管桩水平承载力计算
- 格式:xls
- 大小:118.50 KB
- 文档页数:2
上部扩大桩水平承载力计算上部扩大桩是指在桩顶部增加一个拓宽部分,以增加桩的承载能力。
在实际工程中,经常会遇到土层较软或承载力要求较高的情况,此时可采用上部扩大桩来提高桩的水平承载能力。
本文将介绍上部扩大桩水平承载力的计算方法,以帮助工程师在设计过程中准确地评估桩的承载能力。
一、桩的水平承载力计算公式对于普通桩,其水平承载力可以通过下式计算:Q=p×A其中,Q为桩的水平承载力,单位为N;p为土壤的侧摩阻力,单位为N/m^2;A为桩的受力面积,单位为m^2对于上部扩大桩,其水平承载力可以通过以下公式计算:Q=p×A+T×h其中,Q为桩的水平承载力,单位为N;p为土壤的侧摩阻力,单位为N/m^2;A为桩的受力面积,单位为m^2;T为桩的承载能力提高系数,无单位;h为上部扩大桩的拓宽高度,单位为m。
二、上部扩大桩水平承载力计算方法1.确定土壤的侧摩阻力p首先需要确定桩周围土壤的侧摩阻力p。
通常可以通过现场取样测试或者地质勘探数据来获得土壤的侧摩阻力值。
2.计算桩的受力面积A桩的受力面积A取决于桩的截面形状和尺寸,一般可以根据实际情况来计算。
3.确定桩的承载能力提高系数T桩的承载能力提高系数T通常取决于桩的拓宽形式和拓宽高度h。
一般情况下,可以通过试验或者经验数据来确定。
4.计算桩的水平承载力Q根据上述公式,将p、A、T、h代入,即可计算得到桩的水平承载力Q。
三、案例分析以项目中的上部扩大桩为例,桩的直径为1.2m,拓宽高度为0.6m,土壤的侧摩阻力为200kN/m^2,桩的承载能力提高系数为1.51.计算桩的受力面积A桩的受力面积A为:A=π×(1.2/2)^2=1.13m^22.计算桩的水平承载力QQ=200kN/m^2×1.13m^2+1.5×200kN/m^2×0.6m=450kN+180kN=630kN因此,该上部扩大桩的水平承载力为630kN。
2024_管桩水平承载力计算管桩水平承载力计算是工程中非常重要的一项计算,它涉及到土工力学和结构力学等多个学科的知识。
下面将分几个方面介绍2024年管桩水平承载力计算的相关内容。
首先,对于管桩水平承载力计算,需要考虑到以下几个因素:土体的力学性质、桩的几何形状和尺寸、桩的材料性质、载荷特征等。
在计算水平承载力之前,需要对这些因素进行详细的调查和分析,以确定相关参数。
其次,管桩水平承载力计算主要涉及两个方面,即土体的反力和桩身的抵抗力。
土体的反力可以通过土体的变形特性来计算,通常采用弹性理论或塑性理论进行计算。
而桩身的抵抗力通常是通过桩身与土体的摩擦力和桩基的基底阻力来实现的。
对于土体的反力计算,可以采用不同的方法,如平面应力场和平面应变场的理论计算方法、有限元法等。
在计算过程中,需要考虑土体的弹性模量、剪切模量和泊松比等参数,以及土体的不变性参数。
对于桩身的抵抗力计算,可以通过桩身与土体之间的黏结力和摩擦力来实现。
摩擦力是桩身与土体之间的相对滑动产生的阻力,可以通过桩身周围土体与桩表面的摩擦系数以及桩身周围土体的单元体积重量来计算。
黏结力是由于土体中的黏性成分与桩身表面的接触而产生的,可以通过土体中的黏性成分的黏结系数、桩身周围土体的单元体积重量以及桩身的表面积来计算。
最后,根据土体的反力和桩身的抵抗力,可以计算出管桩的水平承载力。
常用的计算方法包括弹性理论方法、极限平衡法和数值模拟方法等。
根据不同的计算方法,可以得到不同的计算结果,需要根据具体情况选择合适的方法。
综上所述,2024年管桩水平承载力计算是一个复杂的过程,需要考虑多个因素和参数。
在实际工程中,需要根据具体情况选择适合的计算方法和模型,以保证计算结果的准确性和可靠性。
同时,还需要对计算结果进行合理的分析和评估,以确定管桩的水平承载力是否满足设计要求。
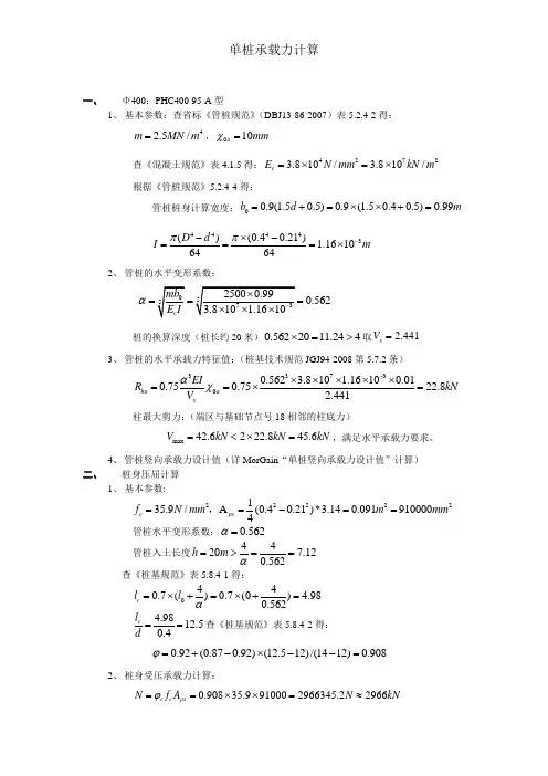
