ax ax-=-=≥在区间(),1-∞-上恒成立, 当0a <时,显然()22211'10ax f x ax ax -=-=≥在区间(),1-∞-上恒成立, 当0a >时,因为()22211'10ax f x ax ax-=-=≥在区间(),1-∞-上恒成立, 所以210ax -≥在区间(),1-∞-上恒成立, 所以21≥a x在区间(),1-∞-上恒成立, 所以2max11a x ⎛⎫≥= ⎪⎝⎭ 综上实数a 的取值范围是()[),01,-∞+∞故答案为:()[),01,-∞+∞【点睛】本题考查根据函数在区间上单调求参数范围问题,考查化归转化思想与数学运算能力,是中档题.18.【分析】求出由题意求出即得答案【详解】在处有极值即解得经检验当时在处有极值符合题意故答案为:【点睛】本题考查函数的极值点与极值属于中档题 解析:3-【分析】 求出()'fx .由题意,()()'10,11f f ==-,求出,a b ,即得答案.【详解】()()32'2,32f x x ax bx f x x ax b =++∴=++. ()f x 在1x =处有极值1-,()()'10,11f f ∴==-,即32011a b a b ++=⎧⎨++=-⎩,解得1a b ==-.经检验,当1a b ==-时,()32f x x x x -=-在1x =处有极值1-,符合题意.1a b ∴==-,23a b ∴+=-. 故答案为:3-. 【点睛】本题考查函数的极值点与极值,属于中档题.19.【分析】由题意知函数在区间上存在极值点利用导函数在区间上单调可得出有关实数的不等式组解出即可【详解】则函数在上单调递减因为函数在上不单调所以在上有解所以解得因此实数的取值范围是故答案为:【点睛】本题解析:21,12e e ⎛⎫-- ⎪⎝⎭【分析】由题意知,函数()y f x =在区间()1,2上存在极值点,利用导函数在区间()1,2上单调,可得出有关实数a 的不等式组,解出即可. 【详解】()ln x f x x ax e =--,()1x f x a e x∴=--',则函数()y f x ='在()1,2上单调递减, 因为函数()y f x =在()1,2上不单调,所以()0f x '=在()1,2上有解,所以()()21101202f a e f a e ⎧=-->⎪⎨=--<''⎪⎩,解得2112e a e -<<-. 因此,实数a 的取值范围是21,12e e ⎛⎫-- ⎪⎝⎭. 故答案为:21,12e e ⎛⎫-- ⎪⎝⎭. 【点睛】本题考查利用函数在区间上不单调求参数的取值范围,一般转化为函数在区间上有极值点,考查运算求解能力,属于中等题.20.【分析】先作函数图象结合图象分类确定最大值为1所满足的条件解得结果【详解】因为作函数图象:由图象得【点睛】在研究函数性质特别是单调性最值零点时要注意用好其与图象的关系结合图象研究解析:13[,0]22⎧⎫-⋃⎨⎬⎩⎭【分析】先作函数图象,结合图象分类确定最大值为1所满足的条件,解得结果. 【详解】因为211a a a <+∴>-,作函数()f x 图象:由图象得10013{0421021422a a a a a a -<≤>⎧∴-≤≤=⎨≥+≥+=⎩或或【点睛】在研究函数性质特别是单调性、最值、零点时,要注意用好其与图象的关系,结合图象研究.三、解答题21.(1)答案见解析;(2)证明见解析. 【分析】(1)求出函数导数,讨论a 的范围结合导数即可得出单调性;(2)构造函数2()ln x x e x ϕ-=-,利用导数可得()x ϕ'在(0,)+∞上有唯一实数根0x ,且012x <<,则可得()0()0x x ϕϕ≥>,即得证.【详解】 (1)11()(0)ax f x a x x x-'=-=>, 当0a ≤时,()0f x '>,所以()f x 在(0,)+∞上单调递增; 当0a >时,令()0f x '=,得到1x a=, 所以当10,x a ⎛⎫∈ ⎪⎝⎭时,()0f x '>,()f x 单调递增,当1,x a ⎛⎫∈+∞ ⎪⎝⎭,()0f x '<,()f x 单调递减.