积分公式表,常用积分公式表
- 格式:doc
- 大小:148.00 KB
- 文档页数:6
高等数学积分公式高等数学中的积分公式有很多,下面列举了一些常用的积分公式和相关的计算方法。
1.积分的线性性质:设函数f(x)、g(x)在区间[a,b]上可积,k为任意常数,则有:∫[a, b] (f(x) + g(x))dx = ∫[a, b] f(x)dx + ∫[a, b] g(x)dx ∫[a, b] kf(x)dx = k∫[a, b] f(x)dx2.基本积分公式:∫ x^n dx = 1/(n+1) x^(n+1) + C,其中n≠-1,C为常数∫ dx = x + C∫ e^x dx = e^x + C∫ sin(x) dx = -cos(x) + C∫ cos(x) dx = sin(x) + C∫ sec^2(x) dx = tan(x) + C∫ csc^2(x) dx = -cot(x) + C∫ 1/(a^2 + x^2) dx = (1/a) arctan(x/a) + C,其中a≠0∫ 1/(sqrt(a^2 - x^2)) dx = arcsin(x/a) + C,其中a>03.积分的分部积分法:设函数u(x)、v(x)具有连续的一阶和二阶导数,则有积分的分部积分公式:∫ u(x) v'(x) dx = u(x) v(x) - ∫ u'(x) v(x) dx4.三角函数的积分公式:∫ sin^n(x) cos^m(x) dx,其中n、m均为非负整数,可用以下公式求解:a. 若n为奇数,m为偶数,则利用恒等式sin^2(x) + cos^2(x) = 1进行化简b. 若n为偶数,m为奇数,则利用恒等式sin^2(x) + cos^2(x) = 1进行化简,并对其中的sin^2(x)进行积分c. 若n和m均为奇数,则利用恒等式sin^2(x) + cos^2(x) = 1进行化简,并对其中的cos^2(x)进行积分5.带根号的积分公式:∫ sqrt(a^2 - x^2) dx = (1/2) (x sqrt(a^2 - x^2) + a^2 arcsin(x/a)) + C,其中a>0∫ sqrt(x^2 + a^2) dx = (1/2) (x sqrt(x^2 + a^2) + a^2 ln,x + sqrt(x^2 + a^2),) + C,其中a>06.积分的换元法:设u=g(x)是连续可导函数的微分函数,函数f(g(x))在区间[a,b]上连续,则有:∫ f(g(x)) g'(x) dx = ∫ f(u) du7.分式积分法:设f(x)、g(x)是多项式函数,g(x)≠0∫ f(x)/g(x) dx = [∑ A_i/(x-a_i) + B_j(x-b_j)^k_j +C_i*e^(a_i*x)]dx其中A_i、B_j、C_i为待求系数,a_i、b_j为g(x)的一阶或二阶零点,k_j为g(x)的重根的重数8.参数方程的积分公式:设平面上的点(x(t),y(t))的运动由参数方程x=f(t),y=g(t)给出,则有:∫[a, b] y(t) x'(t) dt = ∫[a, b] x(t) y'(t) dt以上列举的只是常用的积分公式,实际上积分的计算有时需要结合多种公式和方法进行推导和计算。
(完整word版)积分公式2.基本积分公式表(1)∫0d x=C(2)=ln|x|+C(3)(m≠-1,x>0)(4)(a>0,a≠1)(5)(6)∫cos x d x=sin x+C(7)∫sin x d x=-cos x+C(8)∫sec2x d x=tan x+C(9)∫csc2x d x=-cot x+C(10)∫sec x tan x d x=sec x+C(11)∫csc x cot x d x=-csc x+C(12)=arcsin x+C(13)=arctan x+C注.(1)不是在m=-1的特例.(2)=ln|x|+C,ln后⾯真数x要加绝对值,原因是(ln|x|)' =1/x.事实上,对x>0,(ln|x|)' =1/x;若x<0,则(ln|x|)' =(ln(-x))' =.(3)要特别注意与的区别:前者是幂函数的积分,后者是指数函数的积分.下⾯我们要学习不定积分的计算⽅法,⾸先是四则运算.3.不定积分的四则运算根据微分运算公式d(f(x)±g(x))=d f(x)±d g(x)d(kf(x))=k d f(x)我们得不定积分的线性运算公式(1)∫[f(x)±g(x)]d x=∫f(x)d x±∫g(x)d x(2)∫kf(x)d x=k∫f(x)d x,k是⾮零常数.现在可利⽤这两个公式与基本积分公式来计算简单不定积分.