单桩承载力计算一、 Φ400:PHC400-95-A 型1、 基本参数:查省标《管桩规范》(DBJ13-86-2007)表5.2.4-2得:42.5/m MN m =,010a mm χ=查《混凝土规范》表4.1.5得:42723.810/ 3.810/c E N mm kN m =⨯=⨯ 根据《管桩规范》5.2.4-4得:管桩桩身计算宽度:00.9(1.50.5)0.9(1.50.40.5)0.99b d m =+=⨯⨯+=44443()(0.40.21)1.16106464D d I m ππ--⨯-===⨯2、 管桩的水平变形系数:0.562α== 桩的换算深度(桩长约20米)0.5622011.244⨯=>取 2.441x V =3、 管桩的水平承载力特征值:(桩基技术规范JGJ94-2008第5.7.2条)337300.562 3.810 1.16100.010.750.7522.82.441ha a x EIR kN V αχ-⨯⨯⨯⨯⨯==⨯= 柱最大剪力:(端区与基础节点号18相邻的柱底力)max 42.6222.845.6V kN kN kN =<⨯=,满足水平承载力要求。
4、 管桩竖向承载力设计值(详MorGain “单桩竖向承载力设计值”计算)二、 桩身压屈计算1、 基本参数:22222135.9/A (0.40.21)*3.140.0919100004c ps f N mm m mm ==-==, 管桩水平变形系数:0.562α= 管桩入土长度44207.120.562h m α=>== 查《桩基规范》表5.8.4-1得:0440.7()0.7(0) 4.980.562c l l α=⨯+=⨯+= 4.9812.50.4c ld ==查《桩基规范》表5.8.4-2得: 0.92(0.870.92)(12.512)/(1412)0.908ϕ=+-⨯--=2、 桩身受压承载力计算:0.90835.9910002966345.22966c c s N f A N kN ρϕ==⨯⨯=≈单桩竖向承载力标准值:29662373265013001.25kN kN kN =>⨯=。
0号楼水平力对基础侧限影响的验算本工程采用PHC-600(110)AB 预应力管桩,桩长为30m ,桩顶标高为-1.100m (绝对标高),底板位于②层黏土层。
单桩水平承载力:根据《建筑桩基技术规范》查表5.7.5得桩侧土水平抗力系数的比例系数:43/106m kN m ⨯=(②层黏土层)桩身的计算宽度:m b 260.15.0d 5.19.00=+=)(管桩的截面惯性矩:[]49334444010530.332)490600(10085.1)12632.5()64)490(14.36460014.3(32)33()1()6464(mm d D d D I g E ⨯=⎥⎦⎤⎢⎣⎡-⨯⨯-+⨯-⨯=--+-=ραππ21024/108.3/108.3m N x mm N E c =⨯=25/102mm N E s ⨯=2632.58.320===C S E E E α %85.1=g ρ桩身抗弯刚度2521494010140.110140.110530.3108.385.085.0mkN mm N I E EI c ∙⨯=∙⨯=⨯⨯⨯⨯==故水平变形系数: 581.010140.1260.110655350=⨯⨯⨯==EI mb α 根据桩的换算埋深 443.1730581.0≥=⨯=h α查《建筑桩基技术规范》表5.7.2得桩顶水平位移系数441.2=X γmm X a 100=故单桩的水平承载力: kN X EI R a x ha 69.6801.0441.210140.1581.075.075.05303=⨯⨯⨯⨯==γα 桩水平承载力验算:REha d R n H H γ≤=0 本工程地震作用下X 方向最大水平= 2310(KN)地震作用下Y 方向最大剪力= 2831 (KN)风载作用下X 方向最大剪力= 3733(KN)风载作用下Y 方向最大剪力= 4599 (KN)根据《建筑抗震设计规范》(GB50011-2010)4.4.2第2款当桩基水平承载力验算不满足时考虑被动土压力,本工程共88 根桩:0H R n ha ≥∙(风载作用)0H R n RE ha≥∙γ(地震作用)(1)地震作用下X 方向最大剪力=2310(KN) 231075568.069.6888≥=⨯=∙REhaR n γ 满足要求 (2)地震作用下Y 方向最大剪力=4200(KN) 283175568.069.6888≥=⨯=∙RE ha R n γ 满足要求(3)风载作用下X 方向最大剪力=3733(KN) 3733604569.6888≥=⨯=∙ha R n(4)风载作用下Y 方向最大剪=4599(KN) 4599604569.6888≥=⨯=∙ha R n 满足要求以上计算结果表明本工程桩基水平承载力完全可以抵抗上部水平力而不需要考虑被动土压力对抵抗水平力的贡献从而也可以证明本高层建筑基础侧限是可靠的。