综上所述,当0a ≤时,()f x 在(0,)+∞上单调递增; 当0a >时,()f x 在10,a ⎛⎫ ⎪⎝⎭上单调递增,在1,a ⎛⎫+∞ ⎪⎝⎭上单调递减.(2)设函数2()ln x x e x ϕ-=-,则21()x x exϕ-'=-,可知()x ϕ'在(0,)+∞上单调递增.又由(1)0ϕ'<,(2)0ϕ'>知,()x ϕ'在(0,)+∞上有唯一实数根0x ,且012x <<,则()020010x x ex ϕ-'=-=,即0201x e x -=.当()00,x x ∈时,()0x ϕ'<,()ϕx 单调递减; 当()0x x ∈+∞时,()0x ϕ'>,()ϕx 单调递增;所以()0200()ln x x x ex ϕϕ-≥=-,结合021x ex -=,知002ln x x -=-, 所以()()22000000001211()20x x x x x x x x x ϕϕ--+≥=+-==>,则2()ln 0x x e x ϕ-=->, 即不等式2()x e ax f x --≥恒成立.【点睛】关键点睛:本题考查不等式恒成立的证明,解题的关键是转化为证明2()ln x x e x ϕ-=-的最小值大于0.22.(1)440x y --=;(2)2a ≥-. 【分析】(1)先写出当2a =时,()f x 解析式,再求导,根据导数的几何意义可得4k =切,再由点斜式写出切线的方程.(2)先求出()f x ',在求出()f x '',通过分两种情况2a -,2a <-,讨论()f x ''的正负,进而得()f x '的增减性,推出()f x '最小值的范围,进而判断()0f x 是否恒成立,即可得出答案. 【详解】解(1)当2a =时,()(1)ln 22f x x x x =++-,1()ln 2x f x x x+'=++,(1)4f '=,所以切线斜率4k =,又(1)0f =,所以切线方程为4(1)y x =-,即440x y --=. (2)11()ln ln 1x f x x a x a x x +'=++=+++,22111()x f x x x x-''=-=. 当[1,)x ∈+∞时,()0f x ''≥,所以()'f x 在[1,)+∞上单调递增,所以()(1)2f x f a ''≥=+.①当20a +≥即2a ≥-时,()0f x '≥,所以()f x 在[1,)+∞上单调递增,所以()(1)0f x f ≥=,满足题意.②当20a +<即2a <-时,必存在0(1,),x ∈+∞当0[1,),()0x x f x '∈<,0(,),()0x x f x '∈+∞>,所以()f x 在0[1,)x 上单调递减,在0(,)x +∞上单调递增,所以min 0()()(1)0f x f x f =<=,所以()0f x ≥不恒成立,所以2a <-不满足题意.综上,a 的取值范围为2a ≥-. 【点睛】导函数中常用的两种常用的转化方法:一是利用导数研究含参函数的单调性,常化为不等式恒成立问题.注意分类讨论与数形结合思想的应用;二是函数的零点、不等式证明常转化为函数的单调性、极(最)值问题处理.23.(1)函数()f x 的减区间是1(0,)2,增区间是1(,)2+∞;(2)b ≤211e-;(3)证明见解析. 【分析】(1)利用导数求函数的单调区间即可;(2)根据极值点得出1a =,再将题设不等式化为1ln 1x b x x≤+-,求出1ln ()1xg x x x=+-的最小值,即可得出实数b 的取值范围; (3)将1x y e >>-变形为ln(+1)ln(+1)ln 1x y e >>=,结合分析法要证ln(1)ln(1)x yx ey -+>+只需证明ln(1)ln(1)x y e e x y >++,构造函数()ln(1)x e h x x =+,利用导数证明其在(1,)e -+∞上是增函数,从而得出()()h x h y >,即ln(1)e ln(1)x yx y -+>+.