例2.5.4求∫(x3+3x++5sin x-4cos x)d x解.原式=∫x3d x+∫3x d x+7∫d x+5∫sin x d x-4∫cos x d x=+7ln|x|-5cos x-4sin x+C .注.此例中化为五个积分,应出现五个任意常数,它们的任意性使其可合并成⼀个任意常数C,因此在最后写出C即可.例2.5.5求∫(1+)3d x解.原式=∫(1+3+3x+)d x=∫d x+3∫d x+3∫x d x+∫d x=x+3+C=x+2x++C .注.∫d x与∫1d x是相同的,其中1可省略.例2.5.6求解.原式===-x+arctan x+C .注.被积函数是分⼦次数不低于分母次数的分式,称为有理假分式.先将其分出⼀个整式x2-1,余下的分式为有理真分式,其分⼦次数低于分母的次数.例2.5.7求.解.原式==∫csc2x d x-∫sec2x d x=-cot x-tan x+C .注.利⽤三⾓函数公式将被积函数化简成简单函数以便使⽤基本积分公式.例2.5.8求.解.原式==+C .为了得到进⼀步的不定积分计算⽅法,我们先⽤微分的链锁法则导出不定积分的重要计算⽅法??换元法.思考题.被积函数是有理假分式时,积分之前应先分出⼀个整式,再加上⼀个有理真分式,⼀般情形怎样实施这⼀步骤?4.第⼀换元法(凑微分法)我们先看⼀个例⼦:例2.5.9求.解.因(1+x2)' =2x,与被积函数的分⼦只差常数倍数2,如果将分⼦补成2x,即可将原式变形:原式=(令u=1+x2)=(代回u=1+x2).注.此例解法的关键是凑了微分d(1+x2).⼀般地在F'(u)=f(u),u=?(x)可导,且?' (x)连续的条件下,我们有第⼀换元公式(凑微分):u=? (x) 积分代回u=? (x)∫f[?(x)]?' (x)d x=∫f[?(x)]d?(x)=∫f(u)d u=F(u)+C=F[?(x)]+C其中函数?(x)是可导的,且F(u)是f(u)的⼀个原函数.从上述公式可看出凑微分法的步骤:凑微分————→换元————→积分————→再换元' (x)d x=d(x) u=(x) 得F(u)+C得F[?(x)]+C注.凑微分法的过程实质上是复合函数求导的链锁法则的逆过程.事实上,在F'(u)=f(u)的前提下,上述公式右端经求导即得:[F[?(x)]+C]' =F '[?(x)]?' (x)=f[?(x)]?' (x)这就验证了公式的正确性.例2.5.10求∫(ax+b)m d x.(m≠-1,a≠0)解.原式=(凑微分d(ax+b))=(换元u=ax+b)=(积分)=. (代回u=ax+b)例2.5.11求.解.原式=(凑微分d(-x3)=-3x2d x)===(换元u=-x3).注.你熟练掌握凑微分法之后,中间换元u=?(x)可省略不写,显得计算过程更简练,但要做到⼼中有数.例2.5.12求∫tan x d x.解.原式==-ln|cos x|+C .同理可得∫cot x d x=ln|sin x|+C .例2.5.13求(a>0).解.原式==.例2.5.14求(a>0).解.原式==.例2.5.15求.解.原式====.例2.5.16∫sec x d x.解.原式=(换元u=sin x)===(代回u=sin x)===ln|sec x+tan x|+C .公式:∫sec x d x=ln|sec x+tan x|+C .例.2.5.17求∫csc x d x .解.原式===ln|csc x-cot x|+C .公式:∫csc x d x=ln|csc x-cot x|+C .凑微分法是不定积分换元法的第⼀种形式,其另⼀种形式是下⾯的第⼆换元法.5.第⼆换元法不定积分第⼀换元法的公式中核⼼部分是∫f[?(x)]?'(x)d x=∫f(u)d u我们从公式的左边演算到右边,即换元:u=?(x).与此相反,如果我们从公式的右边演算到左边,那么就是换元的另⼀种形式,称为第⼆换元法.即若f(u),u=?(x),?'(x)均连续,u=?(x)的反函数x=?-1(u)存在且可导,F(x)是f[?(x)]?'(x)的⼀个原函数,则有∫f(u)d u=∫f[?(x)]?'(x)d x=F(x)+C=F[?-1(u)]+C .第⼆换元法常⽤于被积函数含有根式的情况.例2.5.18求解.令(此处?(t)=t2).于是原式===(代回t= -1(x)=) 注.你能看到,换元=t的⽬的在于将被积函数中的⽆理式转换成有理式,然后积分.第⼆换元法除处理形似上例这种根式以外,还常处理含有根式,,(a>0)的被积函数的积分.例2.5.19求. (a>0)解.