管桩单桩水平承载力(地震)特征值计算书一.基本资料桩类型:PHC500-125A桩顶约束情况:铰接,半固接混凝土强度等级:C80二.系数取值1.桩入土深度h=15.000~25.000m2桩侧土水平抗力系数的比例系数45000/4m5MN/mKNm(松散或稍密填土)42500/4m2.5MN/mKNm(淤泥或淤泥质土)3.桩顶容许水平位移X0=10mma4.砼弹性模量E=38000N/mm2=C2= 37KN/m.81037KN/m2三.执行规范《建筑桩基技术规范》(JGJ94-2008)《先张法预应力混凝土管桩基础技术规程》(DBJ13-86-2007)四.计算内容1.管桩截面惯性矩:44D(1) I= 64 3.1440.5(16440.50) = 342.8710m其中,α= dD2505000.500D——管桩外径,d——管桩内径2.管桩截面抗弯刚度:EI= 72.871092701320.85E C I0.853.810KNm3.管桩桩身计算宽度:b00.9(1.5D0.5)1.125m2.管桩水平变形系数:5 mb 0 EI c= 5 50001.125=0.571(1/m) 92701 3.管桩桩顶水平位移系数:桩的换算深度al>4.0 查表得:2.441V x4.单桩水平承载力设计值:3 EI CR H X 0a V x3 5.92701 =0.0170.701KN3. 5.单桩水平承载力特征值:R Ha R H /70.701/1.3552.3753KN 五.结论:根据《福建省结构设计暂行规定》第4条规定:(1)单桩和两桩承台基础中的单桩水平承载力特征值取值为:R Ha 53KN(2)三桩及三桩以上承台基础(非单排布置)中的单桩水平承载力特征值取值为:R H a '1.4653KN77.4KN注:桩顶约束为固接时,V0.940,故,桩顶约束介于铰接与固接之间x 假定桩顶水平位移系数为线性变化(供参考):3.150.940V2.441V'1.675,R Ha 'R Ha 5377.24KN xx2V1.675x' (3)当地基土为淤泥或淤泥质土(m)时,0.6MN/mKNm42500/4RKNHa34.5,R Ha'50.3KN(4)当有地震作用参与组合时,RH a R EHa RE其中,45000/4m5MN/mKNm时单桩两桩R Ha53KN1.2566.25KN,E三桩及以上RKNKNH a'77.41.2596.75E其中,42500/4m2.5MN/mKNm时单桩两桩RKNKNHa34.51.2543.13E三桩及以上R Ha'50.3KN1.2562.8KNE(5)与SATWE结果文件WDCNL.OUT对接时,应当将其设计值按照1.35的分项系数转化为标准值,与此计算书转化对应。
###办公楼###钻孔ZK12一、竖向承载力特征值R(1)竖向承载力特征值(桩基桩数不超过3根)单桩承载力特征值R = Qs + Qp = μΣqsiLi+ qpAp桩长L=6m 桩径d =400mm 桩重W p '=桩截面面积A p =0.091m 2壁厚t =95mm 惯性矩 I =桩表面积A s =1.257m 2/m 桩顶标高=2.10m 混凝土強度等级=地面标高=0.00m 桩顶深度=2.60m 地下水深度=1.5m桩底深度=8.60m二、抗拔力特徵值R tR t = l f sk A s / K + W p '建筑物名称:设计规范:采用《建筑地基基础设计规范》(GB 50007-2002)及行业标准《建筑桩基技术规范》(JGJ 94-2008)2-1淤泥质土 1.100.000.0000.03中砂 5.10 4.00 2.50180.74粗砂11.73 6.63 3.50320.75砾砂11.730.000.0000.05-1粗砂11.730.000.0000.011.736.00Q s =W p ' =單樁抗拔力特徵值R t =146KN三、单桩水平承载力特征值R h0.4m 3.00E+07KN/m 26000KN/m 40.99m2.61E+04KN-m 20.9402.441單樁水平承載力特徵值R 五、總結樁頂容許水平位移c o a (地震)=樁身計算寬度 b o =樁入土深度h =樁的換算埋深 a h =查JGJ94-94 表5.4.2樁頂水平位移係數n x (固接)=樁頂水平位移係數n x (鉸接)=樁身抗彎剛度EI= 0.75E c I =樁直徑d =水平變形係數 a =混凝土彈性模量 E c =樁頂容許水平位移c o a (常時)=水平抗力係數之比例係數 m =a r i n g Pile Length,m Fig.10.1 Relationship Between Pile Allowable Bearing Cap Remark :1.