2019-2020年高考数学一轮总复习第五章数列5.3等比数列及其前n项和课时跟踪检测理
- 格式:doc
- 大小:160.50 KB
- 文档页数:11
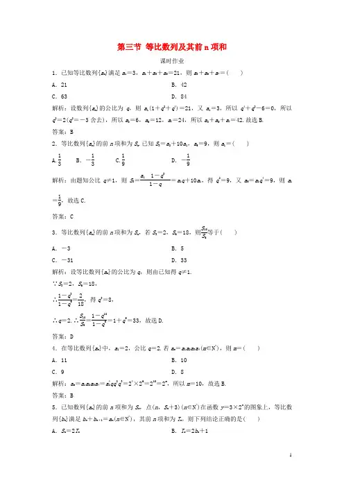
第三节 等比数列及其前n 项和课时作业1.已知等比数列{a n }满足a 1=3,a 1+a 3+a 5=21,则a 3+a 5+a 7=( ) A .21 B .42 C .63D .84解析:设数列{a n }的公比为q ,则a 1(1+q 2+q 4)=21,又a 1=3,所以q 4+q 2-6=0,所以q 2=2(q 2=-3舍去),所以a 3=6,a 5=12,a 7=24,所以a 3+a 5+a 7=42.故选B.答案:B2.等比数列{a n }的前n 项和为S n .已知S 3=a 2+10a 1,a 5=9,则a 1=( ) A.13 B .-13 C.19D .-19解析:由题知公比q ≠1,则S 3=a 11-q 31-q=a 1q +10a 1,得q 2=9,又a 5=a 1q 4=9,则a 1=19,故选C. 答案:C3.等比数列{a n }的前n 项和为S n ,若S 3=2,S 6=18,则S 10S 5等于( ) A .-3 B .5 C .-31D .33解析:设等比数列{a n }的公比为q ,则由已知得q ≠1. ∵S 3=2,S 6=18, ∴1-q 31-q 6=218,得q 3=8, ∴q =2.∴S 10S 5=1-q 101-q5=1+q 5=33,故选D.答案:D4.在等比数列{a n }中,a 1=2,公比q =2.若a m =a 1a 2a 3a 4(m ∈N *),则m =( ) A .11 B .10 C .9D .8解析:a m =a 1a 2a 3a 4=a 41qq 2q 3=24×26=210=2m,所以m =10,故选B. 答案:B5.已知数列{a n }的前n 项和为S n ,点(n ,S n +3)(n ∈N *)在函数y =3×2x的图象上,等比数列{b n }满足b n +b n +1=a n (n ∈N *),其前n 项和为T n ,则下列结论正确的是( ) A .S n =2T nB .T n =2b n +1C .T n >a nD .T n <b n +1解析:因为点(n ,S n +3)(n ∈N *)在函数y =3×2x的图象上,所以S n =3·2n-3,所以a n =3·2n-1,所以b n +b n +1=3·2n -1,因为数列{b n }为等比数列,设公比为q ,则b 1+b 1q =3,b 2+b 2q=6,解得b 1=1,q =2,所以b n =2n -1,T n =2n-1,所以T n <b n +1,故选D.答案:D6.(2018·郑州质检)已知等比数列{a n }的前n 项和为S n ,若a 25=2a 3a 6,S 5=-62,则a 1的值是________.解析:设{a n }的公比为q .由a 25=2a 3a 6得(a 1q 4)2=2a 1q 2·a 1q 5,∴q =2,∴S 5=a 11-251-2=-62,a 1=-2. 答案:-27.已知等比数列{a n }为递增数列,a 1=-2,且3(a n +a n +2)=10a n +1,则公比q =________. 解析:因为等比数列{a n }为递增数列且a 1=-2<0,所以0<q <1,将3(a n +a n +2)=10a n +1两边同除以a n 可得3(1+q 2)=10q ,即3q 2-10q +3=0,解得q =3或q =13,而0<q <1,所以q=13. 答案:138.若数列{a n +1-a n }是等比数列,且a 1=1,a 2=2,a 3=5,则a n =__________. 解析:∵a 2-a 1=1,a 3-a 2=3,∴q =3, ∴a n +1-a n =3n -1,∴a n -a 1=a 2-a 1+a 3-a 2+…+a n -1-a n -2+a n -a n -1=1+3+…+3n -2=1-3n -11-3, ∵a 1=1,∴a n =3n -1+12. 答案:3n -1+129.(2018·昆明市检测)数列{a n }满足a 1=-1,a n +1+2a n =3. (1)证明{a n -1}是等比数列,并求数列{a n }的通项公式; (2)已知符号函数sgn(x )=⎩⎪⎨⎪⎧1,x >0,0,x =0,-1,x <0,设b n =a n ·sgn(a n ),求数列{b n }的前100项和.解析:(1)因为a n +1=-2a n +3,a 1=-1, 所以a n +1-1=-2(a n -1),a 1-1=-2,所以数列{a n -1}是首项为-2,公比为-2的等比数列.故a n -1=(-2)n ,即a n =(-2)n+1.(2)b n =a n ·sgn(a n )=⎩⎪⎨⎪⎧2n+1,n 为偶数,2n-1,n 为奇数,设数列{b n }的前n 项和为S n ,则S 100=(2-1)+(22+1)+(23-1)+…+(299-1)+(2100+1)=2+22+23+…+2100=2101-2.10.(2018·合肥质检)在数列{a n }中,a 1=12,a n +1=n +12n a n ,n ∈N *.(1)求证:数列{a nn}为等比数列; (2)求数列{a n }的前n 项和S n . 解析:(1)证明:由a n +1=n +12n a n 知a n +1n +1=12·a nn, ∴{a n n }是以12为首项、12为公比的等比数列.(2)由(1)知{a n n }是首项为12,公比为12的等比数列,∴a n n =(12)n ,∴a n =n2n , ∴S n =121+222+…+n2n ,①则12S n =122+223+…+n2n +1,② ①-②得:12S n =12+122+123+…+12n -n 2n +1=1-n +22n +1,∴S n =2-n +22n.B 组——能力提升练1.(2018·长春调研)等比数列{a n }中,a 3=9,前三项和S 3=27,则公比q 的值为( ) A .1 B .-12C .1或-12D .-1或-12解析:当公比q =1时,a 1=a 2=a 3=9,∴S 3=3×9=27. 当q ≠1时,S 3=a 1-a 3q1-q,∴27=a 1-9q1-q∴a 1=27-18q , ∴a 3=a 1q 2,∴(27-18q )·q 2=9, ∴(q -1)2(2q +1)=0, ∴q =-12.综上q =1或q =-12.选C.答案:C2.数列{a n }满足:a n +1=λa n -1(n ∈N *,λ∈R 且λ≠0),若数列{a n -1}是等比数列,则λ的值等于( )A .1B .-1 C.12D .2解析:由a n +1=λa n -1,得a n +1-1=λa n -2=λ⎝ ⎛⎭⎪⎫a n -2λ.由于数列{a n -1}是等比数列,所以2λ=1,得λ=2.答案:D3.(2018·彬州市模拟)已知等比数列{a n }的前n 项和S n =2n -a ,则a 21+a 22+…+a 2n =( ) A .(2n -1)2B .13(2n-1) C .4n-1D .13(4n-1) 解析:∵S n =2n-a ,∴a 1=2-a ,a 1+a 2=4-a ,a 1+a 2+a 3=8-a , 解得a 1=2-a ,a 2=2,a 3=4,∵数列{a n }是等比数列,∴22=4(2-a ),解得a =1. ∴公比q =2,a n =2n -1,a 2n =22n -2=4n -1.则a 21+a 22+…+a 2n =4n-14-1=13(4n-1).答案:D4.设数列{a n }是公比为q (|q |>1)的等比数列,令b n =a n +1(n ∈N *),若数列{b n }有连续四项在集合{-53,-23,19,37,82}中,则q =( ) A.32B .-43C .-32D .-52解析:数列{b n }有连续四项在集合{-53,-23,19,37,82}中,且b n =a n +1(n ∈N *),∴a n =b n -1,则{a n }有连续四项在{-54,-24,18,36,81}中, ∵数列{a n }是公比为q (|q |>1)的等比数列, 等比数列中有负数项,则q <0,且负数项为相隔两项∵|q |>1,∴等比数列各项的绝对值递增,按绝对值的顺序排列上述数值18,-24,36,-54,81,相邻两项相除-2418=-43,-3624=-32,-5436=-32,81-54=-32,∵|q |>1,∴-24,36,-54,81是{a n }中连续的四项,此时q =-32.答案:C5.等比数列{a n }的前n 项和为S n ,若S 3+3S 2=0,则公比q =________.解析:由S 3+3S 2=0,得a 1+a 2+a 3+3(a 1+a 2)=0,即4a 1+4a 2+a 3=0,即4a 1+4a 1q +a 1q 2=0,即q 2+4q +4=0,所以q =-2. 答案:-26.已知数列{a n }的前n 项和为S n ,且S n =32a n -1(n ∈N *).(1)求数列{a n }的通项公式;(2)设b n =2log 3a n 2+1,求1b 1b 2+1b 2b 3+…+1b n -1b n.解析:(1)当n =1时,a 1=32a 1-1,∴a 1=2,当n ≥2时,∵S n =32a n -1,①∴S n -1=32a n -1-1(n ≥2),②①-②得a n =(32a n -1)-(32a n -1-1),即a n =3a n -1,∴数列{a n }是首项为2,公比为3的等比数列, ∴a n =2×3n -1.(2)由(1)得b n =2log 3a n2+1=2n -1,∴1b 1b 2+1b 2b 3+…+1b n -1b n=11×3+13×5+…+12n -32n -1=12(1-13+13-15+…+12n -3-12n -1)=n -12n -1. 7.数列{a n }中,a 1=2,a n +1=n +12na n (n ∈N *). (1)证明:数列⎩⎨⎧⎭⎬⎫a n n 是等比数列,并求数列{a n }的通项公式; (2)设b n =a n4n -a n,若数列{b n }的前n 项和是T n ,求证:T n <2. 证明:(1)由题设得a n +1n +1=12·a n n ,又a 11=2,所以数列⎩⎨⎧⎭⎬⎫a n n 是首项为2,公比为12的等比数列,所以a n n =2×⎝ ⎛⎭⎪⎫12n -1=22-n ,a n =n ·22-n=4n 2n .(2)b n =a n4n -a n=4n 2n 4n -4n 2n=12n-1,因为对任意n ∈N *,2n-1≥2n -1,所以b n ≤12n -1.所以T n ≤1+12+122+123+…+12n -1=2⎝ ⎛⎭⎪⎫1-12n <2.。
第五章§3:等比数列及其前n 项和(与一轮复习课件对应的课时训练)满分100,训练时间45钟一、选择题:本大题共5小题,每小题8分,共40分,在每小题给出的四个选项中,只有一项是符合题目要求的.1.已知点A n (n ,a n )(n ∈N *)都在函数y =a x (a>0,a ≠1)的图象上,则a 3+a 7与a 5的大小关系是A .a 3+a 7>2a 5B .a 3+a 7<2a 5C .a 3+a 7=2a 5D .a 3+a 7与2a 5的大小与a 有关2.设S n 为等比数列{a n }的前n 项和,已知3S 3=a 4-2,3S 2=a 3-2,则公比q 等于A .3B .4C .5D .63.各项均为正数的等比数列{a n }的前n 项和为S n ,若S n =2,S 3n =14,则S 4n 等于A .80B .30C .26D .164.已知数列{a n }是等差数列,数列{b n }是等比数列,其公比q ≠1,且b i >0(i =1,2,3,…),若a 2=b 2,a 8=b 8,则 A .a 5=b 5B .a 5>b 5C .a 5<b 5D .a 5>b 5或a 5<b 55.若“#”表示一种运算,其运算法则如下:(1)1#1=2;(2)(n +1)#1=2(n #1)+1,(n ∈N *). 则按照这种运算法则,n #1等于A .2n -1B .2nC .2nD .3·2n -1-1二、填空题:本大题共3小题,每小题8分,共24分.6.已知等比数列{a n }的公比为正数,且a 3a 9=4a 25,a 2=2,则{a n }的前5项和S 5等于______.7.已知实数列{a n }中,a 1=1,a 6=32,a n +2=a 2n +1a n,把数列{a n }的各项排成如图所示的三角形状,记A(m ,n)为第m 行从左起第n 个数,则A(12,5)=________. 8.为了观看2014年在韩国仁川举办的第17届亚运会,小王从2009年1月1日起, 每年到银行存入一万元定期储蓄,若年利率为p ,且保持不变,并约定每年到期存款均自动转为新一年的定期存款,若到2014年1月1日他将所有存款及利息全部取回,则可取回的钱的总数为______万元.三、解答题:本大题共2小题,共36分.解答应写出文字说明、证明过程或演算步骤.9.(本小题满分18分,(1)小问8分,(2)小问10分)已知等比数列{a n }中,a 2=32,a 8=12,a n +1<a n .(1)求数列{a n }的通项公式;(2)设T n =log 2a 1+log 2a 2+…+log 2a n ,求T n 的最大值及相应的n 值.10.(本小题满分18分,(1)小问8分,(2)小问10分)已知数列{a n }满足,a 1=1,a 2=2,a n +2=a n +a n +12,n ∈N *. (1)令b n =a n +1-a n ,证明:{b n }是等比数列; (2)求{a n }的通项公式.参考答案及其解析一、选择题:本大题共5小题,每小题8分,共40分.1.解析:依题意a n =a n ,所以{a n }是等比数列,则a 3a 7=a 25,因为a ≠1, 所以a 3+a 7>2a 3a 7=2a 5. 答案:A2.解析:两式相减得,3a 3=a 4-a 3,a 4=4a 3,∴q =a 4a 3=4.答案:B3.解析:由题得S n ,S 2n -S n ,S 3n -S 2n ,S 4n -S 3n 成等比数列,设公比为q ,则q>0, ∵S 3n =2+2q +2q 2=14,∴q 2+q -6=0,∴q =2,∴S 4n -S 3n =2q 3=16,∴S 4n =30. 答案:B4.解析:由题意不妨设d>0,q>1.a n 是关于n 的一次函数形式,b n 是关于n 的指数函数形式,在同一坐标系中分别作出它们的图象(如图),故a 5>b 5. 答案:B5.解析:设n#1=a n ,则a 1=2,a n +1=2a n +1,即a n +1+1a n +1=2,所以{a n +1}为等比数列,首项为a 1+1=3,公比为2.所以a n +1=3·2n -1,所以a n =3·2n -1-1. 答案:D二、填空题:本大题共3小题,每小题8分,共24分.6.解析:因为a 3a 9=4a 25,所以q 2=4,又q>0,所以q =2,又a 2=2,所以a 1=1,S 5=1-251-2=31.答案:317.解析:由题意,第1行1个数,第2行3个数,第3行5个数,所以第12行第5个数应是a 126,又{a n }是首项为1,公比为2的等比数列,所以a 126=2125. 答案:21258.解析:从后向前考虑,因2014年不再存款,故可取回的钱的总数为:(1+p)+(1+p)2+…+(1+p)5=(1+p )[(1+p )5-1]p =1p[(1+p)6-(1+p)]答案:1p[(1+p)6-(1+p)]三、解答题:本大题共2小题,共36分.9.(本小题满分18分,(1)小问8分,(2)小问10分)解:(1)设公比为q ,则q 6=a 8a 2=164,a n +1<a n ,所以q =12.于是a 1=a 2q =64.所以,通项公式为a n =64·(12)n -1=27-n (n ∈N *).(2)设b n =log 2a n ,则b n =log 227-n =7-n.所以,数列{b n }是以首项为6,公差为-1的等差数列.T n =6n +n (n -1)2(-1)=-12n 2+132n =-12(n -132)2+1698.由n 是自然数,知n =6或n =7时,T n 最大,其最值为T 6=T 7=21.10.(本小题满分18分,(1)小问8分,(2)小问10分)解:(1)证明:b 1=a 2-a 1=1, 当n ≥2时,b n =a n +1-a n =a n -1+a n 2-a n =-12(a n -a n -1)=-12b n -1, 所以{b n }是以1为首项,-12为公比的等比数列.(2)解:由(1)知b n =a n +1-a n =(-12)n -1,当n ≥2时,a n =a 1+(a 2-a 1)+(a 3-a 2)+…+(a n -a n -1)=1+1+(-12)+…+(-12)n -2=1+1-(-12)n -11-(-12)=1+23[1-(-12)n -1]=53-23(-12)n -1, 当n =1时,53-23(-12)1-1=1=a 1.所以a n =53-23(-12)n -1(n ∈N *).。
5-3 等比数列及其前n 项和课时规X 练A 组 基础对点练1.已知等比数列{a n }满足a 1=3,a 1+a 3+a 5=21,则a 3+a 5+a 7=( B ) A .21 B.42 C .63D.842.(2018·某某质检)在等比数列{a n }中,a 2=2,a 5=16,则a 6=( C ) A .14 B.28 C .32D.643.(2017·某某摸底考试)已知数列{a n }为等比数列,a 5=1,a 9=81,则a 7=( B ) A .9或-9 B.9 C .27或-27D.27解析:∵数列{a n }为等比数列,且a 5=1,a 9=81, ∴a 27=a 5a 9=1×81=81, ∴a 7=±9.当a 7=-9时,a 26=1×(-9)=-9不成立,舍去. ∴a 7=9.故选B.4.(2018·某某调研测试)已知等差数列{a n }的公差为2,且a 4是a 2与a 8的等比中项,则{a n }的通项公式a n =( B ) A .-2n B.2n C .2n -1D.2n +1解析:由题意,得a 2a 8=a 24,又a n =a 1+2(n -1),所以(a 1+2)(a 1+14)=(a 1+6)2,解得a 1=2,所以a n =2n .故选B.5.在等比数列{a n }中,S n 表示前n 项和,若a 3=2S 2+1,a 4=2S 3+1,则公比q 等于( D ) A .-3 B.-1 C .1D.3解析:在等比数列{a n }中, ∵a 3=2S 2+1,a 4=2S 3+1,∴a 4-a 3=2S 3+1-(2S 2+1)=2(S 3-S 2)=2a 3, ∴a 4=3a 3, ∴q =a 4a 3=3.故选D.6.我国古代有用一首诗歌形式提出的数列问题:远望巍巍塔七层,红灯向下成倍增.共灯三百八十一,请问塔顶几盏灯?( C ) A .5 B.4 C .3D.27.若等比数列{a n }的各项均为正数,且a 5a 6+a 4a 7=18,则log 3a 1+log 3a 2+…+log 3a 10=( D ) A .5 B.9 C .log 345D.10解析:由等比数列性质知a 5a 6=a 4a 7,又a 5a 6+a 4a 7=18,∴a 5a 6=9, 则原式=log 3a 1a 2…a 10=log 3(a 5a 6)5=10.8.已知等比数列{a n }的前n 项和为S n ,若a 25=2a 3a 6,S 5=-62,则a 1的值是__-2__. 9.(2018·某某调研)在各项均为正数的等比数列{a n }中,若a 5=5,则log 5a 1+log 5a 2+…+log 5a 9= __9__.解析:因为数列{a n }是各项均为正数的等比数列,所以由等比数列的性质,可得a 1·a 9=a 2·a 8=a 3·a 7=a 4·a 6=a 25=52,则log 5a 1+log 5a 2+…+log 5a 9=log 5(a 1·a 2·…·a 9) =log 5[(a 1·a 9)·(a 2·a 8)·(a 3·a 7)·(a 4·a 6)·a 5]=log 5a 95=log 559=9.10.(2018·某某统考)已知各项均不为零的数列{a n }的前n 项和为S n ,且满足a 1=4,a n +1=3S n +4(n ∈N *).(1)求数列{a n }的通项公式;(2)设数列{b n }满足a n b n =log 2a n ,数列{b n }的前n 项和为T n ,求证:T n <89.解析:(1)因为a n +1=3S n +4, 所以a n =3S n -1+4(n ≥2),两式相减,得a n +1-a n =3a n ,即a n +1=4a n (n ≥2). 又a 2=3a 1+4=16=4a 1,所以数列{a n }是首项为4,公比为4的等比数列,所以a n =4n. (2)证明:因为a n b n =log 2a n ,所以b n =2n4n ,所以T n =241+442+643+ (2)4n ,14T n =242+443+644+ (2)4n +1,两式相减得,34T n =24+242+243+244+…+24n -2n4n +1=2⎝ ⎛⎭⎪⎫14+142+143+144+…+14n -2n 4n +1=2×14⎝ ⎛⎭⎪⎫1-14n 1-14-2n 4n +1=23-23×4n -2n4n +1=23-6n +83×4n +1, 所以T n =89-6n +89×4n <89.11.(2017·某某质检)在数列{a n }中,a 1=12,a n +1=n +12n a n ,n ∈N *.(1)求证:数列{a nn}为等比数列; (2)求数列{a n }的前n 项和S n . 解析:(1)证明:由a n +1=n +12n a n ,知a n +1n +1=12·a nn, ∴⎩⎨⎧⎭⎬⎫a n n 是以12为首项,12为公比的等比数列.(2)由(1)知⎩⎨⎧⎭⎬⎫a n n 是首项为12,公比为12的等比数列,∴a n n =⎝ ⎛⎭⎪⎫12n ,∴a n =n2n , ∴S n =121+222+…+n2n ,①则12S n =122+223+…+n2n +1,② ①-②,得12S n =12+122+123+…+12n -n 2n +1=1-n +22n +1,∴S n =2-n +22n.B 组 能力提升练1.