令x=a sec t,则d x=a sec t tan t d t,于是原式==∫sec t d t=ln|sec t+tan t|+C1 .到此需将t代回原积分变量x,⽤到反函数t=arcsec,但这种做法较繁.下⾯介绍⼀种直观的便于实施的图解法:作直⾓三⾓形,其⼀锐⾓为t及三边a,x,满⾜:sec t=由此,原式=ln|sec t+tan t|+C1==.注.C1是任意常数,-ln a是常数,由此C=C1-ln a仍是任意常数.(a>0)例2.5.20求.解.令x=a tan t,则d x=a sec2t d t,于是原式==∫sec t d t=ln|sec t+tan t|+C1 .图解换元得原式=ln|sec t+tan t|+C1=.公式:.例2.5.21求(a>0).解.令x=a sin t,则d x=a cos t d t,于是原式===+C.图解换元得:原式=+C=+C .除了换元法积分外,还有⼀个重要的积分公式,即分部积分公式.思考题.在第⼆换元法公式中,请你注意加了⼀个条件“u=?(x)的反函数x=?1-(u)存在且可导”,你能否作出解释,为什么要加此条件?6.分部积分公式我们从微分公式d(uv)=v d u+u d v两边积分,即∫d(uv)=∫v d u+∫u d v由此导出不定积分的分部积分公式∫u d v=uv -∫v d u下⾯通过例⼦说明公式的⽤法.例2.5.22求∫x2ln x d x解.∫x2ln x d x=(将微分dln x算出)==.例2.5.23求∫x2sin x d x.解.原式=∫x2d(-cos x) (凑微分)=-x2cos x-∫(-cos x)d(x2) (⽤分部积分公式)=-x2cos x+∫2x cos x d x=-x2cos x+2∫x dsin x(第⼆次凑微分)=-x2cos x+2[x sin x-∫sin x d x] (第⼆次⽤分部积分公式)=-x2cos x+2x sin x+2cos x+C .例2.5.24求∫e x sin x d x.解.∫e x sin x d x=∫sin x d e x (凑微分)=e x sin x-∫e x dsin x(⽤分部积分公式)=e x sin x-∫e x cos x d x(算出微分)=e x sin x-∫cos x d e x(第⼆次凑微分)=e x sin x-[e x cos x-∫e x dcos x] (第⼆次⽤分部积分公式)=e x(sin x-cos x)-∫e x sin x d x(第⼆次算出微分)由此得:2∫e x sin x d x=e x(sin x-cos x)+2C因此∫e x sin x d x=(sin x-cos x)+C .注.(1)此例中在第⼆次凑微分时,必须与第⼀次凑的微分形式相同.否则若将∫e x cos x d x凑成∫e x dsin x,那将产⽣恶性循环,你可试试.(2)积分常数C可写在积分号∫⼀旦消失之后.例2.5.25求∫arctan x d x解.此题被积函数可看作x0arctan x,x0d x=d x,即适合分部积分公式中u=arctan x,v=x.故原式=x arctan x - ∫x d(arctan x) (⽤分部积分公式)=x arctan x - d x(算出微分)=x arctan x - (凑微分)=x arctan x - ln(1+x2)+C .⼩结.(1)分部积分公式常⽤于被积函数是两种不同类型初等函数之积的情形,例如x3arctan x,x3ln x 幂函数与反正切或对数函数x2sin x,x2cos x幂函数与正弦,余弦x2e x幂函数与指数函数e x sin x,e x cos x 指数函数与正弦,余弦等等.(2)在⽤分部积分公式计算不定积分时,将哪类函数凑成微分d v,⼀般应选择容易凑的那个.例如arctan x d,ln x d我们已学习了不定积分的⼏种常⽤⽅法,除了熟练运⽤这些⽅法外,在许多数学⼿册中往往列举了⼏百个不定积分公式,它们不是基本的,不需要熟记,但可以作为备查之⽤,称为积分表.思考题.你仔细观察分部积分公式,掌握其中使⽤的规律,特别是第⼀步凑微分时如何选择微分.7.积分表的使⽤除了基本积分公式之外,在许多数学⼿册中往往列举了⼏百个补充的积分公式,构成了积分表.下⾯列出本节已得到的基本积分公式.