* Material strength followed CNS-2602 of B type(fc'=80a p a c Pile Length,m Fig.10.2 Relationship Between Uplift Resistance And LengRemark :1.* Material strength followed CNS-2602 of B type(fc'=80Fig.10.3 Relationship Between Displacement and Moment for Late Remark :1.* Material strength followed CNS-2602 of B type(fc'=800 kg/cm a r i n g Pile Length,m Fig.10.1 Relationship Between Pile Allowable Bearing Cap Remark :1.* Material strength followed CNS-2602 of B type(fc'=80a pa c Pile Length,m Fig.10.2 Relationship Between Uplift Resistance And LengRemark :1.* Material strength followed CNS-2602 of B type(fc'=80Fig.10.3 Relationship Between Displacement and Moment for Late Remark :1.* Material strength followed CNS-2602 of B type(fc'=800 kg/cm a r i n g Pile Length,m Fig.10.1 Relationship Between Pile Allowable Bearing Cap Remark :1.* Material strength followed CNS-2602 of B type(fc'=80a pa c Pile Length,m Fig.10.2 Relationship Between Uplift Resistance And Leng Remark :1.* Material strength followed CNS-2602 of B type(fc'=80Fig.10.3 Relationship Between Displacement and Moment for Late Remark :1.* Material strength followed CNS-2602 of B type(fc'=800 kg/cm 5EImb o=a aX h EIR 03c n a =a r i n g Pile Length,m Fig.10.1 Relationship Between Pile Allowable Bearing Cap Remark :1.* Material strength followed CNS-2602 of B type(fc'=80a p a cPile Length,m Fig.10.2 Relationship Between Uplift Resistance And LengRemark :1.* Material strength followed CNS-2602 of B type(fc'=80Fig.10.3 Relationship Between Displacement and Moment for LateRemark :1.