【详解】解:(1)当2a =时,()21ln f x x x =--,其中0x > 所以121()2x f x x x-'=-= 令()0f x '<,则210x x -<,即102x << 令()0f x '>,则210x x ->,即12x > 所以函数()f x 的减区间是1(0,)2,增区间是1(,)2+∞ (2)因为函数()f x 在1x =处取得极值,所以()01f '= 又1()f x a x'=-,所以10a -=,1a = 因为()2f x bx -≥对x ∀∈(0,+∞)恒成立即()1ln 2f x x x bx =--≥-对x ∀∈(0,+∞)恒成立1ln 1x b x x≤+-对x ∀∈(0,+∞)恒成立令1ln ()1xg x x x=+-,则min ()b g x ≤22211ln ln 2()x x g x x x x--'=--=,由()0g x '=得2x e = 所以()g x 在2(0,]e 上是递减,2[,)e +∞上是递增,所以()()22min 11g x g ee ==-所以b ≤211e - (3)因为1x y e >>-,所以+1+1x y e >>,ln(+1)ln(+1)ln 1x y e >>=所以ln(1)ln(1)x yx ey -+>+等价于ln(1)ln(1)x y e x e y +>+,即ln(1)ln(1)x y e e x y >++ 要证明ln(1)ln(1)x yx ey -+>+,只要证明ln(1)ln(1)x y e e x y >++ 令()ln(1)x e h x x =+,只要证明()ln(1)xe h x x =+在(1,)e -+∞上是增函数又21[ln(1)]1()ln (1)x e x x h x x +-+'=+,易知1ln(1)1x x +-+在(1,)e -+∞上是增函数 所以111ln(1)ln 101x e x e e+->-=->+,所以21[ln(1)]1()0ln (1)x e x x h x x +-+'=>+ 所以()ln(1)xe h x x =+在(1,)e -+∞上是增函数又1x y e >>-,所以()()h x h y >,即ln(1)ln(1)x ye e x y >++,所以ln(1)ln(1)x yx ey -+>+.【点睛】本题的第三问中,关键是利用分析法从结论入手,构造函数结合导数证明单调性,从而利用单调性的性质证明不等式. 24.(1)()2max 12e f x =+;()min 12f x =;(2)证明见解析.【分析】(1)利用导数,判断函数的单调区间,再求函数的最值;(2)利用导数证明函数3221()()()ln 032h x g x f x x x x =-=-->恒成立,即证明()min 0h x >. 【详解】(1)1()f x x x'=+当[1,e]x ∈时,()0f x '>,∴() f x 在[1,]e 递增()2max ()12e f x f e ==+ ()min 1(1)2f x f == (2)令3221()()()ln 32h xg x f x x x x =-=-- 21()2h x x x x'=-- ()()323232111x x x x x x x--==-+- ()21(1)21x x x x=-++ ∵1x >,∴()0h x '>∴()h x '在(1,)+∞上递增()min 211(1)0326h x h ==-=> ∴()g x 的图像在()f x 的上方,∴()f x 在区间(1,)+∞上被函数()g x 覆盖.【点睛】方法点睛:利用导数证明不等主要方法有两个,比较简单的不等式证明,不等式两边作差构造函数,利用导数研究函数的单调性,求出函数的最值即可;综合的不等式证明,要观察不等式特点,结合已解答的问题把要证的不等式变形,并运用已证结论先行放缩,然后再化简或者进一步利用导数证明.25.(1)答案见解析;(2)存在,4a =.【分析】(1)对函数进行求导,求出导函数的零点,分为0a =,0a >和0a <三种情形进行讨论,可得函数单调性;(2)分为0a ≤,3a ≥和0<<3a 三种情形,得出函数()f x 在区间[]0,1上的单调性,结合最值得结果.