(1)∫0d x=C(2)=ln|x|+C(3)(m≠-1,x>0)(4)(a>0,a≠1)(5)(6)∫cos x d x=sin x+C(7)∫sin x d x=- cos x+C(8)∫sec2x d x=tan x+C(9)∫csc2x d x=- cot x+C(10)∫sec x tan x d x=sec x+C(11)∫csc x cot x d x=-csc x+C(12)=arcsin x+C(13)=arctan x+C(14)∫tan x d x=-ln|cos x|+C(15)∫cot x d x=ln|sin x|+C(16)=(a>0)(17)=(a>0)(18)(a>0)(19)=(a>0)(20)∫sec x d x=ln|sec x+tan x|+C(21)∫csc x d x=ln|csc x-cot x|+C利⽤积分表中的公式,可使积分计算⼤⼤简化.积分表的使⽤⽅法⽐较简单,现举⼀例说明之.例2.5.26求解.从积分表中查得公式则将a=3,b=-1,c=4代⼊上式并添上积分常数C即得解答:=.。
高数积分公式大全高等数学中的积分是数学分析的重要内容之一,它是求函数面积、定积分、不定积分等的方法,被广泛应用于科学和工程领域。
下面是高等数学中常用的积分公式大全,供大家参考和学习。
一、基本积分公式:1. 常数函数积分公式:∫c dx = cx + C(其中c为常数,C为积分常数)2. 幂函数积分公式:∫x^n dx = (1/(n+1)) * x^(n+1) + C(其中n不等于-1,C 为积分常数)3. 指数函数积分公式:∫e^x dx = e^x + C4. 三角函数积分公式:∫sin(x) dx = -cos(x) + C∫cos(x) dx = sin(x) + C5. 乘方函数积分公式:∫(a^x) dx = (1/log(a)) * (a^x) + C(其中a为正数且不等于1,C为积分常数)6. 对数函数积分公式:∫(1/x) dx = ln|x| + C二、常用积分公式:1. 三角函数的复合积分:∫sin(ax) dx = - (1/a) * cos(ax) + C∫cos(ax) dx = (1/a) * sin(ax) + C2. 反三角函数的积分:∫1/(√(1-x^2)) dx = arcsin(x) + C∫1/(1+x^2) dx = arctan(x) + C3. 指数函数的积分:∫e^(ax) dx = (1/a) * e^(ax) + C4. 对数函数的积分:∫(1/x) dx = ln|x| + C5. 分式函数的积分:∫(1/(x-a)) dx = ln|x-a| + C(其中a不等于0)∫(1/(x^2+a^2)) dx = (1/a) * arctan(x/a) + C(其中a不等于0)6. 三角函数的积分:∫sin^n(x) cos^m(x) dx7. 部分分式的积分:∫(p(x)/q(x)) dx8. 具体函数的特殊积分:∫e^x sin(x) dx∫e^x cos(x) dx∫(sin(x))^n (cos(x))^m dx(其中n和m为正整数)三、数列求和公式:1. 等差数列求和公式:S_n = (n/2)(a_1 + a_n)(其中S_n为前n项和,a_1为首项,a_n为末项)2. 等比数列求和公式:S_n = (a_1(1-q^n))/(1-q)(其中S_n为前n项和,a_1为首项,q为公比)以上是高等数学中一些常见的积分公式,通过掌握和灵活运用这些公式,可以帮助我们更好地解决数学中的问题。
积分常用公式一.基本不定积分公式:1. C x dx +=⎰2. ) 3.111++=⎰αααx dx x 1(-≠αC x dx x+=⎰ln 14.5.C aa dx a xx+=⎰ln )1,0(≠>a a C e dx e xx+=⎰6. 7.C x xdx +-=⎰cos sin C x xdx +=⎰sin cos 8.9.C x dx x xdx +==⎰⎰tan cos 1sec 22Cx dx x xdx +-==⎰⎰cot sin 1csc 2210. 11.C x xdx x +=⋅⎰sec tan sec Cx xdx x +-=⋅⎰csc cot csc 12.(或)C x dx x+=-⎰arcsin 11212arccos 11C x dx x+-=-⎰13.(或)C x dx x +=+⎰arctan 11212cot 11C x arc dx x +-=+⎰14.15.C x xdx +=⎰cosh sinh Cx xdx +=⎰sinh cosh 二.常用不定积分公式和积分方法:1.2.C x xdx +-=⎰cos ln tan Cx xdx +=⎰sin ln cot 3.4.C axa x a dx +=+⎰arctan 122C a x ax a ax dx ++-=-⎰ln 21225. 