已知等比数列{a n }满足a 1=14,a 3a 5=4(a 4-1),则a 2=( C )A .2B.1C.12D.18解析:设等比数列{a n }的公比为q ,a 1=14,a 3a 5=4(a 4-1),由题可知q ≠1,则a 1q 2×a 1q 4=4(a 1q 3-1),∴116×q 6=4⎝ ⎛⎭⎪⎫14×q 3-1,∴q 6-16q 3+64=0,∴(q 3-8)2=0,∴q 3=8,∴q =2,∴a 2=12.故选C.2.(2018·某某质检)中国古代数学名著《九章算术》中有这样一个问题:今有牛、马、羊食人苗,苗主责之粟五斗.羊主曰:“我羊食半马,”马主曰:“我马食半牛,”今欲衰偿之,问各出几何?此问题的译文是:今有牛、马、羊吃了别人的禾苗,禾苗主人要求赔偿5斗粟.羊主人说:“我的羊所吃的禾苗只有马的一半.”马主人说:“我的马所吃的禾苗只有牛的一半.”打算按此比率偿还,他们各应偿还多少?已知牛、马、羊的主人各应偿还粟a 升,b 升,c 升,1斗为10升,则下列判断正确的是( D )A .a ,b ,c 依次成公比为2的等比数列,且a =507B .a ,b ,c 依次成公比为2的等比数列,且c =507C .a ,b ,c 依次成公比为12的等比数列,且a =507A .a ,b ,c 依次成公比为12的等比数列,且c =507解析:由题意,可得a ,b ,c 依次成公比为12的等比数列,b =12a ,c =12b ,故4c +2c +c =50,解得c =507.故选D.3.在各项均为正数的等比数列{a n }中,若a m +1·a m -1=2a m (m ≥2),数列{a n }的前n 项积为T n ,若T 2m -1=512,则m 的值为( B ) A .4 B.5 C .6D.7解析:由等比数列的性质,可知a m +1·a m -1=a 2m =2a m (m ≥2),所以a m =2,即数列{a n }为常数列,a n =2,所以T 2m -1=22m -1=512=29,即2m -1=9,所以m =5,故选B.4.(2018·某某适应性考试)已知等比数列{a n }的前n 项和为S n ,且a 1=12,a 2a 6=8(a 4-2),则S 2 018=( A )A .22 017-12 B.1-⎝ ⎛⎭⎪⎫12 2 017C .22 018-12D.1-⎝ ⎛⎭⎪⎫12 2 018解析:由a 1=12,a 2a 6=8(a 4-2),得q 6-16q 3+64=0,所以q 3=8,即q =2,所以S 2 018=a 11-q 2 0181-q =22 017-12.故选A.5.(2016·高考某某卷)设{a n }是首项为正数的等比数列,公比为q ,则“q <0”是“对任意的正整数n ,a 2n -1+a 2n <0”的( C ) A .充要条件 B.充分而不必要条件 C .必要而不充分条件 D.既不充分也不必要条件解析:由题意,得a n =a 1qn -1(a 1>0),a 2n -1+a 2n =a 1q2n -2+a 1q2n -1=a 1q2n -2(1+q ).若q <0,因为1+q 的符号不确定,所以无法判断a 2n -1+a 2n 的符号;反之,若a 2n -1+a 2n <0,即a 1q 2n -2(1+q )<0,可得q <-1<0.故“q <0”是“对任意的正整数n ,a 2n -1+a 2n <0”的必要而不充分条件,故选C.6.若等比数列{a n }的各项均为正数,前4项的和为9,积为814,则前4项倒数的和为( D )A.32B.94 C .1D.2解析:设等比数列{a n }的首项为a 1,公比为q ,则第2,3,4项分别为a 1q ,a 1q 2,a 1q 3,依题意得a 1+a 1q +a 1q 2+a 1q 3=9①,a 1·a 1q ·a 1q 2·a 1q 3=814⇒a 21q 3=92②,①÷②得a 1+a 1q +a 1q 2+a 1q 3a 21q 3=1a 1+1a 1q +1a 1q 2+1a 1q3=2.故选D. 7.已知等比数列{a n }的各项都是正数,且3a 1,12a 3,2a 2成等差数列,则a 8+a 9a 6+a 7=( D )A .6 B.7 C .8D.9解析:∵3a 1,12a 3,2a 2成等差数列,∴a 3=3a 1+2a 2,∴q 2-2q -3=0,∴q =3或q =-1(舍去).∴a 8+a 9a 6+a 7=a 1q 7+a 1q 8a 1q 5+a 1q 6=q 2+q 31+q=q 2=32=9.故选D.8.(2018·某某质检)已知数列{a n }的前n 项和为S n ,若3S n =2a n -3n ,则a 2 018=( A ) A .22 018-1 B.32 018-6C.⎝ ⎛⎭⎪⎫12 2 018-72D.⎝ ⎛⎭⎪⎫13 2 018-103解析:因为3S n =2a n -3n ,所以当n =1时,3S 1=3a 1=2a 1-3,所以a 1=-3;当n ≥2时,3a n =3S n -3S n -1=(2a n -3n )-(2a n -1-3n +3),所以a n =-2a n -1-3,即a n +1=-2(a n -1+1),所以数列{a n +1}是以-2为首项,-2为公比的等比数列.则a n +1=-2×(-2)n -1=(-2)n,所以a n =(-2)n-1,所以a 2 018=(-2)2 018-1=22 018-1,故选A.9.(2018·某某质量预测)已知数列{a n }满足log 2a n +1=1+log 2a n (n ∈N *),且a 1+a 2+a 3+…+a 10=1,则log 2(a 101+a 102+…+a 110)=__100__.解析:由log 2a n +1=1+log 2a n ,可得log 2a n +1=log 22a n ,即a n +1=2a n ,所以数列{a n }是以a 1为首项,2为公比的等比数列.又a 1+a 2+…+a 10=1,所以a 101+a 102+…+a 110=(a 1+a 2+…+a 10)×2100=2100, 所以log 2(a 101+a 102+…+a 110)=log 22100=100.10.已知等比数列{a n }中,a 2=1,则其前3项的和S 3的取值X 围是__(-∞,-1]∪[3,+∞)__.解析:当q >0时,S 3=a 1+a 2+a 3=1+a 1+a 3≥1+2a 1a 3=1+2a 22=3; 当q <0时,S 3=a 1+a 2+a 3=1+a 1+a 3≤1-2a 1a 3=1-2a 22=-1, 所以S 3的取值X 围是(-∞,-1]∪[3,+∞).11.(2018·某某质检)已知数列{a n }是各项均为正数的等比数列,若a 1=1,a 2·a 4=16. (1)设b n =log 2a n ,求数列{b n }的通项公式; (2)求数列{a n ·b n }的前n 项和S n . 解析:(1)设数列{a n }的公比为q (q >0),由⎩⎪⎨⎪⎧a 1=1,a 2a 4=16,得q 4=16,所以q =2,则a n =2n -1.又b n =log 2a n ,所以b n =n -1. (2)由(1)可知a n ·b n =(n -1)·2n -1,则S n =0×20+1×21+2×22+…+(n -1)·2n -1,2S n =0×21+1×22+2×23+…+(n -1)·2n, 两式相减,得-S n =2+22+23+…+2n -1-(n -1)·2n=2-2n1-2-(n -1)·2n =2n (2-n )-2, 所以S n =2n(n -2)+2.12.(2016·高考全国卷Ⅲ)已知数列{a n }的前n 项和S n =1+λa n ,其中λ≠0. (1)证明{}a n 是等比数列,并求其通项公式; (2)若S 5=3132,求λ.解析:(1)证明:由题意得a 1=S 1=1+λa 1, 故λ≠1,a 1=11-λ,a 1≠0.由S n =1+λa n ,S n +1=1+λa n +1,得a n +1=λa n +1-λa n , 即(λ-1)a n +1=λa n ,由a 1≠0,λ≠0,得a n ≠0,所以a n +1a n =λλ-1. 因此{a n }是首项为11-λ,公比为λλ-1的等比数列,于是a n =11-λ⎝ ⎛⎭⎪⎫λλ-1n -1.(2)由(1)得S n =1-⎝⎛⎭⎪⎫λλ-1n .由S 5=3132,得1-⎝ ⎛⎭⎪⎫λλ-15=3132, 即⎝ ⎛⎭⎪⎫λλ-15=132,解得λ=-1.。
等比数列及其前n项和一.学习目标1.理解等比数列的概念.2.掌握等比数列的通项公式与前n项和公式.3.体会等比数列与指数函数的关系.二.知识整合1.等比数列的有关概念等比数列的定义如果一个数列从第2项起,每一项与它的前一项的比等于,那么这个数列就叫做等比数列,这个常数叫做等比数列的公比,通常用字母q(q≠0)表示,符号表示为a n+1a n=q(n∈N∗)等比中项如果在a与b中间插入一个数G,使a,G,b成等比数列,那么G叫做a与b的等比中项,此时提醒:由a n+1=qa n,q≠0,并不能立即断定{a n}为等比数列,还要验证a1≠0.2.等比数列的有关公式通项公式a n=;推广:a n=a m⋅q n−m(m,n∈N∗)前n项和公式S n={ ,q=1,q≠1提醒:在运用等比数列的前n项和公式时,必须注意对q=1与q≠1分类讨论,防止因忽略q=1这一特殊情况而导致解题失误.知识拓展:(1)当q≠0,q≠1时,S n=k−k⋅q n(k≠0)是{a n}成等比数列的充要条件,此时k=a11−q.(2)等比数列的单调性当{a 1>0,q >1 或{a 1<0,0<q <1时,等比数列{a n } 是递增数列. 当{a 1>0,0<q <1 或{a 1<0,q >1时,等比数列{a n } 是递减数列. 当q =1 时,等比数列{a n } 是常数列.当q =−1 时,等比数列{a n } 是摆动数列.三.典型例题考点一 等比数列基本量的运算例1(1) 已知等比数列{a n } 的前3项和为168,a 2−a 5=42 ,则a 6= ( )A. 14B. 12C. 6D. 3(2) 已知等比数列{a n } 的前n 项和为S n ,a 1=1 ,a 5=8a 2 ,若S n =31 ,则n = .方法感悟:等比数列基本量运算的解题策略(1)方程思想:等比数列基本量的运算是等比数列中的一类基本问题,等比数列中有五个量a 1 ,n ,q ,a n ,S n ,一般可以“知三求二”,通过列方程(组)求关键量a 1 和q ,问题便可迎刃而解.(2)分类讨论思想:等比数列{a n } 的前n 项和公式涉及对公比q 的分类讨论,当q =1 时,{a n } 的前n 项和S n =na 1 ;当q ≠1 时,{a n } 的前n 项和S n =a 1(1−q n )1−q =a 1−a n q 1−q .考点二 等比数列的判定与证明例2已知数列{a n } 的首项a 1=12 ,且满足a n+1=a n3−2a n (n ∈N ∗) .(1) 证明:{1a n −1} 是等比数列,并求数列{a n } 的通项公式;(2) 记b n =n (1a n −1) ,求{b n } 的前n 项和S n .变式:已知各项都为正数的数列{a n } 满足a n+1+a n =3⋅2n ,a 1=1 .(1) 若b n =a n −2n ,求证:{b n } 是等比数列;(2) 求数列{a n } 的通项公式.方法感悟:判定等比数列的四种常用方法定义法 若a n+1a n =q (q 为非零常数,n ∈N ∗ )或a n a n−1=q (q为非零常数,且n ≥2 ,n ∈N ∗ ),则{a n } 是等比数列等比中项法 在数列{a n } 中,若a n ≠0 且a n+12=a n ⋅a n+2(n ∈N ∗) ,则{a n } 是等比数列通项公式法 若数列{a n } 的通项公式可以写成a n =c ⋅q n (c ,q均是不为0的常数,n ∈N ∗ )的形式,则{a n } 是等比数列前n 项和公式法 若数列{a n } 的前n 项和S n =k ⋅q n −k (k 为常数,且k ≠0 ,q ≠0 ,q ≠1 ),则{a n } 是等比数列五.达标练习1.如果-1,a ,b ,c ,-9成等比数列,那么( )A .b =-3,ac =9B .b =3,ac =9C .b =-3,ac =-9D .b =3,ac =-92.已知等比数列{a n }的前3项和为168,a 2-a 5=42,则a 6= ( )A .14B .12C .6D .33.记S n 为等比数列{a n }的前n 项和.若a 5-a 3=12,a 6-a 4=24,则S n a n=( )A .2n -1B .2-21-nC .2-2n -1D .21-n -14.在数列{a n }中,满足a 1=2,a 2n =a n -1·a n +1(n ≥2,n ∈N *),S n 为{a n }的前n 项和.若a 6=64,则S 7的值为( )A .126B .256C .255D .2545. 已知正项等比数列{a n}的首项为1,且4a5,a3,2a4成等差数列,则{a n}的前6项和为( )A. 31B. 3132C. 6332D. 636. 数列{a n}中,a1=2,a m+n=a m a n.若a k+1+a k+2+⋯+a k+10= 215−25,则k=( )A. 2B. 3C. 4D. 57. 已知等比数列{a n},其前n项和为S n.若a2=4,S3=14,则a3=.8. 已知等比数列{a n}的公比为−1,前n项和为S n,若{S n−1}也是等比数列,则a1=.9.设等比数列{a n}满足a1+a2=4,a3−a1=8. 记S n为数列{log3a n}的前n项和.若S m+S m+1=S m+3,则m=.10.已知数列{a n}的前n项和为S n,且满足2S n=−a n+n(n∈N∗). (1)证明:数列{a n−12}为等比数列;(2)求数列{a n−1}的前n项和T n.。
第五章 数 列第25讲 数列的概念及简单表示链教材·夯基固本 激活思维 1.B【解析】因为所给的数列每一项的分子都是1,分母等于2n ,每一项的符号为(-1)n ,故此数列的一个通项公式是(-1)n 2n .2. B【解析】 因为数列的通项公式为a n =n (n +1),又650=25×26,所以是第25项.故选B.3. B 【解析】 因为a 1=1,a 2=23,1an -2+1an =2an -1,令n =3,得1a1+1a3=2a2,解得a 3=12,令n =4,得1a2+1a4=2a3,解得a 4=25,故选B.4. a n =⎩⎪⎨⎪⎧2,n =1,4n -3,n ≥2【解析】 由S n =2n 2-n +1,可得当n =1时,a 1=S 1=2-1+1=2.当n ≥2时,a n =S n -S n -1=2n 2-n +1-[2(n -1)2-(n -1)+1]=4n -3,显然a 1=2≠4×1-3,即不符合上式.故数列{a n }的通项公式为a n =⎩⎪⎨⎪⎧2,n =1,4n -3,n ≥2.5.D【解析】因为a n =n 2-2λn ,所以a n +1=(n +1)2-2λ(n +1),因为数列{a n }是递增数列,所以a n +1-a n =2n -2λ+1>0(n ∈N *)恒成立,所以λ<n +12(n ∈N *)恒成立,因为⎝ ⎛⎭⎪⎪⎫n +12min =32,所以λ<32.所以实数λ的取值范围是⎝ ⎛⎭⎪⎪⎫-∞,32,故选D. 知识聚焦1. 确定的顺序排列 第1项 第n 项a n2. 第n 项3. S 1 S n -S n -1 研题型·融会贯通 分类解析(1) 【答案】 2831是【解析】 (1) 根据题意可得a 10=3×10-23×10+1=2831.令a n =710,即3n -23n +1=710,解得n =3,所以710为数列{a n }中的项,为第3项. (2) 【答案】 A 【解析】因为着色的小三角形个数构成数列{a n }的前4项,分别为a 1=1,a 2=3,a 3=3×3=32,a 4=32×3,因此{a n }的通项公式可以是a n =3n -1.【答案】 64 3n2-n2【解析】 因为三角形数所构成的数列{b n }的通项公式为b n =n (n +1)2,所以b 7=28; 因为正方形数所构成的数列{c n }的通项公式为c n =n 2,所以c 6=36,故b 7+c 6=28+36=64.因为五边形数所构成的数列{a n }为1,5,12,22,…,可得其递推公式a n +1-a n =3n +1,所以n ≥2时,a n =(a n -a n -1)+(a n -1-a n -2)+…+(a 2-a 1)+a 1=(3n -2)+(3n -5)+…+4+1=3n2-n 2(n =1也符合),故a n =3n2-n2.(1) 【答案】 17 a n =⎩⎪⎨⎪⎧3,n =1,2n -1+1,n ≥2【解析】因为数列{a n }的前n 项和S n =2n +n ,则a 5=S 5-S 4=(25+5)-(24+4)=17,又当n =1时,a 1=S 1=2+1=3.当n ≥2时,a n =S n -S n -1=(2n +n )-[2n -1+(n -1)]=2n -1+1,显然a 1=3≠21-1+1,即不符合上式.故数列{a n }的通项公式为a n =⎩⎪⎨⎪⎧3,n =1,2n -1+1,n ≥2.(2) 【答案】 B 【解析】令a n =41-2n >0,解得n <20.5,所以数列{a n }的前20项大于0,第20项后面的小于0,所以数列的前20项和最大.【答案】 -1na n =⎩⎪⎨⎪⎧-1,n =1,1n (n -1),n ≥2【解答】因为S n 是数列{a n }的前n 项和,且a 1=-1,a n +1=S n S n +1,所以S n +1-S n =S n S n +1,1Sn +1-1Sn=-1; 所以数列⎩⎪⎨⎪⎧⎭⎪⎬⎪⎫1Sn 是首项为-1,公差为-1的等差数列,所以1Sn=-1+(-1)×(n -1)=-n ,所以S n =-1n,所以当n ≥2时,a n =S n -1S n =1n (n -1);当n =1时,a 1=-1,不适合上式,所以a n=⎩⎪⎨⎪⎧-1,n =1,1n (n -1),n ≥2.(1) 【答案】 n -12【解析】 根据题意,设等差数列{a n }的公差为d , 若{a n }满足a n +a n +1=2n ,① 当n ≥2时,则a n -1+a n =2n -2,②①-②可得,a n +1-a n -1=2d =2,解得d =1.当n =1时,有a 1+a 2=2,即a 1+a 1+d =2,解得a 1=12,则a n =a 1+(n -1)×d =n -12.(2) 【答案】 a n =2n -1【解析】 由a n +1=2a n +1,得a n +1+1=2(a n +1), 因为a 1=1,所以a 1+1=2≠0, 则有an +1+1an +1=2,所以{a n +1}是以2为公比,2为首项的等比数列,所以a n +1=2·2n -1=2n ,a n =2n -1.(3) 【答案】 2n -1n【解析】由(n +1)a n +1=(n -1)S n ,得(n +1)(S n +1-S n )=(n -1)S n ,所以(n +1)S n +1=2nS n ,又S 1=a 1=1≠0,则(n +1)S n +1nS n=2,所以{nS n }是以1为首项,2为公比的等比数列,则nS n =2n -1,所以S n =2n -1n.(1) 【答案】 A【解析】 由a 1=1,a 2=2,a n a n -2=a n -1,得a n =an -1an -2(n ≥3),所以a n +1=an an -1=1an -1·an -1an -2=1an -2,即a n +3=1an,a n +6=1an +3=a n .故数列{a n }具有周期性,周期为6,所以a 2 025=a 6×337+3=a 3=2.(2) 【答案】 a n =12n +1-3【解析】因为数列{a n }满足a 1=1,a n +1=an 2+3an(n∈N *),整理得2a n +1+3a n a n +1=a n ,转换为1an +1+3=2⎝ ⎛⎭⎪⎪⎫1an +3,且1a1+3=4≠0,故1an +1+31an+3=2(常数),所以⎩⎪⎨⎪⎧⎭⎪⎬⎪⎫1an +3是以1a1+3=4为首项,2为公比的等比数列,故1an+3=4·2n -1=2n +1,整理得a n =12n +1-3.课堂评价1. B 【解析】 由数列2,5,22,11,…,知a n =2+(n -1)×3=3n -1.令25=3n -1,解得n =7.故25是这个数列的第7项. 2.C【解析】因为数列{a n }的前n 项和S n =2n 2+1,n∈N *,所以a 1=S 1=3,a 5=S 5-S 4=(2×52+1)-(2×42+1)=18,故a 5-a 1=18-3=15.3. AC 【解析】 由题知a n =2n -12n =1-12n ,显然是递增数列,所以a n ≥a 1=12.4. 18 【解析】 根据递推公式得a 1=2,a 2=4,a 3=4,a 4=8,故S 4=2+4+4+8=18. 5.a n =n ×2n -1【解析】 根据题中定义,可得Δ2a n -Δa n +1+a n =(Δa n +1-Δa n )-Δa n +1+a n =-2n (n∈N *),即a n -Δa n =a n -(a n +1-a n )=2a n -a n +1=-2n ,即a n +1=2a n +2n ,等式两边同时除以2n +1,得an +12n +1=an2n +12,所以an +12n +1-an2n =12且a12=12,所以数列⎩⎪⎨⎪⎧⎭⎪⎬⎪⎫an 2n 是以12为首项,12为公差的等差数列,所以an2n =12+12(n -1)=n2,所以a n =n ·2n -1.第26讲 等差数列中的基本问题链教材·夯基固本 激活思维 1.A【解析】设等差数列{a n }的公差为d ,由S 4=0,a 5=5,得⎩⎪⎨⎪⎧4a1+6d =0,a1+4d =5,所以⎩⎪⎨⎪⎧a1=-3,d =2,所以a n =2n -5,S n =n 2-4n .2. C 【解析】 因为a 2+a 8=15-a 5,所以a 5=5,所以S 9=92×2a 5=45.3. BCD【解析】 因为S 12=12(a 1+a 12)2=6(a 6+a 7)>0,S 13=13(a 1+a 13)2=13a 7<0,即a 6+a 7>0,a 7<0,所以a 6>0,且a 6>|a 7|,故D 正确.由a 3=12,得a 1=12-2d ,联立解得-247<d <-3,故C 正确.因为-247<d <-3,所以等差数列{a n }是递减数列,故A 错误.