【详解】(1)()26263a f x x ax x x ⎛⎫'=-=- ⎪⎝⎭. 令()603a f x x x ⎛⎫=-= ⎪⎝⎭′,解得0x =或3a . 当0a =时,()260f x x =≥′恒成立,函数()f x 在R 上单调递增;当0a >时,令()0f x '>得3a x >或0x <,令()0f x '<得03a x <<, 即函数()f x 在(),0-∞和,3a ⎛⎫+∞ ⎪⎝⎭上单调递增,在0,3a ⎛⎫ ⎪⎝⎭上单调递减; 当0a <时,令()0f x '>得0x >或3a x <,令()0f x '<得03a x <<, 即函数()f x 在,3a ⎛⎫-∞ ⎪⎝⎭和()0,∞+上单调递增,在,03a ⎛⎫ ⎪⎝⎭上单调递减; 综上所述:当0a =时,函数()f x 在R 上单调递增; 当0a >时,函数()f x 在(),0-∞和,3a ⎛⎫+∞⎪⎝⎭上单调递增,在0,3a ⎛⎫ ⎪⎝⎭上单调递减; 当0a <时,函数()f x 在,3a ⎛⎫-∞ ⎪⎝⎭和()0,∞+上单调递增,在,03a ⎛⎫ ⎪⎝⎭上单调递减. (2)存在,理由如下:由(1)可得:当0a ≤时,函数()f x 在[0,1]上单调递增.则最小值为()01f =,不合题意; 当0a >时,函数()f x 在0,3a ⎡⎤⎢⎥⎣⎦上单调递减,在,3a ⎡⎫+∞⎪⎢⎣⎭单调递增; 当13a ≥,即3a ≥时,函数()f x 在[]0,1上单调递减, ()f x 的最大值为()01f =,最小值为()1211f a =-+=-,解得4a =,满足题意;当0<<3a 时,函数函数()f x 在0,3a ⎡⎤⎢⎥⎣⎦上单调递减,在,13a ⎡⎤⎢⎥⎣⎦单调递增, ()f x 的最小值为32211333a a a f a ⎛⎫⎛⎫⎛⎫=⨯-⨯+=- ⎪ ⎪ ⎪⎝⎭⎝⎭⎝⎭,化为3227a -=-,解得3a =>,不合题意; 综上可得:a 的值为4.【点睛】关键点点睛:(1)按照导函数的零点大小比较进行讨论;(2)按照导函数零点与所给区间端点的关系进行讨论.26.(1)0a =,4b =-;(2)3a =;(3)[0,)a ∈+∞.【分析】(1)利用导数的几何意义,可得(1)12f '-=,(1)9f -=-,计算整理,即可求得a ,b的值;(2)令'(3)0f =,即可求得a 的值,检验可得3x =为极值点,即可得答案;(3)令'()0f x =,解得1x a =,21x =,分别求得1a <和1a ≥时,()f x 的单调区间,结合题意,分析推理,即可得答案.【详解】(1)因为32()23(1)6f x x a x ax b =-+++,所以2()66(1)6f x x a x a '=-++,由题设可得(1)121212f a '-=+=,(1)959f a b -=-+-=-,解得0a =,4b =-.(2)因为()f x 在3x =取得极值,所以(3)12360f a '=-+=,解得3a =.当3a =时,'2()624186(1)(3)f x x x x x =-+=--,令'()0f x =,解得x=1或3,所以3x =为()f x 的极值点,故3a =满足题意.(3)令()6()(1)0f x x a x '=--=,得1x a =,21x =.当1a <时,若(,)(1,)x a ∈-∞+∞,则()0f x '>,所以()f x 在(,)a -∞和(1,)+∞上为增函数,故当01a ≤<时,()f x 在(,0)-∞上为增函数恒成立.当0a <时,()f x 在(,)a -∞上为增函数,不符合题意,当1a ≥时,若(,1)(,)x a ∈-∞+∞,则()0f x '>,所以()f x 在(,1)-∞和(,)a +∞上为增函数,从而()f x 在(,0)-∞上也为增函数,满足题意.综上所述,当[0,)a ∈+∞时,()f x 在(,0)-∞上为增函数.【点睛】本题考查导数的几何意义、利用导数求函数的单调区间和极值点问题,考查计算求值,分类讨论的能力,属中档题.。