* Material strength followed CNS-2602 of B type(fc'=800 kg/cm 5EImb o=a aXh EIR 03c n a =7.65kN/支1.16E-03m4凝土強度等级=C30高程-0.271-1.370.272-1.373-1.374-1a-5.374-1-124-2-125-12008)0.7441/m 10.0mm 12.5mm 6m4.5g Capacity c'=800 kg/cm 2)Length forfc'=800 kg/cm 2)r Lateral g/cm 2)g Capacity c'=800 kg/cm 2)Length forfc'=800 kg/cm 2)r Lateral g/cm 2)g Capacity c'=800 kg/cm 2)Length forfc'=800 kg/cm 2)r Lateralg/cm 2)g Capacity c'=800 kg/cm 2)Length forfc'=800 kg/cm 2)r Lateral g/cm 2)。
预应力管桩计算书一、计算依据1、《预应力混凝土管桩基础技术规程》 (DBJ/T15-27-2018)2、《建筑结构荷载规范》 (GB-2012)3、《建筑桩基技术规范》 (JGJ94-2008)二、基本参数1、桩型:预应力管桩2、桩径:D=400mm3、桩长:L=15m4、桩端持力层:强风化岩层5、单桩承载力设计值:R=1200kN三、管桩结构计算1、截面面积A = π(D/2)² = π(400/2)² = 4000π mm²2、惯性矩I = π(D/2)³ = π(400/2)³ = π mm⁴3、桩身抗弯强度设计值fpy = 1.4 × 140 N/mm² = 1.4 × 140 ×1000 N/cm²4、桩身配箍率n = A × fpy / (πD²) = 4000π× 140 / (π×400²) = 1/75≈0.01335、约束箍筋布置:在桩身高度范围内每隔1m设置一道直径为16mm 的约束箍筋,约束箍筋的间距宜不大于350mm。
6、配箍率计算:n = (π×D²×Z×fy/4)/(Z×fy/2+π×D²×n×fy/4) = (π×400²×1×140/4)/(1×140/2+π×400²×16×140/4) =0.9667≈1/757、单桩竖向承载力设计值Q = n × A × fpy = 1/75 × 4000π×140 × 1000 N = N8、单桩竖向承载力特征值qpa = Q / (πD²) = / (π×400²) N/cm ² = 17 N/cm²9、根据地质勘察报告提供的资料,强风化岩层的承载力特征值fa=350kPa,则单桩竖向承载力特征值qpa= fa=350kPa。
管桩的自身承载力计算公式管桩是一种常用的地基处理方法,它通过在地下打入管状桩体,来增加土体的承载能力和稳定性。
在工程中,为了确保管桩的承载能力满足设计要求,需要进行合理的计算和分析。
管桩的自身承载力是指管桩在土体中的承载能力,它是管桩设计的重要参数之一。
下面我们将介绍管桩的自身承载力计算公式及其相关内容。
一、管桩的自身承载力计算公式。
管桩的自身承载力通常可以通过以下公式进行计算:Qs = As σs + Ap σp。
其中,Qs为管桩的自身承载力,As为管壁的截面积,σs为管壁的抗压强度;Ap为管端的截面积,σp为管端的抗压强度。
在实际工程中,管桩的自身承载力还受到土体的侧压力和管桩的侧面摩阻力的影响,因此上述公式还需要进行修正。
修正后的管桩自身承载力计算公式如下:Qs = As σs + Ap σp Ps Fr。
其中,Ps为管桩的侧压力,Fr为管桩的侧面摩阻力。
二、影响管桩自身承载力的因素。
1. 土体的性质,土体的密实度、孔隙水压力、土粒的粘聚力和内摩擦角等因素都会影响管桩的自身承载力。
2. 管桩的材料和尺寸,管桩的材料强度、截面形状和尺寸大小都会影响其自身承载力。
3. 管桩的埋设深度,管桩的埋设深度越深,受到的土压力就越大,自身承载力也会相应增加。
4. 管桩的侧面摩阻力,管桩在土体中受到的侧面摩阻力也会对其自身承载力产生影响。
5. 管桩的施工质量,管桩的施工质量直接影响其自身承载力,如管壁的质量、管端的封闭情况等。
三、管桩自身承载力的计算方法。
在实际工程中,为了确保管桩的自身承载力满足设计要求,通常需要进行以下步骤的计算:1. 确定管桩的材料和尺寸,根据工程要求和现场条件,选择合适的管桩材料和尺寸。