6.C x x xdx ++=⎰tan sec ln sec C x x xdx +-=⎰cot csc ln csc 7.8.C axx a dx +=-⎰arcsin22Ca x x a x dx +±+=±⎰2222ln 9.C a x a x a x dx x a ++-=-⎰arcsin 222222210.Ca x x a a x xdx a x +±+±±=±⎰2222222ln 2211.第一类换元积分法(凑微分法):Cx F x t x d x f dx x x f dx x g +=='=⎰⎰⎰)]([)(])([)]([)()]([)(ϕϕϕϕϕϕ为为为为为为为为为为为为12.第二类换元积分法(典型代换:三角代换、倒代换、根式代换):Cx F C t F dt t f dt t t g t x dxx g +=+=='=-⎰⎰⎰)]([)()()()]([)()(1ϕϕϕϕ为注:要求代换单调且有连续的导数,且“换元须还原”)(t ϕ13.分部积分法(典型题特征:被积函数是两类不同函数的乘积,且任何一个函数不能为另一个函数凑微分)⎰⎰-=vduuv udv 14.万能置换公式(针对三角有理函数的积分。
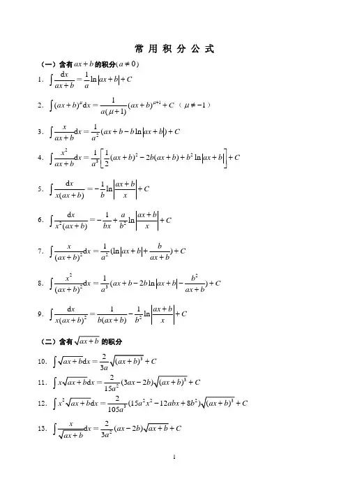
常 用 积 分 公 式(一)含有ax b +的积分(0a ≠) 1.d x ax b +∫=1ln ax b C a ++2.()d ax b x μ+∫=11()(1)ax b C a μμ++++(1μ≠−)3.d x x ax b +∫=21(ln )ax b b ax b C a +−++4.2d x x ax b +∫=22311()2()ln 2ax b b ax b b ax b C a ⎡⎤+−++++⎢⎥⎣⎦5.d ()x x ax b +∫=1ln ax b C b x+−+6.2d ()x x ax b +∫=21ln a ax bC bx b x+−++ 7.2d ()xx ax b +∫=21(ln b ax b C a ax b++++ 8.22d ()x x ax b +∫=231(2ln )b ax b b ax b C a ax b +−+−++ 9.2d ()x x ax b +∫=211ln ()ax b C b ax b b x+−++的积分10.x =C +11.x ∫=22(3215ax b C a −+12.x x ∫=22232(15128105a x abx b C a−+13.x=22(23ax b C a −+14.2x=22232(34815a x abx b C a −++15.=(0)(0)C b C b ⎧+>+<16.2a bx b −− 17.d x x ∫=b +18.2d x x ∫=2a x −+∫(三)含有22x a ±的积分 19.22d x x a +∫=1arctan xC a a+20.22d ()n x x a +∫=2221222123d 2(1)()2(1)()n n x n xn a x a n a x a −−−+−+−+∫21.22d x x a −∫=1ln 2x a C a x a−++(四)含有2(0)ax b a +>的积分22.2d x ax b +∫=(0)(0)x C b Cb +>+<23.2d x x ax b +∫=21ln 2ax b C a ++24.22d x x ax b +∫=2d x b xa a axb −+∫25.2d ()x x ax b +∫=221ln2x C b ax b++ 26.22d ()x x ax b +∫=21d a xbx b ax b −−+∫ 27.32d ()x x ax b +∫=22221ln 22ax b a C bx bx +−+ 28.22d ()x ax b +∫=221d 2()2x xb ax b b ax b +++∫(五)含有2ax bx c ++(0)a >的积分29.2d x ax bx c ++∫=22(4)(4)C b ac C b ac +<+> 30.2d x x ax bx c ++∫=221d ln 22b x ax bx c a a ax bx c++−++∫(0)a >的积分31.=1arshxC a+=ln(x C ++ 32.C +33.xC +34.x=C +35.2x 2ln(2a x C −++36.2x =ln(x C ++37.1ln aC a x −+38.