又S 5=5(a 1+a 5)2=5a 3=60,故B 正确.综上可得,BCD 正确. 4.n 2+5【解析】因为{a n +1-a n }是以2为公差的等差数列,所以n ≥2时,a n -a n -1=(a 2-a 1)+2(n -2)=2n -1,所以a n =a 1+(a 2-a 1)+…+(a n -a n -1)=6+3+5+…+(2n -1)=5+n (1+2n -1)2=n 2+5(n =1时也符合). 5.16 【解析】 若a 1=1,a n =51(其中n ∈N *),则1+(n -1)d =51,即(n -1)d =50,则d =50n -1,n +d =n +50n -1=(n -1)+50n -1+1≥250+1,当n -1=50n -1,即n =1+52∈(8,9),不为整数,则等号不能成立,当n =6时,d =10,有n +d =16;当n =7时,d =253不为整数;当n =8时,d =507不为整数;当n =9时,d =254不为整数;当n =10时,d =509不为整数;当n =11时,d =5,有n +d =16.所以当n =6或11时,n +d 取得最小值16. 知识聚焦1. 第2项 同一个常数2. (1) a n =a 1+(n -1)d (2) S n =n (a 1+a n )2=na 1+n (n -1)2d 研题型·融会贯通 分类解析(1) 【答案】 12 【解析】因为S 11=11(a 1+a 11)2=11a 6=44,所以a 6=4,a 3+a 7+a 8=(a 6-3d )+(a 6+d )+(a 6+2d )=3a 6=12.(2) 【答案】 BC 【解析】因为等差数列{a n }的前n 项和为S n ,公差为d ,且满足a 1>0,S 11=S 18,所以d <0,11a 1+55d =18a 1+18×172d ,化简为a 1+14d =0=a 15,所以S 29=29a 15=0,S 14,S 15都是最大值.(1) 【答案】 B 【解析】因为数列{a n }为等差数列,设其公差为d ,前n 项和为S n ,则S 2n -1=a1+a2n -12×(2n -1)=2an 2×(2n -1)=(2n -1)a n ,所以S 7=14=7a 4,即a 4=2.又a 4+S 5=2=2+5a 3,所以a 3=0,所以公差d =a 4-a 3=2,a 10=a 4+6d =2+12=14.故选B.(2) 【答案】 ⎝ ⎛⎭⎪⎪⎫-1,-78 【解析】 因为S n =7n +n (n -1)2d ,当且仅当n =8时S n 取得最大值,所以⎩⎪⎨⎪⎧S7<S8,S9<S8,即⎩⎪⎨⎪⎧49+21d<56+28d ,63+36d<56+28d ,解得⎩⎪⎨⎪⎧d>-1,d<-78.综上,d 的取值范围为⎝ ⎛⎭⎪⎪⎫-1,-78. (1) 【答案】 68 231【解析】 由a 1+a 3+a 5=105,得3a 3=105,即a 3=35;同理a 4=33,所以a 3+a 4=68,S 7=7(a 1+a 7)2=7×2a42=7a 4=231. (2) 【答案】 A【解析】 已知在等差数列{a n }中,S 3=t ,S 9=6t , 因为S 3,S 6-S 3,S 9-S 6,S 12-S 9成等差数列, 所以有2(S 6-S 3)=S 3+(S 9-S 6), 2(S 9-S 6)=(S 6-S 3)+(S 12-S 9), 所以S 6=3t ,S 12=10t ,故S6S12=310. (3) 【答案】 D 【解析】因为等差数列{a n }与{b n }的前n 项和分别为S n 与T n ,且满足Sn Tn=5n -23n +4,所以a5b5=2a52b5=a1+a9b1+b9=92(a 1+a 9)92(b 1+b 9)=S9T9=5×9-23×9+4=4331. 【题组·高频强化】 1. C 2.A【解析】由题意得S 10,S 20-S 10,S 30-S 20成等差数列,所以2(S 20-S 10)=S 10+(S 30-S 20),故2(S 20-30)=30+(210-S 20),解得S 20=100.3. C 【解析】 易知20项中奇数项有10项,偶数项有10项, S 奇+S 偶=75,S 偶=25,所以S 奇=50,故S 偶-S 奇=(a 2+a 4+…+a 20)-(a 1+a 3+…+a 19)=10d =-25,解得d =-2.5. 4. B 【解析】 a1+a3+…+a29+a31a2+a4+…+a28+a30=162(a 1+a 31)152(a 2+a 30)=1615.【解答】(1) 因为a n+1=1+an3-an,所以a n+1-1=1+an3-an-1=2an-23-an,故1an+1-1=3-an2an-2=1-an2an-2+22an-2=-12+1an-1,所以1an+1-1-1an-1=-12,所以数列⎩⎪⎨⎪⎧⎭⎪⎬⎪⎫1an-1是公差为-12的等差数列.又a1=13,所以1a1-1=113-1=-32,所以1an-1=-32-12(n-1)=-n+22,所以a n-1=-2n+2,a n=1-2n+2=nn+2.(2) 由(1)知a n=nn+2,所以b n=2(n+2)2·nn+2=2n(n+2)=1n-1n+2,故T n=b1+b2+…+b n=1-13+12-14+13-15+…+1n-1n+2=1+12-1n+1-1n+2=32-2n+3(n+1)(n+2).【解答】(1)因为a2=8,S n+S n+1=4(n+1)2,所以S n+S n-1=4n2,n≥2,两式相减可得a n+a n+1=8 n+4(n≥2).因为S1+S2=2a1+a2=16,a2=8,所以a1=4,a1+a2=12适合上式,故a n +a n+1=8n+4(n∈N*).(2) 因为a n+a n+1=8n+4,所以a n-1+a n=8n-4(n≥2),两式相减可得a n+1-a n-1=8(n≥2),故数列{a n}的奇数项是以8为公差的等差数列,a1=4,即当n为奇数时,a n=4n;又偶数项是以8为公差的等差数列,a2=8,即当n为偶数时,a n=4n.故当n∈N*时,a n=4n,则有a n+1-a n=4,所以数列{a n}是以4为首项,4为公差的等差数列.课堂评价1. A 【解析】设等差数列{a n }的首项为a 1,公差为d .由S n =na 1+n (n -1)d2,得S 4=4a 1+6d =1,S 8=8a 1+28d =4,解得a 1=116,d =18,所以a 17+a 18+a 19+a 20=S 20-S 16=4a 1+70d =4×116+70×18=9.故选A.2.D【解析】 设良马每天所行路程为{a n },则{a n }是以103为首项,13为公差的等差数列,其前n 项和为A n ,弩马每天所行路程为{b n },则{b n }是以97为首项,-12为公差的等差数列,其前n 项和为B n ,设共用n 天二马相逢,则A n +B n =2×1 125, 所以103n +n (n -1)2×13+97n +n (n -1)2×⎝ ⎛⎭⎪⎪⎫-12=2250,化简得n 2+31n -360=0,解得n =9(负值舍去),又A 9=103×9+9×82×13=1 395,B 9=2 250-1 395=855,所以A 9-B 9=1395-855=540.故选D.3.D【解析】因为数列{a n }是等差数列,a 1=1,公差d∈[1,2],且a 4+λa 10+a 16=15,所以1+3d +λ(1+9d )+1+15d =15,解得λ=13-18d 1+9d,因为d ∈[1,2],λ=13-18d 1+9d=-2+151+9d是减函数,所以当d =1时,实数λ取得最大值为λ=13-181+9=-12.故选D.4.A【解析】 若数列{a n }为等差数列,则S 4,S 8-S 4,S 12-S 8,S 16-S 12也成等差数列,又因为S4S8=13,则数列S 4,S 8-S 4,S 12-S 8,S 16-S 12是以S 4为首项,S 4为公差的等差数列,则S 8=3S 4,S 16=10S 4,所以S8S16=310,故选A.5. AC 【解析】 由S 6>S 7⇒a 7=S 7-S 6<0,S 6>S 5⇒a 6>0,S 7>S 5⇒a 7+a 6>0, 因为a 7<0,所以2a 7=a 1+a 13<0,即S 13<0,故C 正确; 同理,因为a 6>0,所以S 11>0,故A 正确; 因为a 7+a 6>0,所以S 12>0,故B 错误;由上知d <0,a 7<0,故S 8-S 6=a 8+a 7<0,所以D 错误.第27讲 等比数列中的基本问题链教材·夯基固本 激活思维 1.D【解析】因为数列3,33,35,…,32n +1是首项为3,公比为32的等比数列,所以3+33+35+…+32n +1=3(1-32n +2)1-32=38(9n +1-1).2.D【解析】因为{a n }是等比数列,且a 1+a 2+a 3=1,a 2+a 3+a 4=2,则a 2+a 3+a 4=q (a 1+a 2+a 3),即q =2,所以a 6+a 7+a 8=q 5(a 1+a 2+a 3)=25×1=32.3.C【解析】因为等比数列{a n }的前n 项和S n =2λ+(λ-3)·2n (λ为常数),所以a 1=S 1=2λ+(λ-3)×2=4λ-6,a 2=S 2-S 1=2λ+(λ-3)·22-(4λ-6)=2λ-6,a 3=S 3-S 2=2λ+(λ-3)·23-[2λ+(λ-3)·22]=4λ-12,因为a 1,a 2,a 3成等比数列,所以a2=a 1a 3,所以(2λ-6)2=(4λ-6)(4λ-12),解得λ=1或λ=3.若λ=3,则S n =2λ是常数,不成立,故舍去λ=3,所以λ=1.经检验符合题意.4.A【解析】因为在等比数列{a n }中,a 3·a 4·a 6·a 7=81.又因为a 3·a 7=a 4·a 6=a 1·a 9,所以(a 1·a 9)2=81,解得a 1·a 9=9或a 1·a 9=-9.又a 1·a 9=a 25,所以a 1·a 9=9.5. D 【解析】 由数列a 1,a2a1,…,an an -1,…是首项为1,公比为2的等比数列,得an an -1=2n -1(n ≥2),故a n =an an -1×an -1an -2×…×a2a1×a 1=2n -1×2n -2×…×1=2n (n -1)2(n =1时也符合),则log 2a n =log 22n (n -1)2=n (n -1)2.知识聚焦1. 从第二项起,每一项与它的前一项的比都等于同一个常数 公比2. a 1·q n -1 4. na 1 a1(1-q n )1-q =a1-anq 1-q研题型·融会贯通 分类解析【解答】(1) 设等比数列{a n }的公比为q ,则q >1.因为a 2+a 4=20,a 3=8,所以8q+8q =20,解得q =2或q =12(舍去),所以a 1=2,a n =2n .(2) 记b m 为{a n }在区间(0,m ](m ∈N *)中的项的个数,所以2n ≤m ,所以n ≤log 2m , 故b 1=0,b 2=1,b 3=1,b 4=2,b 5=2,b 6=2,b 7=2,b 8=3,b 9=3,b 10=3,b 11=3,b 12=3,b 13=3,b 14=3,b 15=3,b 16=4,…,可知0在数列{b m }中有1项,1在数列{b m }中有2项,2在数列{b m }中有4项,…,由1×(1-26)1-2=63<100,1×(1-27)1-2=127>100, 可知b 63=5,b 64=b 65=…=b 100=6.所以数列{b m }的前100项和S 100=0+1×2+2×4+3×8+4×16+5×32+6×37=480.【题组·高频强化】 1.B【解析】 设等比数列{a n }的公比为q ,因为a 5-a 3=12,a 6-a 4=24,所以a 6-a 4=q (a 5-a 3),所以q =2,所以a 1q 4-a 1q 2=12,解得a 1=1,所以S n =1-2n 1-2=2n -1,a n =2n -1,所以Sn an=2n -12n -1=2-21-n . 2.B【解析】设正项等比数列{a n }的公比为q (q >0),因为a 5-a 1=15,a 4-a 2=6,所以a 1(q 4-1)=15,a 1(q 3-q )=6,又a n >0,解得q =2,a 1=1,则a 3=4.3. C 【解析】 在等比数列{a n }中,若S 10=33S 5,则q ≠1,a1(1-q 10)1-q =33×a1(1-q 5)1-q ,即1-q 10=33(1-q 5),变形可得1+q 5=33,解得q =2. 又由S 6=63,得a1(1-q 6)1-q=a1(1-64)1-2=63,解得a 1=1,故a n =2n -1,S n =a1(1-q n )1-q =2n -1.若a n S n >10(a n +S n ),则22n -31×2n +20>0. 由n ∈N *,得n ≥5,故n 的最小值为5. 4.BC【解析】根据等比数列的性质得a 2a 3=a 1a 4=32>0,a 2+a 3=12>0,故a 2>0,a 3>0.根据根与系数的关系,可知a 2,a 3是一元二次方程x 2-12x +32=0的两个根,解得a 2=4,a 3=8或a 2=8,a 3=4.因为等比数列{a n }是递增数列,所以q >1. 所以a 2=4,a 3=8满足题意,所以q =2,a 1=a2q =2,故选项A 不正确;因为a n =a 1·q n -1=2n ,S n =2(1-2n )1-2=2n +1-2,所以S n +2=2n +1=4·2n -1,所以数列{S n +2}是以4为首项,2为公比的等比数列.故选项B 正确;S 8=28+1-2=512-2=510,故选项C 正确; 因为lg a n =lg 2n =n lg 2,所以数列{lg a n }是公差为lg 2的等差数列,故选项D 不正确.故选BC.(1) 【答案】 A【解析】 因为S n 是等比数列{a n }的前n 项和,公比q =2, 所以a1+a3+a5S6=a1+a3+a5(1+q )(a 1+a 3+a 5)=11+q =13.(2) 【答案】 C 【解析】在等比数列{a n }中,a 5a 6+a 4a 7=18,则a 4a 7+a 4a 7=18,a 4a 7=9,所以log 3a 1+log 3a 2+…+log 3a 10=log 3(a 1a 10)+log 3(a 2a 9)+log 3(a 3a 8)+log 3(a 4a 7)+log 3(a 5a 6)=5log 3(a 4a 7)=5lo g 39=10.(1) 【答案】 D【解析】 不妨设等比数列{a n }的前3项和为54,前6项和为60,则a 1+a 2+a 3=54,a 1+a 2+a 3+a 4+a 5+a 6=60,故有a 4+a 5+a 6=6,则有a 7+a 8+a 9=6254=23,故其前9项和S 9=S 6+(a 7+a 8+a 9)=6023.(2) 【答案】 2(n +2)【解析】 由题意,设这n +2个数构成的等比数列为{b n }, 则b 1=1,b n +2=81,且b 1·b n +2=b 2·b n +1=b 3·b n =…, 所以T n =(b1·bn +2)n +2=9n +2, 从而a n =log 3T n =log 39n +2=2(n +2).【解答】 (1) 由S n +1=4a n +1,得S n =4a n -1+1(n ≥2,n ∈N ), 两式相减得a n +1=4a n -4a n -1(n ≥2),所以a n +1-2a n =2(a n -2a n -1),所以bn bn -1=an +1-2an an -2an -1=2(a n -2a n -1)a n -2a n -1=2(n ≥2),又a 1=1,S 2=4a 1+1,故a 2=4,a 2-2a 1=2=b 1≠0, 所以数列{b n }为首项与公比均为2的等比数列.(2)由(1)可得b n =2·2n -1=2n ,所以c n =|2n -100|=⎩⎪⎨⎪⎧100-2n ,n ≤6,2n -100,n>6,所以T 10=600-(21+22+…+26)+27+28+29+210-400=200-2(1-26)1-2+27+28+29+210=200+2+28+29+210=1 994.【解答】 (1) 因为S n =32a n +b ,所以当n ≥2时,S n -1=32a n -1+b ,两式相减得S n -S n -1=32a n +b -32a n -1-b ,所以a n =32a n -32a n -1,所以a n =3a n -1,故{a n }是公比为q =3的等比数列.(2)假设{a n +1}是等比数列,则n ≥2时,(a n +1)2=(a n +1+1)(a n -1+1),即a2n +2a n +1=a n +1a n -1+a n +1+a n -1+1,由(1)知{a n }是等比数列,所以n ≥2时,a 2n =a n +1a n -1,于是2a n =a n +1+a n -1,又a n =3a n -1,即6a n -1=9a n -1+a n -1,解得a n -1=0,这与{a n }是等比数列相矛盾,故假设错误,即数列{a n +1}不是等比数列.课堂评价 1. B【解析】 在正项等比数列{a n }中,若a 2·a 27·a 2020=16,则(a 7·a 1 011)2=16,所以a 7·a 1 011=4,则有a 509=2,所以a 1·a 2·…·a 1 017=(a 7·a 1 011)508·a 509=21 017. 2. ABC 【解析】 由{a n }是等比数列可得n ≥2时,an an -1=q (q 为定值).因为n ≥2时,a2na2n -1=⎝ ⎛⎭⎪⎪⎫an an -12=q 2为常数,故A 正确; 因为n ≥2时,anan +1an -1an =an +1an -1=q 2,故B 正确;因为n ≥2时,1an 1an -1=an -1an=1q 为常数,故C 正确; 因为n ≥2时,lg|an|lg|an -1|不一定为常数,故D 错误.3. ±4 【解析】 在等比数列{a n }中,a 3-4a 1=12,S 4=17S 2, 设公比为q ,则q ≠0.由S 4=17S 2知q ≠1, 所以⎩⎪⎨⎪⎧a1q2-4a1=12,a1(1-q 4)1-q =17×a 1(1-q 2)1-q ,解得a 1=1,q =±4,所以a 2=a 1q =±4. 4.8【解析】在等比数列{a n }中,若a 3·a 5·a 7=64,则(a 5)3=64,解得a 5=4,则a 1>0,a 9>0,a 1+a 9≥2a1a9=2a 5=8,当且仅当a 1=a 9,即等比数列为常数列时等号成立.5.2【解析】 因为{a n }是首项为2,公比为q (q >1)的等比数列,且{a n }的前n 项和为S n ,若{Sn +2}为等比数列,则S1+2=a1+2=2,S2+2=2+2q +2,S3+2=2+2q +2q2+2成等比数列, 所以(4+2q )2=2×4+2q +2q2,解得q =0(舍去)或q =2,所以q =2.第28讲 数列求和链教材·夯基固本 激活思维1. C 【解析】 令数列{a n }的前n 项和为S n , 则S 20=a 1+a 2+a 3+…+a 20=2(1+2+3+…+20)-⎝ ⎛⎭⎪⎪⎫12+122+123+…+1220=420-⎝ ⎛⎭⎪⎪⎫1-1220=419+1220. 2. A 【解析】 令a n =(-1)n (2n +1),则当n 为奇数时,n +1为偶数,a n +a n +1=-(2n +1)+[2(n +1)+1]=2,所以S 11=a 1+a 2+…+a 11=(a 1+a 2)+(a 3+a 4)+…+(a 9+a 10)+a 11=2+2+…+2-(2×11+1)=2×5-23=-13.3.B【解析】因为a 1=1,且对任意的n∈N *,都有a n +1=a 1+a n +n ,所以a n +1-a n =n +1,所以当n ≥2时,a n =(a n -a n -1)+(a n -1-a n -2)+…+(a 2-a 1)+a 1=n +(n -1)+…+2+1=n (n +1)2,当n =1时也成立,所以a n =n (n +1)2,所以1an=2n (n +1)=2⎝ ⎛⎭⎪⎪⎫1n -1n +1,所以数列⎩⎪⎨⎪⎧⎭⎪⎬⎪⎫1an 的前n 项和为S n =2⎣⎢⎢⎡⎦⎥⎥⎤⎝ ⎛⎭⎪⎪⎫1-12+⎝ ⎛⎭⎪⎪⎫12-13+…+⎝ ⎛⎭⎪⎪⎫1n -1n +1=2⎝ ⎛⎭⎪⎪⎫1-1n +1=2n n +1,故1a1+1a2+…+1a2 022=4 0442 023,故选B.4. 3【解析】 因为f (x )+f (-x )=12x +1+12-x +1=12x +1+2x 2x +1=1,所以f (-1)+f (-2)+f (-3)+f (1)+f (2)+f (3)=3[f (-1)+f (1) ]=3.5.3n +1-2n +1【解析】令S n =2n +2n -1×3+2n -2×32+…+22×3n -2+2×3n -1+3n ,则2S n =2n +1+2n ×3+2n -1×32+…+23×3n -2+22×3n -1+2×3n , 两式相加得3S n =2n ×3+2n -1×32+2n -2×33+…+22×3n -1+2×3n +3n +1, 所以S n =3n +1-2n +13-2=3n +1-2n +1.研题型·融会贯通 分类解析【解答】 (1) 设等差数列{a n }的公差为d ,则S 5=5a 1+5×42d =10+10d =30,解得d =2,所以a n =2+2(n -1)=2n ,n ∈N *.对于数列{b n },当n =1时,b 1=T 1=21-1=1; 当n ≥2时,b n =T n -T n -1=2n -2n -1=2n -1, 当n =1时上式也成立,所以b n =2n -1,n ∈N *. (2) 由(1)知c n =bn(b n +1)(b n +1+1)=2n -1(2n -1+1)(2n +1)=12n -1+1-12n +1,所以M n =⎝ ⎛⎭⎪⎪⎫120+1-121+1+⎝ ⎛⎭⎪⎪⎫121+1-122+1+…+⎝ ⎛⎭⎪⎪⎫12n -1+1-12n +1=12-12n +1.【解答】 若选条件①:(1)因为数列{S n +a 1}为等比数列,所以(S 2+a 1)2=(S 1+a 1)·(S 3+a 1),即(2a 1+a 2)2=2a 1(2a 1+a 2+a 3).设等比数列{a n }的公比为q ,所以(2+q )2=2(2+q +q 2),解得q =2或q =0(舍去),所以a n =a 1q n -1=2n -1.