2. 确定土体参数,对工程现场的土体进行勘察和试验,确定土体的性质参数,如密实度、孔隙水压力、土粒的粘聚力和内摩擦角等。
3. 计算管桩的自身承载力,根据上述介绍的管桩自身承载力计算公式,结合土体参数和管桩的材料和尺寸,计算出管桩的自身承载力。
与特征值的关系(一)、计算公式:管桩桩身的竖向极限承载力标准值Qpk、桩身竖向承载力设计值Rp与单桩竖向承载力最大特征值Ra的计算:1、管桩桩身竖向承载力设计值Rp的确定:根据03SG409《预应力混凝土管桩》国家标准图集中的说明第6.2.5条的计算式可以计算出桩身竖向承载力设计值Rp:Rp=AfcΨc。
式中Rp—管桩桩身竖向承载力设计值KN;A—管桩桩身横截面积mm2;fc—混凝土轴心抗压强度设计值MPa;Ψc—工作条件系数,取Ψc=0.70 。
2、单桩竖向承载力最大特征值Ra的确定:根据03SG409《预应力混凝土管桩》国家标准图集中的说明第6.2.6条的计算式可以计算出单桩竖向承载力最大特征值Ra:Ra= Rp/1.35。
3、管桩桩身的竖向极限承载力标准值Qpk的确定:第一种确定方法:根据GB50007—2002《建筑地基基础设计规范》附录中单桩竖向桩身极限承载力标准值Qpk=2 Ra。
第二种确定方法:根据以下公式计算Qpk=(0.8fck-0.6σpc)A。
式中Qpk—管桩桩身的竖向极限承载力标准值KN;A—管桩桩身横截面积mm2;fck—混凝土轴心抗压强度标准值MPa;σpc—桩身截面混凝土有效预加应力。
管桩桩身的竖向极限承载力标准值Qpk相当于工程施工过程中的压桩控制力。
4、综合以上计算公式,管桩桩身的竖向极限承载力标准值Qpk、桩身竖向承载力设计值Rp 与单桩竖向承载力最大特征值Ra的关系如下:Ra= Rp/1.35;Qpk=2 Ra=2 Rp/1.35约等于1.48 Rp。
(二)、举例说明:一、例如,根据03SG409《预应力混凝土管桩》国家标准图集标准,现对PC —A500(100)的管桩分别计算管桩桩身的单桩竖向极限承载力标准值、设计值与特征值如下,以验证以上公式的正确性:1、管桩桩身竖向承载力设计值Rp的计算:Rp=AfcΨc=125660 mm2×27.5 MPa×0.7=2419KN;03SG409《预应力混凝土管桩》中为2400 KN,基本相符。
管桩单桩水平承载力(地震)特征值计算书一.基本资料桩类型:95A -PHC400 桩顶约束情况:铰接,半固接混凝土强度等级: C80二.系数取值1.桩入土深度 h = 15.000~25.000m2 桩侧土水平抗力系数的比例系数 44/5000/5m KN m MN m ==(松散或稍密填土)44/2500/5.2m KN m MN m ==(淤泥或淤泥质土)3.桩顶容许水平位移a X 0= 10mm4.砼弹性模量CE = 38000N/mm 2=7108.3⨯KN/m 2 三.执行规范《建筑桩基技术规范》(JGJ 94-2008)《先张法预应力混凝土管桩基础技术规程》(DBJ13-86-2007) 四.计算内容1.管桩截面惯性矩:64)1(44απ-=D I =64)525.01(4.014.344-⨯=31016.1-⨯m 4 其中,α==Dd 525.0400210= D ——管桩外径,d ——管桩内径2.管桩截面抗弯刚度:EI =237374681016.1108.385.085.0m KN I E C •=⨯⨯⨯⨯=-3.管桩桩身计算宽度:0.99m 0.5)0.9(1.5d b0=+=4.管桩水平变形系数:50I E mb c =α=53746899.05000⨯=)/1(667.0m 5.管桩桩顶水平位移系数:桩的换算深度al >4.0查表得:441.2=x V6.单桩水平承载力设计值:a x C H X V IE R 03α==KN 5.4501.0441.237468667.03=⨯⨯ 7.单桩水平承载力特征值:KN R R H Ha 347.3335.1/5.45/≈===γ五.