=2C a x −+39.x 2ln(2a x C +++40.x =2243(25ln(88x x a a x C ++++41.x ∫C +42.xx ∫=422(2ln(88x a x a x C +−++43.d x x ∫ln a a C x −++44.2d x x ∫=ln(x C x−+++(0)a >的积分45.=1arch x xC x a+=ln C + 46.C +47.x C48.x =C +49.2x 22a C ++50.2x =C ++51.1arccos aC a x+52.=2C a x +53.x 22a C −+54.x =2243(25ln 88x x a a C −++55.x ∫C +56.xx ∫=422(2ln 88x a x a C −+57.d x x ∫arccos aa C x +58.2d x x ∫=C x−++(0)a >的积分 59.=arcsinxC a + 60.C +61.x =C +62.x C +63.2x =2arcsin 2a x C a ++64.2x C +65.1ln a C a x −+66.=2C a x −+67.x 2arcsin 2a x C a++68.x =2243(52arcsin 88x x a x a C a −++69.x ∫=C +70.xx ∫=422(2arcsin 88x a x x a C a−+71.d x x ∫ln a a C x −++72.2d x x ∫=arcsin xC x a−−+(0)a >的积分73.C +74.x2C ++75.xC −+76.=C +77.x 2C ++78.x =C ++的积分79.x =((x b b a C −+−++80.x =((x b b a C −+−+81.C+()a b <82.x =C ++ ()a b < (十一)含有三角函数的积分 83.sin d x x ∫=cos x C −+84.cos d x x ∫=sin x C + 85.tan d x x ∫=ln cos x C −+ 86.cot d x x ∫=ln sin x C + 87.sec d x x ∫=ln tan()42xC π++=ln sec tan x x C ++ 88.csc d x x ∫=ln tan2xC +=ln csc cot x x C −+ 89.2sec d x x ∫=tan x C + 90.2csc d x x ∫=cot x C −+ 91.sec tan d x x x ∫=sec x C + 92.csc cot d x x x ∫=csc x C −+ 93.2sin d x x ∫=1sin 224x x C −+ 94.2cos d x x ∫=1sin 224x x C ++95.sin d n x x ∫=1211sin cos sin d n n n x x x x n n−−−−+∫ 96.cos d n x x ∫=1211cos sin cos d n n n x x x x n n−−−+∫ 97.d sin n x x ∫=121cos 2d 1sin 1sin n n x n xn x n x −−−−⋅+−−∫ 98.d cos n x x ∫=121sin 2d 1cos 1cos n n x n xn x n x−−−⋅+−−∫ 99.cos sin d m n x x x ∫=11211cos sin cos sin d m n m nm x x x x x m n m n−+−−+++∫ =11211cos sin cos sin d m n m n n x x x x x m n m n+−−−−+++∫ 100.sin cos d ax bx x ∫=11cos()cos()2()2()a b x a b x C a b a b −+−−++−101.sin sin d ax bx x ∫=11sin()sin()2()2()a b x a b x C a b a b −++−++−102.cos cos d ax bx x ∫=11sin()sin()2()2()a b x a b x C a b a b ++−++−103.d sin x a b x +∫tan xa b C ++22()a b >104.d sin x a b x +∫C +22()a b <105.d cos x a b x +∫tan 2xC +22()a b >106.d cos x a b x +∫C +22()a b <107.2222d cos sin x a x b x +∫=1arctan(tan )bx C ab a + 108.2222d cos sin x a x b x −∫=1tan ln 