(2)由(1)知a n =2n -1,所以b n =1log2an +1·log2an +3=1n (n +2)=12⎝ ⎛⎭⎪⎪⎫1n -1n +2,所以T n =12⎣⎢⎢⎡⎦⎥⎥⎤⎝ ⎛⎭⎪⎪⎫1-13+⎝ ⎛⎭⎪⎪⎫12-14+⎝ ⎛⎭⎪⎪⎫13-15+…+⎝ ⎛⎭⎪⎪⎫1n -1-1n +1+⎝ ⎛⎭⎪⎪⎫1n -1n +2=12⎝ ⎛⎭⎪⎪⎫32-1n +1-1n +2=34-2n +32(n +1)(n +2). 若选条件②:(1) 因为点(S n ,a n +1)在直线y =x +1上,所以a n +1=S n +1.又a n =S n -1+1(n ≥2,n ∈N ),两式相减得a n +1=2a n ,又a 1=1,a 2=S 1+1=2,也适合上式,故数列{a n }为首项是1,公比是2的等比数列,所以a n =a 1q n -1=2n -1.(2) 同条件①. 若选条件③:(1) 因为2n a 1+2n -1a 2+…+2a n =na n +1,① 所以2n -1a 1+2n -2a 2+…+2a n -1=(n -1)a n (n ≥2). 所以2n a 1+2n -1a 2+…+22a n -1=2(n -1)a n (n ≥2)② 由①-②可得2a n =na n +1-2(n -1)a n ,即a n +1=2a n ,又a 1=1,2a 1=a 2,也适合上式,故数列{a n }为首项是1,公比是2的等比数列,所以a n =a 1q n -1=2n -1.(2) 同条件①.【解答】 (1) 因为a n +1=2(a n +1),所以a n +1+2=2(a n +2),则数列{a n +2}是以3为首项,2为公比的等比数列, 所以a n +2=3×2n -1,即a n =3×2n -1-2(n ∈N *). (2) 由(1)知,b n =log 2(a n +2)-log 23=log 22n -1=n -1, 所以3bnan +2=n -12n -1.所以T n =020+121+222+…+n -22n -2+n -12n -1,12T n =021+122+223+…+n -22n -1+n -12n, 两式作差得12T n =121+122+…+12n -1-n -12n=12-12n 1-12-n -12n=1-n +12n ,则T n =2-n +12n -1.【解答】 (1) 由数列{a n }满足a 1·2a 2·3a 3·…·na n =2n (n ∈N *)①,可得当n =1时,a 1=2,当n ≥2时,a 1·2a 2·…·(n -1)a n -1=2n -1②.①÷②得na n =2,即a n =2n ,当n =1时上式也成立,故数列{a n }的通项公式为a n =2n .(2) 由(1)知2+2n +1an =n ·2n +n ,设H n =1·2+2·22+…+n ·2n , 则2H n =1·22+2·23+…+n ·2n +1,两式相减可得-H n =2+4+…+2n -n ·2n +1=2(1-2n )1-2-n ·2n +1,化简可得H n =2+(n -1)·2n +1.所以T n =2+(n -1)·2n +1+n (n +1)2.【解答】 (1) 因为(n +1)a n =na n +1,所以ann =an +1n +1,即数列⎩⎪⎨⎪⎧⎭⎪⎬⎪⎫an n 是常数列,所以an n =a11=1,故数列{a n }的通项公式为a n =n .(2) 由(1)知a n =n ,故b n =2n +(-1)n n .记数列{b n }的前2n 项和为T 2n ,则T 2n =(21+22+…+22n )+(-1+2-3+4-…+2n ). 记A =21+22+…+22n ,B =-1+2-3+4-…+2n , 则A =2(1-22n )1-2=22n +1-2,B =(-1+2)+(-3+4)+…+[-(2n -1)+2n ]=n . 故数列{b n }的前2n 项和T 2n =A +B =22n +1+n -2.【解答】 (1) 当n =2时,a 3=2a 2-a 2+2,解得a 2=2. 当n =1时,a 2=2a 1+a 1-1,解得a 1=1. (2) 因为a n +1=2a n +(-1)n +1a n +(-1)n n , 当n =2k (k ∈N *)时,a 2k +1=a 2k +2k ①,当n =2k -1(k ∈N *)时,a 2k =3a 2k -1-(2k -1)②, 把②代入①得a 2k +1=3a 2k -1+1,所以a2n +1+12a2n -1+12=3a2n -1+1+12a2n -1+12=3⎝⎛⎭⎪⎪⎫a2n -1+12a2n -1+12=3(常数).所以数列⎩⎪⎨⎪⎧⎭⎪⎬⎪⎫a2n -1+12是以32为首项,3为公比的等比数列.(3) 由(2)得a 2n -1+12=32×3n -1,所以a 2n -1=3n 2-12,代入②得a 2n =3×3n -12-(2n -1).则a 2n +a 2n -1=2×3n -(2n +1).所以S 2n =(a 1+a 2)+(a 3+a 4)+…+(a 2n -1+a 2n )=3n +1-3-n 2-2n . 则S 2n -1=S 2n -a 2n =3n +12-n 2-52.所以S n=⎩⎪⎨⎪⎧3n +22-n24-n -3,n 为偶数,3n +322-n2+2n 4-114,n 为奇数.课堂评价 1. C【解析】 设等差数列{a n }的公差为d ,则S n =na 1+n (n -1)d 2,因为Sn n=a 1+(n -1)d2,所以Sn +1n +1-Sn n =d 2,所以数列⎩⎪⎨⎪⎧⎭⎪⎬⎪⎫Sn n 是公差为d 2的等差数列.因为S 5=15,S 7=28,所以S77-S55=4-3=1=2×d 2,解得d =1,所以Sn n =S55+(n -5)×d 2=n +12,所以数列⎩⎪⎨⎪⎧⎭⎪⎬⎪⎫Sn n 的前20项和为20⎝⎛⎭⎪⎪⎫1+20+122=115.2.A【解析】因为a n +1=n n +1a n ,a 1=1,所以(n +1)a n +1=na n ,所以数列{na n }是每项均为1的常数列,所以na n =1,所以a n =1n.因为a n a n +1=1n (n +1)=1n -1n +1,所以数列{a n a n +1}的前10项和为⎝ ⎛⎭⎪⎪⎫1-12+⎝ ⎛⎭⎪⎪⎫12-13+…+⎝ ⎛⎭⎪⎪⎫110-111=1-111=1011. 3.A【解析】因为a n =f (0)+f ⎝ ⎛⎭⎪⎪⎫1n +f⎝ ⎛⎭⎪⎪⎫2n +…+f ⎝ ⎛⎭⎪⎪⎫n -1n +f (1),所以a n =f (1)+f⎝ ⎛⎭⎪⎪⎫n -1n +f⎝ ⎛⎭⎪⎪⎫n -2n +…+f⎝ ⎛⎭⎪⎪⎫1n +f (0).又f (x )+f (1-x )=1,所以2a n =[f (0)+f (1)]+⎣⎢⎢⎡⎦⎥⎥⎤f ⎝ ⎛⎭⎪⎪⎫1n +f ⎝ ⎛⎭⎪⎪⎫n -1n +…+⎣⎢⎢⎡⎦⎥⎥⎤f ⎝ ⎛⎭⎪⎪⎫n -1n +f ⎝ ⎛⎭⎪⎪⎫1n +[f (1)+f (0)]=n +1,所以a n =n +12,因为a n +1-a n =n +22-n +12=12,所以数列{a n }是以1为首项,12为公差的等差数列,则数列{a n }的前10项和为S 10=10×1+10×92×12=652.4. 3n2+5n4(n +1)(n +2) 【解析】 因为1n (n +2)=12⎝ ⎛⎭⎪⎪⎫1n -1n +2,所以数列⎩⎪⎨⎪⎧⎭⎪⎬⎪⎫1n (n +2)的前n 项和S n =12⎣⎢⎢⎡⎦⎥⎥⎤⎝ ⎛⎭⎪⎪⎫1-13+⎝ ⎛⎭⎪⎪⎫12-14+⎝ ⎛⎭⎪⎪⎫13-15+…+⎝ ⎛⎭⎪⎪⎫1n -1n +2=12⎝ ⎛⎭⎪⎪⎫1+12-1n +1-1n +2=3n2+5n 4(n +1)(n +2).5. 10 200 【解析】 因为f (x )=x 2cosπx 2,所以a n =f (n )+f (n +1)=n 2cosn π2+(n +1)2cos(n +1)π2,a 4n -3=(4n -3)2cos 4n -32π+(4n -2)2cos 4n -22π=-(4n -2)2,同理可得a 4n -2=-(4n -2)2,a 4n -1=(4n )2,a 4n =(4n )2.所以a 4n -3+a 4n -2+a 4n -1+a 4n =-2(4n -2)2+2(4n )2=8(4n -1).所以数列{a n }的前100项之和S 100=8×(3+7+…+99)=10 200.微难点8 放缩法在数列不等式中的应用【解答】 因为k !=k (k -1)·…·2·1≥2·2·…·2·1=2k -1,所以1k !≤12k -1,k =1,2,…,n ,所以11!+12!+13!+…+1n !<120+121+122+…+12n -1=1-⎝ ⎛⎭⎪⎪⎫12n1-12=2-⎝ ⎛⎭⎪⎪⎫12n -1<2.【解答】 因为ak ak +1=2k -12k +1-1<2k -12k +1-2=12,所以∑k =1nakak +1<n2,不等式右边得证.因为ak ak +1=2k -12k +1-1=2k -12-122⎝⎛⎭⎪⎪⎫2k -12=12-14⎝⎛⎭⎪⎪⎫2k -12=12-13·2k +(2k -2)>12-13·2k +0=12-13·2k,所以∑k =1nakak +1>∑k =1n ⎝ ⎛⎭⎪⎪⎫12-13·2k =n 2-13⎝ ⎛⎭⎪⎪⎫121+122+…+12n =n 2-13⎝ ⎛⎭⎪⎪⎫1-12n >n2-13,不等式左边得证.【解答】 (1) 1+122+132+…+1n2<1+11×2+12×3+…+1(n -1)n =1+⎝ ⎛⎭⎪⎪⎫1-12+⎝ ⎛⎭⎪⎪⎫12-13+…+⎝ ⎛⎭⎪⎪⎫1n -1-1n =2-1n <2. (2) 因为1n2<1n (n -1)=1n -1-1n ,所以112+122+132+ …+1n2<1+122+⎝ ⎛⎭⎪⎪⎫12-13+…+1n -1-1n =54+⎝ ⎛⎭⎪⎪⎫12-1n <74.【解答】(1)由题意知数列⎩⎪⎨⎪⎧⎭⎪⎬⎪⎫1an 为等差数列,且首项为2,公差为2,故a n =12n.(2) 依题意可知a 2n =⎝ ⎛⎭⎪⎪⎫12n 2=14·1n2<14·1n ·1n -1=14⎝ ⎛⎭⎪⎪⎫1n -1-1n (n >1),所以a 21+a 2+a 23+…+a 2n <14⎝ ⎛⎭⎪⎪⎫1+1-12+12-13+…+1n -1-1n =14⎝ ⎛⎭⎪⎪⎫2-1n <12, 故a 21+a 2+a 23+…+a 2n <12.【解答】 因为n2n +n <n2n , 所以不等式左边<12+222+323+…+n2n .令A =12+222+323+…+n2n ,则12A =122+223+324+…+n 2n +1,两式相减得12A =12+122+123+…+12n -n 2n +1=1-12n-n2n +1,所以A =2-n +22n<2,即得证. 微难点9 数列中常见的裂项技巧【解答】 (1) 因为a 6=11,所以a 1+5d =11 ①. 因为a 2,a 5,a 14成等比数列,所以a 25=a 2a 14, 所以(a 1+4d )2=(a 1+d )(a 1+13d ),化简得6a 1d =3d 2,因为d ≠0,所以2a 1=d ②. 由①②可得,a 1=1,d =2,所以数列{a n }的通项公式是a n =2n -1.(2) 由(1)得b n =1(2n -1)(2n +1)=12⎝ ⎛⎭⎪⎪⎫12n -1-12n +1, 所以S n =b 1+b 2+…+b n =12⎝ ⎛⎭⎪⎪⎫1-13+13-15+…+12n -1-12n +1=12⎝ ⎛⎭⎪⎪⎫1-12n +1=n2n +1.【解答】 (1) 由2S n =(n +1)a n =(n +1)(S n -S n -1)(n ≥2,n ∈N *),整理得(n -1)S n =(n +1)S n -1,即S n =n +1n -1S n -1,所以S n =n +1n -1S n -1=n +1n -1·n n -2S n -2=n +1n -1·n n -2·n -1n -3S n -3=…=n +1n -1·n n -2·n -1n -3·…·53·42·31S 1=n (n +1)2a 1=n (n +1).因为S 1=a 1=2,所以S 1也满足S n =n (n +1), 所以S n =n (n +1)(n ∈N *).(2) b n =an +1Sn +1·Sn =Sn +1-Sn Sn +1·Sn =1Sn -1Sn +1=1n (n +1)-1(n +1)(n +2)=⎝ ⎛⎭⎪⎪⎫1n -1n +1-⎝ ⎛⎭⎪⎪⎫1n +1-1n +2, T n =⎣⎢⎢⎡⎦⎥⎥⎤⎝ ⎛⎭⎪⎪⎫1-12-⎝ ⎛⎭⎪⎪⎫12-13+⎣⎢⎢⎡⎦⎥⎥⎤⎝ ⎛⎭⎪⎪⎫12-13-⎝ ⎛⎭⎪⎪⎫13-14+⎣⎢⎢⎡⎦⎥⎥⎤⎝ ⎛⎭⎪⎪⎫13-14-⎝ ⎛⎭⎪⎪⎫14-15+…+⎣⎢⎢⎡⎦⎥⎥⎤⎝ ⎛⎭⎪⎪⎫1n -1-1n -⎝ ⎛⎭⎪⎪⎫1n -1n +1+⎣⎢⎢⎡⎦⎥⎥⎤⎝ ⎛⎭⎪⎪⎫1n -1n +1-⎝ ⎛⎭⎪⎪⎫1n +1-1n +2=⎝ ⎛⎭⎪⎪⎫1-12-⎝ ⎛⎭⎪⎪⎫1n +1-1n +2=12-1(n +1)·(n +2). 因为n ∈N *,所以T n =12-1(n +1)·(n +2)<12.【解答】 由a n =1(n +1)n +n n +1=(n +1)n -n n +1(n +1)2n -n 2(n +1)=1n-1n +1,得S n =⎝ ⎛⎭⎪⎪⎫1-12+⎝ ⎛⎭⎪⎪⎫12-13+…+⎝ ⎛⎭⎪⎪⎫1n -1n +1=1-1n +1 .【解答】 (1) 由已知,得⎩⎨⎧a1+a2+a3=7,(a 1+3)+(a 3+4)2=3a 2,解得a 2=2.设数列{a n }的公比为q ,则a 1q =2, 所以a 1=2q ,a 3=a 1q 2=2q .由S 3=7,可知2q+2+2q =7,所以2q 2-5q +2=0,解得q 1=2,q 2=12.由题意得q >1,所以q =2,所以a 1=1, 故数列{a n }的通项公式为a n =2n -1. (2)因为b n =an(a n +1)(a n +1+1)=2n -1(2n -1+1)(2n +1)=12n -1+1-12n +1,所以T n =⎝ ⎛⎭⎪⎪⎫11+1-121+1+⎝ ⎛⎭⎪⎪⎫121+1-122+1+⎝ ⎛⎭⎪⎪⎫122+1-123+1+…+⎝ ⎛⎭⎪⎪⎫12n -1+1-12n +1=11+1-12n +1=12-12n +1<12. 【解答】 (1) 设{a n }的公差为d , 由题意知⎩⎪⎨⎪⎧3a1+3d =2a1+4d ,4a1+6d =2a1+6d +4,解得⎩⎪⎨⎪⎧a1=2,d =2,故a n =a 1+(n -1)d =2n .(2) 由(1)知S n =n (a 1+a n )2=n 2+n , 则b n =2(n +2)n (n +1)·2n =4⎝ ⎛⎭⎪⎪⎫1n ·2n -1(n +1)·2n +1, 故T n =4⎝ ⎛⎭⎪⎪⎫11·21-12·22+12·22-13·23+…+1n ·2n -1(n +1)·2n +1=2-1(n +1)·2n -1<2. 【解答】 (1) 因为a n +1-an +1=a n +an , 所以a n +1-a n =an +1+an , 所以an +1-an =1. 因为a 2=4,所以a1=1,所以数列{an }是以1为首项,1为公差的等差数列, 所以an =1+n -1=n , 所以a n =n 2.(2) 因为b n =an +1(n +2)2a n =n +1(n +2)2n 2=14⎝ ⎛⎭⎪⎪⎫1n2-1(n +2)2, 所以S n =14⎣⎢⎢⎡⎦⎥⎥⎤1-132+122-142+132-152+…+1(n -1)2-1(n +1)2+1n 2-1(n +2)2=14⎣⎢⎢⎡⎦⎥⎥⎤1+122-1(n +1)2-1(n +2)2=14⎣⎢⎢⎡⎦⎥⎥⎤54-1(n +1)2-1(n +2)2.。
第五篇 数列及其应用 专题5.3 等比数列及其前n 项和【考纲要求】1.理解等比数列的概念.2.掌握等比数列的通项公式与前n 项和公式.3.能在具体的问题情境中识别数列的等比关系,并能用等比数列的有关知识解决相应的问题. 4.了解等比数列与指数函数的关系. 【命题趋势】1.利用公式求等比数列指定项、前n 项和;利用定义、通项公式证明数列为等比数列.2.利用等比数列性质求等比数列指定项、公比、前n 项和. 【核心素养】本讲内容主要考查数学运算、逻辑推理的核心素养. 【素养清单•基础知识】 1.等比数列的有关概念(1)定义:如果一个数列从第2项起,每一项与它的前一项的比等于同一常数(不为零),那么这个数列就叫做等比数列.这个常数叫做等比数列的公比,通常用字母q 表示,定义的表达式为a n +1a n =q .(2)等比中项:如果a ,G ,b 成等比数列,那么G 叫做a 与b 的等比中项.即G 是a 与b 的等比中项⇔a ,G ,b 成等比数列⇒G 2=ab . 只有当两个数同号且不为0时,才有等比中项,且等比中项有两个. 2.等比数列的有关公式 (1)通项公式:a n =a 1q n -1.(2)前n 项和公式:S n =⎩⎪⎨⎪⎧na 1,q =1,a 1(1-q n)1-q =a 1-a n q 1-q ,q ≠1.3.等比数列与指数型函数的关系当q >0且q ≠1时,a n =a 1q ·q n 可以看成函数y =cq x ,其是一个不为0的常数与指数函数的乘积,因此数列{a n }各项所对应的点都在函数y =cq x的图象上;对于非常数列的等比数列{a n }的前n 项和S n =a 1(1-q n )1-q =-a 11-q q n +a 11-q ,若设a =a 11-q ,则S n =-aq n+a (a ≠0,q ≠0,q ≠1).由此可知,数列{S n }的图象是函数y =-aq x +a 图象上一系列孤立的点.对于常数列的等比数列,即q =1时,因为a 1≠0,所以S n =na 1.由此可知,数列{S n }的图象是函数y =a 1x 图象上一系列孤立的点. 【素养清单•常用结论】设数列{a n }是等比数列,S n 是其前n 项和. (1)通项公式的推广:a n =a m ·q n -m (n ,m ∈N *).(2)若m +n =p +q ,则a m a n =a p a q ;若2s =p +r ,则a p a r =a 2s ,其中m ,n ,p ,q ,s ,r ∈N *.(3)a k ,a k +m ,a k +2m ,…仍是等比数列,公比为q m (k ,m ∈N *).(4)若数列{a n },{b n }是两个项数相同的等比数列,则数列{ba n },{pa n ·qb n }和⎩⎨⎧⎭⎬⎫pa n qb n 也是等比数列.(5)若数列{a n }的项数为2n ,则S 偶S 奇=q ;若项数为2n +1,则S 奇-a 1S 偶=q . 【真题体验】1.【2019年高考全国III 卷理数】已知各项均为正数的等比数列的前4项和为15,且,则( )A .16B .8C .4D .22.【2019年高考全国I 卷理数】记S n 为等比数列{a n }的前n 项和.若,则S 5=___________.3.【2018年高考浙江卷】已知成等比数列,且.若,则( )A .B .C .D .4.【2017年高考全国II 卷理数】我国古代数学名著《算法统宗》中有如下问题:“远望巍巍塔七层,红光点点倍加增,共灯三百八十一,请问尖头几盏灯?”意思是:一座7层塔共挂了381盏灯,且相邻两层中的下一层灯数是上一层灯数的2倍,则塔的顶层共有灯( ) A .1盏 B .3盏 C .5盏D .9盏5.【2017年高考全国III 卷理数】等差数列的首项为1,公差不为0.若a 2,a 3,a 6成等比数列,则前6项的和为( )A .B .C .3D .86.【2018年高考全国I 卷理数】记为数列的前项和,若,则___________.【考法拓展•题型解码】考法一 等比数列基本量的求解归纳总结:解决等比数列有关问题的常用思想方法(1)方程的思想:等比数列中有五个量a 1,n ,q ,a n ,S n ,一般可以“知三求二”,通过列方程(组)求出关键量a 1和q ,问题便可迎刃而解.(2)分类讨论的思想:等比数列的前n 项和公式涉及对公比q 的分类讨论,将q 分为q =1和q ≠1两种情况进行讨论.【例1】 (2018·全国卷Ⅲ)等比数列{a n }中,a 1=1,a 5=4a 3. (1)求{a n }的通项公式;(2)记S n 为{a n }的前n 项和,若S m =63,求m . 考法二 等比数列的性质及应用 归纳总结(1)等比数列性质的应用可以分为三类:通项公式的变形、等比中项的变形、前n 项和公式的变形.根据题目条件,认真分析,发现具体的变化特征即可找出解决问题的突破口.(2)在应用相应性质解题时,要注意性质成立的前提条件,有时需要进行适当变形.此外,解题时注意设而不求思想的运用.【例2】 (1)已知等比数列{a n }满足a 1=14,a 3a 5=4(a 4-1),则a 2=( ) A .2 B .1 C. 12 D. 18(2)设等比数列{a n }中,前n 项和为S n ,已知S 3=8,S 6=7,则a 7+a 8+a 9=( ) A. 18 B .-18 C. 578 D. 558(3)已知等比数列{a n }中,a 4+a 8=-2,则a 6(a 2+2a 6+a 10)的值为( ) A .4 B .6C .8D .-9 考法三 等比数列的判定与证明 解题技巧:等比数列的四种常用判定方法(1)定义法:若a n +1a n =q (q 为非零常数,n ∈N *)或a na n -1=q (q 为非零常数且n ≥2,n ∈N *),则{a n }是等比数列. (2)等比中项法:若数列{a n }中,a n ≠0且a 2n +1=a n ·a n +2(n ∈N *),则{a n }是等比数列. (3)通项公式法:若数列{a n }的通项公式可写成a n =c ·q n -1(c ,q 均是不为0的常数,n ∈N *),则{a n }是等比数列.(4)前n 项和公式法:若数列{a n }的前n 项和S n =k ·q n -k (k 为常数且k ≠0,q ≠0,1),则{a n }是等比数列. 【例3】 (2018·全国卷Ⅰ改编)已知数列{a n }满足a 1=1,na n +1=2(n +1)a n ,设b n =a n n . (1)求b 1,b 2,b 3;(2)判断数列{b n }是否为等比数列,并说明理由; (3)求{b n }的前10项和S 10. 