结论:根据《福建省结构设计暂行规定》第4条规定:(1) 单桩和两桩承台基础中的单桩水平承载力特征值取值为:KN R Ha 34=(2) 三桩及三桩以上承台基础(非单排布置)中的单桩水平承载力特征值取值为:KN KN R Ha 6.493446.1'=⨯=注:桩顶约束为固接时,940.0=x V ,故,桩顶约束介于铰接与固接之间 假定桩顶水平位移系数为线性变化(供参考):675.12940.0441.2'=+=x V ,KN R V V R Ha x x Ha 6.4934675.1441.2''=⨯=⨯= (3) 当地基土为淤泥或淤泥质土(44/2500/5.2m KN m MN m ==)时, KN R Ha 3.22=,KN R Ha 6.32'=(4) 当有地震作用参与组合时,RE Ha E Ha R R γ⨯=其中,44/5000/5m KN m MN m ==时单桩两桩KN KN R E Ha 5.4225.134=⨯=,三桩及以上KN KN R E Ha 6225.16.49'=⨯=其中,44/2500/5.2m KN m MN m ==时单桩两桩KN KN R E Ha 9.2725.13.22=⨯=三桩及以上KN KN R E Ha 8.4025.16.32'=⨯=(5) 与SATWE 结果文件WDCNL.OUT 对接时,应当将其设计值按照1.35的分项系数转化为标准值,与此计算书转化对应。
管桩水平承载力计算桩水平承载力是指桩的抗侧力能力,是桩基础设计和施工中需要重点考虑的一个指标。
桩水平承载力的计算方法有很多种,常见的有静力分析法、动力分析法、试验法等。
下面主要介绍静力分析法和动力分析法两种计算方法。
一、静力分析法:静力分析法是通过土力学原理,根据土体的力学性质,计算桩在侧向荷载作用下的水平承载力。
主要包括刚度方法和土压力分布法两种计算方法。
1.刚度方法:刚度方法是根据桩与土体之间的刚度差异来计算桩的水平承载力,常用的有极限平衡法、有限差分法、有限元法等。
其中,基于极限平衡法的计算比较常见,步骤如下:(1)假设桩的侧向土壁是铰接的,即桩与土壁之间无摩擦力,土壁不发生变形;(2)假设土体的应力及变形分布满足柯西弹性体的假设;(3)根据桩与土体之间的刚度差异,可以得出桩的水平承载力。
2.土压力分布法:土压力分布法是根据土的压力与位移的关系,计算桩的水平承载力。
常用的计算方法有半解析法和数值方法等。
步骤如下:(1)假设桩的侧向土壁满足弹性理论;(2)根据桩与土体之间的弹性特性,建立土压力与位移的关系;(3)通过求解土压力与位移的方程,可以得出桩的水平承载力。
二、动力分析法:动力分析法是通过桩的震动响应来计算桩的水平承载力,主要包括共振振动法和波动等分析法两种计算方法。
1.共振振动法:共振振动法利用地震波或振动源作用下,桩在共振状态下的位移与力的关系,计算桩的水平承载力。
常用的计算方法有共振理论和能量耗散法等。
步骤如下:(1)假设桩在共振状态下,即地震波或振动源与桩的共振频率相等;(2)根据桩的动力响应,计算桩的位移与力的关系;(3)通过求解共振频率与位移的方程,可以得出桩的水平承载力。
2.波动等分析法:波动等分析法是通过桩在地震波或振动源作用下的波动等传播过程,计算桩的水平承载力。
常用的计算方法有单桩法和双桩法等。
步骤如下:(1)假设桩与土体之间的相互作用满足弹性理论,桩与土体之间的刚度满足一定的关系;(2)根据桩与土体之间的动力特性,建立桩的动力方程;(3)通过求解动力方程,可以得出桩的水平承载力。
PHC管桩承载力计算原理与实践一、引言预应力高强度混凝土(PHC)管桩因其高强度、高耐久性和优良的经济性而被广泛应用于各种基础工程中。
为了确保工程的安全性和经济性,对PHC管桩的承载力进行准确计算是至关重要的。
本文将详细介绍PHC管桩承载力计算的原理与实践,以期为工程师们提供有益的参考。
二、PHC管桩的基本特性1. 高强度:PHC管桩采用高强度混凝土制成,具有抗压强度高、抗弯性能好的特点。
2. 耐久性:PHC管桩采用预应力工艺,有效提高了抗裂性能和耐久性。
3. 经济性:PHC管桩的生产工艺成熟,成本较低,具有较好的经济性。
三、PHC管桩承载力计算原理PHC管桩的承载力计算主要包括抗压承载力计算和抗拔承载力计算。
1. 抗压承载力计算:抗压承载力是指管桩在受压状态下所能承受的最大荷载。
计算方法主要有极限状态法和容许应力法。
极限状态法通过计算管桩在极限状态下的抗压承载力来确定其安全系数;容许应力法则根据材料的容许应力和管桩的截面尺寸来计算抗压承载力。
2. 抗拔承载力计算:抗拔承载力是指管桩在受拉状态下所能承受的最大荷载。
计算方法主要有经验公式法和试验法。
经验公式法通过查阅相关规范和经验公式来计算抗拔承载力;试验法则通过现场试验来确定抗拔承载力。