2tan b x aC ab b x a ++−109.sin d x ax x ∫=211sin cos ax x ax C a a −+ 110.2sin d x ax x ∫=223122cos sin cos x ax x ax ax C a a a −+++111.cos d x ax x ∫=211cos sin ax x ax C a a ++112.2cos d x ax x ∫=223122sin cos sin x ax x ax ax C a a a+−+(十二)含有反三角函数的积分(其中0a >)113.arcsin d x x a ∫=arcsin x x C a++114.arcsin d x x x a ∫=C +115.2arcsin d x x x a ∫=3221arcsin (239x x x a C a +++116.arccos d xx a ∫=arccosxx C a−+117.arccos d x x x a ∫=C +118.2arccos d x x x a ∫=3221arccos (239x x x a C a −++119.arctand x x a ∫=22arctan ln()2x a x a x C a −++ 120.arctan d x x x a∫=221()arctan 22x a a x x C a +−+121.2arctan d x x x a ∫=33222arctan ln()366x x a a x a x C a −+++(十三)含有指数函数的积分122.d xa x ∫=1ln xa C a + 123.e d axx ∫=1e ax C a +124.e d ax x x ∫=21(1)e axax C a−+125.e d n axx x ∫=11e e d n ax n ax n x x x a a−−∫126.d xxa x ∫=21ln (ln )x x x a a C a a −+ 127.d nxx a x ∫=11d ln ln n x n xn x a x a x a a −−∫ 128.e sin d axbx x ∫=221e (sin cos )ax a bx b bx C a b −++ 129.e cos d ax bx x ∫=221e (sin cos )axb bx a bx C a b+++130.e sin d ax n bx x ∫=12221e sin (sin cos )ax n bx a bx nb bx a b n−−+ 22222(1)e sin d ax n n n b bx x a b n −−++∫131.e cos d ax n bx x ∫=12221e cos (cos sin )ax n bx a bx nb bx a b n−++ 22222(1)e cos d ax n n n b bx x a b n−−++∫ (十四)含有对数函数的积分132.ln d x x ∫=ln x x x C −+ 133.d ln x x x ∫=ln ln x C +134.ln d n x x x ∫=111(ln )11n x x C n n +−+++ 135.(ln )d n x x ∫=1(ln )(ln )d n n x x n x x −−∫ 136.(ln )d m n x x x ∫=111(ln )(ln )d 11m n m n n x x x x x m m +−−++∫ (十五)含有双曲函数的积分137.sh d x x ∫=ch x C +138.ch d x x ∫=sh x C +139.th d x x ∫=ln ch x C + 140.2sh d x x ∫=1sh224x x C −++ 141.2ch d x x ∫=1sh224x x C ++ (十六)定积分142.cos d nx x π−π∫=sin d nx x π−π∫=0 143.cos sin d mx nx x π−π∫=0144.cos cos d mx nx x π−π∫=0,,m n m n ≠⎧⎨π=⎩145.sin sin d mx nx x π−π∫=0,,m n m n ≠⎧⎨π=⎩ 146.0sin sin d mx nx x π∫=0cos cos d mx nx x π∫=0,,2m n m n ≠⎧⎪⎨π=⎪⎩ 147. n I =20sin d n x x π∫=20cos d n x x π∫ n I =21n n I n−− 1342253n n n I n n −−=⋅⋅⋅⋅−" (n 为大于1的正奇数),1I =1 13312422n n n I n n −−π=⋅⋅⋅⋅⋅−"(n 为正偶数),0I =2π。