【易错警示】易错点 忽视等比数列的一些基本条件【典例】 设等比数列{a n }的公比为q ,前n 项和S n >0(n =1,2,3,…),求q 的取值范围.【错解】:因为a 1=S 1>0,S n =a 1(1-q n )1-q >0,所以⎩⎪⎨⎪⎧ 1-q >0,1-q n >0或⎩⎪⎨⎪⎧1-q <0,1-q n <0,所以-1<q <1或q >1,故所求q 的取值范围为(-1,1)∪(1,+∞).【错因分析】本题中出现两个基本错误:一是q ≠0这一隐含条件被忽视,二是对于前n 项和没有分q =1和q ≠1两种情况进行讨论,故而解答出现错误.【正解】:因为数列{a n }为等比数列,S n >0,所以a 1=S 1>0,q ≠0.当q =1时,S n =na 1>0;当q ≠1时,S n=a 1(1-q n )1-q >0,即1-q n 1-q >0,所以⎩⎪⎨⎪⎧ 1-q >0,1-q n >0或⎩⎪⎨⎪⎧1-q <0,1-q n <0,所以-1<q <1或q >1.综上,q 的取值范围为(-1,0)∪(0,+∞).【误区防范】:等比数列中的三个易误点 (1)特别注意q =1时,S n =na 1这一特殊情况.(2)由a n +1=qa n ,q ≠0,并不能立即断言{a n }为等比数列,还要验证a 1≠0.(3)在运用等比数列的前n 项和公式时,必须注意对q =1与q ≠1分类讨论,防止因忽略q =1这一特殊情形而导致解题失误.【跟踪训练】 等比数列{a n }中,a 1=2,前n 项和为S n ,若数列{a n +1}也是等比数列,则S n =( ) A .2n +1-2 B .3n C .2n D .3n -1 【递进题组】1.在等比数列{a n }中,a 2,a 16是方程x 2+6x +2=0的根,则a 2a 16a 9=( )A .-2+22 B .- 2 C. 2 D .-2或 22.已知数列{a n }是等比数列,S n 为其前n 项和,若a 1+a 2+a 3=4,a 4+a 5+a 6=8,则S 12=( ) A .40 B .60 C .32 D .503.(2017·全国卷Ⅱ)已知等差数列{a n }的前n 项和为S n ,等比数列{b n }的前n 项和为T n ,a 1=-1,b 1=1,a 2+b 2=2.(1)若a 3+b 3=5,求{b n }的通项公式; (2)若T 3=21,求S 3.4.(2019·西安一中月考)已知数列{a n }的前n 项和为S n ,且a n =S n +n2(n ∈N *). (1)若数列{a n +t }是等比数列,求t 的值; (2)求数列{a n }的通项公式. 【考卷送检】 一、选择题1.等比数列x,3x +3,6x +6,…的第四项等于( ) A .-24 B .0 C .12 D .242.(2018·北京卷)“十二平均律”是通用的音律体系,明代朱载堉最早用数学方法计算出半音比例.为这个理论的发展做出了重要贡献.十二平均律将一个纯八度音程分成十二份,依次得到十三个单音,从第二个单音起,每一个单音的频率与它的前一个单音的频率的比都等于122.若第一个单音的频率为f ,则第八个单音的频率为( )A.32fB.322fC.1225fD.1227f3.在等比数列{a n }中,若a 3,a 7是方程x 2+4x +2=0的两根,则a 5的值是( ) A .-2 B .- 2 C .±2 D. 24.已知等比数列{a n }的前n 项和为S n ,且a 1+a 3=52,a 2+a 4=54,则S na n =( ) A .4n -1 B .4n -1 C .2n -1 D .2n -15.(2019·潍坊重点高中联考)设等比数列{a n }的前n 项和为S n ,若S 6S 3=3,则S 9S 6=( ) A .2 B.73 C. 83 D .36.(2019·湖南师大附中月考)已知各项不为0的等差数列{a n }满足a 6-a 27+a 8=0,数列{b n }是等比数列,且b 7=a 7,则b 2·b 8·b 11=( ) A .1 B .2 C .4 D .8 二、填空题7.等比数列的各项均为正数,且a 1a 5=4,则log 2a 1+log 2a 2+log 2a 3+log 2a 4+log 2a 5=________. 8.(2017·江苏卷)等比数列{a n }的各项均为实数,其前n 项和为S n .已知S 3=74,S 6=634,则a 8=________. 9.(2019·杭州期中)设数列{a n }满足a 1=23,且对任意的n ∈N *,满足a n +2-a n ≤2n ,a n +4-a n ≥5×2n ,则a 2 017=________. 三、解答题10.设数列{a n }的前n 项和为S n ,a 1=1,且数列{S n }是以2为公比的等比数列. (1)求数列{a n }的通项公式; (2)求a 1+a 3+…+a 2n +1.11.(2019·河南实验中学质检)数列{b n }满足b n +1=2b n +2,b n =a n +1-a n ,且a 1=2,a 2=4. (1)求数列{b n }的通项公式;(2)求数列{a n }的前n 项和S n .12.已知在正项数列{a n }中,a 1=2,点A n (a n ,a n +1)在双曲线y 2-x 2=1上,数列{b n }中,点(b n ,T n )在直线y =-12x +1上,其中T n 是数列{b n }的前n 项和. (1)求数列{a n }的通项公式; (2)求证:数列{b n }是等比数列.13.(2019·焦作一中月考)定义在(-∞,0)∪(0,+∞)上的函数f (x ),如果对于任意给定的等比数列{a n },{f (a n )}仍是等比数列,则称f (x )为“保等比数列函数”.现有定义在(-∞,0)∪(0,+∞)上的如下函数:①f (x )=x 2;②f (x )=2x;③f (x )=|x |;④f (x )=ln |x |.则其中是“保等比数列函数”的f (x )的序号为________.。
第五章 数列授课提示:对应学生用书第293页[A 组 基础保分练]1.若正项数列{a n }满足a 1=2,a 2n +1-3a n +1a n -4a 2n =0,则数列{a n }的通项公式为( )A .a n =22n -1B .a n =2nC .a n =22n +1D .a n =22n -3答案:A2.设等比数列{a n }中,前n 项和为S n ,已知S 3=8,S 6=7,则a 7+a 8+a 9等于( ) A.18 B .-18C.578 D .558答案:A3.(2021·西安模拟)设a 1=2,数列{1+2a n }是公比为2的等比数列,则a 6=( ) A .31.5 B .160 C .79.5D .159.5 解析:因为1+2a n =(1+2a 1)·2n -1,则a n =5·2n -1-12,a n =5·2n -2-12.a 6=5×24-12=5×16-12=80-12=79.5.答案:C4.正项等比数列{a n }中,a 1a 5+2a 3a 7+a 5a 9=16,且a 5与a 9的等差中项为4,则{a n }的公比是( ) A .1 B .2 C.22D .2答案:D5.(2021·南宁统一考试)设{a n }是公比为q 的等比数列,则“q >1”是“{a n }为递增数列”的( ) A .充分不必要条件 B .必要不充分条件 C .充要条件D .既不充分也不必要条件解析:等比数列{a n }为递增数列的充要条件为⎩⎪⎨⎪⎧a 1>0,q >1,或⎩⎪⎨⎪⎧a 1<0,0<q <1.答案:D6.已知数列{a n }是各项均为正数的等比数列,S n 是其前n 项和,若S 2+a 2=S 3-3,则a 4+3a 2的最小值为( )A .12B .9C .16D .18解析:因为S 3-S 2=a 3,所以由S 2+a 2=S 3-3,得a 3-a 2=3,设等比数列{a n }的公比为q ,则a 1=3q q -1,由于{a n }的各项为正,所以q >1.a 4+3a 2=a 1q 3+3a 1q =a 1q (q 2+3)=3q q -1q (q 2+3)=3q 2+3q -1=3(q -1+4q -1+2)≥18,当且仅当q -1=2,即q =3时,a 3+3a 2取得最小值18.答案:D7.已知等比数列{a n }的前n 项和为S n (n ∈N *),若S 6S 3=65,则数列{a n }的公比为________.答案:48.(2021·安庆模拟)数列{a n }满足:a n +1=λa n -1(n ∈N *,λ∈R 且λ≠0),若数列{a n -1}是等比数列,则λ的值为________. 答案:29.已知等差数列{a n }的前n 项和为S n ,等比数列{b n }的前n 项和为T n ,a 1=-1,b 1=1,a 2+b 2=2.(1)若a 3+b 3=5,求{b n }的通项公式; (2)若T 3=21,求S 3.解析:设{a n }的公差为d ,{b n }的公比为q ,则a n =-1+(n -1)d ,b n =q n -1. 由a 2+b 2=2得d +q =3.① (1)由a 3+b 3=5得2d +q 2=6.②联立①和②解得⎩⎪⎨⎪⎧d =3,q =0(舍去),⎩⎪⎨⎪⎧d =1,q =2.因此{b n }的通项公式为b n =2n -1.(2)由b 1=1,T 3=21得q 2+q -20=0, 解得q =-5或q =4.当q =-5时,由①得d =8,则S 3=21. 当q =4时,由①得d =-1,则S 3=-6.10.已知数列{a n }的前n 项和为S n ,且S n =2a n -3n (n ∈N *). (1)求a 1,a 2,a 3的值;(2)是否存在常数λ,使得{a n +λ}为等比数列?若存在,求出λ的值和通项公式a n ;若不存在,请说明理由.解析:(1)当n =1时,S 1=a 1=2a 1-3,解得a 1=3, 当n =2时,S 2=a 1+a 2=2a 2-6,解得a 2=9, 当n =3时,S 3=a 1+a 2+a 3=2a 3-9,解得a 3=21.(2)假设{a n +λ}是等比数列,则(a 2+λ)2=(a 1+λ)·(a 3+λ), 即(9+λ)2=(3+λ)(21+λ),解得λ=3. 下面证明{a n +3}为等比数列:∵S n =2a n -3n ,∴S n +1=2a n +1-3n -3,∴a n +1=S n +1-S n =2a n +1-2a n -3,即2a n +3=a n+1,∴2(a n +3)=a n +1+3,∴a n +1+3a n +3=2,∴存在λ=3,使得数列{a n +3}是首项为a 1+3=6,公比为2的等比数列. ∴a n +3=6×2n -1,即a n =3(2n -1)(n ∈N *).[B 组 能力提升练]1.(多选题)如图,在每个小格中填上一个数,使得每一行的数依次成等差数列,每一列的数依次成等比数列,则( )A.x =1 C .z =3D .x +y +z =2解析:因为每一列成等比数列,所以第一列的第3,4,5个小格中的数分别是12,14,18,第三列的第3,4,5个小格中的数分别是1,12,14,所以x =1.又每一行成等差数列,所以y =14+3×12-142=58,z -18=2×18,所以z =38,所以x +y +z =2.故A ,D 正确;B ,C错误. 答案:AD2.已知等比数列{a n }满足a 4+a 6a 1+a 3=18,a 5=4,记等比数列{a n }的前n 项积为T n ,则当T n取最大值时,n =( ) A .4或5 B .5或6 C .6或7D .7或8答案:C3.已知正项等比数列{a n }满足a 2·a 27·a 2 020=16,则a 1·a 2·…·a 1 017=( ) A .41 017 B .21 017 C .41 018 D .21 018答案:B4.(多选题)已知数列{a n }是等差数列,{b n }是等比数列,a 1=1,b 1=2,a 2+b 2=7,a 3+b 3=13.记c n =⎩⎪⎨⎪⎧a n ,n 为奇数,b n ,n 为偶数,数列{c n }的前n 项和为S n ,则( ) A .a n =2n -1 B .b n =2nC .S 9=1 409D .S 2n =2n 2-n +43(4n-1)解析:设数列{a n }的公差为d ,数列{b n }的公比为q (q ≠0),依题意有⎩⎪⎨⎪⎧1+d +2q =7,1+2d +2q 2=13,得⎩⎪⎨⎪⎧d =2,q =2,故a n =2n -1,b n =2n ,故A ,B 正确;则c 2n -1=a 2n -1=4n -3,c 2n =b 2n =4n ,所以数列{c n }的前2n 项和S 2n =(a 1+a 3+…+a 2n -1)+(b 2+b 4+…+b 2n )=n 1+4n -32+41-4n 1-4=2n 2-n +43(4n -1),S 9=S 8+a 9=385,故C 错误,D 正确. 答案:ABD5.已知数列{a n }满足a 1=2且对任意的m ,n ∈N *,都有a m +na m=a n ,则数列{a n }的前n 项和S n =________. 答案:2n +1-26.(2021·黄冈模拟)已知正项等比数列{a n }的前n 项和为S n ,且a 1a 6=2a 3,a 4与2a 6的等差中项为32,则S 5=________.答案:317.(2021·山东德州模拟)给出以下三个条件:①数列{a n }是首项为2,满足S n +1=4S n +2的数列;②数列{a n }是首项为2,满足3S n =22n +1+λ(λ∈R )的数列; ③数列{a n }是首项为2,满足3S n =a n +1-2的数列.请从这三个条件中任选一个将下面的题目补充完整,并求解.设数列{a n }的前n 项和为S n ,a n 与S n 满足________,记数列b n =log 2a 1+log 2a 2+…+log 2a n ,c n =n 2+nb n b n +1,求数列{c n }的前n 项和T n .注:如果选择多个条件分别解答,则按第一个解答计分. 解析:选条件①.由已知S n +1=4S n +2,可得当n ≥2时,S n =4S n -1+2, 两式相减,得a n +1=4(S n -S n -1)=4a n ,即a n +1=4a n (n ≥2),当n =1时,S 2=4S 1+2,即2+a 2=4×2+2,解得a 2=8,满足a 2=4a 1, 故数列{a n }是以2为首项,4为公比的等比数列,所以a n =22n -1, 所以b n =log 2a 1+log 2a 2+…+log 2a n =1+3+…+(2n -1)=n 2,所以c n =n 2+n b n b n +1=n n +1n 2n +12=1n n +1=1n -1n +1. 故T n =c 1+c 2+…+c n =⎝ ⎛⎭⎪⎫1-12+⎝ ⎛⎭⎪⎫12-13+…+⎝ ⎛⎭⎪⎫1n -1n +1=1-1n +1=nn +1.选条件②.由已知3S n =22n +1+λ,可得当n ≥2时,3S n -1=22n -1+λ,两式相减,得3a n =22n +1-22n -1=3·22n -1,即a n =22n -1(n ≥2),当n =1时,a 1=2满足a n =22n -1,故数列{a n }是以2为首项,4为公比的等比数列,所以a n =22n -1. 以下同选条件①. 选条件③.由已知3S n =a n +1-2,可得当n ≥2时,3S n -1=a n -2, 两式相减,得3a n =a n +1-a n ,即a n +1=4a n (n ≥2),当n=1时,3a1=a2-2,又a1=2,所以a2=8,满足a2=4a1,故数列{a n}是以2为首项,4为公比的等比数列,所以a n=22n-1.以下同选条件①.[C组创新应用练]1.(多选题)设数列{a n}(n∈N*)是各项均为正数的等比数列,q是其公比,K n是其前n 项的积,且K5<K6,K6=K7>K8,则下列选项中正确的是( )A.0<q<1B.a7=1C.K9>K5D.K6与K7均为K n的最大值解析:若K6=K7,则a7=K7K6=1,故B正确;由K5<K6可得a6=K6K5>1,则q=a7a6∈(0,1),故A正确;由数列{a n}是各项为正数的等比数列且q∈(0,1),可得数列{a n}单调递减,则有K9<K5,故C错误;结合K5<K6,K6=K7>K8,可得D正确.答案:ABD2.(2021·湖南常德模拟)某地区发生流行性病毒感染,居住在该地区的居民必须服用一种药物预防.规定每人每天早晚八时各服一次,现知每次药量为220毫克,若人的肾脏每12小时从体内滤出这种药的60%.某人上午八时第一次服药,至第二天上午八时服完药时,这种药在他体内还残留( )A.220毫克B.308毫克C.123.2毫克D.343.2毫克解析:设第n次服药后,药在体内的残留量为a n毫克,则a1=220,a2=220+a1×(1-60%)=220×1.4=308,a3=220+a2×(1-60%)=343.2.答案:D3.设{a n}是各项为正数的无穷数列,A i是边长为a i,a i+1的矩形的面积(i=1,2,…),则{A n}为等比数列的充要条件是( )A.{a n}是等比数列B .a 1,a 3,…,a 2n -1,…或a 2,a 4,…,a 2n ,…是等比数列C .a 1,a 3,…,a 2n -1,…和a 2,a 4,…,a 2n ,…均是等比数列D .a 1,a 3,…,a 2n -1,…和a 2,a 4,…,a 2n ,…均是等比数列,且公比相同解析:∵A i =a i a i +1,若{A n }为等比数列,则A n +1A n =a n +1a n +2a n a n +1=a n +2a n 为常数,即A 2A 1=a 3a 1,A 3A 2=a 4a 2,….∴a 1,a 3,a 5,…,a 2n -1,…和a 2,a 4,…,a 2n ,…成等比数列,且公比相等.反之,若奇数项和偶数项分别成等比数列,且公比相等,设为q ,则A n +1A n =a n +2a n=q ,从而{A n }为等比数列. 答案:D。
第三节 等比数列及其前n 项和[考纲传真] 1.理解等比数列的概念.2.掌握等比数列的通项公式与前n 项和公式.3.能在具体的问题情境中识别数列的等比关系,并能用等比数列的有关知识解决相应的问题.4.了解等比数列与指数函数的关系.1.等比数列的有关概念(1)定义:如果一个数列从第2项起,每一项与它的前一项的比等于同一个常数(不为零),那么这个数列就叫做等比数列.这个常数叫做等比数列的公比,通常用字母q 表示,定义的表达式为a n +1a n=q(n ∈N *,q 为非零常数).(2)等比中项:如果a ,G ,b 成等比数列,那么G 叫做a 与b 的等比中项.即G 是a 与b 的等比中项⇒a ,G ,b 成等比数列⇒G 2=a b.2.等比数列的通项公式与前n 项和公式 (1)通项公式:a n =a 1q n -1. (2)前n 项和公式:3.等比数列的常用性质(1)通项公式的推广:a n =a m ·q n -m (n ,m ∈N *).(2)若m +n =p +q =2k (m ,n ,p ,q ,k ∈N *),则a m ·a n =a p ·a q =a 2k .(3)若数列{a n },{b n }(项数相同)是等比数列,则{λa n },⎩⎨⎧⎭⎬⎫1a n ,{a 2n },{a n ·b n },⎩⎨⎧⎭⎬⎫a n b n (λ≠0)仍然是等比数列.(4)在等比数列{a n }中,等距离取出若干项也构成一个等比数列,即a n ,a n +k ,a n +2k ,a n +3k ,…为等比数列,公比为q k .(5)当q ≠-1时,数列S m ,S 2m -S m ,S 3m -S 2m ,…成等比数列. [常用结论]1.“G 2=ab ”是“a ,G ,b 成等比数列”的必要不充分条件.2.若q ≠0,q ≠1,则S n =k -kq n (k ≠0)是数列{a n }成等比数列的充要条件,此时k =a 11-q. [基础自测]1.(思考辨析)判断下列结论的正误.(正确的打“√”,错误的打“×”) (1)满足a n +1=qa n (n ∈N *,q 为常数)的数列{a n }为等比数列. ( )(2)G 为a ,b 的等比中项⇔G 2=a b. ( )(3)若{a n }为等比数列,b n =a 2n -1+a 2n ,则数列{b n }也是等比数列.( ) (4)数列{a n }的通项公式是a n =a n,则其前n 项和为S n =a (1-a n )1-a. ( )[答案] (1)× (2)× (3)× (4)×2.(教材改编)等比数列{a n }中,a 3=12,a 4=18,则a 6等于( ) A .27 B .36C.812 D .54C [公比q =a 4a 3=1812=32,则a 6=a 4q 2=18×⎝ ⎛⎭⎪⎫322=812.]3.(教材改编)在9与243中间插入两个数,使它们同这两个数成等比数列,则这两个数为__________.27,81 [设该数列的公比为q ,由题意知, 243=9×q 3,q 3=27,∴q =3.∴插入的两个数分别为9×3=27,27×3=81.]4.在单调递减的等比数列{a n }中,若a 3=1,a 2+a 4=52,则a 1=________. 4 [由题意知⎩⎪⎨⎪⎧a 3=a 1q 2=1,a 2+a 4=a 1q +a 1q 3=52,消去a 1得1q +q =52, 解得q =12或q =2.又0<q <1,故q =12,此时a 1=4.]5.在数列{a n }中,a 1=2,a n +1=2a n ,S n 为{a n }的前n 项和.若S n =126,则n =__________.6 [∵a 1=2,a n +1=2a n ,∴数列{a n }是首项为2,公比为2的等比数列. 又∵S n =126,∴2(1-2n )1-2=126,解得n =6.]等比数列基本量的运算1.(2019·n S n ,若a 1=1,S 3=3a 3,则S 5=( )A .1B .5 C.3148 D.1116D [由S 3=3a 3得a 1+a 2=2a 3, ∴1+q =2q 2,解得q =-12或q =1(舍). ∴S 5=1-⎝ ⎛⎭⎪⎫-1251-⎝ ⎛⎭⎪⎫-12=23×3332=1116,故选D.]2.(2017·江苏高考)等比数列{a n }的各项均为实数,其前n 项和为S n .已知S 3=74,S 6=634,则a 8=________.32 [设{a n }的首项为a 1,公比为q ,则⎩⎪⎨⎪⎧a 1(1-q 3)1-q =74,a 1(1-q 6)1-q =634,解得⎩⎪⎨⎪⎧a 1=14,q =2,所以a 8=14×27=25=32.]3.