四、PHC管桩承载力计算实践在实际工程中,PHC管桩承载力计算应遵循以下步骤:1. 收集资料:收集工程的地质报告、设计文件、施工图纸等相关资料,了解工程的地质条件、设计要求和施工方法。
2. 确定计算参数:根据收集的资料,确定管桩的规格、尺寸、材料强度等计算参数。
3. 选择计算方法:根据工程的具体情况和设计要求,选择合适的计算方法进行承载力计算。
对于重要的工程或复杂的地质条件,建议采用多种方法进行计算和对比分析,以提高计算的准确性和可靠性。
4. 进行计算分析:按照选定的计算方法,对PHC管桩的抗压承载力和抗拔承载力进行计算分析。
在计算过程中,应注重考虑实际施工条件和影响因素,如土壤性质、地下水位、施工方法等。
管桩承载力特征值
(原创实用版)
目录
1.管桩承载力特征值的定义与重要性
2.管桩承载力特征值的计算方法
3.管桩承载力特征值在实际工程中的应用
4.管桩承载力特征值的注意事项
正文
一、管桩承载力特征值的定义与重要性
管桩承载力特征值是指管桩在特定条件下的承载力表现,是衡量管桩承载能力的重要指标。
在桩基设计与施工过程中,承载力特征值的计算与应用对于保证桩基稳定性及安全性至关重要。
二、管桩承载力特征值的计算方法
管桩承载力特征值的计算需考虑以下几个方面:
1.桩身竖向承载力设计值:根据桩身横截面积、混凝土轴心抗压强度等因素计算得出。
2.桩身水平承载力设计值:考虑桩身抗弯性和抗拔性,分别计算水平承载力设计值。
3.地基承载力特征值:根据地基承载力计算公式,结合基础宽度、埋深等因素,计算地基承载力特征值。
三、管桩承载力特征值在实际工程中的应用
在实际工程中,管桩承载力特征值的应用主要体现在以下几个方面:
1.桩基设计:根据承载力特征值,选定合适的桩型,进行桩基设计。
2.桩基施工:在施工过程中,根据承载力特征值,控制桩基施工质量,确保桩基稳定性。
3.桩基验收:在桩基验收过程中,通过对比承载力特征值与设计值,判断桩基质量是否符合要求。
四、管桩承载力特征值的注意事项
在计算与应用管桩承载力特征值时,应注意以下几点:
1.计算方法要正确:应按照相关规范和标准进行计算,确保计算结果准确。
2.考虑因素要全面:在计算承载力特征值时,应充分考虑各种影响因素,如混凝土轴心抗压强度、桩身横截面积等。
3.结合实际情况:在实际工程中,应根据工程特点和场地条件,合理确定承载力特征值。
管桩水平承载力计算管桩水平承载力是指管桩在水平方向上所能承受的荷载能力。
管桩是一种常用的地基处理方法,它由钢管或混凝土管组成,通常安装在土壤中以增加地基的承载能力。
今天,我们将详细介绍管桩水平承载力的计算方法,希望对研究和实践工程的工程师们有所帮助。
首先,我们需要确定管桩水平承载力计算的参数。
主要包括以下几个方面:1. 土壤参数:包括土壤的抗剪强度、土壤的容重和土壤的摩擦角等。
这些参数可以通过地基勘探和实验室试验来确定。
2. 管桩本身的参数:包括管桩的几何尺寸和材料力学性质等。
这些参数可以通过设计图纸和材料试验来获取。
确定了这些参数后,我们就可以进行管桩水平承载力的计算了。
计算方法根据不同的情况可以分为以下两种情况:情况一:管桩位于强固土层中。
这种情况下,管桩的水平承载力主要由管桩端部的摩擦力和管桩周围土壤的侧阻力组成。
摩擦力的计算可以使用库仑公式:Ff = N * tan(φ) + Qs *tan(φs),其中Ff表示摩擦力,N表示管桩端部土壤的单位长度力(垂直于桩的方向),tan(φ)表示土壤的摩擦角。
Qs为静止充实土层的侧向应力。
侧阻力的计算可以使用托马森公式:Fp = σ * As + Qp,其中Fp 表示侧阻力,σ表示土壤的有效应力,As表示管桩的侧表面积,Qp表示充实土层的侧向应力。
情况二:管桩位于松散土层中。
这种情况下,管桩的水平承载力主要由管桩端部的摩擦力和桩身的摩阻力组成。
摩擦力的计算同样使用库仑公式,而桩身的摩阻力可以使用莫尔-库伦公式:Fs = τ * As,其中Fs表示桩身的摩阻力,τ表示土壤的单位剪切强度。
以上就是管桩水平承载力的计算方法,但需要注意的是,这只是一种理论上的计算方法,实际工程中还需要考虑其他因素的影响,如孔周土壤的变形和桩身与土壤之间的强度相互作用等。
总之,管桩水平承载力的计算对于工程设计和实施至关重要,它直接影响到管桩的使用效果和工程的安全性。
希望通过本文的介绍,能够帮助工程师们更好地理解管桩水平承载力的计算方法,并在实践中做出合理的设计和决策。