高数积分公式大全24个数学中积分公式是学习数学的基石,是求解问题的重要工具。
下面总结了数学高级积分中的24个公式:1. 加法法则:∫u(x)+v(x)dx=∫u(x)dx+∫v(x)dx2. 乘法法则:∫c(x)u(x)dx=c∫u(x)dx3. 幂函数:∫xαdx=xα+1/(α+1)+C4. 指数函数:∫exdx=ex+C5. 根号函数:∫√axdx=2/3√ax3/2+C6. 三角函数:∫sinxdx=−cosx+c7. 反三角函数:∫arcsinxdx=xarcsinx−sinx+C8. 双曲函数:∫sinx/cdx=−ln|cscx+cotx|+C9. 二次函数:∫ax2+bx+cdx=1/3ax3+1/2bx2+cxdx+C10. 指标函数:∫axdx=axlnax−x+C11. 阶乘函数:∫x(n)(dx)=x(n+1)/(n+1)+C12. 拉格朗日积分:∫xn/aeaxdx=xn+1/(an+1)+C13. 对数函数:∫lnxdx=xlnx−x+C14. 锐曲线积分:∫1/(1+a2x2)dx=arctan(ax)+C15. 椭圆积分:∫(dx/a2−dy/b2)dx=b2ln|x/a|+C16. 余切函数:∫cotxdx=ln|sinx|+C17. 正弦函数:∫cosxdx=sinx+C18. 逆正弦函数:∫arccosxdx=xarccosx−sinx+C19. 双曲函数:∫sec2x dx=tanx+C20. 余弦函数:∫−sin(2x)dx=−1/2cos2x+C21. 逆余弦函数:∫arccos(2x)dx=1/2x arccos(2x)+1/2sin(2x)+C22. 零余弦函数:∫acos2x2dx=xacos2x2+1/2sinx+C23. 正切函数:∫tanxdx=ln|secx|+C24. 逆正切函数:∫arctanxdx=xarctanx−1/2ln|x2+1|+C以上就是积分公式的24种,有了这些公式,可以有效地解决复杂的问题。
积分公式表
1、基本积分公式:
(1)
(2) (3) (4) (5)
(6) (7)
(8) (8)
(10) (11) 2、积分定理:
(1)()()x f dt t f x a ='⎥⎦⎤⎢⎣⎡⎰ (2)()()()()[]()()[]()x a x a f x b x b f dt t f x b x a '-'='⎥⎦⎤⎢⎣⎡⎰ (3)若F (x )是f (x )的一个原函数,则)()()()(a F b F x F dx x f b
a b a -==⎰
3、积分方法
()()b ax x f +=1;设:t b ax =+
()()222x a x f -=;设:t a x sin =
()22a x x f -=;设:t a x sec =
()22x a x f +=;设:t a x tan =
()3分部积分法:⎰⎰-=vdu uv udv
附:理解与记忆
对这些公式应正确熟记.可根据它们的特点分类来记.
公式(1)为常量函数0的积分,等于积分常数.
公式(2)、(3)为幂函数的积分,应分为与.
当时,,
积分后的函数仍是幂函数,而且幂次升高一次.
特别当时,有.
当时,
公式(4)、(5)为指数函数的积分,积分后仍是指数函数,因为
,故(,)式右边的是在分母,不在分子,应记清.
当时,有.
是一个较特殊的函数,其导数与积分均不变.
应注意区分幂函数与指数函数的形式,幂函数是底为变量,幂为常数;指数函数是底为常数,幂为变量.要加以区别,不要混淆.它们的不定积分所采用的公式不同.
公式(6)、(7)、(8)、(9)为关于三角函数的积分,通过后面的学习还会增加其他三角函数公式.
公式(10)是一个关于无理函数的积分
公式(11)是一个关于有理函数的积分
下面结合恒等变化及不定积分线性运算性质,举例说明如何利用基本积分公式求不定积分.
例1 求不定积分.
分析:该不定积分应利用幂函数的积分公式.
解:
(为任意常数)
例2 求不定积分.
分析:先利用恒等变换“加一减一”,将被积函数化为可利用基本积分公式求积分的形式.
解:由于,所以
(为任意常数)
例3 求不定积分.
分析:将按三次方公式展开,再利用幂函数求积公式.
解:
(为任意常数)例4 求不定积分.
分析:用三角函数半角公式将二次三角函数降为一次.
解:
(为任意常数)例5 求不定积分.
分析:基本积分公式表中只有
但我们知道有三角恒等式:
解:
(为任意常数)同理我们有:
(为任意常数)
例6
(为任意常数)。