(2018·全国卷Ⅲ)等比数列{a n }中,a 1=1,a 5=4a 3.(1)求{a n }的通项公式;(2)记S n 为{a n }的前n 项和.若S m =63,求m . [解] (1)设{a n }的公比为q ,由题设得a n =q n -1. 由已知得q 4=4q 2,解得q =0(舍去),q =-2或q =2. 故a n =(-2)n -1或a n =2n -1. (2)若a n =(-2)n -1,则S n =1-(-2)n3.由S m =63得(-2)m =-188,此方程没有正整数解. 若a n =2n -1,则S n =2n -1.由S m =63得2m =64,解得m =6. 综上,m =6.[规律方法] 解决等比数列有关问题的两种常用思想等比数列的判定与证明【例1】 (2018·全国卷Ⅰ)已知数列{a n }满足a 1=1,na n +1=2(n +1)a n .设b n =a nn . (1)求b 1,b 2,b 3;(2)判断数列{b n }是否为等比数列,并说明理由; (3)求{a n }的通项公式.[解] (1)由条件可得a n +1=2(n +1)n a n .将n =1代入得,a 2=4a 1,而a 1=1,所以,a 2=4. 将n =2代入得,a 3=3a 2,所以,a 3=12. 从而b 1=1,b 2=2,b 3=4.(2){b n }是首项为1,公比为2的等比数列.由条件可得a n +1n +1=2a nn ,即b n +1=2b n ,又b 1=1,所以{b n }是首项为1,公比为2的等比数列.(3)由(2)可得a nn =2n -1,所以a n =n ·2n -1.(等比中项法:若数列n n n (1)证明{a n }是等比数列,并求其通项公式; (2)若S 5=3132,求λ.[解] (1)证明:由题意得a 1=S 1=1+λa 1, 故λ≠1,a 1=11-λ,故a 1≠0. 由S n =1+λa n ,S n +1=1+λa n +1得a n +1=λa n +1-λa n , 即a n +1(λ-1)=λa n .由a 1≠0,λ≠0得a n ≠0,所以a n +1a n =λλ-1. 因此{a n }是首项为11-λ,公比为λλ-1的等比数列,于是a n =11-λ⎝ ⎛⎭⎪⎫λλ-1n -1.(2)由(1)得S n =1-⎝ ⎛⎭⎪⎫λλ-1n.由S 5=3132得1-⎝ ⎛⎭⎪⎫λλ-15=3132,即⎝ ⎛⎭⎪⎫λλ-15=132.解得λ=-1.等比数列性质的应用►考法1 【例2】 (1)若等比数列{a n }的各项均为正数,且a 10a 11+a 9a 12=2e 5,则ln a 1+ln a 2+…+ln a 20=________.(2)等比数列{a n }的前n 项和为S n ,若a n >0,q >1,a 3+a 5=20,a 2a 6=64,则S 5=________.(1)50 (2)31 [(1)因为a 10a 11+a 9a 12=2a 10a 11=2e 5,所以a 10a 11=e 5. 所以ln a 1+ln a 2+…+ln a 20 =ln(a 1a 2…a 20)=ln[(a 1a 20)·(a 2a 19)·…·(a 10a 11)] =ln(a 10a 11)10=10ln(a 10a 11) =10ln e 5=50ln e =50.(2)由等比数列的性质,得a 3a 5=a 2a 6=64,于是由⎩⎨⎧a 3+a 5=20,a 3a 5=64,且a n >0,q >1,得a 3=4,a 5=16,所以⎩⎨⎧ a 1q 2=4,a 1q 4=16,解得⎩⎨⎧a 1=1,q =2.所以S 5=1×(1-25)1-2=31.]►考法2 等比数列前n 项和的性质【例3】 (1)等比数列{a n }中,前n 项和为48,前2n 项和为60,则其前3n 项和为________.(2)数列{a n }是一个项数为偶数的等比数列,所有项之和是偶数项之和的4倍,前三项之积为64,则此数列的通项公式a n =________.(1)63 (2)12×⎝ ⎛⎭⎪⎫13n -1[(1)法一:设数列{a n }的前n 项和为S n .因为S 2n ≠2S n ,所以q ≠1,由前n 项和公式得⎩⎪⎨⎪⎧a 1(1-q n )1-q =48,①a 1(1-q 2n )1-q =60,②②÷①,得1+q n =54,所以q n =14.③ 将③代入①,得a 11-q=64. 所以S 3n =a 1(1-q 3n )1-q =64×⎝ ⎛⎭⎪⎫1-143=63.法二:设数列{a n }的前n 项和为S n , 因为{a n }为等比数列,所以S n ,S 2n -S n ,S 3n -S 2n 也成等比数列, 所以(S 2n -S n )2=S n (S 3n -S 2n ),即S 3n =(S 2n -S n )2Sn+S 2n =(60-48)248+60=63.法三:设数列{a n }的前n 项和为S n , 因为S 2n =S n +q n S n ,所以q n =S 2n -S n S n=14,所以S 3n =S 2n +q 2n S n =60+⎝ ⎛⎭⎪⎫142×48=63.(2)设此数列{a n }的公比为q ,由题意,知S 奇+S 偶=4S 偶,所以S 奇=3S 偶,所以q =S 偶S 奇=13.又a 1a 2a 3=64,即a 1(a 1q )(a 1q 2)=a 31q 3=64,所以a 1q =4.又q =13,所以a 1=12,所以a n =a 1q n -1=12×⎝ ⎛⎭⎪⎫13n -1.](1)已知等比数列{a n }的公比q >0,且a 5·a 7=4a 24,a 2=1,则a 1=( )A.12B.22C. 2 D .2(2)已知数列{a n }是等比数列,S n 为其前n 项和,若a 1+a 2+a 3=4,a 4+a 5+a 6=8,则S 12等于( )A .40B .60C .32D .50(1)B (2)B [(1) a 5·a 7=a 26=4a 24,∴a 6=2a 4,则a 6a 4=q 2=2.∴q =2,从而a 1=12=22,故选B. (2)S 12=(a 1+a 2+a 3)+(a 4+a 5+a 6)+(a 7+a 8+a 9)+(a 10+a 11+a 12)=4+8+16+32=60.]等差、等比数列的综合问题【例4】 (1)已知等比数列{a n }的各项都为正数,且a 3,12a 5,a 4成等差数列,则a 3+a 5a 4+a 6的值是( )A.5-12B.5+12C.3-52D.3+52A [设等比数列{a n }的公比为q ,由a 3,12a 5,a 4成等差数列可得a 5=a 3+a 4,即a 3q 2=a 3+a 3q ,故q 2-q -1=0,解得q =1+52或q =1-52(舍去),由a 3+a 5a 4+a 6=a 3+a 3q 2a 4+a 4q 2=a 3(1+q 2)a 4(1+q 2)=1q =25+1=2(5-1)(5+1)(5-1)=5-12,故选A.](2)(2018·北京高考)设{a n }是等差数列,且a 1=ln 2,a 2+a 3=5ln 2. ①求{a n }的通项公式; ②求e a 1+e a 2+…+e a n . [解] ①设{a n }的公差为d . 因为a 2+a 3=5ln 2, 所以2a 1+3d =5ln 2.又a 1=ln 2,所以d =ln 2. 所以a n =a 1+(n -1)d =n ln 2. ②因为e a 1=e ln 2=2,==e ln 2=2,所以数列{e a n }是首项为2,公比为2的等比数列. 所以e a 1+e a 2+…+e a n =2×1-2n1-2=2(2n -1).n 1248(1)求数列{a n }的通项公式;(2)设b n =2a n ,T n =b 1+b 2+…+b n ,求T n . [解] (1)设等差数列{a n }的公差为d ,则依题意 有⎩⎨⎧a 1=1,(a 1+3d )2=(a 1+d )(a 1+7d ), 解得d =1或d =0(舍去), ∴a n =1+(n -1)=n . (2)由(1)得a n =n , ∴b n =2n ,∴b n +1b n=2,∴{b n }是首项为2,公比为2的等比数列, ∴T n =2(1-2n )1-2=2n +1-2.1.(2015·全国卷Ⅱ)已知等比数列{a n }满足a 1=14,a 3a 5=4(a 4-1),则a 2=( ) A .2 B .1C.12D.18C [法一:∵a 3a 5=a 24,a 3a 5=4(a 4-1),∴a 24=4(a 4-1),∴a 24-4a 4+4=0,∴a 4=2.又∵q 3=a 4a 1=214=8, ∴q =2,∴a 2=a 1q =14×2=12,故选C.法二:∵a 3a 5=4(a 4-1),∴a 1q 2·a 1q 4=4(a 1q 3-1), 将a 1=14代入上式并整理,得q 6-16q 3+64=0, 解得q =2,∴a 2=a 1q =12,故选C.]2.(2014·全国卷Ⅱ)等差数列{a n }的公差为2,若a 2,a 4,a 8成等比数列,则{a n }的前n 项和S n =( )A .n (n +1)B .n (n -1) C.n (n +1)2D.n (n -1)2A [由a 2,a 4,a 8成等比数列,得a 24=a 2a 8,即(a 1+6)2=(a 1+2)(a 1+14),∴a 1=2.∴S n =2n +n (n -1)2×2=2n +n 2-n =n (n +1).]3.(2017·全国卷Ⅲ)设等比数列{a n }满足a 1+a 2=-1,a 1-a 3=-3,则a 4=________.-8 [设等比数列{a n }的公比为q , ∵a 1+a 2=-1,a 1-a 3=-3, ∴a 1(1+q )=-1, ① a 1(1-q 2)=-3.②②÷①,得1-q =3,∴q =-2. ∴a 1=1,∴a 4=a 1q 3=1×(-2)3=-8.]4.(2017·全国卷Ⅱ)已知等差数列{a n }的前n 项和为S n ,等比数列{b n }的前n 项和为T n ,a 1=-1,b 1=1,a 2+b 2=2.(1)若a 3+b 3=5,求{b n }的通项公式; (2)若T 3=21,求S 3.[解] 设{a n }的公差为d ,{b n }的公比为q , 则a n =-1+(n -1)d ,b n =q n -1.由a 2+b 2=2得d +q =3.①(1)由a 3+b 3=5得2d +q 2=6.②联立①和②解得⎩⎨⎧ d =3,q =0(舍去),⎩⎨⎧d =1,q =2.因此{b n }的通项公式为b n =2n -1.(2)由b 1=1,T 3=21得q 2+q -20=0.解得q =-5或q =4.当q =-5时,由①得d =8,则S 3=21.当q =4时,由①得d =-1,则S 3=-6.自我感悟:______________________________________________________ ________________________________________________________________ ________________________________________________________________。
第3节 等比数列及其前n 项和考试要求 1.理解等比数列的概念,掌握等比数列的通项公式与前n 项和公式;2.能在具体的问题情境中识别数列的等比关系,并能用有关知识解决相应的问题;3.体会等比数列与指数函数的关系.知 识 梳 理1.等比数列的概念(1)如果一个数列从第2项起,每一项与它的前一项的比等于同一个非零常数,那么这个数列叫做等比数列. 数学语言表达式:a na n -1=q (n ≥2,q 为非零常数). (2)如果三个数a ,G ,b 成等比数列,那么G 叫做a 与b 的等比中项,其中G =±ab . 2.等比数列的通项公式及前n 项和公式(1)若等比数列{a n }的首项为a 1,公比是q ,则其通项公式为a n =a 1q n -1;通项公式的推广:a n =a m qn -m.(2)等比数列的前n 项和公式:当q =1时,S n =na 1;当q ≠1时,S n =a 1(1-q n ) 1-q =a 1-a n q1-q.3.等比数列的性质已知{a n }是等比数列,S n 是数列{a n }的前n 项和.(1)若k +l =m +n (k ,l ,m ,n ∈N *),则有a k ·a l =a m ·a n . (2)相隔等距离的项组成的数列仍是等比数列,即a k ,a k +m ,a k +2m ,…仍是等比数列,公比为q m .(3)当q ≠-1,或q =-1且n 为奇数时,S n ,S 2n -S n ,S 3n -S 2n ,…仍成等比数列,其公比为q n .[微点提醒]1.若数列{a n }为等比数列,则数列{c ·a n }(c ≠0),{|a n |},{a 2n },⎩⎨⎧⎭⎬⎫1a n 也是等比数列.2.由a n +1=qa n ,q ≠0,并不能立即断言{a n }为等比数列,还要验证a 1≠0.3.在运用等比数列的前n 项和公式时,必须注意对q =1与q ≠1分类讨论,防止因忽略q =1这一特殊情形而导致解题失误.基 础 自 测1.判断下列结论正误(在括号内打“√”或“×”)(1)等比数列公比q 是一个常数,它可以是任意实数.( ) (2)三个数a ,b ,c 成等比数列的充要条件是b 2=ac .( )(3)数列{a n }的通项公式是a n =a n,则其前n 项和为S n =a (1-a n )1-a.( )(4)数列{a n }为等比数列,则S 4,S 8-S 4,S 12-S 8成等比数列.( ) 解析 (1)在等比数列中,q ≠0.(2)若a =0,b =0,c =0满足b 2=ac ,但a ,b ,c 不成等比数列. (3)当a =1时,S n =na .(4)若a 1=1,q =-1,则S 4=0,S 8-S 4=0,S 12-S 8=0,不成等比数列. 答案 (1)× (2)× (3)× (4)×2.(必修5P53A1(2)改编)已知{a n }是等比数列,a 2=2,a 5=14,则公比q 等于( )A.-12B.-2C.2D.12解析 由题意知q 3=a 5a 2=18,即q =12.答案 D3.(必修5P54A8改编)在9与243中间插入两个数,使它们同这两个数成等比数列,则这两个数为________.解析 设该数列的公比为q ,由题意知, 243=9×q 3,q 3=27,∴q =3.∴插入的两个数分别为9×3=27,27×3=81. 答案 27,814.(2019·天津和平区质检)已知等比数列{a n }满足a 1=1,a 3·a 5=4(a 4-1),则a 7的值为( ) A.2B.4C.92D.6解析 根据等比数列的性质得a 3a 5=a 24,∴a 24=4(a 4-1),即(a 4-2)2=0,解得a 4=2. 又∵a 1=1,a 1a 7=a 24=4,∴a 7=4. 答案 B5.(2018·北京卷)“十二平均律”是通用的音律体系,明代朱载堉最早用数学方法计算出半音比例,为这个理论的发展做出了重要贡献.十二平均律将一个纯八度音程分成十二份,依次得到十三个单音,从第二个单音起,每一个单音的频率与它的前一个单音的频率的比都等于122.若第一个单音的频率为f ,则第八个单音的频率为( )A.32f B.322f C.1225fD.1227f解析 由题意知十三个单音的频率依次构成首项为f ,公比为122的等比数列,设此数列为{a n },则a 8=1227f ,即第八个单音的频率为1227f . 答案 D6.(2015·全国Ⅰ卷)在数列{a n }中,a 1=2,a n +1=2a n ,S n 为{a n }的前n 项和.若S n =126,则n =________.解析 由a n +1=2a n ,知数列{a n }是以a 1=2为首项,公比q =2的等比数列,由S n =2(1-2n)1-2=126,解得n =6. 答案 6考点一 等比数列基本量的运算【例1】 (1)(2017·全国Ⅲ卷)设等比数列{a n }满足a 1+a 2=-1,a 1-a 3=-3,则a 4=________.(2)等比数列{a n }的各项均为实数,其前n 项和为S n ,已知S 3=74,S 6=634,则a 8=________.解析 (1)由{a n }为等比数列,设公比为q .由⎩⎪⎨⎪⎧a 1+a 2=-1,a 1-a 3=-3,得⎩⎪⎨⎪⎧a 1+a 1q =-1,①a 1-a 1q 2=-3,② 显然q ≠1,a 1≠0,②①得1-q =3,即q =-2,代入①式可得a 1=1, 所以a 4=a 1q 3=1×(-2)3=-8.(2)设数列{a n }首项为a 1,公比为q (q ≠1), 则⎩⎪⎨⎪⎧S 3=a 1(1-q 3)1-q =74,S 6=a 1(1-q 6)1-q =634,解得⎩⎪⎨⎪⎧a 1=14,q =2, 所以a 8=a 1q 7=14×27=32.答案 (1)-8 (2)32规律方法 1.等比数列基本量的运算是等比数列中的一类基本问题,等比数列中有五个量a 1,n ,q ,a n ,S n ,一般可以“知三求二”,通过列方程(组)便可迎刃而解.2.等比数列的前n 项和公式涉及对公比q 的分类讨论,当q =1时,{a n }的前n 项和S n =na 1;当q ≠1时,{a n }的前n 项和S n =a 1(1-q n )1-q =a 1-a n q 1-q.【训练1】 (1)等比数列{a n }中各项均为正数,S n 是其前n 项和,且满足2S 3=8a 1+3a 2,a 4=16,则S 4=( ) A.9B.15C.18D.30(2)(2017·北京卷)若等差数列{a n }和等比数列{b n }满足a 1=b 1=-1,a 4=b 4=8,则a 2b 2=________.解析 (1)设数列{a n }的公比为q (q >0),则⎩⎪⎨⎪⎧2S 3=2(a 1+a 1q +a 1q 2)=8a 1+3a 1q ,a 1q 3=16, 解得q =2,a 1=2,所以S 4=2(1-24)1-2=30.(2){a n }为等差数列,a 1=-1,a 4=8=a 1+3d =-1+3d ,∴d =3,∴a 2=a 1+d =-1+3=2.{b n }为等比数列,b 1=-1,b 4=8=b 1·q 3=-q 3,∴q =-2,∴b 2=b 1·q =2,则a 2b 2=22=1.答案 (1)D (2)1考点二 等比数列的判定与证明【例2】 已知数列{a n }的前n 项和S n =1+λa n ,其中λ≠0. (1)证明{a n }是等比数列,并求其通项公式; (2)若S 5=3132,求λ.(1)证明 由题意得a 1=S 1=1+λa 1,故λ≠1,a 1=11-λ,a 1≠0. 由S n =1+λa n ,S n +1=1+λa n +1, 得a n +1=λa n +1-λa n , 即a n +1(λ-1)=λa n , 由a 1≠0,λ≠0得a n ≠0,所以a n +1a n =λλ-1. 因此{a n }是首项为11-λ,公比为λλ-1的等比数列,于是a n =11-λ⎝ ⎛⎭⎪⎫λλ-1n -1.(2)解 由(1)得S n =1-⎝⎛⎭⎪⎫λλ-1n.由S 5=3132,得1-⎝ ⎛⎭⎪⎫λλ-15=3132,即⎝ ⎛⎭⎪⎫λλ-15=132. 解得λ=-1.规律方法 1.证明一个数列为等比数列常用定义法与等比中项法,其他方法只用于选择题、填空题中的判定;若证明某数列不是等比数列,则只要证明存在连续三项不成等比数列即可. 2.在利用递推关系判定等比数列时,要注意对n =1的情形进行验证.【训练2】 (2019·广东省级名校联考)已知S n 是数列{a n }的前n 项和,且满足S n -2a n =n -4.(1)证明:{S n -n +2}为等比数列; (2)求数列{S n }的前n 项和T n . (1)证明 因为a n =S n -S n -1(n ≥2), 所以S n -2(S n -S n -1)=n -4(n ≥2), 则S n =2S n -1-n +4(n ≥2),所以S n -n +2=2[S n -1-(n -1)+2](n ≥2), 又由题意知a 1-2a 1=-3, 所以a 1=3,则S 1-1+2=4,所以{S n -n +2}是首项为4,公比为2等比数列. (2)解 由(1)知S n -n +2=2n +1,所以S n =2n +1+n -2,于是T n =(22+23+…+2n +1)+(1+2+…+n )-2n=4(1-2n)1-2+n (n +1)2-2n =2n +3+n 2-3n -82.考点三 等比数列的性质及应用【例3】 (1)等比数列{a n }的各项均为正数,且a 5a 6+a 4a 7=18,则log 3a 1+log 3a 2+…+log 3a 10=( ) A.12B.10C.8D.2+log 35(2)已知数列{a n }是等比数列,S n 为其前n 项和,若a 1+a 2+a 3=4,a 4+a 5+a 6=8,则S 12=( ) A.40B.60C.32D.50解析 (1)由等比数列的性质知a 5a 6=a 4a 7,又a 5a 6+a 4a 7=18,所以a 5a 6=9,则原式=log 3(a 1a 2…a 10)=log 3(a 5a 6)5=10.(2)数列S 3,S 6-S 3,S 9-S 6,S 12-S 9是等比数列,即数列4,8,S 9-S 6,S 12-S 9是首项为4,公比为2的等比数列,则S 9-S 6=a 7+a 8+a 9=16,S 12-S 9=a 10+a 11+a 12=32,因此S 12=4+8+16+32=60. 答案 (1)B (2)B规律方法 1.在解决等比数列的有关问题时,要注意挖掘隐含条件,利用性质,特别是性质“若m +n =p +q ,则a m ·a n =a p ·a q ”,可以减少运算量,提高解题速度.2.在应用相应性质解题时,要注意性质成立的前提条件,有时需要进行适当变形.此外,解题时注意设而不求思想的运用.【训练3】 (1)(2019·菏泽质检)在等比数列{a n }中,若a 3,a 7是方程x 2+4x +2=0的两根,则a 5的值是( ) A.-2B.- 2C.± 2D. 2(2)(一题多解)设等比数列{a n }的前n 项和为S n ,若S 6S 3=3,则S 9S 6=________. 解析 (1)根据根与系数之间的关系得a 3+a 7=-4,a 3a 7=2,由a 3+a 7=-4<0,a 3a 7>0,所以a 3<0,a 7<0,即a 5<0, 由a 3a 7=a 25,得a 5=-a 3a 7=- 2.(2)法一 由等比数列的性质S 3,S 6-S 3,S 9-S 6仍成等比数列,由已知得S 6=3S 3, ∴S 6-S 3S 3=S 9-S 6S 6-S 3,即S 9-S 6=4S 3,S 9=7S 3,∴S 9S 6=73. 法二 因为{a n }为等比数列,由S 6S 3=3,设S 6=3a ,S 3=a (a ≠0),所以S 3,S 6-S 3,S 9-S 6为等比数列,即a ,2a ,S 9-S 6成等比数列,所以S 9-S 6=4a ,解得S 9=7a ,所以S 9S 6=7a 3a =73. 答案 (1)B (2)73[思维升华]1.等比数列基本量的运算是等比数列中的一类基本问题,数列中有五个量a 1,n ,q ,a n ,S n ,一般可以“知三求二”,通过列方程(组)便可迎刃而解.2.(1)方程思想:如求等比数列中的基本量.(2)分类讨论思想:如求和时要分q =1和q ≠1两种情况讨论,判断单调性时对a 1与q 分类讨论. [易错防范]1.特别注意q =1时,S n =na 1这一特殊情况.2.S n ,S 2n -S n ,S 3n -S 2n 未必成等比数列(例如:当公比q =-1且n 为偶数时,S n ,S 2n -S n ,S 3n -S 2n 不成等比数列;当q ≠-1或q =-1时且n 为奇数时,S n ,S 2n -S n ,S 3n -S 2n 成等比数列),但等式(S 2n -S n )2=S n ·(S 3n -S 2n )总成立.数学运算——等差(比)数列性质的应用1.数学运算是指在明析运算对象的基础上,依据运算法则解决数学问题的素养.本系列数学运算主要表现为:理解数列问题,掌握数列运算法则,探究运算思路,求得运算结果.通过对数列性质的学习,发展数学运算能力,促进数学思维发展.2.数学抽象是指能够在熟悉的情境中直接抽象出数学概念和规则,能够在特例的基础上归纳形成简单的数学命题,能够在解决相似的问题中感悟数学的通性通法,体会其中的数学思想. 类型1 等差数列两个性质的应用 在等差数列{a n }中,S n 为{a n }的前n 项和: (1)S 2n -1=(2n -1)a n ;(2)设{a n }的项数为2n ,公差为d ,则S 偶-S 奇=nd .【例1】 (1)等差数列{a n }的前n 项和为S n ,已知a m -1+a m +1-a 2m =0,S 2m -1=38,则m =________. (2)一个等差数列的前12项和为354,前12项中偶数项的和与奇数项的和的比为32∶27,则数列的公差d =________.解析 (1)由a m -1+a m +1-a 2m =0得2a m -a 2m =0,解得a m =0或2. 又S 2m -1=(2m -1)(a 1+a 2m -1)2=(2m -1)a m =38,显然可得a m ≠0,所以a m =2.代入上式可得2m -1=19,解得m =10.(2)设等差数列的前12项中奇数项和为S 奇,偶数项的和为S 偶,等差数列的公差为d . 由已知条件,得⎩⎪⎨⎪⎧S 奇+S 偶=354,S 偶∶S 奇=32∶27,解得⎩⎪⎨⎪⎧S 偶=192,S 奇=162.又S 偶-S 奇=6d ,所以d =192-1626=5.答案 (1)10 (2)5类型2 等比数列两个性质的应用在等比数列{a n }中,(1)若m +n =p +q (m ,n ,p ,q ∈N *),则a n ·a m =a p ·a q ;(2)当公比q ≠-1时,S n ,S 2n -S n ,S 3n -S 2n ,…成等比数列(n ∈N *).【例2】 (1)等比数列{a n }中,a 4=2,a 5=5,则数列{lg a n }的前8项和等于( ) A.6B.5C.4D.3(2)设等比数列{a n }中,前n 项和为S n ,已知S 3=8,S 6=7,则a 7+a 8+a 9等于( ) A.18B.-18C.578D.558解析 (1)数列{lg a n }的前8项和S 8=lg a 1+lg a 2+…+lg a 8=lg(a 1·a 2·…·a 8)=lg(a 1·a 8)4=lg(a 4·a 5)4=lg(2×5)4=4.(2)因为a 7+a 8+a 9=S 9-S 6,且S 3,S 6-S 3,S 9-S 6也成等比数列,即8,-1,S 9-S 6成等比数列,所以8(S 9-S 6)=1,即S 9-S 6=18,所以a 7+a 8+a9=18.答案 (1)C (2)A类型3 等比数列前n 项和S n 相关结论的活用(1)项的个数的“奇偶”性质:等比数列{a n }中,公比为q . 若共有2n 项,则S 偶∶S 奇=q .(2)分段求和:S n +m =S n +q nS m (q 为公比).【例3】 (1)已知等比数列{a n }共有2n 项,其和为-240,且奇数项的和比偶数项的和大80,则公比q =________.(2)已知{a n }是首项为1的等比数列,S n 是{a n }的前n 项和,且9S 3=S 6,则数列⎩⎨⎧⎭⎬⎫1a n 的前5项和为________.解析 (1)由题意,得⎩⎪⎨⎪⎧S 奇+S 偶=-240,S 奇-S 偶=80,解得⎩⎪⎨⎪⎧S 奇=-80,S 偶=-160, 所以q =S 偶S 奇=-160-80=2. (2)设等比数列{a n }的公比q ,易知S 3≠0. 则S 6=S 3+S 3q 3=9S 3,所以q 3=8,q =2.所以数列⎩⎨⎧⎭⎬⎫1a n 是首项为1,公比为12的等比数列,其前5项和为1-⎝ ⎛⎭⎪⎫1251-12=3116. 答案 (1)2 (2)3116基础巩固题组 (建议用时:40分钟)一、选择题1.公比不为1的等比数列{a n }满足a 5a 6+a 4a 7=18,若a 1a m =9,则m 的值为( ) A.8B.9C.10D.11解析 由题意得,2a 5a 6=18,a 5a 6=9,∴a 1a m =a 5a 6=9, ∴m =10. 答案 C2.已知各项均为正数的等比数列{a n }中,a 4与a 14的等比中项为22,则2a 7+a 11的最小值为( ) A.16B.8C.2 2D.4解析 因为a 4与a 14的等比中项为22, 所以a 4·a 14=a 7·a 11=(22)2=8, 所以2a 7+a 11≥22a 7a 11=22×8=8, 所以2a 7+a 11的最小值为8. 答案 B3.(2019·上海崇明区模拟)已知公比q ≠1的等比数列{a n }的前n 项和为S n ,a 1=1,S 3=3a 3,则S 5=( ) A.1B.5C.3148D.1116解析 由题意得a 1(1-q 3)1-q =3a 1q 2,解得q =-12或q =1(舍),所以S 5=a 1(1-q 5)1-q=1-⎝ ⎛⎭⎪⎫-1251-⎝ ⎛⎭⎪⎫-12=1116. 答案 D4.(2017·全国Ⅱ卷)我国古代数学名著《算法统宗》中有如下问题:“远望巍巍塔七层,红光点点倍加增,共灯三百八十一,请问尖头几盏灯?”意思是:一座7层塔共挂了381盏灯,且相邻两层中的下一层灯数是上一层灯数的2倍,则塔的顶层共有灯( ) A.1盏B.3盏C.5盏D.9盏解析 设塔的顶层的灯数为a 1,七层塔的总灯数为S 7,公比为q ,则依题意S 7=381,公比q =2.∴a 1(1-27)1-2=381,解得a 1=3.答案 B5.(2019·深圳一模)已知等比数列{a n }的前n 项和S n =a ·3n -1+b ,则ab=( )A.-3B.-1C.1D.3解析 ∵等比数列{a n }的前n 项和S n =a ·3n -1+b ,∴a 1=S 1=a +b ,a 2=S 2-S 1=3a +b -a -b =2a ,a 3=S 3-S 2=9a +b -3a -b =6a ,∵等比数列{a n }中,a 22=a 1a 3, ∴(2a )2=(a +b )×6a ,解得a b=-3.答案 A 二、填空题6.等比数列{a n }中,各项都是正数,且a 1,12a 3,2a 2成等差数列,则a 13+a 14a 14+a 15=________.解析 设{a n }的公比为q .由题意得a 1+2a 2=a 3,则a 1(1+2q )=a 1q 2,q 2-2q -1=0,所以q =1+2(舍负). 则a 13+a 14a 14+a 15=1q=2-1.答案2-17.已知数列{a n }的前n 项和为S n ,且满足a n +S n =1(n ∈N *),则通项a n =________. 解析 ∵a n +S n =1,①∴a 1=12,a n -1+S n -1=1(n ≥2),②由①-②,得a n -a n -1+a n =0,即a n a n -1=12(n ≥2), ∴数列{a n }是首项为12,公比为12的等比数列,则a n =12×⎝ ⎛⎭⎪⎫12n -1=12n . 答案12n 8.(2018·南京模拟)已知数列{a n }中,a 1=2,且a 2n +1a n =4(a n +1-a n )(n ∈N *),则其前9项的和S 9=________.解析 由a 2n +1a n=4(a n +1-a n )得,a 2n +1-4a n +1a n +4a 2n =0,∴(a n +1-2a n )2=0,a n +1a n =2,∴数列{a n }是首项a 1=2,公比为2的等比数列,∴S 9=2(1-29)1-2=1 022. 答案 1 022 三、解答题9.(2018·全国Ⅲ卷)等比数列{a n }中,a 1=1,a 5=4a 3. (1)求{a n }的通项公式;(2)记S n 为{a n }的前n 项和.若S m =63,求m . 解 (1)设{a n }的公比为q ,由题设得a n =qn -1.由已知得q 4=4q 2,解得q =0(舍去),q =-2或q =2.故a n =(-2)n -1或a n =2n -1.(2)若a n =(-2)n -1,则S n =1-(-2)n3.由S m =63得(-2)m=-188,此方程没有正整数解. 若a n =2n -1,则S n =2n-1.由S m =63得2m=64,解得m =6. 综上,m =6.10.已知数列{a n }中,点(a n ,a n +1)在直线y =x +2上,且首项a 1=1. (1)求数列{a n }的通项公式;(2)数列{a n }的前n 项和为S n ,等比数列{b n }中,b 1=a 1,b 2=a 2,数列{b n }的前n 项和为T n ,请写出适合条件T n ≤S n 的所有n 的值. 解 (1)根据已知a 1=1,a n +1=a n +2, 即a n +1-a n =2=d ,所以数列{a n }是一个首项为1,公差为2的等差数列,a n =a 1+(n -1)d =2n -1.(2)数列{a n }的前n 项和S n =n 2.等比数列{b n }中,b 1=a 1=1,b 2=a 2=3, 所以q =3,b n =3n -1.数列{b n }的前n 项和T n =1-3n1-3=3n-12.T n ≤S n 即3n-12≤n 2,又n ∈N *,所以n =1或2.能力提升题组 (建议用时:20分钟)11.已知等比数列{a n }的各项均为正数且公比大于1,前n 项积为T n ,且a 2a 4=a 3,则使得T 1>1的n 的最小值为( ) A.4B.5C.6D.7解析 ∵{a n }是各项均为正数的等比数列,且a 2a 4=a 3,∴a 23=a 3,∴a 3=1.又∵q >1,∴a 1<a 2<1,a n >1(n >3),∴T n >T n -1(n ≥4,n ∈N *),T 1<1,T 2=a 1·a 2<1,T 3=a 1·a 2·a 3=a 1a 2=T 2<1,T 4=a 1a 2a 3a 4=a 1<1,T 5=a 1·a 2·a 3·a 4·a 5=a 53=1,T 6=T 5·a 6=a 6>1,故n 的最小值为6.答案 C12.数列{a n }中,已知对任意n ∈N *,a 1+a 2+a 3+…+a n =3n -1,则a 21+a 22+a 23+…+a 2n 等于( ) A.(3n-1)2B.12(9n-1)C.9n-1D.14(3n-1) 解析 ∵a 1+a 2+…+a n =3n-1,n ∈N *,n ≥2时,a 1+a 2+…+a n -1=3n -1-1,∴当n ≥2时,a n =3n-3n -1=2·3n -1,又n =1时,a 1=2适合上式,∴a n =2·3n -1,故数列{a 2n }是首项为4,公比为9的等比数列. 因此a 21+a 22+…+a 2n =4(1-9n)1-9=12(9n-1).答案 B13.(2019·华大新高考联盟质检)设等比数列{a n }的前n 项和为S n ,若a 3a 11=2a 25,且S 4+S 12=λS 8,则λ=______.解析 ∵{a n }是等比数列,a 3a 11=2a 25, ∴a 27=2a 25,∴q 4=2,∵S 4+S 12=λS 8,∴a 1(1-q 4)1-q +a 1(1-q 12)1-q =λa 1(1-q 8)1-q,∴1-q 4+1-q 12=λ(1-q 8), 将q 4=2代入计算可得λ=83.答案 8314.已知数列{a n }满足a 1=1,a n +1=2a n +λ(λ为常数). (1)试探究数列{a n +λ}是不是等比数列,并求a n ; (2)当λ=1时,求数列{n (a n +λ)}的前n 项和T n . 解 (1)因为a n +1=2a n +λ,所以a n +1+λ=2(a n +λ). 又a 1=1,所以当λ=-1时,a 1+λ=0,数列{a n +λ}不是等比数列, 此时a n +λ=a n -1=0,即a n =1;当λ≠-1时,a 1+λ≠0,所以a n +λ≠0,所以数列{a n +λ}是以1+λ为首项,2为公比的等比数列, 此时a n +λ=(1+λ)2n -1,即a n =(1+λ)2n -1-λ.(2)由(1)知a n =2n-1,所以n (a n +1)=n ×2n,T n =2+2×22+3×23+…+n ×2n ,①2T n =22+2×23+3×24+…+n ×2n +1,②①-②得:-T n =2+22+23+ (2)-n ×2n +1=2(1-2n)1-2-n ×2n +1=2n +1-2-n ×2n +1=(1-n )2n +1-2.所以T n=(n-1)2n+1+2.新高考创新预测15.(创新思维)已知a1,a2,a3,a4成等比数列,且a1+a2+a3+a4=e a1+a2+a3.若a1>1,则下列选项可能成立的是( )A.a1<a2<a3<a4B.a1=a2=a3=a4C.a1>a2>a3>a4D.以上结论都有可能成立解析构造函数f(x)=e x-x-1,f′(x)=e x-1=0,x=0,得极小值f(0)=0,故f(x)≥0,即e x≥x+1恒成立(x=0取等号).a1+a2+a3+a4=e a1+a2+a3>a1+a2+a3+1⇒a4>1⇒q>0,且a2>1,a3>1,若公比q∈(0,1],则4a1≥a1+a2+a3+a4=e a1+a2+a3>e2+a1>7e a1>7a1+7>4a1,产生矛盾.所以公比q>1,故a1<a2<a3<a4.故选A.答案 A。
课时作业1.(2022·三明月考)若S n为数列{a n}的前n项和,且S n=2a n-2,则S8等于( ) A.255 B.256C.510 D.511【解析】 当n=1时,a1=2a1-2,据此可得:a1=2,当n≥2时:S n=2a n-2,S n-1=2a n-1-2,两式作差可得:a n=2a n-2a n-1,则:a n=2a n-1,据此可得数列{a n}是首项为2,公比为2的等比数列,其前8项和为:S8=2×(1-28)1-2=29-2=512-2=510.故选C.【答案】 C2.等比数列{a n}中,其公比q<0,且a2=1-a1,a4=4-a3,则a4+a5等于( ) A.8 B.-8C.16 D.-16【解析】 q2=a3+a4a1+a2=4,q=-2.a4+a5=(a3+a4)q=-8.【答案】 B3.(2022·湛江二模)已知递增的等比数列{a n}中,a2=6,a1+1、a2+2、a3成等差数列,则该数列的前6项和S6=( )A.93 B.189C.18916D.378【解析】 设数列的公比为q,由题意可知:q>1,且:2(a2+2)=a1+1+a3,即:2×(6+2)=6q+1+6q,整理可得:2q2-5q+2=0,则q=2,(q=12舍去).则:a1=62=3,该数列的前6项和S6=3×(1-26)1-2=189.故选B.【答案】 B4.(2022·贵阳一中模拟考试)已知各项均为正数的等比数列{a n},前3项和为13,a3=a2·a4,则a4=( )A.13B.19C.1 D.3 【解析】 ∵a3=a2a4,又a n>0,∴a3=1,S3=a3q2+a3q+1=13,又q>0,∴q=13,∴a4=a3q=13,【答案】 A5.(2022·贵州模拟)已知等比数列{a n}的前n项和为S n,若a2=32,S3=214,则数列{a n}的公比为( )A.2或12B.-2或-12C.-12或2 D.12或-2【解析】 设等比数列{a n}的公比为q,则a2=a1q=32,S3=a1(1+q+q2)=214,两式相除得(1+q+q2)q=72,即2q2-5q+2=0,解得q=12或2.故选A.【答案】 A6.(2022·安徽淮北模拟)5个数依次组成等比数列,且公比为-2,则其中奇数项和与偶数项和的比值为( )A.-2120B.-2C.-2110D.-215【解析】 由题意可知设这5个数分别为a,-2a,4a,-8a,16a,a≠0,故奇数项和与偶数项和的比值为a+4a+16a-2a-8a=-2110.【答案】 C7.(2022·大庆二模)已知各项均不为0的等差数列{a n},满足2a3-a27+2a11=0,数列{b n}为等比数列,且b7=a7,则b1·b13=( )A.16 B.8C.4 D.2【解析】 各项均不为0的等差数列{a n},2a3-a27+2a11=0∴4a7-a27=0,∴a7=4b1·b13=b27=a27=16.故选A【答案】 A8.(2022·山西晋中一模)已知等比数列{a n}的各项均为正数,且2a1+3a2=16,2a2+a3=a4,则log2a1+log2a2+log2a3+…+log2a100等于( )A.11 000 B.5 050C.5 000 D.10 000【解析】 设等比数列{a n}的公比为q,因为等比数列{a n}的各项均为正数,所以q>0,因为2a2+a3=a4,所以2a2+a2q=a2q2,即q2-q-2=0,解得q=2或q=-1(舍去),因为2a1+3a2=16,即2a1+3a1q=16,解得a1=2,所以通项公式为a n=a1q n-1=2×2n-1=2n,所以log2a n=log22n=n,所以log2a1+log2a2+log2a3+…+log2a100=1+2+3+…+100=(1+100)×1002=5050.故选B.【答案】 B9.(多选)(2022·广东肇庆模拟)已知数列{a n}是等比数列,公比为q,前n项和为S n,下列判断错误的有( )A.{1a n}为等比数列B.{log2a n}为等差数列C.{a n+a n+1}为等比数列D.若S n=3n-1+r,则r=-1 3【解析】 令b n=1a n,则b n+1b n=a na n+1=1q(n∈N+),所以{1a n}是等比数列,选项A正确;若a n<0,则log2a n无意义,所以选项B错误;当q =-1时,a n +a n +1=0,此时{a n +a n +1}不是等比数列,所以选项C 错误;若S n =3n -1+r ,则a 1=S 1=1+r ,a 2=S 2-S 1=3+r -(1+r )=2, a 3=S 3-S 2=9+r -(3+r )=6, 由{a n }是等比数列,得a 2=a 1a 3,即4=6(1+r ),解得r =-13,所以选项D 正确.故选BC .【答案】 BC10.(多选)(2022·浙江镇海中学模拟)设{a n }为等比数列,设S n 和T n 分别为{a n }的前n 项和与前n 项积,则下列选项正确的是( )A .若S 2023≥S 2 022,则{S n }不一定是递增数列B .若T 2 024≥T 2 023,则{T n }不一定是递增数列C .若{S n }为递增数列,则可能存在a 2 022<a 2 021D .若{T n }是递增数列,则a 2 022>a 2 021一定成立【解析】 对于选项A ,当{a n }为:1,-1,1,-1,1,-1,1,-1,…,时,S 2 023=1,S 2 022=0,S 2 021=1,满足S 2 023≥S 2 022,但S 2 021>S 2 022, 所以{S n }不是递增数列,故选项A 正确;对于选项B ,当{a n }为:1,-1,1,-1,1,-1,1,-1,…,时,T 2 023=-1,T 2 024=1,T 2 026=-1,满足T 2 024≥T 2 023,但{T n }不是递增数列,故选项B 正确;对于选项C ,当{a n }为:1,12,14,18,…,时,S n =1-12n1-12=2(1-12n ),满足{S n }为递增数列,此时a 2 022=122 021<a 2 021=122 020,故选项C 正确; 对于选项D ,当{a n }为:2,2,2,…,时, T n =2n ,满足{T n }是递增数列,但是a 2 022=a 2 021=2,故选项D 不正确. 【答案】 ABC11.(2022·北京海淀高三上期末)设等比数列{a n }的前n 项和为S n .若-S 1、S 2、a 3 成等差数列,则数列{a n }的公比为________.【解析】 设等比数列{a n }的公比为q ,因为等比数列{a n }的前n 项和为S n ,-S 1、S 2、a 3成等差数列,所以2S 2=-S 1+a 3,则2(a 1+a 2)=-a 1+a 3,因此3a 1+2a 2=a 3,所以q 2-2q -3=0,解得q =3或q =-1. 【答案】 3或-112.(2022·新乡三模)已知等比数列{a n }的前n 项和为S n ,且S 3S 6=89,则a n +1a n -a n -1=________(n ≥2,且n ∈N ).【解析】 很明显等比数列的公比q ≠1,则由题意可得:S 3S 6=a 1(1-q 3)1-qa 1(1-q 6)1-q=11+q 3=89,解得:q =12,则:a n +1a n -a n -1=a n -1q 2a n -1q -a n -1=q 2q -1=1412-1=-12.【答案】 -1213.(2022·石家庄二模)已知前n 项和为S n 的等比数列{a n }中,8a 2=a 3a 4,S 5=a 6-4. (1)求数列{a n }的通项公式; (2)求证:14≤1a 1+1a 2+…+1a n <12.【解】 (1)设等比数列{a n }的公比为q ,首项为a 1, 由8a 2=a 3a 4有q 3=a 3a 4a=8,可得q =2, 又由S 5=a 6-4,有a 1(1-25)1-2=32a 1-4,解得a 1=4,有a n =4×2n -1=2n +1.故数列{a n }的通项公式为a n =2n +1. (2)证明:由1an =(12)n +1,可得1a1+1a2+…+1a n=14[1-(12)n]1-12=12-12n+1,又n∈N*,所以12-12n+1<12;而12-12n+1显然随n的增大而增大,所以12-12n+1≥14,因此14≤1a1+1a2+…+1a n<12.14.(2022·威海市高三模拟)已知正项等差数列{a n}的前n项和为S n,若S3=12,且2a1,a2,a3+1成等比数列.(1)求{a n}的通项公式;(2)设b n=a n3n,记数列{b n}的前n项和为T n,求T n.【解】 (1)∵S3=12,即a1+a2+a3=12,∴3a2=12,所以a2=4.又∵2a1,a2,a3+1成等比数列,∴a2=2a1·(a3+1),即a2=2(a2-d)·(a2+d+1),解得,d=3或d=-4(舍去),∴a1=a2-d=1,故a n=3n-2.(2)b n=a n3n=3n-23n=(3n-2)·13n,∴T n=1×13+4×132+7×133+…+(3n-2)×13n,①①×13得13T n=1×132+4×133+7×134+…+(3n-5)×13n+(3n-2)×13n+1.②①-②得2 3 T n=13+3×132+3×133+3×134+ (3)13n-(3n-2)×13n+1=13+3×132(1-13n-1)1-13-(3n-2)×13n+1=56-12×13n-1-(3n-2)×13n+1,∴T n=54-14×13n-2-3n-22×13n=54-6n+54×13n.。
2019-2020年高考数学一轮总复习第五章数列5.3等比数列及其前n 项和课时跟踪检测理[课 时 跟 踪 检 测][基 础 达 标]1.已知数列{a n }为等比数列,若a 4+a 6=10,则a 7(a 1+2a 3)+a 3a 9的值为( ) A .10 B .20 C .100D .200解析:a 7(a 1+2a 3)+a 3a 9=a 7a 1+2a 7a 3+a 3a 9=a 24+2a 4a 6+a 26=(a 4+a 6)2=102=100. 答案:C2.设等比数列{a n }中,前n 项和为S n ,已知S 3=8,S 6=7,则a 7+a 8+a 9等于( ) A.18 B .-18C.578D .558解析:因为a 7+a 8+a 9=S 9-S 6,且S 3,S 6-S 3,S 9-S 6也成等比数列,即8,-1,S 9-S 6成等比数列,所以8(S 9-S 6)=1,即S 9-S 6=18.所以a 7+a 8+a 9=18.答案:A3.已知数列{a n }满足log 3a n +1=log 3a n +1(n ∈N *),且a 2+a 4+a 6=9,则log 13(a 5+a 7+a 9)的值是( )A .-5B .-15C .5D .15解析:∵log 3a n +1=log 3a n +1,∴a n +1=3a n . ∴数列{a n }是公比q =3的等比数列. ∵a 5+a 7+a 9=q 3(a 2+a 4+a 6),∴log 13(a 5+a 7+a 9)=log 13(9×33)=log 1335=-5.答案:A4.(xx 届太原一模)在单调递减的等比数列{a n }中,若a 3=1,a 2+a 4=52,则a 1=( )A .2B .4 C. 2D .2 2解析:在等比数列{a n }中,a 2a 4=a 23=1,又a 2+a 4=52,数列{a n }为递减数列,所以a 2=2,a 4=12,所以q 2=a 4a 2=14,所以q =12,a 1=a 2q=4.答案:B5.(xx 届莱芜模拟)已知数列{a n },{b n }满足a 1=b 1=3,a n +1-a n =b n +1b n=3,n ∈N *,若数列{c n }满足c n =ba n ,则c 2 017=( )A .92 016B .272 016C .92 017D .272 017解析:由已知条件知{a n }是首项为3,公差为3的等差数列,数列{b n }是首项为3,公比为3的等比数列,所以a n =3n ,b n =3n. 又c n =ba n =33n, 所以c 2 017=33×2 017=272 017.答案:D6.(xx 届海口市调研测试)设S n 为等比数列{a n }的前n 项和,a 2-8a 5=0,则S 8S 4的值为( )A.12 B .1716 C .2D .17解析:设{a n }的公比为q ,依题意得a 5a 2=18=q 3,因此q =12.注意到a 5+a 6+a 7+a 8=q 4(a 1+a 2+a 3+a 4),即有S 8-S 4=q 4S 4,因此S 8=(q 4+1)S 4,S 8S 4=q 4+1=1716,选B.答案:B7.(xx 届衡阳模拟)在等比数列{a n }中,a 1=2,前n 项和为S n ,若数列{a n +1}也是等比数列,则S n =( )A .2n +1-2 B .3n C .2nD .3n-1解析:因为数列{a n }为等比数列,a 1=2,设其公比为q ,则a n =2qn -1,因为数列{a n +1}也是等比数列,所以(a n +1+1)2=(a n +1)(a n +2+1)⇒a 2n +1+2a n +1=a n a n +2+a n +a n +2⇒a n +a n+2=2a n +1⇒a n (1+q 2-2q )=0⇒q =1,即a n =2,所以S n =2n ,故选C.答案:C8.(xx 届广州市五校联考)已知数列{a n }的首项a 1=2,数列{b n }为等比数列,且b n =a n +1a n,若b 10b 11=2,则a 21=( )A .29B .210C .211D .212解析:由b n =a n +1a n ,且a 1=2,得b 1=a 2a 1=a 22,a 2=2b 1;b 2=a 3a 2,a 3=a 2b 2=2b 1b 2;b 3=a 4a 3,a 4=a 3b 3=2b 1b 2b 3;…;a n =2b 1b 2b 3…b n -1,所以a 21=2b 1b 2b 3…b 20,又{b n }为等比数列,所以a 21=2(b 1b 20)(b 2b 19)…(b 10b 11)=2(b 10b 11)10=211. 答案:C9.由正数组成的等比数列{a n }满足a 3a 8=32,则log 2a 1+log 2a 2+…+log 2a 10=________. 解析:log 2a 1+log 2a 2+…+log 2a 10=log 2(a 1a 10)·(a 2a 9)·…·(a 5a 6)=log 2(a 3a 8)5=log 2225=25.答案:2510.设S n 为等比数列{a n }的前n 项和.若a 1=1,且3S 1,2S 2,S 3成等差数列,则a n =________. 解析:因为3S 1,2S 2,S 3成等差数列,所以4S 2=3S 1+S 3,即4(a 1+a 2)=3a 1+a 1+a 2+a 3.化简得a 3a 2=3,即等比数列{a n }的公比q =3,故a n =1×3n -1=3n -1.答案:3n -111.(xx 届南昌模拟)已知公比不为1的等比数列{a n }的首项a 1=12,前n 项和为S n ,且a 4+S 4,a 5+S 5,a 6+S 6成等差数列.(1)求等比数列{a n }的通项公式;(2)对n ∈N *,在a n 与a n +1之间插入3n 个数,使这3n+2个数成等差数列,记插入的这3n个数的和为b n ,求数列{b n }的前n 项和T n .解:(1)因为a 4+S 4,a 5+S 5,a 6+S 6成等差数列, 所以a 5+S 5-a 4-S 4=a 6+S 6-a 5-S 5, 即2a 6-3a 5+a 4=0, 所以2q 2-3q +1=0, 因为q ≠1, 所以q =12,所以等比数列{a n }的通项公式为a n =12n .(2)b n =a n +a n +12·3n=34⎝ ⎛⎭⎪⎫32n ,T n =34×32-⎝ ⎛⎭⎪⎫32n +11-32=94⎣⎢⎡⎦⎥⎤⎝ ⎛⎭⎪⎫32n -1.12.设数列{a n }的前n 项和为S n (n ∈N *).已知a 1=1,a 2=32,a 3=54,且当n ≥2时,4S n+2+5S n =8S n +1+S n -1. (1)求a 4的值;(2)证明:⎩⎨⎧⎭⎬⎫a n +1-12a n 为等比数列.解:(1)当n =2时,4S 4+5S 2=8S 3+S 1,即4⎝ ⎛⎭⎪⎫1+32+54+a 4+5⎝ ⎛⎭⎪⎫1+32=81+32+54+1,解得a 4=78.(2)证明:由4S n +2+5S n =8S n +1+S n -1(n ≥2), 得4S n +2-4S n +1+S n -S n -1=4S n +1-4S n (n ≥2), 即4a n +2+a n =4a n +1(n ≥2).∵4a 3+a 1=4×54+1=6=4a 2符合上式,∴4a n +2+a n =4a n +1(n ≥1), ∴a n +2-12a n +1a n +1-12a n=4a n +2-2a n +14a n +1-2a n=4a n +1-a n -2a n +14a n +1-2a n =2a n +1-a n 22a n +1-a n =12,∴数列⎩⎨⎧⎭⎬⎫a n +1-12a n 是以a 2-12a 1=1为首项,12为公比的等比数列.[能 力 提 升]1.若{a n }是正项递增等比数列,T n 表示其前n 项之积,且T 10=T 20,则当T n 取最小值时,n 的值为________.解析:T 10=T 20⇒a 11…a 20=1⇒(a 15a 16)5=1⇒a 15a 16=1,又{a n }是正项递增等比数列,所以0<a 1<a 2<…<a 14<a 15<1<a 16<a 17<…,因此当T n 取最小值时,n 的值为15.答案:152.(xx 届山西吕梁质检)已知数列2,8,4,12,…,该数列的特点是从第2项起,每一项都等于它的前后两项之积,则这个数列的前2 018项之积T 2 018等于________.解析:数列2,8,4,12,…,该数列的特点是从第2项起,每一项都等于它的前后两项之积,这个数列的前8项分别为2,8,4,12,18,14,2,8,易得从第7项起,数字重复出现,所以此数列为周期数列,且周期为6,前6项积为2×8×4×12×18×14=1.又因为2 018=336×6+2,所以这个数列的前2 018项之积T 2 018=1336×2×8=16. 答案:163.已知数列{a n }满足a 1=5,a 2=5,a n +1=a n +6a n -1(n ≥2). (1)求证:{a n +1+2a n }是等比数列; (2)求数列{a n }的通项公式.解:(1)证明:∵a n +1=a n +6a n -1(n ≥2), ∴a n +1+2a n =3a n +6a n -1=3(a n +2a n -1)(n ≥2). ∵a 1=5,a 2=5,∴a 2+2a 1=15, ∴a n +2a n -1≠0(n ≥2),∴a n +1+2a na n +2a n -1=3(n ≥2),∴数列{a n +1+2a n }是以15为首项,3为公比的等比数列. (2)由(1)得a n +1+2a n =15×3n -1=5×3n,则a n +1=-2a n +5×3n, ∴a n +1-3n +1=-2(a n -3n).又∵a 1-3=2,∴a n -3n≠0,∴{a n -3n}是以2为首项,-2为公比的等比数列. ∴a n -3n=2×(-2)n -1,即a n =2×(-2)n -1+3n.2019-2020年高考数学一轮总复习第五章数列5.4数列求和课时跟踪检测理[课 时 跟 踪 检 测][基 础 达 标]1.已知数列{a n }是等差数列,a 1=tan225°,a 5=13a 1,设S n 为数列{(-1)na n }的前n 项和,则S 2 014=( )A .2 015B .-2 015C .3 021D .-3 022解析:由题知a 1=tan(180°+45°)=1,∴a 5=13 ∴d =a 5-a 15-1=124=3. ∴a n =1+3(n -1)=3n -2. 设b n =(-1)na n =(-1)n(3n -2),∴S 2 014=(-1+4)+(-7+10)+…+(-6 037+6 040)=3×1 007=3 021.故选C. 答案:C2.设{a n }是公差不为零的等差数列,a 2=2,且a 1,a 3,a 9成等比数列,则数列{a n }的前n 项和S n =( )A.n 24+7n 4 B .n 22+3n 2C.n 24+3n4D .n 22+n2解析:设等差数列{a n }的公差为d ,则 由a 23=a 1a 9得(a 2+d )2=(a 2-d )(a 2+7d ), 代入a 2=2,解得d =1或d =0(舍). ∴a n =2+(n -2)×1=n , ∴S n =a 1+a n n2=1+n n 2=n 22+n 2.故选D. 答案:D3.等比数列{a n }的前n 项和为S n ,已知a 2a 3=2a 1,且a 4与2a 7的等差中项为54,则S 5=( )A .29B .31C .33D .36解析:设等比数列{a n }的公比为q 则a 21q 3=2a 1,①a 1q 3+2a 1q 6=52,②解得a 1=16,q =12,∴S 5=a 11-q 51-q=31,故选B.答案:B4.已知等比数列{a n }的各项均为正数,a 1=1,公比为q ;等差数列{b n }中,b 1=3,且{b n }的前n 项和为S n ,a 3+S 3=27,q =S 2a 2.(1)求{a n }与{b n }的通项公式;(2)设数列{c n }满足c n =32S n ,求{c n }的前n 项和T n .解:(1)设数列{b n }的公差为d , ∵a 3+S 3=27,q =S 2a 2,∴⎩⎪⎨⎪⎧q 2+3d =18,6+d =q 2.求得q =3,d =3,∴a n =3n -1,b n =3n .(2)由题意得S n =n 3+3n2,c n =32S n =32×23×1n n +1=1n -1n +1. ∴T n =1-12+12-13+13-14+…+1n -1n +1=1-1n +1=nn +1.5.(xx 届广州综合测试)已知数列{a n }是等比数列,a 2=4,a 3+2是a 2和a 4的等差中项. (1)求数列{a n }的通项公式;(2)设b n =2log 2a n -1,求数列{a n b n }的前n 项和T n . 解:(1)设数列{a n }的公比为q , 因为a 2=4,所以a 3=4q ,a 4=4q 2. 因为a 3+2是a 2和a 4的等差中项, 所以2(a 3+2)=a 2+a 4, 化简得q 2-2q =0. 因为公比q ≠0,所以q =2. 所以a n =a 2qn -2=4×2n -2=2n (n ∈N *).(2)因为a n =2n,所以b n =2log 2a n -1=2n -1, 所以a n b n =(2n -1)2n,则T n =1×2+3×22+5×23+…+(2n -3)2n -1+(2n -1)2n,①2T n =1×22+3×23+5×24+…+(2n -3)2n+(2n -1)·2n +1.②由①-②得,-T n =2+2×22+2×23+…+2×2n -(2n -1)2n +1=2+2×41-2n -11-2-(2n -1)2n +1=-6-(2n -3)2n +1,所以T n =6+(2n -3)2n +1.6.S n 为数列{a n }的前n 项和,已知a n >0,a 2n +2a n =4S n +3. (1)求{a n }的通项公式; (2)设b n =1a n a n +1,求数列{b n }的前n 项和.解:(1)由a 2n +2a n =4S n +3,① 可知a 2n +1+2a n +1=4S n +1+3.②②-①,得a 2n +1-a 2n +2(a n +1-a n )=4a n +1, 即2(a n +1+a n )=a 2n +1-a 2n =(a n +1+a n )(a n +1-a n ). 由a n >0,得a n +1-a n =2.又a 21+2a 1=4a 1+3,解得a 1=-1(舍去)或a 1=3. 所以{a n }是首项为3,公差为2的等差数列, 通项公式为a n =2n +1. (2)由a n =2n +1可知b n =1a n a n +1=12n +12n +3=12⎝ ⎛⎭⎪⎫12n +1-12n +3.设数列{b n }的前n 项和为T n ,则T n =b 1+b 2+…+b n=12⎣⎢⎡⎦⎥⎤⎝ ⎛⎭⎪⎫13-15+⎝ ⎛⎭⎪⎫15-17+…+⎝ ⎛⎭⎪⎫12n +1-12n +3=n32n +3.7.已知数列{a n }与{b n }满足a n +1-a n =2(b n +1-b n )(n ∈N *). (1)若a 1=1,b n =3n +5,求数列{a n }的通项公式;(2)若a 1=6,b n =2n(n ∈N *)且λa n >2n +n +2λ对一切n ∈N *恒成立, 求实数λ的取值范围.解:(1)因为a n +1-a n =2(b n +1-b n ),b n =3n +5, 所以a n +1-a n =2(b n +1-b n )=2(3n +8-3n -5)=6, 所以{a n }是等差数列,首项为1,公差为6, 即a n =6n -5. (2)因为b n =2n, 所以a n +1-a n =2(2n +1-2n )=2n +1,当n ≥2时,a n =(a n -a n -1)+(a n -1-a n -2)+…+(a 2-a 1)+a 1=2n +2n -1+…+22+6=2n +1+2,当n =1时,a 1=6,符合上式,所以a n =2n +1+2,由λa n >2n+n +2λ得λ>2n+n 2n +1=12+n 2n +1,令f (n )=12+n 2n +1,因为f (n +1)-f (n )=n +12n +2-n 2n +1=1-n 2n +2≤0, 所以12+n2n +1在n ≥1时单调递减,所以当n =1,2时,2n+n 2n +1取最大值34,故λ的取值范围为⎝ ⎛⎭⎪⎫34,+∞. [能 力 提 升]1.已知数列{a n }的首项为a 1=1,前n 项和为S n ,且数列⎩⎨⎧⎭⎬⎫S n n 是公差为2的等差数列.(1)求数列{a n }的通项公式;(2)若b n =(-1)na n ,求数列{b n }的前n 项和T n . 解:(1)由已知得S n n=1+(n -1)×2=2n -1, 所以S n =2n 2-n , 当n ≥2时,a n =S n -S n -1=2n 2-n -[2(n -1)2-(n -1)]=4n -3. a 1=1=4×1-3,所以a n =4n -3,n ∈N *.(2)由(1)可得b n =(-1)na n =(-1)n(4n -3). 当n 为偶数时,T n =(-1+5)+(-9+13)+…+[-(4n -7)+(4n -3)]=4×n2=2n ,当n 为奇数时,n +1为偶数,T n =T n +1-b n +1=2(n +1)-(4n +1)=-2n +1,综上,T n =⎩⎪⎨⎪⎧2n ,n =2k ,k ∈N *,-2n +1,n =2k -1,k ∈N *.2.在数列{a n }中,已知a n >1,a 1=1+3,且a n +1-a n =2a n +1+a n -2,记b n =(a n -1)2,n ∈N *.(1)求数列{b n }的通项公式;(2)设数列{b n }的前n 项和为S n ,证明:13≤1S 1+1S 2+1S 3+…+1S n <34.解:(1)因为a n +1-a n =2a n +1+a n -2,所以a 2n +1-a 2n -2a n +1+2a n =2, 即(a n +1-1)2-(a n -1)2=2. 又b n =(a n -1)2,n ∈N *,所以b n +1-b n =2,数列{b n }是以b 1=(1+3-1)2=3为首项,2为公差的等差数列, 故b n =2n +1,n ∈N *. (2)证明:由(1)得S n =n 3+2n +12=n (n +2),所以1S n =1nn +2=12⎝ ⎛⎭⎪⎫1n -1n +2,n ∈N *, 所以1S 1+1S 2+1S 3+…+1S n=12⎝ ⎛⎭⎪⎫1-13+12-14+13-15+…+1n -1n +2=12⎝ ⎛⎭⎪⎫32-1n +1-1n +2=34-12⎝ ⎛⎭⎪⎫1n +1+1n +2<34.记T n =1S 1+1S 2+1S 3+…+1S n,因为1S n>0,n ∈N *,所以T n 单调递增.故T n ≥T 1=1S 1=13.综上13≤1S 1+1S 2+…+1S n <34.3.已知各项均为正数的数列{a n }的前n 项和为S n ,且满足a 2n +a n =2S n . (1)求数列{a n }的通项公式; (2)求证:S n2<S 1+S 2+…+S n <S n +1-12.解:(1)因为当n ∈N *时,a 2n +a n =2S n , 故当n >1时,a 2n -1+a n -1=2S n -1,两式相减得,a 2n -a 2n -1+a n -a n -1=2S n -2S n -1=2a n , 即(a n +a n -1)(a n -a n -1)=a n +a n -1.因为a n >0,所以a n +a n -1>0,所以当n >1时,a n -a n -1=1.又当n =1时,a 21+a 1=2S 1=2a 1,得a 1=1, 所以数列{a n }是以1为首项,1为公差的等差数列, 所以a n =n .(2)证明:由(1)及等差数列的前n 项和公式知S n =n n +12,所以S n = n n +12>n 22=n2, 所以S 1+S 2+…+S n >12+22+…+n 2= 1+2+…+n 2=S n 2. 又S n = n n +12<n +122=n +12, 所以S 1+S 2+…+S n <22+32+…+n +12=1+2+…+n +12-12=S n +1-12, 所以S n2<S 1+S 2+…+S n <S n +1-12.。